Extended Pharmacopeial Characterization of Surfactant Aerosols Generated by a Customized eFlow Neos Nebulizer Delivered through Neonatal Nasal Prongs
Abstract
1. Introduction
2. Materials and Methods
2.1. Nebulizer Device, Surfactant Preparation, and Nasal Prong Types
2.2. Compendial Breath Simulation Experiments to Determine the Delivered Dose
2.3. Next Generation Impactor (NGI) Experiments
2.4. Breath Simulation Experiments in a Realistic Neonatal CPAP Circuit
2.5. HPLC Analytical Method for Phosphatidylcholine
2.6. Statistical Analysis
3. Results
3.1. Compendial Characterization of Surfactant Aerosols
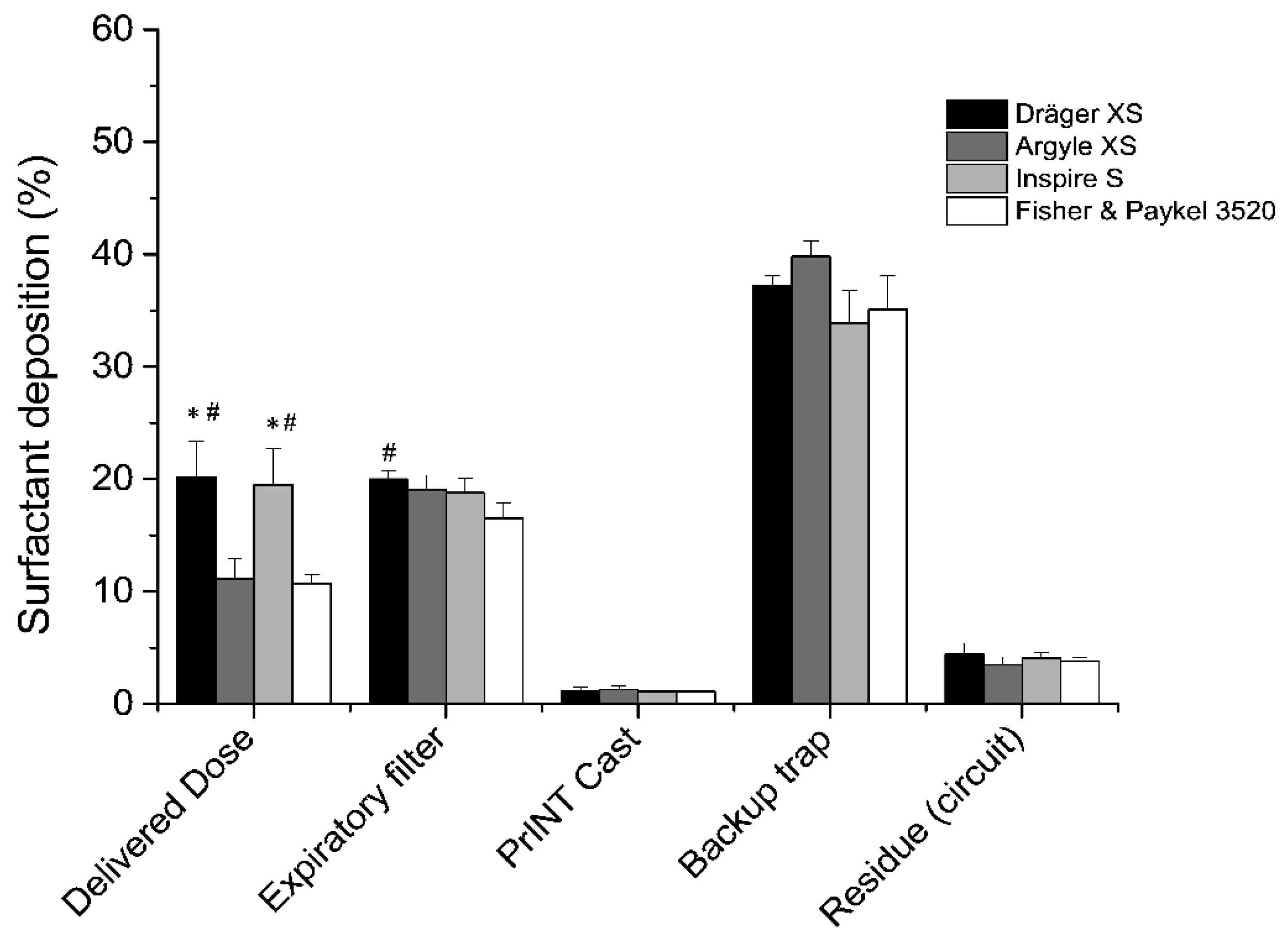
3.2. Delivered Dose in A Realistic Neonatal CPAP Circuit
4. Discussion
5. Conclusions
Supplementary Materials
Author Contributions
Funding
Conflicts of Interest
References
- Speer, C.P. Neonatal respiratory distress syndrome: An inflammatory disease? Neonatal respiratory distress syndrome: An inflammatory disease? Neonatology 2011, 99, 316–319. [Google Scholar] [CrossRef] [PubMed]
- Hayes, D.; Feola, D.J.; Murphy, B.S.; Shook, L.A.; Ballard, H.O. Pathogenesis of bronchopulmonary dysplasia. Respiration 2010, 79, 425–436. [Google Scholar] [CrossRef] [PubMed]
- Jobe, A.H.; Bancalari, E. Bronchopulmonary Dysplasia. Am. J. Respir. Crit. Care Med. 2001, 163, 1723–1729. [Google Scholar] [CrossRef] [PubMed]
- Bhandari, A.; Carroll, C.; Bhandari, V. BPD Following Preterm Birth: A Model for Chronic Lung Disease and a Substrate for ARDS in Childhood. Front Pediatr 2016, 4, 60. [Google Scholar] [CrossRef] [PubMed]
- Bhandari, A.; Bhandari, V. Pitfalls, problems, and progress in bronchopulmonary dysplasia. Pediatrics 2009. [Google Scholar] [CrossRef]
- Vento, M.; Moro, M.; Escrig, R.; Arruza, L.; Villar, G.; Izquierdo, I.; Roberts, L.J.; Arduini, A.; Escobar, J.J.; Sastre, J.; et al. Preterm resuscitation with low oxygen causes less oxidative stress, inflammation, and chronic lung disease. Pediatrics 2009, 124, e439–e449. [Google Scholar] [CrossRef]
- Sweet, D.G.; Carnielli, V.; Greisen, G.; Hallman, M.; Ozek, E.; Te Pas, A.; Plavka, R.; Roehr, C.C.; Saugstad, O.D.; Simeoni, U.; et al. European Consensus Guidelines on the Management of Respiratory Distress Syndrome - 2019 Update. Neonatology 2019, 115, 432–450. [Google Scholar] [CrossRef]
- Hentschel, R.; Bohlin, K.; van Kaam, A.; Fuchs, H.; Danhaive, O. Surfactant replacement therapy: From biological basis to current clinical practice. Pediatr. Res. 2020. [Google Scholar] [CrossRef]
- Yeh, T.F.; Lin, H.C.; Chang, C.H.; Wu, T.S.; Su, B.H.; Li, T.C.; Pyati, S.; Tsai, C.H. Early intratracheal instillation of budesonide using surfactant as a vehicle to prevent chronic lung disease in preterm infants: A pilot study. Pediatrics 2008, 121, e1310–e1318. [Google Scholar] [CrossRef]
- Yeh, T.F.; Chen, C.M.; Wu, S.Y.; Husan, Z.; Li, T.C.; Hsieh, W.S.; Tsai, C.H.; Lin, H.C. Intratracheal administration of budesonide/surfactant to prevent bronchopulmonary dysplasia. Am. J. Respir. Crit. Care Med. 2016, 193, 86–95. [Google Scholar] [CrossRef]
- Mazela, J.; Polin, R.A. Aerosol delivery to ventilated newborn infants: Historical challenges and new directions. Eur. J. Pediatr. 2011, 170, 433–444. [Google Scholar] [CrossRef] [PubMed]
- Bassler, D.; Plavka, R.; Shinwell, E.S.; Hallman, M.; Jarreau, P.H.; Carnielli, V.; Van den Anker, J.N.; Meisner, C.; Engel, C.; Schwab, M.; et al. Early Inhaled Budesonide for the Prevention of Bronchopulmonary Dysplasia. N. Engl. J. Med. 2015, 373, 1497–1506. [Google Scholar] [CrossRef] [PubMed]
- Raghuram, K.; Dunn, M.; Jangaard, K.; Reilly, M.; Asztalos, E.; Kelly, E.; Vincer, M.; Shah, V. Inhaled corticosteroids in ventilated preterm neonates: A non-randomized dose-ranging study. BMC Pediatr. 2018, 18, 1–7. [Google Scholar] [CrossRef] [PubMed]
- Berggren, E.; Liljedahl, M.; Winbladh, B.; Andreasson, B.; Curstedt, T.; Robertson, B.; Schollin, J. Pilot study of nebulized surfactant therapy for neonatal respiratory distress syndrome. Acta Paediatr. 2000, 89, 460–464. [Google Scholar] [CrossRef] [PubMed]
- Arroe, M.; Pedersen-Bjergaard, L.; Albertsen, P.; Bode, S.; Greison, G.; Jonsbo, F. Inhalation of aerosolized surfactant Exosurf to neonates treated with nasal continuous positive airway pressure. Prenat. Neonatal Med. 1998, 3, 346–352. [Google Scholar]
- Finer, N.N.; Merritt, T.A.; Bernstein, G.; Job, L.; Mazela, J.; Segal, R. An open label, pilot study of Aerosurf® combined with nCPAP to prevent RDS in preterm neonates. J. Aerosol Med. Pulm. Drug Deliv. 2010, 23, 303–309. [Google Scholar] [CrossRef]
- Minocchieri, S.; Berry, C.A.; Pillow, J.J. Nebulised surfactant to reduce severity of respiratory distress: A blinded, parallel, randomised controlled trial. Arch. Dis. Child. Fetal Neonatal Ed. 2019, 104, F313–F319. [Google Scholar] [CrossRef]
- Jorch, G.; Hartl, H.; Roth, B.; Kribs, A.; Gortner, L.; Schaible, T.; Hennecke, K.H.; Poets, C. To the editor: Surfactant aerosol treatment of respiratory distress syndrome in spontaneously breathing premature infants. Pediatr. Pulmonol. 1997, 24, 222–224. [Google Scholar] [CrossRef]
- Hidalgo, A.; Cruz, A.; Pérez-Gil, J. Barrier or carrier? Pulmonary surfactant and drug delivery. Eur. J. Pharm. Biopharm. 2015, 95, 117–127. [Google Scholar] [CrossRef]
- Hidalgo, A.; Salomone, F.; Fresno, N.; Orellana, G.; Cruz, A.; Perez-Gil, J. Efficient Interfacially Driven Vehiculization of Corticosteroids by Pulmonary Surfactant. Langmuir 2017, 33, 7929–7939. [Google Scholar] [CrossRef]
- Köhler, E.; Jilg, G.; Avenarius, S.; Jorch, G. Lung deposition after inhalation with various nebulisers in preterm infants. Arch. Dis. Child. Fetal Neonatal Ed. 2008, 93, F275–F279. [Google Scholar] [CrossRef] [PubMed]
- Dubus, J.C.; Vecellio, L.; De Monte, M.; Fink, J.B.; Grimbert, D.; Montharu, J.; Valat, C.; Behan, N.; Diot, P. Aerosol deposition in neonatal ventilation. Pediatr. Res. 2005, 58, 10–14. [Google Scholar] [CrossRef] [PubMed][Green Version]
- Pharmacopei U.S. <1601> Products for Nebulization-Characterization Test., USP 39 and NF 34; North Bethesda, MA, USA, 2016; Volume 1, p. 1811. Available online: https://www.uspnf.com (accessed on 1 December 2019).
- De Paoli, A.G.; Morley, C.J.; Davis, P.G.; Lau, R.; Hingeley, E. In vitro comparison of nasal continuous positive airway pressure devices for neonates. Arch. Dis. Child. Fetal Neonatal Ed. 2002, 87, F42–F45. [Google Scholar] [CrossRef] [PubMed]
- Bianco, F.; Ricci, F.; Catozzi, C.; Murgia, X.; Schlun, M.; Bucholski, A.; Hetzer, U.; Bonelli, S.; Lombardini, M.; Pasini, E.; et al. From bench to bedside: In vitro and in vivo evaluation of a neonate-focused nebulized surfactant delivery strategy. Respir. Res. 2019, 20, 134. [Google Scholar] [CrossRef]
- Minocchieri, S.; Burren, J.M.; Bachmann, M.A.; Stern, G.; Wildhaber, J.; Buob, S.; Schindel, R.; Kraemer, R.; Frey, U.P.; Nelle, M. Development of the premature infant nose throat-model (PrINT-Model)-an upper airway replica of a premature neonate for the study of aerosol delivery. Pediatr. Res. 2008, 64, 141–146. [Google Scholar] [CrossRef]
- Pillow, J.; Minocchieri, S. Innovation in Surfactant Therapy II: Surfactant Administration by Aerosolization. Neonatology 2012, 101, 337–344. [Google Scholar] [CrossRef]
- Savani, R.C. Modulators of inflammation in Bronchopulmonary Dysplasia. Semin. Perinatol. 2018, 42, 459–470. [Google Scholar] [CrossRef]
- Fink, J.B. Aerosol delivery to ventilated infant and pediatric patients. Respir. Care 2004, 49, 653–665. [Google Scholar]
- Fok, T.F.; Monkman, S.; Dolovich, M.; Gray, S.; Coates, G.; Paes, B.; Rashid, F.; Newhouse, M.; Kirpalani, H. Efficiency of aerosol medication delivery from a metered dose inhaler versus jet nebulizer in infants with bronchopulmonary dysplasia. Pediatr. Pulmonol. 1996, 21, 301–309. [Google Scholar] [CrossRef]
- Gregory, T.J.; Irshad, H.; Chand, R.; Kuehl, P.J. Deposition of Aerosolized Lucinactant in Nonhuman Primates. J. Aerosol Med. Pulm. Drug Deliv. 2019, 33. [Google Scholar] [CrossRef]
- Nord, A.; Linner, R.; Salomone, F.; Bianco, F.; Ricci, F.; Murgia, X.; Schlun, M.; Cunha-Goncalves, D.; Perez-de-Sa, V. Lung deposition of nebulized surfactant in newborn piglets: Nasal CPAP vs Nasal IPPV. Pediatr. Pulmonol. 2020, 55, 514–520. [Google Scholar] [CrossRef] [PubMed]
- Cogo, P.E.; Zimmermann, L.J.I.; Meneghini, L.; Mainini, N.; Bordignon, L.; Suma, V.; Buffo, M.; Carnielli, V.P. Pulmonary Surfactant Disaturated-Phosphatidylcholine (DSPC) Turnover and Pool Size in Newborn Infants with Congenital Diaphragmatic Hernia (CDH). Pediatr. Res. 2003, 54, 653–658. [Google Scholar] [CrossRef] [PubMed][Green Version]
- Ari, A. Jet, Ultrasonic, and Mesh Nebulizers: An Evaluation of Nebulizers for Better Clinical Outcomes. Eurasian J. Pulmonol. 2014, 16, 1–7. [Google Scholar] [CrossRef]
- Bianco, F.; Pasini, E.; Nutini, M.; Murgia, X.; Stoeckl, C.; Schlun, M.; Hetzer, U.; Bonelli, S.; Lombardini, M.; Milesi, I.; et al. In vitro performance of an investigational vibrating-membrane nebulizer with surfactant under simulated, non-invasive neonatal ventilation conditions: Influence of continuous positive airway pressure interface and nebulizer positioning on the lung dose. Pharmaceutics 2020, 12, 257. [Google Scholar] [CrossRef] [PubMed]
- Rey-Santano, C.; Mielgo, V.; Gomez-Solaetxe, M.A.; Ricci, F.; Bianco, F.; Salomone, F.; Loureiro, B. Dose-Response Study on Surfactant Nebulization Therapy During Nasal Continuous Positive Airway Pressure Ventilation in Spontaneously Breathing Surfactant-Deficient Newborn Piglets. Pediatr. Crit. Care Med. 2020. [Google Scholar] [CrossRef]





| Breath Simulation Experiments | Next Generation Impactor Experiments | ||||||
|---|---|---|---|---|---|---|---|
| Nasal Cannula Type | Delivered Dose (%) | Surfactant at Expiratory Filter (%) | Nebulization Time (min) | Calculated Delivered Dose (%) | Fine Particle Fraction (%) | MMAD (µm) | GSD |
| Dräger prongs (S) | 74.8 ± 0.7 | 19.2 ± 0.6 | 92 ± 36 | 91.1 ± 1.2 | 69.8 ± 4.6 | 2.81 ± 0.13 | 1.64 ± 0.10 |
| Dräger prongs (L) | 65.3 ± 0.6 | 23.5 ± 2.6 | 84.8 ± 11.7 | 86.3 ± 1.9 | 70.3 ± 4.1 | 2.81 ± 0.27 | 1.64 ± 0.11 |
| Fisher and Paykel 3520 | 62.9 ± 9.2 | 20.6 ± 1.1 | 80.9 ± 28.5 | 84.1 ± 7.1 | 62.8 ± 3.4 | 2.53 ± 0.07 | 1.53 ± 0.05 |
| Fisher and Paykel 5050 | 63.1 ± 1.2 | 23.3 ± 0.8 | 83.6 ± 25.4 | 86.3 ± 4.1 | 77.1 ± 8.7 | 2.76 ± 0.36 | 1.82 ± 0.46 |
| Argyle (XS) | 73.8 ± 3.9 | 20.7 ± 0.9 | 127.1 ± 43.59 | 88.0 ± 3.4 | 81.7 ± 0.8 | 2.79 ± 0.07 | 1.55 ± 0.04 |
| Argyle (L) | 71.7 ± 4.4 | 21.4 ± 0.2 | 85.1 ± 12.7 | 90.4 ± 2.9 | 80.9 ± 1.2 | 2.65 ± 0.02 | 1.53 ± 0.03 |
| Inspire (S) | 71.6 ± 2.1 | 21.6 ± 1.3 | 64.2 ± 11.58 | 90.4 ± 1 | 78.7 ± 5.4 | 2.75 ± 0.11 | 1.55 ± 0.06 |
| Inspire (L) | 65.5 ± 2.7 | 24.5 ± 2.5 | 112.8 ± 34.3 | 90.4 ± 1 | 74.2 ± 5.4 | 2.76 ± 0.12 | 1.58 ± 0.06 |
© 2020 by the authors. Licensee MDPI, Basel, Switzerland. This article is an open access article distributed under the terms and conditions of the Creative Commons Attribution (CC BY) license (http://creativecommons.org/licenses/by/4.0/).
Share and Cite
Bianco, F.; Pasini, E.; Nutini, M.; Murgia, X.; Stoeckl, C.; Schlun, M.; Hetzer, U.; Bonelli, S.; Lombardini, M.; Milesi, I.; et al. Extended Pharmacopeial Characterization of Surfactant Aerosols Generated by a Customized eFlow Neos Nebulizer Delivered through Neonatal Nasal Prongs. Pharmaceutics 2020, 12, 319. https://doi.org/10.3390/pharmaceutics12040319
Bianco F, Pasini E, Nutini M, Murgia X, Stoeckl C, Schlun M, Hetzer U, Bonelli S, Lombardini M, Milesi I, et al. Extended Pharmacopeial Characterization of Surfactant Aerosols Generated by a Customized eFlow Neos Nebulizer Delivered through Neonatal Nasal Prongs. Pharmaceutics. 2020; 12(4):319. https://doi.org/10.3390/pharmaceutics12040319
Chicago/Turabian StyleBianco, Federico, Elena Pasini, Marcello Nutini, Xabier Murgia, Carolin Stoeckl, Martin Schlun, Uwe Hetzer, Sauro Bonelli, Marta Lombardini, Ilaria Milesi, and et al. 2020. "Extended Pharmacopeial Characterization of Surfactant Aerosols Generated by a Customized eFlow Neos Nebulizer Delivered through Neonatal Nasal Prongs" Pharmaceutics 12, no. 4: 319. https://doi.org/10.3390/pharmaceutics12040319
APA StyleBianco, F., Pasini, E., Nutini, M., Murgia, X., Stoeckl, C., Schlun, M., Hetzer, U., Bonelli, S., Lombardini, M., Milesi, I., Pertile, M., Minocchieri, S., Salomone, F., & Bucholski, A. (2020). Extended Pharmacopeial Characterization of Surfactant Aerosols Generated by a Customized eFlow Neos Nebulizer Delivered through Neonatal Nasal Prongs. Pharmaceutics, 12(4), 319. https://doi.org/10.3390/pharmaceutics12040319

