Targeting Groups Employed in Selective Dendrons and Dendrimers
Abstract
1. Introduction
1.1. Peptides as Targeting Groups
1.2. FA as Targeting Group
1.3. Carbohydrates as Targeting Groups
1.4. Monoclonal Antibodies as Targeting Group
1.5. Other Targeting Groups
2. Concluding Remarks
Funding
Conflicts of Interest
Abbreviations
| 2-ME | 2-methoxyestradiol |
| 5-FU | 5-fluorouracil |
| ASGPR | Asialoglycoprotein receptors |
| Aspn | Poly aspartic acid |
| CD | β-cyclodextrin |
| CMCS | Carboxymethyl chitosan |
| CPMV | Cowpea mosaic virus |
| CPPI | PPI dendrimer conjugated with concanavalin A |
| CQ | Chloroquine |
| CLNS | Supramolecular dendritic system composed of PLL and poly(l-leucine) |
| DOTA | 1,4,7,10-tetraazacyclododecane-1,4,7,10-tetraacetic acid |
| DOX | Doxorubicin |
| EPR | Enhanced permeability and retention effect |
| FA | Folic acid |
| FKE | Tripeptide Phe-Lys-Glu |
| Gd III | Gadolinium |
| GFLG | Tetrapeptide Gly Phe-Leu-Gly |
| HAP | Hydroxyapatite |
| HER | Human epidermal growth factor receptor |
| IL-6 | Interleukin-6 |
| MPPI | Mannosylated-PPI |
| MTX | Methotrexate |
| NAcGal | N-acetylgalactosamine |
| PAMAM | Poly(amidoamine) dendrimer |
| PEG | Polyethylene glycol |
| PEHAM | Poly(etherhydroxylamine) dendrimer |
| PLL | Poly(lysine) dendrimer |
| PLLD | Poly(l-lysine) branch |
| PPCD | PEG-PAMAM-cis-aconityl-DOX conjugates |
| PPI | Poly(propylenimine) dendrimer |
| PPSD | PEG-PAMAM-succinic-DOX conjugates |
| PQ | Primaquine |
| PVGLIG | Hexa-peptide Pro-Val-Gly Leu-Ile-Gly |
| RGD | Tripeptide Arg-Gly Asp |
| SP | Substance P |
| SPION | Superparamagnetic iron oxide nanoparticle core |
| SPPI | PPI dendrimer functionalized with sialic acid |
| Tf | Transferrin |
| TPPI | T-Boc-glycine-PPI |
| UA | Ursolic acid |
| WGA | Wheat germ agglutinin |
References
- Mekuria, S.L.; Debele, T.A.; Tsai, H.C. PAMAM dendrimer based targeted nano-carrier for bio-imaging and therapeutic agents. RSC Adv. 2016, 68, 63761–63772. [Google Scholar] [CrossRef]
- Bertrand, N.; Wu, J.; Xu, X.; Kamaly, N.; Farokhzad, O.C. Cancer nanotechnology: The impact of passive and active targeting in the area of modern cancer biology. Adv. Drug Deliv. Rev. 2014, 66, 2–25. [Google Scholar] [CrossRef] [PubMed]
- Lee, S.J.; Jeong, Y., II; Park, H.K.; Kang, D.H.; Oh, J.S.; Lee, S.G.; Lee, H.C. Enzyme-responsive doxorubicin release from dendrimer nanoparticles for anticancer drug delivery. Int. J. Nanomed. 2015, 10, 5489–5503. [Google Scholar] [CrossRef]
- Tomalia, D.A.; Baker, H.; Dewald, J.; Hall, M.G.K.; Martin, S.; Roeck, J.; Ryder, J.; Smith, P. A new class of polymers: Starburst dendritic macromolecules. Polym. J. 1985, 17, 117–132. [Google Scholar] [CrossRef]
- Svenson, S.; Tomalia, D.A. Dendrimers in biomedical applications-reflections on the field. Adv. Drug Deliv. Rev. 2005, 57, 2106–2129. [Google Scholar] [CrossRef] [PubMed]
- Cheng, Y.; Xu, Z.; Ma, M.; Xu, T. Dendrimers as drug carriers: Applications in different routes of drug administration. J. Pharm. Sci. 2007, 97, 123–143. [Google Scholar] [CrossRef] [PubMed]
- Svenson, S. Dendrimers as versatile platform in drug delivery applications. Eur. J. Pharm. Biopharm. 2009, 71, 445–462. [Google Scholar] [CrossRef] [PubMed]
- Menjoge, A.R.; Kannan, M.; Tomalia, D.A. Dendrimer-based drug and imaging conjugates: Design considerations for nanomedical applications. Drug Discov. Today 2010, 15, 171–185. [Google Scholar] [CrossRef] [PubMed]
- Mintzer, M.A.; Grinstaff, M.W. Biomedical applications of dendrimers: A tutorial. Chem. Soc. Rev. 2011, 40, 173–190. [Google Scholar] [CrossRef] [PubMed]
- Newkome, G.R.; Yao, Z.Q.; Baker, G.R.; Gupta, V.K. Micelles. Part 1. Cascade molecules. A new approach to micelles. J. Org. Chem. 1985, 50, 2003–2004. [Google Scholar] [CrossRef]
- Kesharwani, P.; Jain, K.; Jain, N.K. Dendrimer as nanocarrier for drug delivery. Prog. Polym. Sci. 2014, 39, 268–307. [Google Scholar] [CrossRef]
- Fisher, M.; Vögtle, F. Dendrimers: From design to application: A progress report. Angew. Chem. Int. Ed. Engl. 1999, 38, 884–905. [Google Scholar] [CrossRef]
- Esfand, R.; Tomalia, D.A. Poly(amidoamine) (PAMAM) dendrimers: From biomimicry to drug delivery and biomedical application. Drug Discov. Today 2001, 6, 427–436. [Google Scholar] [CrossRef]
- Wijagkanalan, W.; Kawakani, S.; Hashida, M. Designing dendrimers for drug delivery and imaging: Pharmacokinetic considerations. Pharm. Res. 2011, 28, 1500–1519. [Google Scholar] [CrossRef] [PubMed]
- Kannan, R.M.; Nance, E.; Kannan, S.; Tomalia, D.A. Emerging concepts in dendrimer-based nanomedicine: From design principles to clinical applications. J. Intern. Med. 2014, 276, 579–617. [Google Scholar] [CrossRef] [PubMed]
- Kaminskas, L.M.; Mcleod, V.M.; Porter, C.J.H.; Boyd, B.J. Association of chemotherapeutic drugs with dendrimer nanocarriers: An assessment of the merits of covalent conjugation compared to noncovalent encapsulation. Mol. Pharm. 2012, 9, 355–373. [Google Scholar] [CrossRef] [PubMed]
- Yavuz, B.; Pehlivan, S.B.; Ünlü, N. Dendrimeric systems and their applications in ocular drug delivery. Sci. World J. 2013, 2013, 1–13. [Google Scholar] [CrossRef] [PubMed]
- Kesharwani, P.; Gajbhiye, V.; Tekade, R.K.; Jain, N.K. Evaluation of dendrimer safety and efficacy through cell line studies. Curr. Drug Targets 2011, 12, 1478–1497. [Google Scholar] [CrossRef] [PubMed]
- Kaminskas, L.M.; Boyd, B.J.; Porter, C.J.H. Dendrimer pharmacokinetics: The effect of size, structure and surface characteristics on ADME properties. Nanomedicine 2011, 6, 1063–1084. [Google Scholar] [CrossRef] [PubMed]
- Janga, W.D.; Selimb, K.M.K.; Leea, C.H.; Kangb, I.K. Bioinspired application of dendrimers: From bio-mimicry to biomedical applications. Prog. Polym. Sci. 2009, 34, 1–23. [Google Scholar] [CrossRef]
- Liu, M.; Fréchet, J.M.J. Designing dendrimers for drug delivery. Pharm. Sci. Technol. Today 1999, 2, 393–401. [Google Scholar] [CrossRef]
- D’Emanuele, A.; Attwood, D. Dendrimer-drug interactions. Adv. Drug Deliv. Rev. 2005, 57, 2147–2162. [Google Scholar] [CrossRef] [PubMed]
- Medina, S.H.; Sayed, M.E.H. Dendrimers as carriers for delivery of chemotherapeutic agents. Chem. Rev. 2009, 109, 3141–3157. [Google Scholar] [CrossRef] [PubMed]
- Astruc, D.; Boisselier, E.; Ornelas, C. Dendrimers designed for functions: From physical, photophysical, and supramolecular properties to applications in sensing, catalysis, molecular electronics, photonics, and nanomedicine. Chem. Rev. 2010, 110, 1857–1959. [Google Scholar] [CrossRef] [PubMed]
- Jain, K.; Kesharwani, P.; Gupta, U.; Jain, N.K. Dendrimer toxicity: Let’s meet the challenge. Int. J. Pharm. 2010, 394, 122–142. [Google Scholar] [CrossRef] [PubMed]
- Gardikis, K.; Screttas, M.M.; Demetzos, C.; Steele, B.R. Dendrimers and the development of new complex nanomaterials for biomedical applications. Curr. Med. Chem. 2012, 19, 4913–4928. [Google Scholar] [CrossRef] [PubMed]
- Mignani, S.; Kazzouli, S.E.; Bousmina, M.; Majoral, J.P. Expand classical drug administration ways by emerging routes using dendrimer drug delivery systems: A concise overview. Adv. Drug Deliv. Rev. 2013, 65, 1316–1330. [Google Scholar] [CrossRef] [PubMed]
- Wu, L.P.; Ficker, M.; Christensen, J.B.; Trohopoulos, P.N.; Moghimi, S.M. Dendrimers in medicine: Therapeutic concepts and pharmaceutical challenges. Bioconj. Chem. 2015, 26, 1198–1211. [Google Scholar] [CrossRef] [PubMed]
- Meng, Z.; Lv, Q.; Lu, J.; Yao, H.; Lv, X.; Jiang, F.; Lu, A.; Zhang, G. Prodrug strategies for paclitaxel. Int. J. Mol. Sci. 2016, 17, 796–819. [Google Scholar] [CrossRef] [PubMed]
- Santos, S.S.; Ferreira, E.I.; Giarolla, J. Dendrimer prodrugs. Molecules 2016, 21, 686–702. [Google Scholar] [CrossRef] [PubMed]
- Ahmed, S.; Vepuri, S.B.; Kalhapure, S.; Govender, T. Interactions of dendrimers with biological drug targets: Reality or mystery—A gap in drug delivery and development research. Biomater. Sci. 2016, 4, 1032–1050. [Google Scholar] [CrossRef] [PubMed]
- Wang, H.; Huang, Q.; Chang, H.; Xiao, J.; Cheng, Y. Stimuli-responsive dendrimers in drug delivery. Biomater. Sci. 2016, 4, 375–390. [Google Scholar] [CrossRef] [PubMed]
- Santos, S.S.; Gonzaga, R.V.; Silva, J.V.; Savino, D.F.; Prieto, D.; Shikay, J.M.; Silva, R.S.; Paulo, L.H.A.; Ferreira, E.I.; Giarolla, J. Peptide dendrimers: Drug/gene delivery and other approaches. Can. J. Chem. 2017, 95, 907–916. [Google Scholar] [CrossRef]
- Jevprasesphant, R.; Penny, J.; Attwood, D.; D’Emanuele, A. Transport of dendrimer nanocarriers through epithelial cells via the transcellular route. J. Control. Release 2004, 97, 259–267. [Google Scholar] [CrossRef] [PubMed]
- D’Emanuele, A.; Jevprasesphant, R.; Penny, J.; Attwood, D. The use of a dendrimer-propranolol prodrug to bypass efflux transporters and enhance oral bioavailability. J. Control. Release 2004, 95, 447–453. [Google Scholar] [CrossRef] [PubMed]
- Najlah, M.; Freeman, S.; Attwood, D.; D’Emanuele, A. Synthesis, characterization and stability of dendrimer prodrugs. Int. J. Pharm. 2006, 308, 175–182. [Google Scholar] [CrossRef] [PubMed]
- Najlah, M.; Freeman, S.; Attwood, D.; D’Emanuele, A. Synthesis and assessment of first-generation polyamidoamine dendrimer prodrugs to enhance the cellular permeability of P-gp substrates. Bioconj. Chem. 2007, 18, 937–946. [Google Scholar] [CrossRef] [PubMed]
- Najlah, M.; Freeman, S.; Attwood, D.; D’Emanuele, A. In vitro evaluation of dendrimer prodrugs for oral drug delivery. Int. J. Pharm. 2007, 336, 183–190. [Google Scholar] [CrossRef] [PubMed]
- Twibanire, J.A.K.; Grindley, T.B. Polyester dendrimers: Smart carriers for drug delivery. Polymers 2014, 6, 179–213. [Google Scholar] [CrossRef]
- Hong, S.; Leroueil, P.R.; Majoros, I.J.; Orr, B.G.; Baker, J.R.; Holl, M.M.B. The binding avidity of a nanoparticle-based multivalent targeted drug delivery platform. Chem. Biol. 2007, 114, 107–115. [Google Scholar] [CrossRef] [PubMed]
- Zhu, S.; Hong, M.; Tang, G.; Qian, L.; Lin, J.; Jiang, Y.; Pei, Y. Partly PEGylated polyamidoamine dendrimer for tumor-selective targeting of doxorubicin: The effects of PEGylation degree and drug conjugation style. Biomaterials 2010, 31, 1360–1371. [Google Scholar] [CrossRef] [PubMed]
- Boswell, C.A.; Eck, P.K.; Regino, C.A.S.; Bernardo, M.; Wong, K.J.; Milenic, D.E.; Choyke, P.L.; Brechbiel, M.W. Synthesis, characterization, and biological evaluation of integrin αvβ3-targeted PAMAM dendrimers. Mol. Pharm. 2008, 5, 527–539. [Google Scholar] [CrossRef] [PubMed]
- Jiang, B.; Zhao, J.; Li, Y.; He, D.; Pan, J.; Cao, J.; Guo, L. Dual-targeting janus dendrimer based peptides for bone cancer: Synthesis and preliminary biological evaluation. Lett. Org. Chem. 2013, 10, 594–601. [Google Scholar] [CrossRef]
- Nair, J.B.; Mohapatra, S.; Ghosh, S.; Maiti, K.K. Novel lysosome targeted molecular transporter built on a guanidinium-poly-(propylene imine) hybrid dendron for efficient delivery of doxorubicin into cancer cells. Chem. Commun. 2015, 51, 2403–2406. [Google Scholar] [CrossRef] [PubMed]
- Ma, P.; Yu, H.; Zhang, X.; Mu, H.; Chu, Y.; Ni, L.; Xing, P.; Wang, Y.; Sun, K. Increased active tumor targeting by an αvβ3-targeting and cell-penetrating bifunctional peptide-mediated dendrimer-based conjugate. Pharm. Res. 2017, 34, 121. [Google Scholar] [CrossRef] [PubMed]
- Nair, J.B.; Joseph, M.M.; Mohapatra, S.; Safeera, M.; Ghosh, S.; Sreelekha, T.T.; Maiti, K.K. A dual-targeting octaguanidine-doxorubicin conjugate transporter for inducing caspase-mediated apoptosis on folate-expressing cancer cells. Chem. Med. Chem. 2016, 11, 702–712. [Google Scholar] [CrossRef] [PubMed]
- Behrooz, A.B.; Nabavizadeh, F.; Adiban, J.; Ardestani, M.S.; Vahabpour, R.; Aghasadeghi, M.R.; Sohanaki, H. Smart bomb AS1411 aptamer-functionalized/PAMAM dendrimer nanocarriers for targeted drug delivery in the treatment of gastric cancer. Clin. Exp. Pharmacol. Physiol. 2017, 44, 41–51. [Google Scholar] [CrossRef] [PubMed]
- Masuda, M.; Kawakami, S.; Wijagkanalan, W.; Suga, T.; Fuchigami, Y.; Yamashita, F.; Hashida, M. Anti-MUC1 aptamer/negatively charged amino acid dendrimer conjugates for targeted delivery to human lung adenocarcinoma A549 cells. Biol. Pharm. Bull. 2016, 39, 1734–1738. [Google Scholar] [CrossRef] [PubMed]
- Wu, J.; Zhou, Y.; Li, S.; Qu, D.; Zhu, W.H.; Tian, H. Real-time near-infrared bioimaging of a receptor-targeted cytotoxic dendritic theranostic agent. Biomaterials 2017, 120, 1–10. [Google Scholar] [CrossRef] [PubMed]
- Li, N.; Yi, Q.; Luo, K.; Guo, C.; Pan, D.; Gu, Z. Amphiphilic peptide dendritic copolymer-doxorubicin nanoscale conjugate self-assembled to enzyme-responsive anti-cancer agent. Biomaterials 2014, 35, 9529–9545. [Google Scholar] [CrossRef] [PubMed]
- Li, Y.; Lai, Y.; Xu, X.; Zhang, X.; Wu, Y.; Hu, C.; Gu, Z. Capsid-like supramolecular dendritic systems as pH-responsive nanocarriers for drug penetration and site-specific delivery. Nanomed. Nanotechnol. Biol. Med. 2016, 12, 355–364. [Google Scholar] [CrossRef] [PubMed]
- Liu, T.; Wu, X.; Wang, Y.; Zhang, T.; Wu, T.; Liu, F.; Wang, W.; Jaing, G.; Xie, M. Folate-targeted star-shaped cationic copolymer co-delivering docetaxel and MMP-9 siRNA for nasopharyngeal carcinoma therapy. Oncotarget 2016, 7, 42017–42030. [Google Scholar] [CrossRef] [PubMed]
- Gupta, U.; Dwivedi, S.K.D.; Bid, H.K.; Konwat, R.; Jain, N.K. Ligand anchored dendrimers based nanoconstructs for effective targeting to cancer cells. Int. J. Pharm. 2010, 393, 185–196. [Google Scholar] [CrossRef] [PubMed]
- Wang, Y.; Guo, R.; Cao, X.; Shen, M.; Shi, X. Encapsulation of 2-methoxyestradiol within multifunctional poly(amidoamine) dendrimers for targeted cancer therapy. Biomaterials 2011, 32, 3322–3329. [Google Scholar] [CrossRef] [PubMed]
- Majoros, I.J.; Williams, C.R.; Becker, A.; Baker, J.R. Methotrexate delivery via folate targeted dendrimer-based nanotherapeutic platform. Wiley Interdiscip. Rev. Nanomed. Nanobiotechnol. 2009, 1, 502–510. [Google Scholar] [CrossRef] [PubMed]
- Thomas, T.P.; Huang, B.; Choi, S.K.; Silpe, J.E.; Kotlyar, A.; Desai, A.M.; Zong, H.; Gam, J.; Joice, M.; Baker, J.R. Polyvalent dendrimer-methotrexate as a folate receptor-targeted cancer therapeutic. Mol. Pharm. 2012, 9, 2669–2676. [Google Scholar] [CrossRef] [PubMed]
- Myc, A.; Kukowska-latallo, J.; Cao, P.; Swanson, B.; Battista, J.R., Jr. Targeting the efficacy of a dendrimer-based nanotherapeutic in heterogeneous xenograft tumors in vivo. Medicine 2010, 21, 1–15. [Google Scholar] [CrossRef] [PubMed]
- Kesharwani, P.; Tekade, R.K.; Jain, N.K. Generation dependent safety and efficacy of folic acid conjugated dendrimer based anticancer drug formulations. Pharm. Res. 2015, 32, 1438–1450. [Google Scholar] [CrossRef] [PubMed]
- Gao, J.; Chen, P.; Singh, Y.; Zhang, X.; Szekely, Z.; Stein, S.; Sinko, P.J. Novel monodisperse PEGtide dendrons: Design, fabrication, and evaluation of mannose receptor-mediated macrophage targeting. Bioconj. Chem. 2013, 24, 1332–1344. [Google Scholar] [CrossRef] [PubMed]
- Luong, D.; Kesharwani, P.; Deshmukh, R.; Amin, M.C.I.M.; Gupta, U.; Greish, K.; Iyer, A.K. PEGylated PAMAM dendrimers: Enhancing efficacy and mitigating toxicity for effective anticancer drug and gene delivery. Acta Biomater. 2016, 43, 14–29. [Google Scholar] [CrossRef] [PubMed]
- Luong, D.; Sau, S.; Kesharwani, P.; Iyer, A.K. Polyvalent folate-dendrimer-coated iron oxide theranostic nanoparticles for simultaneous magnetic resonance imaging and precise cancer cell targeting. Biomacromolecules 2017, 18, 1197–1209. [Google Scholar] [CrossRef] [PubMed]
- Chandrasekar, D.; Sistla, R.; Ahmad, F.; Khar, R.; Diwan, P. Folate coupled poly(ethyleneglycol) conjugates of anionic poly(amidoamine) dendrimer for inflammatory tissue specific drug delivery. J. Biomed. Mater. Res. A 2007, 82, 92–103. [Google Scholar] [CrossRef] [PubMed]
- Chandrasekar, D.; Sistla, R.; Ahmad, F.J.; Khar, R.K.; Diwan, P.V. The development of folate-PAMAM dendrimer conjugates for targeted delivery of anti-arthritic drugs and their pharmacokinetics and biodistribution in arthritic rats. Biomaterials 2007, 28, 504–512. [Google Scholar] [CrossRef] [PubMed]
- Weiss, V.; Argyo, C.; Torrano, A.A.; Strobel, C.; Mackowiak, S.A.; Schmidt, A.; Datz, S.; Gatzenmeier, T.; Hilger, I.; Bräuchle, C.; et al. Dendronized mesoporous silica nanoparticles provide an internal endosomal escape mechanism for successful cytosolic drug release. Microporous Mesoporous Mater. 2016, 227, 242–251. [Google Scholar] [CrossRef]
- Medina, S.H.; Tekumalla, V.; Chevliakov, M.V.; Shewach, D.S.; Ensminger, W.D.; El-Sayed, M.E.H. N-acetylgalactosamine-functionalized dendrimers as hepatic cancer cell-targeted carriers. Biomaterials 2011, 32, 4118–4129. [Google Scholar] [CrossRef] [PubMed]
- Bhadra, D.; Yadav, A.K.; Bhadra, S.; Jain, N.K. Glycodendrimeric nanoparticulate carriers of primaquine phosphate for liver targeting. Int. J. Pharm. 2005, 295, 221–233. [Google Scholar] [CrossRef] [PubMed]
- Dutta, T.; Agashe, H.B.; Garg, M.; Balakrishnan, P.; Balasubramanium, P.; Kabra, M.; Jain, N.K. Poly (propyleneimine) dendrimer based nanocontainers for targeting of efavirenz to human monocytes/macrophages in vitro. J. Drug Target. 2007, 15, 89–98. [Google Scholar] [CrossRef] [PubMed]
- Wali, A.R.M.; Zhou, J.; Ma, S.; He, Y.; Yue, D.; Tang, J.Z.; Gu, Z. Tailoring the supramolecular structure of amphiphilic glycopolypeptide analogue toward liver targeted drug delivery systems. Int. J. Pharm. 2017, 525, 191–202. [Google Scholar] [CrossRef] [PubMed]
- Patel, H.K.; Gajbhiye, V.; Kesharwani, P.; Jain, N.K. Ligand anchored poly(propyleneimine) dendrimers for brain targeting: Comparative in vitro and in vivo assessment. J. Colloid Interface Sci. 2016, 482, 142–150. [Google Scholar] [CrossRef] [PubMed]
- Otis, J.B.; Zong, H.; Kotylar, A.; Yin, A.; Bhattacharjee, S.; Wang, H.; Baker, J.R., Jr.; Wang, S.H. Dendrimer antibody conjugate to target and image HER-2 overexpressing cancer cells. Oncotarget 2016, 7, 36002–36013. [Google Scholar] [CrossRef] [PubMed]
- Yang, W.; Cheng, Y.; Xu, T.; Wang, X.; Wen, L. Targeting cancer cells with biotin-dendrimer conjugates. Eur. J. Med. Chem. 2009, 44, 862–868. [Google Scholar] [CrossRef] [PubMed]
- Modi, D.A.; Sunoqrot, S.; Bugno, J.; Lantvit, D.D.; Hong, S.; Burdette, J.E. Targeting of follicle stimulating hormone peptide-conjugated dendrimers to ovarian cancer cells. Nanoscale 2014, 6, 2812–2820. [Google Scholar] [CrossRef] [PubMed]
- Jin, Y.; Ren, X.; Wang, W.; Ke, L.; Ning, E.; Du, L.; Bradshaw, J. A 5-fluorouracil-loaded pH-responsive dendrimer nanocarrier for tumor targeting. Int. J. Pharm. 2011, 420, 378–384. [Google Scholar] [CrossRef] [PubMed]
- Pasut, G.; Paolino, D.; Celia, C.; Mero, A.; Joseph, A.S.; Wolfram, J.; Cosco, D.; Schiavon, O.; Shen, H.; Fresta, M. Polyethylene glycol (PEG)-dendron phospholipids as innovative constructs for the preparation of super stealth liposomes for anticancer therapy. J. Control. Release 2015, 199, 106–113. [Google Scholar] [CrossRef] [PubMed]
- Bolu, B.S.; Gecici, E.M.; Sanyal, R. Combretastatin A-4 conjugated antiangiogenic micellar drug delivery systems using dendron-polymer conjugates. Mol. Pharm. 2016, 13, 1482–1490. [Google Scholar] [CrossRef] [PubMed]
- Qi, X.; Qin, J.; Fan, Y.; Qin, X.; Jiang, Y.; Wu, Z. Carboxymethyl chitosan-modified polyamidoamine dendrimer enables progressive drug targeting of tumors via pH-sensitive charge inversion. J. Biomed. Nanotechnol. 2016, 12, 667–678. [Google Scholar] [CrossRef] [PubMed]
- Ma, S.; Zhou, J.; Wali, A.R.M.; He, Y.; Xu, X.; Tang, J.Z.; Gu, Z. Self-assembly of pH-sensitive fluorinated peptide dendron functionalized dextran nanoparticles for on-demand intracellular drug delivery. J. Mater. Sci. Mater. Med. 2015, 26, 1–13. [Google Scholar] [CrossRef] [PubMed]
- She, W.; Li, N.; Luo, K.; Guo, C.; Wang, G.; Geng, Y.; Gu, Z. Dendronized heparin-doxorubicin conjugate based nanoparticle as pH-responsive drug delivery system for cancer therapy. Biomaterials 2013, 34, 2252–2264. [Google Scholar] [CrossRef] [PubMed]
- Movellan, J.; Urbán, P.; Moles, E.; de la Fuente, J.M.; Sierra, T.; Serrano, J.L.; Fernàndez-Busquets, X. Amphiphilic dendritic derivatives as nanocarriers for the targeted delivery of antimalarial drugs. Biomaterials 2014, 35, 7940–7950. [Google Scholar] [CrossRef] [PubMed]
- Iezzi, R.; Guru, B.R.; Glybina, I.V.; Mishra, M.K.; Kennedy, A.; Kannan, R.M. Dendrimer-based targeted intravitreal therapy for sustained attenuation of neuroinflammation in retinal degeneration. Biomaterials 2012, 33, 979–988. [Google Scholar] [CrossRef] [PubMed]
- Zhang, C.; Pan, D.; Luo, K.; She, W.; Guo, C.; Yang, Y.; Gu, Z. Peptide dendrimer-doxorubicin conjugate-based nanoparticles as an enzyme-responsive drug delivery system for cancer therapy. Adv. Healthc. Mater. 2014, 3, 1299–1308. [Google Scholar] [CrossRef] [PubMed]
- Li, N.; Guo, C.; Duan, Z.; Yu, L.; Luo, K.; Lu, J.; Gu, Z. A stimuli-responsive Janus peptide Dendron-drug conjugate as a safe and nanoscale drug delivery vehicle for breast cancer therapy. J. Mater. Chem. B 2016, 4, 3760–3769. [Google Scholar] [CrossRef]
- Caminade, A.M.; Laurent, R.; Delavaux-Nicot, B.; Majoral, J.P. “Janus” dendrimers: Syntheses and properties. New J. Chem. 2012, 36, 217–226. [Google Scholar] [CrossRef]
- Han, L.; Huang, R.; Liu, S.; Huang, S.; Jiang, C. Peptide-conjugated PAMAM for targeted doxorubicin delivery to transferrin receptor overexpressed tumors. Mol. Pharm. 2010, 7, 2156–2165. [Google Scholar] [CrossRef] [PubMed]
- He, H.; Li, Y.; Jia, X.R.; Du, J.; Ying, X.; Lu, W.L.; Lou, J.N.; Wei, Y. PEGylated poly(amidoamine) dendrimer-based dual-targeting carrier for treating brain tumors. Biomaterials 2011, 32, 478–487. [Google Scholar] [CrossRef] [PubMed]
- Ouyang, L.; Huang, W.; He, G.; Guo, L. Bone targeting prodrugs based on peptide dendrimers, synthesis and hydroxyapatite binding in vitro. Science 2009, 80, 272–277. [Google Scholar] [CrossRef]
- Pan, J.; Wen, M.; Yin, D.; Jiang, B.; He, D.; Guo, L. Design and synthesis of novel amphiphilic Janus dendrimers for bone-targeted drug delivery. Tetrahedron 2012, 68, 2943–2949. [Google Scholar] [CrossRef]
- Yan, C.; Gu, J.; Hou, D.; Jing, H.; Wang, J.; Guo, Y.; Katsumi, H.; Sakane, T.; Yamamoto, A. Improved tumor targetability of Tat-conjugated PAMAM dendrimers as a novel nanosized anti-tumor drug carrier. Drug Dev. Ind. Pharm. 2015, 41, 617–622. [Google Scholar] [CrossRef] [PubMed]
- Rostami, I.; Zhao, Z.; Zhang, Z.; Zhang, W.K.; Zhong, Y.; Zeng, Q.; Jia, X.; Hu, Z. Peptide-conjugated PEGylated PAMAM as a high affinitive nanocarrier towards HER2-overexpressing cancer cells. RSC Adv. 2016, 6, 107337–107343. [Google Scholar] [CrossRef]
- Li, Y.; Wang, H.; Wang, K.; Hu, Q.; Yao, Q.; Shen, Y.; Yu, G.; Tang, G. Targeted co-delivery of PTX and TR3 siRNA by PTP peptide modified dendrimer for the treatment of pancreatic cancer. Small 2017, 13, 1–9. [Google Scholar] [CrossRef] [PubMed]
- Lakhin, A.V.; Tarantul, V.Z.; Gening, L.V. Aptamers: Problems, solutions and prospects. Acta Nat. 2013, 5, 34–43. [Google Scholar]
- Rao, C.V.; Janakiram, N.B.; Mohammed, A. Molecular pathways: mucins and drug delivery in cancer. Clin Cancer Res. 2017, 23, 1373–1378. [Google Scholar] [CrossRef] [PubMed]
- Taghdisi, S.M.; Danesh, N.M.; Ramezani, M.; Lavaee, P.; Jalalian, S.H.; Robati, R.Y.; Abnous, K. Double targeting and aptamer-assisted controlled release delivery of epirubicin to cancer cells by aptamers-based dendrimer in vitro and in vivo. Eur. J. Pharm. Biopharm. 2016, 102, 152–158. [Google Scholar] [CrossRef] [PubMed]
- Luong, D.; Kesharwani, P.; Killinger, B.A.; Moszczynska, A.; Sarkar, F.H.; Padhye, S.; Rishi, A.K.; Iyer, A.K. Solubility enhancement and targeted delivery of a potent anticancer flavonoid analogue to cancer cells using ligand decorated dendrimer nano-architectures. J. Colloid Interface Sci. 2016, 484, 33–43. [Google Scholar] [CrossRef] [PubMed]
- Lu, W.; Low, P.S. Folate-mediated delivery of macromolecular anticancer therapeutic agents. Adv. Drug Del. Rev. 2002, 54, 675–693. [Google Scholar] [CrossRef]
- Choi, S.K.; Thomas, T.; Li, M.H.; Kotlyar, A.; Desai, A.; Baker, J.J.R. Light-controlled release of caged doxorubicin from folate receptor-targeting PAMAM dendrimer nanoconjugate. Chem. Commun. 2010, 46, 2632–2634. [Google Scholar] [CrossRef] [PubMed]
- Wang, Y.; Cao, X.; Guo, R.; Shen, M.; Zhang, M.; Zhu, M.; Shi, X. Targeted delivery of doxorubicin into cancer cells using a folic acid–dendrimer conjugate. Polym. Chem. 2011, 2, 1754–1760. [Google Scholar] [CrossRef]
- Shukla, R.; Thomas, T.P.; Desai, A.M.; Kotlyar, A.; Park, S.J.; Baker, J.R. HER2 specific delivery of methotrexate by dendrimer conjugated anti-HER2 mAb. Nanotechnology 2008, 19, 295102. [Google Scholar] [CrossRef] [PubMed]
- Singh, P.; Gupta, U.; Asthana, A.; Jain, N.K. Folate and folate-PEG-PAMAM dendrimers: Synthesis, characterization and targeted anticancer drug delivery potential in tumor bearing mice. Bioconj. Chem. 2008, 19, 2239–2252. [Google Scholar] [CrossRef] [PubMed]
- Fang, J.; Nakamura, H.; Maeda, H. The EPR effect: Unique features of tumor blood vessels for drug delivery, factors involved, and limitations and augmentation of the effect. Adv. Drug Deliv. Rev. 2011, 63, 136–151. [Google Scholar] [CrossRef] [PubMed]
- Nakamura, Y.; Mochida, A.; Chyoke, P.L.; Kobayashi, H. Nanodrug delivery: Is the enhanced permeability and retention effect sufficient for curing cancer? Bioconj. Chem. 2016, 27, 2225–2238. [Google Scholar] [CrossRef] [PubMed]
- Li, M.H.; Choi, S.K.; Thomas, T.P.; Desai, A.; Lee, K.H.; Kotlyar, A.; Banaszak Holl, M.M.; Baker, J.R. Dendrimer-based multivalent methotrexates as dual acting nanoconjugates for cancer cell targeting. Eur. J. Med. Chem. 2012, 47, 560–572. [Google Scholar] [CrossRef] [PubMed]
- Zhang, Y.; Thomas, T.P.; Desai, A.; Zong, H.; Leroueil, P.R.; Majoros, I.J.; Baker, J.R. Targeted dendrimeric anticancer prodrug: A methotrexate-folic acid-poly(amidoamine) conjugate and a novel, rapid, “one pot” synthetic approach. Bioconj. Chem. 2010, 21, 489–495. [Google Scholar] [CrossRef] [PubMed]
- Cao, W.; Zhou, J.; Mann, A.; Wang, Y.; Zhu, L. Folate-functionalized unimolecular micelles based on a degradable amphiphilic dendrimer-like star polymer for cancer cell-targeted drug delivery. Biomacromolecules 2011, 12, 2697–2707. [Google Scholar] [CrossRef] [PubMed]
- Lv, T.; Yu, T.; Fang, Y.; Zhang, S.; Jiang, M.; Zhang, H.; Zhang, Y.; Li, Z.; Chen, H.; Gao, Y. Role of generation on folic acid-modified poly(amidoamine) dendrimers for targeted delivery of baicalin to cancer cells. Mater. Sci. Eng. C Mater. Biol. Appl. 2017, 75, 182–190. [Google Scholar] [CrossRef] [PubMed]
- Swanson, S.D.; Latallo, J.F.K.; Patri, A.K.; Chen, C.; Ge, S.; Cao, Z.; Kotlyar, A.; East, A.T.; Baker, J.R. Targeted gadolinium-loaded dendrimer nanoparticles for tumor-specific magnetic resonance contrast enhancement. Int. J. Nanomed. 2008, 3, 201–210. [Google Scholar]
- Zhang, Y.; Thomas, T.P.; Lee, K.H.; Li, M.; Zong, H.; Desai, A.M.; Kotlyar, A.; Huang, B.; Holl, M.M.; Baker, J.R. Polyvalent saccharide-functionalized generation 3 poly(amidoamine) dendrimer-methotrexate conjugate as a potential anticancer agent. Bioorg. Med. Chem. 2011, 19, 2557–2564. [Google Scholar] [CrossRef] [PubMed]
- Pearson, R.M.; Sen, S.; Hsu, H.J.; Pasko, M.; Gaske, M.; Král, P.; Hong, S. Tuning the selectivity of dendron micelles through variations of the poly(ethylene glycol) corona. ACS Nano 2016, 10, 6905–6914. [Google Scholar] [CrossRef] [PubMed]
- Dutta, T.; Jain, N.K. Targeting potential and anti-HIV activity of lamivudine loaded mannosylated poly (propyleneimine) dendrimer. Biochim. Biophys. Acta Gen. Subj. 2007, 1770, 681–686. [Google Scholar] [CrossRef] [PubMed]
- Lesniak, W.G.; Kariapper, M.S.T.; Nair, B.M.; Tan, W.; Hutson, A.; Balogh, L.P.; Khan, M.K. Synthesis and characterization of PAMAM dendrimer-based multifunctional nanodevices for targeting αvβ3 integrins. Bioconj. Chem. 2007, 18, 1148–1154. [Google Scholar] [CrossRef] [PubMed]
- Yellepeddi, V.K.; Kumar, A.; Palakurthi, S. Biotinylated poly(amido)amine (PAMAM) dendrimers as carriers for drug delivery to ovarian cancer cells in vitro. Anticancer Res. 2009, 29, 2933–2943. [Google Scholar] [PubMed]
- Wen, A.M.; Lee, K.L.; Cao, P.; Pangilinan, K.; Carpenter, B.L.; Lam, P.; Veliz, F.A.; Ghiladi, R.A.; Advincula, R.C.; Steinmetz, N.F. Utilizing viral nanoparticle/dendron hybrid conjugates in photodynamic therapy for dual delivery to macrophages and cancer cells. Bioconj. Chem. 2016, 27, 1227–1235. [Google Scholar] [CrossRef] [PubMed]
- Xie, L.; Lee, S.; Chen, X. Nanoparticle-based theranostic agents. Adv. Drug Deliv. Rev. 2010, 30, 1064–1079. [Google Scholar] [CrossRef] [PubMed]
- Ulbrich, K.; Etrych, T.; Chytil, P.; Pechar, M.; Jelinkova, M.; Rihova, B. Polymeric anticancer drugs with pH-controlled activation. Adv. Drug Deliv. Rev. 2004, 56, 1023–1050. [Google Scholar] [CrossRef] [PubMed]
- Kaminskas, L.M.; Kelly, B.D.; McLeod, V.M.; Sberna, G.; Owen, D.J.; Boyd, B.J.; Porter, C.J.H. Characterization and tumour targeting of PEGylated polylysine dendrimers bearing doxorubicin via a pH labile linker. J. Control. Release 2011, 152, 241–248. [Google Scholar] [CrossRef] [PubMed]
- Yuan, H.; Luo, K.; Lai, Y.; Pu, Y.; He, B.; Wang, G.; Wu, Y.; Gu, Z. A novel poly(l-glutamic acid) dendrimer based drug delivery system with both pH-sensitive and targeting functions. Mol. Pharm. 2010, 7, 953–962. [Google Scholar] [CrossRef] [PubMed]
- WHO, World Health Organization. Neglected Tropical Diseases. Available online: http://www.who.int/neglected_diseases/en/ (accessed on 12 August 2018).













| Directing Group | Disease | Dendrimer | Results | References |
|---|---|---|---|---|
| Peptides | Cancer | PAMAM | The RGD modified dendrimer showed a higher therapeutic effect on melanoma cells and a higher accumulation in tumor regions | [41] |
| Cancer | PAMAM | The modified PAMAM dendrimer showed a selective intake in melanoma cells. However, showed a low tumor intake | [42] | |
| Cancer | Janus | The modified dendrimer showed an increased targeting property and optimized release property | [43] | |
| Cancer | PPI dendron | The modified dendron showed a significantly higher cellular uptake and selectivity for lysosomes | [44] | |
| Cancer | PAMAM | Higher in vitro uptake and in vivo accumulation | [45] | |
| Cancer | PEG | The dendrimer showed an excellent load capacity and synergic effect of both substituents in vivo and in vitro | [46] | |
| Cancer | PAMAM | The modified dendrimer showed a greater cellular uptake of 5-FU | [47] | |
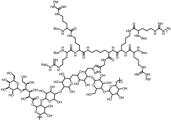
| Cancer | PLL | The dendrimer showed a high cellular uptake and could be carried into lysosomal compartments | [48] | |
| Cancer | Substance P dendron | The SP dendron showed a higher cellular uptake and decreased tumor cell viability | [49] | |
| Cancer | PAMAM | The (GFLG) dendrimer–DOX was more accumulated in tumor area than in liver and other organs | [50] | |
| Cancer | PLL dendron | The dendritic drug delivery system showed better biosafety and higher in vitro cytotoxicity | [51] | |
| Cancer | PLL dendron | The modified dendrimer demonstrated targeting ability at both in vitro and in vivo assays, also it exhibited tumor growth inhibition | [52] | |
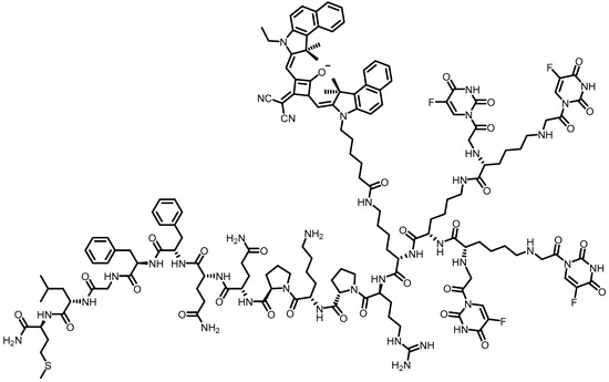
| Cancer | DendGDP | The conjugate dendrimers presented superior cell uptake than free DOX in vitro trials | [3] | |
| Folate | Cancer | PPI | The modified dendrimer showed lower toxicity and higher cellular uptake | [53] |
| Cancer | PAMAM | The modified dendrimer showed higher tumor cell cytotoxicity | [54] | |
| Cancer | PAMAM | The FA modified dendrimer showed a lower healthy cell toxicity and higher cancer cell accumulation | [55] | |
| Cancer | PAMAM | The FA modified dendrimer showed a better activity against tumor cells | [56] | |
| Cancer | PAMAM | The designed G5 PAMAM coupled to MTX and FA was more efficient and presented higher action in tumor cells | [57] | |
| Cancer | PAMAM | The modified dendrimer showed a lower toxicity and increased half-life | [58] | |
| Cancer | PAMAM | There was not a difference in the activity between the G3 and G5 dendrimer. Both showed a good delivery system for the drug | [59] | |
| Cancer | PAMAM | The dendrimer improved the solubility of the flavonoid and showed a high selectivity for HeLa cells | [60] | |
| Cancer | PAMAM | The dendrimer showed a high accumulation on tumor sites, which indicates a promising use as drug delivery and diagnostics | [61] | |
| Arthritis | PAMAM | The dendrimer showed a higher plasma concentration, higher selectivity, and lower gastric toxicity | [62] | |
| Arthritis | PAMAM | The indomethacin-FA-dendrimer showed a more controlled release than other dendrimers | [63] | |
| Cancer | PAMAM | These dendrimers showed high loading capacity, low cytotoxicity, and redox-driven cleavage through disulfide bridges | [64] | |
| Carbohydrates | Cancer | PAMAM | The conjugated dendrimers showed a much higher HepG2 uptake than the non-conjugated | [65] |
| Malaria | PPI | The galactose conjugated dendrimer was able to decrease the hemolytic property of the primaquine | [66] | |
| HIV | PPI | Dendrimers were able to decrease the drug toxicity. However, the mannose derivative presented 12-times-higher cellular uptake when compared with that free drug | [67] | |
| HIV | TPPI | Both dendrimers showed good results in cell uptake assays, since mannose interacted with lectin receptor and TPPI was absorbed via phagocytosis | [67] | |
| Cancer | Arginine dendron | In vitro assays exhibited excellent biocompatibility. LP-g-G3P/DOX was internalized into the hepatoma carcinoma cells, inhibiting cell proliferation | [68] | |
| Cancer | PPI | The dendrimer exhibited lower hemolytic property than free drug and a better accumulation in the brain than in other organs, such as liver and kidney | [69] | |
| Monoclonal antibodies | Cancer | PAMAM | The modified dendrimer was capable of selectively bind to the prostate specific membrane antigen receptor | [70] |
| Cancer | PAMAM | This molecule presented high affinity for HER, which resulted in significant internalization of IL-6-G5 PAMAM dendrimers into HeLa cells | [1] | |
| Other Targeting groups | Cancer | PAMAM | The uptake and selectivity in HeLa cells were more appropriate for biotinylated dendrimers and more selective for cancer cells | [71] |
| Cancer | PAMAM | The dendrimer showed better cellular uptake profile than labeled dendrimer, mainly by respective receptors | [72] | |
| Cancer | PAMAM | The dendrimer system is a promising nanocarrier because it provides great drug encapsulation, high targeting, and fast drug release in tumor | [73] | |
| Cancer | PAMAM | The PEGylated dendrimer increased cytotoxicity in murine model of B16 melanoma cells and higher free drug concentration in the tumor and greater anticancer action | [41] | |
| Cancer | PEG dendron | The dendrimer demonstrated higher stability, lower toxicity, greater intracellular uptake, prolonged half-life time, improved biodistribution and enhanced anticancer potency | [74] | |
| Cancer | PEG | This dendrimer reduced the cell viability and uptake, showing efficient inhibition and accumulation | [75] | |
| Cancer | PAMAM | The dendrimer showed a higher inhibitory effect in the in vivo tests and a higher release rate | [76] | |
| Cancer | PLL | The dendrimer enhanced tumor volume control, permeability, retention effects and heart toxicity, when compared to DOX | [51] | |
| Cancer | Peptide dendron | This dendron showed an excellent biocompatibility exhibiting pH-responsive, providing their disassembly and controlling encapsulated DOX | [77] | |
| Cancer | Dendronized heparin | The dendronized derivative demonstrated high antitumor activity on breast cancer cell line, as well as antiangiogenics effects and apoptosis induction | [78] | |
| Malaria | PAMAM | The dendrimer prodrug showed a better IC50 values however in vivo results showed no difference | [79] | |
| Neuroinflammation | PAMAM | The dendrimer cell uptake was enhanced, increasing the drug residence time, delivering specific retinal area, and reducing side effects | [80] |
© 2018 by the authors. Licensee MDPI, Basel, Switzerland. This article is an open access article distributed under the terms and conditions of the Creative Commons Attribution (CC BY) license (http://creativecommons.org/licenses/by/4.0/).
Share and Cite
Vieira Gonzaga, R.; Da Silva Santos, S.; Da Silva, J.V.; Campos Prieto, D.; Feliciano Savino, D.; Giarolla, J.; Igne Ferreira, E. Targeting Groups Employed in Selective Dendrons and Dendrimers. Pharmaceutics 2018, 10, 219. https://doi.org/10.3390/pharmaceutics10040219
Vieira Gonzaga R, Da Silva Santos S, Da Silva JV, Campos Prieto D, Feliciano Savino D, Giarolla J, Igne Ferreira E. Targeting Groups Employed in Selective Dendrons and Dendrimers. Pharmaceutics. 2018; 10(4):219. https://doi.org/10.3390/pharmaceutics10040219
Chicago/Turabian StyleVieira Gonzaga, Rodrigo, Soraya Da Silva Santos, Joao Vitor Da Silva, Diego Campos Prieto, Debora Feliciano Savino, Jeanine Giarolla, and Elizabeth Igne Ferreira. 2018. "Targeting Groups Employed in Selective Dendrons and Dendrimers" Pharmaceutics 10, no. 4: 219. https://doi.org/10.3390/pharmaceutics10040219
APA StyleVieira Gonzaga, R., Da Silva Santos, S., Da Silva, J. V., Campos Prieto, D., Feliciano Savino, D., Giarolla, J., & Igne Ferreira, E. (2018). Targeting Groups Employed in Selective Dendrons and Dendrimers. Pharmaceutics, 10(4), 219. https://doi.org/10.3390/pharmaceutics10040219

