Prediction of Antigenic Distance in Influenza A Using Attribute Network Embedding
Abstract
1. Introduction
2. Materials and Methods
2.1. Datasets
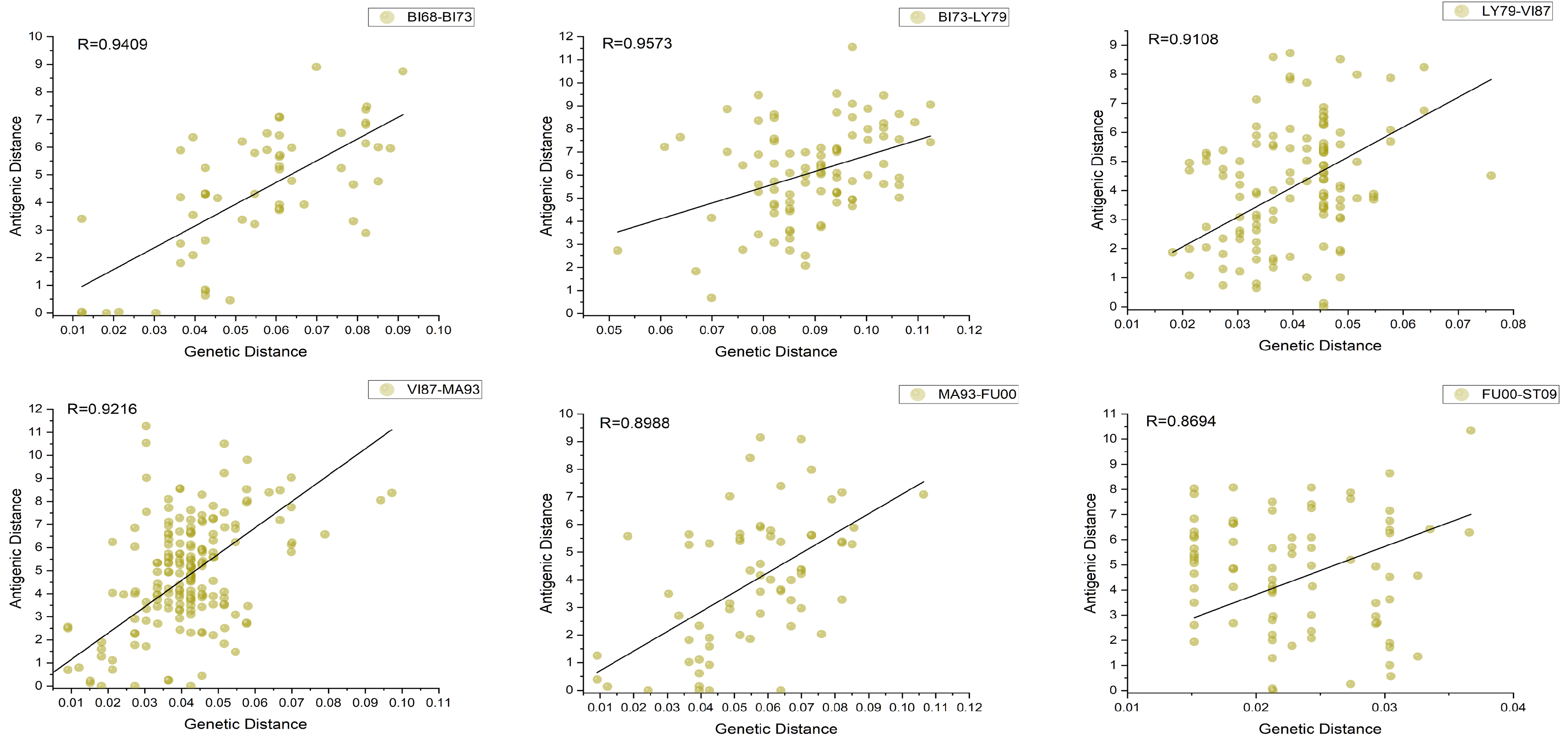
2.1.1. HI Titers
2.1.2. HA Sequences
2.2. Antigenic Network Representation Learning
2.2.1. Network Topological Structure Modeling
2.2.2. Node Attribute Proximity Modeling
2.2.3. Antigenic Network Embedding Representation Learning
3. Results
3.1. Baseline
- Node2vec [39] is a Skip–Gram-based algorithm that generates node sequences through biased random walks. Hyperparameters p and q are used to control the random walks, and we adjust them according to the original paper. When p and q are both 1, node2vec is equivalent to DeepWalk. Node2Vec only uses antigenic distance for an edge-weighted biased random walk.
- LINE [40] constructs the network using only antigenic distance and generates context nodes through breadth-first search, where a node’s neighboring nodes are limited to those that are at most two hops away. LINE models both first-order and second-order similarities for each node and concatenates the two learned embedding vectors according to the actual scenario.
- LINE1 constructs the network using only antigenic distance and models first-order similarity to learn node representation, which mainly constrains directly connected nodes.
- LINE2 also constructs the network using only antigenic distances, but focuses on the neighborhood similarity of nodes and learns node representation by preserving second-order similarity.
- Attri2vec [41] learns node representation by performing linear or non-linear mapping on node attributes. To preserve structural similarity, it uses the DeepWalk learning mechanism so that nodes with similar random walk contexts have similar dense representations in the subspace. This is achieved by maximizing the probability of the appearance of context nodes conditioned on the target representation.
- GCN [42] is a graph-specific model that applies convolution on graph nodes to generate representations for each node.
- By employing the masked self-attention layer, GAT [43] overcomes certain limitations present in existing methods. The key aspect of GAT lies in stacking multiple layers, where each layer can implicitly assign varying weights to neighboring nodes without the need for costly matrix operations or prior knowledge of the graph structure.
- GraphSAGE [44] utilizes local neighborhood sampling to aggregate features and generate embeddings. Subsequently, a minibatch forward propagation algorithm is employed to train the data.
- GALA [45] proposes a symmetric graph convolutional autoencoder for generating low-dimensional latent representations of graphs. Compared to existing graph autoencoders, our model features a newly designed symmetric decoder that effectively utilizes the graph structure for reconstructing node features.
- TADW [46] not only considers the structural information of nodes but also utilizes the text information of nodes. It implements the DeepWalk idea through matrix factorization and introduces node text information to improve the expression of embedding vectors.
3.2. Evaluation of Antigenic Distance Prediction Performance
3.3. Parameter Sensitivity Study
3.4. Antigenic Evolution Dynamic Analysis
4. Discussion
5. Conclusions
Author Contributions
Funding
Institutional Review Board Statement
Informed Consent Statement
Data Availability Statement
Conflicts of Interest
References
- Agor, J.K.; Özaltın, O.Y. Models for predicting the evolution of influenza to inform vaccine strain selection. Hum. Vaccines Immunother. 2018, 14, 678–683. [Google Scholar] [CrossRef]
- Allen, J.D.; Ross, T.M. H3N2 influenza viruses in humans: Viral mechanisms, evolution, and evaluation. Hum. Vaccines Immunother. 2018, 14, 1840–1847. [Google Scholar] [CrossRef]
- Iuliano, A.D.; Roguski, K.M.; Chang, H.H.; Muscatello, D.J.; Palekar, R.; Tempia, S.; Cohen, C.; Gran, J.M.; Schanzer, D.; Cowling, B.J.; et al. Estimates of global seasonal influenza-associated respiratory mortality: A modelling study. Lancet 2018, 391, 1285–1300. [Google Scholar] [CrossRef] [PubMed]
- Kumlin, U.; Olofsson, S.; Dimock, K.; Arnberg, N. Sialic acid tissue distribution and influenza virus tropism. Influenza Other Respir. Viruses 2008, 2, 147–154. [Google Scholar] [CrossRef] [PubMed]
- Neu, K.E.; Dunand, C.J.H.; Wilson, P.C. Heads, stalks and everything else: How can antibodies eradicate influenza as a human disease? Curr. Opin. Immunol. 2016, 42, 48–55. [Google Scholar] [CrossRef] [PubMed]
- Nelson, M.I.; Holmes, E.C. The evolution of epidemic influenza. Nat. Rev. Genet. 2007, 8, 196–205. [Google Scholar] [CrossRef] [PubMed]
- Skowronski, D.M.; Sabaiduc, S.; Leir, S.; Rose, C.; Zou, M.; Murti, M.; Dickinson, J.A.; Olsha, R.; Gubbay, J.B.; Croxen, M.A.; et al. Paradoxical clade-and age-specific vaccine effectiveness during the 2018/19 influenza A (H3N2) epidemic in Canada: Potential imprint-regulated effect of vaccine (I-REV). Eurosurveillance 2019, 24, 1900585. [Google Scholar] [CrossRef] [PubMed]
- Liao, Y.C.; Lee, M.S.; Ko, C.Y.; Hsiung, C.A. Bioinformatics models for predicting antigenic variants of influenza A/H3N2 virus. Bioinformatics 2008, 24, 505–512. [Google Scholar] [CrossRef]
- Qiu, J.; Qiu, T.; Yang, Y.; Wu, D.; Cao, Z. Incorporating structure context of HA protein to improve antigenicity calculation for influenza virus A/H3N2. Sci. Rep. 2016, 6, 31156. [Google Scholar] [CrossRef]
- Qiu, T.; Yang, Y.; Qiu, J.; Huang, Y.; Xu, T.; Xiao, H.; Wu, D.; Zhang, Q.; Zhou, C.; Zhang, X.; et al. CE-BLAST makes it possible to compute antigenic similarity for newly emerging pathogens. Nat. Commun. 2018, 9, 1772. [Google Scholar] [CrossRef]
- Gupta, V.; Earl, D.J.; Deem, M.W. Quantifying influenza vaccine efficacy and antigenic distance. Vaccine 2006, 24, 3881–3888. [Google Scholar] [CrossRef]
- Sun, H.; Yang, J.; Zhang, T.; Long, L.P.; Jia, K.; Yang, G.; Webby, R.J.; Wan, X.F. Using sequence data to infer the antigenicity of influenza virus. MBio 2013, 4, e00230-13. [Google Scholar] [CrossRef]
- Daly, J.M.; Elton, D. Potential of a sequence-based antigenic distance measure to indicate equine influenza vaccine strain efficacy. Vaccine 2013, 31, 6043–6045. [Google Scholar] [CrossRef] [PubMed]
- Anderson, C.S.; DeDiego, M.L.; Thakar, J.L.; Topham, D.J. Novel sequence-based mapping of recently emerging H5NX influenza viruses reveals pandemic vaccine candidates. PLoS ONE 2016, 11, e0160510. [Google Scholar] [CrossRef]
- Li, X.; Deem, M.W. Influenza evolution and H3N2 vaccine effectiveness, with application to the 2014/2015 season. Protein Eng. Des. Sel. 2016, 29, 309–315. [Google Scholar] [CrossRef]
- Anderson, C.S.; McCall, P.R.; Stern, H.A.; Yang, H.; Topham, D.J. Antigenic cartography of H1N1 influenza viruses using sequence-based antigenic distance calculation. BMC Bioinform. 2018, 19, 51. [Google Scholar] [CrossRef] [PubMed]
- Zhou, X.; Yin, R.; Kwoh, C.K.; Zheng, J. A context-free encoding scheme of protein sequences for predicting antigenicity of diverse influenza A viruses. BMC Genom. 2018, 19, 145–154. [Google Scholar] [CrossRef] [PubMed]
- Łuksza, M.; Lässig, M. A predictive fitness model for influenza. Nature 2014, 507, 57–61. [Google Scholar] [CrossRef]
- Yin, R.; Luusua, E.; Dabrowski, J.; Zhang, Y.; Kwoh, C.K. Tempel: Time-series mutation prediction of influenza A viruses via attention-based recurrent neural networks. Bioinformatics 2020, 36, 2697–2704. [Google Scholar] [CrossRef]
- Neher, R.A.; Bedford, T.; Daniels, R.S.; Russell, C.A.; Shraiman, B.I. Prediction, dynamics, and visualization of antigenic phenotypes of seasonal influenza viruses. Proc. Natl. Acad. Sci. USA 2016, 113, E1701–E1709. [Google Scholar] [CrossRef]
- Neher, R.A.; Russell, C.A.; Shraiman, B.I. Predicting evolution from the shape of genealogical trees. Elife 2014, 3, e03568. [Google Scholar] [CrossRef]
- Yin, R.; Thwin, N.N.; Zhuang, P.; Lin, Z.; Kwoh, C.K. IAV-CNN: A 2D convolutional neural network model to predict antigenic variants of influenza A virus. IEEE/ACM Trans. Comput. Biol. Bioinform. 2021, 19, 3497–3506. [Google Scholar] [CrossRef]
- Hirst, G.K. Studies of antigenic differences among strains of influenza A by means of red cell agglutination. J. Exp. Med. 1943, 78, 407–423. [Google Scholar] [CrossRef]
- Smith, D.J.; Lapedes, A.S.; De Jong, J.C.; Bestebroer, T.M.; Rimmelzwaan, G.F.; Osterhaus, A.D.; Fouchier, R.A. Mapping the antigenic and genetic evolution of influenza virus. Science 2004, 305, 371–376. [Google Scholar] [CrossRef]
- Lapedes, A.; Farber, R. The geometry of shape space: Application to influenza. J. Theor. Biol. 2001, 212, 57–69. [Google Scholar] [CrossRef]
- Cai, Z.; Zhang, T.; Wan, X.F. A computational framework for influenza antigenic cartography. PLoS Comput. Biol. 2010, 6, e1000949. [Google Scholar] [CrossRef] [PubMed]
- Lees, W.D.; Moss, D.S.; Shepherd, A.J. A computational analysis of the antigenic properties of haemagglutinin in influenza A H3N2. Bioinformatics 2010, 26, 1403–1408. [Google Scholar] [CrossRef]
- Qiu, T.; Qiu, J.; Yang, Y.; Zhang, L.; Mao, T.; Zhang, X.; Xu, J.; Cao, Z. A benchmark dataset of protein antigens for antigenicity measurement. Sci. Data 2020, 7, 212. [Google Scholar] [CrossRef] [PubMed]
- Koel, B.F.; Burke, D.F.; Bestebroer, T.M.; Van Der Vliet, S.; Zondag, G.C.; Vervaet, G.; Skepner, E.; Lewis, N.S.; Spronken, M.I.; Russell, C.A.; et al. Substitutions near the receptor binding site determine major antigenic change during influenza virus evolution. Science 2013, 342, 976–979. [Google Scholar] [CrossRef]
- Steinbrück, L.; Klingen, T.R.; McHardy, A.C. Computational prediction of vaccine strains for human influenza A (H3N2) viruses. J. Virol. 2014, 88, 12123–12132. [Google Scholar] [CrossRef] [PubMed]
- Bedford, T.; Suchard, M.A.; Lemey, P.; Dudas, G.; Gregory, V.; Hay, A.J.; McCauley, J.W.; Russell, C.A.; Smith, D.J.; Rambaut, A. Integrating influenza antigenic dynamics with molecular evolution. elife 2014, 3, e01914. [Google Scholar] [CrossRef] [PubMed]
- Asgari, E.; Mofrad, M.R. Continuous distributed representation of biological sequences for deep proteomics and genomics. PLoS ONE 2015, 10, e0141287. [Google Scholar] [CrossRef] [PubMed]
- Hensley, S.E.; Das, S.R.; Bailey, A.L.; Schmidt, L.M.; Hickman, H.D.; Jayaraman, A.; Viswanathan, K.; Raman, R.; Sasisekharan, R.; Bennink, J.R.; et al. Hemagglutinin receptor binding avidity drives influenza A virus antigenic drift. Science 2009, 326, 734–736. [Google Scholar] [CrossRef] [PubMed]
- Veljkovic, V.; Paessler, S.; Glisic, S.; Prljic, J.; Perovic, V.R.; Veljkovic, N.; Scotch, M. Evolution of 2014/15 H3N2 influenza viruses circulating in US: Consequences for vaccine effectiveness and possible new pandemic. Front. Microbiol. 2015, 6, 1456. [Google Scholar] [CrossRef]
- Lee, E.K.; Tian, H.; Nakaya, H.I. Antigenicity prediction and vaccine recommendation of human influenza virus A (H3N2) using convolutional neural networks. Hum. Vaccines Immunother. 2020, 16, 2690–2708. [Google Scholar] [CrossRef]
- Huang, X.; Li, J.; Hu, X. Accelerated attributed network embedding. In Proceedings of the 2017 SIAM International Conference on Data Mining, Houston, TX, USA, 27–29 April 2017; pp. 633–641. [Google Scholar]
- Pan, S.; Wu, J.; Zhu, X.; Zhang, C.; Wang, Y. Tri-party deep network representation. Network 2016, 11, 12. [Google Scholar]
- Liao, L.; He, X.; Zhang, H.; Chua, T.S. Attributed social network embedding. IEEE Trans. Knowl. Data Eng. 2018, 30, 2257–2270. [Google Scholar] [CrossRef]
- Grover, A.; Leskovec, J. node2vec: Scalable feature learning for networks. In Proceedings of the 22nd ACM SIGKDD International Conference on Knowledge Discovery and Data Mining, San Francisco, CA, USA, 13–17 August 2016; pp. 855–864. [Google Scholar]
- Tang, J.; Qu, M.; Wang, M.; Zhang, M.; Yan, J.; Mei, Q. Line: Large-scale information network embedding. In Proceedings of the 24th International Conference on World Wide Web, Florence, Italy, 18–22 May 2015; pp. 1067–1077. [Google Scholar]
- Zhang, D.; Yin, J.; Zhu, X.; Zhang, C. Attributed network embedding via subspace discovery. Data Min. Knowl. Discov. 2019, 33, 1953–19808. [Google Scholar] [CrossRef]
- Kipf, T.N.; Welling, M. Semi-supervised classification with graph convolutional networks. arXiv 2016, arXiv:1609.02907. [Google Scholar]
- Veličković, P.; Cucurull, G.; Casanova, A.; Romero, A.; Lio, P.; Bengio, Y. Graph attention networks. arXiv 2017, arXiv:1710.1090. [Google Scholar]
- Hamilton, W.; Ying, Z.; Leskovec, J. Inductive representation learning on large graphs. arXiv 2017, arXiv:1706.02216. [Google Scholar]
- Park, J.; Lee, M.; Chang, H.J.; Lee, K.; Choi, J.Y. Symmetric graph convolutional autoencoder for unsupervised graph representation learnings. In Proceedings of the IEEE/CVF International Conference on Computer Vision, Seoul, Republic of Korea, 27 October–2 November 2019; pp. 6519–6528. [Google Scholar]
- Yang, C.; Liu, Z.; Zhao, D.; Sun, M.; Chang, E.Y. Network representation learning with rich text information. In Proceedings of the 24th International Conference on Artificial Intelligence, Buenos Aires, Argentina, 25–31 July 2015; pp. 2111–2117. [Google Scholar]
- McHardy, A.C.; Adams, B. The role of genomics in tracking the evolution of influenza A virus. PLoS Pathog. 2009, 5, e1000566. [Google Scholar] [CrossRef] [PubMed]
- Wolf, Y.I.; Viboud, C.; Holmes, E.C.; Koonin, E.V.; Lipman, D.J. Long intervals of stasis punctuated by bursts of positive selection in the seasonal evolution of influenza A virus. Biol. Direct 2006, 1, 34. [Google Scholar] [CrossRef]
- Forghani, M.; Khachay, M. Convolutional neural network based approach to in silico non-anticipating prediction of antigenic distance for influenza virus. Viruses 2020, 12, 1019. [Google Scholar] [CrossRef] [PubMed]
- Zeller, M.A.; Gauger, P.C.; Arendsee, Z.W.; Souza, C.K.; Vincent, A.L.; Anderson, T.K. Machine learning prediction and experimental validation of antigenic drift in H3 influenza A viruses in swine. MSphere 2021, 6, e00920-20. [Google Scholar] [CrossRef]








| Parameters | RMSE | PCC |
|---|---|---|
| (, ) * | 2.1994 | 0.6956 |
| (, ) | 2.0167 | 0.7354 |
| (, ) | 1.9503 | 0.7462 |
| (, ) | 1.8559 | 0.7662 |
| (, ) | 1.7025 | 0.7897 |
| (, ) | 1.6603 | 0.8018 |
| (, ) | 1.2973 | 0.8660 |
| (, ) | 0.8899 | 0.9336 |
| (, ) | 0.8678 | 0.9373 |
| (, ) | 1.5160 | 0.8311 |
| (, ) | 1.6102 | 0.8086 |
| (, ) | 0.9746 | 0.9197 |
| (, ) | 0.8730 | 0.9362 |
| (, ) | 0.9120 | 0.9303 |
| (, ) | 1.1248 | 0.8965 |
| (, ) | 0.8950 | 0.9326 |
| (, ) | 1.3108 | 0.8652 |
| (, ) | 1.7906 | 0.7753 |
Disclaimer/Publisher’s Note: The statements, opinions and data contained in all publications are solely those of the individual author(s) and contributor(s) and not of MDPI and/or the editor(s). MDPI and/or the editor(s) disclaim responsibility for any injury to people or property resulting from any ideas, methods, instructions or products referred to in the content. |
© 2023 by the authors. Licensee MDPI, Basel, Switzerland. This article is an open access article distributed under the terms and conditions of the Creative Commons Attribution (CC BY) license (https://creativecommons.org/licenses/by/4.0/).
Share and Cite
Peng, F.; Xia, Y.; Li, W. Prediction of Antigenic Distance in Influenza A Using Attribute Network Embedding. Viruses 2023, 15, 1478. https://doi.org/10.3390/v15071478
Peng F, Xia Y, Li W. Prediction of Antigenic Distance in Influenza A Using Attribute Network Embedding. Viruses. 2023; 15(7):1478. https://doi.org/10.3390/v15071478
Chicago/Turabian StylePeng, Fujun, Yuanling Xia, and Weihua Li. 2023. "Prediction of Antigenic Distance in Influenza A Using Attribute Network Embedding" Viruses 15, no. 7: 1478. https://doi.org/10.3390/v15071478
APA StylePeng, F., Xia, Y., & Li, W. (2023). Prediction of Antigenic Distance in Influenza A Using Attribute Network Embedding. Viruses, 15(7), 1478. https://doi.org/10.3390/v15071478

