Alternative Analysis Approaches for the Assessment of Pilot Bioavailability/Bioequivalence Studies
Abstract
1. Introduction
2. Materials and Methods
2.1. Study Design
2.2. Population Pharmacokinetic Simulation
2.3. Simulations Analysis
2.3.1. Average Bioequivalence Analysis
2.3.2. Centrality of the Test-to-Reference GMR
2.3.3. Bootstrap Bioequivalence Analysis
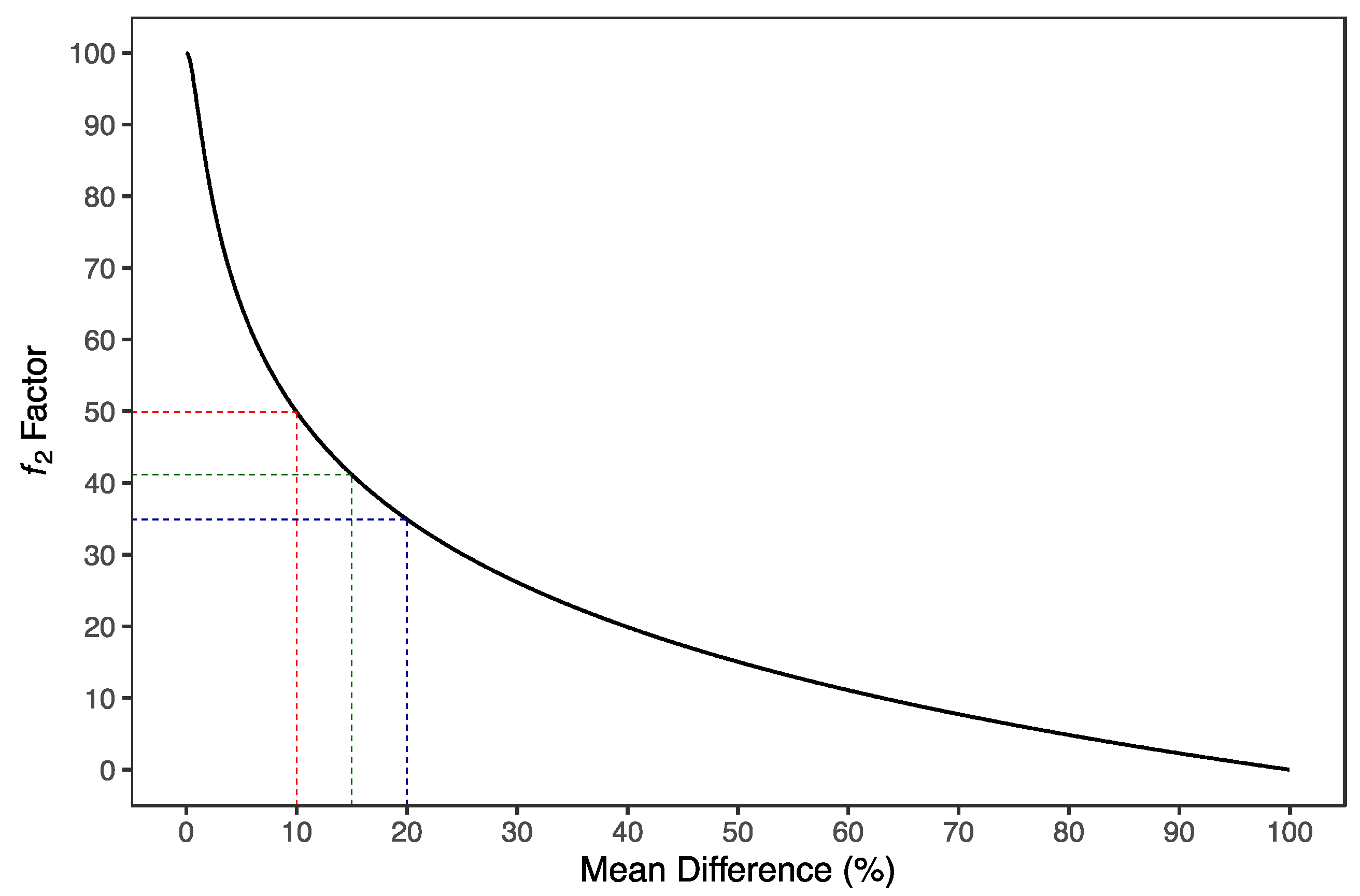
2.3.4. Similarity ƒ2 Factor
2.4. Performance Measurement
- Sensitivity, also referred to as power, recall or true positive rate, which measures the capacity of the model to correctly identify bioequivalent test and reference formulations. In other words, it is the probability of correctly rejecting H0 when H0 is false (Table 2).When the test recognizes all the bioequivalent formulations (i.e., no false negatives) Sensitivity = 1; when the test does not recognize any of the bioequivalent formulations Sensitivity = 0.
 - Specificity, also referred to as true negative rate, measures the capacity of the model to correctly identify bioinequivalent test and reference formulations. In other words, it is the probability of correctly failing to reject H0 when H0 is true (Table 2).When the test recognizes all the bioinequivalent formulations (i.e., no false positives) Specificity = 1; when the test does not recognize any of the bioinequivalent formulations Specificity = 0.
 - Precision, also referred to as positive predictive value (PPV), measures the correctness achieved in bioequivalent predictions (Table 2).When PPV = 1, all identified bioequivalent formulations are truly bioequivalent.
 - Negative Predictive Value (NPV), which measures the correctness achieved in bioinequivalent predictions (Table 2).When NPV = 1, all identified bioinequivalent formulations are truly bioinequivalent.
 - Accuracy, which represents the ratio between the correctly identified predicted instances (bioequivalent and bioinequivalent) and the total number of instances (Table 2).When Accuracy = 1, the test predicted correctly all the bioequivalent and bioinequivalent formulations.
 - F1 score, which is the harmonic mean of Sensitivity and Precision.F1 score is independent from the number of samples correctly classified as negative. A F1 = 1 indicates perfect precision and sensitivity; for a F1 = 0, either precision or sensitivity are 0.
 - Matthews Correlation Coefficient (MCC), which measures the correlation coefficient between the true classes and the method predicted classes.where Cov(t, p) is the covariance of the true classes t and predicted labels p, whereas σt and σp are the standard deviations, respectively [21]. A MCC = 1 indicates a perfect prediction; MCC = 0 indicates that the prediction is no better than random; a MCC = −1 indicates total disagreement between prediction and observation.
 - Cohen’s Kappa (κ) statistic, which is a measure of concordance for categorical data that measures agreement relative to what would be expected by chance.When there is complete agreement κ = 1; when there is no agreement κ = 0; and when there is no effective agreement, or when there is a complete disagreement, κ = −1.
 
3. Results
3.1. Simulated Pharmacokinetic Data
3.2. Bioequivalence Evaluation
3.2.1. Average Bioequivalence Method
3.2.2. Centrality of the Test-to-Reference GMR Method
3.2.3. Bootstrap Bioequivalence Method
3.2.4. Similarity f2 Factor Method
3.2.5. Comparison of Average Bioequivalence, Centrality of the Point Estimate, Bootstrap Bioequivalence, and Similarity ƒ2 Factor Methods
4. Discussion
5. Conclusions
Supplementary Materials
Author Contributions
Funding
Institutional Review Board Statement
Informed Consent Statement
Data Availability Statement
Conflicts of Interest
References
- European Medicines Agency (EMA). Guideline on the Investigation of Bioequivalence (CPMP/EWP/QWP/1401/98 Rev. 1/Corr **). London. 20 January 2010. Available online: https://www.ema.europa.eu/en/documents/scientific-guideline/guideline-investigation-bioequivalence-rev1_en.pdf (accessed on 15 September 2022).
 - U.S. Food and Drug Administration (FDA). Guidance for Industry: Bioequivalence Studies with Pharmacokinetic Endpoints for Drugs Submitted under an ANDA. Draft Guidance. August 2021. Available online: https://www.fda.gov/media/87219/download (accessed on 15 September 2022).
 - Chow, S.C.; Liu, J. Design and Analysis of Bioavailability and Bioequivalence Studies; Chapman and Hall/CRC: New York, NY, USA, 2008; ISBN 9780429140365. [Google Scholar]
 - Pan, G.; Wang, Y. Average Bioequivalence Evaluation: General Methods for Pilot Trials. J. Biopharm. Stat. 2006, 16, 207–225. [Google Scholar] [CrossRef] [PubMed]
 - Fuglsang, A. Pilot and Repeat Trials as Development Tools Associated with Demonstration of Bioequivalence. AAPS J. 2015, 17, 678–683. [Google Scholar] [CrossRef] [PubMed]
 - Moreno, I.; Ochoa, D.; Román, M.; Cabaleiro, T.; Abad-Santos, F. Utility of Pilot Studies for Predicting Ratios and Intrasubject Variability in High-Variability Drugs. Basic Clin. Pharmacol. Toxicol. 2016, 119, 215–221. [Google Scholar] [CrossRef] [PubMed]
 - U.S. Food and Drug Administration (FDA). Guidance for Industry: Statistical Approaches to Establishing Bioequivalence. Draft Guidance. December 2022. Available online: https://www.fda.gov/media/163638/download (accessed on 6 March 2023).
 - European Medicines Agency (EMA). Questions & Answers: Positions on Specific Questions Addressed to the Pharmacokinetics Working Party (PKWP) (EMA/618604/2008 Rev. 13). 19 November 2015. Available online: https://www.ema.europa.eu/en/documents/scientific-guideline/questions-answers-positions-specific-questions-addressed-pharmacokinetics-working-party_en.pdf (accessed on 17 September 2022).
 - European Medicines Agency (EMA). Guideline on the Investigation of Bioequivalence—Annex I (EMA/582648/2016). 21 September 2016. Available online: https://www.ema.europa.eu/en/documents/other/31-annex-i-statistical-analysis-methods-compatible-ema-bioequivalence-guideline_en.pdf (accessed on 15 September 2022).
 - Schuirmann, D.J. A Comparison of the Two One-Sided Tests Procedure and the Power. J. Pharmacokinet. Biopharm. 1987, 15, 657–680. [Google Scholar] [CrossRef] [PubMed]
 - Chow, S.C. Bioavailability and Bioequivalence in Drug Development. Wiley Interdiscip. Rev. Comput. Stat. 2014, 6, 304–312. [Google Scholar] [CrossRef] [PubMed]
 - Bonate, P.L. Pharmacokinetic-Pharmacodynamic Modeling and Simulation, 2nd ed.; Springer: New York, NY, USA, 2011; ISBN 978-1-4419-9485-1. [Google Scholar]
 - Pigeot, I.; Hauschke, D.; Shao, J. The Bootstrap in Bioequivalence Studies. J. Biopharm. Stat. 2011, 21, 1126–1139. [Google Scholar] [CrossRef] [PubMed]
 - Labes, D.; Schütz, H.; Lang, B. PowerTOST: Power and Sample Size for (Bio)Equivalence Studies. 2010. Available online: https://github.com/Detlew/PowerTOST (accessed on 20 May 2022).
 - Pigeot, I. The Bootstrap Percentile in Food and Drug Administration Regulations for Bioequivalence Assessment. Drug Inf. J. 2001, 35, 1445–1453. [Google Scholar] [CrossRef]
 - Moore, J.W.; Flanner, H.H. Mathematical Comparison of Curves with an Emphasis on in Vitro Dissolution Profiles. Pharm. Technol. 1996, 20, 64–74. [Google Scholar]
 - Shah, V.P.; Tsong, Y.; Sathe, P.; Liu, J.-P. In Vitro Dissolution Profile Comparison—Statistics and Analysis of the Similarity Factor, F2. Pharm. Res. 1998, 15, 889–896. [Google Scholar] [CrossRef] [PubMed]
 - US Food and Drug Administration (FDA). Guidance for Industry: Waiver of In Vivo Bioavailability and Bioequivalence Studies for Immediate-Release Solid Oral Dosage Forms Based on a Biopharmaceutics Classification System. December 2017. Available online: https://www.gmp-compliance.org/files/guidemgr/UCM070246.pdf (accessed on 3 October 2022).
 - US Food and Drug Administration (FDA). Guidance for Industry: Dissolution Testing of Immediate Release Solid Oral Dosage Forms. August 1997. Available online: https://www.fda.gov/media/70936/download (accessed on 3 October 2022).
 - Kuhn, M. Building Predictive Models in R Using the Caret Package. J. Stat. Softw. 2008, 28, 1–26. [Google Scholar] [CrossRef]
 - Chicco, D.; Tötsch, N.; Jurman, G. The Matthews Correlation Coefficient (MCC) Is More Reliable than Balanced Accuracy, Bookmaker Informedness, and Markedness in Two-Class Confusion Matrix Evaluation. BioData Min. 2021, 14, 13. [Google Scholar] [CrossRef] [PubMed]
 













| ka (h−1)  | V (L)  | ke (h−1)  | F | 
|---|---|---|---|
| 1.22 | 58.8 | 0.150 | 0.900 | 
| Method Prediction | ||||
|---|---|---|---|---|
| Bioequivalent | Bioinequivalent | |||
| Truly | Bioequivalent | TP | FN Type II Error  | Sensitivity | 
| Bioinequivalent | FP Type I Error  | TN | Specificity | |
| Precision | Negative Predictive Value | Accuracy | ||
| Average Bioequivalence (90% CI) | ||||||||||
|---|---|---|---|---|---|---|---|---|---|---|
| Sensitivity (%)  | Type II  Error (%)  | Specificity (%)  | Type I Error (%) | Precision (%)  | NPV (%)  | Accuracy (%)  | F1 (%)  | MCC (%)  | κ (%)  | |
| Baseline | 100 | 0.00 | 100 | 0.00 | 100 | 100 | 100 | 100 | 100 | 100 | 
| ka | ||||||||||
| 30% IIV & 0% IOV | 100 | 0.00 | 100 | 0.00 | 100 | 100 | 100 | 100 | 100 | 100 | 
| 30% IIV & 10% IOV | 100 | 0.00 | 100 | 0.00 | 100 | 100 | 100 | 100 | 100 | 100 | 
| 30% IIV & 20% IOV | 100 | 0.00 | 100 | 0.00 | 100 | 100 | 100 | 100 | 100 | 100 | 
| 30% IIV & 30% IOV | 100 | 0.00 | 100 | 0.00 | 100 | 100 | 100 | 100 | 100 | 100 | 
| 0% IIV & 45% IOV | 99.0–100 | 1.00–0.00 | 100 | 0.00 | 100 | 99.0–100 | 99.5–100 | 99.5–100 | 99.0–100.0 | 99.0–100 | 
| V | ||||||||||
| 30% IIV & 0% IOV | 100 | 0.00 | 100 | 0.00 | 100 | 100 | 100 | 100 | 100 | 100 | 
| 30% IIV & 10% IOV | 99.0–100 | 1.00–0.00 | 100 | 0.00 | 100 | 99.0–100 | 99.5–100 | 99.5–100 | 99.0–100 | 99.0–100 | 
| 30% IIV & 20% IOV | 56.0–99.0 | 44.0–1.00 | 100 | 0.00 | 100 | 69.4–99.0 | 78.0–99.5 | 71.8–99.5 | 62.4–99.0 | 56.0–99.0 | 
| 30% IIV & 30% IOV | 15.0–76.0 | 85.0–24.0 | 99.0–100 | 1.00–0.00 | 93.75–100 | 53.8–80.6 | 57.0–88.0 | 25.9–86.4 | 25.8–78.3 | 14.0–76.0 | 
| 0% IIV & 45% IOV | 1.00–21.0 | 99.0–79.0 | 100 | 0.00 | 100 | 50.3–55.9 | 50.5–60.5 | 1.98–34.7 | 7.09–34.3 | 1.00–21.0 | 
| ke | ||||||||||
| 30% IIV & 0% IOV | 100 | 0.00 | 100 | 0.00 | 100 | 100 | 100 | 100 | 100 | 100 | 
| 30% IIV & 10% IOV | 100 | 0.00 | 100 | 0.00 | 100 | 100 | 100 | 100 | 100 | 100 | 
| 30% IIV & 20% IOV | 100 | 0.00 | 100 | 0.00 | 100 | 100 | 100 | 100 | 100 | 100 | 
| 30% IIV & 30% IOV | 100 | 0.00 | 100 | 0.00 | 100 | 100 | 100 | 100 | 100 | 100 | 
| 0% IIV & 45% IOV | 99.0–100 | 1.00–0.00 | 100 | 0.00 | 100 | 99.0–100 | 99.5–100 | 99.5–100 | 99.0–100 | 99.0–100 | 
| Test-to-Reference GMR Centrality | ||||||||||
|---|---|---|---|---|---|---|---|---|---|---|
| Sensitivity (%)  | Type II  Error (%)  | Specificity (%)  | Type I Error (%) | Precision (%)  | NPV (%)  | Accuracy (%)  | F1 (%)  | MCC (%)  | κ (%)  | |
| Baseline | 100 | 0.00 | 100 | 0.00 | 100 | 100 | 100 | 100 | 100 | 100 | 
| ka | ||||||||||
| 30% IIV & 0% IOV | 100 | 0.00 | 100 | 0.00 | 100 | 100 | 100 | 100 | 100 | 100 | 
| 30% IIV & 10% IOV | 100 | 0.00 | 100 | 0.00 | 100 | 100 | 100 | 100 | 100 | 100 | 
| 30% IIV & 20% IOV | 100 | 0.00 | 100 | 0.00 | 100 | 100 | 100 | 100 | 100 | 100 | 
| 30% IIV & 30% IOV | 100 | 0.00 | 100 | 0.00 | 100 | 100 | 100 | 100 | 100 | 100 | 
| 0% IIV & 45% IOV | 98.0–100 | 2.00–0.00 | 100 | 0.00 | 100 | 98.0–100 | 99.0–100 | 99.0–100 | 98.02–100 | 98.0–100 | 
| V | ||||||||||
| 30% IIV & 0% IOV | 100 | 0.00 | 100 | 0.00 | 100 | 100 | 100 | 100 | 100 | 100 | 
| 30% IIV & 10% IOV | 95.0–100 | 5.00–0.00 | 100 | 0.00 | 100 | 95.2–100 | 97.5–100 | 97.4–100 | 95.1–100 | 95.0–100 | 
| 30% IIV & 20% IOV | 79.0–99.0 | 21.0–1.00 | 100 | 0.00 | 100 | 82.6–99.0 | 89.5–99.5 | 88.3–99.5 | 80.8–99.0 | 79.0–99.0 | 
| 30% IIV & 30% IOV | 57.0–85.0 | 43.0–15.0 | 96.0–100 | 4.00–0.00 | 93.4–100 | 69.1–87.0 | 76.5–92.5 | 70.8–91.9 | 57.6–86.0 | 53.0–85.0 | 
| 0% IIV & 45% IOV | 36.0–54.0 | 64.0–46.0 | 90.0–98.0 | 10.0–2.00 | 78.3–96.4 | 58.4–68.1 | 63.0–76.0 | 49.3–69.2 | 30.9–57.9 | 26.0–52.0 | 
| ke | ||||||||||
| 30% IIV & 0% IOV | 100 | 0.00 | 100 | 0.00 | 100 | 100 | 100 | 100 | 100 | 100 | 
| 30% IIV & 10% IOV | 100 | 0.00 | 100 | 0.00 | 100 | 100 | 100 | 100 | 100 | 100 | 
| 30% IIV & 20% IOV | 100 | 0.00 | 100 | 0.00 | 100 | 100 | 100 | 100 | 100 | 100 | 
| 30% IIV & 30% IOV | 100 | 0.00 | 100 | 0.00 | 100 | 100 | 100 | 100 | 100 | 100 | 
| 0% IIV & 45% IOV | 99.0–100 | 1.00–0.00 | 100 | 0.00 | 100 | 99.0–100 | 99.5–100 | 99.5–100 | 99.0–100 | 99.0–100 | 
| Bootstrap Bioequivalence (95% CI) | ||||||||||
|---|---|---|---|---|---|---|---|---|---|---|
| Sensitivity (%)  | Type II  Error (%)  | Specificity (%)  | Type I Error (%) | Precision (%)  | NPV (%)  | Accuracy (%)  | F1 (%)  | MCC (%)  | κ (%)  | |
| Baseline | 100 | 0.00 | 100 | 0.00 | 100 | 100 | 100 | 100 | 100 | 100 | 
| ka | ||||||||||
| 30% IIV & 0% IOV | 100 | 0.00 | 100 | 0.00 | 100 | 100 | 100 | 100 | 100 | 100 | 
| 30% IIV & 10% IOV | 100 | 0.00 | 100 | 0.00 | 100 | 100 | 100 | 100 | 100 | 100 | 
| 30% IIV & 20% IOV | 100 | 0.00 | 100 | 0.00 | 100 | 100 | 100 | 100 | 100 | 100 | 
| 30% IIV & 30% IOV | 100 | 0.00 | 100 | 0.00 | 100 | 100 | 100 | 100 | 100 | 100 | 
| 0% IIV & 45% IOV | 100 | 0.00 | 100 | 0.00 | 100 | 100 | 100 | 100 | 100 | 100 | 
| V | ||||||||||
| 30% IIV & 0% IOV | 100 | 0.00 | 100 | 0.00 | 100 | 100 | 100 | 100 | 100 | 100 | 
| 30% IIV & 10% IOV | 100 | 0.00 | 100 | 0.00 | 100 | 100 | 100 | 100 | 100 | 100 | 
| 30% IIV & 20% IOV | 91.0–99.0 | 9.00–1.00 | 98.0–100 | 2.00–0.00 | 97.85–100 | 91.6–99.0 | 94.5–99.5 | 94.3–99.5 | 89.2–99.0 | 89.0–99.0 | 
| 30% IIV & 30% IOV | 76.0–94.0 | 24.0–6.00 | 94.0–99.0 | 6.00–1.00 | 92.7–98.9 | 79.7–94.3 | 85.0–96.5 | 83.5–96.4 | 71.2–93.1 | 70.0–93.0 | 
| 0% IIV & 45% IOV | 62.0–66.0 | 38.0–34.0 | 82.0–95.0 | 18.0–5.00 | 77.5–93.0 | 68.3–73.6 | 72.0–80.5 | 68.9–77.2 | 44.9–63.7 | 44.0–61.0 | 
| ke | ||||||||||
| 30% IIV & 0% IOV | 100 | 0.00 | 100 | 0.00 | 100 | 100 | 100 | 100 | 100 | 100 | 
| 30% IIV & 10% IOV | 100 | 0.00 | 100 | 0.00 | 100 | 100 | 100 | 100 | 100 | 100 | 
| 30% IIV & 20% IOV | 100 | 0.00 | 100 | 0.00 | 100 | 100 | 100 | 100 | 100 | 100 | 
| 30% IIV & 30% IOV | 100 | 0.00 | 100 | 0.00 | 100 | 100 | 100 | 100 | 100 | 100 | 
| 0% IIV & 45% IOV | 100 | 0.00 | 100 | 0.00 | 100 | 100 | 100 | 100 | 100 | 100 | 
| Amean ƒ2 Factor (Cut-Off of 35) | ||||||||||
|---|---|---|---|---|---|---|---|---|---|---|
| Sensitivity (%)  | Type II  Error (%)  | Specificity (%)  | Type I Error (%) | Precision (%)  | NPV (%)  | Accuracy (%)  | F1 (%)  | MCC (%)  | κ (%)  | |
| Baseline | 100 | 0.00 | 100 | 0.00 | 100 | 100 | 100 | 100 | 100 | 100 | 
| ka | ||||||||||
| 30% IIV & 0% IOV | 100 | 0.00 | 100 | 0.00 | 100 | 100 | 100 | 100 | 100 | 100 | 
| 30% IIV & 10% IOV | 100 | 0.00 | 100 | 0.00 | 100 | 100 | 100 | 100 | 100 | 100 | 
| 30% IIV & 20% IOV | 100 | 0.00 | 100 | 0.00 | 100 | 100 | 100 | 100 | 100 | 100 | 
| 30% IIV & 30% IOV | 100 | 0.00 | 100 | 0.00 | 100 | 100 | 100 | 100 | 100 | 100 | 
| 0% IIV & 45% IOV | 100 | 0.00 | 100 | 0.00 | 100 | 100 | 100 | 100 | 100 | 100 | 
| V | ||||||||||
| 30% IIV & 0% IOV | 100 | 0.00 | 100 | 0.00 | 100 | 100 | 100 | 100 | 100 | 100 | 
| 30% IIV & 10% IOV | 100 | 0.00 | 100 | 0.00 | 100 | 100 | 100 | 100 | 100 | 100 | 
| 30% IIV & 20% IOV | 99.0–100 | 1.00–0.00 | 100 | 0.00 | 100 | 99.0–100 | 99.5–100 | 99.5–100 | 99.0–100 | 99.0–100 | 
| 30% IIV & 30% IOV | 94.0–98.0 | 6.00–2.00 | 100 | 0.00 | 100 | 94.3–98.0 | 97.0–99.0 | 96.9–99.0 | 94.2–98.0 | 94.0–98.0 | 
| 0% IIV & 45% IOV | 76.0–96.0 | 24.0–4.00 | 99.0–100 | 1.00–0.00 | 98.7–100 | 80.5–96.2 | 87.5–98.0 | 85.9–98.0 | 77.1–96.1 | 75.0–96.0 | 
| ke | ||||||||||
| 30% IIV & 0% IOV | 100 | 0.00 | 100 | 0.00 | 100 | 100 | 100 | 100 | 100 | 100 | 
| 30% IIV & 10% IOV | 100 | 0.00 | 100 | 0.00 | 100 | 100 | 100 | 100 | 100 | 100 | 
| 30% IIV & 20% IOV | 100 | 0.00 | 100 | 0.00 | 100 | 100 | 100 | 100 | 100 | 100 | 
| 30% IIV & 30% IOV | 100 | 0.00 | 100 | 0.00 | 100 | 100 | 100 | 100 | 100 | 100 | 
| 0% IIV & 45% IOV | 100 | 0.00 | 100 | 0.00 | 100 | 100 | 100 | 100 | 100 | 100 | 
| Gmean ƒ2 Factor (Cut-Off of 35) | ||||||||||
|---|---|---|---|---|---|---|---|---|---|---|
| Sensitivity (%)  | Type II  Error (%)  | Specificity (%)  | Type I Error (%) | Precision (%)  | NPV (%)  | Accuracy (%)  | F1 (%)  | MCC (%)  | κ (%)  | |
| Baseline | 100 | 0.00 | 100 | 0.00 | 100 | 100 | 100 | 100 | 100 | 100 | 
| ka | ||||||||||
| 30% IIV & 0% IOV | 100 | 0.00 | 100 | 0.00 | 100 | 100 | 100 | 100 | 100 | 100 | 
| 30% IIV & 10% IOV | 100 | 0.00 | 100 | 0.00 | 100 | 100 | 100 | 100 | 100 | 100 | 
| 30% IIV & 20% IOV | 100 | 0.00 | 100 | 0.00 | 100 | 100 | 100 | 100 | 100 | 100 | 
| 30% IIV & 30% IOV | 100 | 0.00 | 100 | 0.00 | 100 | 100 | 100 | 100 | 100 | 100 | 
| 0% IIV & 45% IOV | 100 | 0.00 | 100 | 0.00 | 100 | 100 | 100 | 100 | 100 | 100 | 
| V | ||||||||||
| 30% IIV & 0% IOV | 100 | 0.00 | 100 | 0.00 | 100 | 100 | 100 | 100 | 100 | 100 | 
| 30% IIV & 10% IOV | 100 | 0.00 | 100 | 0.00 | 100 | 100 | 100 | 100 | 100 | 100 | 
| 30% IIV & 20% IOV | 99.0–100 | 1.00–0.00 | 100 | 0.00 | 100 | 99.0–100 | 99.5–100 | 99.5–100 | 99.0–100 | 99.0–100 | 
| 30% IIV & 30% IOV | 96.0–100 | 4.00–0.00 | 100 | 0.00 | 100 | 96.2–100 | 98.0–100 | 98.0–100 | 96.1–100 | 96.0–100 | 
| 0% IIV & 45% IOV | 79.0–96.0 | 21.0–4.00 | 100 | 0.00 | 100 | 82.6–96.2 | 89.5–98.0 | 88.3–98.0 | 80.8–96.1 | 79.0–96.0 | 
| ke | ||||||||||
| 30% IIV & 0% IOV | 100 | 0.00 | 100 | 0.00 | 100 | 100 | 100 | 100 | 100 | 100 | 
| 30% IIV & 10% IOV | 100 | 0.00 | 100 | 0.00 | 100 | 100 | 100 | 100 | 100 | 100 | 
| 30% IIV & 20% IOV | 100 | 0.00 | 100 | 0.00 | 100 | 100 | 100 | 100 | 100 | 100 | 
| 30% IIV & 30% IOV | 100 | 0.00 | 100 | 0.00 | 100 | 100 | 100 | 100 | 100 | 100 | 
| 0% IIV & 45% IOV | 100 | 0.00 | 100 | 0.00 | 100 | 100 | 100 | 100 | 100 | 100 | 
| Amean ƒ2 Factor (Cut-Off of 41) | ||||||||||
|---|---|---|---|---|---|---|---|---|---|---|
| Sensitivity (%)  | Type II  Error (%)  | Specificity (%)  | Type I Error (%) | Precision (%)  | NPV (%)  | Accuracy (%)  | F1 (%)  | MCC (%)  | κ (%)  | |
| Baseline | 100 | 0.00 | 100 | 0.00 | 100 | 100 | 100 | 100 | 100 | 100 | 
| ka | ||||||||||
| 30% IIV & 0% IOV | 100 | 0.00 | 100 | 0.00 | 100 | 100 | 100 | 100 | 100 | 100 | 
| 30% IIV & 10% IOV | 100 | 0.00 | 100 | 0.00 | 100 | 100 | 100 | 100 | 100 | 100 | 
| 30% IIV & 20% IOV | 100 | 0.00 | 100 | 0.00 | 100 | 100 | 100 | 100 | 100 | 100 | 
| 30% IIV & 30% IOV | 100 | 0.00 | 100 | 0.00 | 100 | 100 | 100 | 100 | 100 | 100 | 
| 0% IIV & 45% IOV | 100 | 0.00 | 100 | 0.00 | 100 | 100 | 100 | 100 | 100 | 100 | 
| V | ||||||||||
| 30% IIV & 0% IOV | 100 | 0.00 | 100 | 0.00 | 100 | 100 | 100 | 100 | 100 | 100 | 
| 30% IIV & 10% IOV | 100 | 0.00 | 100 | 0.00 | 100 | 100 | 100 | 100 | 100 | 100 | 
| 30% IIV & 20% IOV | 98.0–100 | 2.00–0.00 | 100 | 0.00 | 100 | 98.0–100 | 99.0–100 | 99.0–100 | 98.0–100 | 98.0–100 | 
| 30% IIV & 30% IOV | 84.0–98.0 | 16.0–2.00 | 100 | 0.00 | 100 | 86.2–98.0 | 92.0–99.0 | 91.3–99.0 | 85.1–98.0 | 84.0–98.0 | 
| 0% IIV & 45% IOV | 66.0–88.0 | 34.0–12.0 | 100 | 0.00 | 100 | 74.6–89.3 | 83.0–94.0 | 79.5–93.6 | 70.2–88.6 | 66.0–88.0 | 
| ke | ||||||||||
| 30% IIV & 0% IOV | 100 | 0.00 | 100 | 0.00 | 100 | 100 | 100 | 100 | 100 | 100 | 
| 30% IIV & 10% IOV | 100 | 0.00 | 100 | 0.00 | 100 | 100 | 100 | 100 | 100 | 100 | 
| 30% IIV & 20% IOV | 100 | 0.00 | 100 | 0.00 | 100 | 100 | 100 | 100 | 100 | 100 | 
| 30% IIV & 30% IOV | 100 | 0.00 | 100 | 0.00 | 100 | 100 | 100 | 100 | 100 | 100 | 
| 0% IIV & 45% IOV | 100 | 0.00 | 100 | 0.00 | 100 | 100 | 100 | 100 | 100 | 100 | 
| Gmean ƒ2 Factor (Cut-Off of 41) | ||||||||||
|---|---|---|---|---|---|---|---|---|---|---|
| Sensitivity (%)  | Type II  Error (%)  | Specificity (%)  | Type I Error (%) | Precision (%)  | NPV (%)  | Accuracy (%)  | F1 (%)  | MCC (%)  | κ (%)  | |
| Baseline | 100 | 0.00 | 100 | 0.00 | 100 | 100 | 100 | 100 | 100 | 100 | 
| ka | ||||||||||
| 30% IIV & 0% IOV | 100 | 0.00 | 100 | 0.00 | 100 | 100 | 100 | 100 | 100 | 100 | 
| 30% IIV & 10% IOV | 100 | 0.00 | 100 | 0.00 | 100 | 100 | 100 | 100 | 100 | 100 | 
| 30% IIV & 20% IOV | 100 | 0.00 | 100 | 0.00 | 100 | 100 | 100 | 100 | 100 | 100 | 
| 30% IIV & 30% IOV | 100 | 0.00 | 100 | 0.00 | 100 | 100 | 100 | 100 | 100 | 100 | 
| 0% IIV & 45% IOV | 99.0 | 1.00 | 100 | 0.00 | 100 | 99.0 | 99.5 | 99.5 | 99.0 | 99.0 | 
| V | ||||||||||
| 30% IIV & 0% IOV | 100 | 0.00 | 100 | 0.00 | 100 | 100 | 100 | 100 | 100 | 100 | 
| 30% IIV & 10% IOV | 100 | 0.00 | 100 | 0.00 | 100 | 100 | 100 | 100 | 100 | 100 | 
| 30% IIV & 20% IOV | 97.0–100 | 3.00–0.00 | 100 | 0.00 | 100 | 97.1–100 | 98.5–100 | 98.5–100 | 97.0–100 | 97.0–100 | 
| 30% IIV & 30% IOV | 89.0–98.0 | 11.0–2.00 | 100 | 0.00 | 100 | 90.1–98.0 | 94.5–99.0 | 94.2–99.0 | 89.5–98.0 | 89.0–98.0 | 
| 0% IIV & 45% IOV | 69.0–89.0 | 31.0–11.0 | 100 | 0.00 | 100 | 76.3–90.1 | 84.5–94.5 | 81.7–94.2 | 72.6–89.5 | 69.0–89.0 | 
| ke | ||||||||||
| 30% IIV & 0% IOV | 100 | 0.00 | 100 | 0.00 | 100 | 100 | 100 | 100 | 100 | 100 | 
| 30% IIV & 10% IOV | 100 | 0.00 | 100 | 0.00 | 100 | 100 | 100 | 100 | 100 | 100 | 
| 30% IIV & 20% IOV | 100 | 0.00 | 100 | 0.00 | 100 | 100 | 100 | 100 | 100 | 100 | 
| 30% IIV & 30% IOV | 100 | 0.00 | 100 | 0.00 | 100 | 100 | 100 | 100 | 100 | 100 | 
| 0% IIV & 45% IOV | 100 | 0.00 | 100 | 0.00 | 100 | 100 | 100 | 100 | 100 | 100 | 
| Amean ƒ2 Factor (Cut-Off of 50) | ||||||||||
|---|---|---|---|---|---|---|---|---|---|---|
| Sensitivity (%)  | Type II  Error (%)  | Specificity (%)  | Type I Error (%) | Precision (%)  | NPV (%)  | Accuracy (%)  | F1 (%)  | MCC (%)  | κ (%)  | |
| Baseline | 100 | 0.00 | 100 | 0.00 | 100 | 100 | 100 | 100 | 100 | 100 | 
| ka | ||||||||||
| 30% IIV & 0% IOV | 100 | 0.00 | 100 | 0.00 | 100 | 100 | 100 | 100 | 100 | 100 | 
| 30% IIV & 10% IOV | 100 | 0.00 | 100 | 0.00 | 100 | 100 | 100 | 100 | 100 | 100 | 
| 30% IIV & 20% IOV | 100 | 0.00 | 100 | 0.00 | 100 | 100 | 100 | 100 | 100 | 100 | 
| 30% IIV & 30% IOV | 99.0–100 | 1.00–0.00 | 100 | 0.00 | 100 | 99.0–100 | 99.5–100 | 99.5–100 | 99.0–100 | 99.0–100 | 
| 0% IIV & 45% IOV | 90.0–99.0 | 10.0–1.00 | 100 | 0.00 | 100 | 90.9–99.0 | 95.0–99.5 | 94.7–99.5 | 90.5–99.0 | 90.0–99.0 | 
| V | ||||||||||
| 30% IIV & 0% IOV | 100 | 0.00 | 100 | 0.00 | 100 | 100 | 100 | 100 | 100 | 100 | 
| 30% IIV & 10% IOV | 99.0–100 | 1.00–0.00 | 100 | 0.00 | 100 | 99.0–100 | 99.5–100 | 99.5–100 | 99.0–100 | 99.0–100 | 
| 30% IIV & 20% IOV | 79.0–98.0 | 21.0–2.00 | 100 | 0.00 | 100 | 82.6–98.0 | 89.5–99.0 | 88.3–99.0 | 80.8–98.0 | 79.0–98.0 | 
| 30% IIV & 30% IOV | 61.0–92.0 | 39.0–8.00 | 100 | 0.00 | 100 | 71.9–92.6 | 80.5–96.0 | 75.8–95.8 | 66.3–92.3 | 61.0–92.0 | 
| 0% IIV & 45% IOV | 49.0–64.0 | 51.0–36.0 | 100 | 0.00 | 100 | 66.2–73.5 | 74.5–82.0 | 65.8–78.1 | 57.0–68.6 | 49.0–64.0 | 
| ke | ||||||||||
| 30% IIV & 0% IOV | 100 | 0.00 | 100 | 0.00 | 100 | 100 | 100 | 100 | 100 | 100 | 
| 30% IIV & 10% IOV | 100 | 0.00 | 100 | 0.00 | 100 | 100 | 100 | 100 | 100 | 100 | 
| 30% IIV & 20% IOV | 100 | 0.00 | 100 | 0.00 | 100 | 100 | 100 | 100 | 100 | 100 | 
| 30% IIV & 30% IOV | 100 | 0.00 | 100 | 0.00 | 100 | 100 | 100 | 100 | 100 | 100 | 
| 0% IIV & 45% IOV | 100 | 0.00 | 100 | 0.00 | 100 | 100 | 100 | 100 | 100 | 100 | 
| Gmean ƒ2 Factor (Cut-Off of 50) | ||||||||||
|---|---|---|---|---|---|---|---|---|---|---|
| Sensitivity (%)  | Type II  Error (%)  | Specificity (%)  | Type I Error (%) | Precision (%)  | NPV (%)  | Accuracy (%)  | F1 (%)  | MCC (%)  | κ (%)  | |
| Baseline | 100 | 0.00 | 100 | 0.00 | 100 | 100 | 100 | 100 | 100 | 100 | 
| ka | ||||||||||
| 30% IIV & 0% IOV | 100 | 0.00 | 100 | 0.00 | 100 | 100 | 100 | 100 | 100 | 100 | 
| 30% IIV & 10% IOV | 100 | 0.00 | 100 | 0.00 | 100 | 100 | 100 | 100 | 100 | 100 | 
| 30% IIV & 20% IOV | 100 | 0.00 | 100 | 0.00 | 100 | 100 | 100 | 100 | 100 | 100 | 
| 30% IIV & 30% IOV | 99.0–100 | 1.00–0.00 | 100 | 0.00 | 100 | 99.0–100 | 99.5–100 | 99.5–100 | 99.0–100 | 99.0–100 | 
| % IIV & 45% IOV | 88.0–97.0 | 12.0–3.00 | 100 | 0.00 | 100 | 89.3–97.1 | 94.0–98.5 | 93.6–98.5 | 88.6–97.0 | 88.0–97.0 | 
| V | ||||||||||
| 30% IIV & 0% IOV | 100 | 0.00 | 100 | 0.00 | 100 | 100 | 100 | 100 | 100 | 100 | 
| 30% IIV & 10% IOV | 99.0–100 | 1.00–0.00 | 100 | 0.00 | 100 | 99.0–100 | 99.5–100 | 99.5–100 | 99.0–100 | 99.0–100 | 
| 30% IIV & 20% IOV | 82.0–99.0 | 18.0–1.00 | 100 | 0.00 | 100 | 84.8–99.0 | 91.0–99.5 | 90.1–99.5 | 83.4–99.0 | 82.0–99.0 | 
| 30% IIV & 30% IOV | 63.0–91.0 | 37.0–9.00 | 100 | 0.00 | 100 | 73.0–91.7 | 81.5–95.5 | 77.3–95.3 | 67.8–91.4 | 63.0–91.0 | 
| 0% IIV & 45% IOV | 48.0–66.0 | 52.0–34.0 | 100 | 0.00 | 100 | 65.8–74.6 | 74.0–83.0 | 64.9–79.5 | 56.2–70.2 | 48.0–66.0 | 
| ke | ||||||||||
| 30% IIV & 0% IOV | 100 | 0.00 | 100 | 0.00 | 100 | 100 | 100 | 100 | 100 | 100 | 
| 30% IIV & 10% IOV | 100 | 0.00 | 100 | 0.00 | 100 | 100 | 100 | 100 | 100 | 100 | 
| 30% IIV & 20% IOV | 100 | 0.00 | 100 | 0.00 | 100 | 100 | 100 | 100 | 100 | 100 | 
| 30% IIV & 30% IOV | 100 | 0.00 | 100 | 0.00 | 100 | 100 | 100 | 100 | 100 | 100 | 
| 0% IIV & 45% IOV | 100 | 0.00 | 100 | 0.00 | 100 | 100 | 100 | 100 | 100 | 100 | 
| IOV (%) | Average  Bioequivalence 1  | Bootstrap Bioequivalence  | Gmean ƒ2 Factor | ||
|---|---|---|---|---|---|
| 35 | 41 | 50 | |||
| 10% | 12 | 12 | 12 | 12 | 12 | 
| 20% | 16 | 12 | 12 | 12 | 12 | 
| 30% | 32 | 14 | 12 | 12 | 18 | 
| 45% | 66 | >30 | 14 | 20 | >30 | 
Disclaimer/Publisher’s Note: The statements, opinions and data contained in all publications are solely those of the individual author(s) and contributor(s) and not of MDPI and/or the editor(s). MDPI and/or the editor(s) disclaim responsibility for any injury to people or property resulting from any ideas, methods, instructions or products referred to in the content.  | 
© 2023 by the authors. Licensee MDPI, Basel, Switzerland. This article is an open access article distributed under the terms and conditions of the Creative Commons Attribution (CC BY) license (https://creativecommons.org/licenses/by/4.0/).
Share and Cite
Henriques, S.C.; Albuquerque, J.; Paixão, P.; Almeida, L.; Silva, N.E. Alternative Analysis Approaches for the Assessment of Pilot Bioavailability/Bioequivalence Studies. Pharmaceutics 2023, 15, 1430. https://doi.org/10.3390/pharmaceutics15051430
Henriques SC, Albuquerque J, Paixão P, Almeida L, Silva NE. Alternative Analysis Approaches for the Assessment of Pilot Bioavailability/Bioequivalence Studies. Pharmaceutics. 2023; 15(5):1430. https://doi.org/10.3390/pharmaceutics15051430
Chicago/Turabian StyleHenriques, Sara Carolina, João Albuquerque, Paulo Paixão, Luís Almeida, and Nuno Elvas Silva. 2023. "Alternative Analysis Approaches for the Assessment of Pilot Bioavailability/Bioequivalence Studies" Pharmaceutics 15, no. 5: 1430. https://doi.org/10.3390/pharmaceutics15051430
APA StyleHenriques, S. C., Albuquerque, J., Paixão, P., Almeida, L., & Silva, N. E. (2023). Alternative Analysis Approaches for the Assessment of Pilot Bioavailability/Bioequivalence Studies. Pharmaceutics, 15(5), 1430. https://doi.org/10.3390/pharmaceutics15051430
        
