Association between Temperature and Influenza Activity across Different Regions of China during 2010–2017
Abstract
1. Introduction
2. Methods
2.1. Sources of Influenza Data
2.2. Sources of Climate and Population Data
2.3. Statistical Analysis
3. Results
3.1. Results of Descriptive Analysis
3.2. Analysis of Correlation
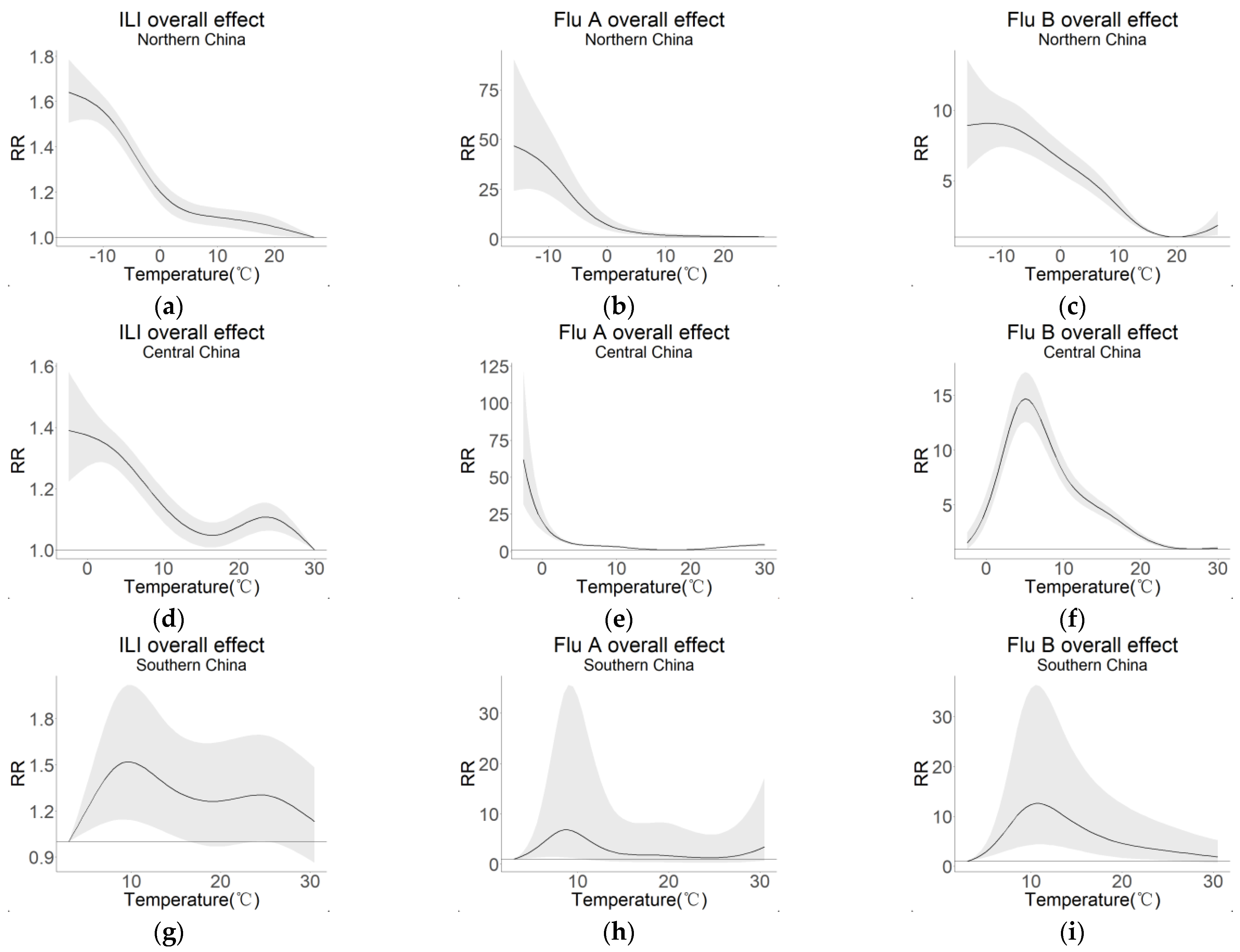
3.3. Overall Effect of Temperature on ILI/Flu A/Flu B
3.4. Relationship between Lag Time and Influenza Risk at Different Temperatures
4. Discussion
4.1. Epidemiological Characteristics of Influenza
4.2. The Overall Effect of Temperature on Influenza
4.2.1. Mechanisms of Low and High Temperatures Affecting the Onset of Influenza
4.2.2. Differences between Flu A and Flu B
4.3. Relationship between Lag Time and the Risk of Influenza
4.4. Limitations
5. Conclusions
Supplementary Materials
Author Contributions
Funding
Institutional Review Board Statement
Informed Consent Statement
Data Availability Statement
Conflicts of Interest
References
- World Health Organization. Influenza. Fact Sheet No. 211. 2023. Available online: https://www.who.int/news-room/fact-sheets/detail/influenza-(seasonal) (accessed on 17 January 2023).
- Wang, Q.; Yang, L.; Liu, C.; Jin, H.; Lin, L. Estimated Incidence of Seasonal Influenza in China From 2010 to 2020 Using a Multiplier Model. JAMA Netw. Open 2022, 5, e227423. [Google Scholar] [CrossRef] [PubMed]
- Shimmei, K.; Nakamura, T.; Ng, C.F.S.; Hashizume, M.; Murakami, Y.; Maruyama, A.; Misaki, T.; Okabe, N.; Nishiwaki, Y. Association Between Seasonal Influenza and Absolute Humidity: Time-Series Analysis with Daily Surveillance Data in Japan. Sci. Rep. 2020, 10, 7764. [Google Scholar] [CrossRef] [PubMed]
- Zhang, R.; Peng, Z.; Meng, Y.; Song, H.; Wang, S.; Bi, P.; Li, D.; Zhao, X.; Yao, X.; Li, Y. Temperature and influenza transmission: Risk assessment and attributable burden estimation among 30 cities in China. Environ. Res. 2022, 215, 114343. [Google Scholar] [CrossRef] [PubMed]
- Huang, X.; Mengersen, K.; Milinovich, G.; Hu, W. Effect of Weather Variability on Seasonal Influenza Among Different Age Groups in Queensland, Australia: A Bayesian Spatiotemporal Analysis. J. Infect. Dis. 2017, 215, 1695–1701. [Google Scholar] [CrossRef]
- Chan, P.K.; Mok, H.Y.; Lee, T.C.; Chu, I.M.; Lam, W.Y.; Sung, J.J. Seasonal influenza activity in Hong Kong and its association with meteorological variations. J. Med. Virol. 2009, 81, 1797–1806. [Google Scholar] [CrossRef]
- Lowen, A.C.M.S.; Steel, J.; Palese, P. Influenza Virus Transmission Is Dependent on Relative Humidity and Temperature. PLoS Pathog. 2007, 3, 1470–1476. [Google Scholar] [CrossRef]
- Xu, D.-L.; Hu, X.-K.; Tian, Y.-F. Effect of temperature and food restriction on immune function in striped hamsters (Cricetulus barabensis). J. Exp. Biol. 2017, 220, 2187–2195. [Google Scholar] [CrossRef]
- Polozov, I.V.; Bezrukov, L.; Gawrisch, K.; Zimmerberg, J. Progressive ordering with decreasing temperature of the phospholipids of influenza virus. Nat. Chem. Biol. 2008, 4, 248–255. [Google Scholar] [CrossRef]
- Yang, W.; Lau, E.H.Y.; Cowling, B.J. Dynamic interactions of influenza viruses in Hong Kong during 1998–2018. PLOS Comput. Biol. 2020, 16, e1007989. [Google Scholar] [CrossRef]
- Lei, H.; Yang, L.; Wang, G.; Zhang, C.; Xin, Y.; Sun, Q.; Zhang, B.; Chen, T.; Yang, J.; Huang, W.; et al. Transmission Patterns of Seasonal Influenza in China between 2010 and 2018. Viruses 2022, 14, 2063. [Google Scholar] [CrossRef]
- Yu, H.; Alonso, W.; Feng, L.; Tan, Y.; Shu, Y.; Yang, W.; Viboud, C. Characterization of Regional Influenza Seasonality Patterns in China and Implications for Vaccination Strategies: Spatio-Temporal Modeling of Surveillance Data. PLoS Med. 2013, 10, e1001552. [Google Scholar] [CrossRef]
- Soebiyanto, R.P.; Gross, D.; Jorgensen, P.; Buda, S.; Bromberg, M.; Kaufman, Z.; Prosenc, K.; Socan, M.; Alonso, T.V.; Widdowson, M.-A.; et al. Associations between Meteorological Parameters and Influenza Activity in Berlin (Germany), Ljubljana (Slovenia), Castile and León (Spain) and Israeli Districts. PLoS ONE 2015, 10, e0134701. [Google Scholar] [CrossRef] [PubMed]
- Thomas, R.E. Is influenza-like illness a useful concept and an appropriate test of influenza vaccine effectiveness? Vaccine 2014, 32, 2143–2149. [Google Scholar] [CrossRef]
- China National Influenza Center Weekly Influenza Report. Available online: https://ivdc.chinacdc.cn/cnic/zyzx/lgzb/ (accessed on 17 January 2023).
- Centers for Disease Control and Prevention. Influenza-Like Illness (ILI) Management. Available online: https://www.cdc.gov/quarantine/air/management/guidance-cruise-ships-influenza-updated.html (accessed on 17 January 2023).
- Lei, H.; Xu, M.; Wang, X.; Xie, Y.; Du, X.; Chen, T.; Yang, L.; Wang, D.; Shu, Y. Nonpharmaceutical Interventions Used to Control COVID-19 Reduced Seasonal Influenza Transmission in China. J. Infect. Dis. 2020, 222, 1780–1783. [Google Scholar] [CrossRef] [PubMed]
- Shaman, J.; Karspeck, A.; Yang, W.; Tamerius, J.; Lipsitch, M. Real-time influenza forecasts during the 2012–2013 season. Nat. Commun. 2013, 4, 2837. [Google Scholar] [CrossRef] [PubMed]
- Ali, S.T.; Cowling, B.J.; Lau, E.H.Y.; Fang, V.J.; Leung, G.M. Mitigation of Influenza B Epidemic with School Closures, Hong Kong, 2018. Emerg. Infect. Dis. 2018, 24, 2071–2073. [Google Scholar] [CrossRef]
- Zhang, B.; Chen, T.; Liang, S.; Shen, W.; Sun, Q.; Wang, D.; Wang, G.; Yang, J.; Yang, L.; Wang, D.; et al. Subtypes specified environmental dependence of seasonal influenza virus. Sci. Total. Environ. 2022, 852, 158525. [Google Scholar] [CrossRef]
- Gasparrini, A.; Armstrong, B.; Kenward, M.G. Distributed lag non-linear models. Stat. Med. 2010, 29, 2224–2234. [Google Scholar] [CrossRef]
- Eccles, R. An Explanation for the Seasonality of Acute Upper Respiratory Tract Viral Infections. Acta Otolaryngol. 2002, 122, 183–191. [Google Scholar] [CrossRef]
- Dai, Q.; Ma, W.; Huang, H.; Xu, K.; Qi, X.; Yu, H.; Deng, F.; Bao, C.; Huo, X. The effect of ambient temperature on the activity of influenza and influenza like illness in Jiangsu Province, China. Sci. Total. Environ. 2018, 645, 684–691. [Google Scholar] [CrossRef]
- Wang, P.; Goggins, W.B.; Chan, E.Y. Associations of Salmonella hospitalizations with ambient temperature, humidity and rainfall in Hong Kong. Environ. Int. 2018, 120, 223–230. [Google Scholar] [CrossRef]
- Zou, J.; Yang, H.; Cui, H.; Shu, Y.; Xu, P.; Xu, C.; Chen, T. Geographic Divisions and Modeling of Virological Data on Seasonal Influenza in the Chinese Mainland during the 2006–2009 Monitoring Years. PLoS ONE 2013, 8, e58434. [Google Scholar] [CrossRef] [PubMed]
- Bedford, T.; Riley, S.; Barr, I.G.; Broor, S.; Chadha, M.; Cox, N.J.; Daniels, R.S.; Gunasekaran, C.P.; Hurt, A.C.; Kelso, A.; et al. Global circulation patterns of seasonal influenza viruses vary with antigenic drift. Nature 2015, 523, 217–220. [Google Scholar] [CrossRef] [PubMed]
- Yang, J.; Lau, Y.C.; Wu, P.; Feng, L.; Wang, X.; Chen, T.; Ali, S.T.; Peng, Z.; Fang, V.J.; Zhang, J.; et al. Variation in Influenza B Virus Epidemiology by Lineage, China. Emerg. Infect. Dis. 2018, 24, 1536–1540. [Google Scholar] [CrossRef] [PubMed]
- Ye, C.; Zhu, W.; Yu, J.; Li, Z.; Zhang, Y.; Wang, Y.; Gu, H.; Zou, W.; Hao, L.; Hu, W. Understanding the complex seasonality of seasonal influenza A and B virus transmission: Evidence from six years of surveillance data in Shanghai, China. Int. J. Infect. Dis. 2019, 81, 57–65. [Google Scholar] [CrossRef] [PubMed]
- Chandra, S.; Kassens-Noor, E.; Kuljanin, G.; Vertalka, J. A geographic analysis of population density thresholds in the influenza pandemic of 1918–19. Int. J. Health Geogr. 2013, 12, 9. [Google Scholar] [CrossRef]
- Dalziel, B.D.; Kissler, S.; Gog, J.R.; Viboud, C.; Bjørnstad, O.N.; Metcalf, C.J.E.; Grenfell, B.T. Urbanization and humidity shape the intensity of influenza epidemics in U.S. cities. Science 2018, 362, 75–79. [Google Scholar] [CrossRef]
- Yang, W.; Cummings, M.J.; Bakamutumaho, B.; Kayiwa, J.; Owor, N.; Namagambo, B.; Byaruhanga, T.; Lutwama, J.J.; O’Donnell, M.R.; Shaman, J. Dynamics of influenza in tropical Africa: Temperature, humidity, and co-circulating (sub)types. Influ. Other Respir. Viruses 2018, 12, 446–456. [Google Scholar] [CrossRef]
- Jaakkola, K.; Saukkoriipi, A.; Jokelainen, J.; Juvonen, R.; Kauppila, J.; Vainio, O.; Ziegler, T.T.; Rönkkö, E.; Jaakkola, J.J.K.; Ikäheimo, T.M.; et al. Decline in temperature and humidity increases the occurrence of influenza in cold climate. Environ. Health Perspect 2014, 13, 22. [Google Scholar] [CrossRef]
- Ma, P.; Tang, X.; Zhang, L.; Wang, X.; Wang, W.; Zhang, X.; Wang, S.; Zhou, N. Influenza A and B outbreaks differed in their associations with climate conditions in Shenzhen, China. Int. J. Biometeorol. 2021, 66, 163–173. [Google Scholar] [CrossRef]
- Sooryanarain, H.; Elankumaran, S. Environmental Role in Influenza Virus Outbreaks. Annu. Rev. Anim. Biosci. 2015, 3, 347–373. [Google Scholar] [CrossRef] [PubMed]
- Pan, M.; Yang, H.P.; Jian, J.; Kuang, Y.; Xu, J.N.; Li, T.S.; Zhou, X.; Wu, W.L.; Zhao, Z.; Wang, C.; et al. Association of meteorological factors with seasonal activity of influenza A subtypes and B lineages in subtropical western China. Epidemiology Infect. 2019, 147, e72. [Google Scholar] [CrossRef] [PubMed]
- Lowen, A.C.; Steel, J. Roles of Humidity and Temperature in Shaping Influenza Seasonality. J. Virol. 2014, 88, 7692–7695. [Google Scholar] [CrossRef] [PubMed]
- E Graham, S.; McCurdy, T. Developing meaningful cohorts for human exposure models. J. Expo. Sci. Environ. Epidemiol. 2004, 14, 23–43. [Google Scholar] [CrossRef] [PubMed]
- Liao, C.-M.; Chang, C.-F.; Liang, H.-M. A Probabilistic Transmission Dynamic Model to Assess Indoor Airborne Infection Risks. Risk Anal. 2005, 25, 1097–1107. [Google Scholar] [CrossRef]
- Tamerius, J.; Nelson, M.I.; Zhou, S.Z.; Viboud, C.; Miller, M.A.; Alonso, W.J. Global Influenza Seasonality: Reconciling Patterns across Temperate and Tropical Regions. Environ. Health Perspect. 2011, 119, 439–445. [Google Scholar] [CrossRef]
- Chong, K.C.; Goggins, W.; Zee, B.C.-Y.; Wang, M.H. Identifying Meteorological Drivers for the Seasonal Variations of Influenza Infections in a Subtropical City—Hong Kong. Int. J. Environ. Res. Public Health 2015, 12, 1560–1576. [Google Scholar] [CrossRef] [PubMed]
- Lofgren, E.; Fefferman, N.H.; Naumov, Y.N.; Gorski, J.; Naumova, E.N. Influenza Seasonality: Underlying Causes and Modeling Theories. J. Virol. 2007, 81, 5429–5436. [Google Scholar] [CrossRef]
- Tamerius, J.D.; Shaman, J.; Alonso, W.; Bloom-Feshbach, K.; Uejio, C.K.; Comrie, A.; Viboud, C. Environmental Predictors of Seasonal Influenza Epidemics across Temperate and Tropical Climates. PLoS Pathog. 2013, 9, e1003194. [Google Scholar] [CrossRef]
- Grigorieva, E.; Lukyanets, A. Combined Effect of Hot Weather and Outdoor Air Pollution on Respiratory Health: Literature Review. Atmosphere 2021, 12, 790. [Google Scholar] [CrossRef]
- Moriyama, M.; Ichinohe, T. High ambient temperature dampens adaptive immune responses to influenza A virus infection. Proc. Natl. Acad. Sci. USA 2019, 116, 3118–3125. [Google Scholar] [CrossRef] [PubMed]
- Woese, C. Thermal inactivation of animal viruses. Ann. N. Y. Acad. Sci. 1960, 83, 741–751. [Google Scholar] [CrossRef]
- Marr, L.C.; Tang, J.W.; Van Mullekom, J.; Lakdawala, S.S. Mechanistic insights into the effect of humidity on airborne influenza virus survival, transmission and incidence. J. R. Soc. Interface 2019, 16, 20180298. [Google Scholar] [CrossRef] [PubMed]
- Zhang, Y.; Feng, C.; Ma, C.; Yang, P.; Tang, S.; Lau, A.; Sun, W.; Wang, Q. The impact of temperature and humidity measures on influenza A (H7N9) outbreaks—Evidence from China. Int. J. Infect. Dis. 2014, 30, 122–124. [Google Scholar] [CrossRef]
- Liu, J.; Chen, E.; Zhang, Q.; Shi, P.; Gao, Y.; Chen, Y.; Liu, W.; Qin, Y.; Shen, Y.; Shi, C. The correlation between atmospheric visibility and influenza in Wuxi city, China. Medicine 2020, 99, e21469. [Google Scholar] [CrossRef]
- Toczylowski, K.; Wietlicka-Piszcz, M.; Grabowska, M.; Sulik, A. Cumulative Effects of Particulate Matter Pollution and Meteorological Variables on the Risk of Influenza-Like Illness. Viruses 2021, 13, 556. [Google Scholar] [CrossRef] [PubMed]





| Mean Temperature a (°C) | Mean Relative Humidity a (%) | Mean Wind Speed a (m/s) | Mean Atmosphere Pressure a (hPa) | Incidence Rate of Flu A | Incidence Rate of Flu B | ILI Rate | ||
|---|---|---|---|---|---|---|---|---|
| Northern China | Mean ± sd | 9.08 ± 11.35 | 58.91 ± 10.27 | 2.30 ± 0.46 | 929.54 ± 6.64 | 19.96 ± 28.16 | 10.86 ± 22.22 | 286.00 ± 54.40 |
| 5% | −8.81 | 41.74 | 1.68 | 919.29 | 0.20 | 0.02 | 228.62 | |
| 25% | −1.64 | 51.02 | 1.96 | 923.98 | 1.45 | 0.42 | 250.40 | |
| 50% | 10.80 | 59.39 | 2.23 | 929.60 | 7.48 | 1.53 | 270.14 | |
| 75% | 19.78 | 67.55 | 2.58 | 934.74 | 24.71 | 7.93 | 303.63 | |
| 95% | 23.95 | 74.30 | 3.15 | 940.30 | 88.53 | 64.45 | 401.23 | |
| Central China | Mean ± sd | 16.38 ± 7.76 | 73.90 ± 7.43 | 1.95 ± 0.41 | 955.13 ± 7.00 | 25.95 ± 28.76 | 15.81 ± 23.22 | 278.4 ± 46.95 |
| 5% | 4.01 | 59.94 | 1.38 | 944.62 | 0.87 | 0.71 | 211.20 | |
| 25% | 9.51 | 69.22 | 1.66 | 949.10 | 4.24 | 2.25 | 244.08 | |
| 50% | 17.23 | 74.65 | 1.90 | 955.28 | 15.08 | 5.54 | 273.20 | |
| 75% | 23.22 | 79.46 | 2.18 | 960.63 | 36.31 | 19.40 | 307.73 | |
| 95% | 27.60 | 84.57 | 2.71 | 966.55 | 90.46 | 74.63 | 357.51 | |
| Southern China | Mean ± sd | 21.08 ± 6.36 | 78.61 ± 7.11 | 2.00 ± 0.41 | 993.52 ± 6.71 | 29.93 ± 34.04 | 18.40 ± 26.03 | 312.3 ± 61.48 |
| 5% | 9.77 | 65.20 | 1.49 | 983.52 | 0.89 | 0.52 | 234.07 | |
| 25% | 15.80 | 74.57 | 1.70 | 987.99 | 4.73 | 3.23 | 270.00 | |
| 50% | 22.44 | 79.84 | 1.92 | 993.16 | 17.26 | 8.12 | 301.27 | |
| 75% | 26.96 | 83.52 | 2.22 | 998.86 | 44.48 | 21.00 | 344.50 | |
| 95% | 28.90 | 88.35 | 2.74 | 100.457 | 94.98 | 77.04 | 429.91 | |
| P value b | <0.001 | <0.001 | <0.001 | <0.001 | <0.001 | <0.001 | <0.001 | <0.001 |
Disclaimer/Publisher’s Note: The statements, opinions and data contained in all publications are solely those of the individual author(s) and contributor(s) and not of MDPI and/or the editor(s). MDPI and/or the editor(s) disclaim responsibility for any injury to people or property resulting from any ideas, methods, instructions or products referred to in the content. |
© 2023 by the authors. Licensee MDPI, Basel, Switzerland. This article is an open access article distributed under the terms and conditions of the Creative Commons Attribution (CC BY) license (https://creativecommons.org/licenses/by/4.0/).
Share and Cite
Wang, D.; Lei, H.; Wang, D.; Shu, Y.; Xiao, S. Association between Temperature and Influenza Activity across Different Regions of China during 2010–2017. Viruses 2023, 15, 594. https://doi.org/10.3390/v15030594
Wang D, Lei H, Wang D, Shu Y, Xiao S. Association between Temperature and Influenza Activity across Different Regions of China during 2010–2017. Viruses. 2023; 15(3):594. https://doi.org/10.3390/v15030594
Chicago/Turabian StyleWang, Dina, Hao Lei, Dayan Wang, Yuelong Shu, and Shenglan Xiao. 2023. "Association between Temperature and Influenza Activity across Different Regions of China during 2010–2017" Viruses 15, no. 3: 594. https://doi.org/10.3390/v15030594
APA StyleWang, D., Lei, H., Wang, D., Shu, Y., & Xiao, S. (2023). Association between Temperature and Influenza Activity across Different Regions of China during 2010–2017. Viruses, 15(3), 594. https://doi.org/10.3390/v15030594

