Physicochemical Stability of Generic Thiotepa Concentrate and Ready-to-Administer Infusion Solutions for Conditioning Treatment
Abstract
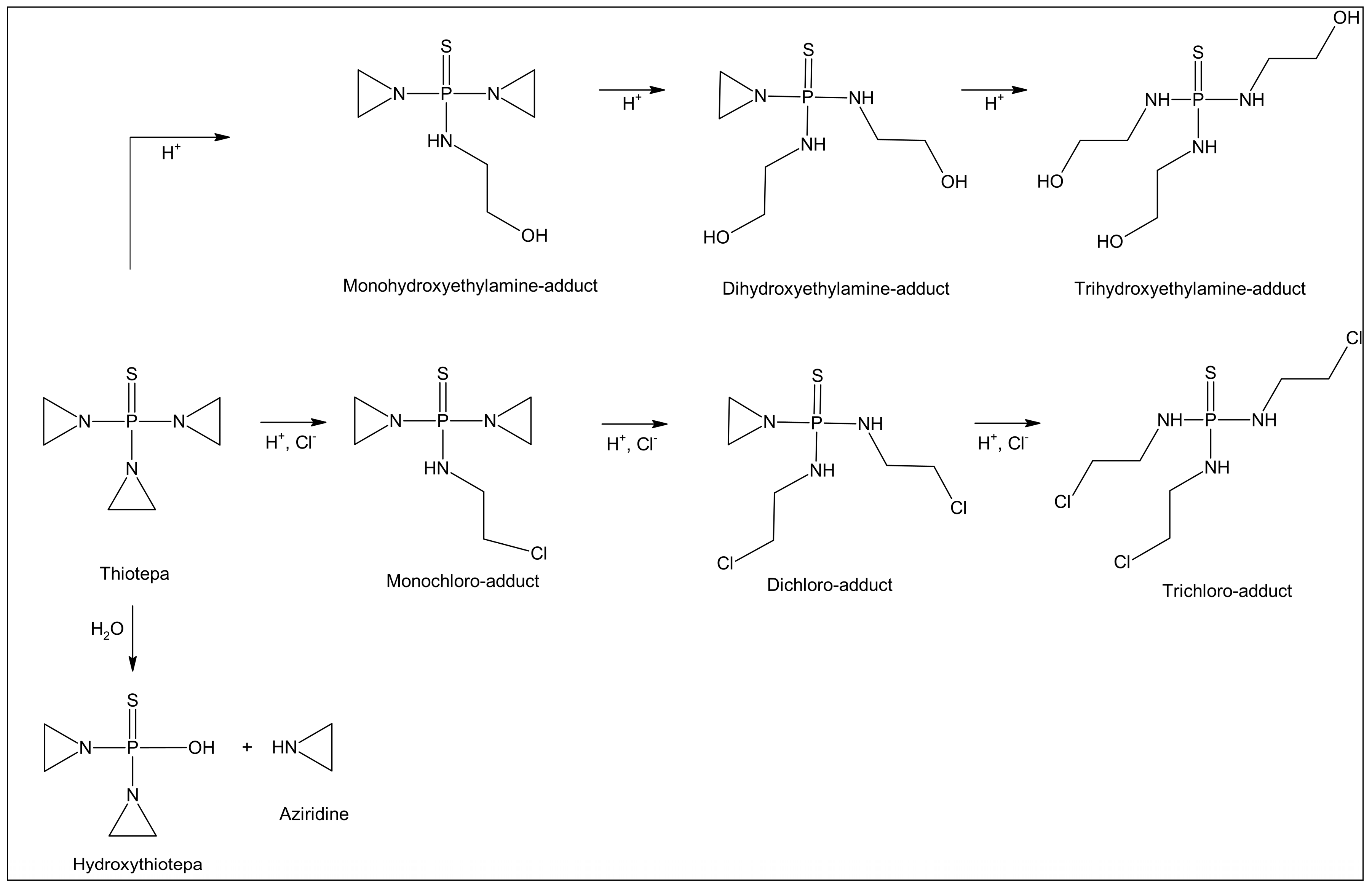
:1. Introduction

2. Materials and Methods
2.1. Chemicals and Reagents
2.2. Preparation of Test Solutions and Samples
2.2.1. Thiotepa Concentrate 10 mg/mL
2.2.2. Thiotepa Infusion Solutions
2.3. HPLC Assay
2.4. Validation of the RP-HPLC Assay
2.5. pH Measurement
2.6. Osmolality
2.7. Determination of Visible and Sub-Visible Particles
3. Results
3.1. Validation of the RP-HPLC Assay
3.1.1. Suitability
3.1.2. Linearity and Intra-/Inter-Day Precision
3.2. Thiotepa Concentrate 10 mg/mL
3.3. Thiotepa Infusion Solutions Diluted with Glucose 5%
3.4. Thiotepa Infusion Solutions Diluted with 0.9% NaCl
4. Discussion
5. Conclusions
Author Contributions
Funding
Institutional Review Board Statement
Informed Consent Statement
Data Availability Statement
Acknowledgments
Conflicts of Interest
References
- Van Maanen, M.J.; Smeets, C.D.; Beijnen, J.H. Chemistry, pharmacology and pharmacokinetics of N,N′,N″-triethylenethiophosphoramide (ThioTEPA). Cancer Treat. Rev. 2000, 26, 257–268. [Google Scholar] [CrossRef] [PubMed]
- European Medicines Agency. Thiotepa Riemser: Summary of Product Characteristics in EPAR-Product Information. 2021. Available online: https://www.ema.europa.eu/en/documents/product-information/thiotepa-riemser-epar-product-information_en.pdf (accessed on 13 January 2022).
- European Medicines Agency. Assessment Report Thiotepa Riemser EMA/129214/2021. 2021. Available online: https://www.ema.europa.eu/en/documents/assessment-report/thiotepa-riemser-epar-public-assessment-report_en.pdf (accessed on 13 January 2022).
- Lederle Arzneimittel GmbH & Co. Thiotepa “Lederle“ 15 mg Prescribing Information; Lederle Arzneimittel GmbH & Co: Wolfratshausen, Germany, 1995. [Google Scholar]
- Xu, Q.A.; Trissel, L.A.; Zhang, Y.; Martinez, J.F.; Gilbert, D.L. Stability of thiotepa (lyophilized) in 5% dextrose injection at 4 and 23 °C. Am. J. Health-Syst. Pharm. 1996, 53, 2728–2730. [Google Scholar] [CrossRef] [PubMed]
- Murray, K.M.; Erkkila, D.; Gombotz, W.R.; Pankey, S. Stability of thiotepa (lyophilized) in 0.9% sodium chloride injection. Am. J. Health-Syst. Pharm. 1997, 54, 2588–2591. [Google Scholar] [CrossRef] [PubMed]
- Van Maanen, M.J.; Brandt, A.C.; Damen, J.M.A.; Beijnen, J.H. Degradation study of thiotepa in aqueous solutions. Int. J. Pharm. 1999, 179, 55–64. [Google Scholar] [CrossRef] [PubMed]
- Dermer, O.C.; Ham, G.E. Ethylenimine and Other Aziridines; Academic Press: New York, NY, USA, 1969. [Google Scholar]
- Torabifard, H.; Fattahi, A. Mechanisms and kinetics of thiotepa and tepa hydrolysis: DFT study. J. Mol. Model. 2012, 18, 3563–3576. [Google Scholar] [CrossRef] [PubMed]
- Medicines & Healthcare Products Regulatory Agency. Monograph Thiotepa Injection. In British Pharmacopoeia; Medicines & Healthcare products Regulatory Agency: London, UK, 2021. [Google Scholar]
- The United States Pharmacopeial Convention. Monograph Thiotepa for injection. In United States Pharmacopeia-National Formulary; The United States Pharmacopeial Convention: North Bethesda, MD, USA, 2021. [Google Scholar]
- Medicines & Healthcare Products Regulatory Agency. Monograph Thiotepa. In British Pharmacopoeia; Medicines & Healthcare Products Regulatory Agency: London, UK, 2019. [Google Scholar]
- The United States Pharmacopeial Convention. Monograph Thiotepa. In United States Pharmacopeia-National Formulary; The United States Pharmacopeial Convention: North Bethesda, MD, USA, 2021. [Google Scholar]
- International Conference on Harmonization. Harmonized Tripartite Guidelines for Validation of Analytical Procedures: Text and Methodology Q2 (R1). 1995. Available online: https://www.ema.europa.eu/en/documents/scientific-guideline/ich-q-2-r1-validation-analytical-procedures-text-methodology-step-5_en.pdf (accessed on 14 April 2021).
- Council of Europe. 2.2.46 Chromatographic Separation in European Pharmacopoeia; Supplement 10.6; European Medicines Agency: Strasbourg, France, 2021.
- Bossard, D.; Chedru-Legros, V.; Crauste-Manciet, S.; Fleury-Souverain, S.; Lagarce, F.; Odou, P.; Roy, S.; Sadeghipour, F.; Sautou, V. Methodological Guidelines for Stability Studies of Hospital Pharmaceutical Preparations, 1st ed. Société Francaise de Pharmacie Clinique and Groupe d’Evaluation et de Recherche sur la Protection en Atmosphère Contrôlée. 2013. Available online: Extension://efaidnbmnnnibpcajpcglclefindmkaj/https://www.gerpac.eu/IMG/pdf/guide_stabilite_anglais.pdf (accessed on 13 August 2021).
- NHS Pharmaceutical Quality Assurance Committee. A Standard Protocol for Deriving and Assessment of Stability Part 1—Aseptic Preparations (Small Molecules), 5th ed. 2019. Available online: Extension://efaidnbmnnnibpcajpcglclefindmkaj/https://www.sps.nhs.uk/wp-content/uploads/2013/12/Stability-part-1-small-molecules-5th-Ed-Sept-19.pdf (accessed on 8 March 2021).
- Lipp, H.P.; Gförer, W.; Schöffler, E.; Bross, S. Physikalisch-chemische Stabilität Thiotepa-haltiger konzentrierter Lösungen. Krankenhauspharmazie 2022, 43, 57–62. [Google Scholar]
- Krämer, I.; Thiesen, J. Stability of topotecan infusion solutions in polyvinylchloride bags and elastomeric portable infusion devices. J. Oncol. Pharm. Pract. 1999, 5, 75–82. [Google Scholar] [CrossRef]
- Cohen, B.E.; Egorin, M.J.; Balachandran Nayar, M.S.; Gutierrez, P.L. Effects of pH and Temperature on the Stability and Decomposition of N,N′N″-Triethylenethiophosphoramide in Urine and Buffer. Cancer Res. 1984, 44, 4312–4316. [Google Scholar] [PubMed]
- European Medicines Agency. CHMP Assessment Report for Tepadina EMEA/H/c/001046. 2009. Available online: https://www.ema.europa.eu/en/documents/assessment-report/tepadina-epar-public-assessment-report_en.pdf (accessed on 29 November 2022).




| Chromatography Parameter | Condition/Set Value |
|---|---|
| Column | Nucleodur 100 C18, 5 µm, 150 × 4.6 mm (Macherey-Nagel) |
| Flow rate | 1.0 mL/min |
| Injection volume | 10 µL of thiotepa concentrate, thiotepa infusion solutions in G5 20 µL of thiotepa infusion solutions in 0.9% NaCl |
| Sample temperature | 10 °C |
| Column temperature | 30 °C |
| Run time | 30 min for thiotepa concentrate, thiotepa infusion solutions in G5 60 min for thiotepa infusion solutions in 0.9% NaCl, to detect the monochloro-adduct |
| Detection wavelength | 215 nm |
| Mobile phase | 15% acetonitrile and 85% 0.1 M phosphate buffer pH 7 |
| Pump mode | Isocratic |
| Storage Conditions | Initial Thiotepa Concentration | Percentage Rate of the Initial Thiotepa Concentration ± RSD [%] (Concentration at d 0 = 100%) | |||||||||||
|---|---|---|---|---|---|---|---|---|---|---|---|---|---|
| [mg/mL] ± RSD [%] | Peak Area of Impurities [%] in Relation to Thiotepa Peak Area | ||||||||||||
| n = 9 | |||||||||||||
| Nominal | Measured (d 0) | d 1 | d 3 | d 5 | d 7 | d 14 | |||||||
| 2–8 °C light protected | 10 mg/mL | thiotepa | 10.05 ± 0.88 | thiotepa | 100.11 ± 0.38 | thiotepa | 100.29 ± 0.84 | thiotepa | 97.91 * ± 2.18 | thiotepa | 101.01 * ± 0.46 | thiotepa | 101.06 * ± 0.71 |
| 25 °C in daylight | 10 mg/mL | thiotepa | 10.19 ± 0.83 | thiotepa | 98.23 ± 0.64 | thiotepa | 95.96 * ± 0.62 | thiotepa | 93.06 * ± 2.65 | thiotepa | 93.67 * ± 1.16 | thiotepa | 85.89 * ± 0.35 |
| sec. peak 2 | n.d. | sec. peak 2 | n.d. | sec. peak 2 | n.d. | sec. peak 2 | n.d. | sec. peak 2 | ≥0.2% (0.33%) | sec. peak 2 | n.d. | ||
| sec. peak 3 | n.d. | sec. peak 3 | n.d. | sec. peak 3 | n.d. | sec. peak 3 | n.d. | sec. peak 3 | n.d. | sec. peak 3 | ≥0.2% (1.48%) | ||
| sec. peak 4 | n.d. | sec. peak 4 | n.d. | sec. peak 4 | n.d. | sec. peak 4 | n.d. | sec. peak 4 | ≤0.2% (0.15%) | sec. peak 4 | ≤0.2% (0.14%) | ||
| pH-values of thiotepa | |||||||||||||
| 2–8 °C light protected | 10 mg/mL | 7.1 ± 0.7 | 6.9 ± 3.8 | 7.0 ± 1.5 | 7.0 ± 2.2 | 7.3 ± 1.6 | 7.5 ± 0.8 | ||||||
| 25 °C in daylight | 10 mg/mL | 7.0 ± 0.7 | 7.4 ± 1.3 | 7.7 ± 0.3 | 7.9 ± 0.1 | 8.0 ± 0.2 | 8.2 ± 0.4 | ||||||
| Storage Conditions | Initial Thiotepa Concentration | Percentage Rate of the Initial Thiotepa Concentration ± RSD [%] (Concentration at d 0 = 100%) | |||||||||||
|---|---|---|---|---|---|---|---|---|---|---|---|---|---|
| [mg/mL] ± RSD [%] | Peak Area of Impurities [%] in Relation to Thiotepa Peak Area | ||||||||||||
| n = 9 | |||||||||||||
| Nominal | Measured (d 0) | d 1 | d 3 | d 5 | d 7 | d 14 | |||||||
| 2–8 °C light protected | 1 mg/mL | thiotepa | 0.95 ± 1.08 | thiotepa | 99.03 ± 1.01 | thiotepa | 100.20 ± 1.16 | thiotepa | 99.14 ± 1.11 | thiotepa | 99.38 ± 0.89 | thiotepa | 98.37 ± 1.06 |
| sec. peak 1 | n.d. | sec. peak 1 | n.d. | sec. peak 1 | n.d. | sec. peak 1 | ≤0.2% (0.14%) | sec. peak 1 | n.d. | sec. peak 1 | n.d. | ||
| 2 mg/mL | thiotepa | 1.94 ± 0.79 | thiotepa | 100.31 ± 0.83 | thiotepa | 100.02 ± 0.81 | thiotepa | 99.25 ± 0.78 | thiotepa | 100.13 ± 0.77 | thiotepa | 99.31 ± 0.89 | |
| sec. peak 1 | ≤0.2% (0.17%) | sec. peak 1 | ≤0.2% (0.14%) | sec. peak 1 | ≤0.2% (0.12%) | sec. peak 1 | ≤0.2% (0.14%) | sec. peak 1 | ≤0.2% (0.14%) | sec. peak 1 | ≤0.2% (0.14%) | ||
| 3 mg/mL | thiotepa | 2.85 ± 1.96 | thiotepa | 99.68 ± 2.09 | thiotepa | 100.61 ± 1.98 | thiotepa | 100.36 ± 2.17 | thiotepa | 100.62 ± 1.97 | thiotepa | 99.51 ± 2.14 | |
| sec. peak 1 | ≤0.2% (0.15%) | sec. peak 1 | ≤0.2% (0.12%) | sec. peak 1 | ≤0.2% (0.14%) | sec. peak 1 | ≤0.2% (0.15%) | sec. peak 1 | ≤0.2% (0.15%) | sec. peak 1 | ≤0.2% (0.11%) | ||
| 25 °C in daylight | 1 mg/mL | thiotepa | 0.94 ± 0.94 | thiotepa | 97.53 ± 1.13 | thiotepa | 97.14 ± 1.08 | thiotepa | 94.54 ± 1.18 | thiotepa | 93.30 ± 1.29 | thiotepa | 87.74 ± 1.29 |
| sec. peak 1 | ≤0.2% (0.14%) | sec. peak 1 | ≤0.2% (0.19%) | sec. peak 1 | ≥0.2% (0.29%) | sec. peak 1 | ≥0.2% (0.32%) | sec. peak 1 | ≥0.2% (0.36%) | sec. peak 1 | ≥0.2% (0.25%) | ||
| sec. peak 2 | n.d. | sec. peak 2 | n.d. | sec. peak 2 | n.d. | sec. peak 2 | n.d. | sec. peak 2 | ≤0.2% (0.12%) | sec. peak 2 | ≤0.2% (0.19%) | ||
| sec. peak 3 | n.d. | sec. peak 3 | n.d. | sec. peak 3 | n.d. | sec. peak 3 | n.d. | sec. peak 3 | n.d. | sec. peak 3 | ≤0.2% (0.12%) | ||
| 2 mg/mL | thiotepa | 1.92 ± 0.53 | thiotepa | 99.43 ± 0.21 | thiotepa | 97.27 ± 0.54 | thiotepa | 95.03 ± 0.62 | thiotepa | 94.56 ± 0.38 | thiotepa | 90.87 ± 2.98 | |
| sec. peak 1 | ≤0.2% (0.15%) | sec. peak 1 | ≥0.2% (0.28%) | sec. peak 1 | ≥0.2% (0.29%) | sec. peak 1 | ≥0.2% (0.30%) | sec. peak 1 | ≥0.2% (0.27%) | sec. peak 1 | ≥0.2% (0.24%) | ||
| sec. peak 3 | n.d. | sec. peak 3 | n.d. | sec. peak 3 | n.d. | sec. peak 3 | n.d. | sec. peak 3 | n.d. | sec. peak 3 | ≥0.2% (0.65%) | ||
| 3 mg/mL | thiotepa | 2.81 ± 2.86 | thiotepa | 99.67 ± 2.91 | thiotepa | 97.93 ± 2.74 | thiotepa | 97.03 ± 2.87 | thiotepa | 95.04 ± 2.88 | thiotepa | 91.33 ± 3.02 | |
| sec. peak 1 | ≤0.2% (0.13%) | sec. peak 1 | ≤0.2% (0.18%) | sec. peak 1 | ≤0.2% (0.2%) | sec. peak 1 | ≥0.2% (0.36%) | sec. peak 1 | ≥0.2% (0.37%) | sec. peak 1 | ≤0.2% (0.16%) | ||
| sec. peak 2 | n.d. | sec. peak 2 | n.d. | sec. peak 2 | n.d. | sec. peak 2 | n.d. | sec. peak 2 | n.d. | sec. peak 2 | ≥0.2% (0.85%) | ||
| pH-values of thiotepa | |||||||||||||
| 2–8 °C light protected | 1 mg/mL | 6.7 ± 4.8 | 7.0 ± 1.9 | 6.9 ± 2.5 | 6.8 ± 1.7 | 7.1 ± 2.0 | 7.3 ± 1.3 | ||||||
| 2 mg/mL | 6.5 ± 4.2 | 6.9 ± 4.9 | 7.0 ± 2.9 | 7.4 ± 2.8 | 7.4 ± 1.1 | 7.0 ± 2.9 | |||||||
| 3 mg/mL | 6.3 ± 0.3 | 7.2 ± 0.2 | 7.1 ± 1.2 | 7.1 ± 0.5 | 7.1 ± 1.4 | 7.1 ± 0.4 | |||||||
| 25 °C in daylight | 1 mg/mL | 6.4 ± 2.0 | 7.2 ± 0.2 | 7.1 ± 0.4 | 7.1 ± 0.2 | 7.1 ± 0.1 | 7.2 ± 0.2 | ||||||
| 2 mg/mL | 6.5 ± 2.8 | 7.0 ± 0.9 | 7.1 ± 1.7 | 7.3 ± 0.2 | 7.4 ± 0.5 | 7.5 ± 0.4 | |||||||
| 3 mg/mL | 6.2 ± 0.5 | 7.2 ± 0.8 | 7.3 ± 0.5 | 7.4 ± 0.5 | 7.5 ± 0.4 | 7.6 ± 0.2 | |||||||
| Storage Conditions | Initial Thiotepa Concentration | Percentage Rate of the Initial Thiotepa Concentration ± RSD [%] (Concentration at d 0 = 100%) | |||||||||||
|---|---|---|---|---|---|---|---|---|---|---|---|---|---|
| [mg/mL] ± RSD [%] | Peak Area of Impurities [%] in Relation to Thiotepa Peak Area | ||||||||||||
| n = 9 | |||||||||||||
| Nominal | Measured (d 0) | d 1 | d 3 | d 5 | d 7 | d 14 | |||||||
| 2–8 °C light protected | 1 mg/mL | thiotepa | 0.98 ± 2.04 | thiotepa | 99.10 ± 2.13 | thiotepa | 98.60 ± 2.15 | thiotepa | 98.25 ± 2.02 | thiotepa | 97.38 ± 2.25 | thiotepa | 96.68 ± 2.11 |
| monochloro-adduct | n.d. | monochloro-adduct | n.d. | monochloro-adduct | n.d. | monochloro-adduct | n.d. | monochloro-adduct | n.d. | monochloro-adduct | n.d. | ||
| 2 mg/mL | thiotepa | 1.92 ± 0.24 | thiotepa | 99.01 ± 0.30 | thiotepa | 99.01 ± 0.75 | thiotepa | 98.86 ± 0.37 | thiotepa | 99.21 ± 0.64 | thiotepa | 97.54 ± 0.67 | |
| sec. peak 1 | n.d. | sec. peak 1 | ≤0.2% (0.10%) | sec. peak 1 | ≤0.2% (0.10%) | sec. peak 1 | n.d. | sec. peak 1 | n.d. | sec. peak 1 | n.d. | ||
| monochloro-adduct | n.d. | monochloro-adduct | n.d. | monochloro-adduct | n.d. | monochloro-adduct | n.d. | monochloro-adduct | n.d. | monochloro-adduct | n.d. | ||
| 3 mg/mL | thiotepa | 2.90 ± 1.08 | thiotepa | 100.22 ± 0.80 | thiotepa | 99.87 ± 0.75 | thiotepa | 100.69 ± 1.58 | thiotepa | 99.59 ± 1.71 | thiotepa | 98.86 ± 0.88 | |
| monochloro-adduct | n.d. | monochloro-adduct | n.d. | monochloro-adduct | n.d. | monochloro-adduct | n.d. | monochloro-adduct | n.d. | monochloro-adduct | n.d. | ||
| 25 °Cin daylight | 1 mg/mL | thiotepa | 0.97 ± 1.98 | thiotepa | 98.33 ± 2.05 | thiotepa | 98.12 ± 1.55 | thiotepa | 95.48 ± 1.78 | thiotepa | 94.09 ± 1.96 | thiotepa | 91.40 ± 4.18 |
| sec. peak 1 | ≤0.2% (0.10%) | sec. peak 1 | n.d. | sec. peak 1 | n.d. | sec. peak 1 | n.d. | sec. peak 1 | n.d. | sec. peak 1 | n.d. | ||
| sec. peak 3 | n.d. | sec. peak 3 | n.d. | sec. peak 3 | n.d. | sec. peak 3 | n.d. | sec. peak 3 | n.d. | sec. peak 3 | ≥0.2% (0,59%) | ||
| monochloro-adduct | n.d. | monochloro-adduct | n.d. | monochloro-adduct | ≤0.6% (0.10%) | monochloro-adduct | ≤0.6% (0.6%) | monochloro-adduct | ≥ 0.6% (1.58%) | monochloro-adduct | ≥0.6% (3.46%) | ||
| 2 mg/mL | thiotepa | 1.92 ± 0.73 | thiotepa | 98.69 ± 0.47 | thiotepa | 97.58 ± 0.85 | thiotepa | 96.57 ± 0.48 | thiotepa | 95.51 ± 0.57 | thiotepa | 88.69 ± 1.06 | |
| sec. peak 1 | n.d. | sec. peak 1 | ≤0.2% (0.10%) | sec. peak 1 | n.d. | sec. peak 1 | n.d. | sec. peak 1 | n.d. | sec. peak 1 | n.d. | ||
| sec. peak 3 | n.d. | sec. peak 3 | n.d. | sec. peak 3 | n.d. | sec. peak 3 | n.d. | sec. peak 3 | n.d. | sec. peak 3 | ≥0.2% (0,26%) | ||
| monochloro-adduct | n.d. | monochloro-adduct | n.d. | monochloro-adduct | n.d. | monochloro-adduct | n.d. | monochloro-adduct | ≤0.6% (0.47%) | monochloro-adduct | ≥0.6% (0.87%) | ||
| 3 mg/mL | thiotepa | 2.84 ± 0.23 | thiotepa | 99.64 ± 0.30 | thiotepa | 97.90 ± 0.21 | thiotepa | 98.12 ± 1.32 | thiotepa | 95.20 ± 0.12 | thiotepa | d 28 * 76.98 ± 0.63 | |
| sec. peak 3 | n.d. | sec. peak 3 | n.d. | sec. peak 3 | n.d. | sec. peak 3 | n.d. | sec. peak 3 | n.d. | sec. peak 3 | ≥0.2% (2.94%) | ||
| sec. peak 4 | n.d. | sec. peak 4 | n.d. | sec. peak 4 | n.d. | sec. peak 4 | n.d. | sec. peak 4 | n.d. | sec. peak 4 | ≥0.2% (0.74%) | ||
| monochloro-adduct | n.d. | monochloro-adduct | n.d. | monochloro-adduct | n.d. | monochloro-adduct | ≤0.6% (0.18%) | monochloro-adduct | ≤0.6% (0.34%) | monochloro-adduct | ≥0.6% (3.77%) | ||
| pH-values of thiotepa | |||||||||||||
| 2–8 °C light protected | 1 mg/mL | 6.8 ± 3.2 | 7.0 ± 2.3 | 6.8 ± 3.5 | 6.8 ± 2.2 | 6.8 ± 2.0 | 7.0 ± 1.6 | ||||||
| 2 mg/mL | 6.7 ± 1.9 | 6.9 ± 1.3 | 6.9 ± 2.0 | 6.5 ± 2.3 | 6.8 ± 2.3 | 7.0 ± 0.7 | |||||||
| 3 mg/mL | 6.4 ± 1.4 | 6.8 ± 0.7 | 6.6 ± 1.7 | 6.7 ± 0.3 | 6.9 ± 0.4 | 7.2 ± 0.3 | |||||||
| 25 °C in daylight | 1 mg/mL | 6.3 ± 1.2 | 6.9 ± 1.3 | 7.4 ± 1.0 | 7.5 ± 0.6 | 7.7 ± 0.3 | 7.9 ± 0.1 | ||||||
| 2 mg/mL | 6.4 ± 1.1 | 7.1 ± 0.8 | 7.7 ± 3.1 | 7.9 ± 0.9 | 8.0 ± 0.1 | 8.2 ± 0.2 | |||||||
| 3 mg/mL | 6.4 ± 0.6 | 6.8 ± 1.3 | 7.8 ± 1.0 | 8.1 ± 0.4 | 8.1 ± 0.3 | 8.3 ± 0.2 | |||||||
Disclaimer/Publisher’s Note: The statements, opinions and data contained in all publications are solely those of the individual author(s) and contributor(s) and not of MDPI and/or the editor(s). MDPI and/or the editor(s) disclaim responsibility for any injury to people or property resulting from any ideas, methods, instructions or products referred to in the content. |
© 2023 by the authors. Licensee MDPI, Basel, Switzerland. This article is an open access article distributed under the terms and conditions of the Creative Commons Attribution (CC BY) license (https://creativecommons.org/licenses/by/4.0/).
Share and Cite
Linxweiler, H.; Thiesen, J.; Krämer, I. Physicochemical Stability of Generic Thiotepa Concentrate and Ready-to-Administer Infusion Solutions for Conditioning Treatment. Pharmaceutics 2023, 15, 309. https://doi.org/10.3390/pharmaceutics15020309
Linxweiler H, Thiesen J, Krämer I. Physicochemical Stability of Generic Thiotepa Concentrate and Ready-to-Administer Infusion Solutions for Conditioning Treatment. Pharmaceutics. 2023; 15(2):309. https://doi.org/10.3390/pharmaceutics15020309
Chicago/Turabian StyleLinxweiler, Helen, Judith Thiesen, and Irene Krämer. 2023. "Physicochemical Stability of Generic Thiotepa Concentrate and Ready-to-Administer Infusion Solutions for Conditioning Treatment" Pharmaceutics 15, no. 2: 309. https://doi.org/10.3390/pharmaceutics15020309
APA StyleLinxweiler, H., Thiesen, J., & Krämer, I. (2023). Physicochemical Stability of Generic Thiotepa Concentrate and Ready-to-Administer Infusion Solutions for Conditioning Treatment. Pharmaceutics, 15(2), 309. https://doi.org/10.3390/pharmaceutics15020309
