Identification and Analysis of Biomarkers Associated with Lipophagy and Therapeutic Agents for COVID-19
Abstract
1. Introduction
2. Methods
2.1. Data Download
2.2. scRNA-Seq Data Analysis
2.3. Identification of Differentially Expressed Genes (DEGs)
2.4. Identification and Functional Enrichment Analysis of Lipophagy-Related DEGs in Lung Tissue of COVID-19 Patients
2.5. Identification of Lipophagy-Related Biomarkers
2.6. Functional Enrichment Analyses
2.7. Immune Cell Infiltration Analysis
2.8. Drug Prediction Targeting Biomarkers
2.9. Molecular Docking Analysis
2.10. Statistical Analysis
3. Results
3.1. Clustering and Cell Type of scRNA-Seq Data
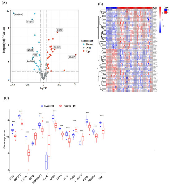
3.2. Identification of Lipophagy-Related DEGs
3.3. Enrichment Analyses for the Lipophagy-Related DEGs
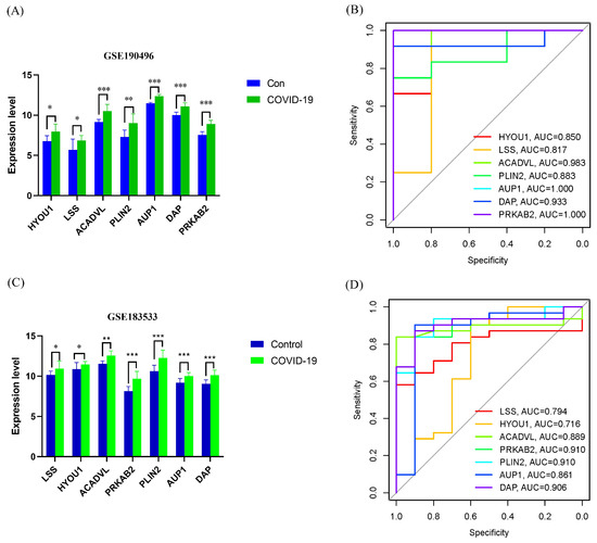
3.4. Identification of Lipophagy-Related Diagnostic Biomarkers for COVID-19
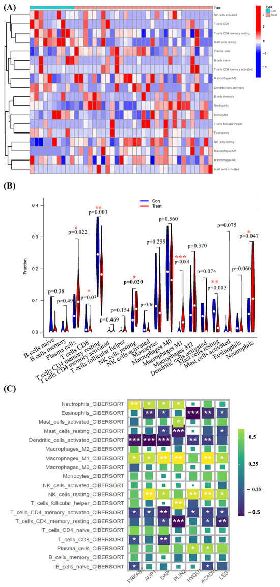
3.5. Immunological Infiltration Analysis
3.6. Lipophagy-Related Pathway Analysis
3.7. Screening of Drugs Targeting Lipophagy-Related Biomarkers
3.8. Molecular Docking Analysis Predicts the Binding Modes between Therapeutic Agents and Biomarkers
4. Discussion
5. Conclusions
Supplementary Materials
Author Contributions
Funding
Institutional Review Board Statement
Informed Consent Statement
Data Availability Statement
Acknowledgments
Conflicts of Interest
Abbreviations
References
- Boopathi, S.; Poma, A.B.; Kolandaivel, P. Novel 2019 coronavirus structure, mechanism of action, antiviral drug promises and rule out against its treatment. J. Biomol. Struct. Dyn. 2021, 39, 3409–3418. [Google Scholar] [CrossRef] [PubMed]
- Chen, P.; Nirula, A.; Heller, B.; Gottlieb, R.L.; Boscia, J.; Morris, J.; Huhn, G.; Cardona, J.; Mocherla, B.; Stosor, V.; et al. SARS-CoV-2 Neutralizing Antibody LY-CoV555 in Outpatients with COVID-19. N. Engl. J. Med. 2021, 384, 229–237. [Google Scholar] [CrossRef] [PubMed]
- Moller-Tank, S.; Maury, W. Phosphatidylserine receptors: Enhancers of enveloped virus entry and infection. Virology 2014, 468–470, 565–580. [Google Scholar] [CrossRef] [PubMed]
- Getts, D.R.; Chastain, E.M.; Terry, R.L.; Miller, S.D. Virus infection, antiviral immunity, and autoimmunity. Immunol. Rev. 2013, 255, 197–209. [Google Scholar] [CrossRef] [PubMed]
- Shin, D.W. Lipophagy: Molecular Mechanisms and Implications in Metabolic Disorders. Mol. Cells 2020, 43, 686–693. [Google Scholar] [CrossRef]
- Randall, G. Lipid Droplet Metabolism during Dengue Virus Infection. Trends Microbiol. 2018, 26, 640–642. [Google Scholar] [CrossRef]
- D’Avila, H.; Freire-de-Lima, C.G.; Roque, N.R.; Teixeira, L.; Barja-Fidalgo, C.; Silva, A.R.; Melo, R.C.; Dosreis, G.A.; Castro-Faria-Neto, H.C.; Bozza, P.T. Host cell lipid bodies triggered by Trypanosoma cruzi infection and enhanced by the uptake of apoptotic cells are associated with prostaglandin E(2) generation and increased parasite growth. J. Infect. Dis. 2011, 204, 951–961. [Google Scholar] [CrossRef] [PubMed]
- Wolff, G.; Limpens, R.; Zevenhoven-Dobbe, J.C.; Laugks, U.; Zheng, S.; de Jong, A.W.M.; Koning, R.I.; Agard, D.A.; Grunewald, K.; Koster, A.J.; et al. A molecular pore spans the double membrane of the coronavirus replication organelle. Science 2020, 369, 1395–1398. [Google Scholar] [CrossRef] [PubMed]
- Czaja, M.J.; Ding, W.X.; Donohue, T.M., Jr.; Friedman, S.L.; Kim, J.S.; Komatsu, M.; Lemasters, J.J.; Lemoine, A.; Lin, J.D.; Ou, J.H.; et al. Functions of autophagy in normal and diseased liver. Autophagy 2013, 9, 1131–1158. [Google Scholar] [CrossRef]
- Yan, T.; Xiao, R.; Wang, N.; Shang, R.; Lin, G. Obesity and severe coronavirus disease 2019: Molecular mechanisms, paths forward, and therapeutic opportunities. Theranostics 2021, 11, 8234–8253. [Google Scholar] [CrossRef] [PubMed]
- Aran, D.; Looney, A.P.; Liu, L.; Wu, E.; Fong, V.; Hsu, A.; Chak, S.; Naikawadi, R.P.; Wolters, P.J.; Abate, A.R.; et al. Reference-based analysis of lung single-cell sequencing reveals a transitional profibrotic macrophage. Nat. Immunol. 2019, 20, 163–172. [Google Scholar] [CrossRef] [PubMed]
- Robichaud, S.; Fairman, G.; Vijithakumar, V.; Mak, E.; Cook, D.P.; Pelletier, A.R.; Huard, S.; Vanderhyden, B.C.; Figeys, D.; Lavallee-Adam, M.; et al. Identification of novel lipid droplet factors that regulate lipophagy and cholesterol efflux in macrophage foam cells. Autophagy 2021, 17, 3671–3689. [Google Scholar] [CrossRef] [PubMed]
- Hu, C.; Li, T.; Xu, Y.; Zhang, X.; Li, F.; Bai, J.; Chen, J.; Jiang, W.; Yang, K.; Ou, Q.; et al. CellMarker 2.0: An updated database of manually curated cell markers in human/mouse and web tools based on scRNA-seq data. Nucleic Acids Res. 2023, 51, D870–D876. [Google Scholar] [CrossRef] [PubMed]
- Pan, X.; Jin, X.; Wang, J.; Hu, Q.; Dai, B. Placenta inflammation is closely associated with gestational diabetes mellitus. Am. J. Transl. Res. 2021, 13, 4068–4079. [Google Scholar] [PubMed] [PubMed Central]
- Subramanian, A.; Tamayo, P.; Mootha, V.K.; Mukherjee, S.; Ebert, B.L.; Gillette, M.A.; Paulovich, A.; Pomeroy, S.L.; Golub, T.R.; Lander, E.S.; et al. Gene set enrichment analysis: A knowledge-based approach for interpreting genome-wide expression profiles. Proc. Natl. Acad. Sci. USA 2005, 102, 15545–15550. [Google Scholar] [CrossRef] [PubMed]
- Eberhardt, J.; Santos-Martins, D.; Tillack, A.F.; Forli, S. AutoDock Vina 1.2.0: New Docking Methods, Expanded Force Field, and Python Bindings. J. Chem. Inf. Model. 2021, 61, 3891–3898. [Google Scholar] [CrossRef] [PubMed]
- Wallace, A.C.; Laskowski, R.A.; Thornton, J.M. LIGPLOT: A program to generate schematic diagrams of protein-ligand interactions. Protein Eng. 1995, 8, 127–134. [Google Scholar] [CrossRef] [PubMed]
- Ji, M.; Li, M.; Sun, L.; Deng, H.; Zhao, Y.G. DMV biogenesis during beta-coronavirus infection requires autophagy proteins VMP1 and TMEM41B. Autophagy 2023, 19, 737–738. [Google Scholar] [CrossRef] [PubMed]
- McLauchlan, J. Hepatitis C virus: Viral proteins on the move. Biochem. Soc. Trans. 2009, 37, 986–990. [Google Scholar] [CrossRef] [PubMed]
- Bullock, H.A.; Goldsmith, C.S.; Zaki, S.R.; Martines, R.B.; Miller, S.E. Difficulties in Differentiating Coronaviruses from Subcellular Structures in Human Tissues by Electron Microscopy. Emerg. Infect. Dis. 2021, 27, 1023–1031. [Google Scholar] [CrossRef] [PubMed]
- Sette, A.; Crotty, S. Adaptive immunity to SARS-CoV-2 and COVID-19. Cell 2021, 184, 861–880. [Google Scholar] [CrossRef] [PubMed]
- Bai, Y.; Meng, L.; Han, L.; Jia, Y.; Zhao, Y.; Gao, H.; Kang, R.; Wang, X.; Tang, D.; Dai, E. Lipid storage and lipophagy regulates ferroptosis. Biochem. Biophys. Res. Commun. 2019, 508, 997–1003. [Google Scholar] [CrossRef]
- Tarasenko, T.N.; Singh, L.N.; Chatterji-Len, M.; Zerfas, P.M.; Cusmano-Ozog, K.; McGuire, P.J. Kupffer cells modulate hepatic fatty acid oxidation during infection with PR8 influenza. Biochim. Biophys. Acta 2015, 1852, 2391–2401. [Google Scholar] [CrossRef] [PubMed]
- Siu, Y.L.; Teoh, K.T.; Lo, J.; Chan, C.M.; Kien, F.; Escriou, N.; Tsao, S.W.; Nicholls, J.M.; Altmeyer, R.; Peiris, J.S.; et al. The M, E, and N structural proteins of the severe acute respiratory syndrome coronavirus are required for efficient assembly, trafficking, and release of virus-like particles. J. Virol. 2008, 82, 11318–11330. [Google Scholar] [CrossRef] [PubMed]
- McAndrew, R.P.; Wang, Y.; Mohsen, A.W.; He, M.; Vockley, J.; Kim, J.J. Structural basis for substrate fatty acyl chain specificity: Crystal structure of human very-long-chain acyl-CoA dehydrogenase. J. Biol. Chem. 2008, 283, 9435–9443. [Google Scholar] [CrossRef] [PubMed]
- Smith, D.R.; McCarthy, S.; Chrovian, A.; Olinger, G.; Stossel, A.; Geisbert, T.W.; Hensley, L.E.; Connor, J.H. Inhibition of heat-shock protein 90 reduces Ebola virus replication. Antivir. Res. 2010, 87, 187–194. [Google Scholar] [CrossRef] [PubMed]
- Han, L.; Li, K.; Jin, C.; Wang, J.; Li, Q.; Zhang, Q.; Cheng, Q.; Yang, J.; Bo, X.; Wang, S. Human enterovirus 71 protein interaction network prompts antiviral drug repositioning. Sci. Rep. 2017, 7, 43143. [Google Scholar] [CrossRef] [PubMed]
- Klemm, E.J.; Spooner, E.; Ploegh, H.L. Dual role of ancient ubiquitous protein 1 (AUP1) in lipid droplet accumulation and endoplasmic reticulum (ER) protein quality control. J. Biol. Chem. 2011, 286, 37602–37614. [Google Scholar] [CrossRef] [PubMed]
- Spandl, J.; Lohmann, D.; Kuerschner, L.; Moessinger, C.; Thiele, C. Ancient ubiquitous protein 1 (AUP1) localizes to lipid droplets and binds the E2 ubiquitin conjugase G2 (Ube2g2) via its G2 binding region. J. Biol. Chem. 2011, 286, 5599–5606. [Google Scholar] [CrossRef] [PubMed]
- Kim, B.Y.; Lee, J.; Kim, N.S. Helveticoside is a biologically active component of the seed extract of Descurainia sophia and induces reciprocal gene regulation in A549 human lung cancer cells. BMC Genom. 2015, 16, 713. [Google Scholar] [CrossRef] [PubMed]
- Jin, Q.; Li, W.; Yu, W.; Zeng, M.; Liu, J.; Xu, P. Analysis and identification of potential type II helper T cell (Th2)-Related key genes and therapeutic agents for COVID-19. Comput. Biol. Med. 2022, 150, 106134. [Google Scholar] [CrossRef] [PubMed]
- Levy-Strumpf, N.; Kimchi, A. Death associated proteins (DAPs): From gene identification to the analysis of their apoptotic and tumor suppressive functions. Oncogene 1998, 17, 3331–3340. [Google Scholar] [CrossRef] [PubMed]
- Koren, I.; Reem, E.; Kimchi, A. Autophagy gets a brake: DAP1, a novel mTOR substrate, is activated to suppress the autophagic process. Autophagy 2010, 6, 1179–1180. [Google Scholar] [CrossRef] [PubMed]
- Ozawa, K.; Tsukamoto, Y.; Hori, O.; Kitao, Y.; Yanagi, H.; Stern, D.M.; Ogawa, S. Regulation of tumor angiogenesis by oxygen-regulated protein 150, an inducible endoplasmic reticulum chaperone. Cancer Res. 2001, 61, 4206–4213. [Google Scholar] [PubMed]
- Ostergaard, L. SARS-CoV-2 related microvascular damage and symptoms during and after COVID-19: Consequences of capillary transit-time changes, tissue hypoxia and inflammation. Physiol. Rep. 2021, 9, e14726. [Google Scholar] [CrossRef]
- Hu, J.; Seeger, C. Hsp90 is required for the activity of a hepatitis B virus reverse transcriptase. Proc. Natl. Acad. Sci. USA 1996, 93, 1060–1064. [Google Scholar] [CrossRef] [PubMed]
- Broemer, M.; Krappmann, D.; Scheidereit, C. Requirement of Hsp90 activity for IkappaB kinase (IKK) biosynthesis and for constitutive and inducible IKK and NF-kappaB activation. Oncogene 2004, 23, 5378–5386. [Google Scholar] [CrossRef] [PubMed]
- Wyler, E.; Mosbauer, K.; Franke, V.; Diag, A.; Gottula, L.T.; Arsie, R.; Klironomos, F.; Koppstein, D.; Honzke, K.; Ayoub, S.; et al. Transcriptomic profiling of SARS-CoV-2 infected human cell lines identifies HSP90 as target for COVID-19 therapy. iScience 2021, 24, 102151. [Google Scholar] [CrossRef] [PubMed]
- Nes, W.D. Biosynthesis of cholesterol and other sterols. Chem. Rev. 2011, 111, 6423–6451. [Google Scholar] [CrossRef] [PubMed]
- San-Juan-Vergara, H.; Sampayo-Escobar, V.; Reyes, N.; Cha, B.; Pacheco-Lugo, L.; Wong, T.; Peeples, M.E.; Collins, P.L.; Castano, M.E.; Mohapatra, S.S. Cholesterol-rich microdomains as docking platforms for respiratory syncytial virus in normal human bronchial epithelial cells. J. Virol. 2012, 86, 1832–1843. [Google Scholar] [CrossRef] [PubMed]
- Meyer, N.; Henkel, L.; Linder, B.; Zielke, S.; Tascher, G.; Trautmann, S.; Geisslinger, G.; Munch, C.; Fulda, S.; Tegeder, I.; et al. Autophagy activation, lipotoxicity and lysosomal membrane permeabilization synergize to promote pimozide- and loperamide-induced glioma cell death. Autophagy 2021, 17, 3424–3443. [Google Scholar] [CrossRef] [PubMed]
- de Wilde, A.H.; Jochmans, D.; Posthuma, C.C.; Zevenhoven-Dobbe, J.C.; van Nieuwkoop, S.; Bestebroer, T.M.; van den Hoogen, B.G.; Neyts, J.; Snijder, E.J. Screening of an FDA-approved compound library identifies four small-molecule inhibitors of Middle East respiratory syndrome coronavirus replication in cell culture. Antimicrob. Agents Chemother. 2014, 58, 4875–4884. [Google Scholar] [CrossRef] [PubMed]
- Londos, C.; Brasaemle, D.L.; Schultz, C.J.; Segrest, J.P.; Kimmel, A.R. Perilipins, ADRP, and other proteins that associate with intracellular neutral lipid droplets in animal cells. Semin. Cell Dev. Biol. 1999, 10, 51–58. [Google Scholar] [CrossRef] [PubMed]
- Tsai, T.H.; Chen, E.; Li, L.; Saha, P.; Lee, H.J.; Huang, L.S.; Shelness, G.S.; Chan, L.; Chang, B.H. The constitutive lipid droplet protein PLIN2 regulates autophagy in liver. Autophagy 2017, 13, 1130–1144. [Google Scholar] [CrossRef] [PubMed]
- Weibel, G.L.; Joshi, M.R.; Wei, C.; Bates, S.R.; Blair, I.A.; Rothblat, G.H. 15(S)-Lipoxygenase-1 associates with neutral lipid droplets in macrophage foam cells: Evidence of lipid droplet metabolism. J. Lipid Res. 2009, 50, 2371–2376. [Google Scholar] [CrossRef] [PubMed]
- Hsiao, P.J.; Chiou, H.C.; Jiang, H.J.; Lee, M.Y.; Hsieh, T.J.; Kuo, K.K. Pioglitazone Enhances Cytosolic Lipolysis, beta-oxidation and Autophagy to Ameliorate Hepatic Steatosis. Sci. Rep. 2017, 7, 9030. [Google Scholar] [CrossRef] [PubMed]
- Meng, B.; Kemp, S.A.; Papa, G.; Datir, R.; Ferreira, I.; Marelli, S.; Harvey, W.T.; Lytras, S.; Mohamed, A.; Gallo, G.; et al. Recurrent emergence of SARS-CoV-2 spike deletion H69/V70 and its role in the Alpha variant B.1.1.7. Cell Rep. 2021, 35, 109292. [Google Scholar] [CrossRef] [PubMed]
- Chiu, C.Y.; Chan, I.L.; Yang, T.H.; Liu, S.H.; Chiang, M.T. Supplementation of chitosan alleviates high-fat diet-enhanced lipogenesis in rats via adenosine monophosphate (AMP)-activated protein kinase activation and inhibition of lipogenesis-associated genes. J. Agric. Food Chem. 2015, 63, 2979–2988. [Google Scholar] [CrossRef]
- Chen, S.; Li, Z.; Li, W.; Shan, Z.; Zhu, W. Resveratrol inhibits cell differentiation in 3T3-L1 adipocytes via activation of AMPK. Can. J. Physiol. Pharmacol. 2011, 89, 793–799. [Google Scholar] [CrossRef] [PubMed]
- Agudelo, M.; Gandhi, N.; Saiyed, Z.; Pichili, V.; Thangavel, S.; Khatavkar, P.; Yndart-Arias, A.; Nair, M. Effects of alcohol on histone deacetylase 2 (HDAC2) and the neuroprotective role of trichostatin A (TSA). Alcohol. Clin. Exp. Res. 2011, 35, 1550–1556. [Google Scholar] [CrossRef]
- Katsura, T.; Iwai, S.; Ota, Y.; Shimizu, H.; Ikuta, K.; Yura, Y. The effects of trichostatin A on the oncolytic ability of herpes simplex virus for oral squamous cell carcinoma cells. Cancer Gene Ther. 2009, 16, 237–245. [Google Scholar] [CrossRef]








| Gene | logFC | AveExpr | p-Value | Type |
|---|---|---|---|---|
| ACADVL | 1.22056 | 12.37652 | 7.12 × 10−6 | Up |
| ANXA2 | −1.04974 | 12.14506 | 8.36 × 10−5 | Down |
| ARHGDIB | −1.22168 | 9.722035 | 0.001734 | Down |
| AUP1 | 0.73916 | 9.827391 | 0.000167 | Up |
| CHMP4B | −1.0309 | 9.196918 | 4.33 × 10−5 | Down |
| COPB2 | 0.625736 | 10.93317 | 1.97 × 10−5 | Up |
| CORO1A | −1.47724 | 8.119408 | 0.020948 | Down |
| CS | 0.832411 | 10.24263 | 1.27 × 10−7 | Up |
| CTSS | −1.82733 | 10.72099 | 3.45 × 10−11 | Down |
| DAP | 1.040417 | 9.901216 | 2.28 × 10−6 | Up |
| FABP4 | −4.77581 | 6.214894 | 2.87 × 10−12 | Down |
| GOT2 | 2.209275 | 9.779301 | 6.45 × 10−9 | Up |
| GRPEL1 | 1.30356 | 8.682127 | 4.15 × 10−6 | Up |
| HSP90AA1 | −1.08199 | 12.62869 | 0.004237 | Down |
| HSPA9 | 1.026774 | 11.79201 | 5.30 × 10−5 | Up |
| HSPB1 | −1.44516 | 9.321457 | 0.001028 | Down |
| HYOU1 | 0.712801 | 11.31537 | 0.002449 | Up |
| LAMTOR5 | −1.02744 | 7.687586 | 1.60 × 10−5 | Down |
| LDAH | 0.73637 | 7.179144 | 0.013203 | Down |
| LSS | 0.806331 | 10.79817 | 0.011611 | Up |
| MAN2B1 | −0.7043 | 9.15311 | 0.017938 | Down |
| MDH2 | 1.148977 | 10.18082 | 7.00 × 10−5 | Up |
| MYH7 | 5.128091 | 6.764768 | 5.66 × 10−5 | Up |
| MYH9 | −0.84748 | 13.85285 | 0.006738 | Down |
| MYL12B | −0.50209 | 10.53187 | 0.001045 | Down |
| MYL6 | −1.43376 | 11.30935 | 3.41 × 10−12 | Down |
| NPC2 | −1.78017 | 9.491113 | 3.29 × 10−6 | Down |
| P4HB | 1.488593 | 12.91802 | 8.95 × 10−8 | Up |
| PARK7 | −0.73148 | 9.06782 | 3.65 × 10−7 | Down |
| PDIA3 | 0.656054 | 11.55285 | 0.002806 | Up |
| PDIA4 | 0.916355 | 11.03247 | 0.000118 | Up |
| PLIN2 | 1.762544 | 11.95768 | 6.69 × 10−6 | Up |
| PRKAB2 | 1.463509 | 9.281841 | 1.60 × 10−5 | Up |
| PRKAG2 | 1.206049 | 9.86256 | 1.74 × 10−6 | Up |
| PSAP | −0.55917 | 13.51833 | 0.018188 | Down |
| RAB11B | −0.56735 | 8.530345 | 0.026198 | Down |
| RAB6B | −1.77904 | 4.64767 | 0.000305 | Down |
| RHOA | −0.58227 | 11.71363 | 0.000584 | Down |
| RPS27A | −1.40497 | 10.60716 | 2.02 × 10−8 | Down |
| SCARB2 | 0.639907 | 11.73706 | 0.000243 | Up |
| SUCLG1 | 0.637036 | 9.091021 | 0.005076 | Up |
| UBB | −1.08032 | 11.27086 | 4.96 × 10−5 | Down |
| UBC | −0.63646 | 13.17368 | 0.020104 | Down |
| VIM | −1.67728 | 12.38277 | 0.000149 | Down |
| YWHAE | −0.61307 | 10.97161 | 7.56 × 10−5 | Down |
| YWHAQ | −0.67158 | 10.06487 | 5.48 × 10−5 | Down |
| Drug Name | Gene Name | Molecular Formula | Fold Change | Description |
|---|---|---|---|---|
| Helveticoside | AUP1 | C29H42O9 | −0.925626 | Helveticoside is a cardenolide glycoside. |
| Lanatoside C | C49H76O20 | −0.820001 | Lanatoside C is a cardiac glycoside with antiviral and antitumor activities | |
| Digoxigenin | C23H34O5 | −0.719413 | A toxic cardiac glycoside mainly from digitalis. | |
| Lanatoside C | DAP | ditto | −0.78183 | ditto |
| Phenoxybenzamine | C18H22ClNO | −0.62779 | An alpha-adrenergic antagonist with long duration of action. | |
| Tretinoin | C20H28O2 | −0.6105 | All-trans-retinoic acid (ATRA), is a naturally occurring derivative of vitamin A (retinol). | |
| Tacrolimus | C44H69NO12 | −0.60699 | Tacrolimusis an immunosuppressive drug and chemically known as a macrolide. | |
| Geldanamycin | HYOU1 | C29H40N2O9 | −1.54383 | Geldanamycin is a benzoquinone antineoplastic antibiotic. |
| Ionomycin | C41H72O9 | −1.28528 | Ionomycin is a polyether antibiotic isolated from Streptomyces conglobatus sp. nov. Trejo with antineoplastic activity. | |
| Thioridazine | C21H26N2S2 | −0.97859 | A phenothiazine antipsychotic used in the management of psychoses | |
| Tanespimycin | C31H43N3O8 | −0.95051 | Tanespimycin is a benzoquinone antineoplastic antibiotic. | |
| Phenoxybenzamine | ditto | −0.85209 | ditto | |
| Diethylstilbestrol | C18H20O2 | −0.85105 | Diethylstilbestrol is an olefinic compound. An antineoplastic agent, a carcinogenic agent, an autophagy inducer and a calcium channel blocker. | |
| Equilin | C18H20O2 | −0.66944 | Equilin is a naturally occurring steroid with estrogenic activity. | |
| Loperamide | LSS | C29H33ClN2O2 | −0.77261 | Loperamide is an anti-diarrheal agent that is structurally similar to opiate receptor agonists such as diphenoxylate and haloperidol. |
| Trichostatin A | C17H22N2O3 | −0.74973 | Trichostatin A is an antibiotic antifungal agent, a trichostatin and a hydroxamic acid. | |
| Pioglitazone | PLIN2 | C19H20N2O3S | −0.759247 | Pioglitazone is a Peroxisome Proliferator Receptor alpha Agonist, and Peroxisome Proliferator Receptor gamma Agonist, and Thiazolidinedione. |
| Rosiglitazone | C18H19N3O3S | −0.726808 | Rosiglitazone is an anti-diabetic drug and selective ligand of PPARγ. | |
| Troglitazone | C24H27NO5S | −0.671461 | Troglitazone has a role as a hypoglycemic agent, an antioxidant, a vasodilator agent, an anticonvulsant, an anticoagulant, a platelet aggregation inhibitor, an antineoplastic agent, and a ferroptosis inhibitor. | |
| Trichostatin A | PRKAB2 | ditto | −1.07525 | ditto |
| Cephaeline | C28H38N2O4 | −0.79435 | Cephaeline is a phenolic alkaloid in Indian ipecac. Cephaeline has high inhibitory effect on virus zikv and EBOV infection. | |
| Helveticoside | ditto | −0.75729 | ditto | |
| Thioridazine | ditto | −0.69689 | ditto | |
| Lycorine | C16H17NO4 | −0.61567 | Lycorine is an indolizidine alkaloid. It has a role as a protein synthesis inhibitor, an antimalarial, a plant metabolite and an anticoronaviral agent. | |
| Phenoxybenzamine | ACADVL | ditto | −0.58961 | ditto |
| Lanatoside C | ditto | −0.58311 | ditto |
Disclaimer/Publisher’s Note: The statements, opinions and data contained in all publications are solely those of the individual author(s) and contributor(s) and not of MDPI and/or the editor(s). MDPI and/or the editor(s) disclaim responsibility for any injury to people or property resulting from any ideas, methods, instructions or products referred to in the content. |
© 2024 by the authors. Licensee MDPI, Basel, Switzerland. This article is an open access article distributed under the terms and conditions of the Creative Commons Attribution (CC BY) license (https://creativecommons.org/licenses/by/4.0/).
Share and Cite
Wu, Y.; Wu, Z.; Jin, Q.; Liu, J.; Xu, P. Identification and Analysis of Biomarkers Associated with Lipophagy and Therapeutic Agents for COVID-19. Viruses 2024, 16, 923. https://doi.org/10.3390/v16060923
Wu Y, Wu Z, Jin Q, Liu J, Xu P. Identification and Analysis of Biomarkers Associated with Lipophagy and Therapeutic Agents for COVID-19. Viruses. 2024; 16(6):923. https://doi.org/10.3390/v16060923
Chicago/Turabian StyleWu, Yujia, Zhenlin Wu, Qiying Jin, Jinyuan Liu, and Peiping Xu. 2024. "Identification and Analysis of Biomarkers Associated with Lipophagy and Therapeutic Agents for COVID-19" Viruses 16, no. 6: 923. https://doi.org/10.3390/v16060923
APA StyleWu, Y., Wu, Z., Jin, Q., Liu, J., & Xu, P. (2024). Identification and Analysis of Biomarkers Associated with Lipophagy and Therapeutic Agents for COVID-19. Viruses, 16(6), 923. https://doi.org/10.3390/v16060923

