Unique Profile of Proinflammatory Cytokines in Plasma of Drug-Naïve Individuals with Advanced HIV/TB Co-Infection
Abstract
1. Introduction
2. Materials and Methods
2.1. Study Population
2.2. Ethical Statement
2.3. Sputum Microscopy and Culture
2.4. Preparation of Plasma Samples
2.5. Cytokine Quantitation
2.6. Statistical Analysis
3. Results
3.1. Patients Characteristics
3.2. Plasma Levels of Proinflammatory Cytokines in Patients with HIV-1/TB Coinfection Compared to HIV-1 and TB Monoinfections
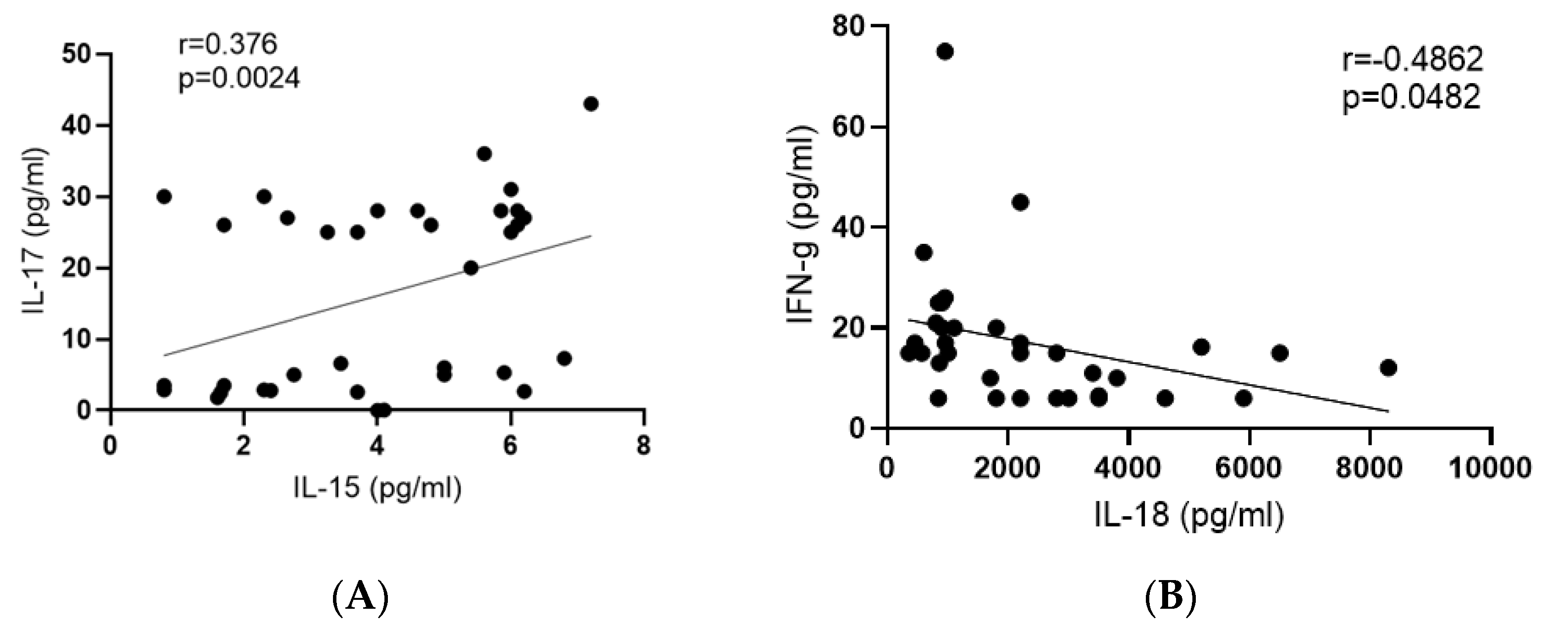
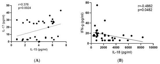
3.3. Correlation of Cytokine Expression with Various Factors and Patterns of Inflammatory Cytokine Secretion Characteristic of the Patient Groups
4. Discussion
5. Conclusions
Supplementary Materials
Author Contributions
Funding
Institutional Review Board Statement
Informed Consent Statement
Data Availability Statement
Conflicts of Interest
Abbreviations
| ART | Antiretroviral therapy |
| IFN-γ | Interferon-γ |
| IL-1β | Interleukin-1 β |
| IL1Ra | Interleukin-1 receptor antagonist |
| IL-8 | Interleukin-8 |
| IL-12 | Interleukin-12 |
| IL-15 | Interleukin-15 |
| IL-17 | Interleukin-17 |
| IL-18 | Interleukin-18 |
| TNF-α | Tumor necrosis factor-α |
| HIV/TB | Human immunodeficiency virus/tuberculosis |
| Mbt | Mycobacterium tuberculosis |
| TB | Tuberculosis |
| ELISA | Enzyme-linked immunosorbent assay |
References
- Charo, I.F.; Ransohoff, R.M. The many roles of chemokines and chemokine receptors in inflammation. N. Engl. J. Med. 2006, 354, 610–621. [Google Scholar] [CrossRef] [PubMed]
- Kany, S.; Vollrath, J.T.; Relja, B. Cytokines in Inflammatory Disease. Int. J. Mol. Sci. 2019, 20, 6008. [Google Scholar] [CrossRef] [PubMed]
- Gulati, K.; Guhathakurta, S.; Joshi, J.; Rai, N.; Ray, A. Cytokines and their Role in Health and Disease: A Brief Overview. MOJ Immunol. 2016, 4, 00121. [Google Scholar] [CrossRef]
- Turner, M.D.; Nedjai, B.; Hurst, T.; Pennington, D.J. Cytokines and chemokines: At the crossroads of cell signalling and inflammatory disease. Biochim. Biophys. Acta. 2014, 1843, 2563–2582. [Google Scholar] [CrossRef] [PubMed]
- Geginat, J.; Larghi, P.; Paroni, M.; Nizzoli, G.; Penatti, A.; Pagani, M.; Gagliani, N.; Meroni, P.; Abrignani, S.; Flavell, R.A. The light and the dark sides of Interleukin-10 in immune-mediated diseases and cancer. Cytokine Growth Factor Rev. 2016, 30, 87–93. [Google Scholar] [CrossRef] [PubMed]
- Agrati, C.; Carsetti, R.; Bordoni, V.; Sacchi, A.; Quintarelli, C.; Locatelli, F.; Ippolito, G.; Capobianchi, M.R. The immune response as a double-edged sword: The lesson learnt during the COVID-19 pandemic. Immunology 2022, 167, 287–302. [Google Scholar] [CrossRef]
- Chandrashekara, S.; Anupama, K.R.; Sambarey, A.; Chandra, N. High IL-6 and low IL-15 levels mark the presence of TB infection: A preliminary study. Cytokine 2016, 81, 57–62. [Google Scholar] [CrossRef]
- Catalfamo, M.; Le Saout, C.; Lane, H.C. The role of cytokines in the pathogenesis and treatment of HIV infection. Cytokine Growth Factor Rev. 2012, 23, 207–214. [Google Scholar] [CrossRef]
- Roberts, L.; Passmore, J.-A.; Williamson, C.; Little, F.; Bebell, L.; Mlisana, K.; Burgers, W.; van Loggerenberg, F.; Walzl, G.; Djoba Siawaya, J.; et al. Plasma cytokine levels during acute HIV-1 infection predict HIV disease progression. AIDS 2010, 24, 819–831. [Google Scholar] [CrossRef]
- Cooper, A.; Mayer-Barber, K.; Sher, A. Role of innate cytokines in mycobacterial infection. Mucosal Immunol. 2011, 4, 252–260. [Google Scholar] [CrossRef]
- Averbakh, M.M.; Ergeshow, A. Interaction between Mycobacterium tuberculosis and Human Host: Role of Cytokines in Pathogenesis and Treatment Monitoring. In Tuberculosis; InTech: Vienna, Austria, 2018; Available online: http://dx.doi.org/10.5772/intechopen.76543 (accessed on 20 November 2021).
- Pawlowski, A.; Jansson, M.; Skold, M.; Rottenberg, M.E.; Kallenius, G. Tuberculosis and HIV Co-Infection. PLoS Pathog. 2012, 8, e1002464. [Google Scholar] [CrossRef] [PubMed]
- Bell, L.C.K.; Noursadeghi, M. Pathogenesis of HIV-1 and Mycobacterium tuberculosis co-infection. Nat. Rev. Microbiol. 2018, 16, 80–90. [Google Scholar] [CrossRef] [PubMed]
- Devi, P.; Khan, A.; Chattopadhyay, P.; Mehta, P.; Sahni, S.; Sharma, S.; Pandey, R. Co-infections as Modulators of Disease Outcome: Minor Players or Major Players? Front. Microbiol. 2021, 12, 664386. [Google Scholar] [CrossRef] [PubMed]
- Shankar, E.M.; Vignesh, R.; Ellegård, R.; Barathan, M.; Chong, Y.K.; Bador, M.K.; Rukumani, D.V.; Sabet, N.S.; Kamarulzaman, A.; Velu, V.; et al. HIV-Mycobacterium tuberculosis co-infection: A ‘danger-couple model’ of disease pathogenesis. Pathog. Dis. 2014, 70, 110–118. [Google Scholar] [CrossRef]
- Lai, R.P.; Meintjes, G.; Wilkinson, R.J. HIV-1 tuberculosis-associated immune reconstitution inflammatory syndrome. Semin. Immunopathol. 2016, 38, 185–198. [Google Scholar] [CrossRef] [PubMed]
- van Woudenbergh, E.; Irvine, E.B.; Davies, L.; de Kock, M.; Hanekom, W.A.; Day, C.L.; Fortune, S.; Alter, G. HIV Is Associated with Modified Humoral Immune Responses in the Setting of HIV/TB Coinfection. mSphere 2020, 5, e00104-20. [Google Scholar] [CrossRef]
- Wong, E.B.; Akilimali, N.A.; Govender, P.; Sullivan, Z.A.; Cosgrove, C.; Pillay, M.; Lewinsohn, D.M.; Bishai, W.R.; Walker, B.D.; Ndung’u, T.; et al. Low levels of peripheral CD161++CD8+ mucosal associated invariant T (MAIT) cells are found in HIV and HIV/TB co-infection. PLoS ONE 2013, 8, e83474. [Google Scholar] [CrossRef]
- Phoswa, W.N.; Eche, S.; Khaliq, O.P. The Association of Tuberculosis Mono-infection and Tuberculosis-Human Immunodeficiency Virus (TB-HIV) Co-infection in the Pathogenesis of Hypertensive Disorders of Pregnancy. Curr. Hypertens. Rep. 2020, 22, 104. [Google Scholar] [CrossRef]
- Nosik, M.; Ryzhov, K.; Rymanova, I.; Sobkin, A.; Kravtchenko, A.; Kuimova, U.; Pokrovsky, V.; Zverev, V.; Svitich, O. Dynamics of Plasmatic Levels of Pro- and Anti-Inflammatory Cytokines in HIV-Infected Individuals with M. tuberculosis Co-Infection. Microorganisms 2021, 9, 2291. [Google Scholar] [CrossRef]
- Perrier, S.; Darakhshan, F.; Hajduch, E. IL-1 receptor antagonist in metabolic diseases: Dr Jekyll or Mr Hyde? FEBS Lett. 2006, 580, 6289–6294. [Google Scholar] [CrossRef]
- Paiardini, M.; Müller-Trutwin, M. HIV-associated chronic immune activation. Immunol. Rev. 2013, 254, 78–101. [Google Scholar] [CrossRef] [PubMed]
- Mohareer, K.; Asalla, S.; Banerjee, S. Cell death at the cross roads of host-pathogen interaction in Mycobacterium tuberculosis infection. Tuberculosis (Edinb) 2018, 113, 99–121. [Google Scholar] [CrossRef] [PubMed]
- Chandra, P.; Grigsby, S.J.; Philips, J.A. Immune evasion and provocation by Mycobacterium tuberculosis. Nat. Rev. Microbiol. 2022, 20, 750–766. [Google Scholar] [CrossRef] [PubMed]
- Muefong, C.N.; Sutherland, J.S. Neutrophils in Tuberculosis-Associated Inflammation and Lung Pathology. Front. Immunol. 2020, 11, 962. [Google Scholar] [CrossRef]
- McCaffrey, E.F.; Donato, M.; Keren, L.; Chen, Z.; Delmastro, A.; Fitzpatrick, M.B.; Gupta, S.; Greenwald, N.F.; Baranski, A.; Graf, W.; et al. The immunoregulatory landscape of human tuberculosis granulomas. Nat. Immunol. 2022, 23, 318–329. [Google Scholar] [CrossRef]
- Ahmad, F.; Rani, A.; Alam, A.; Zarin, S.; Pandey, S.; Singh, H.; Hasnain, S.E.; Ehtesham, N.Z. Macrophage: A Cell With Many Faces and Functions in Tuberculosis. Front. Immunol. 2022, 13, 747799. [Google Scholar] [CrossRef]
- Doitsh, G.; Galloway, N.L.; Geng, X.; Yang, Z.; Monroe, K.M.; Zepeda, O.; Hunt, P.W.; Hatano, H.; Sowinski, S.; Muñoz-Arias, I.; et al. Cell death by pyroptosis drives CD4 T-cell depletion in HIV-1 infection. Nature 2014, 505, 509–514. [Google Scholar] [CrossRef]
- Zayas, J.P.; Mamede, J.I. HIV Infection and Spread between Th17 Cells. Viruses 2022, 14, 404. [Google Scholar] [CrossRef]
- Février, M.; Dorgham, K.; Rebollo, A. CD4+ T Cell Depletion in Human Immunodeficiency Virus (HIV) Infection: Role of Apoptosis. Viruses 2011, 3, 586–612. [Google Scholar] [CrossRef]
- Juno, J.A.; Eriksson, E.M. γδ T-cell responses during HIV infection and antiretroviral therapy. Clin. Transl. Immunol. 2019, 8, e01069. [Google Scholar] [CrossRef]
- Li, H.; Peng, H.; Ma, P.; Ruan, Y.; Su, B.; Ding, X.; Xu, C.; Pauza, C.D.; Shao, Y. Association between Vgamma2Vdelta2 T cells and disease progression after infection with closely related strains of HIV in China. Clin. Infect. Dis. 2008, 46, 1466–1472. [Google Scholar] [CrossRef] [PubMed]
- Bruni, E.; Cimino, M.M.; Donadon, M.; Carriero, R.; Terzoli, S.; Piazza, R.; Ravens, S.; Prinz, I.; Cazzetta, V.; Marzano, P.; et al. Intrahepatic CD69+Vδ1 T cells re-circulate in the blood of patients with metastatic colorectal cancer and limit tumor progression. J. Immunother. Cancer 2022, 10, e004579. [Google Scholar] [CrossRef] [PubMed]
- Bhatnagar, N.; Girard, P.M.; Lopez-Gonzalez, M.; Didier, C.; Collias, L.; Jung, C.; Bollens, D.; Duvivier, C.; Von Platen, C.; Scott-Algara, D.; et al. Potential Role of Vδ2+ γδ T Cells in Regulation of Immune Activation in Primary HIV Infection. Front. Immunol. 2017, 8, 1189. [Google Scholar] [CrossRef]
- Hoenigl, M.; Kessler, H.H.; Gianella, S. Editorial: HIV-Associated Immune Activation and Persistent Inflammation. Front. Immunol. 2019, 10, 2858. [Google Scholar] [CrossRef]
- Ayatollahi Mousavi, S.A.; Asadikaram, G.; Nakhaee, N.; Izadi, A. Plasma Levels of IFN-γ, IL-4, IL-6 and IL-17 in HIV-Positive Patients with Oral Candidiasis. Jundishapur J. Microbiol. 2016, 9, e32021. [Google Scholar] [CrossRef]
- Lahey, T.; Sheth, S.; Matee, M.; Arbeit, R.; Horsburgh, C.R.; Mtei, L.; Mackenzie, T.; Bakari, M.; Vuola, J.M.; Pallangyo, K.; et al. Interferon responses to mycobacterial antigens protect against subsequent HIV-associated tuberculosis. J. Infect. Dis. 2010, 202, 1265–1272. [Google Scholar] [CrossRef] [PubMed]
- Vallinoto, A.C.; Graça, E.S.; Araújo, M.S.; Azevedo, V.N.; Cayres-Vallinoto, I.; Machado, L.F.; Ishak, M.O.; Ishak, R. IFNG +874T/A polymorphism and cytokine plasma levels are associated with susceptibility to Mycobacterium tuberculosis infection and clinical manifestation of tuberculosis. Hum. Immunol. 2010, 71, 692–696. [Google Scholar] [CrossRef]
- Ottenhoff, T.H.M.; Verreck, F.A.W.; Hoeve, M.A.; van de Vosse, E. Control of human host immunity to mycobacteria. Tuberculosis 2005, 85, 53–64. [Google Scholar] [CrossRef]
- Cavalcanti, Y.V.; Brelaz, M.C.; Neves, J.K.; Ferraz, J.C.; Pereira, V.R. Role of TNF-Alpha, IFN-Gamma, and IL-10 in the Development of Pulmonary Tuberculosis. Pulm. Med. 2012, 2012, 745483. [Google Scholar] [CrossRef]
- Creery, D.; Weiss, W.; Lim, W.T.; Aziz, Z.; Angel, J.B.; Kumar, A. Down-regulation of CXCR-4 and CCR-5 expression by interferon-gamma is associated with inhibition of chemotaxis and human immunodeficiency virus (HIV) replication but not HIV entry into human monocytes. Clin. Exp. Immunol. 2004, 137, 156–165. [Google Scholar] [CrossRef]
- Webster, J.D.; Vucic, D. The Balance of TNF Mediated Pathways Regulates Inflammatory Cell Death Signaling in Healthy and Diseased Tissues. Front. Cell Dev. Biol. 2020, 8, 365. [Google Scholar] [CrossRef] [PubMed]
- Olsen, A.; Chen, Y.; Ji, Q.; Zhu, G.; De Silva, A.D.; Vilchèze, C.; Weisbrod, T.; Li, W.; Xu, J.; Larsen, M.; et al. Targeting Mycobacterium tuberculosis Tumor Necrosis Factor Alpha-Downregulating Genes for the Development of Antituberculous Vaccines. mBio 2016, 7, e01023-15. [Google Scholar] [CrossRef] [PubMed]
- Basingnaa, A.; Antwi-Baffour, S.; Nkansah, D.O.; Afutu, E.; Owusu, E. Plasma Levels of Cytokines (IL-10, IFN-γ and TNF-α) in Multidrug Resistant Tuberculosis and Drug Responsive Tuberculosis Patients in Ghana. Diseases 2018, 23, 2. [Google Scholar] [CrossRef] [PubMed]
- Wong, K.; Nguyen, J.; Blair, L.; Banjanin, M.; Grewal, B.; Bowman, S.; Boyd, H.; Gerstner, G.; Cho, H.J.; Panfilov, D.; et al. Pathogenesis of Human Immunodeficiency Virus-Mycobacterium tuberculosis Co-Infection. J. Clin. Med. 2020, 9, 3575. [Google Scholar] [CrossRef] [PubMed]
- Domingo-Gonzalez, R.; Prince, O.; Cooper, A.; Khader, S.A. Cytokines and Chemokines in Mycobacterium tuberculosis Infection. Microbiol. Spectr. 2016, 4, 18. [Google Scholar] [CrossRef]
- Gupta, A.; Kaul, A.; Tsolaki, A.G.; Kishore, U.; Bhakta, S. Mycobacterium tuberculosis: Immune evasion, latency and reactivation. Immunobiology 2012, 217, 363–374. [Google Scholar] [CrossRef]
- Reuter, M.A.; Pombo, C.; Betts, M.R. Cytokine production and dysregulation in HIV pathogenesis: Lessons for development of therapeutics and vaccines. Cytokine Growth Factor Rev. 2012, 23, 181–191. [Google Scholar] [CrossRef]
- Lane, B.R.; Markovitz, D.M.; Woodford, N.L.; Rochford, R.; Strieter, R.M.; Coffey, M.J. TNF-α Inhibits HIV-1 Replication in Peripheral Blood Monocytes and Alveolar Macrophages by Inducing the Production of RANTES and Decreasing C-C Chemokine Receptor 5 (CCR5) Expression. J. Immunol. 1999, 163, 3653–3661. [Google Scholar] [CrossRef]
- Kaur, R.; Dhakad, M.S.; Goal, R.; Bhalla, P.; Dewan, R. Study of TH1/TH2 cytokine profiles in HIV/AIDS patients in a tertiary care hospital India. J. Med. Microbiol. Diagn. 2016, 5, 214–221. [Google Scholar] [CrossRef]
- Bordón, J.; Plankey, M.W.; Young, M.; Greenblatt, R.M.; Villacres, M.C.; French, A.L.; Zhang, J.; Brock, G.; Appana, S.; Herold, B.; et al. Lower levels of interleukin-12 precede the development of tuberculosis among HIV-infected women. Cytokine 2011, 56, 325–331. [Google Scholar] [CrossRef]
- De Castro Cunha, R.M.; Kallas, E.G.; Rodrigues, D.S.; Nascimento Burattini, M.; Salomao, R. Interferon-g and tumour necrosis factor-alpha production by CD4+T and CD8+T lymphocytes in AIDS patients with tuberculosis. Clin. Exp. Immunol. 2005, 140, 491–497. [Google Scholar] [CrossRef]
- Agarwal, S.K.; Singh, A.; Anuradha, S.; Singh, N.P.; Sokhi, J.; Baveja, U.K. Cytokine profile in human immunodeficiency virus positive patients with and without tuberculosis. J. Assoc. Physicians India 2001, 49, 799–802. Available online: https://pubmed.ncbi.nlm.nih.gov/11837467/ (accessed on 20 November 2021). [PubMed]
- Parasa, V.K.; Rajasekaran, S.; Raja, A. Natural Killer Cell–Mediated Cytokine Response Among HIV-Positive South Indians With Pulmonary Tuberculosis. J. Interferon Cytokine Res. 2009, 30, 33–42. [Google Scholar] [CrossRef]
- Park, J.Y.; Ligons, D.L.; Park, J.H. Out-sourcing for Trans-presentation: Assessing T Cell Intrinsic and Extrinsic IL-15 Expression with Il15 Gene Reporter Mice. Immune Netw. 2018, 18, e13. [Google Scholar] [CrossRef] [PubMed]
- Pandiyan, P.; Yang, X.P.; Saravanamuthu, S.S.; Zheng, L.; Ishihara, S.; O’Shea, J.J.; Lenardo, M.J. The role of IL-15 in activating STAT5 and fine-tuning IL-17A production in CD4 T lymphocytes. J. Immunol. 2012, 189, 4237–4246. [Google Scholar] [CrossRef] [PubMed]
- Laurent, C.; Deblois, G.; Clénet, M.-L.; Moratalla, A.C.; Farzam-kia, N.; Girard, M.; Duquette, P.; Prat, A.; Larochelle, C.; Arbour, N. Interleukin-15 enhances Pro-inflammatory T-cell responses in patients with MS and EAE. Neurol. Neuroimmunol. Neuroinflamm. 2021, 8, e931. [Google Scholar] [CrossRef] [PubMed]
- Ahmad, A.; Ahmad, R.; Iannello, A.; Toma, E.; Morisset, R.; Sindhu, S.T. IL-15 and HIV infection: Lessons for immunotherapy and vaccination. Curr. HIV Res. 2005, 3, 261–270. [Google Scholar] [CrossRef] [PubMed]
- Amicosante, M.; Poccia, F.; Gioia, C.; Montesano, C.; Topino, S.; Martini, F.; Narciso, P.; Pucillo, L.P.; D’Offizi, G. Levels of Interleukin-15 in Plasma May Predict a Favorable Outcome of Structured Treatment Interruption in Patients with Chronic Human Immunodeficiency Virus Infection. J. Infect. Dis. 2003, 188, 661–665. [Google Scholar] [CrossRef]
- Perera, P.Y.; Lichy, J.H.; Waldmann, T.A.; Perera, L.P. The role of interleukin-15 in inflammation and immune responses to infection: Implications for its therapeutic use. Microbes Infect. 2012, 14, 247–261. [Google Scholar] [CrossRef]
- Queiroz, A.T.L.; Araújo-Pereira, M.; Barreto-Duarte, B.; Gomes-Silva, A.; Costa, A.G.; Andrade, A.M.S.; Miguez-Pinto, J.P.; Spener-Gomes, R.; Souza, A.B.; Benjamin, A.; et al. Immunologic Biomarkers in Peripheral Blood of Persons with Tuberculosis and Advanced HIV. Front. Immunol. 2022, 13, 890003. [Google Scholar] [CrossRef]
- Xu, L.; Cui, G.; Jia, H.; Zhu, Y.; Ding, Y.; Chen, J.; Lu, C.; Ye, P.; Gao, H.; Li, L.; et al. Decreased IL-17 during treatment of sputum smear-positive pulmonary tuberculosis due to increased regulatory T cells and IL-10. J. Transl. Med. 2016, 14, 179. [Google Scholar] [CrossRef]
- Chen, X.; Zhang, M.; Liao, M.; Graner, M.W.; Wu, C.; Yang, Q.; Liu, H.; Zhou, B. Reduced Th17 response in patients with tuberculosis correlates with IL-6R expression on CD4+ T Cells. Am. J. Respir. Crit. Care Med. 2010, 181, 734–742. [Google Scholar] [CrossRef] [PubMed]
- Jurado, J.O.; Pasquinelli, V.; Alvarez, I.B.; Peña, D.; Rovetta, A.I.; Tateosian, N.L.; Romeo, H.E.; Musella, R.M.; Palmero, D.; Chuluyán, H.E.; et al. IL-17 and IFN-γ expression in lymphocytes from patients with active tuberculosis correlates with the severity of the disease. J. Leukoc. Biol. 2012, 91, 991–1002. [Google Scholar] [CrossRef] [PubMed]
- Kudryavtsev, I.V.; Serebryakova, M.K.; Starshinova, A.A.; Zinchenko, Y.S.; Basantsova, N.Y.; Belyaeva, E.N.; Pavlova, M.V.; Yablonskiy, P.K. Altered peripheral blood Th17 and follicular T-helper subsets in patients with pulmonary tuberculosis. Rus. J. Infect. Immunity = Infektsiya i Immunitet 2019, 9, 304–314. [Google Scholar] [CrossRef]
- Bixler, S.L.; Mattapalli, J.J. Loss and Dysregulation of Th17 Cells during HIV Infection. Clin. Dev. Immunol. 2013, 2013, 852418. [Google Scholar] [CrossRef]
- Wiche Salinas, T.R.; Zhang, Y.; Sarnello, D.; Zhyvoloup, A.; Marchand, L.R.; Fert, A.; Planas, D.; Lodha, M.; Chatterjee, D.; Karwacz, K.; et al. Th17 cell master transcription factor RORC2 regulates HIV-1 gene expression and viral outgrowth. Proc. Natl. Acad. Sci. USA 2021, 118, e2105927118. [Google Scholar] [CrossRef]
- Notarnicola, A.; Lapadula, G.; Natuzzi, D.; Lundberg, I.E.; Iannone, F. Correlation between serum levels of IL-15 and IL-17 in patients with idiopathic inflammatory myopathies. Scand. J. Rheumatol. 2015, 44, 224–228. [Google Scholar] [CrossRef]
- Ziolkowska, M.; Koc, A.; Luszczykiewicz, G.; Ksiezopolska-Pietrzak, K.; Klimczak, E.; Chwalinska-Sadowska, H.; Maslinski, W. High levels of IL-17 in rheumatoid arthritis patients: IL-15 triggers in vitro IL-17 production via cyclosporin A-sensitive mechanism. J. Immunol. 2000, 164, 2832–2838. [Google Scholar] [CrossRef]
- Virot, E.; Duclos, A.; Adelaide, L.; Miailhes, P.; Hot, A.; Ferry, T.; Seve, P. Autoimmune diseases and HIV infection: A cross-sectional study. Medicine 2017, 96, e5769. [Google Scholar] [CrossRef]
- Roszkiewicz, J.; Smolewska, E. Kaleidoscope of autoimmune diseases in HIV infection. Rheumatol. Int. 2016, 36, 1481–1491. [Google Scholar] [CrossRef]
- Zandman-Goddard, G.; Shoenfeld, Y. HIV and autoimmunity. Autoimmun. Rev. 2002, 1, 329–337. [Google Scholar] [CrossRef] [PubMed]
- Martín-Sánchez, F.; Diamond, C.; Zeitler, M.; Gomez, A.I.; Baroja-Mazo, A.; Bagnall, J.; Spiller, D.; White, M.; Daniels, M.J.; Mortellaro, A.; et al. Inflammasome-dependent IL-1β release depends upon membrane permeabilisation. Cell Death Differ. 2016, 23, 1219–1231. [Google Scholar] [CrossRef] [PubMed]
- Carvalho, N.B.; de Lourdes Bastos, M.; Souza, A.S.; Netto, E.M.; Arruda, S.; Santos, S.B.; Carvalho, E.M. Impaired TNF, IL-1β, and IL-17 production and increased susceptibility to Mycobacterium tuberculosis infection in HTLV-1 infected individuals. Tuberculosis (Edinb) 2018, 108, 35–40. [Google Scholar] [CrossRef] [PubMed]
- Tarasova, L.G.; Streltsova, E.N.; Popova, N.A. Pathogenetic role of TNF-α, IL-1β, IL-10 and autoantibodies to collagen types I and III in pulmonary tuberculosis. Tuber. Lung Dis. 2015, 5, 177–178. [Google Scholar]
- Foti, M. Chapter 1. Introduction to Cytokines as Tissue Regulators in Health and Disease; Foti, M., Locati, M., Eds.; Cytokine Effector Functions in Tissues; Academic Press: Cambridge, MA, USA, 2017; pp. 3–30. ISBN 9780128042144. [Google Scholar] [CrossRef]
- Feria, M.G.; Taborda, N.A.; Hernandez, J.C.; Rugeles, M.T. HIV replication is associated to inflammasomes activation, IL-1β, IL-18 and caspase-1 expression in GALT and peripheral blood. PLoS ONE 2018, 13, e0192845. [Google Scholar] [CrossRef]
- Guo, H.; Gao, J.; Taxman, D.J.; Ting, J.P.; Su, L. HIV-1 infection induces interleukin-1β production via TLR8 protein-dependent and NLRP3 inflammasome mechanisms in human monocytes. J. Biol. Chem. 2014, 289, 21716–21726. [Google Scholar] [CrossRef]
- Friedland, J.S.; Hartley, J.C.; Hartley, C.G.C.; Shattock, R.J.; Griffin, G.E. Inhibition of ex vivo Pro-inflammatory cytokine secretion in fatal Mycobacterium tuberculosis infection. Clin. Exp. Immunol. 1995, 100, 233–238. [Google Scholar] [CrossRef]
- Taylor, G.H.; Williams, A.A.; Garzino-Demo, A. Highly active antiretroviral therapy reduces pulmonary IL-8 in HIV-positive women smokers. Pathog. Dis. 2016, 74, ftv115. [Google Scholar] [CrossRef]
- Mahieux, R.; Lambert, P.F.; Agbottah, E.; Halanski, M.A.; Deng, L.; Kashanchi, F.; Brady, J.N. Cell cycle regulation of human interleukin-8 gene expression by the human immunodeficiency virus type 1 Tat protein. J. Virol. 2001, 75, 1736–1743. [Google Scholar] [CrossRef]
- Qazi, B.S.; Tang, K.; Qazi, A. Recent Advances in Underlying Pathologies Provide Insight into Interleukin-8 Expression-Mediated Inflammation and Angiogenesis. Int. J. Inflam. 2011, 2011, 13. [Google Scholar] [CrossRef]
- Cesta, M.C.; Zippoli, M.; Marsiglia, C.; Gavioli, E.M.; Mantelli, F.; Allegretti, M.; Balk, R.A. The Role of Interleukin-8 in Lung Inflammation and Injury: Implications for the Management of COVID-19 and Hyperinflammatory Acute Respiratory Distress Syndrome. Front. Pharmacol. 2022, 12, 808797. [Google Scholar] [CrossRef] [PubMed]
- Subramanyam, S.; Hanna, L.E.; Venkatesan, P.; Sankaran, K.; Narayanan, P.R.; Swaminathan, S. HIV alters plasma and M. tuberculosis-induced cytokine production in patients with tuberculosis. J. Interferon Cytokine Res. 2004, 24, 101–106. [Google Scholar] [CrossRef]
- Tudela, E.V.; Singh, M.K.; Lagman, M.; Ly, J.; Patel, N.; Ochoa, C.; Venketaraman, V. Cytokine Levels in Plasma Samples of Individuals with HIV Infection. Austin J. Clin. Immunol. 2014, 1, 1003. [Google Scholar]
- Sasindran, S.J.; Torrelles, J.B. Mycobacterium Tuberculosis Infection and Inflammation: What is Beneficial for the Host and for the Bacterium? Front. Microbiol. 2011, 2, 2. [Google Scholar] [CrossRef] [PubMed]
- Urazova, O.A. Molecular-genetic factors of a pulmonary tuberculosis. Bull. Sib. Med. 2010, 5, 1–13. [Google Scholar] [CrossRef]
- Rockstroh, J.K.; Kreuzer, K.A.; Sauerbruch, T.; Spengler, U. Protein levels of interleukin-12 p70 holomer, its p40 chain and interferon-gamma during advancing HIV infection. J. Infect. 1998, 37, 282–286. [Google Scholar] [CrossRef] [PubMed]
- Vanham, G.; Penne, L.; Devalck, J.; Kestens, L.; Colebunders, R.; Bosmans, E.; Thielemans, K.; Ceuppens, J.L. Decreased CD40 ligand induction in CD4 T cells and dysregulated IL-12 production during HIV infection. Clin. Exp. Immunol. 1999, 117, 335–342. [Google Scholar] [CrossRef]
- Byrnes, A.A.; Harris, D.M.; Atabani, S.F.; Sabundayo, B.P.; Langan, S.J.; Margolick, J.B.; Karp, C.L. Immune activation and IL-12 production during acute/early HIV infection in the absence and presence of highly active, antiretroviral therapy. J. Leukoc. Biol. 2008, 84, 1447–1453. [Google Scholar] [CrossRef]
- Takenaka, H.; Maruo, S.; Yamamoto, N.; Wysocka, M.; Ono, S.; Kobayashi, M.; Yagita, H.; Okumura, K.; Hamaoka, T.; Trinchieri, G.; et al. Regulation of T cell-dependent and -independent IL-12 production by the three Th2-type cytokines IL-10, IL-6, and IL-4. J. Leukoc. Biol. 1997, 61, 80–87. [Google Scholar] [CrossRef] [PubMed]
- Romani, L.; Puccetti, P.; Bistoni, F. Interleukin-12 in infectious diseases. Clin. Microbiol. Rev. 1997, 10, 611–636. [Google Scholar] [CrossRef]
- Gerber, A.N.; Abdi, K.; Singh, N.J. The subunits of IL-12, originating from two distinct cells, can functionally synergize to protect against pathogen dissemination in vivo. Cell Rep. 2021, 37, 109816. [Google Scholar] [CrossRef] [PubMed]
- Samarani, S.; Allam, O.; Sagala, P.; Aldabah, Z.; Jenabian, M.A.; Mehraj, V.; Tremblay, C.; Routy, J.P.; Amre, D.; Ahmad, A. Imbalanced production of IL-18 and its antagonist in human diseases, and its implications for HIV-1 infection. Cytokine 2016, 82, 38–51. [Google Scholar] [CrossRef] [PubMed]
- Schneider, B.E.; Korbel, D.; Hagens, K.; Koch, M.; Raupach, B.; Enders, J.; Kaufmann, S.H.; Mittrücker, H.W.; Schaible, U.E. A role for IL-18 in protective immunity against Mycobacterium tuberculosis. Eur. J. Immunol. 2010, 40, 396–405. [Google Scholar] [CrossRef] [PubMed]
- Nakanishi, K.; Yoshimoto, T.; Tsutsui, H.; Okamura, H. Interleukin-18 regulates both Th1 and Th2 responses. Ann. Rev. Immunol. 2001, 19, 423–474. [Google Scholar] [CrossRef]
- Iannello, A.; Samarani, S.; Debbeche, O.; Boulassel, M.R.; Tremblay, C.; Toma, E.; Routy, J.P.; Ahmad, A. Potential role of IL-18 in the immunopathogenesis of AIDS, HIV-associated lipodystrophy and related clinical conditions. Curr. HIV Res. 2010, 8, 147–164. [Google Scholar] [CrossRef] [PubMed]
- Torre, D.; Pugliese, A. Interleukin-18: A Pro-inflammatory cytokine in HIV-1 infection. Curr. HIV Res. 2006, 4, 423–430. [Google Scholar] [CrossRef] [PubMed]
- Ahmad, R.; Sindhu, S.T.; Toma, E.; Morisset, R.; Ahmad, A. Elevated levels of circulating interleukin-18 in human immunodeficiency virus-infected individuals: Role of peripheral blood mononuclear cells and implications for AIDS pathogenesis. J. Virol. 2002, 76, 12448–12456. [Google Scholar] [CrossRef]
- Biet, F.; Locht, C.; Kremer, L. Immunoregulatory functions of interleukin 18 and its role in defense against bacterial pathogens. J. Mol. Med. 2002, 80, 147–162. [Google Scholar] [CrossRef]
- Allam, O.; Samarani, S.; Mehraj, V.; Jenabian, M.A.; Tremblay, C.; Routy, J.P.; Amre, D.; Ahmad, A. HIV induces production of IL-18 from intestinal epithelial cells that increases intestinal permeability and microbial translocation. PLoS ONE 2018, 13, e0194185. [Google Scholar] [CrossRef]







| Characteristics | HIV/TB (n = 36) | HIV (n = 36) | TB (n = 35) | Healthy Donors (n = 36) |
|---|---|---|---|---|
| Gender, (n/%): | ||||
| Male | 23 (63.9) | 24 (66.7) | 25 (71.4) | 27 (75) |
| Female | 13 (36.1) | 12 (33.3) | 10 (28.6) | 9 (25) |
| Age (years), IQR | ||||
| Male | 36.0 (27–51) | 35.8 (26–52) | 36.9 (28–65) | 34.9 (22–42) |
| Female | 34.8 (26–52) | 35.8 (21–50) | 34.5 (26–72) | 34.2 (22–38) |
| TB forms, (n/%): | ||||
| Disseminated, Generalized | 17 (47.2) | 7 (20) | ||
| Infiltrative | 9 (25) | 27 (77.1) | ||
| TB of intrathoracic lymph nodes | 10 (27.8) | - | 1 (2.9) | - |
| CD4+ count (%/cells/mm3), IQR: | 292 | 314 | ||
| <200 | 63.9%/52 (1–187) | 19.4%/99 (17–198) | ||
| <350 | 16.7%/274 (221–341) | 66.7%/292 (248–342) | ||
| >350 | 19.4%/549 (386–740) | 13.8%/552 (420–745) | 499 (368–570) | 984 (800–1350) |
| Viral load (log10 copies/mL), IQR | 5.85 (2.72–6.78) | 5.67 (1.9–6.6) | - | - |
| Cytokine, pg/mL | Healthy Donors (n = 36) | HIV/TB (n = 36) | HIV (n = 36) | TB (n = 35) |
|---|---|---|---|---|
| IFN-γ | 2.8 ± 1.1 a | 17.2 ± 13.1 b,c | 32.1 ± 13.2 d | 47.9 ± 14 |
| TNF-α | 2.3 ± 1.5 a | 11.95 ± 7.6 b,c | 25 ± 16.5 | 27.9 ±22.3 |
| IL-1β | 3.5 ±1.2 a | 7.6 ± 5.6 b,c | 25.9 ± 14 d | 12.4 ± 6.9 |
| IL-8 | 5.5 ± 2.3 a | 44.1 ± 31.9 b,c | 20.4 ±15.6 | 21.4 ± 12.3 |
| IL-12 | 8.06 ± 1.2 a | 29.7 ± 16.5 b,c | 13.2 ± 4.6 d | 9.4 ± 2.2 |
| IL-15 | 1.5 ± 0.4 a | 4.1 ± 1.9 b,c | 10.8 ±8.9 | 13.9 ± 2.9 |
| IL-17 | 2.6 ± 0.7 a | 16.3 ± 12.5 b,c | 69.8 ± 55.4 d | 129.6 ± 65.01 |
| IL-18 | 141.9 ± 43.9 a | 3086.7 ± 1901.7 b,c | 639.8 ± 278.09 | 694.6 ± 361.2 |
| n = 107 | b* | Standard Error of b* | b | Standard Error of b | T(99) | p-Value |
|---|---|---|---|---|---|---|
| Intercept | 101.4531 | 0.177180 | 572.5980 | 0.000000 | ||
| IFN-g | 0.256601 | 0.064765 | 0.0115 | 0.002898 | 3.9620 | 0.000140 |
| IL-12 | −0.246967 | 0.060972 | −0.0152 | 0.003745 | −4.0505 | 0.000102 |
| IL-17 | 0.278482 | 0.060229 | 0.0031 | 0.000678 | 4.6237 | 0.000011 |
| IL-15 | 0.243979 | 0.059068 | 0.0289 | 0.006994 | 4.1304 | 0.000076 |
| IL-18 | −0.145598 | 0.058582 | −0.0001 | 0.000035 | −2.4854 | 0.014618 |
| TNF-a | 0.101528 | 0.053948 | 0.0047 | 0.002474 | 1.8820 | 0.062777 |
| IL-1beta | −0.060877 | 0.055109 | −0.0039 | 0.003555 | −1.1047 | 0.271976 |
| n = 107 | B* | Standard Error of b* | b | Standard Error of b | T(99) | p-Value |
|---|---|---|---|---|---|---|
| Intercept | 102.1979 | 0.215129 | 475.0531 | 0.000000 | ||
| IL-17 | 0.412481 | 0.056526 | 0.0066 | 0.000908 | 7.2971 | 0.000000 |
| IL-15 | 0.218270 | 0.055102 | 0.0369 | 0.009313 | 3.9612 | 0.000140 |
| IL-12 | −0.219363 | 0.056528 | −0.0192 | 0.004956 | −3.8806 | 0.000187 |
| IL-18 | −0.191104 | 0.053887 | −0.0002 | 0.000046 | −3.5464 | 0.000596 |
| IFN-g | 0.158347 | 0.060543 | 0.0101 | 0.003868 | 2.6154 | 0.010291 |
| TNF-a | 0.053577 | 0.050432 | 0.0035 | 0.003302 | 1.0624 | 0.290629 |
Disclaimer/Publisher’s Note: The statements, opinions and data contained in all publications are solely those of the individual author(s) and contributor(s) and not of MDPI and/or the editor(s). MDPI and/or the editor(s) disclaim responsibility for any injury to people or property resulting from any ideas, methods, instructions or products referred to in the content. |
© 2023 by the authors. Licensee MDPI, Basel, Switzerland. This article is an open access article distributed under the terms and conditions of the Creative Commons Attribution (CC BY) license (https://creativecommons.org/licenses/by/4.0/).
Share and Cite
Nosik, M.; Belikova, M.G.; Ryzhov, K.; Avdoshina, D.; Sobkin, A.; Zverev, V.; Svitich, O. Unique Profile of Proinflammatory Cytokines in Plasma of Drug-Naïve Individuals with Advanced HIV/TB Co-Infection. Viruses 2023, 15, 1330. https://doi.org/10.3390/v15061330
Nosik M, Belikova MG, Ryzhov K, Avdoshina D, Sobkin A, Zverev V, Svitich O. Unique Profile of Proinflammatory Cytokines in Plasma of Drug-Naïve Individuals with Advanced HIV/TB Co-Infection. Viruses. 2023; 15(6):1330. https://doi.org/10.3390/v15061330
Chicago/Turabian StyleNosik, Marina, Maria G. Belikova, Konstantin Ryzhov, Darya Avdoshina, Alexandr Sobkin, Vitaly Zverev, and Oxana Svitich. 2023. "Unique Profile of Proinflammatory Cytokines in Plasma of Drug-Naïve Individuals with Advanced HIV/TB Co-Infection" Viruses 15, no. 6: 1330. https://doi.org/10.3390/v15061330
APA StyleNosik, M., Belikova, M. G., Ryzhov, K., Avdoshina, D., Sobkin, A., Zverev, V., & Svitich, O. (2023). Unique Profile of Proinflammatory Cytokines in Plasma of Drug-Naïve Individuals with Advanced HIV/TB Co-Infection. Viruses, 15(6), 1330. https://doi.org/10.3390/v15061330

