Sign in to use this feature.

Years

Between: -

Subjects

remove_circle_outline
remove_circle_outline
remove_circle_outline
remove_circle_outline
remove_circle_outline
remove_circle_outline
remove_circle_outline
remove_circle_outline
remove_circle_outline

Journals

remove_circle_outline
remove_circle_outline
remove_circle_outline
remove_circle_outline
remove_circle_outline
remove_circle_outline
remove_circle_outline
remove_circle_outline
remove_circle_outline
remove_circle_outline
remove_circle_outline
remove_circle_outline
remove_circle_outline
remove_circle_outline
remove_circle_outline
remove_circle_outline
remove_circle_outline
remove_circle_outline
remove_circle_outline
remove_circle_outline
remove_circle_outline
remove_circle_outline
remove_circle_outline
remove_circle_outline
remove_circle_outline
remove_circle_outline

Article Types

Countries / Regions

remove_circle_outline
remove_circle_outline
remove_circle_outline
remove_circle_outline
remove_circle_outline
remove_circle_outline

Search Results (4,317)

Search Parameters:
Keywords = physicochemical stability

Order results
Result details
Results per page
Select all
Export citation of selected articles as:
16 pages, 2475 KB  
Article
Assessing the Crucial Role of Marine Fog in Early Soil Development and Biocrust Dynamics in the Atacama Desert
by María del Pilar Fernandez-Murillo, Erasmo Cifuentes, Antonia Beggs, Marlene Manzano, Ignacio Gutiérrez-Cortez, Constanza Vargas, Camilo del Río and Fernando D. Alfaro
Soil Syst. 2026, 10(1), 12; https://doi.org/10.3390/soilsystems10010012 - 13 Jan 2026
Abstract
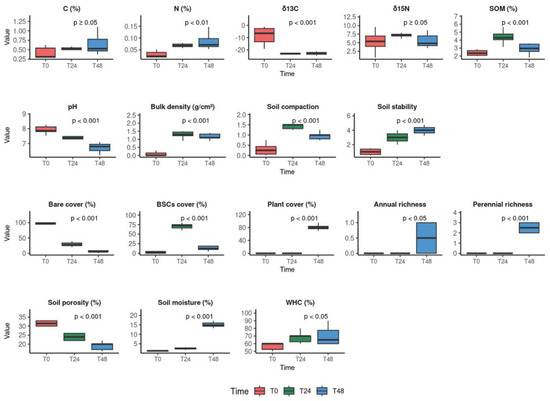
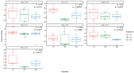
Marine fog is a key non-rainfall water source that sustains microbial activity and transports dissolved nutrients inland, influencing early soil development in hyperarid ecosystems. However, the mechanisms through which sustained fog inputs drive soil surface modification and biocrust formation remain poorly understood. This [...] Read more.
Marine fog is a key non-rainfall water source that sustains microbial activity and transports dissolved nutrients inland, influencing early soil development in hyperarid ecosystems. However, the mechanisms through which sustained fog inputs drive soil surface modification and biocrust formation remain poorly understood. This study evaluated the effects of long-term fog augmentation on soil surface development, biocrust dynamics, and associated microbial communities in the Atacama Desert. We implemented a four-year fog addition field experiment with three sampling times (T0, T24, T48) to assess changes in soil physicochemical properties, biocrust composition, and the integrated multi-diversity of archaea, bacteria, fungi and protist. Sustained fog input transformed bare soils into biological soil crusts, particularly lichen- and moss-dominated stages. This transition was accompanied by increases in soil nitrogen, variations in organic matter accumulation, a shift from alkaline to near-neutral pH, and improvements in soil stability and water retention. Multi-diversity increased over time and was positively associated with ecosystem variables linked to water availability, structural stabilization, and decomposition. These functions, integrated into an ecosystem multifunctionality index, also increased under prolonged fog input, revealing a positive relationship between multifunctionality and multi-diversity. Overall, the results demonstrate that sustained fog input strongly enhances early soil surface development and biocrust establishment, highlighting the ecological importance of marine fog in shaping biodiversity and ecosystem functioning in hyperarid landscapes. Full article
(This article belongs to the Special Issue Microbial Community Structure and Function in Soils)
Show Figures

Graphical abstract

22 pages, 3584 KB  
Article
Photocatalytic Performance of the Synergetic Coupling of NiO-MgO Nanostructures on a g-C3N4 Composite Towards Methylene Blue Under Visible-Light Irradiation
by Shaojun Hao, Siew Wen Ching, Timm Joyce Tiong, Yeow Hong Yap and Chao-Ming Huang
J. Compos. Sci. 2026, 10(1), 45; https://doi.org/10.3390/jcs10010045 - 13 Jan 2026
Abstract
In this study, a ternary Ni/Mg/g-C3N4 composite was synthesized via a controlled precipitation–calcination route and evaluated for its visible-light-assisted degradation of methylene blue (MB). The structural, morphological, and optical characteristics of the composites were systematically investigated using XRD, FT-IR, FESEM, [...] Read more.
In this study, a ternary Ni/Mg/g-C3N4 composite was synthesized via a controlled precipitation–calcination route and evaluated for its visible-light-assisted degradation of methylene blue (MB). The structural, morphological, and optical characteristics of the composites were systematically investigated using XRD, FT-IR, FESEM, BET, and UV–Vis analyses. The results confirmed the successful construction of Ni/Mg/g-C3N4 heterojunctions with strong interfacial coupling and enhanced surface porosity. Among all samples, the Ni/Mg/CN20 composite exhibited the highest activity, achieving 66% MB degradation within 180 min under visible light. This superior performance was attributed to synergistic effects arising from efficient interfacial charge transfer, broadened light absorption, and abundant active sites. The composite also displayed excellent thermal stability. This work demonstrates that the rational control of g-C3N4 loading plays a decisive role in tuning the physicochemical and catalytic properties of Ni/Mg/g-C3N4 composites. The findings provide new insights into the design of cost-effective, thermally stable, and high-performance photocatalysts for visible-light-driven wastewater treatment. Full article
(This article belongs to the Section Composites Applications)
Show Figures

Figure 1

18 pages, 5223 KB  
Article
Biodegradability and Ecotoxicity Profiles of Choline Acetate, Betaine, and L-Proline NADESs: A Hidden Threat for Eutrophication?
by Nandish M. Nagappa, Angelica Mero, Elena Husanu, Zeba Usmani, Matteo Oliva, Matilde Vieira Sanches, Giorgia Fumagalli, Andrea Mele, Andrea Mezzetta, Nicholas Gathergood, Lorenzo Guazzelli, Carlo Pretti and Yevgen Karpichev
Molecules 2026, 31(2), 262; https://doi.org/10.3390/molecules31020262 - 12 Jan 2026
Abstract
Deep Eutectic Solvents (DESs), particularly Naturally Available Deep Eutectic Solvents (NADESs), are increasingly regarded as green solvents due to their low vapor pressure, non-flammability, thermal stability, strong solvent power, and low toxicity. In line with Green Chemistry principles, the use of renewable and [...] Read more.
Deep Eutectic Solvents (DESs), particularly Naturally Available Deep Eutectic Solvents (NADESs), are increasingly regarded as green solvents due to their low vapor pressure, non-flammability, thermal stability, strong solvent power, and low toxicity. In line with Green Chemistry principles, the use of renewable and biocompatible components such as amino acids, lipids, and naturally derived acids enables the development of more sustainable solvent systems. This study addresses the need for environmentally safer NADESs by evaluating their physico-chemical suitability and environmental impact. Fifteen NADESs were prepared using naturally derived components and assessed for environmental safety. Biodegradability was evaluated using the OECD 301D Closed Bottle Test (CBT), while toxicity toward Raphidocelis subcapitata was examined to characterize ecotoxicological behavior. The results demonstrated that the synthesized NADESs exhibit high biodegradability levels and low toxicity toward microalgae. Toxicity control indicated no significant inhibition of microbial activity during biodegradation, suggesting favorable environmental compatibility. Overall, the findings indicate that the NADESs represent more sustainable solvent alternatives with low toxicological profiles. However, the potential role of these compounds in enhancing eutrophication processes cannot be excluded and warrants further investigation. Full article
(This article belongs to the Section Green Chemistry)
Show Figures

Graphical abstract

34 pages, 2404 KB  
Review
Novel Applications of Starch and Starch Derivatives in the Food and Alcoholic Beverages Industry: A Review
by Alice Vilela, Berta Gonçalves, Carla Gonçalves, Fernanda Cosme and Teresa Pinto
Foods 2026, 15(2), 277; https://doi.org/10.3390/foods15020277 - 12 Jan 2026
Abstract
Starch and its derivatives have undergone substantial advancement in the food and beverage industry, driven by growing demand for improved functionality and health-promoting attributes. Native starches are widely used as thickeners and stabilizers; however, their applications are limited by deficiencies such as poor [...] Read more.
Starch and its derivatives have undergone substantial advancement in the food and beverage industry, driven by growing demand for improved functionality and health-promoting attributes. Native starches are widely used as thickeners and stabilizers; however, their applications are limited by deficiencies such as poor freeze–thaw stability. To overcome these constraints, a range of physical, chemical, and enzymatic modification techniques has been developed, yielding starches with tailored and enhanced properties. Recent innovations include polyphenol-modified starches, which improve physicochemical characteristics and confer additional health benefits, such as reduced digestibility and increased antioxidant activity—features that are particularly valuable for functional foods targeting hyperglycemia. Enzymatic modifications further enhance starch quality and processing efficiency, while chemically modified forms, such as oxidized and acetylated starches, improve emulsification and water-binding capacities in various processed foods. Starch nanoparticles have also gained attention as encapsulating agents and carriers for bioactive compounds, broadening their technological applications. In parallel, the exploration of unconventional starch sources derived from fruit-processing by-products supports sustainability efforts while introducing novel functional attributes. Collectively, these developments are contributing to the creation of healthier, more stable food products that align with consumer expectations and regulatory standards. The following sections of this article examine emerging applications of starch and its derivatives, with particular emphasis on their health benefits and sustainable production pathways. Full article
(This article belongs to the Special Issue Starch: Properties and Functionality in Food Systems)
Show Figures

Figure 1

19 pages, 4774 KB  
Article
Valorization of Orange Peels for Pectin Extraction from BARI Malta-1 (Sweet Orange): A Green Approach for Sustainable Utilization of Citrus Waste
by M. A. A. Shofi Uddin Sarkar, Md Murshed Bhuyan and Sharmeen Nishat
Polysaccharides 2026, 7(1), 8; https://doi.org/10.3390/polysaccharides7010008 - 12 Jan 2026
Abstract
The agro-industrial valorization of citrus waste represents a promising avenue to employ underutilized bioresources. This research investigated the potential of the peels of BARI malta 1 (sweet orange), a widely grown variety in Bangladesh, as a viable and new source for pectin extraction. [...] Read more.
The agro-industrial valorization of citrus waste represents a promising avenue to employ underutilized bioresources. This research investigated the potential of the peels of BARI malta 1 (sweet orange), a widely grown variety in Bangladesh, as a viable and new source for pectin extraction. Pectin is a polysaccharide, having extensive applications in the pharmaceuticals, cosmetics, and food business as a thickening, texturizer, emulsifier, gelling agent, and stabilizer. This study investigated the optimum extraction conditions for maximum yield, characterization, and physicochemical properties of the obtained pectin and compared the results with the pectin obtained from other sources. Comprehensive characterization through Fourier-Transform Infrared Spectroscopy (FTIR), Nuclear Magnetic Resonance (NMR) spectroscopy, X-ray diffraction (XRD), thermogravimetric analysis (TGA), Differential Scanning Calorimetry (DSC), and Field Emission Scanning Electron Microscopy (FESEM) confirmed the structural identity, crystallinity, thermal stability, and morphological features of the extracted pectin. Physicochemical properties, including moisture content, ash content, equivalent weight, methoxyl content, and degree of esterification, indicate the suitability and superiority of the extracted pectin for industrial applications. This research approach not only supports eco-friendly processing of citrus waste but also opens avenue for circular economy initiatives in Bangladesh. Full article
Show Figures

Figure 1

16 pages, 1908 KB  
Article
Effects of Milling Methods on the Physicochemical Properties of Rice Flour from Indica, Japonica, and Glutinous Rice
by Chunlei Zheng, Zhenzhen Ren, Limin Li and Xueling Zheng
Foods 2026, 15(2), 275; https://doi.org/10.3390/foods15020275 - 12 Jan 2026
Abstract
This study evaluated the effects of three milling methods, which are dry, semi-dry, and wet milling, on the physicochemical, thermal, and rheological properties of three types of broken rice (indica, japonica, and glutinous rice). The aim was to evaluate how these milling methods [...] Read more.
This study evaluated the effects of three milling methods, which are dry, semi-dry, and wet milling, on the physicochemical, thermal, and rheological properties of three types of broken rice (indica, japonica, and glutinous rice). The aim was to evaluate how these milling methods affect key flour characteristics, including starch damage, particle size distribution, swelling power, solubility, and gelatinization behavior. Dry milling resulted in the highest degree of starch damage, leading to increased solubility and swelling power, but also a reduction in gelatinization temperature and paste viscosity. Semi-dry milling exhibited moderate starch damage, enhanced thermal stability, and superior functional properties in comparison to dry milling. Wet milling, while minimizing starch damage, produced finer particles but resulted in lower swelling power and solubility. The results also indicated that Japonica rice exhibited the least starch damage, followed by Indica and Glutinous rice. These findings provide important insights into optimizing milling techniques for high-quality rice flour production, particularly for gluten-free food products. Overall, milling method substantially modulates structure and function relations in rice flour, and semi-dry and wet milling preserve starch integrity better than dry milling. These results provide practical guidance for selecting milling strategies to tailor flour functionality for specific rice-based products. Full article
(This article belongs to the Section Grain)
Show Figures

Graphical abstract

19 pages, 2693 KB  
Article
Physicochemical Properties and Fatty Acid Profiling of Texturized Pea Protein Patties Partially Replaced with Chia Seed Powder During Refrigerated Storage
by Kartik Sharma, Aminee Saree, Ramida Jeenplangchat, Haymar Theinzan, Samart Sai-Ut, Passakorn Kingwascharapong, Supatra Karnjanapratum and Saroat Rawdkuen
Foods 2026, 15(2), 270; https://doi.org/10.3390/foods15020270 - 12 Jan 2026
Abstract
The increasing demand for sustainable, nutrient-dense plant-based foods has intensified interest in functional ingredients that enhance nutritional quality. This study developed plant-based patties by partially replacing texturized pea protein with chia seed powder (CSP; Salvia hispanica L.) and evaluated their quality during 20 [...] Read more.
The increasing demand for sustainable, nutrient-dense plant-based foods has intensified interest in functional ingredients that enhance nutritional quality. This study developed plant-based patties by partially replacing texturized pea protein with chia seed powder (CSP; Salvia hispanica L.) and evaluated their quality during 20 days of refrigerated storage (4 °C) under nitrogen-flushed packaging. Six formulations (F1–F6) containing 0–25% CSP were evaluated for physicochemical properties, lipid oxidation, and nutritional composition. Based on an optimal balance of texture, cooking yield, antioxidant capacity, and nutritional enhancement, the formulation containing 20% CSP was selected for further analyses. Proximate analysis revealed significant increases in protein (18–21%), fat (9–12%), and ash (2–3%) contents, accompanied by a slight reduction in moisture. All formulations maintained a stable pH throughout storage. Lipid oxidation increased gradually from 0.10–0.17 to 0.89–1.10 mg MDA/kg over 20 days but remained within acceptable limits. Fatty acid profiling indicated enhanced polyunsaturated fatty acids, particularly omega-3 and omega-6. Amino acid analysis showed elevated levels of key amino acids, including glutamic acid, aspartic acid, arginine, leucine, and lysine. Overall, patties containing 20% CSP exhibited improved nutritional quality and satisfactory oxidative stability, highlighting CSP as a promising functional ingredient for plant-based meat alternatives. Full article
Show Figures

Figure 1

16 pages, 3692 KB  
Article
Study on the Molecular Mechanism of Interaction Between Perfluoroalkyl Acids and PPAR by Molecular Docking
by Renli Wei, Huiping Xiao, Jie Fu, Yin Luo and Pengfei Wang
Toxics 2026, 14(1), 67; https://doi.org/10.3390/toxics14010067 - 11 Jan 2026
Viewed by 38
Abstract
Per- and polyfluoroalkyl substances (PFASs), as a class of “permanent chemicals” with high environmental persistence and bioaccumulation, have attracted much attention. In this study, we focused on the molecular mechanism of the interaction between perfluoroalkyl acids (PFAAs) and peroxisome proliferator-activated receptor δ (PPARδ). [...] Read more.
Per- and polyfluoroalkyl substances (PFASs), as a class of “permanent chemicals” with high environmental persistence and bioaccumulation, have attracted much attention. In this study, we focused on the molecular mechanism of the interaction between perfluoroalkyl acids (PFAAs) and peroxisome proliferator-activated receptor δ (PPARδ). Using molecular docking, binding free energy calculation, and structural analysis, we systematically investigated the binding modes, key amino acid residues, and binding energies of 20 structurally diverse PFAAs with PPARδ. The results showed that the binding energies of PFAAs with PPARδ were significantly affected by the molecular weight, the number of hydrogen bond donors, and the melting point of PFAAs. PFAAs with smaller molecular weights and fewer hydrogen bond donors showed stronger binding affinity. The binding sites were concentrated in high-frequency amino acid residues such as TRP-256, ASN-269, and GLY-270, and the interaction forces were dominated by hydrogen and halogen bonds. PFAAs with branched structure of larger molecular weight (e.g., 3m-PFOA, binding energy of −2.92 kcal·mol−1; 3,3m2-PFOA, binding energy of −2.45 kcal·mol−1) had weaker binding energies than their straight-chain counterparts due to spatial site-blocking effect. In addition, validation group experiments further confirmed the regulation law of binding strength by physicochemical properties. In order to verify the binding stability of the key complexes predicted by molecular docking, and to investigate the dynamic behavior under the conditions of solvation and protein flexibility, molecular dynamics simulations were conducted on PFBA, PFOA, 3,3m2-PFOA, and PFHxA. The results confirmed the dynamic stability of the binding of the high-affinity ligands selected through docking to PPARδ. Moreover, the influence of molecular weight and branched structure on the binding strength was quantitatively verified from the perspectives of energy and RMSD trajectories. The present study revealed the molecular mechanism of PFAAs interfering with metabolic homeostasis through the PPARδ pathway, providing a theoretical basis for assessing its ecological and health risks. Full article
(This article belongs to the Section Emerging Contaminants)
Show Figures

Graphical abstract

30 pages, 2675 KB  
Article
Synergistic Interactions and Short-Term Impact of Tillage Systems on Soil Physico-Chemical Properties and Organic Carbon Sequestration in North-Eastern Romania
by Segla Serginho Cakpo, Mariana Rusu, Cosmin Ghelbere, Gabriel Dumitru Mihu, Tudor George Aostăcioaei, Ioan Boti, Gerard Jităreanu and Denis Țopa
Agriculture 2026, 16(2), 179; https://doi.org/10.3390/agriculture16020179 - 10 Jan 2026
Viewed by 91
Abstract
Tillage practices regulate soil health by influencing soil’s physico-chemical qualities and its capacity to sequester organic carbon. Maintaining soil health contributes to ecosystem stability and fluidity in the soil–plant–atmosphere relationship. This study aimed to evaluate soil porosity (SP), aeration limit (SAL), soil capillary [...] Read more.
Tillage practices regulate soil health by influencing soil’s physico-chemical qualities and its capacity to sequester organic carbon. Maintaining soil health contributes to ecosystem stability and fluidity in the soil–plant–atmosphere relationship. This study aimed to evaluate soil porosity (SP), aeration limit (SAL), soil capillary capacity (SCC), soil total capacity (STC), soil temperature (Ts), air temperature (Ta), nutrient availability, soil organic carbon (SOC), and soil organic matter (SOM) under three different tillage systems: no-tillage (NT), minimum tillage (MT), and conventional tillage (CT), based on a short-term field experiment. This research was conducted on Cambic Chernozem soil using a randomized complete block design with three replications. The results revealed a significant effect of tillage systems on all evaluated properties. SP reached a higher value under MT (60.01%), NT (56.74%) and CT (53.58%), respectively. This observation is similar with regard to SAL, SCC, and STC. It might be due to the reduced soil disturbance characteristics of conservation systems, thereby maintaining the soil’s natural state. There is a positive regression between these two properties across all three systems, with the highest R2 = 0.8308 observed under MT. The highest carbon stocks were recorded in NT (2.82%) and MT (2.91%) compared to 2.01% in CT at surface depths of 0–5 and 5–10 cm. This can be explained by the accumulation of organic residues and a reduction in their oxidation. Nutrient availability (TN, P, and K) increased at depths of 0–5 cm and 5–10 cm, with the highest values in conservation systems. Furthermore, the results demonstrate a significant relationship and positive synergy between soil depth, tillage practices, and key physical and chemical soil properties, especially carbon stock, across the two cropping seasons. Full article
21 pages, 2856 KB  
Article
Influence of pH and Heat Treatment on the Physicochemical, Interfacial, and Emulsifying Properties of Hemp Seed Protein Dispersions
by Davide Odelli, Lingxin You, Jennyfer Fortuin, Jérôme Bour, Marcus Iken, Axel Archaimbault and Christos Soukoulis
Foods 2026, 15(2), 257; https://doi.org/10.3390/foods15020257 - 10 Jan 2026
Viewed by 100
Abstract
This study reports the effect of pH (2, 7, 10) and heat treatment (80 °C for 30 min) on the oil–water (o/w) interfacial behavior of hemp seed protein isolate (HPI) aqueous dispersions. The physicochemical, interfacial adsorption, rheology, and emulsifying properties of protein dispersions [...] Read more.
This study reports the effect of pH (2, 7, 10) and heat treatment (80 °C for 30 min) on the oil–water (o/w) interfacial behavior of hemp seed protein isolate (HPI) aqueous dispersions. The physicochemical, interfacial adsorption, rheology, and emulsifying properties of protein dispersions were evaluated. HPI dispersions at pH 10 exhibited the highest water solubility (60%), the greatest net charge (−27 mV), and the lowest hydrophobicity (~5 a.u.), promoting o/w interfacial pressure (π) and interfacial viscoelasticity. Strong interfacial viscoelastic protein layers (E* = 25 mN/m) were also observed under acidic conditions (pH 2), where proteins exhibited high solubility (40%), a high positive net charge (21 mV), and increased hydrophobicity (46 a.u.). HPI dispersions in their neutral state (pH 7) were not able to form stable o/w emulsions due to their poor physicochemical properties such as low solubility (18%), low surface charge (−18 mV), and hydrophobicity (~5 a.u.). Heat treatment significantly increased the charge and hydrophobicity of both neutral and alkaline proteins (~30 mV and ~10 a.u., respectively), increasing their particle size distribution and ultimately reducing their interfacial protein layer elasticity (E* = 20 and 13 nM/m, respectively). While particles at acidic conditions showed high thermal resistance, heat treatment improved the emulsifying stability in alkaline conditions while further reducing it in the neutral state. Overall, HPI dispersions demonstrated the ability to form stable emulsions at both alkaline and acid pHs, with those formed at pH 2 exhibiting a lower droplet size and superior stability. Full article
(This article belongs to the Special Issue Research Trends in Plant-Based Foods)
Show Figures

Figure 1

44 pages, 1670 KB  
Review
Synergistic Interactions Between Bacteria-Derived Metabolites and Emerging Technologies for Meat Preservation
by Carlos Alberto Guerra, André Fioravante Guerra and Marcelo Cristianini
Fermentation 2026, 12(1), 43; https://doi.org/10.3390/fermentation12010043 - 10 Jan 2026
Viewed by 235
Abstract
Considering the challenges associated with implementing emerging technologies and bacterial-derived antimicrobial metabolites at an industrial scale in the meat industry, this comprehensive review investigates the interactions between lactic acid bacteria-producing antimicrobial metabolites and emerging food preservation technologies applied to meat systems. By integrating [...] Read more.
Considering the challenges associated with implementing emerging technologies and bacterial-derived antimicrobial metabolites at an industrial scale in the meat industry, this comprehensive review investigates the interactions between lactic acid bacteria-producing antimicrobial metabolites and emerging food preservation technologies applied to meat systems. By integrating evidence from microbiology, food engineering, and molecular physiology, the review characterizes how metabolites-derived compounds exert inhibitory activity through pH modulation, membrane permeabilization, disruption of proton motive force, and interference with cell wall biosynthesis. These biochemical actions are evaluated in parallel with the mechanistic effects of high-pressure processing, pulsed electric fields, cold plasma, irradiation, pulsed light, ultrasound, ohmic heating and nanotechnology. Across the literature, consistent patterns of synergy emerge: many emerging technologies induce structural and metabolic vulnerabilities in microbial cells, thereby amplifying the efficacy of antimicrobial metabolites while enabling reductions in process intensity. The review consolidates these findings to elucidate multi-hurdle strategies capable of improving microbial safety, extending shelf life, and preserving the physicochemical integrity of meat products. Remaining challenges include optimizing combinational parameters, ensuring metabolite stability within complex matrices, and aligning integrated preservation strategies with regulatory and industrial constraints. Full article
(This article belongs to the Special Issue Microbial Fermentation: A Sustainable Approach to Food Production)
Show Figures

Figure 1

48 pages, 5811 KB  
Article
Natural and Anthropogenic Risk Factors of Discontinuous Ground Deformations: A Conceptual Framework for Hazard Analysis: Part I—Predisposing Conditions
by Lucyna Florkowska, Izabela Bryt-Nitarska, Elżbieta Pilecka and Karolina Białasek
Appl. Sci. 2026, 16(2), 708; https://doi.org/10.3390/app16020708 - 9 Jan 2026
Viewed by 102
Abstract
Discontinuous ground deformations represent one of the most critical geohazards affecting both natural and anthropogenically transformed environments. These processes pose a serious threat to infrastructure stability and land-use planning, as they can lead to severe structural damage and long-term ground instability. Effective geotechnical [...] Read more.
Discontinuous ground deformations represent one of the most critical geohazards affecting both natural and anthropogenically transformed environments. These processes pose a serious threat to infrastructure stability and land-use planning, as they can lead to severe structural damage and long-term ground instability. Effective geotechnical hazard management requires an integrated understanding of geological structures, deformation mechanisms, and the legacy of historical subsurface transformations influencing current and future ground behaviour. This paper—the first part of a two-part series—introduces an extended three-channel conceptual–probabilistic model and outlines its causal structure, integrating predisposing, triggering, and causative factors. The present study focuses exclusively on the theoretical foundations of the model and on the hierarchical classification of thirteen key predisposing factors defining the long-term susceptibility of the rock mass (S(A)). These include both structural and physicochemical controls such as karst voids, weak interfaces, hydro-mechanical activity, and near-surface weathering. The proposed approach provides a physically consistent conceptual basis for representing the interactions among the three causal domains. The second part of the series will address triggering and causative domains and will discuss methodological and implementation aspects of the model within the completed causal structure. Full article
(This article belongs to the Special Issue Sustainable Research on Rock Mechanics and Geotechnical Engineering)
15 pages, 5559 KB  
Article
Performance of Bio-Based Foam Packaging for Frozen Fried Chicken Storage
by HyeRyeong Choi, Anuja P. Rananavare and Youn Suk Lee
Foods 2026, 15(2), 242; https://doi.org/10.3390/foods15020242 - 9 Jan 2026
Viewed by 150
Abstract
Structural and physicochemical deterioration in frozen foods is largely driven by ice crystal formation and growth during storage. Although biofoams offer sustainable alternatives to plastic packaging, bio-based systems designed to mitigate ice crystal-induced quality loss remain limited. In this study, a sodium alginate-based [...] Read more.
Structural and physicochemical deterioration in frozen foods is largely driven by ice crystal formation and growth during storage. Although biofoams offer sustainable alternatives to plastic packaging, bio-based systems designed to mitigate ice crystal-induced quality loss remain limited. In this study, a sodium alginate-based biofoam was synthesized via a facile one-pot method and evaluated for frozen fried chicken packaging. Its moisture, mechanical, and optical properties were compared with those of conventional plastic and paper packaging. The quality of frozen fried chicken was assessed in terms of moisture absorption, color, texture, pH, lipid oxidation (TBARs), and the overall appearance under different freezing conditions. The alginate biofoam exhibited exceptionally high moisture absorption (>2400%) due to its porous and hydrophilic structure, enabling effective moisture management during frozen storage. Samples packaged with the biofoam showed reduced moisture loss, lower lipid oxidation, and improved color and surface texture stability compared with conventional packaging, particularly under freeze–thaw conditions. These findings demonstrate that sodium alginate-based biofoam is a promising eco-friendly packaging material for maintaining the physicochemical quality of frozen ready-to-eat foods. Full article
Show Figures

Figure 1

16 pages, 2571 KB  
Article
A Nanoparticle-Based Strategy to Stabilize 5-Azacytidine and Preserve DNA Demethylation Activity in Human Cardiac Fibroblasts
by Kantaporn Kheawfu, Chuda Chittasupho, Sudarshan Singh, Siriporn Okonogi and Narainrit Karuna
Pharmaceutics 2026, 18(1), 88; https://doi.org/10.3390/pharmaceutics18010088 - 9 Jan 2026
Viewed by 171
Abstract
Background: 5-Azacytidine (5-Aza) is a clinically important DNMT inhibitor with the potential to modulate cardiac remodeling by epigenetically reprogramming human cardiac fibroblasts (HCFs). However, its clinical utility is limited by rapid hydrolytic degradation. Nanoparticle (NP) encapsulation offers a strategy to mitigate this instability. [...] Read more.
Background: 5-Azacytidine (5-Aza) is a clinically important DNMT inhibitor with the potential to modulate cardiac remodeling by epigenetically reprogramming human cardiac fibroblasts (HCFs). However, its clinical utility is limited by rapid hydrolytic degradation. Nanoparticle (NP) encapsulation offers a strategy to mitigate this instability. This study evaluated the physical and chemical stability of free 5-Aza and 5-Aza-loaded lipid nanoparticles (5-Aza-NP) under different storage temperatures and examined their effects on DNA methylation-related gene expression in HCFs. Methods: Hyaluronic acid-stabilized lipid NPs were prepared using a solvent displacement method. Particle size, polydispersity index (PDI), and zeta potential were monitored over four days at −20 °C, 4 °C, and 30 °C. Chemical stability was assessed using HPLC and first-order kinetic modeling. Functional activity was evaluated by treating HCFs with free 5-Aza or 5-Aza-NP stored for 96 h and measuring DNMT1, DNMT3A, and DNMT3B expression by RT-qPCR. Results: 5-Aza-NP remained physically stable at 4 °C, while −20 °C induced aggregation and 30 °C caused thermal variability. Free 5-Aza degraded rapidly at 30 °C (6.56% remaining at 72 h), whereas 5-Aza-NP preserved 11.54%. Kinetic modeling confirmed first-order degradation, with consistently longer half-lives for the NP formulation. Functionally, 5-Aza–NP preserved its ability to suppress DNMT1 expression following 96 h of storage at 4 °C, whereas free 5-Aza showed reduced activity. In contrast, DNMT3A and DNMT3B levels remained low and unchanged across all treatments. Conclusions: NP encapsulation enhances the physicochemical stability of 5-Aza and preserves its DNMT1-inhibitory activity, while DNMT3A/B remain unaffected. These findings support NP-based delivery as a promising strategy to stabilize labile epigenetic drugs such as 5-Aza. Full article
Show Figures

Figure 1

23 pages, 1396 KB  
Article
Physicochemical and Sensory Evaluation of Dark Chocolate Enriched with Aloe vera-Derived Polysaccharide
by Veronika Kotrcová, Ekambaranellore Prakash, Marcela Sluková, Jana Čopíková and Natália Palugová
Polysaccharides 2026, 7(1), 6; https://doi.org/10.3390/polysaccharides7010006 - 9 Jan 2026
Viewed by 154
Abstract
The demand for clean-label functional foods has increased interest in natural polysaccharides with health benefits. Acemannan, an O-acetylated glucomannan from Aloe vera, possesses antioxidant, immunomodulatory, and prebiotic activities, but its performance in fat-based systems is not well understood. This study examined the [...] Read more.
The demand for clean-label functional foods has increased interest in natural polysaccharides with health benefits. Acemannan, an O-acetylated glucomannan from Aloe vera, possesses antioxidant, immunomodulatory, and prebiotic activities, but its performance in fat-based systems is not well understood. This study examined the incorporation of acemannan into dark chocolate at 1% and 5% (w/w) and its effects on physicochemical, rheological, antioxidant, and sensory properties. Particle size distribution remained within acceptable limits, though the 5% sample showed a larger mean size and broader span. Rheological tests confirmed shear-thinning behavior, with the higher concentration increasing viscosity at low shear and reducing it at high shear. Antioxidant activity measured by the DPPH assay showed modest improvement in enriched samples. Consumer tests with 30 panelists indicated a strong preference (89%) for the 1% formulation, which maintained a smooth mouthfeel and balanced sensory characteristics, while the 5% sample displayed more fruity and earthy notes with lower acceptance. GC–MS analysis revealed altered volatile profiles, and FTIR spectroscopy confirmed acemannan stability in the chocolate matrix. These findings demonstrate that acemannan can be incorporated into dark chocolate up to 1% as a multifunctional, structurally stable polysaccharide ingredient without compromising product quality. Full article
Show Figures

Graphical abstract

Back to TopTop