Antimicrobial Activities of Highly Bioavailable Organic Salts and Ionic Liquids from Fluoroquinolones
Abstract
1. Introduction
2. Results and Discussion
2.1. Synthesis
2.2. Spectroscopic Characterisation
2.3. Thermal Analysis
2.4. Water Solubility Studies
2.5. Critical Micelle Concentration
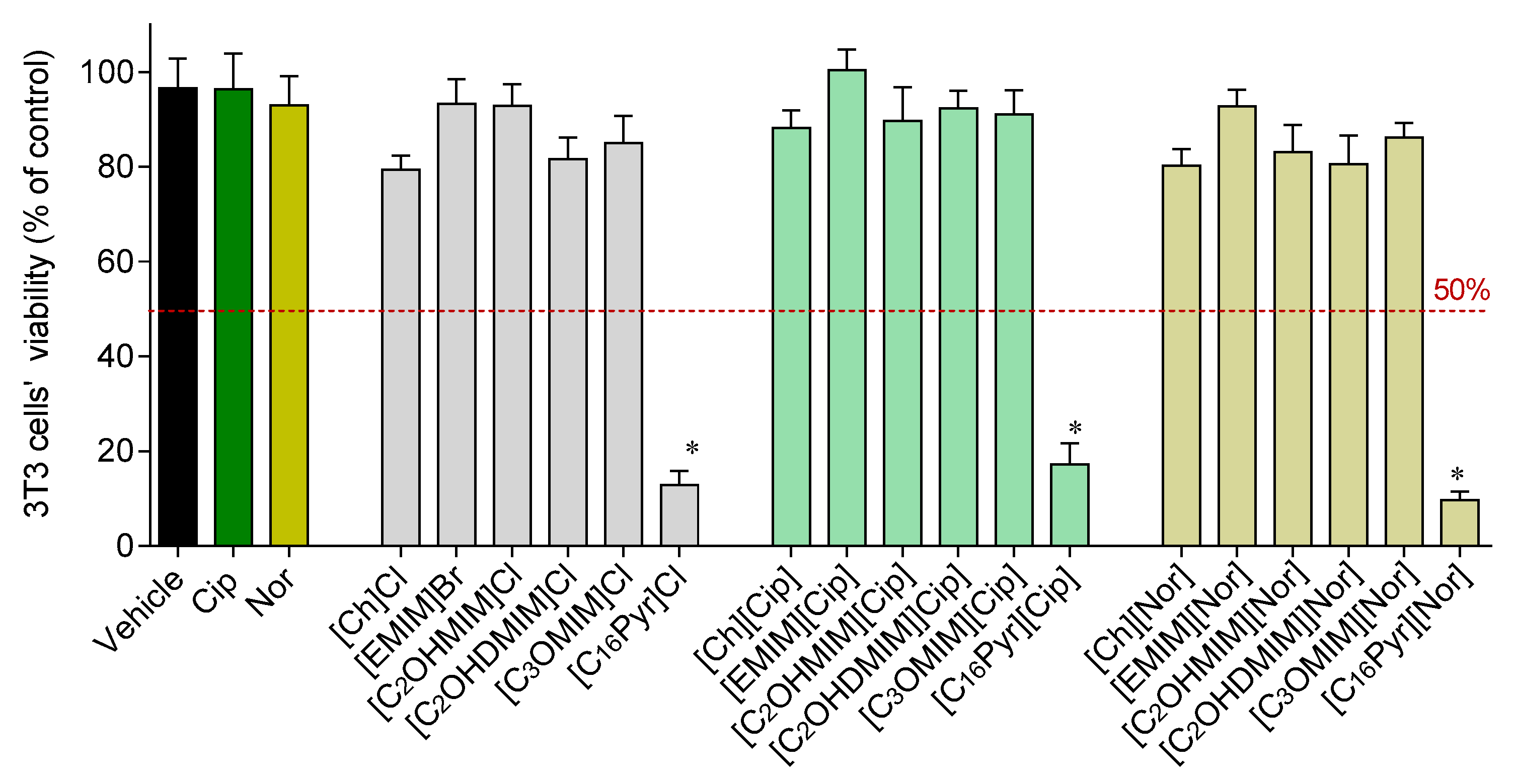
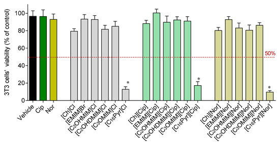
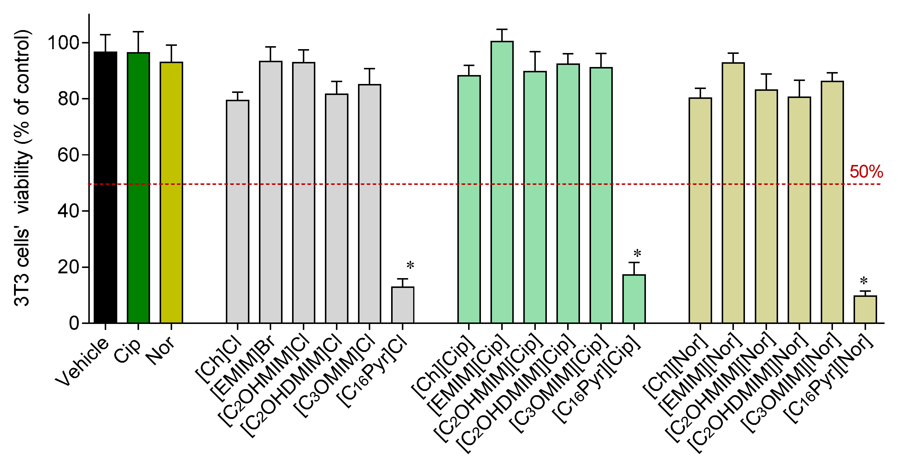
2.6. Cytotoxicity Studies
2.7. Antimicrobial Activity Studies
3. Conclusions
Supplementary Materials
Author Contributions
Funding
Acknowledgments
Conflicts of Interest
Abbreviations
| API | active pharmaceutical ingredient |
| API–OSILs | active pharmaceutical ingredient organic salts and ionic liquids |
| C16Py | cetylpyridinium |
| C2OHDMIM | 1-(2-hydroxyethyl)-2,3-dimethylimidazolium |
| C2OHMIM | 1-(2-hydroxyethyl)-3-methylimidazolium |
| C3OMIM | 1-(2-methoxyethyl)-3-methylimidazolium |
| Ch | choline |
| Cip | ciprofloxacin |
| CMC | critical micelle concentration |
| EMIM | 1-ethyl-3-methylimidazolium |
| FQ | fluoroquinolone |
| FQ-OSILs | fluoroquinolone-based organic salts and ionic liquids |
| FTIR | Fourier-transform infrared spectroscopy |
| IC50 | half maximal inhibitory concentration |
| IL | ionic liquid |
| NMR | nuclear magnetic resonance |
| Nor | norfloxacin |
| OSIL | organic salt and ionic liquid |
| RDIC50 | relative decrease in inhibitory concentration for 50% bacterial growth |
| RTILsSEM | room temperature ionic liquidsstandard error mean |
| Tg | glass transition temperature |
| Tm | melting temperature |
References
- Holmes, B.; Brogden, R.N.; Richards, D.M. Norfloxacin. A review of its antibacterial activity, pharmacokinetic properties and therapeutic use. Drugs 1985, 30, 482–513. [Google Scholar] [CrossRef] [PubMed]
- Sharma, P.C.; Jain, A.; Jain, S.; Pahwa, R.; Yar, M.S. Ciprofloxacin: Review on developments in synthetic, analytical, and medicinal aspects. J. Enz. Inhib. Med. Chem. 2010, 25, 577–589. [Google Scholar] [CrossRef] [PubMed]
- Emmerson, A.M.; Jones, A.M. The quinolones: Decades of development and use. J. Antimicrob. Chemother. 2003, 51, 13–20. [Google Scholar] [CrossRef] [PubMed]
- Variankaval, N.; Cote, A.S.; Doherty, M.F. From form to function: Crystallization of active pharmaceutical ingredients. AIChE J. 2008, 54, 1682–1688. [Google Scholar] [CrossRef]
- Nikaido, H.; Thanassi, D.G. Penetration of lipophilic agents with multiple protonation sites into bacterial cells: Tetracyclines and fluoroquinolones as examples. Antimicrob. Agents Chemother. 1993, 37, 1393–1399. [Google Scholar] [CrossRef]
- Yu, X.; Zipp, G.; Davidson, G.W.R., III. The effect of temperature and pH on the solubility of quinolone compounds: Estimation of heat of fusion. Pharm. Res. 1994, 11, 522–527. [Google Scholar] [CrossRef]
- Varanda, F.; Pratas de Melo, M.J.; Caço, A.I.; Dohrn, R.; Makrydaki, F.A.; Voutsas, E.; Tassios, D.; Marrucho, I.M. Solubility of antibiotics in different solvents. 1. Hydrochloride forms of tetracycline, moxifloxacin, and ciprofloxacin. Ind. Eng. Chem. Res. 2006, 45, 6368–6374. [Google Scholar] [CrossRef]
- Savjani, K.T.; Gajjar, A.K.; Savjani, J.K. Drug Solubility: Importance and Enhancement Techniques. Pharmaceutics 2012, 195727. [Google Scholar] [CrossRef]
- Hough, W.L.; Smiglak, M.; Rodriguez, H.; Swatloski, R.P.; Spear, S.K.; Daly, D.T.; Pernak, J.; Grisel, J.E.; Carliss, R.D.; Soutullo, M.D.; et al. The third evolution of ionic liquids: Active pharmaceutical ingredients. New J. Chem. 2007, 31, 1429–1436. [Google Scholar] [CrossRef]
- Egorova, K.S.; Gordeev, E.G.; Ananikov, V.P. Biological Activity of Ionic Liquids and Their Application in Pharmaceutics and Medicine. Chem. Rev. 2017, 117, 10–7132. [Google Scholar] [CrossRef]
- Ferraz, R.; Branco, L.C.; Prudencio, C.; Noronha, J.P.; Petrovski, Z. Ionic Liquids as Active Pharmaceutical Ingredients. ChemMedChem 2011, 6, 975–985. [Google Scholar] [CrossRef] [PubMed]
- Marrucho, I.M.; Branco, L.C.; Rebelo, L.P.N. Ionic Liquids in Pharmaceutical Applications. Annu. Rev. Chem. Biomol. Eng. 2014, 5, 527–546. [Google Scholar] [CrossRef]
- Smiglak, M.; Pringle, J.M.; Lu, X.; Han, L.; Zhang, S.; Gao, H.; MacFarlane, D.R.; Rogers, R.D. Ionic liquids for energy, materials, and medicine. Chem. Commun. 2014, 50, 9228–9250. [Google Scholar] [CrossRef] [PubMed]
- Shamshina, J.L.; Kelley, S.P.; Gurau, G.; Rogers, R.D. Chemistry: Develop ionic liquid drugs. Nature 2015, 528, 188–189. [Google Scholar] [CrossRef] [PubMed]
- Cojocaru, O.A.; Bica, K.; Gurau, G.; Narita, A.; McCrary, P.D.; Shamshina, J.L.; Barber, P.S.; Rogers, R.D. Prodrug ionic liquids: Functionalizing neutral active pharmaceutical ingredients to take advantage of the ionic liquid form. MedChemComm 2013, 4, 559–563. [Google Scholar] [CrossRef]
- Cherukuvada, S.; Nangia, A. Polymorphism in an API ionic liquid: Ethambutol dibenzoate trimorphs. CrystEngComm 2012, 14, 7840–7843. [Google Scholar] [CrossRef]
- Santos, M.M.; Raposo, L.R.; Carrera, G.V.S.M.; Costa, A.; Dionísio, M.; Baptista, P.V.; Fernandes, A.R.; Branco, L.C. Ionic Liquids and Salts from Ibuprofen as Promising Innovative Formulations of an Old Drug. ChemMedChem 2019, 14, 907–910. [Google Scholar] [CrossRef]
- Carrera, G.V.S.M.; Santos, M.M.; Costa, A.; Rebelo, L.P.N.; Marrucho, I.M.; Ponte, M.N.; Branco, L.C. Highly water soluble room temperature superionic liquids of APIs. New J. Chem. 2017, 41, 6986–6990. [Google Scholar] [CrossRef]
- Ferraz, R.; Branco, L.C.; Marrucho, I.; Araújo, J.; da Ponte, M.N.; Prudêncio, C.; Noronha, J.P.; Petrovski, Z. Development of Novel Ionic Liquids-APIs based on Ampicillin derivatives. Med. Chem. Commun. 2012, 3, 494–497. [Google Scholar] [CrossRef]
- Florindo, C.; Araujo, J.M.M.; Alves, F.; Matos, C.; Ferraz, R.; Prudencio, C.; Noronha, J.P.; Petrovski, Z.; Branco, L.; Rebelo, L.P.N.; et al. Evaluation of solubility and partition properties of ampicillin-based ionic liquids. Int. J. Pharm. 2013, 456, 553–559. [Google Scholar] [CrossRef]
- Ferraz, R.; Teixeira, V.; Rodrigues, D.; Fernandes, R.; Prudencio, C.; Noronha, J.P.; Petrovski, Z.; Branco, L.C. Antibacterial activity of Ionic Liquids based on ampicillin against resistant bacteria. RSC Adv. 2014, 4, 4301–4307. [Google Scholar] [CrossRef]
- Ferraz, R.; Silva, D.; Dias, A.R.; Dias, V.; Santos, M.M.; Pinheiro, L.; Prudêncio, C.; Noronha, J.P.; Petrovski, Z.; Branco, L.C. Synthesis and Antibacterial Activity of Ionic Liquids and Organic Salts based on Penicillin G and Amoxicillin hydrolysate derivatives against Resistant Bacteria. Pharmaceutics 2020, 12, 221. [Google Scholar] [CrossRef] [PubMed]
- Florindo, C.; Costa, A.; Matos, C.; Nunes, S.L.; Matias, A.N.; Duarte, C.M.M.; Rebelo, L.P.N.; Branco, L.C.; Marrucho, I.M. Novel organic salts based on fluoroquinolone drugs: Synthesis, bioavailability and toxicological profiles. Int. J. Pharm. 2014, 469, 179–189. [Google Scholar] [CrossRef] [PubMed]
- Teixeira, S.; Santos, M.M.; Ferraz, R.; Prudêncio, C.; Fernandes, M.H.; Costa-Rodrigues, J.; Branco, L.C. A Novel Approach for Bisphosphonates: Ionic Liquids and Organic Salts from Zoledronic Acid. ChemMedChem 2019, 14, 1767–1770. [Google Scholar] [CrossRef]
- Teixeira, S.; Santos, M.M.; Ferraz, R.; Prudêncio, C.; Fernandes, M.H.; Costa-Rodrigues, J.; Branco, L.C. Alendronic acid as ionic liquid: New perspective on osteosarcoma. Pharmaceutics 2020, 12, 293. [Google Scholar] [CrossRef]
- Araújo, J.M.M.; Florindo, C.; Pereiro, A.B.; Vieira, N.S.M.; Matias, A.A.; Duarte, C.M.M.; Rebelo, L.P.N.; Marrucho, I.M. Cholinium-based ionic liquids with pharmaceutically active anions. RSC Adv. 2014, 4, 28126–28132. [Google Scholar]
- McCrary, P.D.; Beasley, P.A.; Gurau, G.; Narita, A.; Barber, P.S.; Cojocaru, O.A.; Rogers, R.D. Drug specific, tuning of an ionic liquid’s hydrophilic–lipophilic balance to improve water solubility of poorly soluble active pharmaceutical ingredients. New J. Chem. 2013, 37, 2196–2202. [Google Scholar] [CrossRef]
- Ferraz, R.; Costa-Rodrigues, J.; Fernandes, M.H.; Santos, M.M.; Marrucho, I.M.; Rebelo, L.P.; Prudêncio, C.; Noronha, J.P.; Petrovski, Ž.; Branco, L.C. Antitumor Activity of Ionic Liquids Based on Ampicillin. ChemMedChem 2015, 10, 1480–1483. [Google Scholar] [CrossRef]
- Wu, H.; Deng, Z.; Zhou, B.; Qi, M.; Hong, M.; Ren, G. Improved transdermal permeability of ibuprofen by ionic liquid technology: Correlation between counterion structure and the physicochemical and biological properties. J. Mol. Liq. 2019, 283, 399–409. [Google Scholar] [CrossRef]
- Sidat, Z.; Marimuthu, T.; Kumar, P.; du Toit, L.C.; Kondiah, P.P.D.; Choonara, Y.E.; Pillay, V. Ionic Liquids as Potential and Synergistic Permeation Enhancers for Transdermal Drug Delivery. Pharmaceutics 2019, 11, 96. [Google Scholar] [CrossRef]
- Reddy, J.S.; Ganesh, S.V.; Nagalapalli, R.; Dandela, R.; Solomon, K.A.; Kumar, K.A.; Goud, N.R.; Nangia, A. Fluoroquinolone salts with carboxylic acids. J. Pharm. Sci. 2011, 100, 3160–3176. [Google Scholar] [CrossRef] [PubMed]
- Surov, A.O.; Voronin, A.P.; Drozd, K.V.; Churakov, A.V.; Roussel, P.; Perlovich, G.L. Diversity of crystal structures and physicochemical properties of ciprofloxacin and norfloxacin salts with fumaric acid. CrystEngComm 2018, 20, 755–767. [Google Scholar] [CrossRef]
- Surov, A.O.; Manin, A.N.; Voronin, A.P.; Drozd, K.V.; Simagina, A.A.; Churakov, A.V.; Perlovich, G.L. Pharmaceutical salts of ciprofloxacin with dicarboxylic acids. Eur. J. Pharm. Sci. 2015, 77, 112–121. [Google Scholar] [CrossRef]
- Surov, A.O.; Churakov, A.V.; Perlovich, G.L. Three Polymorphic Forms of Ciprofloxacin Maleate: Formation Pathways, Crystal Structures, Calculations, and Thermodynamic Stability Aspects. Cryst. Growth Des. 2016, 16, 6556–6567. [Google Scholar] [CrossRef]
- Paluch, K.J.; McCabe, T.; Müller-Bunz, H.; Corrigan, O.I.; Healy, A.M.; Tajber, L. Formation and physicochemical properties of crystalline and amorphous salts with different stoichiometries formed between ciprofloxacin and succinic acid. Mol. Pharm. 2013, 10, 3640–3654. [Google Scholar] [CrossRef] [PubMed]
- Garro Linck, Y.; Chattah, A.K.; Graf, R.; Romanuk, C.B.; Olivera, M.E.; Manzo, R.H.; Monti, G.A.; Spiess, H.W. Multinuclear solid state NMR investigation of two polymorphic forms of ciprofloxacin-saccharinate. Phys. Chem. Chem. Phys. 2011, 13, 6590–6596. [Google Scholar] [CrossRef]
- Basavoju, S.; Bostrm, D.; Velaga, S.P. Pharmaceutical salts of fluoroquinolone antibacterial drugs with acesulfame sweetener. Mol. Cryst. Liq. Cryst. 2012, 562, 254–264. [Google Scholar] [CrossRef]
- Bag, P.P.; Ghosh, S.; Khan, H.; Devarapalli, R.; Reddy, C.M. Drug–drug salt forms of ciprofloxacin with diflunisal and indoprofen. CrystEngComm 2014, 16, 7393–7396. [Google Scholar] [CrossRef]
- Surov, A.O.; Vasilev, N.A.; Churakov, A.V.; Stroh, J.; Emmerling, F.; Perlovich, G.L. Solid Forms of Ciprofloxacin Salicylate: Polymorphism, Formation Pathways, and Thermodynamic Stability. Cryst. Growth Des. 2019, 19, 2979–2990. [Google Scholar] [CrossRef]
- Golovnev, N.N.; Molokeev, M.S.; Lesnikov, M.K.; Atuchin, V.V. Two salts and the salt cocrystal of ciprofloxacin with thiobarbituric and barbituric acids: The structure and properties. J. Phys. Org. Chem. 2018, 31, 1–11. [Google Scholar] [CrossRef]
- Mesallati, H.; Conroy, D.; Hudson, S.; Tajber, L. Preparation and Characterization of Amorphous Ciprofloxacin-Amino Acid Salts. Eur. J. Pharm. Biopharm. 2017, 121, 73–89. [Google Scholar] [CrossRef] [PubMed]
- Mesallati, H.; Umerska, A.; Paluch, K.J.; Tajber, L. Amorphous Polymeric Drug Salts as Ionic Solid Dispersion Forms of Ciprofloxacin. Mol. Pharm. 2017, 14, 2209–2223. [Google Scholar] [CrossRef] [PubMed]
- Mesallati, H.; Umerska, A.; Tajber, L. Fluoroquinolone Amorphous Polymeric Salts and Dispersions for Veterinary Uses. Pharmaceutics 2019, 11, 268. [Google Scholar] [CrossRef] [PubMed]
- Al-Omar, M.A. Ciprofloxacin: Physical Profile. Profiles Drug Subst. Excip. Related Methodol. 2005, 31, 163–178. [Google Scholar]
- Mendes, C.; Wiemes, B.P.; Buttchevitz, A.; Christ, A.P.; Ribas, K.G.; Adams, A.I.H.; Silva, M.A.S.; Oliveira, P.R. Investigation of β-cyclodextrin–norfloxacin inclusion complexes. Part 1. Preparation, physicochemical and microbiological characterization. Expert Rev. Anti-Infect. Ther. 2015, 13, 119–129. [Google Scholar] [CrossRef]
- Gómez, E.; Calvarn, N.; Domínguez, A. Thermal Behavior of Pure Ionic Liquids. In Ionic Liquids: Current State of the Art; Handy, S., Ed.; Intech: Rijeka, Croatia, 2015; Volume 8, pp. 199–228. [Google Scholar]
- Mokadem, K.; Korichi, M.; Tumba, K. An enhanced group-interaction contribution method for the prediction of glass transition temperature of ionic liquids. Fluid Phase Equilibria 2016, 425, 259–268. [Google Scholar] [CrossRef]
- Li, C.; Wang, J.; Wang, Y.; Gao, H.; Wei, G.; Huang, Y.; Yu, H.; Gan, Y.; Wang, Y.; Mei, L.; et al. Recent progress in drug delivery. Acta Pharm. Sinica B 2019, 9, 1145–1162. [Google Scholar] [CrossRef]
- Wang, K.; Karlsson, G.; Almgren, M.; Asakawa, T. Aggregation behavior of cationic fluorosurfactants in water and salt solutions. A cryoTEM survey. J. Phys. Chem. B 1999, 103, 9237–9246. [Google Scholar] [CrossRef]
- Chatterjee, A.; Moulik, S.P.; Sanyal, S.K.; Mishra, B.K.; Puri, P.M. Thermodynamics of Micelle Formation of Ionic Surfactants: A Critical Assessment for Sodium Dodecyl Sulfate, Cetyl Pyridinium Chloride and Dioctyl Sulfosuccinate (Na Salt) by Microcalorimetric, Conductometric, and Tensiometric Measurements. J. Phys. Chem. B 2001, 105, 12823–12831. [Google Scholar] [CrossRef]
- Kim, Y.J.; Rossa, C., Jr.; Kirkwood, K.L. Prostaglandin Production by Human Gingival Fibroblasts Inhibited by Triclosan in the Presence of Cetylpyridinium Chloride. J. Periodon. 2005, 76, 1735–1742. [Google Scholar] [CrossRef]
- Wong, W.F.; Santiago, M. Microbial approaches for targeting antibiotic-resistant bacteria. Microb. Biotechnol. 2017 10, 1047–1053. [CrossRef]







| Compound | Physical State | Tm/°C | Tg/°C |
|---|---|---|---|
| Ciprofloxacin | White solid | 322.0 [44] | - |
| [Ch][Cip] | Pale yellow solid | 111.2 | - |
| [EMIM][Cip] | White solid | 92.9 | 36.7 |
| [C2OHMIM][Cip] | White solid | 111.6 | 49.5 |
| [C2OHDMIM][Cip] | White solid | 197.5 | - |
| [C3OMIM][Cip] | White solid | 112.4 | 46.4 |
| [C16Py][Cip] | Orange paste | - | −10.7 |
| Norfloxacin | White solid | 217.0 [45] | |
| [Ch][Nor] | Pale yellow solid | 94.5 | 54.8 |
| [EMIM][Nor] | Yellow solid | 119.9 | 64.6 |
| [C2OHMIM][Nor] | Yellow paste | - | 41.1 |
| [C2OHDMIM][Nor] | White solid | 121.8 | 65.1 |
| [C3OMIM][Nor] | White paste | - | 44.1 |
| [C16Py][Nor] | Yellow paste | - | 5.9 |
| Compounds | CMC (mmol/L) |
|---|---|
| [C16Py]Cl | 1.063 (1.067 [49]; 0.96 [50]) |
| [C16Py][Cip] | 0.0816 |
| [C16Py][Nor] | 0.0539 |
| Compounds | K. pneumoniae | RDIC50 | S. aureus | RDIC50 | B. subtilis | RDIC50 |
|---|---|---|---|---|---|---|
| Cip | 196.50 | 29.16 | 3.84 | |||
| (119.6–322.8) | (20.28–41.92) | (0.25–58.16) | ||||
| [Ch][Cip] | 51.12 | 3.8 | 181.4 | 0.2 | 20.60 | 0.2 |
| (38.44–67.99) | (122.9–267.9) | (18.86–22.49) | ||||
| [EMIM][Cip] | 64.80 | 3.0 | 24.24 | 1.2 | 16.17 | 0.2 |
| (56.61–74.17) | (15.79–37.19) | (12.10–21.60) | ||||
| [C2OHMIM][Cip] | 36.42 | 5.4 | 61.95 | 0.5 | 15.75 | 0.2 |
| (32.63–40.66) | (34.10–112.50) | (14.47–17.16) | ||||
| [C2OHDMIM][Cip] | 50.99 | 3.9 | 21.20 | 1.4 | 12.35 | 0.3 |
| (44.04–59.04) | (18.03–24.93) | (8.31–18.35) | ||||
| [C3OMIM][Cip] | 47.61 | 4.1 | 82.05 | 0.4 | 21.66 | 0.2 |
| (39.64–57.19) | (48.99–137.40) | (17.12–27.40) | ||||
| [C16Py][Cip] | 9.88 | 19.9 | 1430 | 0.0 | 6.07 | 0.6 |
| (4.21–23.17) | (1140.0–1793.0) | (5.21–7.06) |
| Compounds | K. pneumoniae | RDIC50 | S. aureus | RDIC50 | B. subtilis | RDIC50 |
|---|---|---|---|---|---|---|
| Nor | 255.2 | 123.4 | 117.2 | |||
| (188.6–345.3) | (71.29–213.5) | (97.70–140.60) | ||||
| [Ch][Nor] | 199.4 | 1.3 | 127.1 | 1.0 | 95.49 | 1.2 |
| (179.9–221.0) | (85.17–189.60) | (80.53–113.2) | ||||
| [EMIM][Nor] | 207.5 | 1.2 | 211.2 | 0.6 | 24.48 | 4.8 |
| (185.1–232.5) | (152.6–292.3) | (19.36–30.94) | ||||
| [C2OHMIM][Nor] | 201.0 | 1.3 | 91.70 | 1.3 | 88.61 | 1.3 |
| (182.6–221.1) | (54.08–155.5) | (81.35–96.51) | ||||
| [C2OHDMIM][Nor] | 178.2 | 1.4 | 79.55 | 1.6 | 148.8 | 0.8 |
| (156.1–203.3) | (69.24–91.40) | (126.1–175.7) | ||||
| [C3OMIM][Nor] | 224.5 | 1.1 | 106.7 | 1.1 | 68.12 | 1.7 |
| (189.5–266.0) | (70.13–162.5) | (56.55–82.06) | ||||
| [C16Py][Nor] | 202.9 | 1.3 | 10.84 | 11.4 | 87.29 | 1.3 |
| (173.9–236.7) | (2.89–40.67) | (76.04–100.2) |
© 2020 by the authors. Licensee MDPI, Basel, Switzerland. This article is an open access article distributed under the terms and conditions of the Creative Commons Attribution (CC BY) license (http://creativecommons.org/licenses/by/4.0/).
Share and Cite
Santos, M.M.; Alves, C.; Silva, J.; Florindo, C.; Costa, A.; Petrovski, Ž.; Marrucho, I.M.; Pedrosa, R.; Branco, L.C. Antimicrobial Activities of Highly Bioavailable Organic Salts and Ionic Liquids from Fluoroquinolones. Pharmaceutics 2020, 12, 694. https://doi.org/10.3390/pharmaceutics12080694
Santos MM, Alves C, Silva J, Florindo C, Costa A, Petrovski Ž, Marrucho IM, Pedrosa R, Branco LC. Antimicrobial Activities of Highly Bioavailable Organic Salts and Ionic Liquids from Fluoroquinolones. Pharmaceutics. 2020; 12(8):694. https://doi.org/10.3390/pharmaceutics12080694
Chicago/Turabian StyleSantos, Miguel M., Celso Alves, Joana Silva, Catarina Florindo, Alexandra Costa, Željko Petrovski, Isabel M. Marrucho, Rui Pedrosa, and Luís C. Branco. 2020. "Antimicrobial Activities of Highly Bioavailable Organic Salts and Ionic Liquids from Fluoroquinolones" Pharmaceutics 12, no. 8: 694. https://doi.org/10.3390/pharmaceutics12080694
APA StyleSantos, M. M., Alves, C., Silva, J., Florindo, C., Costa, A., Petrovski, Ž., Marrucho, I. M., Pedrosa, R., & Branco, L. C. (2020). Antimicrobial Activities of Highly Bioavailable Organic Salts and Ionic Liquids from Fluoroquinolones. Pharmaceutics, 12(8), 694. https://doi.org/10.3390/pharmaceutics12080694

