Comparative Acquisition, Transmission, and Retention of Distinct Grapevine Red Blotch Virus Isolates in Relation to the Genotype and Sex of Spissistilus festinus, the Treehopper Vector
Abstract
1. Introduction
2. Materials and Methods
2.1. Plant Material
2.2. Spissistilus festinus Colonies
2.3. Inoculation of Snap Bean Plants with GRBV Infectious Clones via Agro-Pricking
2.4. Acquisition Assays of GRBV by Spissistilus festinus
2.5. Transmission Assays of GRBV by Spissistilus festinus
2.6. Retention of GRBV in Spissistilus festinus
2.7. Detection of GRBV in Snap Bean Tissue by Multiplex PCR, qPCR, or RCA
2.8. Detection of GRBV in Spissistilus festinus Tissue by PCR and qPCR
2.9. Statistical Analysis
3. Results
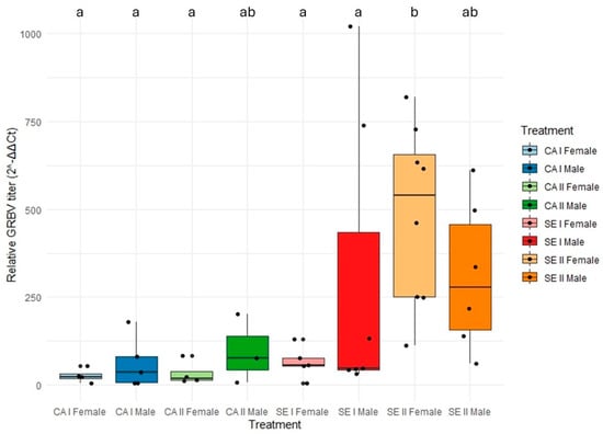
3.1. Acquisition of GRBV by Spissistilus festinus
3.2. Transmission of GRBV by Spissistilus festinus
3.3. Retention of GRBV by Spissistilus festinus
4. Discussion
Supplementary Materials
Author Contributions
Funding
Institutional Review Board Statement
Informed Consent Statement
Data Availability Statement
Acknowledgments
Conflicts of Interest
Abbreviations
| AAP | acquisition access period |
| CA | California S. festinus genotype |
| dpa | days post-acquisition |
| G | gut |
| GRBV | grapevine red blotch virus |
| IAP | inoculation access period |
| ORF | open reading frame |
| PCR | polymerase chain reaction |
| qPCR | quantitative PCR |
| RCA | rolling circle amplification |
| SE | southeastern S. festinus genotype |
| SG | heads with salivary glands |
References
- Cieniewicz, E.J.; Fuchs, M. Grapevine red blotch virus: A threat to the grape and wine industries. Ann. Rev. Virol. 2025, 12, 1–19. [Google Scholar] [CrossRef]
- Ricketts, K.D.; Gómez, M.I.; Fuchs, M.F.; Martinson, T.E.; Smith, R.J.; Cooper, M.L.; Moyer, M.M.; Wise, A. Mitigating the economic impact of grapevine red blotch: Optimizing disease management strategies in U.S. vineyards. Am. J. Enol. Vit. 2017, 68, 127–135. [Google Scholar] [CrossRef]
- Yepes, L.M.; Cieniewicz, E.; Krenz, B.; McLane, H.; Thompson, J.R.; Perry, K.L.; Fuchs, M. Causative role of grapevine red blotch virus in red blotch disease. Phytopathology 2018, 108, 902–909. [Google Scholar] [CrossRef]
- Fiallo-Olivé, E.; Lett, J.-M.; Martin, D.P.; Roumagnac, P.; Varsani, A.; Zerbini, F.M.; Navas-Castillo, J. ICTV virus taxonomy profile: Geminiviridae. J. Gen. Virol. 2021, 102, 001696. [Google Scholar] [CrossRef]
- Flasco, M.; Hoyle, V.; Cieniewicz, E.J.; Roy, B.G.; McLane, H.L.; Perry, K.L.; Loeb, G.; Nault, B.; Heck, M.; Fuchs, M. Grapevine red blotch virus is transmitted by the three-cornered alfalfa hopper in a circulative, nonpropagative transmission mode with unique attributes. Phytopathology 2021, 111, 1851–1861. [Google Scholar] [CrossRef]
- Hoyle, V.; Flasco, M.; Choi, J.; Cieniewicz, E.J.; McLane, H.L.; Perry, K.L.; Dangl, G.; Al Rwahnih, M.; Heck, M.; Loeb, G.; et al. Transmission of grapevine red blotch virus by Spissistilus festinus [Say, 1830] (Hemiptera: Membracidae) between free-living vines and Vitis vinifera ‘Cabernet franc’. Viruses 2022, 14, 1156. [Google Scholar] [CrossRef] [PubMed]
- Hoyle, V.J.; Shultz, M.; McGinnity Schneider, E.J.; Roy, B.G.; Fuchs, M. Lack of vertical transmission of grapevine red blotch virus by Spissistilus festinus but sex-associated differences in horizontal transmission. Insects 2024, 15, 1014. [Google Scholar] [CrossRef] [PubMed]
- Hoyle, V.; Flasco, M.; Fuchs, M. Transmission of grabloviruses by insect vectors. In Geminiviruses, Methods and Protocols; Zerbini, F.M., Fiallo-Olivé, E., Navas-Castillo, J., Eds.; Springer Nature: Berlin/Heidelberg, Germany; Humana Press: New York, NY, USA, 2025; pp. 55–69. [Google Scholar]
- Flasco, M.; Hoyle, V.; Cieniewicz, E.J.; Fuchs, M. Transmission of grapevine red blotch virus: A virologist’s perspective of the literature and a few recommendations. Am. J. Enol. Vitic. 2023, 74, 0740023. [Google Scholar] [CrossRef]
- Hoyle, V.J.; Headrick, H.; Cooper, W.R.; Fendell-Hummel, H.G.; Cooper, M.L.; Flasco, M.; Cieniewicz, E.; Heck, M.; Fuchs, M. Ecological connectivity of plant communities for red blotch disease dynamics revealed by the dietary profiles and landscape-level movement of Spissistilus festinus. Phytobiomes J. 2025, 9, 21–31. [Google Scholar] [CrossRef]
- Antolinez, C.A.; Chandler, M.; Hoyle, V.; Fuchs, M.; Rivera, M. Differential flight capacity of Spissistilus festinus (Hemiptera: Membracidae) by sex and age. J. Insect Behav. 2023, 36, 347–357. [Google Scholar] [CrossRef]
- Cieniewicz, E.; Poplaski, V.; Brunelli, M.; Dombroswkie, J.; Fuchs, M. Two distinct Spissistilus festinus genotypes in the United States revealed by phylogenetic and morphological analyses. Insects 2020, 11, 80. [Google Scholar] [CrossRef]
- Flasco, M.; Fuchs, M. Two distinct genotypes of Spissistilus festinus [Say, 1830] (Hemiptera: Membracidae) reproduce but differentially transmit grapevine red blotch virus. Insects 2023, 14, 831. [Google Scholar] [CrossRef]
- Flasco, M.; Hoyle, V.; Cieniewicz, E.J.; Loeb, G.; McLane, H.; Perry, K.L.; Fuchs, M. The three-cornered alfalfa hopper, Spissistilus festinus, is a vector of grapevine red blotch virus in vineyards. Viruses 2023, 15, 927. [Google Scholar] [CrossRef] [PubMed]
- Flasco, M.; Heck, D.; Cieniewicz, E.J.; Cooper, M.L.; Pethybridge, S.; Fuchs, M. A decade of grapevine red blotch disease epidemiology reveals zonal rogueing as novel disease management. Viruses 2025, 3, 29. [Google Scholar] [CrossRef] [PubMed]
- Flasco, M.; Cieniewicz, E.J.; Pethybridge, S.J.; Fuchs, M. Distinct red blotch disease epidemiological dynamics in nearby vineyards. Viruses 2023, 15, 1184. [Google Scholar] [CrossRef]
- Wildermuth, V.L. Three-cornered alfalfa hopper. J. Agri. Res. 1915, 3, 243–364. [Google Scholar]
- Hoyle, V.J.; Cieniewicz, E.J.; Flasco, M.T.; Nault, B.A.; Loeb, G.; Fuchs, M. Rearing of Spissistilus festinus [Say, 1830] (Hemiptera: Membracidae) on snap bean to facilitate studies on the transmission biology of grapevine red blotch virus. J. Econ. Entomol. 2025, toaf169. [Google Scholar] [CrossRef]
- Krenz, B.; Thompson, J.R.; McLane, H.L.; Fuchs, M.; Perry, K.L. Grapevine red blotch-associated virus is widespread in the United States. Phytopathology 2014, 104, 1232–1240. [Google Scholar] [CrossRef]
- Setiono, F.J.; Chatterjee, D.; Fuchs, M.; Perry, K.L.; Thompson, J.R. The distribution and detection of grapevine red blotch virus in its host depend on time of sampling and tissue type. Plant Dis. 2018, 102, 2187–2193. [Google Scholar] [CrossRef]
- Thibivilliers, S.; Joshi, T.; Campbell, K.B.; Scheffler, B.; Xu, D.; Cooper, B.; Nguyen, H.T.; Stacey, G. Generation of Phaseolus vulgaris ESTs and investigation of their regulation upon Uromyces appendiculatus infection. BMC Plant Biol. 2009, 9, 46. [Google Scholar] [CrossRef] [PubMed]
- Livak, K.J.; Schmittgen, T.D. Analysis of relative gene expression data using real-time quantitative PCR and the 2−ΔΔCT method. Methods 2021, 25, 402–408. [Google Scholar] [CrossRef] [PubMed]
- R Core Team. R: A Language and Environment for Statistical Computing; R Foundation for Statistical Computing: Vienna, Austria, 2025; Available online: https://www.R-project.org/ (accessed on 11 April 2025).
- Posit Team. RStudio: Integrated Development Environment for R; Posit Software, PBC: Boston, MA, USA, 2025; Available online: https://www.posit.co/ (accessed on 1 June 2025).
- Bates, D.; Mächler, M.; Bolker, B.; Walker, S. Fitting linear mixed-effects models using lme4. J. Stat. Softw. 2015, 67, 1–48. [Google Scholar] [CrossRef]
- Lenth, R. emmeans: Estimated Marginal Means, aka Least-Squares Means. R Package Version 1.11.1, 2025. Available online: https://CRAN.R-project.org/package=emmeans (accessed on 27 June 2025).
- Wickham, H. ggplot2: Elegant Graphics for Data Analysis; Springer: New York, NY, USA, 2016; Available online: https://ggplot2.tidyverse.org (accessed on 9 April 2025).
- Wilke, C.; Wiernik, B. ggtext: Improved Text Rendering Support for ‘ggplot2’. R Package Version 0.1.2, 2022. Available online: https://CRAN.R-project.org/package=ggtext (accessed on 9 April 2025).
- Bahder, B.; Zalom, F.; Jayanth, M.; Sudarshana, M. Phylogeny of geminivirus coat protein sequences and digital PCR aid in identifying Spissistilus festinus (Say) as a vector of Grapevine red blotch-associated virus. Phytopathology 2016, 106, 1223–1230. [Google Scholar] [CrossRef] [PubMed]
- Cicero, J.M.; Brown, J.K. Functional anatomy of whitefly organs associated with squash leaf curl virus (Geminiviridae: Begomovirus) transmission by the B biotype of Bemisia tabaci (Hemiptera: Aleyrodidae). Ann. Entomol. Soc. Amer. 2011, 104, 261–279. [Google Scholar] [CrossRef]
- Saguez, J.; Lemoyne, P.; Giordanengo, P.; Olivier, C.; Lasnier, J.; Mauffette, Y.; Vincent, C. Characterization of the feeding behavior of three Erythroneura species on grapevine by histological and DC-electrical penetration graph techniques. Entomol. Exp. Appl. 2015, 157, 227–240. [Google Scholar] [CrossRef]
- Kliot, A.; Kontsedalov, S.; Lebedev, G.; Brumin, M.; Cathrin, P.B.; Marubayashi, J.M.; Skaljac, M.; Belausov, E.; Czosnek, H.; Ghanim, M. Fluorescence in situ hybridizations (FISH) for the localization of viruses and endosymbiotic bacteria in plant and insect tissues. J. Vis. Exp. 2014, 84, e51030. [Google Scholar] [CrossRef]
- Gray, S.; Cilia, M.; Ghanim, M. Circulative, nonpropagative virus transmission: An orchestra of virus-, insect- and plant-derived instruments. Adv. Virus Res. 2014, 89, 141–199. [Google Scholar] [CrossRef]
- Whitfield, A.E.; Falk, B.W.; Rothenberg, D. Insect vector-mediated transmission of plant viruses. Virology 2015, 479, 278–289. [Google Scholar] [CrossRef]
- Czosnek, H.; Hariton-Shalev, A.; Sobol, I.; Gorovits, R.; Ghanim, M. The incredible journey of begomoviruses in their whitefly vector. Viruses 2017, 9, 273. [Google Scholar] [CrossRef]
- Spear, A.; Sisterson, M.S.; Stenger, D.C. Reovirus genomes from plant-infecting insects represent a newly discovered lineage within the family Reoviridae. Virus Res. 2012, 163, 503–511. [Google Scholar] [CrossRef] [PubMed]
- Preising, S.E.; Heck, M.L. Potato leafroll virus in the aphid holobiont: Interactions shaping vector biology. Annu. Rev. Virol. 2025, 12, 1–19. [Google Scholar] [CrossRef] [PubMed]
- Cieniewicz, E.; Flasco, M.; Brunelli, M.; Onwumelu, A.; Wise, A.; Fuchs, M.F. Differential spread of grapevine red blotch virus in California and New York vineyards. Phytobiomes J. 2019, 3, 203–211. [Google Scholar] [CrossRef]
- Cieniewicz, E.; Pethybridge, S.; Gorny, A.; Madden, L.; Perry, K.L.; McLane, H.; Fuchs, M. Spatiotemporal spread of grapevine red blotch-associated virus in a California vineyard. Virus Res. 2017, 230, 59–62. [Google Scholar] [CrossRef]
- Dalton, D.T.; Hilton, R.J.; Kaiser, C.; Daane, K.M.; Sudarshana, M.R.; Vo, J.; Zalom, F.G.; Buser, J.Z.; Walton, V.M. Spatial associations of vines infected with grapevine red blotch virus in Oregon vineyards. Plant Dis. 2019, 103, 1507–1514. [Google Scholar] [CrossRef] [PubMed]



| Southeast a | California b | ||||||
|---|---|---|---|---|---|---|---|
| S. festinus/GRBV | Clade I c | Clade II d | Subtotal | Clade I | Clade II | Subtotal | Total |
| Males | 7/10 e | 9/10 | 16/20 (80%) | 7/50 | 3/10 | 10/60 (17%) | 26/80 (32.5%) |
| Females | 5/10 | 8/10 | 13/20 (65%) | 4/10 | 4/10 | 8/20 (40%) | 21/40 (52.5%) |
| Total | 12/20 (60%) | 17/20 (85%) | 29/40 (72.5%) | 11/60 (21%) | 7/20 (35%) | 18/80 (22.5%) | 47/120 (39%) |
| Southeast a | California b | ||||||
|---|---|---|---|---|---|---|---|
| S. festinus/GRBV | Clade I c | Clade II d | Subtotal | Clade I | Clade II | Subtotal | Total |
| Males | 2/8 e | 3/8 | 5/16 (31%) | 1/8 | 3/8 | 4/16 (25%) | 9/32 (28%) |
| Females | 6/8 | 6/8 | 12/16 (75%) | 2/8 | 1/8 | 3/16 (19%) | 15/32 (47%) |
| Males + Females | 1/8 | 4/8 | 5/16 (31%) | 5/8 | 0/8 | 5/16 (31%) | 10/32 (31%) |
| Total | 9/24 (38%) | 13/24 (54%) | 22/48 (46%) | 8/24 (33%) | 4/24 (17%) | 12/48 (25%) | 34/96 (35%) |
| T0 (0 dpa) c | T1 (30 dpa) | T2 (60 dpa) | T3 (90 dpa) | T4 (120 dpa) | |||||||||||||||||
|---|---|---|---|---|---|---|---|---|---|---|---|---|---|---|---|---|---|---|---|---|---|
| Clade I d | Clade II e | Clade I | Clade II | Clade I | Clade II | Clade I | Clade II | Clade I | Clade II | ||||||||||||
| S. festinus | SG f | G g | SG | G | SG | G | SG | G | SG | G | SG | G | SG | G | SG | G | SG | G | SG | G | |
| SE a | Males | 8/9 h | 5/9 | 9/10 | 3/10 | 4/10 | 1/10 | 2/5 | 0/5 | 1/5 | 0/5 | 3/5 | 0/5 | nt | nt | 0/1 | 0/1 | nt | nt | nt | nt |
| Females | 9/10 | 4/10 | 8/10 | 1/10 | 4/10 | 1/10 | 3/5 | 1/5 | 3/5 | 1/5 | 2/5 | 0/5 | 0/1 | 0/1 | 0/1 | 0/1 | nt | nt | nt | nt | |
| Subtotal | 17/19 | 17/20 | 8/20 | 5/10 | 4/10 | 5/10 | 0/1 | 0/2 | nt | nt | |||||||||||
| Total | 34/39 (87%) | 13/30 (43%) | 9/20 (45%) | 0/3 (0%) | na | ||||||||||||||||
| CA b | Males | 9/9 | 2/9 | 10/10 | 4/10 | 3/10 | 3/10 | 4/10 | 0/10 | 2/10 | 1/10 | 4/10 | 0/10 | 0/1 | 0/1 | 0/4 | 0/4 | 0/10 | 0/10 | 0/10 | 0/10 |
| Females | 9/10 | 2/10 | 9/10 | 3/10 | 2/10 | 2/10 | 4/10 | 1/10 | 4/10 | 0/10 | 4/10 | nt | 1/9 | 0/9 | 0/6 | 0/6 | 0/10 | 0/10 | 0/1 | 0/1 | |
| Subtotal | 18/19 | 19/20 | 5/20 | 8/20 | 6/20 | 8/10 | 1/9 | 0/10 | 0/10 | 0/1 | |||||||||||
| Total | 37/39 (95%) | 13/40 (32.5%) | 14/30 (47%) | 1/19 (5%) | 0/11 (0%) | ||||||||||||||||
Disclaimer/Publisher’s Note: The statements, opinions and data contained in all publications are solely those of the individual author(s) and contributor(s) and not of MDPI and/or the editor(s). MDPI and/or the editor(s) disclaim responsibility for any injury to people or property resulting from any ideas, methods, instructions or products referred to in the content. |
© 2025 by the authors. Licensee MDPI, Basel, Switzerland. This article is an open access article distributed under the terms and conditions of the Creative Commons Attribution (CC BY) license (https://creativecommons.org/licenses/by/4.0/).
Share and Cite
Hoyle, V.J.; Wunsch, A.O.; McLane, H.; Browning, S.; Flasco, M.T.; Cieniewicz, E.J.; Fuchs, M. Comparative Acquisition, Transmission, and Retention of Distinct Grapevine Red Blotch Virus Isolates in Relation to the Genotype and Sex of Spissistilus festinus, the Treehopper Vector. Viruses 2025, 17, 1274. https://doi.org/10.3390/v17091274
Hoyle VJ, Wunsch AO, McLane H, Browning S, Flasco MT, Cieniewicz EJ, Fuchs M. Comparative Acquisition, Transmission, and Retention of Distinct Grapevine Red Blotch Virus Isolates in Relation to the Genotype and Sex of Spissistilus festinus, the Treehopper Vector. Viruses. 2025; 17(9):1274. https://doi.org/10.3390/v17091274
Chicago/Turabian StyleHoyle, Victoria J., Anna O. Wunsch, Heather McLane, Scottie Browning, Madison T. Flasco, Elizabeth J. Cieniewicz, and Marc Fuchs. 2025. "Comparative Acquisition, Transmission, and Retention of Distinct Grapevine Red Blotch Virus Isolates in Relation to the Genotype and Sex of Spissistilus festinus, the Treehopper Vector" Viruses 17, no. 9: 1274. https://doi.org/10.3390/v17091274
APA StyleHoyle, V. J., Wunsch, A. O., McLane, H., Browning, S., Flasco, M. T., Cieniewicz, E. J., & Fuchs, M. (2025). Comparative Acquisition, Transmission, and Retention of Distinct Grapevine Red Blotch Virus Isolates in Relation to the Genotype and Sex of Spissistilus festinus, the Treehopper Vector. Viruses, 17(9), 1274. https://doi.org/10.3390/v17091274

