Prevalence and Etiological Characteristics of Norovirus Infection in China: A Systematic Review and Meta-Analysis
Abstract
1. Introduction
2. Materials and Methods
2.1. Search Strategy and Selection Criteria
2.2. Data Extraction and Variable Definitions
2.3. Data Analysis
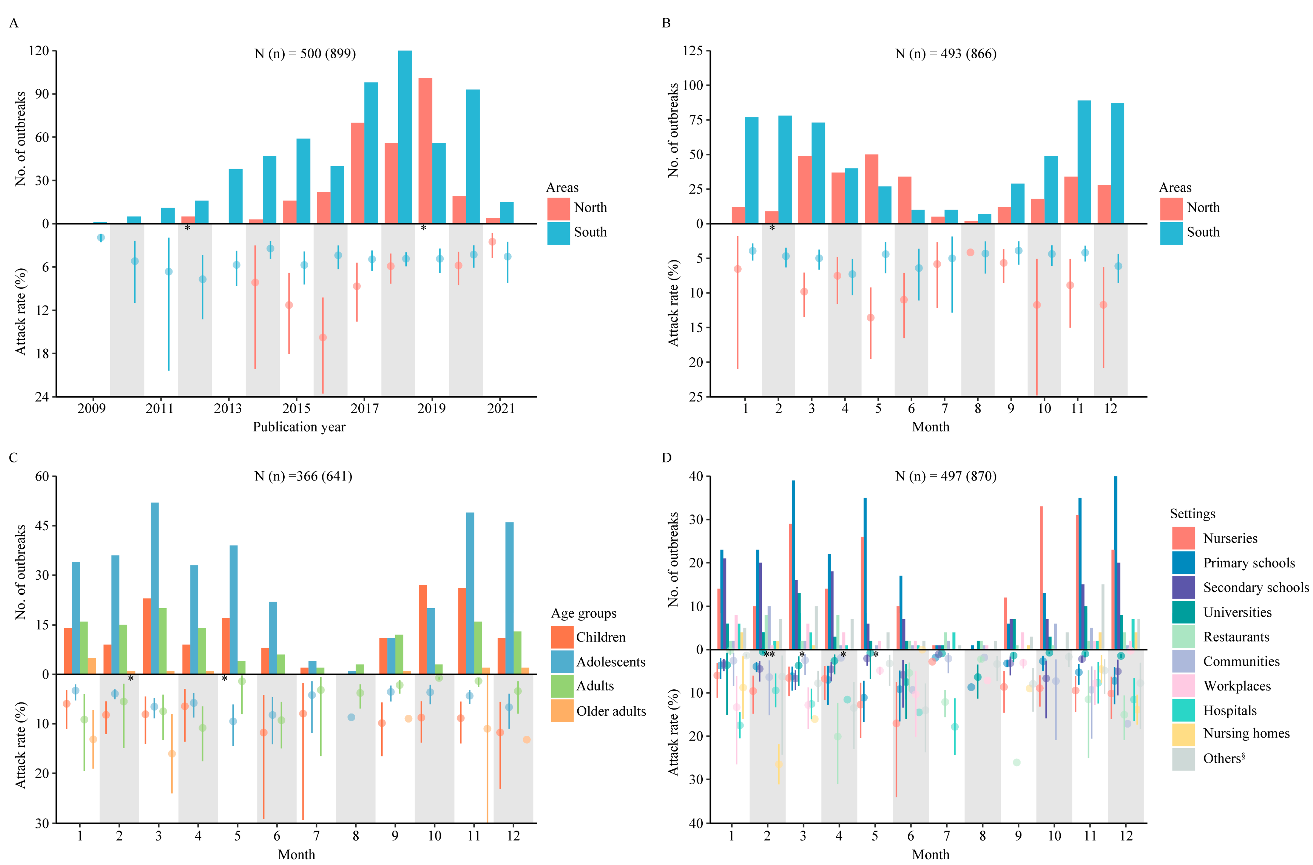
3. Results
3.1. Overview of the Publications and Spatiotemporal Characteristics of Patients
3.2. Demographic Characteristics of Patients in Norovirus Outbreaks
3.3. Temporal and Geographic Pattern of Norovirus Genotypes in China
3.4. Influencing Factors of Attack Rate in Norovirus Outbreaks
4. Discussion
Supplementary Materials
Author Contributions
Funding
Institutional Review Board Statement
Informed Consent Statement
Data Availability Statement
Conflicts of Interest
References
- Patel, M.M.; Hall, A.J.; Vinjé, J.; Parashar, U.D. Noroviruses: A comprehensive review. J. Clin. Virol. 2009, 44, 1–8. [Google Scholar] [CrossRef] [PubMed]
- Pires, S.M.; Fischer-Walker, C.L.; Lanata, C.F.; Devleesschauwer, B.; Hall, A.J.; Kirk, M.D.; Duarte, A.S.; Black, R.E.; Angulo, F.J. Aetiology-specific estimates of the gobal and regional incidence and mortality of diarrhoeal diseases commonly transmitted through food. PLoS ONE 2015, 10, e0142927. [Google Scholar] [CrossRef] [PubMed]
- Bartsch, S.M.; Lopman, B.A.; Ozawa, S.; Hall, A.J.; Lee, B.Y. Global economic burden of norovirus gastroenteritis. PLoS ONE 2016, 11, e0151219. [Google Scholar] [CrossRef] [PubMed]
- Lanata, C.F.; Fischer-Walker, C.L.; Olascoaga, A.C.; Torres, C.X.; Aryee, M.J.; Black, R.E. Global causes of diarrheal disease mortality in children <5 years of age: A systematic review. PLoS ONE 2013, 8, e72788. [Google Scholar]
- Chhabra, P.; de Graaf, M.; Parra, G.I.; Chan, M.C.; Green, K.; Martella, V.; Wang, Q.; White, P.A.; Katayama, K.; Vennema, H.; et al. Updated classification of norovirus genogroups and genotypes. J. Gen. Virol. 2019, 100, 1393–1406. [Google Scholar] [CrossRef]
- van Beek, J.; de Graaf, M.; Al-Hello, H.; Allen, D.J.; Ambert-Balay, K.; Botteldoorn, N.; Brytting, M.; Buesa, J.; Cabrerizo, M.; Chan, M.; et al. Molecular surveillance of norovirus, 2005–2016: An epidemiological analysis of data collected from the NoroNet network. Lancet Infect. Dis. 2018, 18, 545–553. [Google Scholar] [CrossRef]
- Ahmed, S.M.; Lopman, B.A.; Levy, K. A systematic review and meta-analysis of the global seasonality of norovirus. PLoS ONE 2013, 8, e75922. [Google Scholar] [CrossRef]
- Glass, R.I.; Parashar, U.D.; Estes, M.K. Norovirus gastroenteritis. N Engl. J. Med. 2009, 361, 1776–1785. [Google Scholar] [CrossRef]
- Rockx, B.; De Wit, M.; Vennema, H.; Vinjé, J.; De Bruin, E.; Van Duynhoven, Y.; Koopmans, M. Natural history of human calicivirus infection: A prospective cohort study. Clin. Infect. Dis. 2002, 35, 246–253. [Google Scholar] [CrossRef]
- Harris, J.P.; Edmunds, W.J.; Pebody, R.; Brown, D.W.; Lopman, B.A. Deaths from norovirus among the elderly, England and Wales. Emerg. Infect. Dis. 2008, 14, 1546–1552. [Google Scholar] [CrossRef]
- Patel, M.M.; Widdowson, M.A.; Glass, R.I.; Akazawa, K.; Vinjé, J.; Parashar, U.D. Systematic literature review of role of noroviruses in sporadic gastroenteritis. Emerg. Infect. Dis. 2008, 14, 1224–1231. [Google Scholar] [CrossRef] [PubMed]
- Zhou, H.L.; Zhen, S.S.; Wang, J.X.; Zhang, C.J.; Qiu, C.; Wang, S.M.; Jiang, X.; Wang, X.Y. Burden of acute gastroenteritis caused by norovirus in China: A systematic review. J. Infect. 2017, 75, 216–224. [Google Scholar] [CrossRef]
- Lian, Y.; Wu, S.; Luo, L.; Lv, B.; Liao, Q.; Li, Z.; Rainey, J.J.; Hall, A.J.; Ran, L. Epidemiology of norovirus outbreaks reported to the Public Health Emergency Event Surveillance System, China, 2014–2017. Viruses 2019, 11, 342. [Google Scholar] [CrossRef]
- Jin, M.; Wu, S.; Kong, X.; Xie, H.; Fu, J.; He, Y.; Feng, W.; Liu, N.; Li, J.; Rainey, J.J.; et al. Norovirus outbreak surveillance, China, 2016–2018. Emerg. Infect. Dis. 2020, 26, 437–445. [Google Scholar] [CrossRef]
- Yu, F.; Jiang, B.; Guo, X.; Hou, L.; Tian, Y.; Zhang, J.; Li, Q.; Jia, L.; Yang, P.; Wang, Q.; et al. Norovirus outbreaks in China, 2000–2018: A systematic review. Rev. Med. Virol. 2022, 32, e2382. [Google Scholar] [CrossRef] [PubMed]
- Page, M.J.; McKenzie, J.E.; Bossuyt, P.M.; Boutron, I.; Hoffmann, T.C.; Mulrow, C.D.; Shamseer, L.; Tetzlaff, J.M.; Akl, E.A.; Brennan, S.E.; et al. The PRISMA 2020 statement: An updated guideline for reporting systematic reviews. Bmj 2021, 372, n71. [Google Scholar] [CrossRef] [PubMed]
- Wang, L.P.; Zhou, S.X.; Wang, X.; Lu, Q.B.; Shi, L.S.; Ren, X.; Zhang, H.Y.; Wang, Y.F.; Lin, S.H.; Zhang, C.H.; et al. Etiological, epidemiological, and clinical features of acute diarrhea in China. Nat. Commun. 2021, 12, 2464. [Google Scholar] [CrossRef]
- Higgins, J.P.; Thompson, S.G.; Deeks, J.J.; Altman, D.G. Measuring inconsistency in meta-analyses. Bmj 2003, 327, 557–560. [Google Scholar] [CrossRef]
- Young-Xu, Y.; Chan, K.A. Pooling overdispersed binomial data to estimate event rate. BMC Med. Res. Methodol. 2008, 8, 58. [Google Scholar] [CrossRef]
- Ahmed, S.M.; Hall, A.J.; Robinson, A.E.; Verhoef, L.; Premkumar, P.; Parashar, U.D.; Koopmans, M.; Lopman, B.A. Global prevalence of norovirus in cases of gastroenteritis: A systematic review and meta-analysis. Lancet Infect. Dis. 2014, 14, 725–730. [Google Scholar] [CrossRef]
- Zheng, Q.M.; Zeng, H.T.; Dai, C.W.; Zhang, S.X.; Zhang, Z.; Mei, S.J.; He, Y.Q.; Ma, H.W. Epidemiological investigation of a norovirus GII.4 Sydney outbreak in a China elder care facility. Jpn. J. Infect. Dis. 2015, 68, 70–74. [Google Scholar] [CrossRef]
- Lin, H.; Ng, S.; Chan, S.; Chan, W.M.; Lee, K.C.; Ho, S.C.; Tian, L. Institutional risk factors for norovirus outbreaks in Hong Kong elderly homes: A retrospective cohort study. BMC Public Health 2011, 11, 297. [Google Scholar] [CrossRef]
- Robilotti, E.; Deresinski, S.; Pinsky, B.A. Norovirus. Clin. Microbiol. Rev. 2015, 28, 134–164. [Google Scholar] [CrossRef]
- Qin, S.W.; Chan, T.C.; Cai, J.; Zhao, N.; Miao, Z.P.; Chen, Y.J.; Liu, S.L. Genotypic and Epidemiological Trends of Acute Gastroenteritis Associated with Noroviruses in China from 2006 to 2016. Int. J. Environ. Res. Public Health 2017, 14, 1341. [Google Scholar] [CrossRef] [PubMed]
- Lopman, B.; Armstrong, B.; Atchison, C.; Gray, J.J. Host, weather and virological factors drive norovirus epidemiology: Time-series analysis of laboratory surveillance data in England and Wales. PLoS ONE 2009, 4, e6671. [Google Scholar] [CrossRef]
- Education CMoHaMo. Criterion for Reporting Infectious Diseases in Schools and Child-Care Institutions (For Trial Implementation). Available online: https://www.nhc.gov.cn/zhjcj/s9139/200804/b7fc75fdc7ee43afaadc76803dbbbaff.shtml (accessed on 5 March 2023).
- Zhou, H.; Wang, S.; von Seidlein, L.; Wang, X. The epidemiology of norovirus gastroenteritis in China: Disease burden and distribution of genotypes. Front. Med. 2020, 14, 1–7. [Google Scholar] [CrossRef]
- Emergence of new norovirus strain GII.4 Sydney—United States, 2012. MMWR Morb. Mortal. Wkly. Rep. 2013, 62, 55.
- Wei, N.; Ge, J.; Tan, C.; Song, Y.; Wang, S.; Bao, M.; Li, J. Epidemiology and evolution of Norovirus in China. Hum. Vaccin. Immunother. 2021, 17, 4553–4566. [Google Scholar] [CrossRef] [PubMed]
- Jin, M.; Zhou, Y.K.; Xie, H.P.; Fu, J.G.; He, Y.Q.; Zhang, S.; Jing, H.B.; Kong, X.Y.; Sun, X.M.; Li, H.Y.; et al. Characterization of the new GII.17 norovirus variant that emerged recently as the predominant strain in China. J. Gen. Virol. 2016, 97, 2620–2632. [Google Scholar] [CrossRef]
- Matsushima, Y.; Ishikawa, M.; Shimizu, T.; Komane, A.; Kasuo, S.; Shinohara, M.; Nagasawa, K.; Kimura, H.; Ryo, A.; Okabe, N.; et al. Genetic analyses of GII.17 norovirus strains in diarrheal disease outbreaks from December 2014 to March 2015 in Japan reveal a novel polymerase sequence and amino acid substitutions in the capsid region. Euro. Surveill. 2015, 20, 21173. [Google Scholar] [CrossRef] [PubMed]
- Götz, H.; Ekdahl, K.; Lindbäck, J.; de Jong, B.; Hedlund, K.O.; Giesecke, J. Clinical spectrum and transmission characteristics of infection with Norwalk-like virus: Findings from a large community outbreak in Sweden. Clin. Infect. Dis. 2001, 33, 622–628. [Google Scholar] [CrossRef] [PubMed]




| Etiological Surveillance | Outbreak Investigation | |||||||
|---|---|---|---|---|---|---|---|---|
| No. of Articles | Cases (Median, IQR) | Detection Positive Rate (95% CI) | p | No. of Articles(No. of Outbreaks) | Cases (Median, IQR) | Attack Rate (95% CI) | p | |
| Total | 632 | 70.00 (34.00, 156.00) | 11.54 (10.79, 12.33) | 500 (899) | 26.00 (14.00, 65.00) | 6.73 (6.11, 7.40) | ||
| Age groups (year) | 0.996 | <0.001 * | ||||||
| Children (0–4) | 91 | 64.00 (26.00, 137.25) | 14.17 (12.05, 16.61) | 70 (158) | 14.00 (9.00, 19.00) | 9.48 (7.76, 11.53) | ||
| Adolescents (5–17) | 31 | 76.00 (26.50, 198.50) | 14.74 (9.82, 21.52) | 209 (352) | 28.00 (15.00, 60.00) | 5.53 (4.82, 6.34) | ||
| Adults (18–60) | 17 | 58.50 (26.50, 138.25) | 14.74 (9.82, 21.53) | 114 (124) | 64.00 (25.00, 115.00) | 4.55 (3.39, 6.08) | ||
| Older adults (≥60) | 5 | 13.00 (5.00, 20.00) | 14.05 (9.40, 20.47) | 12 (13) | 11.00 (9.00, 21.00) | 11.85 (7.58, 18.06) | ||
| Settings | <0.001 * | |||||||
| Nurseries | – | – | – | 102 (212) | 15.00 (10.00, 20.00) | 9.13 (7.70, 10.80) | ||
| Primary schools | – | – | – | 136 (265) | 24.00 (13.00, 55.00) | 6.07 (5.10, 7.20) | ||
| Secondary schools | – | – | – | 104 (140) | 50.00 (25.75, 81.00) | 4.19 (3.46, 5.06) | ||
| Universities | – | – | – | 56 (61) | 97.00 (63.50, 197.50) | 1.78 (1.24, 2.55) | ||
| Restaurants | – | – | – | 31 (36) | 16.00 (8.00, 29.25) | 9.46 (4.80, 17.81) | ||
| Communities | – | – | – | 32 (32) | 50.00 (25.75, 100.75) | 5.93 (3.72, 9.32) | ||
| Workplaces | – | – | – | 30 (32) | 43.00 (21.00, 83.25) | 9.62 (5.96, 15.16) | ||
| Nursing homes | – | – | – | 15 (16) | 18.00 (10.00, 25.50) | 8.99 (5.67, 13.95) | ||
| Hospitals | – | – | – | 25 (27) | 17.00 (12.50, 22.50) | 13.16 (10.84, 15.88) | ||
| Others | – | – | – | 60 (78) | 52.50 (25.25, 101.00) | 6.24 (4.53, 8.55) | ||
| Seasons | <0.001 * | 0.218 | ||||||
| Cold | 43 | 7.00 (3.75, 18.25) | 20.92 (19.50, 22.35) | 357 (593) | 27.00 (14.00, 67.50) | 5.85 (5.20, 6.58) | ||
| Warm | 43 | 5.00 (2.00, 12.00) | 14.95 (13.26, 16.65) | 164 (273) | 25.00 (13.00, 63.00) | 6.62 (5.65, 7.75) | ||
| Areas | 0.586 | <0.001 * | ||||||
| North | 228 | 61.50 (31.00, 133.25) | 11.27 (10.06, 12.60) | 116 (296) | 19.00 (12.00, 40.00) | 10.10 (8.58, 11.85) | ||
| South | 401 | 77.00 (36.00, 176.00) | 11.72 (10.78, 12.73) | 380 (599) | 31.50 (15.00, 76.00) | 4.81 (4.31, 5.36) | ||
| Routes of transmission | 0.032 * | |||||||
| Human-to-human | – | – | – | 125 (213) | 18.00 (13.00, 40.00) | 6.33 (4.97, 8.04) | ||
| Foodborne | – | – | – | 108 (125) | 57.50 (21.75, 95.25) | 7.70 (6.51, 9.10) | ||
| Waterborne | – | – | – | 78 (84) | 82.50 (45.00, 149.25) | 5.21 (4.05, 6.66) | ||
Disclaimer/Publisher’s Note: The statements, opinions and data contained in all publications are solely those of the individual author(s) and contributor(s) and not of MDPI and/or the editor(s). MDPI and/or the editor(s) disclaim responsibility for any injury to people or property resulting from any ideas, methods, instructions or products referred to in the content. |
© 2023 by the authors. Licensee MDPI, Basel, Switzerland. This article is an open access article distributed under the terms and conditions of the Creative Commons Attribution (CC BY) license (https://creativecommons.org/licenses/by/4.0/).
Share and Cite
Li, T.-T.; Xu, Q.; Liu, M.-C.; Wang, T.; Che, T.-L.; Teng, A.-Y.; Lv, C.-L.; Wang, G.-L.; Hong, F.; Liu, W.; et al. Prevalence and Etiological Characteristics of Norovirus Infection in China: A Systematic Review and Meta-Analysis. Viruses 2023, 15, 1336. https://doi.org/10.3390/v15061336
Li T-T, Xu Q, Liu M-C, Wang T, Che T-L, Teng A-Y, Lv C-L, Wang G-L, Hong F, Liu W, et al. Prevalence and Etiological Characteristics of Norovirus Infection in China: A Systematic Review and Meta-Analysis. Viruses. 2023; 15(6):1336. https://doi.org/10.3390/v15061336
Chicago/Turabian StyleLi, Ting-Ting, Qiang Xu, Mei-Chen Liu, Tao Wang, Tian-Le Che, Ai-Ying Teng, Chen-Long Lv, Guo-Lin Wang, Feng Hong, Wei Liu, and et al. 2023. "Prevalence and Etiological Characteristics of Norovirus Infection in China: A Systematic Review and Meta-Analysis" Viruses 15, no. 6: 1336. https://doi.org/10.3390/v15061336
APA StyleLi, T.-T., Xu, Q., Liu, M.-C., Wang, T., Che, T.-L., Teng, A.-Y., Lv, C.-L., Wang, G.-L., Hong, F., Liu, W., & Fang, L.-Q. (2023). Prevalence and Etiological Characteristics of Norovirus Infection in China: A Systematic Review and Meta-Analysis. Viruses, 15(6), 1336. https://doi.org/10.3390/v15061336

