Degradation of Losartan Potassium Highlighted by Correlated Studies of Photoluminescence, Infrared Absorption Spectroscopy and Dielectric Spectroscopy
Abstract
1. Introduction
2. Results and Discussion
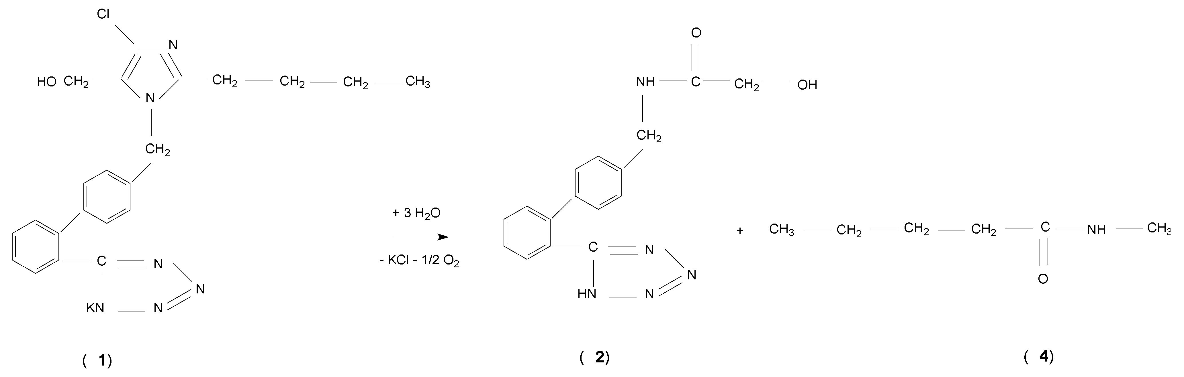
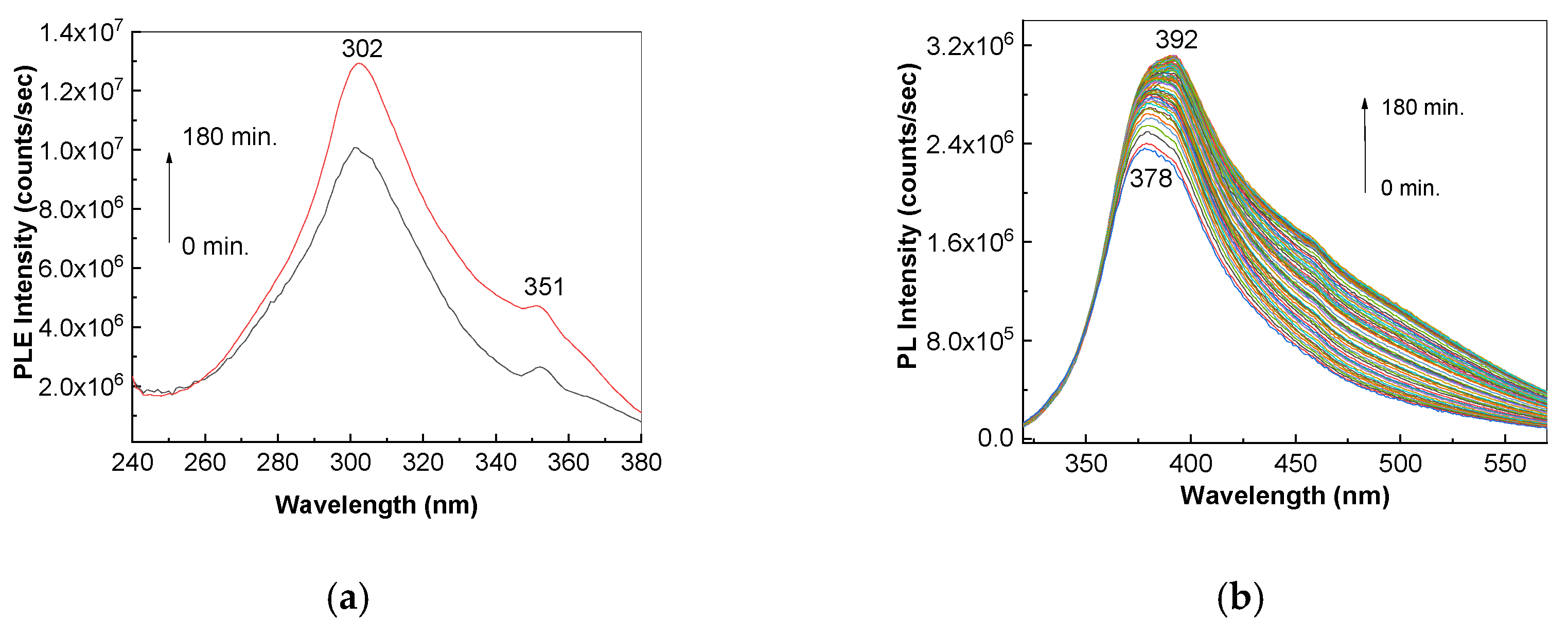
2.1. Photodegradation of LP and the LO drug in Solid State
2.2. The Photodegradation of the LO Drug in the Presence of PBS
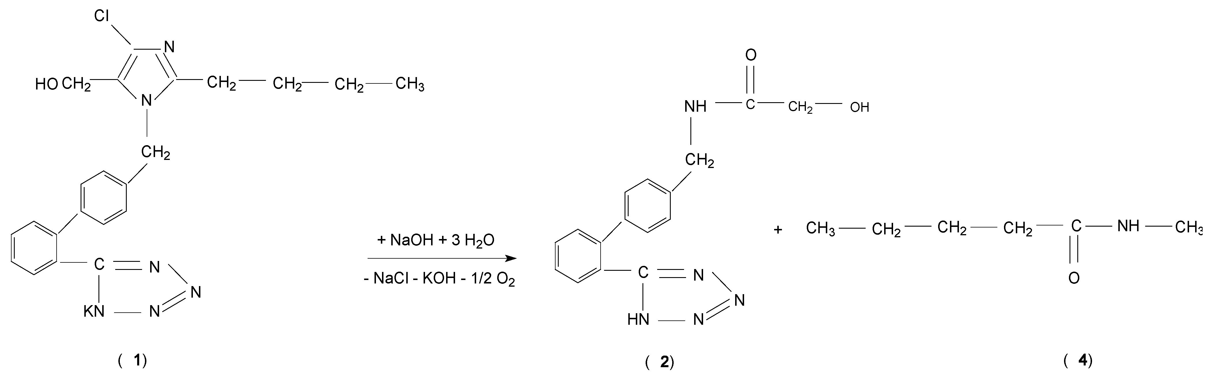
2.3. Photodegradation of LO and LP in the Presence of Alkaline Media
2.4. Mechanisms of Dipole Relaxation of LP (1) in H2O and NaOH, Respectively
3. Materials and Methods
4. Conclusions
Supplementary Materials
Author Contributions
Funding
Institutional Review Board Statement
Informed Consent Statement
Data Availability Statement
Conflicts of Interest
References
- Amenos, A.C.; Diezhandino, M.G.; Moreno, F.D. Arterial hypertension and dyslipidemia in patients with chronic kidney disease (CKD). Anti-platelet aggregation, Goal oriented treatment. Nefrologia 2008, 28, 39–48. [Google Scholar]
- Ruilope, L.M.; Aldigler, J.C.; Ponticelli, C.; Oddou-Stock, P.; Botteri, F.; Mann, J.F. Safety of the combination of valsartan and benazepril in patients with chronic renal disease. J. Hypertens. 2000, 18, 89–95. [Google Scholar] [CrossRef] [PubMed]
- Chandar, J.; Abitbol, C.; Montane, B.; Zillereulo, G. Angiotensin blockade as sole treatment for proteinuric kidney disease in children. Nephrol. Dial. Transplant. 2007, 22, 1332–1337. [Google Scholar] [CrossRef] [PubMed][Green Version]
- Shah, S.A.; Rothod, S.; Suhagia, B.N.; Savale, S.S.; Patel, J.B. Simultaneous determination of losartan and hydrochlorothiazide in combined dosage forms by first-derivative spectroscopy and high-performance thin-layer chromatography. J. AOAC Int. 2001, 84, 1715–1723. [Google Scholar] [CrossRef] [PubMed]
- Hussein, S.A.E.R.; Mohamed, H.; El-Wadood, A.; Abdallah, M.A.E.W.; Khorshed, A.A.E.H. HPTLC and fluorescence densitometry for simultaneous determination of some angiotensin II receptor blockers in tablets and plasma. J. AOAC Int. 2015, 98, 354–360. [Google Scholar] [CrossRef] [PubMed]
- Walash, M.I.; El-Enany, N.M.; Eid, M.I.; Fathy, M.E. Simultaneous determination of metolazone and losartan potassium in their binary mixtures using high-performance liquid chromatography with fluorimetric detection: Application of combined tablets and spiked human plasma. Luminescence 2014, 29, 462–470. [Google Scholar] [CrossRef]
- Dubey, R.; Ghosh, M.; Sinha, B.N.; Muthukrishnan, V. Simultaneous determination and pharmaco-kinetics of metolazone, losartan and losartan carboxylic acid in rat plasma by HPLC-ESI-MS-MS. J. Chromatogr. Sci. 2015, 53, 1520–1527. [Google Scholar] [CrossRef]
- Farmoudian-Habiti, A.; Kangari, S.; Massoumi, B.; Joymand, M. Determination of losartan potassium in the presence of hydrochlorothiazide via combination of magnetic solid phase extraction and fluorometry techniques in urine samples. RSC Adv. 2015, 5, 10289–102903. [Google Scholar]
- Lastra, O.C.; Lemus, I.G.; Sanchez, H.J.; Ferez, R.F. Development and validation of an UV derivative spectrophotometric determination of losartan potassium in tablets. J. Pharm. Biomed. Anal. 2003, 33, 175–180. [Google Scholar] [CrossRef]
- Santos, M.C.G.; Tarley, C.R.T.; Dall’Antonia, L.H.; Sartori, E.R. Evaluation of boron-doped diamond electrode for simultaneous voltametric determination of hydrochlorothiazide and losartan in pharmaceutical formulations. Sens. Actuators B 2013, 188, 263–270. [Google Scholar] [CrossRef]
- Starling, M.C.V.M.; Souza, P.P.; Person, A.L.; Amorim, C.C.; Criquet, J. Intensification of UV-C treatment to remove emerging contaminants by UV-C/H2O2 and UV-C/S2O2: Susceptibility to photolysis and investigation of acute toxicity. Chem. Eng. J. 2019, 376, 120856. [Google Scholar] [CrossRef]
- Adams, E.; Neves, B.B.; Prola, L.D.T.; de Liz, M.V.; Martins, L.R.R.; Ramsdorf, W.A.; de Freitas, A.M. Ecotoxicity and genotoxicity assessment of losartan after UV/H2O2 and UVC/photolysis treatments. Environ. Sci. Pollut. Res. 2021, 28, 23812–23821. [Google Scholar] [CrossRef] [PubMed]
- Mizera, M.; Lewadowska, K.; Talaczynska, A.; Ciekck-Piontek, J. Computational study of influence of diffuse basis functions on geometry optimization and spectroscopic properties of losartan potassium. Spectrochim. Acta Part A Mol. Biomol. Spectrosc. 2015, 137, 1029–1038. [Google Scholar] [CrossRef] [PubMed]
- Luisa, M.; Cindric, T.; Tomaic, J.; Peko, M.; Pozaic, L.; Musulin, N. Stability of losartan/hydrochlorothiazide tablets. Int. J. Pharm. 2005, 291, 127–137. [Google Scholar]
- Foley, L.; Toney, J.; Barlow, J.W.; O’Connor, M.; Fitzgerald-Hughes, D.; Ramtoola, Z. Investigation of the physical, chemical and microbiological stability of losartan potassium 5mg*ml extemporaneous oral liquid suspension. Molecules 2021, 26, 301. [Google Scholar] [CrossRef]
- Salazar, C.; Contreras, N.; Mansilla, H.D.; Yanez, J.; Salazar, R. Electrochemical degradation of the antihypertensive losartan in aqueous medium by electro-oxidation with boron-doped diamond electrode. J. Hazard. Mater. 2016, 319, 84–92. [Google Scholar] [CrossRef]
- Seburg, R.A.; Ballard, J.M.; Hwang, T.L.; Sullivan, C.M. Photosensitized degradation of losartan potassium in an extemporaneous suspension formulation. J. Pharm. Biomed. Anal. 2006, 42, 411–422. [Google Scholar] [CrossRef]
- Zhao, Z.; Wang, Q.; Tsai, E.W.; Qin, X.Z.; Ip, D. Identification of losartan degradants in stressed tablets by LC-MS and LC-MS/MS. J. Pharm. Biomed. Anal. 1999, 20, 129–136. [Google Scholar] [CrossRef]
- Bharate, S.S. Critical analysis of drug product recalls due to nitrosamine impurities. J. Med. Chem. 2021, 64, 2923–2936. [Google Scholar] [CrossRef]
- Shaik, K.M.; Sarmah, B.; Wadekar, G.S.; Kumar, P. Regulatory updates and analytical methodologies for nitrosamine impurities detection in sartans, ranitidine, nizatidine, and metformin along with sample preparation techniques. Crit. Rev. Anal. Chem. 2022, 52, 53–71. [Google Scholar] [CrossRef]
- Wartewig, S.; Neubert, R.H.J. Pharmaceutical appliations of Mid-IR and Raman spectroscopy. Adv. Drug Dlivery Rev. 2005, 57, 1144–1170. [Google Scholar] [CrossRef] [PubMed]
- Oprica, M.; Iota, M.; Daescu, M.; Fejer, S.N.; Negrila, C.; Baibarac, M. Spectroscopic studies on photodegradation of atorvastatin calcium. Sci. Rep. 2021, 11, 15338. [Google Scholar] [CrossRef] [PubMed]
- Bhattacharya, S.; Suryanarayanan, R. Local Mobility in Amorphous Pharmaceuticals—Characterization and Implications on Stability. J. Pharm. Sci. 2009, 98, 2935–2953. [Google Scholar] [CrossRef] [PubMed]
- Yang, J.; Fang, H.; Gao, Y. Effect of water adsorption on the photoluminescence of silicon quantum dots. J. Phys. Chem. Lett. 2016, 17, 1788–1793. [Google Scholar] [CrossRef] [PubMed]
- Katsumata, T.; Suzuki, T.; Aaizawa, H.; Matashige, E. Photoluminescence evaluation of cereals for a quality control application. J. Food Eng. 2007, 78, 588–590. [Google Scholar] [CrossRef]
- Jiang, J.; Lu, S.; Liu, M.; Li, C.; Zhang, Y.; Yu, T.B.; Yang, L.; Shen, Y.; Zhou, Q. Tunable photoluminescence properties of microcrystalline cellulose with gradually changing crystallinity and crystal form. Macromol. Rapid Commun. 2021, 42, 2100321. [Google Scholar] [CrossRef]
- Borghei, A.; Saaulls, A.; Pivac, B.; Paveai, L. Characterization of porous silicon inhomogeneities by high spatial resolution infrared spectroscopy. Solid State Commun. 1993, 87, 1–4. [Google Scholar] [CrossRef]
- Venugopal, V.; Chatterjee, A.; Ebrahimi, M.; Ha, Z.H.; Leung, K.T. Adsorption and thermal decomposition of acetic acid on Si(111)7x7 studies by vibrational electron energy loss spectroscopy. J. Chem. Phys. 2010, 132, 174702. [Google Scholar] [CrossRef]
- Pavlovic, S.; Brandao, P.R.C. Adsorption of starch, amylose, amylopectin and glucose monomer and their effect on the flotation of hematite and quartz. Miner. Eng. 2003, 16, 1117–1122. [Google Scholar] [CrossRef]
- Kohli, D.; Garg, S.; Jana, A.K. Synthesis of cross-linked starch based polymers for sorption of organic pollutants from aqueous solutions. Indian Chem. Eng. 2012, 54, 210–222. [Google Scholar] [CrossRef]
- Zhang, L.; Li, X.; Zhang, S.; Gao, Q.; Lu, Q.; Peng, R.; Xu, P.; Shang, H.; Yuan, Y.; Zou, H. Micro-FTIR combined with curve fitting method to study cellulose crystallinity of developing cotton fibers. Anal. Bioanal. Chem. 2021, 413, 1313–1320. [Google Scholar] [CrossRef] [PubMed]
- Ibrahim, M.; Osman, O. Spectroscopic Analyses of cellulose: Fourier Transform Infrared and Molecular Modelling study. J. Comput. Theor. Nanosci. 2009, 6, 1054–1058. [Google Scholar] [CrossRef]
- Daescu, M.; Iota, M.; Serbschi, C.; Baibarac, M. The influence of UF light on photodegradation of acetylsalicylic acid. Int. J. Mol. Sci. 2021, 22, 4046. [Google Scholar] [CrossRef] [PubMed]
- Silverstein, R.M.; Bassler, G.C.; Morrill, T.C. Spectrometric Identification of Organic Compounds, 4th ed.; John Wiley and Sons: New York, NY, USA, 1981. [Google Scholar]
- Silva, L.P.; Silva, T.A.; Moraea, F.C.; Filho, O.F. Carbon black chitosan film-based electrochemical sensor for losartan. J. Solid State Electrochem. 2020, 24, 1827–1834. [Google Scholar] [CrossRef]
- Rana, V.A.; Pandit, T.R. Dielectric spectroscopic and molecular dynamic study of aqueous solutions of paracetamol. J. Mol. Liq. 2019, 290, 111203. [Google Scholar] [CrossRef]
















| Excipient | Blends Based on LP (1) and Excipient | The Range of Changes of PL Bands (nm) | ∆IPL = (Counts/Sec) | Time of Exposure to UV Light (min) |
|---|---|---|---|---|
| MS | - | 435–452 | 1.78 × 104 | 187 |
| MS | LP (1)/MS | 395 | 4.54 × 105 | 187 |
| MS | LP (1)/MS | 449 | 0.54 × 105 | 187 |
| SiO2 | - | 374–393 | 2.14 × 104 | 187 |
| SiO2 | LP (1)/SiO2 | 375–380 | 1.24 × 104 | 187 |
| SiO2 | LP (1)/SiO2 | 460 | 2.73 × 103 | 187 |
| Talc | - | 440–450 | 2.45 × 104 | 187 |
| Talc | LP (1)/Talc | 381–385 | 0.33 × 104 | 187 |
| Talc | LP (1)/Talc | 446 | 0.48 × 104 | 187 |
| CS | - | 420–427 | 0.6 × 105 | 187 |
| CS | LP (1)/CS | 460 | 0.5 × 104 | 187 |
| CL | - | 402–440 | 0.24 × 105 | 187 |
| CL | LP (1)/CL | 378 | 1.43 × 104 | 187 |
| CL | LP (1)/CL | 460 | 0.48 × 104 | 187 |
| Wavenumbers (cm−1) | Vibrational Modes Assigned [13] |
|---|---|
| 762 | C-H wagging at benzoic ring and alkyl chain |
| 789 | C-H rocking in alkyl chain |
| 843 | C-H wagging at benzoic ring |
| 934 | C-N-C bending in imidazole ring and C-H rocking in alkyl chain and C-H torsion in alkyl chain |
| 995 | N-C-N bending in first ring and C-C bending in the second ring |
| 1074 | C-N-C bending in imidazole ring and C-O stretching and C-Cl stretching |
| 1113 | C-H wagging at benzoic ring |
| 1258 | C-N stretching in imidazole ring and C-C stretching between benzoic ring and benzoic rings and C-H wagging at benzoic rings and in the alkyl chain |
| 1358 | C-H wagging benzoic and imidazole ring |
| 1423 | C-N stretching in tetrazole ring and C-H wagging at imidazole ring and C-H scissor between benzoic and imidazole ring and C-O-H bending |
| 1458 | C-H scissor in the alkyl chain |
| 1578 | C=C stretching in imidazole ring and C-C stretching in benzoic rings |
| 1653 | C-C stretching in benzoic ring and C-H wagging |
| 2872 | C-H stretching at imidazole ring |
| 2957 | C-H stretching in alkyl chain |
| Excipient | Wavenumbers (cm−1) | Vibrational Mode | References |
|---|---|---|---|
| SiO2 | 1061 | Si-O symmetrical stretching in O-Si-O, | [27,28] |
| SiO2 | 1163 | Si-O asymmetrical stretching in O-Si-O, | [27,28] |
| SiO2 | 1362 | CH3 | [27,28] |
| SiO2 | 1742 | C=O | [27,28] |
| CS | 761 | bending for the CH2 group | [29,30] |
| CS | 862 | anhydro-glucose ring | [29,30] |
| CS | 1259 | CH2, | [29,30] |
| CS | 1358 | CCH bending | [29,30] |
| CS | 1423 | OH bonds | [29,30] |
| CS | 1460 | CH bonds | [29,30] |
| CL | 764 | CH2, | [31,32] |
| CL | 997–1028 | C-O bond stretching | [31,32] |
| CL | 1259 | C-CO/O-H in-plan deformation | [31,32] |
| CL | 1425–1458 | CH2 symmetric bending | [31,32] |
| CL | 1740 | C=O stretching | [31,32] |
Publisher’s Note: MDPI stays neutral with regard to jurisdictional claims in published maps and institutional affiliations. |
© 2022 by the authors. Licensee MDPI, Basel, Switzerland. This article is an open access article distributed under the terms and conditions of the Creative Commons Attribution (CC BY) license (https://creativecommons.org/licenses/by/4.0/).
Share and Cite
Paraschiv, M.; Smaranda, I.; Zgura, I.; Ganea, P.; Chivu, M.; Chiricuta, B.; Baibarac, M. Degradation of Losartan Potassium Highlighted by Correlated Studies of Photoluminescence, Infrared Absorption Spectroscopy and Dielectric Spectroscopy. Pharmaceutics 2022, 14, 2419. https://doi.org/10.3390/pharmaceutics14112419
Paraschiv M, Smaranda I, Zgura I, Ganea P, Chivu M, Chiricuta B, Baibarac M. Degradation of Losartan Potassium Highlighted by Correlated Studies of Photoluminescence, Infrared Absorption Spectroscopy and Dielectric Spectroscopy. Pharmaceutics. 2022; 14(11):2419. https://doi.org/10.3390/pharmaceutics14112419
Chicago/Turabian StyleParaschiv, Mirela, Ion Smaranda, Irina Zgura, Paul Ganea, Madalina Chivu, Bogdan Chiricuta, and Mihaela Baibarac. 2022. "Degradation of Losartan Potassium Highlighted by Correlated Studies of Photoluminescence, Infrared Absorption Spectroscopy and Dielectric Spectroscopy" Pharmaceutics 14, no. 11: 2419. https://doi.org/10.3390/pharmaceutics14112419
APA StyleParaschiv, M., Smaranda, I., Zgura, I., Ganea, P., Chivu, M., Chiricuta, B., & Baibarac, M. (2022). Degradation of Losartan Potassium Highlighted by Correlated Studies of Photoluminescence, Infrared Absorption Spectroscopy and Dielectric Spectroscopy. Pharmaceutics, 14(11), 2419. https://doi.org/10.3390/pharmaceutics14112419

