Fabrication of Stimuli-Responsive Quince/Mucin Co-Poly (Methacrylate) Hydrogel Matrices for the Controlled Delivery of Acyclovir Sodium: Design, Characterization and Toxicity Evaluation
Abstract
1. Introduction
2. Materials and Methods
2.1. Materials
2.2. Extraction of Quince Hydrogel
2.3. Fabrication of Quince/Mucin Co-Poly (Methacrylate) Hydrogel
2.4. Drug Loading (%)
2.5. pH-Responsive Swelling Studies
2.6. pH-Responsive Swelling–Deswelling Studies
2.7. Electrolyte-Responsive Swelling Studies
2.8. Swelling Kinetics
2.9. Sol–Gel Fraction
2.10. Drug-Excipient Compatibility Study
2.11. Scanning Electron Microscopy
2.12. Thermal Analysis
2.13. Powder X-ray Diffraction (PXRD) Analysis
2.14. In Vitro Drug Release Studies
2.15. Drug Release Kinetics
2.16. Oral Toxicity Studies
3. Results and Discussion
3.1. Drug Entrapment Efficiency
3.2. pH-Responsive Swelling Studies
3.3. Swelling Kinetics
3.4. Electrolyte-Responsive Swelling Studies
3.5. pH-Responsive Swelling–Deswelling Studies
3.6. Sol–Gel Fraction
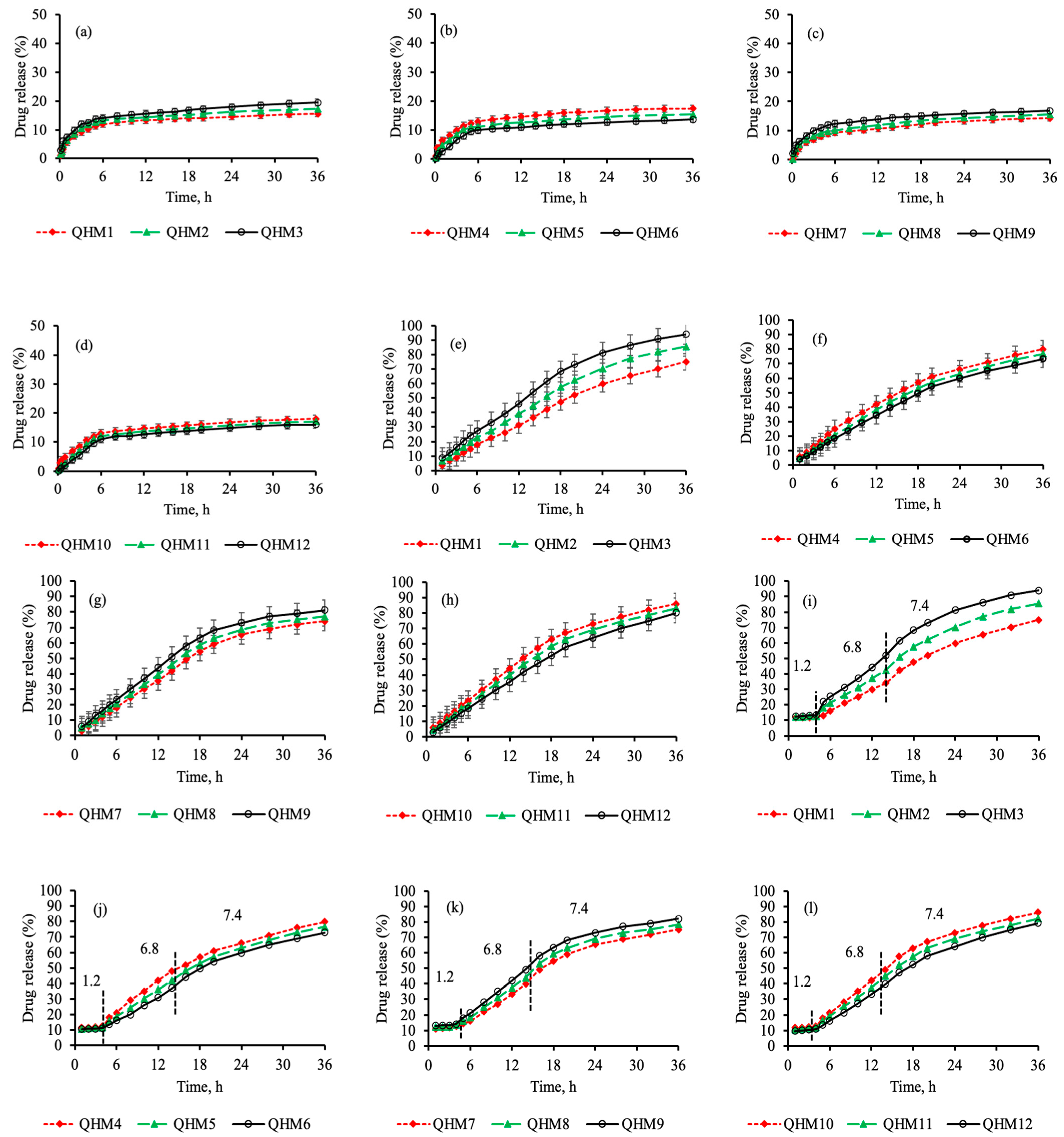
3.7. In Vitro Drug Release Studies
3.8. Scanning Electron Microscopy
3.9. Drug-Excipient Compatibility Studies
3.10. Powder X-ray Diffraction Analysis
3.11. Thermal Analysis
3.12. In Vivo X-ray Study
3.13. Acute Oral Toxicity Studies
4. Conclusions
Author Contributions
Funding
Institutional Review Board Statement
Informed Consent Statement
Data Availability Statement
Acknowledgments
Conflicts of Interest
References
- Rehman, U.; Sarfraz, R.M.; Mahmood, A.; Zafar, N.; Ashraf, M.U. Chitosan/Agarose-g-poly (methacrylate) pH responsive polymeric blend: A dais for controlled delivery of Capecitabine. Polym. Adv. Technol. 2021, 32, 3782–3794. [Google Scholar] [CrossRef]
- Aslam, M.; Barkat, K.; Malik, N.S.; Alqahtani, M.S.; Anjum, I.; Khalid, I.; Tulain, U.R.; Gohar, N.; Zafar, H.; Paiva-Santos, A.C.; et al. pH sensitive pluronic acid/agarose-hydrogels as controlled drug delivery carriers: Design, characterization and toxicity evaluation. Pharmaceutics 2022, 14, 1218. [Google Scholar] [CrossRef]
- Farid-ul-Haq, M.; Haseeb, M.T.; Hussain, M.A.; Ashraf, M.U.; Naeem-ul-Hassan, M.; Hussain, S.Z.; Hussain, I. A smart drug delivery system based on Artemisia vulgaris hydrogel: Design, on-off switching, and real-time swelling, transit detection, and mechanistic studies. J. Drug. Deliv. Sci. Technol. 2020, 58, 101795. [Google Scholar] [CrossRef]
- Qu, J.; Zhao, X.; Ma, P.X.; Guo, B. Injectable antibacterial conductive hydrogels with dual response to an electric field and pH for localized “smart” drug release. Acta BioMat. 2018, 72, 55–69. [Google Scholar] [CrossRef]
- Toh, W.S.; Loh, X.J. Advances in hydrogel delivery systems for tissue regeneration. Mat. Sci. Eng. C. 2014, 45, 690–697. [Google Scholar] [CrossRef]
- Ashraf, M.U.; Hussain, M.A.; Bashir, S.; Haseeb, M.T.; Hussain, Z. Quince seed hydrogel (glucuronoxylan): Evaluation of stimuli responsive sustained release oral drug delivery system and biomedical properties. J. Drug. Deliv. Sci. Technol. 2018, 45, 455–465. [Google Scholar] [CrossRef]
- Ahmadian, Z.; Gheybi, H.; Adeli, M. Efficient wound healing by antibacterial property: Advances and trends of hydrogels, hydrogel-metal NP composites and photothermal therapy platforms. J. Drug. Deliv. Sci. Technol. 2022, 73, 103458. [Google Scholar] [CrossRef]
- Kesharwani, P.; Bisht, A.; Alexander, A.; Dave, V.; Sharma, S. Biomedical applications of hydrogels in drug delivery system: An update. J. Drug. Deliv. Sci. Technol. 2021, 66, 102914. [Google Scholar] [CrossRef]
- Bhattarai, N.; Gunn, J.; Zhang, M. Chitosan-based hydrogels for controlled, localized drug delivery. Adv. Drug Delivery Rev. 2010, 62, 83–99. [Google Scholar] [CrossRef]
- Afshar, M.; Dini, G.; Vaezifar, S.; Mehdikhani, M.; Movahedi, B. Preparation and characterization of sodium alginate/polyvinyl alcohol hydrogel containing drug-loaded chitosan nanoparticles as a drug delivery system. J. Drug. Deliv. Sci. Technol. 2020, 56, 101530. [Google Scholar] [CrossRef]
- Jiang, Q.; Wang, J.; Tang, R.; Zhang, D.; Wang, X. Hypromellose succinate-crosslinked chitosan hydrogel films for potential wound dressing. Int. J. Biol. Macromol. 2016, 91, 85–91. [Google Scholar] [CrossRef] [PubMed]
- Junior, C.R.; Fernandes, R.S.; Moura, M.R.; Aouada, F.A. On the preparation and physicochemical properties of pH-responsive hydrogel nanocomposite based on poly (acid methacrylic)/laponite RDS. Mater. Today Commun. 2020, 23, 100936. [Google Scholar] [CrossRef]
- Vignon, M.R.; Gey, C. Isolation, 1H and 13C NMR studies of (4-O-methyl-D-glucurono)-D-xylans from luffa fruit fibres, jute bast fibres and mucilage of quince tree seeds. Carbohyd. Res. 1998, 307, 107–111. [Google Scholar] [CrossRef]
- Ashraf, M.U.; Hussain, M.A.; Muhammad, G.; Haseeb, M.T.; Bashir, S.; Hussain, S.Z.; Hussain, I. A superporous and superabsorbent glucuronoxylan hydrogel from quince (Cydonia oblanga): Stimuli responsive swelling, on-off switching and drug release. Int. J. Biol. Macromol. 2017, 95, 138–144. [Google Scholar] [CrossRef] [PubMed]
- Celli, J.P.; Turner, B.S.; Afdhal, N.H.; Ewoldt, R.H.; McKinley, G.H.; Bansil, R.; Erramilli, S. Rheology of gastric mucin exhibits a pH-dependent sol− gel transition. Biomacromolecules 2007, 8, 1580–1586. [Google Scholar] [CrossRef]
- Mahmood, A.; Ahmad, M.; Sarfraz, R.M.; Minhas, M.U. β-CD based hydrogel microparticulate system to improve the solubility of acyclovir: Optimization through in-vitro, in-vivo and toxicological evaluation. J. Drug. Deliv. Sci. Technol. 2016, 36, 75–88. [Google Scholar] [CrossRef]
- Han, A.S.; Kim, J.; Park, J.W.; Jin, S.G. Novel acyclovir-loaded film-forming gel with enhanced mechanical properties and skin permeability. J. Drug. Deliv. Sci. Technol. 2022, 70, 103213. [Google Scholar] [CrossRef]
- Batool, N.; Sarfraz, R.M.; Mahmood, A.; Rehman, U.; Zaman, M.; Akbar, S.; Almasri, D.M.; Gad, H.A. Development and Evaluation of Cellulose Derivative and Pectin Based Swellable pH Responsive Hydrogel Network for Controlled Delivery of Cytarabine. Gels 2023, 9, 60. [Google Scholar] [CrossRef]
- Shabir, F.; Mahmood, A.; Zafar, N.; Zaman, M.; Sarfraz, R.M.; Ijaz, H. Novel Black Seed Polysaccharide Extract-g-Poly (Acrylate) pH-Responsive Hydrogel Nanocomposites for Safe Oral Insulin Delivery: Development, In Vitro, In Vivo and Toxicological Evaluation. Pharmaceutics 2023, 15, 62. [Google Scholar] [CrossRef]
- Avcu, E.; Baştan, F.E.; Abdullah, H.Z.; Rehman, M.A.U.; Avcu, Y.Y.; Boccaccini, A.R. Electrophoretic deposition of chitosan-based composite coatings for biomedical applications: A review. Prog. Mater. Sci. 2019, 103, 69–108. [Google Scholar] [CrossRef]
- Malik, N.S.; Ahmad, M.; Minhas, M.U. Cross-linked β-cyclodextrin and carboxymethyl cellulose hydrogels for controlled drug delivery of acyclovir. PLoS ONE 2017, 12, e0172727. [Google Scholar] [CrossRef] [PubMed]
- Cheng, X.; Jin, Y.; Sun, T.; Qi, R.; Fan, B.; Li, H. Oxidation-and thermo-responsive poly (N-isopropylacrylamide-co-2-hydroxyethyl acrylate) hydrogels cross-linked via diselenides for controlled drug delivery. RSC Adv. 2015, 5, 4162–4170. [Google Scholar] [CrossRef]
- Balan, K.E.; Boztepe, C.; Künkül, A. Modeling the effect of physical crosslinking degree of pH and temperature responsive poly (NIPAAm-co-VSA)/alginate IPN hydrogels on drug release behavior. J. Drug. Deliv. Sci. Technol. 2022, 75, 103671. [Google Scholar] [CrossRef]
- Caló, V.; Khutoryanskiy, V.V. Biomedical applications of hydrogels: A review of patents and commercial Products. Eur. Polym. J. 2015, 65, 252–267. [Google Scholar] [CrossRef]
- Krušić, M.K.; Filipović, J. Copolymer hydrogels based on N-isopropylacrylamide and itaconic acid. Polymer 2006, 47, 148–155. [Google Scholar] [CrossRef]
- Yang, X.; Li, P.; Tang, W.; Du, S.; Yu, M.; Lu, H.; Tan, H.; Xing, X. A facile injectable carbon dot/oxidative polysaccharide hydrogel with potent self-healing and high antibacterial activity. Carbohyd. Polym. 2021, 251, 117040. [Google Scholar] [CrossRef]
- Pironi, A.M.; Melero, A.; Eloy, J.O.; Guillot, A.J.; Santos, K.C.; Chorilli, M. Solid dipersions included in poloxamer hydrogels have favorable rheological properties for topical application and enhance the in vivo antiinflammatory effect of ursolic acid. J. Drug. Deliv. Sci. Technol. 2022, 72, 103602. [Google Scholar] [CrossRef]
- Akhtar, M.F.; Ranjha, N.M.; Hanif, M. Effect of ethylene glycol dimethacrylate on swelling and on metformin hydrochloride release behavior of chemically crosslinked pH–sensitive acrylic acid–polyvinyl alcohol hydrogel. DARU J. Pharm. Sci. 2015, 23, 41. [Google Scholar] [CrossRef]
- Zheng, L.; Jin, Q. Development of Gelatin Methacryloyl Hydrogel loaded ZnS Nanoparticles Patches for In vivo wound healing care, In vitro drug release and free radical scavenging evaluations. J. Drug. Deliv. Sci. Technol. 2022, 71, 103290. [Google Scholar] [CrossRef]
- Minhas, M.U.; Ahmad, M.; Ali, L.; Sohail, M. Synthesis of chemically cross-linked polyvinyl alcohol-co-poly (methacrylic acid) hydrogels by copolymerization; a potential graft-polymeric carrier for oral delivery of 5-fluorouracil. DARU J. Pharm. Sci. 2013, 21, 44. [Google Scholar] [CrossRef]
- Sohail, M.; Ahmad, M.; Minhas, M.U.; Ali, L.; Khalid, I.; Rashid, H. Controlled delivery of valsartan by cross-linked polymeric matrices: Synthesis, in vitro and in vivo evaluation. Int. J. Pharm. 2015, 487, 110–119. [Google Scholar] [CrossRef] [PubMed]
- Jalil, A.; Khan, S.; Naeem, F.; Haider, M.S.; Sarwar, S.; Riaz, A.; Ranjha, N. The structural, morphological and thermal properties of grafted pH-sensitive interpenetrating highly porous polymeric composites of sodium alginate/acrylic acid copolymers for controlled delivery of diclofenac potassium. Des. Monomers. Polym. 2017, 20, 308–324. [Google Scholar] [CrossRef]
- Pal, P.; Singh, S.K.; Mishra, S.; Pandey, J.P.; Sen, G. Gum ghatti based hydrogel: Microwave synthesis, characterization, 5-Fluorouracil encapsulation and ‘in vitro’drug release evaluation. Carbohyd. Polym. 2019, 222, 114979. [Google Scholar] [CrossRef] [PubMed]
- Ritger, P.L.; Peppas, N.A. A simple equation for description of solute release II. Fickian and anomalous release from swellable devices. J. Cont. Rel. 1987, 5, 37–42. [Google Scholar] [CrossRef]
- Siepmann, J.; Peppas, N. Mathematical modeling of controlled drug delivery. Adv. Drug. Deiv. Rev. 2001, 48, 137–138. [Google Scholar]
- Wagner, J.G. Interpretation of percent dissolved-time plots derived from in vitro testing of conventional tablets and capsules. J. Pharm. Sci. 1969, 58, 1253–1257. [Google Scholar] [CrossRef] [PubMed]
- Hixson, A.; Crowell, J. Dependence of reaction velocity upon surface and agitation. Ind. Eng. Chem. 1931, 23, 923–931. [Google Scholar] [CrossRef]
- Higuchi, T. Mechanism of sustained-action medication. Theoretical analysis of rate of release of solid drugs dispersed in solid matrices. J. Pharm. Sci. 1963, 52, 1145–1149. [Google Scholar] [CrossRef] [PubMed]
- Korsmeyer, R.W.; Gurny, R.; Doelker, E.; Buri, P.; Peppas, N.A. Mechanisms of solute release from porous hydrophilic polymers. Int. J. Pharm. 1983, 5, 25–35. [Google Scholar] [CrossRef]
- Wang, K.; Xu, X.; Wang, Y.; Yan, X.; Guo, G.; Huang, M.; Luo, F.; Zhao, X.; Wei, Y.; Qian, Z. Synthesis and characterization of poly (methoxyl ethylene glycol-caprolactone-co-methacrylic acid-co-poly (ethylene glycol) methyl ether methacrylate) pH-sensitive hydrogel for delivery of dexamethasone. Int. J. Pharm. 2010, 389, 130–138. [Google Scholar] [CrossRef] [PubMed]
- Guideline P-BT. OECD guideline for the testing of chemicals. Hershberger 2001, 601, 858. [Google Scholar]
- Liu, J.; Lin, S.; Li, L.; Liu, E. Release of theophylline from polymer blend hydrogels. Int. J. Pharm. 2005, 298, 117–125. [Google Scholar] [CrossRef] [PubMed]
- Salawi, A.; Khan, A.; Zaman, M.; Riaz, T.; Ihsan, H.; Butt, M.H.; Aman, W.; Khan, R.; Majeed, I.; Almoshari, Y.; et al. Development of Statistically Optimized Chemically Cross-Linked Hydrogel for the Sustained-Release Delivery of Favipiravir. Polymers 2022, 14, 2369. [Google Scholar] [CrossRef]
- Malana, M.A.; Zafar, Z.I.; Zuhra, R. Effect of cross linker concentration on swelling kinetics of a synthesized ternary co-polymer system. J. Chem. Soc. Pak. 2012, 34, 793. [Google Scholar]
- Lodhi, B.A.; Hussain, M.A.; Ashraf, M.U.; Haseeb, M.T.; Muhammad, G.; Farid-ul-Haq, M.; Naeem-Ul-Hassan, M. Basil (Ocimum basilicum L.) seeds engender a smart material for intelligent drug delivery: On-off switching and real-time swelling, in vivo transit detection, and mechanistic studies. Ind. Crop. Prod. 2020, 155, 112780. [Google Scholar] [CrossRef]
- Cavus, S.; Cakal, E. The Swelling Behaviors of poly (2-acrylamido-2-methyl-1-propane sulfonic acid co-1-vinyl-2-pyrrolidone) Hydrogels. Act. Phys. Pol. A. 2018, 134, 129–132. [Google Scholar] [CrossRef]
- Pass, G.; Phillips, G.; Wedlock, D. Interaction of univalent and divalent cations with carrageenans in aqueous solution. Macromol 1977, 10, 197–201. [Google Scholar] [CrossRef]
- Samanta, S.K.; Fritsch, M.; Scherf, U.; Gomulya, W.; Bisri, S.Z.; Loi, M.A. Conjugated polymer-assisted dispersion of single-wall carbon nanotubes: The power of polymer wrapping. Acc. Chem. Res. 2014, 47, 2446–2456. [Google Scholar] [CrossRef]
- Samanta, H.S.; Ray, S.K. Controlled release of tinidazole and theophylline from chitosan based composite hydrogels. Carbohyd. Polym. 2014, 106, 109–120. [Google Scholar] [CrossRef]
- Rashid, H.; Ahmad, M.; Minhas, M.U.; Sohail, M.; Aamir, M.F. Synthesis and Characterization of Poly (hydroxyethyl methacrylate-co-methacrylic acid) Cross Linked Polymeric Network for the Delivery of Analgesic Agent. J. Chem. Soc. Pak. 2015, 37, 999–1007. [Google Scholar]
- Mahmood, A.; Mahmood, A.; Ibrahim, M.A.; Hussain, Z.; Ashraf, M.U.; Salem-Bekhit, M.M.; Elbagory, I. Development and Evaluation of Sodium Alginate/Carbopol 934P-Co-Poly (Methacrylate) Hydrogels for Localized Drug Delivery. Polymers 2023, 15, 311. [Google Scholar] [CrossRef] [PubMed]
- Hussain, H.R.; Bashir, S.; Mahmood, A.; Sarfraz, R.M.; Kanwal, M.; Ahmad, N.; Shah, H.S.; Nazir, I. Fenugreek seed mucilage grafted poly methacrylate pH-responsive hydrogel: A promising tool to enhance the oral bioavailability of methotrexate. Int. J. Biol. Macromol. 2022, 202, 332–344. [Google Scholar] [CrossRef] [PubMed]
- Shafiq, K.; Mahmood, A.; Salem-Bekhit, M.M.; Sarfraz, R.M.; Algarni, A.S.; Taha, E.I.; Mansour, A.A.; Al Zahrani, S.; Benguerba, Y. Development and Optimization of Tamarind Gum-β-Cyclodextrin-g-Poly (Methacrylate) pH-Responsive Hydrogels for Sustained Delivery of Acyclovir. Pharmaceuticals 2022, 15, 1527. [Google Scholar] [CrossRef]
- Wang, G.F.; Chu, H.J.; Wei, H.L.; Liu, X.Q.; Zhao, Z.X.; Zhu, J. Click synthesis by Diels-Alder reaction and characterisation of hydroxypropyl methylcellulose-based hydrogels. Chem. Pap. 2014, 68, 1390–1399. [Google Scholar] [CrossRef]
- Al-Tabakha, M.M.; Khan, S.A.; Ashames, A.; Ullah, H.; Ullah, K.; Murtaza, G.; Hassan, N. Synthesis, characterization and safety evaluation of sericin-based hydrogels for controlled delivery of acyclovir. Pharmaceuticals 2021, 14, 234. [Google Scholar] [CrossRef]













| Code | Quince (mg/5 mL) | Mucin (mg/5 mL) | MAA (g/5 mL) | APS (g/5 mL) | MBA (g/5 mL) |
|---|---|---|---|---|---|
| QHM1 | 50 | 50 | 3 | 0.1 | 0.2 |
| QHM2 | 100 | 50 | 3 | 0.1 | 0.2 |
| QHM3 | 150 | 50 | 3 | 0.1 | 0.2 |
| QHM4 | 100 | 75 | 3 | 0.1 | 0.2 |
| QHM5 | 100 | 100 | 3 | 0.1 | 0.2 |
| QHM6 | 100 | 150 | 3 | 0.1 | 0.2 |
| QHM7 | 100 | 50 | 4 | 0.1 | 0.2 |
| QHM8 | 100 | 50 | 5 | 0.1 | 0.2 |
| QHM9 | 100 | 50 | 6 | 0.1 | 0.2 |
| QHM10 | 100 | 50 | 4 | 0.1 | 0.3 |
| QHM11 | 100 | 50 | 4 | 0.1 | 0.5 |
| QHM12 | 100 | 50 | 4 | 0.1 | 0.7 |
| Kinetic Models | Regression Coefficient | QHM1 | QHM2 | QHM3 | QHM4 | QHM5 | QHM6 | QHM7 | QHM9 | QHM10 | QHM12 |
|---|---|---|---|---|---|---|---|---|---|---|---|
| Zero-order | R2 | 0.986 | 0.985 | 0.970 | 0.928 | 0.986 | 0.982 | 0.990 | 0.982 | 0.990 | 0.979 |
| First order | R2 | 0.986 | 0.980 | 0.982 | 0.997 | 0.994 | 0.995 | 0.993 | 0.990 | 0.992 | 0.991 |
| Higuchi model | R2 | 0.859 | 0.905 | 0.933 | 0.944 | 0.912 | 0.901 | 0.923 | 0.892 | 0.922 | 0.893 |
| Korsmeyer–Peppas | R2 | 0.988 | 0.990 | 0.985 | 0.996 | 0.983 | 0.987 | 0.980 | 0.988 | 0.979 | 0.987 |
| n | 0.867 | 0.766 | 0.69 | 0.689 | 0.734 | 0.769 | 0.701 | 0.793 | 0.701 | 0.788 | |
| Hixen–Crowell | R2 | 0.994 | 0.994 | 0.995 | 0.999 | 0.994 | 0.996 | 0.995 | 0.997 | 0.995 | 0.997 |
| Animal Groups | Group A (Control) | Group B (Treated, 2 g/kg) | Group C (Treated, 3 g/kg) |
|---|---|---|---|
| Mean ± SEM | Mean ± SEM | Mean ± SEM | |
| Body weight (g) | |||
| Pre-treatment | 1444 ± 25.4 | 1376 ± 31.4 | 1351 ± 31.8 |
| Day 1 | 1419 ± 33.8 | 1377 ± 30.5 | 1352 ± 28.3 |
| Day2 | 1421 ± 31.5 | 1345 ± 28.5 | 1368 ± 25.7 |
| Day3 | 1409 ± 26.8 | 1352 ± 25.1 | 1337 ± 28.3 |
| Day5 | 1401 ± 29.2 | 1352 ± 31.2 | 1352 ± 21.7 |
| Day 7 | 1425 ± 28.2 | 1368 ± 28.9 | 1352 ± 22.1 |
| Day9 | 1430 ± 26.5 | 1366 ± 28.6 | 1363 ± 23.5 |
| Day 11 | 1432 ± 29.4 | 1390 ± 31.6 | 1367 ± 28.3 |
| Day 14 | 1439 ± 30.5 | 1388 ± 25.7 | 1371 ± 30.2 |
| Parameters | Group A | Group B | Group C |
|---|---|---|---|
| Water intake (mL) | Mean ± SEM | Mean ± SEM | Mean ± SEM |
| Pre-treatment | 19.1 ± 1.12 | 18.8 ± 2.11 | 19.1 ± 2.05 |
| Day 1 | 19.3 ± 1.41 | 16.2 ± 1.22 | 16.7 ± 2.16 |
| Day 2 | 19.5 ± 1.19 | 17.7 ± 1.92 | 17.9 ± 2.13 |
| Day 3 | 19.3 ± 1.31 | 16.2 ± 1.64 | 16.2 ± 2.26 |
| Day 4 | 19.7 ± 1.21 | 17.0 ± 2.12 | 18.8 ± 2.66 |
| Day 14 Food Intake (g) | 19.6 ± 1.41 | 17.2 ± 2.32 | 17.5 ± 2.82 |
| Pre-treatment | 16.8 ± 1.41 | 17.2 ± 1.02 | 16.1 ± 2.1 |
| Day 1 | 16.9 ± 1.23 | 16.0 ± 0.91 | 16.8 ± 1.6 |
| Day 2 | 17.0 ± 1.36 | 16.2 ± 1.04 | 18.6 ± 1.7 |
| Day 3 | 17.2 ± 1.76 | 16.5 ± 1.40 | 17.2 ± 1.8 |
| Day 4 | 18.1 ± 1.76 | 16.0 ± 1.26 | 16.8 ± 1.2 |
| Day 14 | 19.0 ± 2.05 | 19.8 ± 1.36 | 17.5 ± 2.1 |
| Hematological Parameters | Normal Ranges | Group A (control) | Group B (2 g/kg) | Group C (3 g/kg) |
|---|---|---|---|---|
| CBC * | ||||
| TLC * | 8.1–21.5 × 103/µL | 14.25 ± 0.06 | 11.21 ± 0.15 | 10.15 ± 0.13 |
| RBC * | 3.8–7.9 × 106/µL | 5.28 ± 0.04 | 4.16 ± 0.03 | 4.78 ± 0.08 |
| Hb * | 9.4–17.4 g/dL | 12.61 ± 0.04 | 11.26 ± 0.05 | 14.29 ± 0.10 |
| HCT * | 35–40% | 36.41 ± 1.12 | 37.57 ± 0.52 | 38.17 ± 0.08 |
| MCV * | 50–75 fL | 56.31 ± 1.24 | 64.83 ± 1.01 | 56.03 ± 1.56 |
| MCH * | 18–24 pg | 20.11 ± 0.75 | 18.87 ± 1.01 | 20.08 ± 0.50 |
| MCHC * | 27–34 g/dL | 30.05 ± 2.05 | 28.13 ± 0.21 | 29.14 ± 0.45 |
| Platelet Count | 250–650 × 103/µL | 345.47 ± 3.60 | 284.63 ± 2.94 | 399.22 ± 3.46 |
| Neutrophils | 34–70% | 43.49 ± 1.51 | 39.57 ± 1.76 | 47.12 ± 0.40 |
| Lymphocytes | 30–70% | 50.67 ± 1.20 | 37.71 ± 1.41 | 43.03 ± 0.71 |
| Monocytes | 0–3% | 1.28 ± 0.11 | 1.05 ± 0.03 | 1.66 ± 0.11 |
| Eosinophils | 0–1% | 0.34 ± 0.01 | 0.70 ± 0.01 | 0.55 ± 0.01 |
| Blood Parameters | Normal Ranges | Group A | Group B | Group C |
|---|---|---|---|---|
| ALT (U/I) * | Less than 34 | 24.25 ± 0.06 | 21.21 ± 0.15 | 30.15 ± 0.13 |
| AST (U/I) * | Up to 31 | 25.28 ± 0.04 | 24.16 ± 0.03 | 24.78 ± 0.08 |
| Alkaline Phosphate (U/I) | 65–304 | 32.61 ± 0.04 | 31.26 ± 0.05 | 34.29 ± 0.10 |
| Albumin (g/dL) | 3.5–5.0 | 32.41 ± 1.12 | 31.57 ± 0.52 | 28.17 ± 0.08 |
| Globulin (g/dL) | 2.5–3.5 | 26.31 ± 1.24 | 34.83 ± 1.01 | 26.03 ± 1.56 |
| Triglycerides (µmol/L) | Desirable: <200 Borderline: 200–400 Elevated: >400 | 30.11 ± 0.75 | 28.87 ± 1.01 | 30.08 ± 0.50 |
| HDL (mg/dL) * | Low: <50 High: >60 | 30.05 ± 2.05 | 28.13 ± 0.21 | 29.14 ± 0.45 |
| VLDL (mg/dL) * | <30 | 32.47 ± 3.60 | 28.63 ± 2.94 | 27.22 ± 3.46 |
| Urea (mg/dL) | 28–45 | 28 | 30 | 28 |
| Creatinine (mg/dL) | 1.47–3.9 | 0.9 | 1.1 | 1.2 |
Disclaimer/Publisher’s Note: The statements, opinions and data contained in all publications are solely those of the individual author(s) and contributor(s) and not of MDPI and/or the editor(s). MDPI and/or the editor(s) disclaim responsibility for any injury to people or property resulting from any ideas, methods, instructions or products referred to in the content. |
© 2023 by the authors. Licensee MDPI, Basel, Switzerland. This article is an open access article distributed under the terms and conditions of the Creative Commons Attribution (CC BY) license (https://creativecommons.org/licenses/by/4.0/).
Share and Cite
Aslam, A.; Ashraf, M.U.; Barkat, K.; Mahmood, A.; Hussain, M.A.; Farid-ul-Haq, M.; Lashkar, M.O.; Gad, H.A. Fabrication of Stimuli-Responsive Quince/Mucin Co-Poly (Methacrylate) Hydrogel Matrices for the Controlled Delivery of Acyclovir Sodium: Design, Characterization and Toxicity Evaluation. Pharmaceutics 2023, 15, 650. https://doi.org/10.3390/pharmaceutics15020650
Aslam A, Ashraf MU, Barkat K, Mahmood A, Hussain MA, Farid-ul-Haq M, Lashkar MO, Gad HA. Fabrication of Stimuli-Responsive Quince/Mucin Co-Poly (Methacrylate) Hydrogel Matrices for the Controlled Delivery of Acyclovir Sodium: Design, Characterization and Toxicity Evaluation. Pharmaceutics. 2023; 15(2):650. https://doi.org/10.3390/pharmaceutics15020650
Chicago/Turabian StyleAslam, Aysha, Muhammad Umer Ashraf, Kashif Barkat, Asif Mahmood, Muhammad Ajaz Hussain, Muhammad Farid-ul-Haq, Manar O. Lashkar, and Heba A. Gad. 2023. "Fabrication of Stimuli-Responsive Quince/Mucin Co-Poly (Methacrylate) Hydrogel Matrices for the Controlled Delivery of Acyclovir Sodium: Design, Characterization and Toxicity Evaluation" Pharmaceutics 15, no. 2: 650. https://doi.org/10.3390/pharmaceutics15020650
APA StyleAslam, A., Ashraf, M. U., Barkat, K., Mahmood, A., Hussain, M. A., Farid-ul-Haq, M., Lashkar, M. O., & Gad, H. A. (2023). Fabrication of Stimuli-Responsive Quince/Mucin Co-Poly (Methacrylate) Hydrogel Matrices for the Controlled Delivery of Acyclovir Sodium: Design, Characterization and Toxicity Evaluation. Pharmaceutics, 15(2), 650. https://doi.org/10.3390/pharmaceutics15020650

