Polypeptide-Based Systems: From Synthesis to Application in Drug Delivery
Abstract
1. Introduction
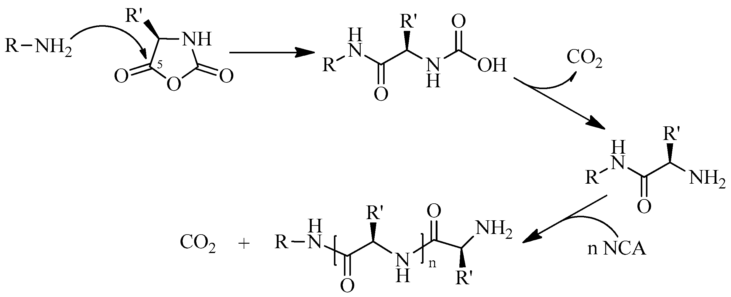
2. Synthetic Polypeptides and Their Copolymers
2.1. Homopolypeptides
2.2. Copolypeptides
2.3. Block-Polypeptides and Hybrid Polypeptide-Containing Block-Copolymers
| Block Copolymers | Synthetic Pathway | Mn | Ref. | |
|---|---|---|---|---|
| Non-Polypeptide Block | Polypeptide Block | |||
| PEO-b-PTyr | Coupling | 5000 | 6160–6980 | [88] |
| PEG-b-PLys | NAM ROP by NH2-terminated macroI | 2000 | 35,700 | [97] |
| PEG-b-P(Lys-co-Phe) | NAM ROP by NH2-terminated macroI | 2000 | 31,300–36,900 | [97] |
| PEO-b-P(Glu/Lys-co-Phe) | NAM ROP by NH2-terminated macroI | 2000/5000 | 24,200–4100 | [98] |
| PEO-b-P(Glu/Lys-co-Phe) | NAM ROP by NH2-terminated macroI | 2000 | 5400–8100 | [98] |
| PCL-b-PEG-b-PGlu(OBzl) | NAM ROP by NH2-terminated macroI | 2300 | 15,000 | [99] |
| PEG-b-P(Lys-co-Leu) | NAM ROP by NH2-terminated macroI | 2000 | 6500–11,000 | [100] |
| PEG-b-PGlu(OBzl) | NAM ROP by NH2-terminated macroI | 5000 | 7200 | [101] |
| PEG-b-P(Lys-co-Glu(OBzl)) | NAM ROP by NH2-terminated macroI | 5000 | 9600 | [102] |
| PEG-b-P(γ-propargyl-Glu) | NAM ROP by NH2-terminated macroI | 5000/10,000 | 11,200–16,200 | [102] |
| mPEG-b-P(D,L-Leu) | NAM ROP by NH2-terminated macroI | 5000 | 5800–6400 | [103] |
| PEG-b-P(Cys-co-Phe) | NAM ROP by NH2-terminated macroI | 5000 | 7400–8200 | [104] |
| PEG-b-POrn | NAM ROP by NH2-terminated macroI | 10,000 | 13,500 | [105] |
| PEG-b-PCys(SCbz) | NAM ROP by NH2-terminated macroI | 5000 | 8500 | [106] |
| PEG-b-PGlu(OBzl) | NAM ROP by NH2-terminated macroI | 5000 | 7700 | [106] |
| mPEO-b-PCys-b-PHis | NAM ROP by NH2-terminated macroI | 10,000 | 15,700–16,100 | [107] |
| PEG-b-PLys | NAM ROP by NH2-terminated macroI | 5000 | <17,000 | [108] |
| mPEG-b-PGlu(EEO2) | NAM ROP by NH2-terminated macroI | 1450–4500 | 3000–14,800 | [96] |
| PCys(Bzl)-b-PEG-b-PCys(Bzl) PCys(Me)-b-PEG-b-PCys(Me) | NAM ROP by NH2-terminated macroI | 3400; 8000 3400 | 5000–11,500 4500–5900 | [95] |
| Hyaluronan-b-PGlu(OBzl) | Coupling of blocks | 3650 | 8700 | [89] |
| Dextran-b-PGlu(OBzl) | Coupling of blocks | 6600 | 19,600 | [90] |
| PMAG-b-P(Lys-co-Phe) | NAM ROP by NH2-terminated macroI | 10,700/25,500 | 25,900–34,500 | [109] |
| PMAG-b-PGlu(OBzl) | NAM ROP by NH2-terminated macroI | 5300–23,300 | 6550–23,300 | [110] |
| PMAG-b-PIle | NAM ROP by NH2-terminated macroI | 5300–23,300 | 26,800–31,200 | [110] |
| PMAG-b-PPhe | NAM ROP by NH2-terminated macroI | 10,600 | 16,000 | [111] |
| PNIPAAm-b-PGlu | NAM ROP by NH2-terminated macroI | 7700 | 10,500 | [112] |
| PE-b-PLys | NAM ROP by NH2-terminated macroI | 17,000 | 29,500–52,500 | [113] |
| PEOX-b-PGlu | NAM ROP by NH-terminated macroI | 14,000 | 21,000 | [114] |
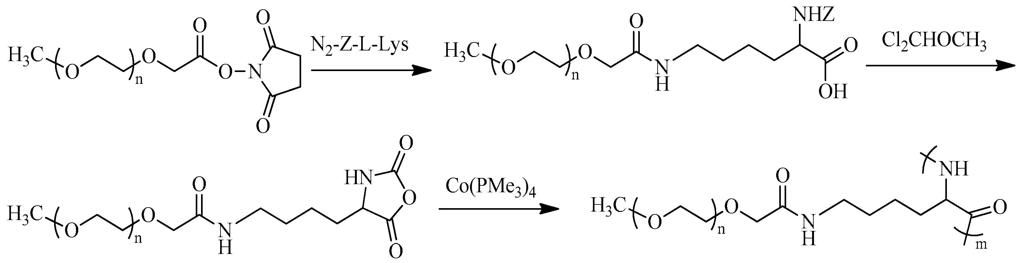
2.4. Dendrimers, Hyperbranched, and Star-Shaped Copolymers
3. Polypeptide-Based Nanoparticles
3.1. Diversity of Polypeptide-Based Nanoparticle Morphology
3.1.1. Micelles
3.1.2. Polymersomes
3.1.3. Vesicles
3.1.4. Nanogels
| Copolymer | Formation | DH, DLS (nm) | TEM/AFM (nm) | PDI | Ref. |
|---|---|---|---|---|---|
| PEG-b-P(Glu-co-Cys) | Cross-linking | 107 | 43 | [215] | |
| PEG-b-P(Phe-co-Cys) | Hydrophobic interactions + cross-linking | 105–256 a | 68–210 | [216] | |
| PEG-b-P(Phe-co-Cys)/DOX | Hydrophobic interactions + cross-linking | 104; 146 | 0.31 | [217,218] | |
| PEG-b-P(Lys-co-Ala)/HA | Hydrophobic + ionic intercations | 160–220 b | [219] | ||
| PEG-b-P(Glu-co-Glu(PheOMe)) | Hydrophobic interactions + Ca2+ cross-linking | 72 | 28 | 0.11 | [220] |
| PSar-b-P(Phe-co-DCys) | Hydrophobic interactions +cross-linking | 86–130 c | 0.15–0.41 | [221] | |
| P(Glu-co-Glu(OSu))/DOX, P(Glu-co-Glu(OSu))-g-PEG/DOX | Hydrophobic interactions | 142–168 c | 0.17–0.25 | [222] | |
| P(Lys-co-Phe) | Hydrophobic interactions | 110–220 c | 30 | 0.08–0.15 | [51,214] |
| P(Glu-co-Phe) | Hydrophobic interactions | 90–250 c | 50–121 | 0.16–0.27 | [51,60,214] |
| P(Lys-co-Aib) | Hydrophobic interactions | 185–294 c | 0.18–0.24 | [52] | |
| PMAG-b-(PLys-co-Phe) | Hydrophobic interactions | 170–290 c | 0.22–0.36 | [109] |
3.1.5. Nanospheres
3.1.6. Polyplexes
3.1.7. Dendrimers and Dendrimers-Based Nanoparticles
3.2. Methods for Preparation of Nanoparticles and Drug Nanoformulations
3.2.1. Nanoparticles from Pre-Synthesized Polypeptides and Polypeptide-Containing Copolymers
Nanoprecipitation
Gradient Phase Inversion (Dialysis)
Direct Dissolution
Rehydration of Films
Emulsification Methods
Electrospraying
Complexation
3.2.2. Formation of Polypeptide Nanoparticles during Polymerization
Self-Assembly Induced by Polymerization
Miniemulsion Polymerization

Reactive Spray-Drying
3.3. Properties of Polypeptide Nanoparticles and Their Formulations
3.3.1. Colloidal Stability
3.3.2. Chemical Stability and Polypeptide Degradability
3.3.3. Cell Uptake, Cytotoxicity, and Specific Targeting
3.3.4. Hemolysis and Tissue Permeability
3.3.5. Immunogenicity and Toxicity
4. Polypeptide-Based Hydrogels
5. Application as Drug Delivery Systems
5.1. Cancer Treatment
| Polypeptide–Based Copolymer | Delivery form | Drug | Properties | Ref. |
|---|---|---|---|---|
| PEG-b-PGlu/Ca2+ | pH-responsive nanoparticles | Doxorubicin | DH = 206 nm; increased release of encapsulated DOX at pH 5.5; Effective inhibition of K7 cells (IC50 = 0.15 µg/mL); predominant accumulation of DOX formulation in tumor; the tumor suppression rate in the K7 osteosarcoma-allografted mice was about 80% | [369] |
| PEG-b-P(Glu-co-Phe) | Nanoparticles | Doxorubicin | DH = 140 nm; DOX loading efficiency is almost 98%; A pH-responsive release; high inhibition of A549 compared with free DOX; increased tumor accumulation, reduced toxicity and higher antitumor efficacy compared to free DOX at the same dose | [177] |
| PEG-b-PCys(StBu) | Reduction- responsive micelles | Doxorubicin | Average diameter ˂ 100 nm; low rate of DOX release in buffer and rapid release in GSH-containing media; Selective accumulation of the delivery system in tumors of the orthotopic xenograft mice; reduced distribution in heart | [311,312] |
| PEG-b-P(Tyr-co-Tyr(LA))/ cRGD-PEG-b-PTyr | Reduction- responsive micelles | Doxorubicin | cRGD-decorated redox-responsive DOX encapsulated micelles; DH = 45 nm (PDI = 0.04–0.17); reduction-triggered DOX release (up to 80% for 40 h in presence of GSH); effective suppression of human breast tumor growth in mice at 6 mg DOX/kg; absence of visible side effects | [190] |
| mPEG-b-PGlu | pH-responsive nanorods | Doxorubicin | DOX-loaded nanorod size: L = 280 nm, D = 44 nm; release of encapsulated DOX enhanced at pH 5.0 (up to 80% for 120 h); more effective inhibition of cancer cells than with the use of free DOX; sustained release and concentration maintenance in plasma compared to free DOX in vivo | [439] |
| PLeu-b-PEG-b-PLeu; P(D,L-Leu)-b-PEG-b-P(D,L-Leu) | Micelles | Doxorubicin | DH = 211 nm for levorotatory and 179 nm for racemic polypeptide bearing copolymers; sustained DOX release from both systems; a system with racemic polypeptide blocks demonstrated slower DOX release and enhanced tumor inhibition efficacy in the Saos-2-xenografted female BALB/c nude mice | [93] |
| PEG-b-PLeu | Reduction- responsive micelles | Doxorubicin | DH = 160 nm; high DOX loading efficiency; reductive-responsive release of DOX due to PEG block cleavage; low cytotoxicity of micelles and effective internalization of the delivery systems into cancer cells | [103] |
| PAsp-b-PEG-b-PAsp | pH-responsive micelles | Doxorubicin | Electrostatic DOX loading; DH~60 nm (PDI = 0.2); loading capacity of 70% (w/w) at a drug/polymer ratio of 0.5 at pH 7.0; accelerated release at acidic pH; reduced blood clearance | [94] |
| PEG-b-PGlu-b-PHis-b-PLeu/ PEG-b-LyP-1-peptide/Ca2+ | pH-responsive micelles | Doxorubicin | LyP-1-peptide: CysGlyAsnLysArgThrArgGlyCys; LyP-1 is an active targeting moiety to gC1qR receptor; pH-sensitive aconityl linkage between PEG and polypeptide fragments contributes to the increased release at pH 5.0; DH up to 200 nm; effective accumulation in MDA-MB-231 breast cancer cells; profound inhibitory effect in an in vitro metastasis inhibition model | [356] |
| Tat-ELP-GlyPheLeuGlyCys | Thermally- responsive conjugate | Doxorubicin | Cys-linked DOX conjugate; phase transition range of DOX-polypeptide conjugate was 37–42 °C; a 20-fold increase in cytotoxicity was observed for DOX-polypeptide conjugates when combined with hyperthermia | [444] |
| PEG-b-PLys(NA) | Esterase-responsive vesicles | Doxorubicin | DH~100 nm; degradation initiated by esterase hydrolysis of phenolic acetate moieties indices vesicles reorganization and promotes DOX release; selective cytotoxicity in the high-esterase-expressive cancer cells over the low-esterase-expressive cells such as normal fibroblasts; effective suppression of tumor growth in BALB/c human cervical tumor-bearing mice | [445] |
| P(SI-co-SI(Lys))-g-PAsp | pH-responsive nanogels | Doxorubicin | DH = 132 nm (PDI = 0.18); DOX conjugation through pH-responsive hydrazone bond; resistance to nonspecific protein adsorption; enhanced drug release under acidic conditions | [440] |
| PGlu(OBzl)-b-PMPC | Micelles | Doxorubicin | DH = 79 nm (PDI = 0.10); high stability over time; enhanced DOX release at acidic conditions; fast internalization by cancer cells, effective tumor growth inhibition and reduced systemic toxicity in BALB/c mice | [446] |
| P(Lys-co-bAC-co-DMMA) | Reduction- and pH-responsive micelles | Doxorubicin | DH = 80–90 nm; change in micelle surface charge from negative at normal pH to positive at tumor extracellular pH; increased DOX release in a reductive intracellular environment; low cytotoxicity of blank micelles; high growth inhibition against HeLa cells | [343] |
| His12/MOF | pH-responsive hybrid nanoparticles | Doxorubicin | Zn2+/2-methylimidazole (Im) MOF; DH = 100–300 nm depending on Im/Zn2+ ratio; pH-responsive drug release at pH 6.3; Enhanced cellular uptake | [447] |
| PAsp/Fe-Zn | Microrockets | Doxorubicin | Improved stomach delivery, DOX penetration and enhanced retention | [448] |
| mPEG-b-P(Lys-co-Lys(Chol)) | Nanoparticles | Doxorubicin | DH~130–230 nm for spherical NPs; chemically conjugated DOX; pH-switchable rod/spherical morphology; temperature/pH dual responsiveness during in vitro release; low cytotoxicity to normal cells; targeting and significant proliferation inhibition of cancer cells | [108] |
| mPEO-b-PHis-b-PCys | Micelles | Doxorubicin | DH~120–210 nm depending on copolymer composition and drug loading; antiproliferative activity of DOX-loaded NPs was comparable to free DOX in three breast cancer cell lines (MCF-7, T-47D, and MDA-MB231) | [107] |
| P(Glu-co-Phe) | Nanogels | Doxorubicin | DH = 150 nm (PDI = 0.36); more effective cell penetration in comparison with submicron-sized CaCO3+Dextran sulfate particles; effective inhibition activity of nanoformulations toward breast cancer cells (MCF7); sustained DOX release in vivo (rats) for 3 weeks after intraperitoneal administration | [449] |
| mPEG-b-P(Glu-co-Glu(OEtCl)); mPEG-b-P(Glu-co-Glu(OEtCl)), crosslinked with Na2Se2 | Micelles; X-ray-responsive nanogels | Doxorubicin | DH~90–110 nm; X-ray-responsive Se−Se bond in nanogels; enhanced DOX release after X-ray irradiation due to nanogel disintegration; a synergistic effect of chemo- and radiotherapy and fewer side effects toward human A549 lung carcinoma-bearing nude mice | [450] |
| PEG-b-PCys | Reduction- and pH-responsive micelles | Camptothecin | DH = 73–182 nm depending on composition and S-S-cross-linking; dual stimuli-triggered intracellular CPT release; improved inhibition activity of nanoformulation at pH 6.5 (for 31.8-fold to 0.61 µg CPT/mL compared to control) | [309] |
| P(Lys-co-Lys-g-PEG)-b-PPhe | Reduction and pH-sensitive micelles | Camptothecin | DH~260 nm; PEG-detachable corona; micelles stable in the absence of reducing agents; drug release of 89% at pH 7.4 and 94% at pH 6.5 in the presence of ditiotreitol reducing agent; prolonged blood circulation and enhanced accumulation in tumor in vivo | [83] |
| γPGlu-b-PFK | Nanoparticles | Lonidamine | PFK: ProLys(PheLys)5Pro β-sheet peptide; DH = 17–28 nm depending on PFK amount; high LND loading (73–99%); empty NPs non-cytotoxic to CaCo-2 at low PFK amount (~10 wt%) | [258] |
| Mal-PEG-b-PGlu | Vesicles | Cisplatin | DH~270 nm; modification of vesicles with thiol-functionalized folic acid; triggered CP release in acidic conditions (pH 5); dose-dependent cytotoxicity towards cancer cells compared to normal cells; higher cellular uptake of FA-modified vesicles | [354] |
| PMAG-b-PGlu(OBzl), PMAG-b-Ile and PMAG-b-P(Lys-co-Phe) | Reduction-responsive micelles and polymersomes | Paclitaxel | DH = 170–290 nm depending on composition (PDI = 0.22–0.36); PMAG-block was linked through disulfide bonds; absence of cytotoxicity of empty polymer systems to normal cells; low uptake by macrophages by PMAG-containing delivery systems; high inhibition activity of PTX-loaded nanoformulations in different cancer cells | [109,110] |
| P(Lys-co-Phe)/HEP; P[Glu-co-Glu(Phe/Ile)-co-Glu(Arg/Orn)-co-Glu(Glc)] | Nanogels; Nanoparticles | Paclitaxel | DH = 155–240 nm depending on composition; low cytotoxicity and uptake by macrophages; high inhibition efficiency against breast cancer (MCF-7) and lung adenocarcinoma cancer cells (A549) | [71,110] |
| P(Glu(OEt))-b-PEG-b-P(Glu(OEt)) | Thermoresponsive hydrogel | Paclitaxel | Thermo-responsive gelation; biocompatibility and elimination of hydrogels within 21 days after subcutaneous injection into mice; effective tumor growth suppression by PTX incorporated hydrogels without evident organ damage | [92] |
| PLys-b-PLeu | Polymersomes | Irinotecan | DH = 200 nm; loading of irinotecan by pH gradient method; enzyme-triggered drug release; cellular uptake of polymersomes; high stability and low cytotoxicity; Intracellular drug delivery; effective inhibition of CaCo-2 cell growth | [80] |
| PEOX-b-PGlu | Nanoparticles | Irinotecan | DH = 91 nm drug-NPs conjugated delivery systems; chemical conjugation enhanced CT26 cell death compared to free drug; improved drug stability and solubility | [114] |
5.2. Gene Delivery
5.3. Antimicrobial Systems
5.4. Anti-Inflammatory and Antioxidant Systems
5.5. Protein and Peptide Delivery
6. Summary and Perspectives
Author Contributions
Funding
Institutional Review Board Statement
Informed Consent Statement
Data Availability Statement
Conflicts of Interest
Abbreviations
References
- Ezike, T.C.; Okpala, U.S.; Onoja, U.L.; Nwike, C.P.; Ezeako, E.C.; Okpara, O.J.; Okoroafor, C.C.; Eze, S.C.; Kalu, O.L.; Odoh, E.C.; et al. Advances in drug delivery systems, challenges and future directions. Heliyon 2023, 9, e17488. [Google Scholar] [CrossRef] [PubMed]
- Khalid, M.; Abdollahi, M. Toxicity of inorganic nanoparticles. Compr. Anal. Chem. 2022, 99, 25–85. [Google Scholar]
- Santos, H.A.; Bimbo, L.M.; Peltonen, L.; Hirvonen, J. Inorganic Nanoparticles in Targeted Drug Delivery and Imaging. In Targeted Drug Delivery: Concepts and Design; Devarajan, P., Jain, S., Eds.; Springer Nature: Berlin, Germany, 2015; pp. 571–613. [Google Scholar]
- Aguilera-Correa, J.J.; Esteban, J.; Vallet-Regí, M. Inorganic and Polymeric Nanoparticles for Human Viral and Bacterial Infections Prevention and Treatment. Nanomaterials 2021, 11, 137. [Google Scholar] [CrossRef]
- Lu, H.; Zhang, S.; Wang, J.; Chen, Q. A Review on Polymer and Lipid-Based Nanocarriers and Its Application to Nano-Pharmaceutical and Food-Based Systems. Front. Nutr. 2021, 8, 783831. [Google Scholar] [CrossRef]
- Sung, Y.K.; Kim, S.W. Recent advances in polymeric drug delivery systems. Biomater. Res. 2020, 24, 12. [Google Scholar] [CrossRef]
- Meng, F.; Zhong, Z.; Feijen, J. Stimuli-Responsive Polymersomes for Programmed Drug Delivery. Biomacromolecules 2009, 10, 197–209. [Google Scholar] [CrossRef]
- Noreen, S.; Ma, J.-X.; Saeed, M.; Pervaiz, F.; Hanif, M.F.; Ahmed, B.; Farooq, M.I.; Akram, F.; Safdar, M.; Madni, A.; et al. Natural polysaccharide-based biodegradable polymeric platforms for transdermal drug delivery system: A critical analysis. Drug Deliv. Transl. Res. 2022, 12, 2649–2666. [Google Scholar] [CrossRef] [PubMed]
- Li, S.; Vert, M. Biodegradation of Aliphatic Polyesters. In Degradable Polymers; Springer: Dordrecht, The Netherlands, 2002; pp. 71–131. [Google Scholar]
- Sinitsyna, E.; Bagaeva, I.; Gandalipov, E.; Fedotova, E.; Korzhikov-Vlakh, V.; Tennikova, T.; Korzhikova-Vlakh, E. Nanomedicines Bearing an Alkylating Cytostatic Drug from the Group of 1,3,5-Triazine Derivatives: Development and Characterization. Pharmaceutics 2022, 14, 2506. [Google Scholar] [CrossRef] [PubMed]
- Fukushima, K. Poly(trimethylene carbonate)-based polymers engineered for biodegradable functional biomaterials. Biomater. Sci. 2016, 4, 9–24. [Google Scholar] [CrossRef]
- Shen, Y.; Fu, X.; Fu, W.; Li, Z. Biodegradable stimuli-responsive polypeptide materials prepared by ring opening polymerization. Chem. Soc. Rev. 2015, 44, 612–622. [Google Scholar] [CrossRef] [PubMed]
- Chen, F.; Teniola, O.R.; Laurencin, C.T. Biodegradable polyphosphazenes for regenerative engineering. J. Mater. Res. 2022, 37, 1417–1428. [Google Scholar] [CrossRef] [PubMed]
- Ferrari, R.; Sponchioni, M.; Morbidelli, M.; Moscatelli, D. Polymer nanoparticles for the intravenous delivery of anticancer drugs: The checkpoints on the road from the synthesis to clinical translation. Nanoscale 2018, 10, 22701–22719. [Google Scholar] [CrossRef] [PubMed]
- Wang, X.; Song, Z.; Wei, S.; Ji, G.; Zheng, X.; Fu, Z.; Cheng, J. Polypeptide-based drug delivery systems for programmed release. Biomaterials 2021, 275, 120913. [Google Scholar] [CrossRef] [PubMed]
- Cai, L.; Liu, S.; Guo, J.; Jia, Y.-G. Polypeptide-based self-healing hydrogels: Design and biomedical applications. Acta Biomater. 2020, 113, 84–100. [Google Scholar] [CrossRef]
- IUPAC-IUB Joint Commission on Biochemical Nomenclature. Nomenclature and symbolism for amino acids and peptides. Pure Appl. Chem. 1984, 56, 595–624. [Google Scholar] [CrossRef]
- Kim, M.S.; Dayananda, K.; Choi, E.K.; Park, H.J.; Kim, J.S.; Lee, D.S. Synthesis and characterization of poly(l-glutamic acid)-block-poly(l-phenylalanine). Polymer 2009, 50, 2252–2257. [Google Scholar] [CrossRef]
- Lee, D.; Rejinold, N.; Jeong, S.; Kim, Y.-C. Stimuli-Responsive Polypeptides for Biomedical Applications. Polymers 2018, 10, 830. [Google Scholar] [CrossRef] [PubMed]
- Bonduelle, C. Secondary structures of synthetic polypeptide polymers. Polym. Chem. 2018, 9, 1517–1529. [Google Scholar] [CrossRef]
- Rohmer, M.; Freudenberg, J.; Binder, W.H. Secondary Structures in Synthetic Poly(Amino Acids): Homo- and Copolymers of Poly(Aib), Poly(Glu), and Poly(Asp). Macromol. Biosci. 2023, 23, 344. [Google Scholar] [CrossRef]
- Wu, P.; Zhao, H.; Gou, X.; Wu, X.; Zhang, S.; Deng, G.; Chen, Q. Targeted delivery of polypeptide nanoparticle for treatment of traumatic brain injury. Int. J. Nanomed. 2019, 14, 4059–4069. [Google Scholar] [CrossRef]
- Liu, Y.; Li, D.; Ding, J.; Chen, X. Controlled synthesis of polypeptides. Chin. Chem. Lett. 2020, 31, 3001–3014. [Google Scholar] [CrossRef]
- Deming, T.J. Synthesis of Side-Chain Modified Polypeptides. Chem. Rev. 2016, 116, 786–808. [Google Scholar] [CrossRef] [PubMed]
- Feng, H.; Fabrizi, J.; Li, J.; Mayer, C. Syntheses of Polypeptides and Their Biomedical Application for Anti-Tumor Drug Delivery. Int. J. Mol. Sci. 2022, 23, 5042. [Google Scholar] [CrossRef]
- Zhang, K.; Diehl, M.R.; Tirrell, D.A. Artificial Polypeptide Scaffold for Protein Immobilization. J. Am. Chem. Soc. 2005, 127, 10136–10137. [Google Scholar] [CrossRef] [PubMed]
- Zhou, X.; Li, Z. Advances and Biomedical Applications of Polypeptide Hydrogels Derived from α-Amino Acid N-Carboxyanhydride (NCA) Polymerizations. Adv. Healthc. Mater. 2018, 7, 00020. [Google Scholar] [CrossRef] [PubMed]
- Kricheldorf, H.R. Polypeptides and 100 Years of Chemistry of α-Amino AcidN-Carboxyanhydrides. Angew. Chem. Int. Ed. 2006, 45, 5752–5784. [Google Scholar] [CrossRef] [PubMed]
- Hadjichristidis, N.; Iatrou, H.; Pitsikalis, M.; Sakellariou, G. Synthesis of Well-Defined Polypeptide-Based Materials via the Ring-Opening Polymerization of α-Amino Acid N-Carboxyanhydrides. Chem. Rev. 2009, 109, 5528–5578. [Google Scholar] [CrossRef]
- Idelson, M.; Blout, E.R. Polypeptides. XV. 1 Infrared Spectroscopy and the Kinetics of the Synthesis of Polypeptides: Primary Amine Initiated Reactions. J. Am. Chem. Soc. 1957, 79, 3948–3955. [Google Scholar] [CrossRef]
- Kricheldorf, H.R. Mechanism of the NCA-polymerization, 5. Catalysis by secondary amines. Die Makromol. Chem. 1977, 178, 1959–1970. [Google Scholar] [CrossRef]
- Fasman, G.D.; Idelson, M.; Blout, E.R. The Synthesis and Conformation of High Molecular Weight Poly-ε-carbobenzyloxy-L-lysine and Poly-L-lysine·HCl 1,2. J. Am. Chem. Soc. 1961, 83, 709–712. [Google Scholar] [CrossRef]
- González-Henríquez, C.M.; Sarabia-Vallejos, M.A.; Rodríguez-Hernández, J. Strategies to Fabricate Polypeptide-Based Structures via Ring-Opening Polymerization of N-Carboxyanhydrides. Polymers 2017, 9, 551. [Google Scholar] [CrossRef] [PubMed]
- Cheng, J.; Deming, T.J. Synthesis of Polypeptides by Ring-Opening Polymerization of α-Amino Acid N-Carboxyanhydrides. In Peptide-Based Materials. Topics in Current Chemistry; Deming, T., Ed.; Springer: Berlin, Heidelberg, 2012; Volume 310, pp. 1–26. [Google Scholar]
- Habraken, G.J.M.; Peeters, M.; Dietz, C.H.J.T.; Koning, C.E.; Heise, A. How controlled and versatile is N-carboxy anhydride (NCA) polymerization at 0 °C? Effect of temperature on homo-, block- and graft (co)polymerization. Polym. Chem. 2010, 1, 514–524. [Google Scholar] [CrossRef]
- Habraken, G.J.M.; Wilsens, K.H.R.M.; Koning, C.E.; Heise, A. Optimization of N-carboxyanhydride (NCA) polymerization by variation of reaction temperature and pressure. Polym. Chem. 2011, 2, 1322. [Google Scholar] [CrossRef]
- Dimitrov, I.; Schlaad, H. Synthesis of nearly monodisperse polystyrene–polypeptide block copolymers via polymerisation of N-carboxyanhydrides. Chem. Commun. 2003, 23, 2944–2945. [Google Scholar] [CrossRef]
- McMillan, R.A.; Conticello, V.P. Synthesis and Characterization of Elastin-Mimetic Protein Gels Derived from a Well-Defined Polypeptide Precursor. Macromolecules 2000, 33, 4809–4821. [Google Scholar] [CrossRef]
- Li, L.; Cen, J.; Li, W.; Pan, W.; Zhang, Y.; Yin, H.; Hu, J.; Liu, S. A General Strategy toward Synthesis of Well-Defined Polypeptides with Complex Chain Topologies. CCS Chem. 2022, 4, 3864–3877. [Google Scholar] [CrossRef]
- Lu, H.; Cheng, J. Hexamethyldisilazane-Mediated Controlled Polymerization of α-Amino Acid N-Carboxyanhydrides. J. Am. Chem. Soc. 2007, 129, 14114–14115. [Google Scholar] [CrossRef] [PubMed]
- Deming, T.J. Cobalt and Iron Initiators for the Controlled Polymerization of α-Amino Acid-N-Carboxyanhydrides. Macromolecules 1999, 32, 4500–4502. [Google Scholar] [CrossRef]
- Deming, T.J.; Curtin, S.A. Chain Initiation Efficiency in Cobalt- and Nickel-Mediated Polypeptide Synthesis. J. Am. Chem. Soc. 2000, 122, 5710–5717. [Google Scholar] [CrossRef]
- Goodwin, A.A.; Bu, X.; Deming, T.J. Reactions of α-amino acid-N-carboxyanhydrides (NCAs) with organometallic palladium(0) and platinum(0) compounds: Structure of a metallated NCA product and its role in polypeptide synthesis. J. Organomet. Chem. 1999, 589, 111–114. [Google Scholar] [CrossRef]
- Peng, Y.-L.; Lai, S.-L.; Lin, C.-C. Preparation of Polypeptide via Living Polymerization of Z-Lys-NCA Initiated by Platinum Complexes. Macromolecules 2008, 41, 3455–3459. [Google Scholar] [CrossRef]
- Seidel, S.W.; Deming, T.J. Use of Chiral Ruthenium and Iridium Amido−Sulfonamidate Complexes for Controlled, Enantioselective Polypeptide Synthesis. Macromolecules 2003, 36, 969–972. [Google Scholar] [CrossRef]
- Rasines Mazo, A.; Allison-Logan, S.; Karimi, F.; Chan, N.J.-A.; Qiu, W.; Duan, W.; O’Brien-Simpson, N.M.; Qiao, G.G. Ring opening polymerization of α-amino acids: Advances in synthesis, architecture and applications of polypeptides and their hybrids. Chem. Soc. Rev. 2020, 49, 4737–4834. [Google Scholar] [CrossRef] [PubMed]
- Blout, E.R.; DesRoches, M.E. The Preparation of High Molecular Weight Polypeptides 1. J. Am. Chem. Soc. 1959, 81, 370–372. [Google Scholar] [CrossRef]
- Fasman, G.D.; Blout, E.R. The Synthesis and the Conformation of Poly-L-serine and Poly-O-acetyl-L-serine 1,2. J. Am. Chem. Soc. 1960, 82, 2262–2267. [Google Scholar] [CrossRef]
- Lai, J.; Fu, W.; Zhu, L.; Guo, R.; Liang, D.; Li, Z.; Huang, Y. Fibril Aggregates Formed by a Glatiramer-Mimicking Random Copolymer of Amino Acids. Langmuir 2014, 30, 7221–7226. [Google Scholar] [CrossRef]
- Dmitrovic, V.; Habraken, G.J.M.; Hendrix, M.M.R.M.; Habraken, W.J.E.M.; Heise, A.; de With, G.; Sommerdijk, N.A.J. Random Poly(Amino Acid)s Synthesized by Ring Opening Polymerization as Additives in the Biomimetic Mineralization of CaCO3. Polymers 2012, 4, 1195–1210. [Google Scholar] [CrossRef]
- Zashikhina, N.; Sharoyko, V.; Antipchik, M.; Tarasenko, I.; Anufrikov, Y.; Lavrentieva, A.; Tennikova, T.; Korzhikova-Vlakh, E. Novel Formulations of C-Peptide with Long-Acting Therapeutic Potential for Treatment of Diabetic Complications. Pharmaceutics 2019, 11, 27. [Google Scholar] [CrossRef]
- Tarasenko, I.; Zashikhina, N.; Guryanov, I.; Volokitina, M.; Biondi, B.; Fiorucci, S.; Formaggio, F.; Tennikova, T.; Korzhikova-Vlakh, E. Amphiphilic polypeptides with prolonged enzymatic stability for the preparation of self-assembled nanobiomaterials. RSC Adv. 2018, 8, 34603–34613. [Google Scholar] [CrossRef]
- Saudek, V.; Stejskal, J.; Schmidt, P.; Zimmermann, K.; Škarda, V.; Kratochvíl, P.; Drobník, J. Correlation between the sequence-length distribution and structure of statistical copolymers ofL-valine and γ-benzyl-L-glutamate. Biopolymers 1987, 26, 705–725. [Google Scholar] [CrossRef]
- Kricheldorf, H.R.; Müller, D.; Hull, W.E. Secondary structure of peptides: 19. Primary/secondary structure relationships of leucine/valine copolypeptides prepared from α-amino acid N-carboxyanhydrides. Int. J. Biol. Macromol. 1986, 8, 20–26. [Google Scholar] [CrossRef]
- Ōya, M.; Takahashi, T. Copolymerization of N-carboxy N-carbobenzoxy L-lysine anhydride with N-carboxy β-benzyl L-aspartate anhydride in acetonitrile. J. Polym. Sci. Polym. Chem. Ed. 1982, 20, 529–539. [Google Scholar] [CrossRef]
- Kricheldorf, H.R.; Müller, D.; Hull, W.E. Secondary structure of peptides. 18.15N-nmr and13C-nmr CP/MAS investigation of the primary and secondary structure of (Ala/Val) copolypeptides. Biopolymers 1985, 24, 2113–2129. [Google Scholar] [CrossRef]
- Kumar, A. Copolymerization Kinetics of N-Carboxyanhydrides of ε-Benzyloxycarbonyl-L-Lysine and L-Valine. J. Macromol. Sci. Part A—Chem. 1987, 24, 707–710. [Google Scholar] [CrossRef]
- Volpe, R.A.; Frisch, H.L. Template effect on the copolymerization of L-alanine NCA and sarcosine NCA. Macromolecules 1987, 20, 1747–1752. [Google Scholar] [CrossRef]
- Kakinoki, S.; Kitamura, M.; Yuge, M.; Furuta, M.; Oka, M.; Hirano, Y.; Kono, K.; Kaetsu, I. Solution Property and Irradiation Effect of Random Copolypeptides Composed of Ala and Pro Residues. Polym. Bull. 2007, 58, 393–400. [Google Scholar] [CrossRef]
- Iudin, D.; Zashikhina, N.; Demyanova, E.; Korzhikov-Vlakh, V.; Shcherbakova, E.; Boroznjak, R.; Tarasenko, I.; Zakharova, N.; Lavrentieva, A.; Skorik, Y.; et al. Polypeptide self-assembled nanoparticles as delivery systems for polymyxins B and E. Pharmaceutics 2020, 12, 868. [Google Scholar] [CrossRef]
- Debabov, V.G.; Davydov, V.D.; Kosaganov, Y.N. Synthesis of poly-L-arginine and the statistical copolymer of L-arginine, L-lysine, and neutral amino acids. Chem. Nat. Compd. 1966, 2, 156–160. [Google Scholar] [CrossRef]
- Pilipenko, I.; Korovkina, O.; Gubina, N.; Ekimova, V.; Ishutinova, A.; Korzhikova-Vlakh, E.; Tennikova, T.; Korzhikov-Vlakh, V. Random Copolymers of Lysine and Isoleucine for Efficient mRNA Delivery. Int. J. Mol. Sci. 2022, 23, 5363. [Google Scholar] [CrossRef]
- Chen, Q.-R.; Zhang, L.; Stass, S.A.; Mixson, A.J. Co-polymer of histidine and lysine markedly enhances transfection efficiency of liposomes. Gene Ther. 2000, 7, 1698–1705. [Google Scholar] [CrossRef]
- Wamsley, A.; Jasti, B.; Phiasivongsa, P.; Li, X. Synthesis of random terpolymers and determination of reactivity ratios of N-carboxyanhydrides of leucine, β-benzyl aspartate, and valine. J. Polym. Sci. Part A Polym. Chem. 2004, 42, 317–325. [Google Scholar] [CrossRef]
- Théze, J.; Waltenbaugh, C.; Benacerraf, B. Correlation between structural characteristics and immunological properties of the terpolymer L-glutamic acid60-L-alanine30-L-tyrosine. Eur. J. Immunol. 1977, 7, 86–92. [Google Scholar] [CrossRef] [PubMed]
- Osipova, O.; Sharoyko, V.; Zashikhina, N.; Zakharova, N.; Tennikova, T.; Urtti, A.; Korzhikova-Vlakh, E. Amphiphilic polypeptides for VEGF siRNA delivery into retinal epithelial cells. Pharmaceutics 2020, 12, 39. [Google Scholar] [CrossRef]
- Zelzer, M.; Heise, A. Terpolymerization kinetics of amino acid N-carboxy anhydrides. J. Polym. Sci. Part A Polym. Chem. 2014, 52, 1228–1236. [Google Scholar] [CrossRef]
- Atreyi, M.; Rao, M.V.R.; Kumar, S. Copolymerization kinetics of N-carboxyanhydrides of some alfa-amino acids: Influence of nature of amino acids. Biopolymers 1983, 22, 747–753. [Google Scholar] [CrossRef]
- Deshmane, S.; Hayashi, T.; Sederel, W.; Anderson, J.M. The infuence of interchain compositional heterogeneity on the conformation in random copolymers of ?-benzyl-L-glutamate andL-valine. Biopolymers 1978, 17, 2851–2864. [Google Scholar] [CrossRef]
- Imanishi, Y. Polymerization of α-amino acid N-carboxyanhydride in the presence of preformed poly(α-amino acid)—From chain effect to stereoselective polymerization. Pure Appl. Chem. 1981, 53, 715–727. [Google Scholar] [CrossRef]
- Dzhuzha, A.Y.; Tarasenko, I.I.; Atanase, L.I.; Lavrentieva, A.; Korzhikova-Vlakh, E.G. Amphiphilic Polypeptides Obtained by the Post-Polymerization Modification of Poly(Glutamic Acid) and Their Evaluation as Delivery Systems for Hydrophobic Drugs. Int. J. Mol. Sci. 2023, 24, 1049. [Google Scholar] [CrossRef]
- Dzhuzha, A.; Gandalipov, E.; Korzhikov-Vlakh, V.; Katernyuk, E.; Zakharova, N.; Silonov, S.; Tennikova, T.; Korzhikova-Vlakh, E. Amphiphilic Polypeptides Obtained by Post-Polymerization Modification of Poly-l-Lysine as Systems for Combined Delivery of Paclitaxel and siRNA. Pharmaceutics 2023, 15, 1308. [Google Scholar] [CrossRef]
- Vdovchenko, A.A.; Hubina, A.V.; Vlakh, E.G.; Tennikova, T.B. Self-assembled polymer particles based on thermoresponsive biodegradable copolymers of amino acids. Mendeleev Commun. 2017, 27, 153–154. [Google Scholar] [CrossRef]
- Smith, J.D.; Cardwell, L.N.; Porciani, D.; Greenwald, A.J.; Ellis, A.C.; Schulte, M.C.; Wang, X.; Schoenherr, E.T.; Seim, G.F.; Anderson, J.E.; et al. Lipidated poly(amino acid) nanostructures as versatile therapeutic delivery vehicles. bioRxiv 2020. [Google Scholar] [CrossRef]
- Krannig, K.-S.; Schlaad, H. pH-Responsive Bioactive Glycopolypeptides with Enhanced Helicity and Solubility in Aqueous Solution. J. Am. Chem. Soc. 2012, 134, 18542–18545. [Google Scholar] [CrossRef] [PubMed]
- Perdih, P.; Čebašek, S.; Možir, A.; Žagar, E. Post-polymerization modification of poly(L-glutamic acid) with D -(+)-glucosamine. Molecules 2014, 19, 19751–19768. [Google Scholar] [CrossRef] [PubMed]
- Zhu, M.; Wu, Y.; Ge, C.; Ling, Y.; Tang, H. SO 2 -Induced Solution Phase Transition of Water-Soluble and α-Helical Polypeptides. Macromolecules 2016, 49, 3542–3549. [Google Scholar] [CrossRef]
- Guo, J.; Huang, Y.; Jing, X.; Chen, X. Synthesis and characterization of functional poly(γ-benzyl-l-glutamate) (PBLG) as a hydrophobic precursor. Polymer 2009, 50, 2847–2855. [Google Scholar] [CrossRef]
- Minoura, N.; Higuchi, M.; Kinoshita, T. Stimuli-responsive formation of helical polypeptide rod assemblies. Mater. Sci. Eng. C 1997, 4, 249–254. [Google Scholar] [CrossRef]
- Zashikhina, N.N.; Volokitina, M.V.; Korzhikov-Vlakh, V.A.; Tarasenko, I.I.; Lavrentieva, A.; Scheper, T.; Rühl, E.; Orlova, R.V.; Tennikova, T.B.; Korzhikova-Vlakh, E.G. Self-assembled polypeptide nanoparticles for intracellular irinotecan delivery. Eur. J. Pharm. Sci. 2017, 109, 1–12. [Google Scholar] [CrossRef]
- Vlakh, E.; Ananyan, A.; Zashikhina, N.; Hubina, A.; Pogodaev, A.; Volokitina, M.; Sharoyko, V.; Tennikova, T. Preparation, characterization, and biological evaluation of poly(glutamic acid)-b-polyphenylalanine polymersomes. Polymers 2016, 8, 212. [Google Scholar] [CrossRef]
- Zhao, Z.; Wang, Y.; Han, J.; Wang, K.; Yang, D.; Yang, Y.; Du, Q.; Song, Y.; Yin, X. Self-assembled micelles of amphiphilic poly(L-phenylalanine)-b-poly(L-serine) polypeptides for tumor-targeted delivery. Int. J. Nanomed. 2014, 9, 5849. [Google Scholar] [CrossRef]
- Wong, K.H.; Guo, Z.; Jiang, D.; Zhou, X.; Lin, L.; Zhao, D.; Chen, M. Linear-like polypeptide-based micelle with pH-sensitive detachable PEG to deliver dimeric camptothecin for cancer therapy. Asian J. Pharm. Sci. 2023, 18, 100773. [Google Scholar] [CrossRef]
- Su, X.; Zhou, X.; Tan, Z.; Zhou, C. Highly efficient antibacterial diblock copolypeptides based on lysine and phenylalanine. Biopolymers 2017, 107, e23041. [Google Scholar] [CrossRef] [PubMed]
- Holowka, E.P.; Pochan, D.J.; Deming, T.J. Charged Polypeptide Vesicles with Controllable Diameter. J. Am. Chem. Soc. 2005, 127, 12423–12428. [Google Scholar] [CrossRef] [PubMed]
- Tang, C.-C.; Zhang, S.-H.; My Phan, T.H.; Tseng, Y.-C.; Jan, J.-S. Block length and topology affect self-assembly and gelation of poly(l-lysine)-block-poly(S-benzyl-l-cysteine) block copolypeptides. Polymer 2021, 228, 123891. [Google Scholar] [CrossRef]
- Chen, Y.-F.; Shiau, A.-L.; Chang, S.-J.; Fan, N.-S.; Wang, C.-T.; Wu, C.-L.; Jan, J.-S. One-dimensional poly(L-lysine)-block-poly(L-threonine) assemblies exhibit potent anticancer activity by enhancing membranolysis. Acta Biomater. 2017, 55, 283–295. [Google Scholar] [CrossRef]
- Van Domeselaar, G.H.; Kwon, G.S.; Andrew, L.C.; Wishart, D.S. Application of solid phase peptide synthesis to engineering PEO–peptide block copolymers for drug delivery. Colloids Surf. B Biointerfaces 2003, 30, 323–334. [Google Scholar] [CrossRef]
- Upadhyay, K.K.; Meins, J.-F.L.; Misra, A.; Voisin, P.; Bouchaud, V.; Ibarboure, E.; Schatz, C.; Lecommandoux, S. Biomimetic Doxorubicin Loaded Polymersomes from Hyaluronan-block-Poly(γ-benzyl glutamate) Copolymers. Biomacromolecules 2009, 10, 2802–2808. [Google Scholar] [CrossRef]
- Schatz, C.; Louguet, S.; Le Meins, J.-F.; Lecommandoux, S. Polysaccharide- block -polypeptide Copolymer Vesicles: Towards Synthetic Viral Capsids. Angew. Chem. Int. Ed. 2009, 48, 2572–2575. [Google Scholar] [CrossRef]
- Fu, X.; Shen, Y.; Ma, Y.; Fu, W.; Li, Z. Tunable supramolecular hydrogels from polypeptide-PEG-polypeptide triblock copolymers. Sci. China Chem. 2015, 58, 1005–1012. [Google Scholar] [CrossRef]
- Cheng, Y.; He, C.; Ding, J.; Xiao, C.; Zhuang, X.; Chen, X. Thermosensitive hydrogels based on polypeptides for localized and sustained delivery of anticancer drugs. Biomaterials 2013, 34, 10338–10347. [Google Scholar] [CrossRef]
- Ding, J.; Li, C.; Zhang, Y.; Xu, W.; Wang, J.; Chen, X. Chirality-mediated polypeptide micelles for regulated drug delivery. Acta Biomater. 2015, 11, 346–355. [Google Scholar] [CrossRef]
- Kim, J.H.; Ramasamy, T.; Tran, T.H.; Choi, J.Y.; Cho, H.J.; Yong, C.S.; Kim, J.O. Polyelectrolyte complex micelles by self-assembly of polypeptide-based triblock copolymer for doxorubicin delivery. Asian J. Pharm. Sci. 2014, 9, 191–198. [Google Scholar] [CrossRef]
- Phan, T.H.M.; Chen, X.-H.; Huang, S.-T.; Jan, J.-S. Hydrogelation of polypeptide-poly(ethylene glycol)-polypeptide amphiphilic triblock copolymers using L-cysteine derivatives. Eur. Polym. J. 2023, 196, 112294. [Google Scholar] [CrossRef]
- Zhao, D.; Li, D.; Quan, F.; Zhou, Y.; Zhang, Z.; Chen, X.; He, C. Rapidly Thermoreversible and Biodegradable Polypeptide Hydrogels with Sol–Gel–Sol Transition Dependent on Subtle Manipulation of Side Groups. Biomacromolecules 2021, 22, 3522–3533. [Google Scholar] [CrossRef]
- Choi, Y.-R.; Chae, S.Y.; Ahn, C.-H.; Lee, M.; Oh, S.; Byun, Y.; Rhee, B.D.; Ko, K.S. Development of polymeric gene delivery carriers: PEGylated copolymers of L-lysine and L-phenylalanine. J. Drug Target. 2007, 15, 391–398. [Google Scholar] [CrossRef] [PubMed]
- Aydinlioglu, E.; Abdelghani, M.; Le Fer, G.; van Hest, J.C.M.; Sandre, O.; Lecommandoux, S. Robust Polyion Complex Vesicles (PICsomes) Based on PEO- b -poly(amino acid) Copolymers Combining Electrostatic and Hydrophobic Interactions: Formation, siRNA Loading and Intracellular Delivery. Macromol. Chem. Phys. 2023, 224, 202200306. [Google Scholar] [CrossRef]
- Zhang, Y.; Guo, S.; Lu, C.; Liu, L.; Li, Z.; Gu, J. Poly(ε-caprolactone)-b-poly(ethylene glycol)-b-poly(ε-caprolactone) triblock copolymers: Synthesis and self-assembly in aqueous solutions. J. Polym. Sci. Part A Polym. Chem. 2007, 45, 605–613. [Google Scholar] [CrossRef]
- Deng, J.; Gao, N.; Wang, Y.; Yi, H.; Fang, S.; Ma, Y.; Cai, L. Self-Assembled Cationic Micelles Based on PEG-PLL-PLLeu Hybrid Polypeptides as Highly Effective Gene Vectors. Biomacromolecules 2012, 13, 3795–3804. [Google Scholar] [CrossRef] [PubMed]
- Lv, S.; Tang, Z.; Li, M.; Lin, J.; Song, W.; Liu, H.; Huang, Y.; Zhang, Y.; Chen, X. Co-delivery of doxorubicin and paclitaxel by PEG-polypeptide nanovehicle for the treatment of non-small cell lung cancer. Biomaterials 2014, 35, 6118–6129. [Google Scholar] [CrossRef]
- Quadir, M.A.; Morton, S.W.; Deng, Z.J.; Shopsowitz, K.E.; Murphy, R.P.; Epps, T.H.; Hammond, P.T. PEG–Polypeptide Block Copolymers as pH-Responsive Endosome-Solubilizing Drug Nanocarriers. Mol. Pharm. 2014, 11, 2420–2430. [Google Scholar] [CrossRef]
- Ren, T.-B.; Xia, W.-J.; Dong, H.-Q.; Li, Y.-Y. Sheddable micelles based on disulfide-linked hybrid PEG-polypeptide copolymer for intracellular drug delivery. Polymer 2011, 52, 3580–3586. [Google Scholar] [CrossRef]
- Wang, K.; Luo, G.-F.; Liu, Y.; Li, C.; Cheng, S.-X.; Zhuo, R.-X.; Zhang, X.-Z. Redox-sensitive shell cross-linked PEG–polypeptide hybrid micelles for controlled drug release. Polym. Chem. 2012, 3, 1084–1090. [Google Scholar] [CrossRef]
- Vong, L.B.; Ibayashi, Y.; Lee, Y.; Ngo, D.-N.; Nishikawa, Y.; Nagasaki, Y. Poly(ornithine)-based self-assembling drug for recovery of hyperammonemia and damage in acute liver injury. J. Control. Release 2019, 310, 74–81. [Google Scholar] [CrossRef]
- Obeid, R.; Scholz, C. Synthesis and Self-Assembly of Well-Defined Poly(amino acid) End-Capped Poly(ethylene glycol) and Poly(2-methyl-2-oxazoline). Biomacromolecules 2011, 12, 3797–3804. [Google Scholar] [CrossRef]
- Stavroulaki, D.; Kyroglou, I.; Skourtis, D.; Athanasiou, V.; Thimi, P.; Sofianopoulou, S.; Kazaryan, D.; Fragouli, P.G.; Labrianidou, A.; Dimas, K.; et al. Influence of the Topology of Poly(L-Cysteine) on the Self-Assembly, Encapsulation and Release Profile of Doxorubicin on Dual-Responsive Hybrid Polypeptides. Pharmaceutics 2023, 15, 790. [Google Scholar] [CrossRef] [PubMed]
- Hu, Z.; Wang, G.; Zhao, S.; Jiang, S.; Hu, J.; Reheman, A. Sustained release properties of liquid crystal functionalized poly (amino acid)s nanoparticles. J. Mol. Liq. 2023, 369, 120891. [Google Scholar] [CrossRef]
- Zashikhina, N.; Levit, M.; Dobrodumov, A.; Gladnev, S.; Lavrentieva, A.; Tennikova, T.; Korzhikova-Vlakh, E. Biocompatible Nanoparticles Based on Amphiphilic Random Polypeptides and Glycopolymers as Drug Delivery Systems. Polymers 2022, 14, 1677. [Google Scholar] [CrossRef] [PubMed]
- Levit, M.; Zashikhina, N.; Vdovchenko, A.; Dobrodumov, A.; Zakharova, N.; Kashina, A.; Rühl, E.; Lavrentieva, A.; Scheper, T.; Tennikova, T.; et al. Bio-Inspired Amphiphilic Block-Copolymers Based on Synthetic Glycopolymer and Poly(Amino Acid) as Potential Drug Delivery Systems. Polymers 2020, 12, 183. [Google Scholar] [CrossRef]
- Levit, M.; Zashikhina, N.; Dobrodumov, A.; Kashina, A.; Tarasenko, I.; Panarin, E.; Fiorucci, S.; Korzhikova-Vlakh, E.; Tennikova, T. Synthesis and characterization of well-defined poly(2-deoxy-2-methacrylamido-d-glucose) and its biopotential block copolymers via RAFT and ROP polymerization. Eur. Polym. J. 2018, 105, 26–37. [Google Scholar] [CrossRef]
- Alimardani, V.; Sadat Abolmaali, S.; Yousefi, G.; Hossein Nowroozzadeh, M.; Mohammad Tamaddon, A. In-situ nanomicelle forming microneedles of poly NIPAAm-b-poly glutamic acid for trans-scleral delivery of dexamethasone. J. Ind. Eng. Chem. 2023, 119, 485–498. [Google Scholar] [CrossRef]
- Pei, L.; Ma, H.; Jiang, Y.; Zheng, H.; Gao, H. Amphiphilic Polyethylene-b-poly(L-lysine) Block Copolymer: Synthesis, Self-Assembly, and Responsivity. Int. J. Mol. Sci. 2023, 24, 5495. [Google Scholar] [CrossRef]
- Salmanpour, M.; Yousefi, G.; Mohammadi-Samani, S.; Abedanzadeh, M.; Tamaddon, A.M. Hydrolytic stabilization of irinotecan active metabolite (SN38) against physiologic pH through self-assembly of conjugated poly(2-oxazoline)-poly(l-amino acid) block copolymer: A-synthesis and physicochemical characterization. J. Drug Deliv. Sci. Technol. 2020, 60, 101933. [Google Scholar] [CrossRef]
- Sapra, R.; Verma, R.P.; Maurya, G.P.; Dhawan, S.; Babu, J.; Haridas, V. Designer Peptide and Protein Dendrimers: A Cross-Sectional Analysis. Chem. Rev. 2019, 119, 11391–11441. [Google Scholar] [CrossRef] [PubMed]
- Kadlecova, Z.; Baldi, L.; Hacker, D.; Wurm, F.M.; Klok, H.-A. Comparative Study on the In Vitro Cytotoxicity of Linear, Dendritic, and Hyperbranched Polylysine Analogues. Biomacromolecules 2012, 13, 3127–3137. [Google Scholar] [CrossRef] [PubMed]
- Al-Jamal, K.T.; Ruenraroengsak, P.; Hartell, N.; Florence, A.T. An intrinsically fluorescent dendrimer as a nanoprobe of cell transport. J. Drug Target. 2006, 14, 405–412. [Google Scholar] [CrossRef] [PubMed]
- Chen, S.; Huang, S.; Li, Y.; Zhou, C. Recent Advances in Epsilon-Poly-L-Lysine and L-Lysine-Based Dendrimer Synthesis, Modification, and Biomedical Applications. Front. Chem. 2021, 9, 659304. [Google Scholar] [CrossRef]
- Zhang, S.-F.; Gao, C.; Lü, S.; He, J.; Liu, M.; Wu, C.; Liu, Y.; Zhang, X.; Liu, Z. Synthesis of PEGylated polyglutamic acid peptide dendrimer and its application in dissolving thrombus. Colloids Surf. B Biointerfaces 2017, 159, 284–292. [Google Scholar] [CrossRef]
- Ya-Ting Huang, A.; Kao, C.-L.; Selvaraj, A.; Peng, L. Solid-phase dendrimer synthesis: A promising approach to transform dendrimer construction. Mater. Today Chem. 2023, 27, 101285. [Google Scholar] [CrossRef]
- Pedziwiatr-Werbicka, E.; Milowska, K.; Dzmitruk, V.; Ionov, M.; Shcharbin, D.; Bryszewska, M. Dendrimers and hyperbranched structures for biomedical applications. Eur. Polym. J. 2019, 119, 61–73. [Google Scholar] [CrossRef]
- Li, P.; Dong, C.-M. Phototriggered Ring-Opening Polymerization of a Photocaged L-Lysine N-Carboxyanhydride to Synthesize Hyperbranched and Linear Polypeptides. ACS Macro Lett. 2017, 6, 292–297. [Google Scholar] [CrossRef]
- Li, P.; Song, Y.; Dong, C.-M. Hyperbranched polypeptides synthesized from phototriggered ROP of a photocaged N ε-[1-(2-nitrophenyl)ethoxycarbonyl]-l-lysine-N-carboxyanhydride: Microstructures and effects of irradiation intensity and nitrogen flow rate. Polym. Chem. 2018, 9, 3974–3986. [Google Scholar] [CrossRef]
- Ge, Y.; Li, P.; Guan, Y.; Dong, C.-M. Hyperbranched polylysine: Synthesis, mechanism and preparation for NIR-absorbing gold nanoparticles. Chin. Chem. Lett. 2019, 30, 1428–1431. [Google Scholar] [CrossRef]
- Scholl, M.; Nguyen, T.Q.; Bruchmann, B.; Klok, H.-A. Controlling Polymer Architecture in the Thermal Hyperbranched Polymerization of l-Lysine. Macromolecules 2007, 40, 5726–5734. [Google Scholar] [CrossRef]
- Liu, H.; Liu, X.; Cao, Y.-Q.; Liu, M.; Han, M.-M.; Ji, S.-X. Engineering Antibacterial Activities and Biocompatibility of Hyperbranched Lysine-based Random Copolymers. Chin. J. Polym. Sci. 2023, 41, 345–355. [Google Scholar] [CrossRef]
- Duro-Castano, A.; Movellan, J.; Vicent, M.J. Smart branched polymer drug conjugates as nano-sized drug delivery systems. Biomater. Sci. 2015, 3, 1321–1334. [Google Scholar] [CrossRef] [PubMed]
- Kóczán, G.; Ghose, A.C.; Mookerjee, A.; Hudecz, F. Methotrexate Conjugate with Branched Polypeptide Influences Leishmania donovani Infection in Vitro and in Experimental Animals. Bioconjug. Chem. 2002, 13, 518–524. [Google Scholar] [CrossRef] [PubMed]
- Reményi, J.; Csík, G.; Kovács, P.; Reig, F.; Hudecz, F. The effect of the structure of branched polypeptide carrier on intracellular delivery of daunomycin. Biochim. Biophys. Acta—Biomembr. 2006, 1758, 280–289. [Google Scholar] [CrossRef]
- Wu, X.; Zhou, L.; Su, Y.; Dong, C.-M. Plasmonic, Targeted, and Dual Drugs-Loaded Polypeptide Composite Nanoparticles for Synergistic Cocktail Chemotherapy with Photothermal Therapy. Biomacromolecules 2016, 17, 2489–2501. [Google Scholar] [CrossRef]
- Miaoer, Y.; Andrew, P.; Nowak, A.; Deming, T.J.; Pochan, D.J. Methylated Mono- and Diethyleneglycol Functionalized Polylysines: Nonionic, α-Helical, Water-Soluble Polypeptides. J. Am. Chem. Soc. 1999, 121, 12210–12211. [Google Scholar]
- Lee, S.; Müller, M.; Ratoi-Salagean, M.; Vörös, J.; Pasche, S.; De Paul, S.M.; Spikes, H.A.; Textor, M.; Spencer, N.D. Boundary lubrication of oxide surfaces by Poly(L-lysine)-g-poly(ethylene glycol) (PLL-g-PEG) in aqueous media. Tribol. Lett. 2003, 15, 231–239. [Google Scholar] [CrossRef]
- Boulmedais, F.; Frisch, B.; Etienne, O.; Lavalle, P.; Picart, C.; Ogier, J.; Voegel, J.-C.; Schaaf, P.; Egles, C. Polyelectrolyte multilayer films with pegylated polypeptides as a new type of anti-microbial protection for biomaterials. Biomaterials 2004, 25, 2003–2011. [Google Scholar] [CrossRef] [PubMed]
- Song, W.; Tang, Z.; Zhang, D.; Zhang, Y.; Yu, H.; Li, M.; Lv, S.; Sun, H.; Deng, M.; Chen, X. Anti-tumor efficacy of c(RGDfK)-decorated polypeptide-based micelles co-loaded with docetaxel and cisplatin. Biomaterials 2014, 35, 3005–3014. [Google Scholar] [CrossRef] [PubMed]
- Engler, A.C.; Lee, H.; Hammond, P.T. Highly Efficient “Grafting onto” a Polypeptide Backbone Using Click Chemistry. Angew. Chem. Int. Ed. 2009, 48, 9334–9338. [Google Scholar] [CrossRef] [PubMed]
- Ding, J.; Zhao, L.; Li, D.; Xiao, C.; Zhuang, X.; Chen, X. Thermo-responsive “hairy-rod” polypeptides for smart antitumor drug delivery. Polym. Chem. 2013, 4, 3345. [Google Scholar] [CrossRef]
- Fu, X.; Ma, Y.; Sun, J.; Li, Z. Biodegradable thermal- and redox-responsive poly(L-glutamate) with Y-shaped oligo(ethylene glycol) side-chain and tunable phase transition temperature. RSC Adv. 2016, 6, 70243–70250. [Google Scholar] [CrossRef]
- Lin, J.; Zhang, S.; Chen, T.; Lin, S.; Jin, H. Micelle formation and drug release behavior of polypeptide graft copolymer and its mixture with polypeptide block copolymer. Int. J. Pharm. 2007, 336, 49–57. [Google Scholar] [CrossRef]
- Ding, J.; Xiao, C.; Tang, Z.; Zhuang, X.; Chen, X. Highly Efficient “Grafting From” an α-Helical Polypeptide Backbone by Atom Transfer Radical Polymerization. Macromol. Biosci. 2011, 11, 192–198. [Google Scholar] [CrossRef] [PubMed]
- Anas, M.; Jana, S.; Mandal, T.K. Vesicular assemblies of thermoresponsive amphiphilic polypeptide copolymers for guest encapsulation and release. Polym. Chem. 2020, 11, 2889–2903. [Google Scholar] [CrossRef]
- Chi, P.; Wang, J.; Liu, C. Synthesis and characterization of polycationic chitosan-graft-poly (l-lysine). Mater. Lett. 2008, 62, 147–150. [Google Scholar] [CrossRef]
- Perdih, P.; Pahovnik, D.; Cegnar, M.; Miklavžin, A.; Kerč, J.; Žagar, E. Synthesis of chitosan-graft-poly(sodium-l-glutamate) for preparation of protein nanoparticles. Cellulose 2014, 21, 3469–3485. [Google Scholar] [CrossRef]
- Lu, D.; Wang, H.; Wang, X.; Li, Y.; Guo, H.; Sun, S.; Zhao, X.; Yang, Z.; Lei, Z. Biomimetic chitosan-graft-polypeptides for improved adhesion in tissue and metal. Carbohydr. Polym. 2019, 215, 20–28. [Google Scholar] [CrossRef]
- Kurita, K.; Yoshida, A.; Koyama, Y. Studies on chitin. 13. New polysaccharide/polypeptide hybrid materials based on chitin and poly(.gamma.-methyl L-glutamate). Macromolecules 1988, 21, 1579–1583. [Google Scholar] [CrossRef]
- Wu, H.M.; Pan, S.R.; Chen, M.W.; Wu, Y.; Wang, C.; Wen, Y.T.; Zeng, X.; Wu, C.B. A serum-resistant polyamidoamine-based polypeptide dendrimer for gene transfection. Biomaterials 2011, 32, 1619–1634. [Google Scholar] [CrossRef] [PubMed]
- Striegler, C.; Franke, M.; Müller, M.; Boye, S.; Oertel, U.; Janke, A.; Schellkopf, L.; Voit, B.; Appelhans, D. Amino acid modified hyperbranched poly(ethylene imine) with disaccharide decoration as anionic core–shell architecture: Influence of the pH and molecular architecture on solution behaviour. Polymer 2015, 80, 188–204. [Google Scholar] [CrossRef]
- Byrne, M.; Murphy, R.; Kapetanakis, A.; Ramsey, J.; Cryan, S.; Heise, A. Star-Shaped Polypeptides: Synthesis and Opportunities for Delivery of Therapeutics. Macromol. Rapid Commun. 2015, 36, 1862–1876. [Google Scholar] [CrossRef] [PubMed]
- Phan, T.H.M.; Huang, C.-C.; Tsai, Y.-J.; Hu, J.-J.; Jan, J.-S. Polypeptide Composition and Topology Affect Hydrogelation of Star-Shaped Poly(L-lysine)-Based Amphiphilic Copolypeptides. Gels 2021, 7, 131. [Google Scholar] [CrossRef]
- Chen, Y.-F.; Lai, Y.-D.; Chang, C.-H.; Tsai, Y.-C.; Tang, C.-C.; Jan, J.-S. Star-shaped polypeptides exhibit potent antibacterial activities. Nanoscale 2019, 11, 11696–11708. [Google Scholar] [CrossRef]
- Mészáros, M.; Phan, T.H.M.; Vigh, J.P.; Porkoláb, G.; Kocsis, A.; Páli, E.K.; Polgár, T.F.; Walter, F.R.; Bolognin, S.; Schwamborn, J.C.; et al. Targeting Human Endothelial Cells with Glutathione and Alanine Increases the Crossing of a Polypeptide Nanocarrier through a Blood–Brain Barrier Model and Entry to Human Brain Organoids. Cells 2023, 12, 503. [Google Scholar] [CrossRef]
- Stefanovic, S.; McCormick, K.; Fattah, S.; Brannigan, R.; Cryan, S.-A.; Heise, A. Star-shaped poly(l-lysine) with polyester bis-MPA dendritic core as potential degradable nano vectors for gene delivery. Polym. Chem. 2023, 14, 3151–3159. [Google Scholar] [CrossRef]
- Inoue, K.; Horibe, S.; Fukae, M.; Muraki, T.; Ihara, E.; Kayama, H. Synthesis and Conformation of Star-Shaped Poly(γ-benzyl-L-glutamate)s on a Cyclotriphosphazene Core. Macromol. Biosci. 2003, 3, 26–33. [Google Scholar] [CrossRef]
- Bayda, S.; Adeel, M.; Tuccinardi, T.; Cordani, M.; Rizzolio, F. The History of Nanoscience and Nanotechnology: From Chemical–Physical Applications to Nanomedicine. Molecules 2019, 25, 112. [Google Scholar] [CrossRef]
- Aschner, M. Nanoparticles: Transport across the olfactory epithelium and application to the assessment of brain function in health and disease. In Progress in Brain Research; Shanker, S.H., Ed.; Elsevier: Amsterdam, The Netherlands, 2009; pp. 141–152. [Google Scholar]
- Zielińska, A.; Carreiró, F.; Oliveira, A.M.; Neves, A.; Pires, B.; Venkatesh, D.N.; Durazzo, A.; Lucarini, M.; Eder, P.; Silva, A.M.; et al. Polymeric Nanoparticles: Production, Characterization, Toxicology and Ecotoxicology. Molecules 2020, 25, 3731. [Google Scholar] [CrossRef]
- Prabha, S.; Arya, G.; Chandra, R.; Ahmed, B.; Nimesh, S. Effect of size on biological properties of nanoparticles employed in gene delivery. Artif. Cells Nanomed. Biotechnol. 2016, 44, 83–91. [Google Scholar] [CrossRef] [PubMed]
- Mei, X.-G.; Yang, M.-Y. Drug delivery system for active brain targeting. In Artificial Cells, Cell Engineering and Therapy; Elsevier: Amsterdam, The Netherlands, 2007; pp. 404–423. [Google Scholar]
- Hehir, S.; Cameron, N.R. Recent advances in drug delivery systems based on polypeptides prepared from N-carboxyanhydrides. Polym. Int. 2014, 63, 943–954. [Google Scholar] [CrossRef]
- Judge, N.; Pavlović, D.; Moldenhauer, E.; Clarke, P.; Brannigan, R.; Heise, A. Influence of the block copolypeptide surfactant structure on the size of polypeptide nanoparticles obtained by mini emulsion polymerisation. Polym. Chem. 2022, 13, 2822–2830. [Google Scholar] [CrossRef]
- Letchford, K.; Burt, H. A review of the formation and classification of amphiphilic block copolymer nanoparticulate structures: Micelles, nanospheres, nanocapsules and polymersomes. Eur. J. Pharm. Biopharm. 2007, 65, 259–269. [Google Scholar] [CrossRef]
- De Santis, E.; Ryadnov, M.G. Peptide self-assembly for nanomaterials: The old new kid on the block. Chem. Soc. Rev. 2015, 44, 8288–8300. [Google Scholar] [CrossRef] [PubMed]
- Varanko, A.; Saha, S.; Chilkoti, A. Recent trends in protein and peptide-based biomaterials for advanced drug delivery. Adv. Drug Deliv. Rev. 2020, 156, 133–187. [Google Scholar] [CrossRef]
- Varlas, S.; Maitland, G.L.; Derry, M.J. Protein-, (Poly)peptide-, and Amino Acid-Based Nanostructures Prepared via Polymerization-Induced Self-Assembly. Polymers 2021, 13, 2603. [Google Scholar] [CrossRef]
- Song, Z.; Han, Z.; Lv, S.; Chen, C.; Chen, L.; Yin, L.; Cheng, J. Synthetic polypeptides: From polymer design to supramolecular assembly and biomedical application. Chem. Soc. Rev. 2017, 46, 6570–6599. [Google Scholar] [CrossRef]
- Spicer, C.D.; Jumeaux, C.; Gupta, B.; Stevens, M.M. Peptide and protein nanoparticle conjugates: Versatile platforms for biomedical applications. Chem. Soc. Rev. 2018, 47, 3574–3620. [Google Scholar] [CrossRef]
- Zhao, L.; Li, N.; Wang, K.; Shi, C.; Zhang, L.; Luan, Y. A review of polypeptide-based polymersomes. Biomaterials 2014, 35, 1284–1301. [Google Scholar] [CrossRef]
- Marciel, A.B.; Chung, E.J.; Brettmann, B.K.; Leon, L. Bulk and nanoscale polypeptide based polyelectrolyte complexes. Adv. Colloid Interface Sci. 2017, 239, 187–198. [Google Scholar] [CrossRef] [PubMed]
- Azuar, A.; Li, Z.; Shibu, M.A.; Zhao, L.; Luo, Y.; Shalash, A.O.; Khalil, Z.G.; Capon, R.J.; Hussein, W.M.; Toth, I.; et al. Poly(hydrophobic amino acid)-Based Self-Adjuvanting Nanoparticles for Group A Streptococcus Vaccine Delivery. J. Med. Chem. 2021, 64, 2648–2658. [Google Scholar] [CrossRef]
- Rhoades, E.; Gafni, A. Micelle Formation by a Fragment of Human Islet Amyloid Polypeptide. Biophys. J. 2003, 84, 3480–3487. [Google Scholar] [CrossRef]
- Ge, F.; Jin, Z.; Song, P.; Li, W.; Zhu, L.; Zhang, W.; Tao, Y.; Gui, L. Amphiphilic polypeptide P23: Design, synthesis, self-assembly and its encapsulation effect on doxorubicin. Mater. Res. Express 2019, 6, 115411. [Google Scholar] [CrossRef]
- Hua, C.; Zhang, Y.; Liu, Y. Enhanced Anticancer Efficacy of Chemotherapy by Amphiphilic Y-Shaped Polypeptide Micelles. Front. Bioeng. Biotechnol. 2021, 9, 817143. [Google Scholar] [CrossRef] [PubMed]
- He-Wei, S.; Rong, X.; Yong-Jun, Z.; Qian, Z.; Shi-Yu, Z.; Xiao-Yan, H.; Yi, Z. Study on Synthesis of Star Poly(ε-caprolactone)-b-polylysine Copolymer, Characterization and Its Micelles’ Properties. Br. J. Appl. Sci. Technol. 2015, 8, 341–347. [Google Scholar] [CrossRef]
- Zhou, X.; Su, X.; Zhou, C. Preparation of diblock amphiphilic polypeptide nanoparticles for medical applications. Eur. Polym. J. 2018, 100, 132–136. [Google Scholar] [CrossRef]
- Dreher, M.R.; Simnick, A.J.; Fischer, K.; Smith, R.J.; Patel, A.; Schmidt, M.; Chilkoti, A. Temperature Triggered Self-Assembly of Polypeptides into Multivalent Spherical Micelles. J. Am. Chem. Soc. 2008, 130, 687–694. [Google Scholar] [CrossRef]
- Hassouneh, W.; Zhulina, E.B.; Chilkoti, A.; Rubinstein, M. Elastin-like Polypeptide Diblock Copolymers Self-Assemble into Weak Micelles. Macromolecules 2015, 48, 4183–4195. [Google Scholar] [CrossRef]
- Arimura, H.; Ohya, Y.; Ouchi, T. Formation of Core−Shell Type Biodegradable Polymeric Micelles from Amphiphilic Poly(aspartic acid)-b lock-Polylactide Diblock Copolymer. Biomacromolecules 2005, 6, 720–725. [Google Scholar] [CrossRef] [PubMed]
- Lv, S.; Li, M.; Tang, Z.; Song, W.; Sun, H.; Liu, H.; Chen, X. Doxorubicin-loaded amphiphilic polypeptide-based nanoparticles as an efficient drug delivery system for cancer therapy. Acta Biomater. 2013, 9, 9330–9342. [Google Scholar] [CrossRef] [PubMed]
- Suo, A.; Qian, J.; Zhang, Y.; Liu, R.; Xu, W.; Wang, H. Comb-like amphiphilic polypeptide-based copolymer nanomicelles for co-delivery of doxorubicin and P-gp siRNA into MCF-7 cells. Mater. Sci. Eng. C 2016, 62, 564–573. [Google Scholar] [CrossRef] [PubMed]
- La, S.B.; Okano, T.; Kataoka, K. Preparation and Characterization of the Micelle-Forming Polymeric Drug Indomethacin-lncorporated Polyfethylene oxide)-Poly(β-benzyl L-aspartate) Block Copolymer Micelles. J. Pharm. Sci. 1996, 85, 85–90. [Google Scholar] [CrossRef]
- Morell, M.; Puiggalí, J. Hybrid Block Copolymers Constituted by Peptides and Synthetic Polymers: An Overview of Synthetic Approaches, Supramolecular Behavior and Potential Applications. Polymers 2013, 5, 188–224. [Google Scholar] [CrossRef]
- Karayianni, M.; Pispas, S. Block copolymer solution self-assembly: Recent advances, emerging trends, and applications. J. Polym. Sci. 2021, 59, 1874–1898. [Google Scholar] [CrossRef]
- Varanko, A.K.; Su, J.C.; Chilkoti, A. Elastin-Like Polypeptides for Biomedical Applications. Annu. Rev. Biomed. Eng. 2020, 22, 343–369. [Google Scholar] [CrossRef]
- McDaniel, J.R.; Weitzhandler, I.; Prevost, S.; Vargo, K.B.; Appavou, M.-S.; Hammer, D.A.; Gradzielski, M.; Chilkoti, A. Noncanonical Self-Assembly of Highly Asymmetric Genetically Encoded Polypeptide Amphiphiles into Cylindrical Micelles. Nano Lett. 2014, 14, 6590–6598. [Google Scholar] [CrossRef]
- Park, W.M.; Champion, J.A. Thermally Triggered Self-Assembly of Folded Proteins into Vesicles. J. Am. Chem. Soc. 2014, 136, 17906–17909. [Google Scholar] [CrossRef]
- Zhang, R.; Morton, L.D.; Smith, J.D.; Gallazzi, F.; White, T.A.; Ulery, B.D. Instructive Design of Triblock Peptide Amphiphiles for Structurally Complex Micelle Fabrication. ACS Biomater. Sci. Eng. 2018, 4, 2330–2339. [Google Scholar] [CrossRef] [PubMed]
- Nuhn, H.; Klok, H.-A. Aqueous solution self-assembly of polystyrene-b-poly(l-lysine) diblock oligomers. Eur. Polym. J. 2011, 47, 782–791. [Google Scholar] [CrossRef]
- Mo, Y.; Liu, G.; Tu, Y.; Lin, S.; Song, J.; Hu, J.; Liu, F. Morphological switching of unimolecular micelles of ternary graft copolymers in different solvents. J. Polym. Sci. Part A Polym. Chem. 2017, 55, 1021–1030. [Google Scholar] [CrossRef]
- Li, T.; Lin, J.; Chen, T.; Zhang, S. Polymeric micelles formed by polypeptide graft copolymer and its mixtures with polypeptide block copolymer. Polymer 2006, 47, 4485–4489. [Google Scholar] [CrossRef]
- Sun, H.; Choi, W.; Zang, N.; Battistella, C.; Thompson, M.P.; Cao, W.; Zhou, X.; Forman, C.; Gianneschi, N.C. Bioactive Peptide Brush Polymers via Photoinduced Reversible-Deactivation Radical Polymerization. Angew. Chem. Int. Ed. 2019, 58, 17359–17364. [Google Scholar] [CrossRef]
- Xue, S.; Gu, X.; Zhang, J.; Sun, H.; Deng, C.; Zhong, Z. Construction of Small-Sized, Robust, and Reduction-Responsive Polypeptide Micelles for High Loading and Targeted Delivery of Chemotherapeutics. Biomacromolecules 2018, 19, 3586–3593. [Google Scholar] [CrossRef]
- Ghosh, B.; Biswas, S. Polymeric micelles in cancer therapy: State of the art. J. Control. Release 2021, 332, 127–147. [Google Scholar] [CrossRef]
- Kita-Tokarczyk, K.; Grumelard, J.; Haefele, T.; Meier, W. Block copolymer vesicles—Using concepts from polymer chemistry to mimic biomembranes. Polym. Bull. 2005, 46, 3540–3563. [Google Scholar] [CrossRef]
- Tharad, S.; Üzülmez, Ö.; Promdonkoy, B.; Toca-Herrera, J. Cholesterol Increases Lipid Binding Rate and Changes Binding Behavior of Bacillus thuringiensis Cytolytic Protein. Int. J. Mol. Sci. 2018, 19, 3819. [Google Scholar] [CrossRef]
- Rideau, E.; Dimova, R.; Schwille, P.; Wurm, F.R.; Landfester, K. Liposomes and polymersomes: A comparative review towards cell mimicking. Chem. Soc. Rev. 2018, 47, 8572–8610. [Google Scholar] [CrossRef]
- Tian, F.; Wu, J.; Huang, N.; Guo, T.; Mao, C. The critical aggregation concentration of peptide surfactants is predictable from dynamic hydrophobic property. SAR QSAR Environ. Res. 2013, 24, 89–101. [Google Scholar] [CrossRef]
- Chécot, F.; Brûlet, A.; Oberdisse, J.; Gnanou, Y.; Mondain-Monval, O.; Lecommandoux, S. Structure of Polypeptide-Based Diblock Copolymers in Solution: Stimuli-Responsive Vesicles and Micelles. Langmuir 2005, 21, 4308–4315. [Google Scholar] [CrossRef]
- Kros, A.; Jesse, W.; Metselaar, G.A.; Cornelissen, J.J.L.M. Synthesis and Self-Assembly of Rod-Rod Hybrid Poly(γ-benzylL-glutamate)-block-Polyisocyanide Copolymers. Angew. Chem. Int. Ed. 2005, 44, 4349–4352. [Google Scholar] [CrossRef] [PubMed]
- Blanazs, A.; Armes, S.P.; Ryan, A.J. Self-Assembled Block Copolymer Aggregates: From Micelles to Vesicles and their Biological Applications. Macromol. Rapid Commun. 2009, 30, 267–277. [Google Scholar] [CrossRef] [PubMed]
- Brinkhuis, R.P.; Rutjes, F.P.J.T.; van Hest, J.C.M. Polymeric vesicles in biomedical applications. Polym. Chem. 2011, 2, 1449. [Google Scholar] [CrossRef]
- Wong, C.K.; Lai, R.Y.; Thordarson, P. Polymersomes: Fundamentals and Shape Transformation Methods. In Supramolecular Nanotechnology: Advanced Design of Self-Assembled Functional Materials; Azzaroni, O., Conda-Sheridan, M., Eds.; Wiley: Hoboken, NJ, USA, 2023; pp. 1027–1054. [Google Scholar]
- Huang, C.-J.; Chang, F.-C. Polypeptide Diblock Copolymers: Syntheses and Properties of Poly(N-isopropylacrylamide)-b-Polylysine. Macromolecules 2008, 41, 7041–7052. [Google Scholar] [CrossRef]
- Ishimura, Y.; Hamada, F.; Nakajima, A. Conformation Study of Poly(N ε -carbobenzoxy-L-lysine) in Helicogenic Solvents by Small-Angle X-Ray Scattering. Macromolecules 1978, 11, 382–387. [Google Scholar] [CrossRef]
- Yang, Y.; Cai, J.; Zhuang, X.; Guo, Z.; Jing, X.; Chen, X. pH-dependent self-assembly of amphiphilic poly(L-glutamic acid)-block-poly-(lactic-co-glycolic acid) copolymers. Polymer 2010, 51, 2676–2682. [Google Scholar] [CrossRef]
- Mitchell, M.J.; Billingsley, M.M.; Haley, R.M.; Wechsler, M.E.; Peppas, N.A.; Langer, R. Engineering precision nanoparticles for drug delivery. Nat. Rev. Drug Discov. 2020, 20, 101–124. [Google Scholar] [CrossRef]
- Araste, F.; Aliabadi, A.; Abnous, K.; Taghdisi, S.M.; Ramezani, M.; Alibolandi, M. Self-assembled polymeric vesicles: Focus on polymersomes in cancer treatment. J. Control. Release 2021, 330, 502–528. [Google Scholar] [CrossRef] [PubMed]
- Ueda, M.; Makino, A.; Imai, T.; Sugiyama, J.; Kimura, S. Transformation of peptide nanotubes into a vesicle via fusion driven by stereo-complex formation. Chem. Commun. 2011, 47, 3204. [Google Scholar] [CrossRef]
- Iatrou, H.; Dimas, K.; Gkikas, M.; Tsimblouli, C.; Sofianopoulou, S. Polymersomes from Polypeptide Containing Triblock Co- and Terpolymers for Drug Delivery against Pancreatic Cancer: Asymmetry of the External Hydrophilic Blocks. Macromol. Biosci. 2014, 14, 1222–1238. [Google Scholar] [CrossRef]
- Soni, K.S.; Desale, S.S.; Bronich, T.K. Nanogels: An overview of properties, biomedical applications and obstacles to clinical translation. J. Control. Release 2016, 240, 109–126. [Google Scholar] [CrossRef]
- Mauri, E.; Giannitelli, S.M.; Trombetta, M.; Rainer, A. Synthesis of Nanogels: Current Trends and Future Outlook. Gels 2021, 7, 36. [Google Scholar] [CrossRef] [PubMed]
- Nishimura, T.; Yamada, A.; Umezaki, K.; Sawada, S.; Mukai, S.; Sasaki, Y.; Akiyoshi, K. Self-Assembled Polypeptide Nanogels with Enzymatically Transformable Surface as a Small Interfering RNA Delivery Platform. Biomacromolecules 2017, 18, 3913–3923. [Google Scholar] [CrossRef]
- Ullah, A.; Lim, S.I. Nanogels: Update on the methods of synthesis and applications for cardiovascular and neurological complications. J. Drug Deliv. Sci. Technol. 2022, 77, 103879. [Google Scholar] [CrossRef]
- Jiang, Z.; Chen, J.; Cui, L.; Zhuang, X.; Ding, J.; Chen, X. Advances in Stimuli-Responsive Polypeptide Nanogels. Small Methods 2018, 2, 1700307. [Google Scholar] [CrossRef]
- Liu, Y.; Chen, L.; Shi, Q.; Zhao, Q.; Ma, H. Tumor Microenvironment–Responsive Polypeptide Nanogels for Controlled Antitumor Drug Delivery. Front. Pharmacol. 2021, 12, 748102. [Google Scholar] [CrossRef] [PubMed]
- Zashikhina, N.; Gladnev, S.; Sharoyko, V.; Korzhikov-Vlakh, V.; Korzhikova-Vlakh, E.; Tennikova, T. Synthesis and Characterization of Nanoparticle-Based Dexamethasone-Polypeptide Conjugates as Potential Intravitreal Delivery Systems. Int. J. Mol. Sci. 2023, 24, 3702. [Google Scholar] [CrossRef]
- Shi, B.; Huang, K.; Ding, J.; Xu, W.; Yang, Y.; Liu, H.; Yan, L.; Chen, X. Intracellularly Swollen Polypeptide Nanogel Assists Hepatoma Chemotherapy. Theranostics 2017, 7, 703–716. [Google Scholar] [CrossRef]
- Feng, X.; Xu, W.; Xu, X.; Li, G.; Ding, J.; Chen, X. Cystine proportion regulates fate of polypeptide nanogel as nanocarrier for chemotherapeutics. Sci. China Chem. 2021, 64, 293–301. [Google Scholar] [CrossRef]
- He, L.; Li, D.; Wang, Z.; Xu, W.; Wang, J.; Guo, H.; Wang, C.; Ding, J. l-Cystine-Crosslinked Polypeptide Nanogel as a Reduction-Responsive Excipient for Prostate Cancer Chemotherapy. Polymers 2016, 8, 36. [Google Scholar] [CrossRef] [PubMed]
- Niu, K.; Li, N.; Yao, Y.; Guo, C.; Ge, Y.; Wang, J. Polypeptide Nanogels With Different Functional Cores Promote Chemotherapy of Lung Carcinoma. Front. Pharmacol. 2019, 10, 37. [Google Scholar] [CrossRef] [PubMed]
- Ko, D.Y.; Moon, H.J.; Jeong, B. Temperature-sensitive polypeptide nanogels for intracellular delivery of a biomacromolecular drug. J. Mater. Chem. B 2015, 3, 3525–3530. [Google Scholar] [CrossRef] [PubMed]
- Kim, J.O.; Oberoi, H.S.; Desale, S.; Kabanov, A.V.; Bronich, T.K. Polypeptide nanogels with hydrophobic moieties in the cross-linked ionic cores: Synthesis, characterization and implications for anticancer drug delivery. J. Drug Target. 2013, 21, 981–993. [Google Scholar] [CrossRef]
- Xu, T.; Skoulas, D.; Ding, D.; Cryan, S.-A.; Heise, A. Exploring the potential of polypeptide–polypeptoide hybrid nanogels for mucosal delivery. Polym. Chem. 2022, 13, 6054–6060. [Google Scholar] [CrossRef]
- Chiang, W.-H.; Huang, W.-C.; Shen, M.-Y.; Wang, C.-H.; Huang, Y.-F.; Lin, S.-C.; Chern, C.-S.; Chiu, H.-C. Dual-Layered Nanogel-Coated Hollow Lipid/Polypeptide Conjugate Assemblies for Potential pH-Triggered Intracellular Drug Release. PLoS ONE 2014, 9, e92268. [Google Scholar] [CrossRef]
- Huang, S.X.; Wang, Z.H.; Lin, M.; Fu, X.H.; Sun, J. One-pot preparation of polypeptide nanogels in aqueous solution via ring-opening polymerization-induced nano-gelation. Polym. Chem. 2023, 14, 1801–1808. [Google Scholar] [CrossRef]
- Xing, T.; Lai, B.; Ye, X.; Yan, L. Disulfide Core Cross-Linked PEGylated Polypeptide Nanogel Prepared by a One-Step Ring Opening Copolymerization of N -Carboxyanhydrides for Drug Delivery. Macromol. Biosci. 2011, 11, 962–969. [Google Scholar] [CrossRef]
- Ding, J.; Shi, F.; Xiao, C.; Lin, L.; Chen, L.; He, C.; Zhuang, X.; Chen, X. One-step preparation of reduction-responsive poly(ethylene glycol)-poly(amino acid)s nanogels as efficient intracellular drug delivery platforms. Polym. Chem. 2011, 2, 2857. [Google Scholar] [CrossRef]
- Le Hellaye, M.; Fortin, N.; Guilloteau, J.; Soum, A.; Lecommandoux, S.; Guillaume, S.M. Biodegradable Polycarbonate-b-polypeptide and Polyester- b -polypeptide Block Copolymers: Synthesis and Nanoparticle Formation Towards Biomaterials. Biomacromolecules 2008, 9, 1924–1933. [Google Scholar] [CrossRef]
- Osipova, O.; Zakharova, N.; Pyankov, I.; Egorova, A.; Kislova, A.; Lavrentieva, A.; Kiselev, A.; Tennikova, T.; Korzhikova-vlakh, E. Amphiphilic pH-sensitive polypeptides for siRNA delivery. J. Drug Deliv. Sci. Technol. 2022, 69, 103135. [Google Scholar] [CrossRef]
- Priftis, D.; Tirrell, M. Phase behaviour and complex coacervation of aqueous polypeptide solutions. Soft Matter 2012, 8, 9396–9405. [Google Scholar] [CrossRef]
- Weber, D.; Torger, B.; Richter, K.; Nessling, M.; Momburg, F.; Woltmann, B.; Müller, M.; Schwartz-Albiez, R. Interaction of Poly(l-lysine)/Polysaccharide Complex Nanoparticles with Human Vascular Endothelial Cells. Nanomaterials 2018, 8, 358. [Google Scholar] [CrossRef]
- Korzhikov-Vlakh, V.; Katernuk, I.; Pilipenko, I.; Lavrentieva, A.; Guryanov, I.; Sharoyko, V.; Manshina, A.A.; Tennikova, T.B. Photosensitive Poly-l-lysine/Heparin Interpolyelectrolyte Complexes for Delivery of Genetic Drugs. Polymers 2020, 12, 1077. [Google Scholar] [CrossRef] [PubMed]
- JC, A.; RM, G.; MA, B. Chitosan/Poly(γ-glutamic acid) Polyelectrolyte Complexes: From Self—Assembly to Application in Biomolecules Delivery and Regenerative Medicine. Res. Rev. J. Mater. Sci. 2016, 04, 12–36. [Google Scholar] [CrossRef]
- Alinejad-Mofrad, E.; Malaekeh-Nikouei, B.; Gholami, L.; Mousavi, S.; Sadeghnia, H.; Mohajeri, M.; Darroudi, M.; Oskuee, R. Evaluation and comparison of cytotoxicity, genotoxicity, and apoptotic effects of poly-l-lysine/plasmid DNA micro- and nanoparticles. Hum. Exp. Toxicol. 2019, 38, 983–991. [Google Scholar] [CrossRef]
- Ye-Zhuo, L.; Jin-Rong, Y.; Heng, C.; Bo-Xun, L.; Zheng-Zhong, S.; Xin, C. Chitosan-graft-poly(l-glutamic acid) hybrid material and its self-assembly. Chem. Res. Chin. Univ. 2012, 28, 921–925. [Google Scholar]
- Song, H.-Q.; Li, R.-Q.; Duan, S.; Yu, B.; Zhao, H.; Chen, D.-F.; Xu, F.-J. Ligand-functionalized degradable polyplexes formed by cationic poly(aspartic acid)-grafted chitosan–cyclodextrin conjugates. Nanoscale 2015, 7, 5803–5814. [Google Scholar] [CrossRef]
- Zhao, L.; Skwarczynski, M.; Toth, I. Polyelectrolyte-Based Platforms for the Delivery of Peptides and Proteins. ACS Biomater. Sci. Eng. 2019, 5, 4937–4950. [Google Scholar] [CrossRef] [PubMed]
- Tabatabaei Mirakabad, F.S.; Khoramgah, M.S.; Keshavarz, F.K.; Tabarzad, M.; Ranjbari, J. Peptide dendrimers as valuable biomaterials in medical sciences. Life Sci. 2019, 233, 116754. [Google Scholar] [CrossRef] [PubMed]
- Al-Jamal, K.T.; Al-Jamal, W.T.; Kostarelos, K.; Turton, J.A.; Florence, A.T. Anti-angiogenic poly-l-lysine dendrimer binds heparin and neutralizes its activity. Results Pharma Sci. 2012, 2, 9–15. [Google Scholar] [CrossRef] [PubMed]
- Gorzkiewicz, M.; Konopka, M.; Janaszewska, A.; Tarasenko, I.I.; Sheveleva, N.N.; Gajek, A.; Neelov, I.M.; Klajnert-Maculewicz, B. Application of new lysine-based peptide dendrimers D3K2 and D3G2 for gene delivery: Specific cytotoxicity to cancer cells and transfection in vitro. Bioorg. Chem. 2020, 95, 103504. [Google Scholar] [CrossRef] [PubMed]
- Xie, F.; Li, R.; Shu, W.; Zhao, L.; Wan, J. Self-assembly of Peptide dendrimers and their bio-applications in theranostics. Mater. Today Bio 2022, 14, 100239. [Google Scholar] [CrossRef]
- Crucho, C.I.C.; Barros, M.T. Polymeric nanoparticles: A study on the preparation variables and characterization methods. Mater. Sci. Eng. C 2017, 80, 771–784. [Google Scholar] [CrossRef]
- Azzaroni, O.; Szleifer, I. Polymer and Biopolymer Brushes; Wiley Blackwell: Hoboken, NJ, USA, 2017. [Google Scholar]
- Ding, J.; Chen, J.; Li, D.; Xiao, C.; Zhang, J.; He, C.; Zhuang, X.; Chen, X. Biocompatible reduction-responsive polypeptide micelles as nanocarriers for enhanced chemotherapy efficacy in vitro. J. Mater. Chem. B 2013, 1, 69–81. [Google Scholar] [CrossRef]
- Martínez-Muñoz, O.I.; Ospina-Giraldo, L.F.; Mora-Huertas, C.E. Nanoprecipitation: Applications for Entrapping Active Molecules of Interest in Pharmaceutics. In Nano- and Microencapsulation—Techniques and Applications; IntechOpen: London, UK, 2020. [Google Scholar] [CrossRef]
- Xu, X.; Li, C.; Li, H.; Liu, R.; Jiang, C.; Wu, Y.; He, B.; Gu, Z. Polypeptide dendrimers: Self-assembly and drug delivery. Sci. China Chem. 2011, 54, 326–333. [Google Scholar] [CrossRef]
- Georgilis, E.; Abdelghani, M.; Pille, J.; Aydinlioglu, E.; van Hest, J.C.M.; Lecommandoux, S.; Garanger, E. Nanoparticles based on natural, engineered or synthetic proteins and polypeptides for drug delivery applications. Int. J. Pharm. 2020, 586, 119537. [Google Scholar] [CrossRef]
- Gauche, C.; Lecommandoux, S. Versatile design of amphiphilic glycopolypeptides nanoparticles for lectin recognition. Polymer 2016, 107, 474–484. [Google Scholar] [CrossRef]
- Augustine, R.; Uthaman, S.; Kalva, N.; Eom, K.H.; Huh, K.M.; Pillarisetti, S.; Park, I.-K.; Kim, I. Two-tailed tadpole-shaped synthetic polymer polypeptide bioconjugate nanomicelles for enhanced chemo-photothermal therapy. Polymer 2021, 230, 124061. [Google Scholar] [CrossRef]
- Fan, J.; Li, R.; He, X.; Seetho, K.; Zhang, F.; Zou, J.; Wooley, K.L. Construction of a versatile and functional nanoparticle platform derived from a helical diblock copolypeptide-based biomimetic polymer. Polym. Chem. 2014, 5, 3977–3981. [Google Scholar] [CrossRef] [PubMed]
- Akagi, T.; Kaneko, T.; Kida, T.; Akashi, M. Preparation and characterization of biodegradable nanoparticles based on poly(γ-glutamic acid) with l-phenylalanine as a protein carrier. J. Control. Release 2005, 108, 226–236. [Google Scholar] [CrossRef] [PubMed]
- Sanson, C.; Schatz, C.; Le Meins, J.-F.; Soum, A.; Thévenot, J.; Garanger, E.; Lecommandoux, S. A simple method to achieve high doxorubicin loading in biodegradable polymersomes. J. Control. Release 2010, 147, 428–435. [Google Scholar] [CrossRef] [PubMed]
- Xing, T.; Lai, B.; Yan, L. Disulfide Cross-Linked Polypeptide Nanogel Conjugated with a Fluorescent Probe as a Potential Image-Guided Drug-Delivery Agent. Macromol. Chem. Phys. 2013, 214, 578–588. [Google Scholar] [CrossRef]
- Levit, M.; Vdovchenko, A.; Dzhuzha, A.; Zashikhina, N.; Katernyuk, E.; Gostev, A.; Sivtsov, E.; Lavrentieva, A.; Tennikova, T.; Korzhikova-Vlakh, E. Self-assembled nanoparticles based on block-copolymers of poly(2-deoxy-2-methacrylamido-d-glucose)/poly(n-vinyl succinamic acid) with poly(o-cholesteryl methacrylate) for delivery of hydrophobic drugs. Int. J. Mol. Sci. 2021, 22, 11457. [Google Scholar] [CrossRef]
- van Rijt, M.M.J.; Ciaffoni, A.; Ianiro, A.; Moradi, M.-A.; Boyle, A.L.; Kros, A.; Friedrich, H.; Sommerdijk, N.A.J.M.; Patterson, J.P. Designing stable, hierarchical peptide fibers from block co-polypeptide sequences. Chem. Sci. 2019, 10, 9001–9008. [Google Scholar] [CrossRef]
- Khan, I.; Gothwal, A.; Mishra, G.; Gupta, U. Polymeric Micelles. In Functional Biopolymers; Jafar Mazumder, M., Sheardown, H., Al-Ahmed, A., Eds.; Springer: Berlin/Heidelberg, Germany, 2018; pp. 1–29. [Google Scholar]
- Yang, J.; Yao, M.-H.; Wen, L.; Song, J.-T.; Zhang, M.-Z.; Zhao, Y.-D.; Liu, B. Multifunctional quantum dot–polypeptide hybrid nanogel for targeted imaging and drug delivery. Nanoscale 2014, 6, 11282–11292. [Google Scholar] [CrossRef]
- Lin, J.-Y.; Lai, P.-L.; Lin, Y.-K.; Peng, S.; Lee, L.-Y.; Chen, C.-N.; Chu, I.-M. A poloxamer-polypeptide thermosensitive hydrogel as a cell scaffold and sustained release depot. Polym. Chem. 2016, 7, 2976–2985. [Google Scholar] [CrossRef]
- Jeong, Y.; Lee, D.; Choe, K.; Ahn, H.; Kim, P.; Park, J.-H.; Kim, Y.-C. Polypeptide-based polyelectrolyte complexes overcoming the biological barriers of oral insulin delivery. J. Ind. Eng. Chem. 2017, 48, 79–87. [Google Scholar] [CrossRef]
- Cohen-Erez, I.; Rapaport, H. Negatively charged polypeptide-peptide nanoparticles showing efficient drug delivery to the mitochondria. Colloids Surf. B Biointerfaces 2018, 162, 186–192. [Google Scholar] [CrossRef]
- Haggag, Y.; Abu Ras, B.; El-Tanani, Y.; Tambuwala, M.M.; McCarron, P.; Isreb, M.; El-Tanani, M. Co-delivery of a RanGTP inhibitory peptide and doxorubicin using dual-loaded liposomal carriers to combat chemotherapeutic resistance in breast cancer cells. Expert Opin. Drug Deliv. 2020, 17, 1655–1669. [Google Scholar] [CrossRef]
- Liu, G.; Zhou, L.; Guan, Y.; Su, Y.; Dong, C.-M. Multi-Responsive Polypeptidosome: Characterization, Morphology Transformation, and Triggered Drug Delivery. Macromol. Rapid Commun. 2014, 35, 1673–1678. [Google Scholar] [CrossRef]
- Tzokova, N.; Fernyhough, C.M.; Butler, M.F.; Armes, S.P.; Ryan, A.J.; Topham, P.D.; Adams, D.J. The Effect of PEO Length on the Self-Assembly of Poly(ethylene oxide)−Tetrapeptide Conjugates Prepared by “Click” Chemistry. Langmuir 2009, 25, 11082–11089. [Google Scholar] [CrossRef] [PubMed]
- Lim, S.; de Hoog, H.-P.; Parikh, A.; Nallani, M.; Liedberg, B. Hybrid, Nanoscale Phospholipid/Block Copolymer Vesicles. Polymers 2013, 5, 1102–1114. [Google Scholar] [CrossRef]
- Micheletto, Y.M.S.; Marques, C.M.; Silveira, N.P.d.; Schroder, A.P. Electroformation of Giant Unilamellar Vesicles: Investigating Vesicle Fusion versus Bulge Merging. Langmuir 2016, 32, 8123–8130. [Google Scholar] [CrossRef] [PubMed]
- Howse, J.R.; Jones, R.A.L.; Battaglia, G.; Ducker, R.E.; Leggett, G.J.; Ryan, A.J. Templated formation of giant polymer vesicles with controlled size distributions. Nat. Mater. 2009, 8, 507–511. [Google Scholar] [CrossRef]
- Liu, G.; Zhou, L.; Su, Y.; Dong, C.-M. An NIR-responsive and sugar-targeted polypeptide composite nanomedicine for intracellular cancer therapy. Chem. Commun. 2014, 50, 12538–12541. [Google Scholar] [CrossRef] [PubMed]
- Sharma, B.; Ma, Y.; Hiraki, H.L.; Baker, B.M.; Ferguson, A.L.; Liu, A.P. Facile formation of giant elastin-like polypeptide vesicles as synthetic cells. Chem. Commun. 2021, 57, 13202–13205. [Google Scholar] [CrossRef]
- Sun, Y.; Lyu, X.; Li, Z.; Huang, Y. Guanidinium functionalized polypeptide nanogels as the phosphate binder. Polymer 2017, 112, 325–332. [Google Scholar] [CrossRef]
- Hasannia, M.; Lamei, K.; Abnous, K.; Taghdisi, S.M.; Nekooei, S.; Nekooei, N.; Ramezani, M.; Alibolandi, M. Targeted poly(L-glutamic acid)-based hybrid peptosomes co-loaded with doxorubicin and USPIONs as a theranostic platform for metastatic breast cancer. Nanomed. Nanotechnol. Biol. Med. 2023, 48, 102645. [Google Scholar] [CrossRef]
- Verma, D.; Gulati, N.; Kaul, S.; Mukherjee, S.; Nagaich, U. Protein Based Nanostructures for Drug Delivery. J. Pharm. 2018, 2018, 9285854. [Google Scholar] [CrossRef]
- Kataoka, K.; Matsumoto, T.; Yokoyama, M.; Okano, T.; Sakurai, Y.; Fukushima, S.; Okamoto, K.; Kwon, G.S. Doxorubicin-loaded poly(ethylene glycol)–poly(β-benzyl-l-aspartate) copolymer micelles: Their pharmaceutical characteristics and biological significance. J. Control. Release 2000, 64, 143–153. [Google Scholar] [CrossRef] [PubMed]
- Muriel Mundo, J.L.; Zhou, H.; Tan, Y.; Liu, J.; McClements, D.J. Stabilization of soybean oil-in-water emulsions using polypeptide multilayers: Cationic polylysine and anionic polyglutamic acid. Food Res. Int. 2020, 137, 109304. [Google Scholar] [CrossRef]
- Huang, Y.-C.; Jan, J.-S. Carboxylmethyl chitosan-graft-poly(γ-benzyl-l-glutamate) glycopeptides: Synthesis and particle formation as encapsulants. Polymer 2014, 55, 540–549. [Google Scholar] [CrossRef]
- Wu, Y.; MacKay, J.A.; McDaniel, J.R.; Chilkoti, A.; Clark, R.L. Fabrication of Elastin-Like Polypeptide Nanoparticles for Drug Delivery by Electrospraying. Biomacromolecules 2009, 10, 19–24. [Google Scholar] [CrossRef] [PubMed]
- Shao, L.; Wu, J.; Xu, Z. Electrospraying/Electrospinning poly(γ-stearyl-L-glutamate): Formation of surfaces with superhydryphobicity. Chin. J. Polym. Sci. 2009, 27, 115. [Google Scholar] [CrossRef]
- Berraquero-García, C.; Pérez-Gálvez, R.; Espejo-Carpio, F.J.; Guadix, A.; Guadix, E.M.; García-Moreno, P.J. Encapsulation of Bioactive Peptides by Spray-Drying and Electrospraying. Foods 2023, 12, 2005. [Google Scholar] [CrossRef]
- Zhang, Y.; Lu, Y.; Xu, Y.; Zhou, Z.; Li, Y.; Ling, W.; Song, W. Bio-Inspired Drug Delivery Systems: From Synthetic Polypeptide Vesicles to Outer Membrane Vesicles. Pharmaceutics 2023, 15, 368. [Google Scholar] [CrossRef] [PubMed]
- Perry, S.L.; Leon, L.; Hoffmann, K.Q.; Kade, M.J.; Priftis, D.; Black, K.A.; Wong, D.; Klein, R.A.; Pierce, C.F.; Margossian, K.O.; et al. Chirality-selected phase behaviour in ionic polypeptide complexes. Nat. Commun. 2015, 6, 6052. [Google Scholar] [CrossRef]
- Kishimura, A.; Liamsuwan, S.; Matsuda, H.; Dong, W.-F.; Osada, K.; Yamasaki, Y.; Kataoka, K. pH-dependent permeability change and reversible structural transition of PEGylated polyion complex vesicles (PICsomes) in aqueous media. Soft Matter 2009, 5, 529–532. [Google Scholar] [CrossRef]
- Dong, W.-F.; Kishimura, A.; Anraku, Y.; Chuanoi, S.; Kataoka, K. Monodispersed Polymeric Nanocapsules: Spontaneous Evolution and Morphology Transition from Reducible Hetero-PEG PICmicelles by Controlled Degradation. J. Am. Chem. Soc. 2009, 131, 3804–3805. [Google Scholar] [CrossRef]
- Simonson, A.W.; Lawanprasert, A.; Goralski, T.D.P.; Keiler, K.C.; Medina, S.H. Bioresponsive peptide-polysaccharide nanogels—A versatile delivery system to augment the utility of bioactive cargo. Nanomed. Nanotechnol. Biol. Med. 2019, 17, 391–400. [Google Scholar] [CrossRef]
- Ramasamy, T.; Choi, J.Y.; Cho, H.J.; Umadevi, S.K.; Shin, B.S.; Choi, H.-G.; Yong, C.S.; Kim, J.O. Polypeptide-based Micelles for Delivery of Irinotecan: Physicochemical and In Vivo Characterization. Pharm. Res. 2015, 32, 1947–1956. [Google Scholar] [CrossRef] [PubMed]
- Kishimura, A.; Koide, A.; Osada, K.; Yamasaki, Y.; Kataoka, K. Encapsulation of Myoglobin in PEGylated Polyion Complex Vesicles Made from a Pair of Oppositely Charged Block Ionomers: A Physiologically Available Oxygen Carrier. Angew. Chem. Int. Ed. 2007, 46, 6085–6088. [Google Scholar] [CrossRef] [PubMed]
- Anraku, Y.; Kishimura, A.; Kamiya, M.; Tanaka, S.; Nomoto, T.; Toh, K.; Matsumoto, Y.; Fukushima, S.; Sueyoshi, D.; Kano, M.R.; et al. Systemically Injectable Enzyme-Loaded Polyion Complex Vesicles as In Vivo Nanoreactors Functioning in Tumors. Angew. Chem. Int. Ed. 2016, 55, 560–565. [Google Scholar] [CrossRef]
- Zheng, N.; Song, Z.; Liu, Y.; Zhang, R.; Zhang, R.; Yao, C.; Uckun, F.M.; Yin, L.; Cheng, J. Redox-responsive, reversibly-crosslinked thiolated cationic helical polypeptides for efficient siRNA encapsulation and delivery. J. Control. Release 2015, 205, 231–239. [Google Scholar] [CrossRef]
- Chen, J.; Guan, X.; Hu, Y.; Tian, H.; Chen, X. Peptide-Based and Polypeptide-Based Gene Delivery Systems. Top. Curr. Chem. 2017, 375, 32. [Google Scholar] [CrossRef] [PubMed]
- Yu, H.; Tang, Z.; Zhang, D.; Song, W.; Zhang, Y.; Yang, Y.; Ahmad, Z.; Chen, X. Pharmacokinetics, biodistribution and in vivo efficacy of cisplatin loaded poly(l-glutamic acid)-g-methoxy poly(ethylene glycol) complex nanoparticles for tumor therapy. J. Control. Release 2015, 205, 89–97. [Google Scholar] [CrossRef]
- Yu, H.; Tang, Z.; Li, M.; Song, W.; Zhang, D.; Zhang, Y.; Yang, Y.; Sun, H.; Deng, M.; Chen, X. Cisplatin Loaded Poly(L-glutamic acid)-g-Methoxy Poly(ethylene glycol) Complex Nanoparticles for Potential Cancer Therapy: Preparation, In Vitro and In Vivo Evaluation. J. Biomed. Nanotechnol. 2016, 12, 69–78. [Google Scholar] [CrossRef]
- Mochida, Y.; Cabral, H.; Miura, Y.; Albertini, F.; Fukushima, S.; Osada, K.; Nishiyama, N.; Kataoka, K. Bundled Assembly of Helical Nanostructures in Polymeric Micelles Loaded with Platinum Drugs Enhancing Therapeutic Efficiency against Pancreatic Tumor. ACS Nano 2014, 8, 6724–6738. [Google Scholar] [CrossRef]
- Rafi, M.; Cabral, H.; Kano, M.R.; Mi, P.; Iwata, C.; Yashiro, M.; Hirakawa, K.; Miyazono, K.; Nishiyama, N.; Kataoka, K. Polymeric micelles incorporating (1,2-diaminocyclohexane)platinum (II) suppress the growth of orthotopic scirrhous gastric tumors and their lymph node metastasis. J. Control. Release 2012, 159, 189–196. [Google Scholar] [CrossRef]
- Dao, T.P.T.; Vezenkov, L.; Subra, G.; Ladmiral, V.; Semsarilar, M. Nano-assemblies with core-forming hydrophobic polypeptide via polymerization-induced self-assembly (PISA). Polym. Chem. 2021, 12, 113–121. [Google Scholar] [CrossRef]
- Thickett, S.C.; Teo, G.H. Recent advances in colloidal nanocomposite design via heterogeneous polymerization techniques. Polym. Chem. 2019, 10, 2906–2924. [Google Scholar] [CrossRef]
- Grazon, C.; Salas-Ambrosio, P.; Ibarboure, E.; Buol, A.; Garanger, E.; Grinstaff, M.W.; Lecommandoux, S.; Bonduelle, C. Aqueous Ring-Opening Polymerization-Induced Self-Assembly (ROPISA) of N-Carboxyanhydrides. Angew. Chem. Int. Ed. 2020, 59, 622–626. [Google Scholar] [CrossRef] [PubMed]
- Jiang, J.; Zhang, X.; Fan, Z.; Du, J. Ring-Opening Polymerization of N-Carboxyanhydride-Induced Self-Assembly for Fabricating Biodegradable Polymer Vesicles. ACS Macro Lett. 2019, 8, 1216–1221. [Google Scholar] [CrossRef] [PubMed]
- Grazon, C.; Salas-Ambrosio, P.; Antoine, S.; Ibarboure, E.; Sandre, O.; Clulow, A.J.; Boyd, B.J.; Grinstaff, M.W.; Lecommandoux, S.; Bonduelle, C. Aqueous ROPISA of α-amino acid N -carboxyanhydrides: Polypeptide block secondary structure controls nanoparticle shape anisotropy. Polym. Chem. 2021, 12, 6242–6251. [Google Scholar] [CrossRef]
- Jacobs, J.; Pavlović, D.; Prydderch, H.; Moradi, M.-A.; Ibarboure, E.; Heuts, J.P.A.; Lecommandoux, S.; Heise, A. Polypeptide Nanoparticles Obtained from Emulsion Polymerization of Amino Acid N -Carboxyanhydrides. J. Am. Chem. Soc. 2019, 141, 12522–12526. [Google Scholar] [CrossRef] [PubMed]
- Anton, N.; Benoit, J.-P.; Saulnier, P. Design and production of nanoparticles formulated from nano-emulsion templates—A review. J. Control. Release 2008, 128, 185–199. [Google Scholar] [CrossRef] [PubMed]
- Muñoz-Espí, R.; Álvarez-Bermúdez, O. Application of Nanoemulsions in the Synthesis of Nanoparticles. In Nanoemulsions; Elsevier: Amsterdam, The Netherlands, 2018; pp. 477–515. [Google Scholar]
- Jacobs, J.; Gathergood, N.; Heuts, J.P.A.; Heise, A. Amphiphilic glycosylated block copolypeptides as macromolecular surfactants in the emulsion polymerization of styrene. Polym. Chem. 2015, 6, 4634–4640. [Google Scholar] [CrossRef]
- Landfester, K. Miniemulsion Polymerization and the Structure of Polymer and Hybrid Nanoparticles. Angew. Chem. Int. Ed. 2009, 48, 4488–4507. [Google Scholar] [CrossRef]
- Reyes, Y.; Hamzehlou, S.; Leiza, J.R. Ostwald ripening in nano/miniemulsions in the presence of two costabilizers as revealed by molecular dynamics simulations. J. Mol. Liq. 2021, 335, 116152. [Google Scholar] [CrossRef]
- Elzayat, A.; Adam-Cervera, I.; Álvarez-Bermúdez, O.; Muñoz-Espí, R. Nanoemulsions for synthesis of biomedical nanocarriers. Colloids Surf. B Biointerfaces 2021, 203, 111764. [Google Scholar] [CrossRef] [PubMed]
- Glavas, L.; Odelius, K.; Albertsson, A.-C. Simultaneous Polymerization and Polypeptide Particle Production via Reactive Spray-Drying. Biomacromolecules 2016, 17, 2930–2936. [Google Scholar] [CrossRef]
- Yao, C.; Liu, J.; Wu, X.; Tai, Z.; Gao, Y.; Zhu, Q.; Li, J.; Zhang, L.; Hu, C.; Gu, F.; et al. Reducible self-assembling cationic polypeptide-based micelles mediate co-delivery of doxorubicin and microRNA-34a for androgen-independent prostate cancer therapy. J. Control. Release 2016, 232, 203–214. [Google Scholar] [CrossRef] [PubMed]
- Desale, S.S.; Raja, S.M.; Kim, J.O.; Mohapatra, B.; Soni, K.S.; Luan, H.; Williams, S.H.; Bielecki, T.A.; Feng, D.; Storck, M.; et al. Polypeptide-based nanogels co-encapsulating a synergistic combination of doxorubicin with 17-AAG show potent anti-tumor activity in ErbB2-driven breast cancer models. J. Control. Release 2015, 208, 59–66. [Google Scholar] [CrossRef]
- Ramasamy, T.; Ruttala, H.B.; Chitrapriya, N.; Poudal, B.K.; Choi, J.Y.; Kim, S.T.; Youn, Y.S.; Ku, S.K.; Choi, H.-G.; Yong, C.S.; et al. Engineering of cell microenvironment-responsive polypeptide nanovehicle co-encapsulating a synergistic combination of small molecules for effective chemotherapy in solid tumors. Acta Biomater. 2017, 48, 131–143. [Google Scholar] [CrossRef] [PubMed]
- Li, Z.; Zheng, Y.; Yan, J.; Yan, Y.; Peng, C.; Wang, Z.; Liu, H.; Liu, Y.; Zhou, Y.; Ding, M. Self-Assembly of Poly(Amino Acid)s Mediated by Secondary Conformations. ChemBioChem 2023, 24, e202300132. [Google Scholar] [CrossRef]
- Skoulas, D.; Christakopoulos, P.; Stavroulaki, D.; Santorinaios, K.; Athanasiou, V.; Iatrou, H. Micelles Formed by Polypeptide Containing Polymers Synthesized Via N-Carboxy Anhydrides and Their Application for Cancer Treatment. Polymers 2017, 9, 208. [Google Scholar] [CrossRef]
- Lu, Y.; Zhang, E.; Yang, J.; Cao, Z. Strategies to improve micelle stability for drug delivery. Nano Res. 2018, 11, 4985–4998. [Google Scholar] [CrossRef] [PubMed]
- Ding, Y.; Du, C.; Qian, J.; Zhou, L.; Su, Y.; Zhang, R.; Dong, C.-M. Tumor pH and intracellular reduction responsive polypeptide nanomedicine with a sheddable PEG corona and a disulfide-cross-linked core. Polym. Chem. 2018, 9, 3488–3498. [Google Scholar] [CrossRef]
- Korovkina, O.; Polyakov, D.; Korzhikov-Vlakh, V.; Korzhikova-Vlakh, E. Stimuli-Responsive Polypeptide Nanoparticles for Enhanced DNA Delivery. Molecules 2022, 27, 8495. [Google Scholar] [CrossRef] [PubMed]
- Yin, F.; Wang, Z.; Jiang, Y.; Zhang, T.; Wang, Z.; Hua, Y.; Song, Z.; Liu, J.; Xu, W.; Xu, J.; et al. Reduction-responsive polypeptide nanomedicines significantly inhibit progression of orthotopic osteosarcoma. Nanomed. Nanotechnol. Biol. Med. 2020, 23, 102085. [Google Scholar] [CrossRef]
- Xu, W.; Ding, J.; Chen, X. Reduction-Responsive Polypeptide Micelles for Intracellular Delivery of Antineoplastic Agent. Biomacromolecules 2017, 18, 3291–3301. [Google Scholar] [CrossRef]
- Lee, S.J.; Min, K.H.; Lee, H.J.; Koo, A.N.; Rim, H.P.; Jeon, B.J.; Jeong, S.Y.; Heo, J.S.; Lee, S.C. Ketal Cross-Linked Poly(ethylene glycol)-Poly(amino acid)s Copolymer Micelles for Efficient Intracellular Delivery of Doxorubicin. Biomacromolecules 2011, 12, 1224–1233. [Google Scholar] [CrossRef] [PubMed]
- Lu, C.; Li, B.; Liu, N.; Wu, G.; Gao, H.; Ma, J. A hydrazone crosslinked zwitterionic polypeptide nanogel as a platform for controlled drug delivery. RSC Adv. 2014, 4, 50301–50311. [Google Scholar] [CrossRef]
- Sahajpal, K.; Shekhar, S.; Kumar, A.; Sharma, B.; Meena, M.K.; Bhagi, A.K.; Sharma, S. Dynamic protein and polypeptide hydrogels based on Schiff base co-assembly for biomedicine. J. Mater. Chem. B 2022, 10, 3173–3198. [Google Scholar] [CrossRef] [PubMed]
- Shi, C.; Yu, H.; Sun, D.; Ma, L.; Tang, Z.; Xiao, Q.; Chen, X. Cisplatin-loaded polymeric nanoparticles: Characterization and potential exploitation for the treatment of non-small cell lung carcinoma. Acta Biomater. 2015, 18, 68–76. [Google Scholar] [CrossRef] [PubMed]
- Rypácek, F. Structure-to-function relationships in the biodegradation of poly(amino acid)s. Polym. Degrad. Stab. 1998, 59, 345–351. [Google Scholar] [CrossRef]
- Nair, L.S.; Laurencin, C.T. Biodegradable polymers as biomaterials. Prog. Polym. Sci. 2007, 32, 762–798. [Google Scholar] [CrossRef]
- Chiu, H.-C.; Kopeckov, P.; Deshmane, S.S.; Kopecek, J. Lysosomal degradability of poly(α-amino acids). J. Biomed. Mater. Res. 1997, 34, 381–392. [Google Scholar] [CrossRef]
- Romberg, B.; Metselaar, J.; Baranyi, L.; Snel, C.; Bunger, R.; Hennink, W.; Szebeni, J.; Storm, G. Poly(amino acid)s: Promising enzymatically degradable stealth coatings for liposomes. Int. J. Pharm. 2007, 331, 186–189. [Google Scholar] [CrossRef]
- Ren, K.; Ji, J.; Shen, J. Construction and enzymatic degradation of multilayered poly-l-lysine/DNA films. Biomaterials 2006, 27, 1152–1159. [Google Scholar] [CrossRef]
- Guo, Y.; Shen, Y.; Yu, B.; Ding, L.; Meng, Z.; Wang, X.; Han, M.; Dong, Z.; Wang, X. Hydrophilic Poly(glutamic acid)-Based Nanodrug Delivery System: Structural Influence and Antitumor Efficacy. Polymers 2022, 14, 2242. [Google Scholar] [CrossRef]
- Obst, M.; Steinbüchel, A. Microbial Degradation of Poly(amino acid)s. Biomacromolecules 2004, 5, 1166–1176. [Google Scholar] [CrossRef]
- Yoshida, T.; Nagasawa, T. E-Poly-l-lysine: Microbial production, biodegradation and application potential. Appl. Microbiol. Biotechnol. 2003, 62, 21–26. [Google Scholar] [CrossRef]
- Zheng, M.; Pan, M.; Zhang, W.; Lin, H.; Wu, S.; Lu, C.; Tang, S.; Liu, D.; Cai, J. Poly(α-l-lysine)-based nanomaterials for versatile biomedical applications: Current advances and perspectives. Bioact. Mater. 2021, 6, 1878–1909. [Google Scholar] [CrossRef]
- Li, C. Poly(l-glutamic acid)–anticancer drug conjugates. Adv. Drug Deliv. Rev. 2002, 54, 695–713. [Google Scholar] [CrossRef]
- Hoes, C.J.T.; Potman, W.; van Heeswijk, W.A.R.; Mud, J.; de Grooth, B.G.; Greve, J.; Feijen, J. Optimization of macromolecular prodrugs of the antitumor antibiotic adriamycin. J. Control. Release 1985, 2, 205–213. [Google Scholar] [CrossRef]
- Kishore, B.K.; Kállay, Z.; Lambricht, P.; Laurent, G.; Tulkens, P.M. Mechanism of protection afforded by polyaspartic acid against gentamicin-induced phospholipidosis. I. Polyaspartic acid binds gentamicin and displaces it from negatively charged phospholipid layers in vitro. J. Pharmacol. Exp. Ther. 1990, 255, 867–874. [Google Scholar]
- Thompson, M.; Scholz, C. Highly Branched Polymers Based on Poly(amino acid)s for Biomedical Application. Nanomaterials 2021, 11, 1119. [Google Scholar] [CrossRef]
- Zhang, X.; Oulad-Abdelghani, M.; Zelkin, A.N.; Wang, Y.; Haîkel, Y.; Mainard, D.; Voegel, J.C.; Caruso, F.; Benkirane-Jessel, N. Poly(l-lysine) nanostructured particles for gene delivery and hormone stimulation. Biomaterials 2010, 31, 1699–1706. [Google Scholar] [CrossRef]
- Zikou, S.; Koukkou, A.-I.; Mastora, P.; Sakarellos-Daitsiotis, M.; Sakarellos, C.; Drainas, C.; Panou-Pomonis, E. Design and synthesis of cationic Aib-containing antimicrobial peptides: Conformational and biological studies. J. Pept. Sci. 2007, 13, 481–486. [Google Scholar] [CrossRef]
- Adjei, I.M.; Sharma, B.; Labhasetwar, V. Nanoparticles: Cellular Uptake and Cytotoxicity. In Nanomaterial, Advances in Experimental Medicine and Biology; Capco, D.G., Chen, Y., Eds.; Springer Science + Business Media: Dordrecht, The Netherlands, 2014; pp. 73–91. [Google Scholar]
- Augustine, R.; Hasan, A.; Primavera, R.; Wilson, R.J.; Thakor, A.S.; Kevadiya, B.D. Cellular uptake and retention of nanoparticles: Insights on particle properties and interaction with cellular components. Mater. Today Commun. 2020, 25, 101692. [Google Scholar] [CrossRef]
- Foroozandeh, P.; Aziz, A.A. Insight into Cellular Uptake and Intracellular Trafficking of Nanoparticles. Nanoscale Res. Lett. 2018, 13, 339. [Google Scholar] [CrossRef] [PubMed]
- Richards, C.J.; Burgers, T.C.Q.; Vlijm, R.; Roos, W.H.; Åberg, C. Rapid Internalization of Nanoparticles by Human Cells at the Single Particle Level. ACS Nano 2023, 17, 16517–16529. [Google Scholar] [CrossRef] [PubMed]
- Varela, J.A.; Bexiga, M.G.; Åberg, C.; Simpson, J.C.; Dawson, K.A. Quantifying size-dependent interactions between fluorescently labeled polystyrene nanoparticles and mammalian cells. J. Nanobiotechnol. 2012, 10, 39. [Google Scholar] [CrossRef]
- Liu, D.; Auguste, D.T. Cancer targeted therapeutics: From molecules to drug delivery vehicles. J. Control. Release 2015, 219, 632–643. [Google Scholar] [CrossRef]
- Xie, S.; Tao, Y.; Pan, Y.; Qu, W.; Cheng, G.; Huang, L.; Chen, D.; Wang, X.; Liu, Z.; Yuan, Z. Biodegradable nanoparticles for intracellular delivery of antimicrobial agents. J. Control. Release 2014, 187, 101–117. [Google Scholar] [CrossRef]
- Shang, L.; Nienhaus, K.; Jiang, X.; Yang, L.; Landfester, K.; Mailänder, V.; Simmet, T.; Nienhaus, G.U. Nanoparticle interactions with live cells: Quantitative fluorescence microscopy of nanoparticle size effects. Beilstein J. Nanotechnol. 2014, 5, 2388–2397. [Google Scholar] [CrossRef] [PubMed]
- Fröhlich, E. The role of surface charge in cellular uptake and cytotoxicity of medical nanoparticles. Int. J. Nanomed. 2012, 7, 5577. [Google Scholar] [CrossRef]
- Bhattacharjee, S.; Ershov, D.; Fytianos, K.; van der Gucht, J.; Alink, G.M.; Rietjens, I.M.C.M.; Marcelis, A.T.M.; Zuilhof, H. Cytotoxicity and cellular uptake of tri-block copolymer nanoparticles with different size and surface characteristics. Part. Fibre Toxicol. 2012, 9, 1–19. [Google Scholar] [CrossRef]
- Zheng, C.; Zheng, M.; Gong, P.; Deng, J.; Yi, H.; Zhang, P.; Zhang, Y.; Liu, P.; Ma, Y.; Cai, L. Polypeptide cationic micelles mediated co-delivery of docetaxel and siRNA for synergistic tumor therapy. Biomaterials 2013, 34, 3431–3438. [Google Scholar] [CrossRef] [PubMed]
- Qu, J.; Peng, S.; Wang, R.; Yang, S.; Zhou, Q.; Lin, J. Stepwise pH-sensitive and biodegradable polypeptide hybrid micelles for enhanced cellular internalization and efficient nuclear drug delivery. Colloids Surf. B Biointerfaces 2019, 181, 315–324. [Google Scholar] [CrossRef]
- Wu, T.; Wang, L.; Ding, S.; You, Y. Fluorinated PEG-Polypeptide Polyplex Micelles Have Good Serum-Resistance and Low Cytotoxicity for Gene Delivery. Macromol. Biosci. 2017, 17, 1700114. [Google Scholar] [CrossRef] [PubMed]
- Gao, Z.; Zhang, Z.; Guo, J.; Hao, J.; Zhang, P.; Cui, J. Polypeptide Nanoparticles with pH-Sheddable PEGylation for Improved Drug Delivery. Langmuir 2020, 36, 13656–13662. [Google Scholar] [CrossRef] [PubMed]
- Suk, J.S.; Xu, Q.; Kim, N.; Hanes, J.; Ensign, L.M. PEGylation as a strategy for improving nanoparticle-based drug and gene delivery. Adv. Drug Deliv. Rev. 2016, 99, 28–51. [Google Scholar] [CrossRef] [PubMed]
- Iudin, D.; Vasilieva, M.; Knyazeva, E.; Korzhikov-Vlakh, V.; Demyanova, E.; Lavrentieva, A.; Skorik, Y.; Korzhikova-Vlakh, E. Hybrid Nanoparticles and Composite Hydrogel Systems for Delivery of Peptide Antibiotics. Int. J. Mol. Sci. 2022, 23, 2771. [Google Scholar] [CrossRef]
- Anselmo, A.C.; Zhang, M.; Kumar, S.; Vogus, D.R.; Menegatti, S.; Helgeson, M.E.; Mitragotri, S. Elasticity of Nanoparticles Influences Their Blood Circulation, Phagocytosis, Endocytosis, and Targeting. ACS Nano 2015, 9, 3169–3177. [Google Scholar] [CrossRef]
- Yi, X.; Shi, X.; Gao, H. Cellular Uptake of Elastic Nanoparticles. Phys. Rev. Lett. 2011, 107, 098101. [Google Scholar] [CrossRef]
- Huang, C.; Butler, P.J.; Tong, S.; Muddana, H.S.; Bao, G.; Zhang, S. Substrate Stiffness Regulates Cellular Uptake of Nanoparticles. Nano Lett. 2013, 13, 1611–1615. [Google Scholar] [CrossRef]
- Liu, G.; Liu, N.; Zhou, L.; Su, Y.; Dong, C.-M. NIR-responsive polypeptide copolymer upconversion composite nanoparticles for triggered drug release and enhanced cytotoxicity. Polym. Chem. 2015, 6, 4030–4039. [Google Scholar] [CrossRef]
- Bellotti, E.; Cascone, M.G.; Barbani, N.; Rossin, D.; Rastaldo, R.; Giachino, C.; Cristallini, C. Targeting Cancer Cells Overexpressing Folate Receptors with New Terpolymer-Based Nanocapsules: Toward a Novel Targeted DNA Delivery System for Cancer Therapy. Biomedicines 2021, 9, 1275. [Google Scholar] [CrossRef] [PubMed]
- Fernández, M.; Javaid, F.; Chudasama, V. Advances in targeting the folate receptor in the treatment/imaging of cancers. Chem. Sci. 2018, 9, 790–810. [Google Scholar] [CrossRef] [PubMed]
- Shirbin, S.J.; Ladewig, K.; Fu, Q.; Klimak, M.; Zhang, X.; Duan, W.; Qiao, G.G. Cisplatin-Induced Formation of Biocompatible and Biodegradable Polypeptide-Based Vesicles for Targeted Anticancer Drug Delivery. Biomacromolecules 2015, 16, 2463–2474. [Google Scholar] [CrossRef] [PubMed]
- Hong, E.J.; Lee, D.; Kang, H.C.; Kim, Y.-C.; Shim, M.S. Cancer-specific pro-oxidant therapy using low-toxic polypeptide micelles encapsulating piperlongumine. J. Ind. Eng. Chem. 2018, 63, 57–64. [Google Scholar] [CrossRef]
- Wang, T.-W.; Yeh, C.-W.; Kuan, C.-H.; Wang, L.-W.; Chen, L.-H.; Wu, H.-C.; Sun, J.-S. Tailored design of multifunctional and programmable pH-responsive self-assembling polypeptides as drug delivery nanocarrier for cancer therapy. Acta Biomater. 2017, 58, 54–66. [Google Scholar] [CrossRef]
- Yedgar, S.; Barshtein, G.; Gural, A. Hemolytic Activity of Nanoparticles as a Marker of Their Hemocompatibility. Micromachines 2022, 13, 2091. [Google Scholar] [CrossRef]
- Matus, M.F.; Vilos, C.; Cisterna, B.A.; Fuentes, E.; Palomo, I. Nanotechnology and primary hemostasis: Differential effects of nanoparticles on platelet responses. Vascul. Pharmacol. 2018, 101, 1–8. [Google Scholar] [CrossRef]
- de la Harpe, K.; Kondiah, P.; Choonara, Y.; Marimuthu, T.; du Toit, L.; Pillay, V. The Hemocompatibility of Nanoparticles: A Review of Cell–Nanoparticle Interactions and Hemostasis. Cells 2019, 8, 1209. [Google Scholar] [CrossRef]
- Taketomi, Y.; Kuramoto, A. Ultrastructural studies on the surface coat of human platelet aggregated by polylysine and dextran. Thromb Haemost. 1978, 40, 11–23. [Google Scholar] [CrossRef]
- Fang, J.-Y.; Hwang, T.-L.; Aljuffali, I.A.; Lin, C.-F.; Chang, C.-C. Cationic additives in nanosystems activate cytotoxicity and inflammatory response of human neutrophils: Lipid nanoparticles versus polymeric nanoparticles. Int. J. Nanomed. 2015, 10, 371–385. [Google Scholar] [CrossRef]
- Zhu, L.; Li, J.; Huan, W. Combating drug-resistant bacteria with sulfonium cationic poly(methionine). RSC Adv. 2023, 13, 27608–27612. [Google Scholar] [CrossRef]
- Vlakh, E.G.; Grachova, E.V.; Zhukovsky, D.D.; Hubina, A.V.; Mikhailova, A.S.; Shakirova, J.R.; Sharoyko, V.V.; Tunik, S.P.; Tennikova, T.B. Self-assemble nanoparticles based on polypeptides containing C-terminal luminescent Pt-cysteine complex. Sci. Rep. 2017, 7, 41991. [Google Scholar] [CrossRef] [PubMed]
- Zhang, J.; Liu, Y.; Bai, L.; Gao, G.; Li, Y.; Shen, H. pH Responsive Poly(Amino Acid) Nanoparticles as Potent Carrier Adjuvants for Enhancing Cellular Immunity. Macromol. Biosci. 2023, 23, 2200520. [Google Scholar] [CrossRef] [PubMed]
- Singh, S.; Papareddy, P.; Mörgelin, M.; Schmidtchen, A.; Malmsten, M. Effects of PEGylation on Membrane and Lipopolysaccharide Interactions of Host Defense Peptides. Biomacromolecules 2014, 15, 1337–1345. [Google Scholar] [CrossRef]
- Watkins, J.D.; Buechler, Y.J.; Wu, C.-F.; Do, M.-H.; Vasserot, A.P.; Mendlein, J.D. PEGylated Tyrosyl-tRNA Synthetase Polypeptides. U.S. Patent No. 9714419B2, 25 July 2017. [Google Scholar]
- Cabral, H.; Matsumoto, Y.; Mizuno, K.; Chen, Q.; Murakami, M.; Kimura, M.; Terada, Y.; Kano, M.R.; Miyazono, K.; Uesaka, M.; et al. Accumulation of sub-100 nm polymeric micelles in poorly permeable tumours depends on size. Nat. Nanotechnol. 2011, 6, 815–823. [Google Scholar] [CrossRef]
- Matsumoto, Y.; Nichols, J.W.; Toh, K.; Nomoto, T.; Cabral, H.; Miura, Y.; Christie, R.J.; Yamada, N.; Ogura, T.; Kano, M.R.; et al. Vascular bursts enhance permeability of tumour blood vessels and improve nanoparticle delivery. Nat. Nanotechnol. 2016, 11, 533–538. [Google Scholar] [CrossRef]
- Li, K.; Li, D.; Zhao, L.; Chang, Y.; Zhang, Y.; Cui, Y.; Zhang, Z. Calcium-mineralized polypeptide nanoparticle for intracellular drug delivery in osteosarcoma chemotherapy. Bioact. Mater. 2020, 5, 721–731. [Google Scholar] [CrossRef] [PubMed]
- Jiang, Z.; Feng, X.; Zou, H.; Xu, W.; Zhuang, X. Poly(l-glutamic acid)-cisplatin nanoformulations with detachable PEGylation for prolonged circulation half-life and enhanced cell internalization. Bioact. Mater. 2021, 6, 2688–2697. [Google Scholar] [CrossRef] [PubMed]
- van Strien, J.; Warmenhoven, H.; Logiantara, A.; Makurat, M.; Aglas, L.; Bethanis, A.; Leboux, R.; van Rijt, L.; MacKay, J.A.; van Schijndel, J.W.; et al. Bet v 1-displaying elastin-like polypeptide nanoparticles induce a strong humoral and weak CD4+ T-cell response against Bet v 1 in a murine immunogenicity model. Front. Immunol. 2022, 13, 1006776. [Google Scholar] [CrossRef]
- Skwarczynski, M.; Zhao, G.; Boer, J.C.; Ozberk, V.; Azuar, A.; Cruz, J.G.; Giddam, A.K.; Khalil, Z.G.; Pandey, M.; Shibu, M.A.; et al. Poly(amino acids) as a potent self-adjuvanting delivery system for peptide-based nanovaccines. Sci. Adv. 2020, 6, eaax2285. [Google Scholar] [CrossRef]
- Kaba, S.A.; Brando, C.; Guo, Q.; Mittelholzer, C.; Raman, S.; Tropel, D.; Aebi, U.; Burkhard, P.; Lanar, D.E. A Nonadjuvanted Polypeptide Nanoparticle Vaccine Confers Long-Lasting Protection against Rodent Malaria. J. Immunol. 2009, 183, 7268–7277. [Google Scholar] [CrossRef]
- Zauner, W.; Ogris, M.; Wagner, E. Polylysine-based transfection systems utilizing receptor-mediated delivery. Adv. Drug Deliv. Rev. 1998, 30, 97–113. [Google Scholar] [CrossRef] [PubMed]
- Minigo, G.; Scholzen, A.; Tang, C.K.; Hanley, J.C.; Kalkanidis, M.; Pietersz, G.A.; Apostolopoulos, V.; Plebanski, M. Poly-l-lysine-coated nanoparticles: A potent delivery system to enhance DNA vaccine efficacy. Vaccine 2007, 25, 1316–1327. [Google Scholar] [CrossRef] [PubMed]
- Ayyappan, J.P.; Sami, H.; Rajalekshmi, D.C.; Sivakumar, S.; Abraham, A. Immunocompatibility and Toxicity Studies of Poly-L-Lysine Nanocapsules in Sprague–Dawley Rats for Drug-Delivery Applications. Chem. Biol. Drug Des. 2014, 84, 292–299. [Google Scholar] [CrossRef] [PubMed]
- Kim, C.J.; Hara, E.; Watabe, N.; Hara, I.; Kimura, S. Modulation of immunogenicity of poly(sarcosine) displayed on various nanoparticle surfaces due to different physical properties. J. Pept. Sci. 2017, 23, 889–898. [Google Scholar] [CrossRef]
- Wan, Z.; Zhang, S.; Fan, Y.; Liu, K.; Du, F.; Davey, A.M.; Zhang, H.; Han, W.; Xiong, C.; Liu, W. B Cell Activation Is Regulated by the Stiffness Properties of the Substrate Presenting the Antigens. J. Immunol. 2013, 190, 4661–4675. [Google Scholar] [CrossRef]
- Park, S.-B.; Sung, M.-H.; Uyama, H.; Han, D.K. Poly(glutamic acid): Production, composites, and medical applications of the next-generation biopolymer. Prog. Polym. Sci. 2021, 113, 101341. [Google Scholar] [CrossRef]
- Sakhabeev, R.G.; Polyakov, D.S.; Sinitsyna, E.S.; Korzhikova-Vlakh, E.G.; Korzhikov-Vlakh, V.A.; Shavlovsky, M.M. Immune Response to the Introduction of Fibrillogenic β2-Microglobulin Protein Conjugated with Different Types of Polymer Particles. J. Evol. Biochem. Physiol. 2023, 59, 504–512. [Google Scholar] [CrossRef]
- Uto, T.; Toyama, M.; Nishi, Y.; Akagi, T.; Shima, F.; Akashi, M.; Baba, M. Uptake of biodegradable poly(γ-glutamic acid) nanoparticles and antigen presentation by dendritic cells in vivo. Results Immunol. 2013, 3, 1–9. [Google Scholar] [CrossRef]
- He, C.; Zhuang, X.; Tang, Z.; Tian, H.; Chen, X. Stimuli-Sensitive Synthetic Polypeptide-Based Materials for Drug and Gene Delivery. Adv. Healthc. Mater. 2012, 1, 48–78. [Google Scholar] [CrossRef]
- Chang, H.; Li, C.; Huang, R.; Su, R.; Qi, W.; He, Z. Amphiphilic hydrogels for biomedical applications. J. Mater. Chem. B 2019, 7, 2899–2910. [Google Scholar] [CrossRef]
- Adelnia, H.; Blakey, I.; Little, P.J.; Ta, H.T. Hydrogels Based on Poly(aspartic acid): Synthesis and Applications. Front. Chem. 2019, 7, 755. [Google Scholar] [CrossRef] [PubMed]
- Hu, Y.; Zhu, Z.; Teng, L.; He, Y.; Zou, D.; Lu, J. Applications of Polypeptide Hydrogels in Cartilage-Regeneration Engineering. J. Shanghai Jiaotong Univ. 2023, 28, 468–485. [Google Scholar] [CrossRef]
- Falcone, N.; Ermis, M.; Tamay, D.G.; Mecwan, M.; Monirizad, M.; Mathes, T.G.; Jucaud, V.; Choroomi, A.; de Barros, N.R.; Zhu, Y.; et al. Peptide Hydrogels as Immunomaterials and Their Use in Cancer Immunotherapy Delivery. Adv. Healthc. Mater. 2023, 12, 202301096. [Google Scholar] [CrossRef] [PubMed]
- Zhu, H.; Liu, R.; Shang, Y.; Sun, L. Polylysine complexes and their biomedical applications. Eng. Regen. 2023, 4, 20–27. [Google Scholar] [CrossRef]
- Zhao, D.; Rong, Y.; Li, D.; He, C.; Chen, X. Thermo-induced physically crosslinked polypeptide-based block copolymer hydrogels for biomedical applications. Regen. Biomater. 2023, 10, rbad039. [Google Scholar] [CrossRef]
- Bilalis, P.; Skoulas, D.; Karatzas, A.; Marakis, J.; Stamogiannos, A.; Tsimblouli, C.; Sereti, E.; Stratikos, E.; Dimas, K.; Vlassopoulos, D.; et al. Self-Healing pH- and Enzyme Stimuli-Responsive Hydrogels for Targeted Delivery of Gemcitabine to Treat Pancreatic Cancer. Biomacromolecules 2018, 19, 3840–3852. [Google Scholar] [CrossRef]
- Song, H.; Yang, P.; Huang, P.; Zhang, C.; Kong, D.; Wang, W. Injectable polypeptide hydrogel-based co-delivery of vaccine and immune checkpoint inhibitors improves tumor immunotherapy. Theranostics 2019, 9, 2299–2314. [Google Scholar] [CrossRef] [PubMed]
- Popescu, M.-T.; Liontos, G.; Avgeropoulos, A.; Voulgari, E.; Avgoustakis, K.; Tsitsilianis, C. Injectable Hydrogel: Amplifying the pH Sensitivity of a Triblock Copolypeptide by Conjugating the N-Termini via Dynamic Covalent Bonding. ACS Appl. Mater. Interfaces 2016, 8, 17539–17548. [Google Scholar] [CrossRef] [PubMed]
- Liarou, E.; Varlas, S.; Skoulas, D.; Tsimblouli, C.; Sereti, E.; Dimas, K.; Iatrou, H. Smart polymersomes and hydrogels from polypeptide-based polymer systems through α-amino acid N-carboxyanhydride ring-opening polymerization. From chemistry to biomedical applications. Prog. Polym. Sci. 2018, 83, 28–78. [Google Scholar] [CrossRef]
- Elsawy, M.A.; Wychowaniec, J.K.; Castillo Díaz, L.A.; Smith, A.M.; Miller, A.F.; Saiani, A. Controlling Doxorubicin Release from a Peptide Hydrogel through Fine-Tuning of Drug–Peptide Fiber Interactions. Biomacromolecules 2022, 23, 2624–2634. [Google Scholar] [CrossRef]
- Deming, T.J. Polypeptide hydrogels via a unique assembly mechanism. Soft Matter 2005, 1, 28. [Google Scholar] [CrossRef]
- Murphy, R.D.; Garcia, R.V.; Heise, A.; Hawker, C.J. Peptides as 3D printable feedstocks: Design strategies and emerging applications. Prog. Polym. Sci. 2022, 124, 101487. [Google Scholar] [CrossRef]
- Wang, Y.; Jiang, Z.; Xu, W.; Yang, Y.; Zhuang, X.; Ding, J.; Chen, X. Chiral Polypeptide Thermogels Induce Controlled Inflammatory Response as Potential Immunoadjuvants. ACS Appl. Mater. Interfaces 2019, 11, 8725–8730. [Google Scholar] [CrossRef] [PubMed]
- Shen, Y.; Zhang, S.; Wan, Y.; Fu, W.; Li, Z. Hydrogels assembled from star-shaped polypeptides with a dendrimer as the core. Soft Matter 2015, 11, 2945–2951. [Google Scholar] [CrossRef]
- Zhang, S.; Fu, W.; Li, Z. Supramolecular hydrogels assembled from nonionic poly(ethylene glycol)-b-polypeptide diblocks containing OEGylated poly-L-glutamate. Polym. Chem. 2014, 5, 3346–3351. [Google Scholar] [CrossRef]
- Chen, C.; Wu, D.; Fu, W.; Li, Z. Peptide Hydrogels Assembled from Nonionic Alkyl-polypeptide Amphiphiles Prepared by Ring-Opening Polymerization. Biomacromolecules 2013, 14, 2494–2498. [Google Scholar] [CrossRef] [PubMed]
- Tian, M.-P.; Zhang, A.-D.; Yao, Y.-X.; Chen, X.-G.; Liu, Y. Mussel-inspired adhesive and polypeptide-based antibacterial thermo-sensitive hydroxybutyl chitosan hydrogel as BMSCs 3D culture matrix for wound healing. Carbohydr. Polym. 2021, 261, 117878. [Google Scholar] [CrossRef]
- Naranjo-Alcazar, R.; Bendix, S.; Groth, T.; Gallego Ferrer, G. Research Progress in Enzymatically Cross-Linked Hydrogels as Injectable Systems for Bioprinting and Tissue Engineering. Gels 2023, 9, 230. [Google Scholar] [CrossRef]
- Siqueira, E.C.d.; França, J.A.A.d.; Souza, R.F.M.d.; Leoterio, D.M.d.S.; Cordeiro, J.N.; Doboszewski, B. Mecanisms of the chemical crosslinking to obtain the hydrogels: Synthesis, conditions of crosslinking and biopharmaceutical applications. Res. Soc. Dev. 2023, 12, e18312943072. [Google Scholar] [CrossRef]
- Meng, F.; Sun, J.; Li, Z. Stimuli-Responsive Polypeptide-Based Supramolecular Hydrogels Mediated by Ca2+ Ion Cross-Linking. Chin. J. Chem. 2019, 37, 1137–1141. [Google Scholar] [CrossRef]
- Zhao, D.; Tang, Q.; Zhou, Q.; Peng, K.; Yang, H.; Zhang, X. A photo-degradable injectable self-healing hydrogel based on star poly(ethylene glycol)-b-polypeptide as a potential pharmaceuticals delivery carrier. Soft Matter 2018, 14, 7420–7428. [Google Scholar] [CrossRef] [PubMed]
- Bao, X.; Si, X.; Ding, X.; Duan, L.; Xiao, C. pH-responsive hydrogels based on the self-assembly of short polypeptides for controlled release of peptide and protein drugs. J. Polym. Res. 2019, 26, 278. [Google Scholar] [CrossRef]
- Xu, Q.; He, C.; Ren, K.; Xiao, C.; Chen, X. Thermosensitive Polypeptide Hydrogels as a Platform for ROS-Triggered Cargo Release with Innate Cytoprotective Ability under Oxidative Stress. Adv. Healthc. Mater. 2016, 5, 1979–1990. [Google Scholar] [CrossRef] [PubMed]
- Ghosh, D.; Roy, S.G.; De, P. Amino acid-based polymeric gel network and its application in different fields. J. Indian Chem. Soc. 2022, 99, 100366. [Google Scholar] [CrossRef]
- Ren, X.; Wang, N.; Zhou, Y.; Song, A.; Jin, G.; Li, Z.; Luan, Y. An injectable hydrogel using an immunomodulating gelator for amplified tumor immunotherapy by blocking the arginase pathway. Acta Biomater. 2021, 124, 179–190. [Google Scholar] [CrossRef]
- Huang, S.; Kong, X.; Xiong, Y.; Zhang, X.; Chen, H.; Jiang, W.; Niu, Y.; Xu, W.; Ren, C. An overview of dynamic covalent bonds in polymer material and their applications. Eur. Polym. J. 2020, 141, 110094. [Google Scholar] [CrossRef]
- Kozlowski, M.T.; Zook, H.N.; Chigumba, D.N.; Johnstone, C.P.; Caldera, L.F.; Shih, H.-P.; Tirrell, D.A.; Ku, H.T. A matrigel-free method for culture of pancreatic endocrine-like cells in defined protein-based hydrogels. Front. Bioeng. Biotechnol. 2023, 11, 1144209. [Google Scholar] [CrossRef]
- Li, W.; Cai, J.; Zhou, W.; Zhao, X.; Wang, M.; Zhou, X.; Ren, L. Poly(aspartic acid)-based self-healing hydrogel with precise antibacterial ability for rapid infected-wound repairing. Colloids Surf. B Biointerfaces 2023, 221, 112982. [Google Scholar] [CrossRef]
- Liu, W.; Wang, M.; Cheng, W.; Niu, W.; Chen, M.; Luo, M.; Xie, C.; Leng, T.; Zhang, L.; Lei, B. Bioactive antiinflammatory antibacterial hemostatic citrate-based dressing with macrophage polarization regulation for accelerating wound healing and hair follicle neogenesis. Bioact. Mater. 2021, 6, 721–728. [Google Scholar] [CrossRef]
- Shi, Y.; Li, D.; He, C.; Chen, X. Design of an Injectable Polypeptide Hydrogel Depot Containing the Immune Checkpoint Blocker Anti-PD-L1 and Doxorubicin to Enhance Antitumor Combination Therapy. Macromol. Biosci. 2021, 21, 2100049. [Google Scholar] [CrossRef] [PubMed]
- Li, Z.; Xu, W.; Yang, J.; Wang, J.; Wang, J.; Zhu, G.; Li, D.; Ding, J.; Sun, T. A Tumor Microenvironments-Adapted Polypeptide Hydrogel/Nanogel Composite Boosts Antitumor Molecularly Targeted Inhibition and Immunoactivation. Adv. Mater. 2022, 34, 202200449. [Google Scholar] [CrossRef]
- Chen, Y.-H.; Ku, Y.-H.; Wang, K.-C.; Chiang, H.-C.; Hsu, Y.-P.; Cheng, M.-T.; Wang, C.-S.; Wee, Y. Bioinspired Sandcastle Worm-Derived Peptide-Based Hybrid Hydrogel for Promoting the Formation of Liver Spheroids. Gels 2022, 8, 149. [Google Scholar] [CrossRef] [PubMed]
- Derkus, B.; Okesola, B.O. Polypeptide-Based Multicomponent Materials: From Design to Applications. In Peptide Bionanomaterials; Springer International Publishing: Cham, Switzerland, 2023; pp. 195–227. [Google Scholar]
- Cai, M.-H.; Chen, X.-Y.; Fu, L.-Q.; Du, W.-L.; Yang, X.; Mou, X.-Z.; Hu, P.-Y. Design and Development of Hybrid Hydrogels for Biomedical Applications: Recent Trends in Anticancer Drug Delivery and Tissue Engineering. Front. Bioeng. Biotechnol. 2021, 9, 630943. [Google Scholar] [CrossRef] [PubMed]
- Wei, J.; Lin, M.; Fu, X.; Sun, J. Hybrid Hydrogels from Nongelling Polymers Using a Fibrous Peptide Hydrogelator at Low Concentrations. Langmuir 2022, 38, 10305–10312. [Google Scholar] [CrossRef] [PubMed]
- Wang, H.; Shang, Y.; Chen, X.; Wang, Z.; Zhu, D.; Liu, Y.; Zhang, C.; Chen, P.; Wu, J.; Wu, L.; et al. Delivery of MSCs with a Hybrid β-Sheet Peptide Hydrogel Consisting IGF-1C Domain and D-Form Peptide for Acute Kidney Injury Therapy. Int. J. Nanomed. 2020, 15, 4311–4324. [Google Scholar] [CrossRef]
- Garcia, R.V.; Murphy, E.A.; Sinha, N.J.; Okayama, Y.; Urueña, J.M.; Helgeson, M.E.; Bates, C.M.; Hawker, C.J.; Murphy, R.D.; Read de Alaniz, J. Tailoring Writability and Performance of Star Block Copolypeptides Hydrogels through Side-Chain Design. Small 2023, 2302794. [Google Scholar] [CrossRef]
- Murphy, R.D.; Delaney, C.; Kolagatla, S.; Florea, L.; Hawker, C.J.; Heise, A. Design of Statistical Copolypeptides as Multipurpose Hydrogel Resins in 3D Printing. Adv. Funct. Mater. 2023, 2306710. [Google Scholar] [CrossRef]
- Enshaei, H.; Molina, B.G.; Puiggalí-Jou, A.; Saperas, N.; Alemán, C. Polypeptide hydrogel loaded with conducting polymer nanoparticles as electroresponsive delivery system of small hydrophobic drugs. Eur. Polym. J. 2022, 173, 111199. [Google Scholar] [CrossRef]
- Zhang, P.; Li, M.; Xiao, C.; Chen, X. Stimuli-responsive polypeptides for controlled drug delivery. Chem. Commun. 2021, 57, 9489–9503. [Google Scholar] [CrossRef]
- Onder, O.C.; Utroša, P.; Caserman, S.; Podobnik, M.; Žagar, E.; Pahovnik, D. Preparation of Synthetic Polypeptide–PolyHIPE Hydrogels with Stimuli-Responsive Behavior. Macromolecules 2021, 54, 8321–8330. [Google Scholar] [CrossRef]
- Popescu, M.-T.; Liontos, G.; Avgeropoulos, A.; Tsitsilianis, C. Stimuli responsive fibrous hydrogels from hierarchical self-assembly of a triblock copolypeptide. Soft Matter 2015, 11, 331–342. [Google Scholar] [CrossRef] [PubMed]
- Li, G.; Wu, J.; Wang, B.; Yan, S.; Zhang, K.; Ding, J.; Yin, J. Self-Healing Supramolecular Self-Assembled Hydrogels Based on Poly(L-glutamic acid). Biomacromolecules 2015, 16, 3508–3518. [Google Scholar] [CrossRef]
- Zhou, L.; Xi, Y.; Xue, Y.; Wang, M.; Liu, Y.; Guo, Y.; Lei, B. Injectable Self-Healing Antibacterial Bioactive Polypeptide-Based Hybrid Nanosystems for Efficiently Treating Multidrug Resistant Infection, Skin-Tumor Therapy, and Enhancing Wound Healing. Adv. Funct. Mater. 2019, 29, 06883. [Google Scholar] [CrossRef]
- Kimmins, S.D.; Hanay, S.B.; Murphy, R.; O’Dwyer, J.; Ramalho, J.; Ryan, E.J.; Kearney, C.J.; O’Brien, F.J.; Cryan, S.-A.; Fitzgerald-Hughes, D.; et al. Antimicrobial and degradable triazolinedione (TAD) crosslinked polypeptide hydrogels. J. Mater. Chem. B 2021, 9, 5456–5464. [Google Scholar] [CrossRef]
- Liu, J.; Zhang, Y.; Li, Q.; Feng, Z.; Huang, P.; Wang, W.; Liu, J. Development of injectable thermosensitive polypeptide hydrogel as facile radioisotope and radiosensitizer hotspot for synergistic brachytherapy. Acta Biomater. 2020, 114, 133–145. [Google Scholar] [CrossRef] [PubMed]
- Rong, Y.; Zhang, Z.; He, C.; Chen, X. Bioactive polypeptide hydrogels modified with RGD and N-cadherin mimetic peptide promote chondrogenic differentiation of bone marrow mesenchymal stem cells. Sci. China Chem. 2020, 63, 1100–1111. [Google Scholar] [CrossRef]
- Li, X.; Liu, J.; Chen, H.; Chen, Y.; Wang, Y.; Zhang, C.Y.; Xing, X.-H. Multi-functional engineered polypeptide-based drug delivery systems for improved cancer therapy. Green Chem. Eng. 2022, 4, 173–188. [Google Scholar] [CrossRef]
- Debela, D.T.; Muzazu, S.G.; Heraro, K.D.; Ndalama, M.T.; Mesele, B.W.; Haile, D.C.; Kitui, S.K.; Manyazewal, T. New approaches and procedures for cancer treatment: Current perspectives. SAGE Open Med. 2021, 9, 205031212110343. [Google Scholar] [CrossRef] [PubMed]
- Pucci, C.; Martinelli, C.; Ciofani, G. Innovative approaches for cancer treatment: Current perspectives and new challenges. Ecancermedicalscience 2019, 13, 961. [Google Scholar] [CrossRef] [PubMed]
- Shi, Z.; Li, Q.; Mei, L. pH-Sensitive nanoscale materials as robust drug delivery systems for cancer therapy. Chin. Chem. Lett. 2020, 31, 1345–1356. [Google Scholar] [CrossRef]
- Shi, L.; Zhang, J.; Zhao, M.; Tang, S.; Cheng, X.; Zhang, W.; Li, W.; Liu, X.; Peng, H.; Wang, Q. Effects of polyethylene glycol on the surface of nanoparticles for targeted drug delivery. Nanoscale 2021, 13, 10748–10764. [Google Scholar] [CrossRef] [PubMed]
- Gupta, V.; Bhavanasi, S.; Quadir, M.; Singh, K.; Ghosh, G.; Vasamreddy, K.; Ghosh, A.; Siahaan, T.J.; Banerjee, S.; Banerjee, S.K. Protein PEGylation for cancer therapy: Bench to bedside. J. Cell Commun. Signal. 2019, 13, 319–330. [Google Scholar] [CrossRef] [PubMed]
- Justus, C.R.; Dong, L.; Yang, L.V. Acidic tumor microenvironment and pH-sensing G protein-coupled receptors. Front. Physiol. 2013, 4, 00354. [Google Scholar] [CrossRef] [PubMed]
- Mori, D.; Tsujikawa, T.; Sugiyama, Y.; Kotani, S.; Fuse, S.; Ohmura, G.; Arai, A.; Kawaguchi, T.; Hirano, S.; Mazda, O.; et al. Extracellular acidity in tumor tissue upregulates programmed cell death protein 1 expression on tumor cells via proton-sensing G protein-coupled receptors. Int. J. Cancer 2021, 149, 2116–2124. [Google Scholar] [CrossRef]
- Zhang, L.; Zhang, P.; Zhao, Q.; Zhang, Y.; Cao, L.; Luan, Y. Doxorubicin-loaded polypeptide nanorods based on electrostatic interactions for cancer therapy. J. Colloid Interface Sci. 2016, 464, 126–136. [Google Scholar] [CrossRef]
- Liu, N.; Han, J.; Zhang, X.; Yang, Y.; Liu, Y.; Wang, Y.; Wu, G. pH-responsive zwitterionic polypeptide as a platform for anti-tumor drug delivery. Colloids Surf. B Biointerfaces 2016, 145, 401–409. [Google Scholar] [CrossRef]
- Zhang, Y.; Kim, I.; Lu, Y.; Xu, Y.; Yu, D.-G.; Song, W. Intelligent poly(l-histidine)-based nanovehicles for controlled drug delivery. J. Control. Release 2022, 349, 963–982. [Google Scholar] [CrossRef]
- Ma, L.; Ouyang, Q.; Werthmann, G.C.; Thompson, H.M.; Morrow, E.M. Live-cell Microscopy and Fluorescence-based Measurement of Luminal pH in Intracellular Organelles. Front. Cell Dev. Biol. 2017, 5, 00071. [Google Scholar] [CrossRef]
- Kermaniyan, S.S.; Chen, M.; Zhang, C.; Smith, S.A.; Johnston, A.P.R.; Such, C.; Such, G.K. Understanding the Biological Interactions of pH-Swellable Nanoparticles. Macromol. Biosci. 2022, 22, 2100445. [Google Scholar] [CrossRef]
- Bidwell, G.L.; Fokt, I.; Priebe, W.; Raucher, D. Development of elastin-like polypeptide for thermally targeted delivery of doxorubicin. Biochem. Pharmacol. 2007, 73, 620–631. [Google Scholar] [CrossRef] [PubMed]
- Duan, W.; Ji, S.; Guan, Y.; Mu, X.; Fang, S.; Lu, Y.; Zhou, X.; Sun, J.; Li, Z. Esterase-Responsive Polypeptide Vesicles as Fast-Response and Sustained-Release Nanocompartments for Fibroblast-Exempt Drug Delivery. Biomacromolecules 2020, 21, 5093–5103. [Google Scholar] [CrossRef] [PubMed]
- Liu, G.; Zhuang, W.; Chen, X.; Yin, A.; Nie, Y.; Wang, Y. Drug carrier system self-assembled from biomimetic polyphosphorycholine and biodegradable polypeptide based diblock copolymers. Polymer 2016, 100, 45–55. [Google Scholar] [CrossRef]
- Xu, Y.; Li, Z.; Xiu, D.; Sun, G.; Snow, C.D.; Wang, Y.; Wang, Y.; Belfiore, L.A.; Tang, J. Histidine polypeptide-hybridized nanoscale metal–organic framework to sense drug loading/release. Mater. Des. 2021, 205, 109741. [Google Scholar] [CrossRef]
- Zhou, M.; Hou, T.; Li, J.; Yu, S.; Xu, Z.; Yin, M.; Wang, J.; Wang, X. Self-Propelled and Targeted Drug Delivery of Poly(aspartic acid)/Iron–Zinc Microrocket in the Stomach. ACS Nano 2019, 13, 06773. [Google Scholar] [CrossRef]
- Sudareva, N.N.; Suvorova, O.M.; Korzhikova-Vlakh, E.G.; Tarasenko, I.I.; Kolbe, K.A.; Smirnova, N.V.; Saprykina, N.N.; Suslov, D.N. Comparison of Delivery Systems for Chemotherapy Preparation Doxorubicin using Electron Microscopic and Hydrodynamic Methods. Tech. Phys. 2022, 67, 277–282. [Google Scholar] [CrossRef]
- Wang, J.; Xu, W.; Zhang, N.; Yang, C.; Xu, H.; Wang, Z.; Li, B.; Ding, J.; Chen, X. X-ray-responsive polypeptide nanogel for concurrent chemoradiotherapy. J. Control. Release 2021, 332, 1–9. [Google Scholar] [CrossRef]
- Ribas, V.; García-Ruiz, C.; Fernández-Checa, J.C. Glutathione and mitochondria. Front. Pharmacol. 2014, 5, 151. [Google Scholar] [CrossRef]
- Sis, M.J.; Webber, M.J. Drug Delivery with Designed Peptide Assemblies. Trends Pharmacol. Sci. 2019, 40, 747–762. [Google Scholar] [CrossRef]
- Kuppusamy, P.; Li, H.; Ilangovan, G.; Cardounel, A.J.; Zweier, J.L.; Yamada, K.; Krishna, M.C.; Mitchell, J.B. Noninvasive imaging of tumor redox status and its modification by tissue glutathione levels. Cancer Res. 2002, 62, 307–312. [Google Scholar]
- Oussoren, C.; Eling, W.M.C.; Crommelin, D.J.A.; Storm, G.; Zuidema, J. The influence of the route of administration and liposome composition on the potential of liposomes to protect tissue against local toxicity of two antitumor drugs. Biochim. Biophys. Acta—Biomembr. 1998, 1369, 159–172. [Google Scholar] [CrossRef] [PubMed]
- Karimi, M.; Kamali, H.; Fakhrmohammadi, S.; Khezri, E.; Malaekeh-Nikouei, B.; Mohammadi, M. Prolonged local delivery of doxorubicin to cancer cells using lipid liquid crystalline system. Int. J. Pharm. 2023, 639, 122947. [Google Scholar] [CrossRef] [PubMed]
- Schaal, J.L.; Li, X.; Mastria, E.; Bhattacharyya, J.; Zalutsky, M.R.; Chilkoti, A.; Liu, W. Injectable polypeptide micelles that form radiation crosslinked hydrogels in situ for intratumoral radiotherapy. J. Control. Release 2016, 228, 58–66. [Google Scholar] [CrossRef]
- Hu, C.M.J.; Aryal, S.; Zhang, L. Nanoparticle-assisted combination therapies for effective cancer treatment. Ther. Deliv. 2010, 1, 323–334. [Google Scholar] [CrossRef] [PubMed]
- Mansoori, B.; Mohammadi, A.; Davudian, S.; Shirjang, S.; Baradaran, B. The Different Mechanisms of Cancer Drug Resistance: A Brief Review. Adv. Pharm. Bull. 2017, 7, 339. [Google Scholar] [CrossRef]
- Ghosh, S.; Lalani, R.; Patel, V.; Bardoliwala, D.; Maiti, K.; Banerjee, S.; Bhowmick, S.; Misra, A. Combinatorial nanocarriers against drug resistance in hematological cancers: Opportunities and emerging strategies. J. Control. Release 2019, 296, 114–139. [Google Scholar] [CrossRef]
- Zhou, J.; Kang, Y.; Chen, L.; Wang, H.; Liu, J.; Zeng, S.; Yu, L. The Drug-Resistance Mechanisms of Five Platinum-Based Antitumor Agents. Front. Pharmacol. 2020, 11, 343. [Google Scholar] [CrossRef]
- Housman, G.; Byler, S.; Heerboth, S.; Lapinska, K.; Longacre, M.; Snyder, N.; Sarkar, S. Drug Resistance in Cancer: An Overview. Cancers 2014, 6, 1769. [Google Scholar] [CrossRef]
- Miao, L.; Guo, S.; Lin, C.M.; Liu, Q.; Huang, L. Nanoformulations for combination or cascade anticancer therapy. Adv. Drug Deliv. Rev. 2017, 115, 3–22. [Google Scholar] [CrossRef]
- Gadde, S. Multi-drug delivery nanocarriers for combination therapy. Medchemcomm 2015, 6, 1916–1929. [Google Scholar] [CrossRef]
- Pushpalatha, R.; Selvamuthukumar, S.; Kilimozhi, D. Nanocarrier mediated combination drug delivery for chemotherapy—A review. J. Drug Deliv. Sci. Technol. 2017, 39, 362–371. [Google Scholar] [CrossRef]
- Roque, M.C.; da Silva, C.D.; Lempek, M.R.; Cassali, G.D.; de Barros, A.L.B.; Melo, M.M.; Oliveira, M.C. Preclinical toxicological study of long-circulating and fusogenic liposomes co-encapsulating paclitaxel and doxorubicin in synergic ratio. Biomed. Pharmacother. 2021, 144, 112307. [Google Scholar] [CrossRef]
- Pitchika, S.; Sahoo, S.K. Paclitaxel and Lapatinib dual loaded chitosan-coated PLGA nanoparticles enhance cytotoxicity by circumventing MDR1-mediated trastuzumab resistance in HER2 positive breast cancers: In-vitro and in-vivo studies. J. Drug Deliv. Sci. Technol. 2022, 73, 103445. [Google Scholar] [CrossRef]
- Lin, X.; Wang, Q.; Du, S.; Guan, Y.; Qiu, J.; Chen, X.; Yuan, D.; Chen, T. Nanoparticles for co-delivery of paclitaxel and curcumin to overcome chemoresistance against breast cancer. J. Drug Deliv. Sci. Technol. 2023, 79, 104050. [Google Scholar] [CrossRef]
- Wei, L.; Chen, J.; Zhao, S.; Ding, J.; Chen, X. Thermo-sensitive polypeptide hydrogel for locally sequential delivery of two-pronged antitumor drugs. Acta Biomater. 2017, 58, 44–53. [Google Scholar] [CrossRef] [PubMed]
- Pan, H.; Liu, L.; Cai, L. Polypeptide Cationic Micelles Mediated Co-delivery of Docetaxel and siRNA for Synergistic Tumor Therapy. In Gene Delivery; Tian, H., Chen, X., Eds.; Springer: Singapore, 2021; pp. 1–15. [Google Scholar]
- Feng, X.; Xu, W.; Liu, J.; Li, D.; Li, G.; Ding, J.; Chen, X. Polypeptide nanoformulation-induced immunogenic cell death and remission of immunosuppression for enhanced chemoimmunotherapy. Sci. Bull. 2021, 66, 362–373. [Google Scholar] [CrossRef] [PubMed]
- Song, H.; Huang, P.; Niu, J.; Shi, G.; Zhang, C.; Kong, D.; Wang, W. Injectable polypeptide hydrogel for dual-delivery of antigen and TLR3 agonist to modulate dendritic cells in vivo and enhance potent cytotoxic T-lymphocyte response against melanoma. Biomaterials 2018, 159, 119–129. [Google Scholar] [CrossRef] [PubMed]
- Zhang, C.; Zhong, W.; Cao, Y.; Liu, B.; Tao, X.; Li, Z. Sorafenib/2800Z Co-Loaded into Cholesterol and PEG Grafted Polylysine NPs for Liver Cancer Treatment. Pharmaceuticals 2023, 16, 119. [Google Scholar] [CrossRef]
- Liu, C.; Li, L.; Guo, Z.-P.; Lin, L.; Li, Y.-H.; Tian, H.-Y. PLG-g-mPEG Mediated Multifunctional Nanoparticles for Photoacoustic Imaging Guided Combined Chemo/Photothermal Antitumor Therapy. Chin. J. Polym. Sci. 2023, 41, 538–546. [Google Scholar] [CrossRef]
- Zashikhina, N.; Gandalipov, E.; Dzhuzha, A.; Korzhikov-Vlakh, V.; Korzhikova-Vlakh, E. Dual drug loaded polypeptide delivery systems for cancer therapy. J. Microencapsul. 2023, 40, 630–648. [Google Scholar] [CrossRef]
- Gupta, A.; Andresen, J.L.; Manan, R.S.; Langer, R. Nucleic acid delivery for therapeutic applications. Adv. Drug Deliv. Rev. 2021, 178, 113834. [Google Scholar] [CrossRef] [PubMed]
- Ahmadzada, T.; Reid, G.; McKenzie, D.R. Fundamentals of siRNA and miRNA therapeutics and a review of targeted nanoparticle delivery systems in breast cancer. Biophys. Rev. 2018, 10, 69–86. [Google Scholar] [CrossRef] [PubMed]
- Puchkov, P.A.; Shmendel, E.V.; Luneva, A.S.; Morozova, N.G.; Zenkova, M.A.; Maslov, M.A. Design, synthesis and transfection efficiency of a novel redox-sensitive polycationic amphiphile. Bioorganic Med. Chem. Lett. 2016, 26, 5911–5915. [Google Scholar] [CrossRef]
- Wightman, L.; Kircheis, R.; Rössler, V.; Garotta, S.; Ruzicka, R.; Kursa, M.; Wagner, E. Different behavior of branched and linear polyethylenimine for gene delivery in vitro and in vivo. J. Gene Med. 2001, 3, 362–372. [Google Scholar] [CrossRef]
- Degors, I.M.S.; Wang, C.; Rehman, Z.U.; Zuhorn, I.S. Carriers break barriers in drug delivery: Endocytosis and endosomal escape of gene delivery vectors. Acc. Chem. Res. 2019, 52, 1750–1760. [Google Scholar] [CrossRef]
- Wang, M.Z.; Niu, J.; Ma, H.J.; Dad, H.A.; Shao, H.T.; Yuan, T.J.; Peng, L.H. Transdermal siRNA delivery by pH-switchable micelles with targeting effect suppress skin melanoma progression. J. Control. Release 2020, 322, 95–107. [Google Scholar] [CrossRef]
- Ward, C.M.; Read, M.L.; Seymour, L.W. Systemic circulation of poly(l-lysine)/DNA vectors is influenced by polycation molecular weight and type of DNA: Differential circulation in mice and rats and the implications for human gene therapy. Blood 2001, 97, 2221–2229. [Google Scholar] [CrossRef]
- Mandal, H.; Katiyar, S.S.; Swami, R.; Kushwah, V.; Katare, P.B.; Kumar Meka, A.; Banerjee, S.K.; Popat, A.; Jain, S. ε-Poly-l-Lysine/plasmid DNA nanoplexes for efficient gene delivery in vivo. Int. J. Pharm. 2018, 542, 142–152. [Google Scholar] [CrossRef] [PubMed]
- Merdan, T.; Kopeček, J.; Kissel, T. Prospects for cationic polymers in gene and oligonucleotide therapy against cancer. Adv. Drug Deliv. Rev. 2002, 54, 715–758. [Google Scholar] [CrossRef]
- Ziady, A.-G.; Ferkol, T.; Dawson, D.V.; Perlmutter, D.H.; Davis, P.B. Chain Length of the Polylysine in Receptor-targeted Gene Transfer Complexes Affects Duration of Reporter Gene Expression Both In Vitro and In Vivo. J. Biol. Chem. 1999, 274, 4908–4916. [Google Scholar] [CrossRef]
- Yi, L.; Wang, Y.; Lin, G.; Lin, D.; Chen, W.; Huang, Y.; Ye, G. Synthesis of conformation switchable cationic polypeptides based on poly(S -propargyl-cysteine) for use as siRNA delivery. Int. J. Biol. Macromol. 2017, 101, 758–767. [Google Scholar] [CrossRef] [PubMed]
- Kano, A.; Moriyama, K.; Yamano, T.; Nakamura, I.; Shimada, N.; Maruyama, A. Grafting of poly(ethylene glycol) to poly-lysine augments its lifetime in blood circulation and accumulation in tumors without loss of the ability to associate with siRNA. J. Control. Release 2011, 149, 2–7. [Google Scholar] [CrossRef]
- Ge, C.; Yang, J.; Duan, S.; Liu, Y.; Meng, F.; Yin, L. Fluorinated α-Helical Polypeptides Synchronize Mucus Permeation and Cell Penetration toward Highly Efficient Pulmonary siRNA Delivery against Acute Lung Injury. Nano Lett. 2020, 20, 1738–1746. [Google Scholar] [CrossRef]
- Wu, Y.; Wang, W.; Qiu, X.; Lu, Z.; Ji, W.; Shen, J.; Peng, H.; Zhao, R.; Wang, J.; Zhang, T.; et al. A STIR nucleic acid drug delivery system for stirring phenotypic switch of microglia in Parkinson’s disease treatments. Nano Res. 2023, 16, 7216–7226. [Google Scholar] [CrossRef]
- Souri, M.; Bagherzadeh, M.A.; Mofazzal Jahromi, M.A.; Mohammad-Beigi, H.; Abdoli, A.; Mir, H.; Roustazadeh, A.; Pirestani, M.; Sahandi Zangabad, P.; Kiani, J.; et al. Poly-L-lysine/hyaluronan nanocarriers as a novel nanosystem for gene delivery. J. Microsc. 2022, 287, 32–44. [Google Scholar] [CrossRef]
- Nogueira, S.S.; Schlegel, A.; Maxeiner, K.; Weber, B.; Barz, M.; Schroer, M.A.; Blanchet, C.E.; Svergun, D.I.; Ramishetti, S.; Peer, D.; et al. Polysarcosine-Functionalized Lipid Nanoparticles for Therapeutic mRNA Delivery. ACS Appl. Nano Mater. 2020, 3, 10634–10645. [Google Scholar] [CrossRef]
- Joubert, F.; Munson, M.J.; Sabirsh, A.; England, R.M.; Hemmerling, M.; Alexander, C.; Ashford, M.B. Precise and systematic end group chemistry modifications on PAMAM and poly(l-lysine) dendrimers to improve cytosolic delivery of mRNA. J. Control. Release 2023, 356, 580–594. [Google Scholar] [CrossRef] [PubMed]
- Lee, C.H.; Ingrole, R.S.J.; Gill, H.S. Generation of induced pluripotent stem cells using elastin like polypeptides as a non-viral gene delivery system. Biochim. Biophys. Acta—Mol. Basis Dis. 2020, 1866, 165405. [Google Scholar] [CrossRef]
- Dash, B.C.; Mahor, S.; Carroll, O.; Mathew, A.; Wang, W.; Woodhouse, K.A.; Pandit, A. Tunable elastin-like polypeptide hollow sphere as a high payload and controlled delivery gene depot. J. Control. Release 2011, 152, 382–392. [Google Scholar] [CrossRef]
- Bravo-Anaya, L.M.; Rosselgong, J.; Fernández-Solís, K.G.; Xiao, Y.; Vax, A.; Ibarboure, E.; Ruban, A.; Lebleu, C.; Joucla, G.; Garbay, B.; et al. Coupling of RAFT polymerization and chemoselective post-modifications of elastin-like polypeptides for the synthesis of gene delivery hybrid vectors. Polym. Chem. 2021, 12, 226–241. [Google Scholar] [CrossRef]
- Zhang, R.; Zheng, N.; Song, Z.; Yin, L.; Cheng, J. The effect of side-chain functionality and hydrophobicity on the gene delivery capabilities of cationic helical polypeptides. Biomaterials 2014, 35, 3443–3454. [Google Scholar] [CrossRef]
- Klemm, P.; Behnke, M.; Solomun, J.I.; Bonduelle, C.; Lecommandoux, S.; Traeger, A.; Schubert, S. Self-assembled PEGylated amphiphilic polypeptides for gene transfection. J. Mater. Chem. B 2021, 9, 8224–8236. [Google Scholar] [CrossRef]
- Luo, K.; Li, C.; Wang, G.; Nie, Y.; He, B.; Wu, Y.; Gu, Z. Peptide dendrimers as efficient and biocompatible gene delivery vectors: Synthesis and in vitro characterization. J. Control. Release 2011, 155, 77–87. [Google Scholar] [CrossRef] [PubMed]
- Kozhikhova, K.V.; Andreev, S.M.; Shilovskiy, I.P.; Timofeeva, A.V.; Gaisina, A.R.; Shatilov, A.A.; Turetskiy, E.A.; Andreev, I.M.; Smirnov, V.V.; Dvornikov, A.S.; et al. A novel peptide dendrimer LTP efficiently facilitates transfection of mammalian cells. Org. Biomol. Chem. 2018, 16, 8181–8190. [Google Scholar] [CrossRef]
- Kokil, G.R.; Veedu, R.N.; Le, B.T.; Ramm, G.A.; Parekh, H.S. Self-assembling asymmetric peptide-dendrimer micelles—A platform for effective and versatile in vitro nucleic acid delivery. Sci. Rep. 2018, 8, 4832. [Google Scholar] [CrossRef] [PubMed]
- Zhao, K.; Rong, G.; Teng, Q.; Li, X.; Lan, H.; Yu, L.; Yu, S.; Jin, Z.; Chen, G.; Li, Z. Dendrigraft poly-L-lysines delivery of DNA vaccine effectively enhances the immunogenic responses against H9N2 avian influenza virus infection in chickens. Nanomed. Nanotechnol. Biol. Med. 2020, 27, 102209. [Google Scholar] [CrossRef] [PubMed]
- Ahmad, A.; Khan, J.M.; Haque, S. Strategies in the design of endosomolytic agents for facilitating endosomal escape in nanoparticles. Biochimie 2019, 160, 61–75. [Google Scholar] [CrossRef]
- Futaki, S.; Nakase, I.; Tadokoro, A.; Takeuchi, T.; Jones, A.T. Arginine-rich peptides and their internalization mechanisms. Biochem. Soc. Trans. 2007, 35, 784–787. [Google Scholar] [CrossRef] [PubMed]
- Zhou, Y.; Han, S.; Liang, Z.; Zhao, M.; Liu, G.; Wu, J. Progress in arginine-based gene delivery systems. J. Mater. Chem. B 2020, 8, 5564–5577. [Google Scholar] [CrossRef] [PubMed]
- Alhakamy, N.A.; Berkland, C.J. Polyarginine Molecular Weight Determines Transfection Efficiency of Calcium Condensed Complexes. Mol. Pharm. 2013, 10, 1940–1948. [Google Scholar] [CrossRef]
- Kadlecova, Z.; Rajendra, Y.; Matasci, M.; Baldi, L.; Hacker, D.L.; Wurm, F.M.; Klok, H.-A. DNA delivery with hyperbranched polylysine: A comparative study with linear and dendritic polylysine. J. Control. Release 2013, 169, 276–288. [Google Scholar] [CrossRef]
- Alazzo, A.; Lovato, T.; Collins, H.; Taresco, V.; Stolnik, S.; Soliman, M.; Spriggs, K.; Alexander, C. Structural variations in hyperbranched polymers prepared via thermal polycondensation of lysine and histidine and their effects on DNA delivery. J. Interdiscip. Nanomed. 2018, 3, 38–54. [Google Scholar] [CrossRef]
- Peng, Q.; Zhu, J.; Yu, Y.; Hoffman, L.; Yang, X. Hyperbranched lysine−arginine copolymer for gene delivery. J. Biomater. Sci. Polym. Ed. 2015, 26, 1163–1177. [Google Scholar] [CrossRef]
- Chen, S.; Rong, L.; Lei, Q.; Cao, P.-X.; Qin, S.-Y.; Zheng, D.-W.; Jia, H.-Z.; Zhu, J.-Y.; Cheng, S.-X.; Zhuo, R.-X.; et al. A surface charge-switchable and folate modified system for co-delivery of proapoptosis peptide and p53 plasmid in cancer therapy. Biomaterials 2016, 77, 149–163. [Google Scholar] [CrossRef] [PubMed]
- Chen, C.; Kim, J.; Liu, D.; Rettig, G.R.; McAnuff, M.A.; Martin, M.E.; Rice, K.G. Synthetic PEGylated Glycoproteins and Their Utility in Gene Delivery. Bioconjug. Chem. 2007, 18, 371–378. [Google Scholar] [CrossRef][Green Version]
- Yang, W.; Mixich, L.; Boonstra, E.; Cabral, H. Polymer-Based mRNA Delivery Strategies for Advanced Therapies. Adv. Healthc. Mater. 2023, 12, 2202688. [Google Scholar] [CrossRef] [PubMed]
- Chinemerem Nwobodo, D.; Ugwu, M.C.; Oliseloke Anie, C.; Al-Ouqaili, M.T.S.; Chinedu Ikem, J.; Victor Chigozie, U.; Saki, M. Antibiotic resistance: The challenges and some emerging strategies for tackling a global menace. J. Clin. Lab. Anal. 2022, 36, e24655. [Google Scholar] [CrossRef] [PubMed]
- Kwon, J.H.; Powderly, W.G. The post-antibiotic era is here. Science 2021, 373, 471. [Google Scholar] [CrossRef] [PubMed]
- Wassif, R.K.; Elkayal, M.; Shamma, R.N.; Elkheshen, S.A. Recent advances in the local antibiotics delivery systems for management of osteomyelitis. Drug Deliv. 2021, 28, 2392–2414. [Google Scholar] [CrossRef]
- Wang, T.; Rong, F.; Tang, Y.; Li, M.; Feng, T.; Zhou, Q.; Li, P.; Huang, W. Targeted polymer-based antibiotic delivery system: A promising option for treating bacterial infections via macromolecular approaches. Prog. Polym. Sci. 2021, 116, 101389. [Google Scholar] [CrossRef]
- Su, Y.-R.; Yu, S.-H.; Chao, A.-C.; Wu, J.-Y.; Lin, Y.-F.; Lu, K.-Y.; Mi, F.-L. Preparation and properties of pH-responsive, self-assembled colloidal nanoparticles from guanidine-containing polypeptide and chitosan for antibiotic delivery. Colloids Surf. A Physicochem. Eng. Asp. 2016, 494, 9–20. [Google Scholar] [CrossRef]
- Wang, C.; Hong, T.; Cui, P.; Wang, J.; Xia, J. Antimicrobial peptides towards clinical application: Delivery and formulation. Adv. Drug Deliv. Rev. 2021, 175, 113818. [Google Scholar] [CrossRef] [PubMed]
- Browne, K.; Chakraborty, S.; Chen, R.; Willcox, M.D.; Black, D.S.; Walsh, W.R.; Kumar, N. A New Era of Antibiotics: The Clinical Potential of Antimicrobial Peptides. Int. J. Mol. Sci. 2020, 21, 7047. [Google Scholar] [CrossRef]
- Wang, M.; Zhou, C.; Chen, J.; Xiao, Y.; Du, J. Multifunctional Biocompatible and Biodegradable Folic Acid Conjugated Poly(ε-caprolactone)–Polypeptide Copolymer Vesicles with Excellent Antibacterial Activities. Bioconjug. Chem. 2015, 26, 725–734. [Google Scholar] [CrossRef] [PubMed]
- Gao, Q.; Li, P.; Zhao, H.; Chen, Y.; Jiang, L.; Ma, P.X. Methacrylate-ended polypeptides and polypeptoids for antimicrobial and antifouling coatings. Polym. Chem. 2017, 8, 6386–6397. [Google Scholar] [CrossRef]
- Dvoretckaia, A.; Egorova, T.; Dzhuzha, A.; Levit, M.; Sivtsov, E.; Demyanova, E.; Korzhikova-Vlakh, E. Polymyxin B Conjugates with Bio-Inspired Synthetic Polymers of Different Nature. Int. J. Mol. Sci. 2023, 24, 1832. [Google Scholar] [CrossRef]
- Zegarra-Urquia, C.L.; Santiago, J.; Bumgardner, J.D.; Vega-Baudrit, J.; Hernández-Escobar, C.A.; Zaragoza-Contreras, E.A. Synthesis of nanoparticles of the chitosan-poly((α,β)-DL-aspartic acid) polyelectrolite complex as hydrophilic drug carrier. Int. J. Polym. Mater. Polym. Biomater. 2023, 72, 497–506. [Google Scholar] [CrossRef]
- Song, A.; Rane, A.A.; Christman, K.L. Antibacterial and cell-adhesive polypeptide and poly(ethylene glycol) hydrogel as a potential scaffold for wound healing. Acta Biomater. 2012, 8, 41–50. [Google Scholar] [CrossRef]
- Heydari, P.; Varshosaz, J.; Kharaziha, M.; Javanmard, S.H. Antibacterial and pH-sensitive methacrylate poly-L-Arginine/poly (β-amino ester) polymer for soft tissue engineering. J. Mater. Sci. Mater. Med. 2023, 34, 16. [Google Scholar] [CrossRef] [PubMed]
- Rodrigues, B.; Morais, T.P.; Zaini, P.A.; Campos, C.S.; Almeida-Souza, H.O.; Dandekar, A.M.; Nascimento, R.; Goulart, L.R. Antimicrobial activity of Epsilon-Poly-l-lysine against phytopathogenic bacteria. Sci. Rep. 2020, 10, 11324. [Google Scholar] [CrossRef]
- Cutrona, K.J.; Kaufman, B.A.; Figueroa, D.M.; Elmore, D.E. Role of arginine and lysine in the antimicrobial mechanism of histone-derived antimicrobial peptides. FEBS Lett. 2015, 589, 3915–3920. [Google Scholar] [CrossRef]
- Huan, Y.; Kong, Q.; Mou, H.; Yi, H. Antimicrobial Peptides: Classification, Design, Application and Research Progress in Multiple Fields. Front. Microbiol. 2020, 11, 582279. [Google Scholar] [CrossRef]
- Wang, H.; Zhou, Y.; Sun, Q.; Zhou, C.; Hu, S.; Lenahan, C.; Xu, W.; Deng, Y.; Li, G.; Tao, S. Update on Nanoparticle-Based Drug Delivery System for Anti-inflammatory Treatment. Front. Bioeng. Biotechnol. 2021, 9, 630352. [Google Scholar] [CrossRef]
- Chen, Y.-F.; Chen, G.-Y.; Chang, C.-H.; Su, Y.-C.; Chen, Y.-C.; Jiang, Y.; Jan, J.-S. TRAIL encapsulated to polypeptide-crosslinked nanogel exhibits increased anti-inflammatory activities in Klebsiella pneumoniae-induced sepsis treatment. Mater. Sci. Eng. C 2019, 102, 85–95. [Google Scholar] [CrossRef] [PubMed]
- Fan, J.; Li, R.; Wang, H.; He, X.; Nguyen, T.P.; Letteri, R.A.; Zou, J.; Wooley, K.L. Multi-responsive polypeptide hydrogels derived from N-carboxyanhydride terpolymerizations for delivery of nonsteroidal anti-inflammatory drugs. Org. Biomol. Chem. 2017, 15, 5145–5154. [Google Scholar] [CrossRef] [PubMed]
- Ma, S.; Song, W.; Xu, Y.; Si, X.; Zhang, D.; Lv, S.; Yang, C.; Ma, L.; Tang, Z.; Chen, X. Neutralizing tumor-promoting inflammation with polypeptide-dexamethasone conjugate for microenvironment modulation and colorectal cancer therapy. Biomaterials 2020, 232, 119676. [Google Scholar] [CrossRef] [PubMed]
- Yang, C.; Nguyen, D.D.; Lai, J. Poly(L-Histidine)-Mediated On-Demand Therapeutic Delivery of Roughened Ceria Nanocages for Treatment of Chemical Eye Injury. Adv. Sci. 2023, 10, 2302174. [Google Scholar] [CrossRef] [PubMed]
- Bergonzi, C.; D’Ayala, G.G.; Elviri, L.; Laurienzo, P.; Bandiera, A.; Catanzano, O. Alginate/human elastin-like polypeptide composite films with antioxidant properties for potential wound healing application. Int. J. Biol. Macromol. 2020, 164, 586–596. [Google Scholar] [CrossRef]
- Carucci, C.; Sechi, G.; Piludu, M.; Monduzzi, M.; Salis, A. A drug delivery system based on poly-L-lysine grafted mesoporous silica nanoparticles for quercetin release. Colloids Surf. A Physicochem. Eng. Asp. 2022, 648, 129343. [Google Scholar] [CrossRef]
- Hewlings, S.; Kalman, D. Curcumin: A Review of Its Effects on Human Health. Foods 2017, 6, 92. [Google Scholar] [CrossRef]
- Wu, J.; Sahoo, J.K.; Li, Y.; Xu, Q.; Kaplan, D.L. Challenges in delivering therapeutic peptides and proteins: A silk-based solution. J. Control. Release 2022, 345, 176–189. [Google Scholar] [CrossRef] [PubMed]
- Sun, X.S.; Jang, M.-S.; Fu, Y.; Lee, J.H.; Lee, D.S.; Li, Y.; Yang, H.Y. Intracellular delivery of cytochrome C using hypoxia-responsive polypeptide micelles for efficient cancer therapy. Mater. Sci. Eng. C 2020, 114, 111069. [Google Scholar] [CrossRef] [PubMed]
- Sudareva, N.N.; Suvorova, O.M.; Tarasenko, I.I.; Saprykina, N.N.; Smirnova, N.V.; Petunov, S.G.; Radilov, A.S.; Timin, A.S.; Korzhikova-Vlakh, E.G.; Vilesov, A.D. Hybrid systems for oral delivery of a therapeutic neuropeptide. Mendeleev Commun. 2020, 30, 25–27. [Google Scholar] [CrossRef]
- Zashikhina, N.N.; Yudin, D.V.; Tarasenko, I.I.; Osipova, O.M.; Korzhikova-Vlakh, E.G. Multilayered Particles Based on Biopolyelectrolytes as Potential Peptide Delivery Systems. Polym. Sci. Ser. A 2020, 62, 43–53. [Google Scholar] [CrossRef]

























| Block Copolymer | Copolymer Mn | DH (nm) | PDI | CMC | Ref. |
|---|---|---|---|---|---|
| PSer-b-PPhe | 110–240 | 0.14–0.23 | 4 mg/L | [82] | |
| PEG-b-PLeu | 70–80 | [171] | |||
| PEG-S-S-PLeu | 6230–6840 | 160 | 2.8 mg/L | [103] | |
| PLeu-b-PEG-b-PLeu | 8000 | 180–210 | 3–4 mg/L | [93] | |
| PMAG-b-PPhe | 19,400 | 190–290 | 0.07–0.12 | [111] | |
| PLys-b-PCL | 9520 | 30–60 | 0.3–0.8 mg/L | [172] | |
| PLys-b-PPhe | 6100–10,500 | 490–670 | 0.07–0.29 | [173] | |
| Elastin-like block-copolymers | 30–40; 100–200 | 4–8 µM | [174,175] | ||
| PAsp-b-PLA | 28,000–35,500 | 30–40 | 63–360 mg/L (depending on pH) | [176] | |
| PMAG-b-P(Glu(OBzl)) | 7000–29,600 | 180–260 | 0.17–0.24 | [110] | |
| PEG-b-P(Glu-co-Phe) | 7760 | 120–140 | 20 mg/L | [177] | |
| PEG-g-PLys-b-Phe | 6500 | 80 | 6 mg/L | [178] | |
| PEO-b-PTyr | 7700 | 28 | 50 mg/L | [88] | |
| PEO-b-PLeu | 6900 | 24 | 14 mg/L | [88] | |
| PEO-b-PAsp(OBzl) | 16,300 | 20–130 (depending on conditions) | 18 mg/L | [179] | |
| P(Lys-co-Lys-g-PEG)-b-PPhe | 1900 | 260 | 0.22 | 2.1 mg/L | [83] |
| Block Copolymer | Copolymer Mn | Mean DH (nm) | PDI | CAC | Ref. |
|---|---|---|---|---|---|
| PEG-b-PGlu(OP) | 14,300–21,200 | 110–180 | <0.2 | 0.07–58 µM (depending on pH) | [102] |
| PGlu-b-PPhe | 12,600–39,300 | 200–300 | [81] | ||
| PGlu-b-PPhe | 1600 | 150 | 0.11 mg/mL | [18] | |
| PGlu-b-PPhe | 10,100 | 1210 | 0.28 | 3.5 µM | [85] |
| PLys-b-PLeu | 27,000 | 150–215 (depending on medium) | [80] | ||
| PLys-b-PLeu | 10,200 | 960 | 0.24 | 0.67 µM | [85] |
| PLys-b-PAib | 4200–5300 | 216–398 | 0.15–0.24 | [52] | |
| PMAG-b-PIle | 9000 10,000 | 200 260 | 0.21 0.30 | [110] | |
| PB-b-PGlu | 5200–21,300 | 106–212 | 5 µM | [196] | |
| PGlu(OBzl)-b- P(IC-AlaAla(OMe)) | 260,000 | 7500 | [197] |
| Hydrogel Composition | Type of Crosslinking | CGC, wt% | Properties | Ref. |
|---|---|---|---|---|
| Non-ionic star-shaped P(EG2Glu) | Physical (α-helical-based entangled and branched fibrills with width ~ 16–22 nm (TEM, AFM), height 1.1 ± 0.4 nm (AFM), length 100 nm—several µm | 1–3 (water) | Shear-thinning and rapid self-healing; G’ can be 24–3350 Pa, depending on the composition and concentration of the polypeptide; potential injectable materials for controlled peptide drug release | [397] |
| Non-ionic PEG-b-P(EG2Glu) | Physical (β-sheet-based nanoribbon with width 7.5–9.6 nm (TEM) 9.7–13 nm (AFM), height 1.1–1.4 nm (AFM), length—µms) | 2—>10 (water) | Temperature-induced sol-to-gel transitions; G’ up to 200 Pa; potential injectable drug carriers | [398] |
| Ionic PAla–b-PGlu–b-PAla | Physical (β-sheet-based superfibers with width from 0.4 to 8 μm and length > 100 μm (SEM)) | 4.5 (PBS pH 7.4, NaCl 0.15M) | pH- and thermal-responsive; shear-thinning and rapid self-healing; G’ (PBS 0.15M NaCl pH 7.4)~106 Pa | [425] |
| PGlu-b-PEG-b-PGlu)-g-Chol and PGlu-g-β-CD | Physical (host-guest crosslinking between β-CD and Chol groups, porous structure with pore diameter of about 40 μm (SEM)) | - | Rapid self-healing and non-cytotoxic (ADSC line); G’ (alkaline water pH 7.4) can be several hundred—46,000 Pa and degradation (PBS 7.4) from 40 to ~70 days depending on the composition, concentration and ratio of the polypeptides; potential application for tissue engineering | [426] |
| PEG-b-PAla | Physical (combined random coil, α-helix, β-sheet secondary structures and hydrophobic interactions; porous structure with microscale pore size (lyophilized, SEM)) | - | Injectable, non-citotoxic (splenocytes and BMDC line) and acceptable biocompatibility in vivo (mice); G’ (PBS) ~104 Pa for loaded hydrogel; in vitro and in vivo sustained release antibody (anti-CTLA-4 and anti-PD-1); induction of BMDC maturation, enhanced melanoma-specific CTL response, and high anti-melanoma efficacy in mice for a multi component hydrogel; potential application as a tumor vaccine and antibody local co-delivery system for cancer immunotherapy | [390] |
| Pluronic-b-PLys, pluronic-b-PPhe-CHO and BGN@PDA | Chemically cross-linked (Schiff base (imine bonds) between amine of F127-b-PLys and aldehyde groups of F127-b-Phe-CHO and BGN@PDA; porous structure (lyophilized, FESEM)) | - | Shear-thinning and self-healing (cavity disappearance in 12 h); G’ (water) from ~101 to ~103 Pa, depending on the temperature; non-cytotoxic (A375 cancer cells and C2C12 cells); in vitro and in vivo antibacterial capability (E. coli, S. aureus, and MRSA); excellent photothermal performance (inhibit tumor growth and ablate tumor in vivo); stimulation of angiogenesis and collagen formation; potential application for skin-tumor therapy, anti-infection therapy, wound healing, tissue regeneration, and as an injectable system | [427] |
| P(Lys-co-Trp)/ P(DLys-co-DTrp)/their mixture and HMBT | Chemically cross-linked (tryptophan units crosslinked with HMBT (TAD crosslinking); macroporous structure (SEM)) | - | Antimicrobial; G′~105 Pa for organogels based on non-deblocked polypeptides; slow hydrolytic degradation (8–11% after 7 days, PBS pH 7.4, 37 °C), from rapid (less than 1 day) to long-term (<20% after 6 days) proteolytic degradation (trypsin, PBS pH 7.4, 37 °C) depending on the enantiomeric composition; non-cytotoxic (mammalian cells); potent antimicrobial activity (Gram-positive S. aureus and Gram-negative E. coli); potential applications for tissue engineering and wound treatment | [428] |
| mPEG-b-PGlu(OEt) | Physical (secondary structures and decrease hydration of PEG block with increasing temperature); porous structure (lyophilized, SEM) | - | Injectable and thermosensitive; G′ from ~101 to ~103 Pa depending on the temperature; temperature of sol–gel phase transition from 30 to 36 °C depending on the concentration; in vitro (L929 cells) and in vivo (mice) biocompatibility; sustained release of aPD-L1 and DOX in vitro (PBS 7.4, 37 °C) up to 57% of DOX over 14 days and 28% of aPD-L1 over 3 days; higher anti-melanoma efficacy in mice (intratumoral injection) and longer survival of mice treated with a dual drug-loaded hydrogel compared to single drug loaded hydrogels; potential application for local cancer immunochemotherapy | [413] |
| mPEG-b-PTyr-I131 | Physical (β-sheet secondary structures and crystallization of PEG blocks at high temperatures; 3D interconnected porous structure (lyophilized, SEM) with continuous network of fibers (TEM)) | - | Injectable and thermosensitive; G’ from ~2 to ~102 Pa depending on the temperature; radiochemical stability (up to 28 days); biocompatibility (NIH 3T3 normal cells, HepG2 tumor cells) and low hematotoxicity in vivo (mice); stable retention of I131 at the site of subcutaneous injection (up to 28 days) and no organ damage in vivo; good local retention of loaded radiosensitizer and its sustained release with peritumoral injection; inhibition of tumor growth (in vivo, mice); potential application for synergistic brachytherapy (co-delivery of iodine-131 and radiosensitizer (SmacN7-R9 peptide)) | [429] |
| HBC-g-(DOPA, PLys) | Physical (hydrophobic association and hydrogen interactions between molecular chains) and chemical (DOPA phenols cross-linking); interconnected porous structure with pore size about 90 µm (lyophilized, SEM) and porosity 91% (lyophilized) | - | Reversible temperature-induced sol-gel-sol transitions; G’ from ~101 to ~103 Pa depending on the temperature; low-cytotoxic (L929 fibroblasts); hemocompatibility and tissue adhesive (shear strength 672 ± 13 Pa, lap-shear tests, wet porcine skins); in vitro antimicrobial activity (E. coli and S. aureus); suitable as a platform for 3D cell culture (BMSCs); effective inhibition of infection and inflammation is acompanied by acceleration of wound healing when encapsulated with BMSCs (wound closure is more than 99% after 15 days) | [400] |
| PGlu-g-ADIBO and PGlu-N3 with conjugated bioactive peptides (c(RGDfK) and N-cadherin mimetic peptide) | Chemically cross-linked (azide-alkyne 1,3-dipolar cycloaddition) porous structure (lyophilized, SEM) | - | Bioactive; gelation time from 1.5 min to 35 min and G’ from ~ 300 to ~ 9400 Pa depending on the concentration; biocompatability (BMSCs); promotes adhesion (BMSCs), proliferation (BMSCs, chondrocytes), and chondrogenic differentiation of cells (BMSCs); proteolytic degradation (PBS pH 7.4, 37 °C, 100% after 2 or 7 days, depending on the enzymes); in vivo (rats) biocompatibility and degradation within 10 weeks after subcutaneous injection | [430] |
| Polypeptide–Based Copolymer | Delivery Form | Drug | Properties | Ref. |
|---|---|---|---|---|
| PEG-b-P(Glu-co-Glu(Phe))/Ca2+ | Nanogels | Doxorubicin + 17-AAG | DH = 63–95 nm (PDI = 0.16–0.20) depending on drug loading; Effective inhibition of the breast cancer cells and selective synergistic anticancer activity against ErbB2-overexpressing breast cancer cell lines; antitumor efficacy of a dual system in vivo surpassed the combination of free drugs | [304] |
| PCys-g-PEG-Lac5/Au | Reduction- and NIR-sensitive hybrid nanoparticles | Doxorubicin + 6-mercaptopurine | = 40 nm (TEM), 60 nm (SEM); reduction- and NIR-triggered release; enhanced inhibition effect and lactose-mediated targeting towards HepG2 cancer cells; half maximal inhibitory concentration lower than for individual drugs; Synergistic antitumor effect | [130] |
| PPhe-b-PHis-b-PEG | pH-sensitive vesicles | Doxorubicin + quercetin | DH = 82 nm; pH-sensitive release of both drugs (accelerated at pH 5.5); pro-oxidant QUR enhanced the cytotoxic action of DOX through high oxidative stress and damage to cellular components | [305] |
| PEG-b-P(Ala-co-Phe) | Thermo- responsive micelles | Doxorubicin + combretastatin | Thermo-responsive micelles (DH = 400 nm) were transferred into an injectable hydrogel when heated from 20 to 40 °C; faster release of DOX than CA4 due to their difference in water solubility; dual drug systems improved the apoptosis of tumor cells and had minor damage to normal tissues | [468] |
| PEG-b-PGlu-b-PLys decorated with DOXE | Nanoparticles | Doxorubicin + paclitaxel | DH~56–76 nm; synergistic effect in suppression of A549 cells; low toxicity, high tumor accumulation and antitumor efficiency in vivo | [101] |
| PGlu-g-PEG/vE decorated with c(RGDfK) | Micelles | Docetaxel + Cisplatin | DH~46–90 nm; co-loading via hydrophobic and chelation effect; synergistic cytotoxicity and enhanced internalization rate in B16F1 cells (mouse melanoma); long circulation in vivo; Enhanced anti-tumor and anti-metastasis efficacy in the B16F1 melanoma xenograft bearing C57BL/6 mice | [134] |
| PEG-b-PLys-b-PLeu | Micelles | Docetaxel + siRNA | DH = 90 nm; synergistic tumor growth suppression by DTX and siRNA-Bcl-2 micelles due to silencing of the anti-apoptotic Bcl-2 gene as well as enhanced antitumor activity of DTX in the MCF-7 xenografts tumor-bearing nude mice | [342,469] |
| PArg-b-PHis-Stearyl | Micelles | Doxorubicin + miRNA | DH~170 nm (PDI 0.2); Facilitated endosomal escape of miRNA-34a and release of DOX; synergistic anti-proliferative effect provided by co-delivery of miR-34a and DOX in the DU145 tumor-bearing nude mice; reduced DOX-mediated cardiotoxicity | [303] |
| PEG-b-P(Phe-co-Cys) | Reduction- responsive nanogels | Doxorubicin + 1-methyl-D,L-Trp | DH = 129–137 nm depending on nanoformulation; simultaneous intracellular release of the drugs; combination of DOX to induce immunogenic cell death with immune regulator 1-methyl-DL-tryptophan resulted in the synergistic antitumor effect at reduced DOX dose | [470] |
| P[Lys-co-Lys(Arg)-co-Lys(Tyr)] | Nanogels | Paclitaxel + siRNA | DH~120 nm; effective PTX and siRNA loading; stability of delivery systems; effective inhibition of cancer cells (A549) and GFP silencing in GFP-expressive cancer cells (K562/GFP) | [72] |
| PEG-b-PVal | Injectable hydrogel | Tumor cell lysate + poly(I:C) | Hydrogel-based vaccine for subcutaneous injection based on combination of antigen with agonist of the TLR3 receptor of the immune system; good antitumor efficacy by inducing an immune response of cytotoxic T lymphocytes when administered to mice with melanoma | [471] |
| PLys-g-(PEG-Chol) | Reduction-sensitive nanoparticles | Sorafenib + SIRT7 inhibitor | DH~300–370 nm depending on loading; effective induction of apoptosis of the liver cancer cells in vitro; high specificity to liver cancer and low toxicity to heart, kidneys, lungs, and liver | [472] |
| PGlu-g-mPEG | Nanoparticles | Garcinia cambogia acid + photosensitizer IR783 | DH~120–200 nm, depending on drug loading; passive accumulation at the tumor and high biocompatibility; low temperature (45 °C) photodynamic anticancer therapy under NIR irradiation | [473] |
| P(Glu-co-DPhe) | pH sensitive nanogels | Paclitaxel + irinotecan; Doxorubicin + irinotecan; Doxorubicin + paclitaxel | DH~150–250 nm depending on drug combinations; comparison of the release rate from the single and dual drug nanoformulations; drug combinations synergism/antagonism study; comparison of the inhibitory activity towards cancer cells by free drugs and their single and dual drug formulations | [474] |
| Polypeptide–Based Copolymer | Delivery Form | Nucleic Acid | Properties | Ref. |
|---|---|---|---|---|
| P[Glu(OBzl)PEAE)-co- Glu(OBzl)MEAM] | Reduction- responsive polyplexes | siRNA | DH~200 nm; effect siRNA binding; redox-triggered siRNA release due to disulfide-bonds cleavage; facilitated endosomal escape and release of siRNA in the cytosol; reduction of luciferase GL2 expression up to 60% in luciferase-expressive HeLa cells | [284] |
| oligo(L/D/D,L-Cys-S-S-CA) | Reduction- responsive polyplexes | siRNA | DH~100–350 nm; low cytotoxicity to cancer cells (HeLa, HepG2); transfection efficacy was comparable to PEI | [485] |
| P(Lys-co-Lys(Chol))/ branched amylose | Nanogels | siRNA | DH = 60 nm; enzymatically degradable nanogels; facilitated cellular internalization and effective knockdown of VEGF expression in kidney tumor cells (Renca cells) by anti-VEGF siRNA nanogel complexes | [210] |
| P(Lys-co-Glu-co-Phe); P(Lys-co-Glu-co-Ile); | Nanoparticles | siRNA | DH = 180–200 nm for optimal polypeptide compositions; facilitated release of siRNA in complex biological medium; efficient VEGF gene silencing in retinal pigment epithelia cells (ARPE-19) | [66] |
| P(Lys-co-Lys(His)-co-Phe); P(Lys-co-Lys(His)-co-Glu-co-Phe) | pH-responsive nanoparticles | siRNA | DH = 150–180 nm (PDI = 0.21–0.22) for optimal polypeptide compositions; pH-responsive siRNA release (enhanced at pH 5.0); efficient cellular uptake and endosomal escape; knockdown of GFP-expression in human breast cancer (MDA-MB-231/GFP cells) was comparable to Turbofect® | [227] |
| PLys-g-PEG | Polyplexes | siRNA | PLys was grafted with PEG of various length (2000–10,000); grafting PEG to PLys increased the its lifetime in the bloodstream and accumulation in the tumor without losing its ability to associate with siRNA; copolymer with Mw = 40,000 for PLys and Mw = 10,000 for PEG at 37% grafting demonstrated the best results. | [486] |
| Fluorinated and guanidinated PGlu(OBzl) | Polyplexes | siRNA | Intratracheally TNF-α siRNA delivery; highly efficient gene knockdown (∼96% at 200 μg/kg siRNA) | [487] |
| Man-PLys-b-PLeu | Polyplexes | siRNA | Thioketal-linked polypeptide; effective crossing blood-brain barrier and accumulation in microglia; reduction of α-synuclein protein aggregates | [488] |
| PLys-photo-linker-HEP | Photo- sensitive polyplexes | siRNA, pDNA | DH = 100–400 nm depending on PLys molecular weight and PLys/HEP ratio; photo-induced release; low cytotoxicity for several cell lines; enhanced GFP-knockdown by photo-induced anti-GFP siRNA delivery; induction of GFP expression by GFP pDNA delivery | [230] |
| PLys/HA | Polyplexes | DNA | DH~140 nm; high DNA loading efficiency (around 95%); efficient transfection into HEK-293T cells (>90%) under optimal conditions combined with low cytotoxicity | [489] |
| P(Lys-co-Ile) | Nanogels | mRNA | DH~200 nm at optimal polypeptide/mRNA ratio; efficient protein expression after delivery of EGFP-mRNA and fLuc-mRNA transfection by nanogels; delivery was efficient than that observed for bPEI | [62] |
| PSar-g-lipid | Nanoparticles | mRNA | DH~150 nm; improved target protein section in liver; reduced cytokine secretion in human whole blood indicating low immunogenicity | [490] |
| PAMAM-PLys dendrimers | Polyplexes | mRNA | DH ˂ 200 nm at optimized N/P ratio; the presence of α-amino group of an amino acid or introduction of imidazole motifs was not beneficial for transfection activity | [491] |
| ELP | Polyplexes | pDNA | Delivery of pDNA consisted of four Yamanaka factors (Oct-4, Klf4, c-myc, and Sox2); successful transfection of MEF cells; successful expression of targeted proteins (immunocytochemistry). | [492] |
| ELP | Polyplex-loaded hollow spheres | pDNA | DH~300 nm; better cell viability than for polyplex alone; high expression of luciferase attributed to providing protection against endosomal degradation. | [493] |
| ELP-g-PTMAEMA | Polyplexes | pDNA | DH~150 nm; effective pDNA binding; HEK 293 cells transfection by FITC-pDNA/ELP-g-PTMAEMA system | [494] |
| Guanidine-alkyl- functionalized PGlu(OBzl) | Polyplexes | pDNA | Increase in transfection with the elongation of alkyl spacer; transfection comparable with Lipofectamine (LPF200) | [495] |
| PEG-b-PLys-b-PGlu(OBzl) | Polyplexes | pDNA | DH~60–120 nm without cargo depending on Lys content and 110–160 nm in complex with pDNA; highest transfection efficiency for PLys-enriched copolymer (60%) and lowest length of hydrophobic fragment (40%) | [496] |
| P(Lys-co-Lys(His)-co-Lys(Cys)-co-Phe); P(Lys-co-Lys(His)-co-Lys(Cys)-co-Glu-co-Phe) | Reduction and pH-responsive nanoparticles | pDNA | DH = 60–100 nm depending on Cys content and pDNA loading; improved stability in complex biological medium; reduction-responsive pDNA release; pEGFP-N3 delivery into HEK 293 (30–70% transfection efficacy) | [310] |
| Lys dendrimers (G3–G5) | Polyplexes | pDNA | DH = 100–200 nm; transfection efficacy increased with the increase in generation; the higher transfection was 60% compared to control (PEI); the protection capacity of DNA for G5 was comparable with the same for PEI in presence of nuclease; imidazole modified G3 demonstrated properties comparable to unmodified G4 | [497] |
| Lys and Lys-Arg dendrimers (G3–G4) | Polyplexes | pDNA | The superior transfection efficacy for Arg-containing dendrimer, bur lower than control (Lipofectamine L2000); high peptidase resistance and biocompatibility | [498] |
| Lys and Lys-Gly dendrimers (G3) | Polyplexes | pDNA | Lys dendrimer delivered successfully pDNA into both cancer and normal cells; transfection efficacy comparable with commercial lipofectamine, at less cell damage | [238] |
| Lys-Arg dendrimers with side chain lipid functionalization | Micelles | siRNA, ssDNA | DH = 137–457 nm; transfection efficiency of asymmetric peptide dendrimers in various cancer cells surpassed the efficiency of commercial standards (Lipofectamine 2000) | [499] |
| PLys dendrigraft | Polyplexes | pDNA | Vaccine development; high transfection efficiency; strong cellular immune responses against H9N2 avian influenza virus infection in chickens | [500] |
| Star-shaped PLys | Polyplexes | pDNA | DH~120–142 nm depending on PLys arms; PLys grafted from bis-MPA dendritic core (G1-G3) (8–32 PLys arms); successful complexation with pDNA; increased stability in the heparin displacement test of the 32-arm PLys/pDNA complex | [151] |
| Polypeptide–Based Copolymer | Delivery Form | Drug | Properties | Ref. |
|---|---|---|---|---|
| γPGlu-co-Glu(Arg)) and CS-N-Arg | Polyplexes | Amoxicillin | DH~200 nm; pH-responsive systems with poor colloidal stability at pH 1.5 and 7.0; effective inhibition of H. pylori growth | [515] |
| P(Glu-co-DPhe) | Nanogels | Polymyxin B and E | DH = 160 nm; low uptake by macrophages and low cytotoxicity; encapsulated systems with MIC equal to free antibiotics | [60] |
| P(Glu-co-Phe) | Nanogels | Polymyxin B | DH = 280–380 nm depending on drug conjugation amount; conjugated system with MIC higher than for free antibiotic | [520] |
| PGlu@Ag | Hybrid nanoparticles | Polymyxin B and E | DH ˂ 210 nm; absence of cytotoxicity against L02 cells up to 250 µg/mL; a synergistic antibacterial effect of polymyxin B and Ag core against P. aeruginosa. | [347] |
| CS/P(α,β-D,L-Asp) | Polyplexes | Isoniazid | DH~140 nm; encapsulation efficiency in the range of 5.3–5.8% | [521] |
| [PCL-b-P[Phe12-co-Lys9-co-Lys(FA)6] | Vesicles | AMP: P[Phe12-co-Lys9-co-Lys(FA)6] | DH = 300 nm; MIC (E. coli, S. aureus) = 7–32 µg/mL depending on composition; absence of cytotoxicity against L02 cells up to 250 µg/mL. | [518] |
| P(Lys-co-Phe) and PSar-b-P(Lys-co-Phe) | Coatings | – | Effective antimicrobial activity against S. aureus, E. coli, P. aeruginosa, and C. albicans; antifouling activity to protein and platelet adhesion; biocompatibility with L929 cells | [519] |
| PEG-b-P(Lys-co-Ala) | Cross-linked hydrogel | – | Cell adhesion and cell proliferation activities; significant antibacterial activity against E. coli and S. aureus; system for cutaneous wound healing | [522] |
| PArgMA/Pβ-AE | Cross-linked hydrogel | – | Adjustable swelling ratio, increasing at pH 5.6; increased cell viability, attachment and proliferation; enhanced antibacterial activities of PβAE against E. coli (5.1 times) and S. aureus (2.7 times) | [523] |
| Sulfonium cationic P(D,L-Met) | Solution | – | Broad spectrum of antibacterial activity (E. coli. P. aeruginosa, S. epidermidis, methicillin-resistant S. aureus); increase in MIC with the polymer chain elongation; biocompatibility with mammalian cells | [362] |
| Polypeptide–Based Copolymer | Delivery Form | Drug | Properties | Ref. |
|---|---|---|---|---|
| PLys-b-PThr | Nanogels | Recombinant TRAIL protein | DH~300 nm, PDI = 0.21; combination of antimicrobial properties of polypeptide with anti-inflammatory properties of the protein drug to treatment of the K. pneumoniae-caused sepsis; Intraperitoneal injections prevented mice lung and renal injury, as well as intratracheal sepsis | [528] |
| P(Lys-co-Phe), P(Glu-co-Phe), P(Lys-co-Phe)/HEP | Nanogels | Dexamethasone | Conjugated systems with DH of 200–290 nm depending on polypeptide composition; negative nanoparticles are able to migrate in the vitreous and are non-toxic to retinal cells; release ester-linked drug within a week in vitreous/buffer medium (50/50, v/v) | [214] |
| mPEG-b-PLys | Reduction- responsive micelles | Dexamethasone | Disulfide-bonded conjugates with DH of 66–76 nm; enhanced accumulation in murine colorectal cancer model (CT26) compared to free DEX; increased the CD8+ T cell infiltration and the M1 over M2 macrophage ratios | [530] |
| PNIPAM-b-PGlu | Thermo- responsive micelles | Dexamethasone | DH~85 nm; thermo-responsive micelles forming microneedles; reduction in mechanical strength of microneedles after drug loading; effective delivery of the DEX to the sclera | [112] |
| PEG-b-P(Ala-co-Gly-co-Ile) | Thermo- responsive hydrogel | Naproxen | Biodegradable hydrogel with gelation dependent on polymer concentration, length of polypeptide segment; drug release within six days; suitable as injectable delivery systems | [529] |
| PHis/Ceria | Nanocages | Acetylcholine chloride + inhibitor of the activin receptor-like kinase (SB431542) | Good biocompatibility with the eye; enhanced corneal penetration and effective pH-responsive release of drugs caused by tissue injury/inflammation | [531] |
| PCL-b-PLys | Micelles | Curcumin | 33–57 nm depending on loading; High loading capacity (up to ~9.5%) | [172] |
| ELP/alginate | Films | Curcumin | Sustained release up to 10 days; high cytocompatibility with human dermal fibroblasts; presence of antioxidant activity of the material | [532] |
| PLys-g-mesoporous silica | Nanoparticles | Quercetin | Effective drug loading and enhanced release at pH 3 | [533] |
| Polypeptide—Based Copolymer | Delivery Form | Drug | Properties | Ref. |
|---|---|---|---|---|
| P(Lys-co-Ala)-b-PLX-b-P(Lys-co-Ala) | Thermoresponsive Nanogels | BSA | DH~80 nm at 30 °C, ~110 nm at 40 °C; biodegradation in presence of elastase; Protein sustained release within 9 days | [256] |
| P(Glu-co-Gln(Ts))/PLys | Polyplexes | Insulin | DH = 220–350 nm depending on composition; release of insulin at pH 6.8 (intestinal) and hindering the drug leakage at pH 1.5 (stomach); improved penetration through the CaCo-2 cell layer; reduction of the glucose level in diabetic mice | [257] |
| PEG-b-P(Gln((Deta-NBCF)) | Micelles | Cytochrome C | Hypoxia-responsive system; high protein loading content and stability at normoxic condition; great killing effect to liver cancer cells (HepG2) under hypoxic condition | [536] |
| P(Glu-co-DPhe)/CS | Nanogels | Neuropeptide (β-endorphin fragment 9–19) | DH~200–300 nm; encapsulation efficacy of 76%; release of 26 and 16% for 24 h in simulated intestinal fluid for neat polypeptide nanogels and their chitosan-coated forms, respectively | [537] |
| P(Lys-co-DPhe); P(Glu-co-DPhe) | Nanogels | C-peptide or its fragment | Encapsulation or conjugation; High peptide loading; DH = 80–190 nm; stability over time in PBS; high biological effects by stimulating Na+/K+—ATPase activity in erythrocytes | [51,538] |
Disclaimer/Publisher’s Note: The statements, opinions and data contained in all publications are solely those of the individual author(s) and contributor(s) and not of MDPI and/or the editor(s). MDPI and/or the editor(s) disclaim responsibility for any injury to people or property resulting from any ideas, methods, instructions or products referred to in the content. |
© 2023 by the authors. Licensee MDPI, Basel, Switzerland. This article is an open access article distributed under the terms and conditions of the Creative Commons Attribution (CC BY) license (https://creativecommons.org/licenses/by/4.0/).
Share and Cite
Stepanova, M.; Nikiforov, A.; Tennikova, T.; Korzhikova-Vlakh, E. Polypeptide-Based Systems: From Synthesis to Application in Drug Delivery. Pharmaceutics 2023, 15, 2641. https://doi.org/10.3390/pharmaceutics15112641
Stepanova M, Nikiforov A, Tennikova T, Korzhikova-Vlakh E. Polypeptide-Based Systems: From Synthesis to Application in Drug Delivery. Pharmaceutics. 2023; 15(11):2641. https://doi.org/10.3390/pharmaceutics15112641
Chicago/Turabian StyleStepanova, Mariia, Alexey Nikiforov, Tatiana Tennikova, and Evgenia Korzhikova-Vlakh. 2023. "Polypeptide-Based Systems: From Synthesis to Application in Drug Delivery" Pharmaceutics 15, no. 11: 2641. https://doi.org/10.3390/pharmaceutics15112641
APA StyleStepanova, M., Nikiforov, A., Tennikova, T., & Korzhikova-Vlakh, E. (2023). Polypeptide-Based Systems: From Synthesis to Application in Drug Delivery. Pharmaceutics, 15(11), 2641. https://doi.org/10.3390/pharmaceutics15112641

