The Elegance of the Acyclic Nucleoside Phosphonates (ANPs), Honorary Tribute to Antonín Holý, Who Passed Away on 16 July 2012, at the 10th Anniversary of His Death
Abstract
:1. Prelude: DHPA
2. The First Acyclic Nucleoside Phosphonate (ANP): HPMPA
3. HPMPC, Cidofovir, Vistide®
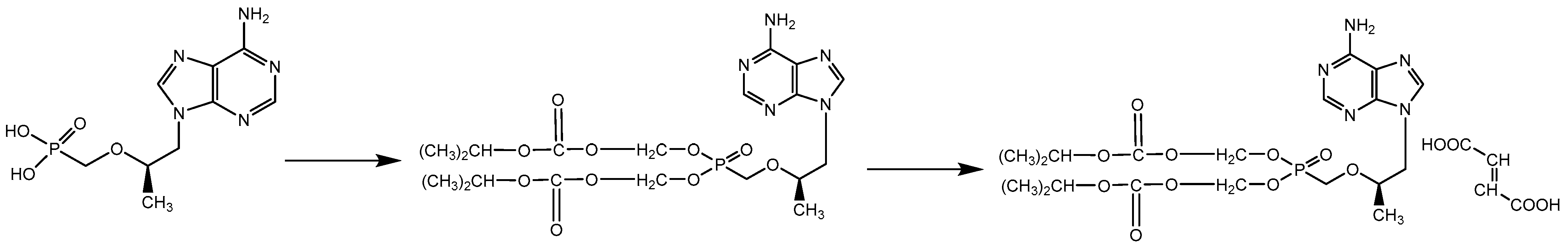
4. Adefovir Dipivoxil (Hepsera®)
5. Tenofovir Disoproxil Fumarate (TDF)
6. Drug Combinations Containing TDF
7. Tenofovir Alafenamide (TAF)
8. Drug Combinations Containing TAF
9. Treatment of HBV (Hepatitis B Virus) Infections
10. Prophylaxis of HIV Infections [Pre-Exposure Prophylaxis (PrEP)]
Funding
Institutional Review Board Statement
Informed Consent Statement
Data Availability Statement
Acknowledgments
Conflicts of Interest
References
- De Clercq, E.; Descamps, J.; De Somer, P.; Holý, A. (S)-9-(2,3-dihydroxypropyl)adenine: An aliphatic nucleoside analog with broad-spectrum antiviral activity. Science 1978, 200, 563–565. [Google Scholar] [CrossRef] [PubMed]
- Schaeffer, H.J.; Beauchamp, L.; de Miranda, P.; Elion, G.B.; Bauer, D.J.; Collins, P. 9-(2-hydroxyethoxymethyl) guanine activity against viruses of the herpes group. Nature 1978, 272, 583–585. [Google Scholar] [CrossRef] [PubMed]
- Elion, G.B.; Furman, P.A.; Fyfe, J.A.; de Miranda, P.; Beauchamp, L.; Schaeffer, H.J. Selectivity of action of an antiherpetic agent, 9-(2-hydroxyethoxymethyl) guanine. Proc. Natl. Acad. Sci. USA 1977, 74, 5716–5720. [Google Scholar] [CrossRef]
- De Clercq, E. S-Adenosylhomocysteine hydrolase inhibitors as broad-spectrum antiviral agents. Biochem. Pharmacol. 1987, 36, 2567–2575. [Google Scholar] [CrossRef]
- De Clercq, E. John Montgomery’s Legacy: Carbocyclic adenosine analogues as SAH hydrolase inhibitors with broad-spectrum antiviral activity. Nucleosides Nucleotides Nucleic Acids 2005, 24, 1395–1415. [Google Scholar] [CrossRef]
- De Clercq, E.; Holý, A. Alkyl esters of 3-adenin-9-yl-2-hydroxypropanoic acid: A new class of broad-spectrum antiviral agents. J. Med. Chem. 1985, 28, 282–287. [Google Scholar] [CrossRef]
- De Clercq, E.; Holý, A.; Rosenberg, I.; Sakuma, T.; Balzarini, J.; Maudgal, P.C. A novel selective broad-spectrum anti-DNA virus agent. Nature 1986, 323, 467. [Google Scholar] [CrossRef]
- Yokota, T.; Konno, K.; Chonan, E.; Mochizuki, S.; Kojima, K.; Shigeta, S.; De Clercq, E. Comparative activities of several nucleoside analogs against duck hepatitis B virus in vitro. Antimicrob. Agents Chemother. 1990, 34, 1326–1330. [Google Scholar] [CrossRef] [PubMed]
- Yokota, T.; Konno, K.; Shigeta, S.; Holy, A.; Balzarini, J.; De Clercq, E. Inhibitory effects of acyclic nucleoside phosphonate analogues on hepatitis B virus DNA synthesis in HB611 cells. Antivir. Chem. Chemother. 1994, 5, 57–63. [Google Scholar] [CrossRef]
- Yokota, T.; Mochizuki, S.; Konno, K.; Mori, S.; Shigeta, S.; De Clercq, E. Inhibitory effects of selected antiviral compounds on human hepatitis B virus DNA synthesis. Antimicrob. Agents Chemother. 1991, 35, 394–397. [Google Scholar] [CrossRef] [PubMed] [Green Version]
- Heijtink, R.A.; De Wilde, G.A.; Kruining, J.; Berk, L.; Balzarini, J.; De Clercq, E.; Holy, A.; Schalm, S.W. Inhibitory effect of 9-(2-phosphonylmethoxyethyl)-adenine (PMEA) on human and duck hepatitis B virus infection. Antivir. Res. 1993, 21, 141–153. [Google Scholar] [CrossRef]
- Heijtink, R.A.; Kruining, J.; De Wilde, G.A.; Balzarini, J.; De Clercq, E.; Schalm, S.W. Inhibitory effects of acyclic nucleoside phosphonates on human hepatitis B virus and duck hepatitis B virus infections in tissue culture. Antimicrob. Agents Chemother. 1994, 38, 2180–2182. [Google Scholar] [CrossRef] [PubMed]
- Oberg, B. Antiviral effects of phosphonoformate (PFA, foscarnet sodium). Pharmacol. Ther. 1989, 40, 213–285. [Google Scholar] [CrossRef]
- Chatis, P.A.; Miller, C.H.; Schrager, L.E.; Crumpacker, C.S. Successful treatment with foscarnet of an acyclovir-resistant mucocutaneous infection with herpes simplex virus in a patient with acquired immunodeficiency syndrome. N. Engl. J. Med. 1989, 320, 297–300. [Google Scholar] [CrossRef]
- Vinckier, F.; Boogaerts, M.; De Clerck, D.; De Clercq, E. Chronic herpetic infection in an immunocompromised patient: Report of a case. J. Oral Maxillofac. Surg. 1987, 45, 723–728. [Google Scholar] [CrossRef]
- De Clercq, E.; Sakuma, T.; Baba, M.; Pauwels, R.; Balzarini, J.; Rosenberg, I.; Holý, A. Antiviral activity of phosphonylmethoxyalkyl derivatives of purine and pyrimidines. Antivir. Res. 1987, 8, 261–272. [Google Scholar] [CrossRef]
- Snoeck, R.; Sakuma, T.; De Clercq, E.; Rosenberg, I.; Holý, A. (S)-1-(3-hydroxy-2-phosphonylmethoxypropyl)cytosine, a potent and selective inhibitor of human cytomegalovirus replication. Antimicrob. Agents Chemother. 1988, 32, 1839–1844. [Google Scholar] [CrossRef]
- Stittelaar, K.J.; Neyts, J.; Naesens, L.; van Amerongen, G.; van Lavieren, R.F.; Holý, A.; De Clercq, E.; Niesters, H.G.M.; Fries, E.; Maas, C.; et al. Antiviral treatment is more effective than smallpox vaccination upon lethal monkeypox virus infection. Nature 2006, 439, 745–748. [Google Scholar] [CrossRef]
- Pauwels, R.; Balzarini, J.; Schols, D.; Baba, M.; Desmyter, J.; Rosenberg, I.; Holý, A.; De Clercq, E. Phosphonylmethoxyethyl purine derivatives, a new class of anti-human immunodeficiency virus agents. Antimicrob. Agents Chemother. 1988, 32, 1025–1030. [Google Scholar] [CrossRef]
- Balzarini, J.; Naesens, L.; Herdewijn, P.; Rosenberg, I.; Holý, A.; Pauwels, R.; Baba, M.; Johns, D.G.; De Clercq, E. Marked in vivo antiretrovirus activity of 9-(2-phosphonylmethoxyethyl)adenine, a selective anti-human immunodeficiency virus agent. Proc. Natl. Acad. Sci. USA 1989, 86, 332–336. [Google Scholar] [CrossRef] [Green Version]
- Balzarini, J.; Holý, A.; Jindrich, J.; Naesens, L.; Snoeck, R.; Schols, D.; De Clercq, E. Differential antiherpesvirus and antiretrovirus effects of the (S) and (R) enantiomers of acyclic nucleoside phosphonates: Potent and selective in vitro and in vivo antiretrovirus activities of (R)-9-(2-phosphonomethoxypropyl)-2,6-diaminopurine. Antimicrob. Agents Chemother. 1993, 37, 332–338. [Google Scholar] [CrossRef] [PubMed]
- Tsai, C.C.; Follis, K.E.; Sabo, A.; Beck, T.W.; Grant, R.F.; Bischofberger, N.; Benveniste, R.E.; Black, R. Prevention of SIV infection in macaques by (R)-9-(2-phosphonylmethoxypropyl)adenine. Science 1995, 270, 1197–1199. [Google Scholar] [CrossRef] [PubMed]
- Robbins, B.L.; Srinivas, R.V.; Kim, C.; Bischofberger, N.; Fridland, A. Anti-human immunodeficiency virus activity and cellular metabolism of a potential prodrug of the acyclic nucleoside phosphonate 9-R-(2-phosphonomethoxypropyl)adenine (PMPA), Bis(isopropyloxymethylcarbonyl)PMPA. Antimicrob. Agents Chemother. 1998, 42, 612–617. [Google Scholar] [CrossRef] [PubMed]
- Naesens, L.; Bischofberger, N.; Augustijns, P.; Annaert, P.; Van den Mooter, G.; Arimilli, M.N.; Kim, C.U.; De Clercq, E. Antiretroviral efficacy and pharmacokinetics of oral bis(isopropyloxycarbonyloxymethyl)-9-(2-phosphonylmethoxypropyl)adenine in mice. Antimicrob. Agents Chemother. 1998, 42, 1568–1573. [Google Scholar] [CrossRef]
- De Clercq, E. Tenofovir at the crossroad of the therapy and prophylaxis of HIV and HBV infections. J. Cell. Immunol. 2020, 2, 23–30. [Google Scholar]
- Lee, W.A.; He, G.X.; Eisenberg, E.; Cihlar, T.; Swaminathan, S.; Mulato, A.; Cundy, K.C. Selective intracellular activation of a novel prodrug of the human immunodeficiency virus reverse transcriptase inhibitor tenofovir leads to preferential distribution and accumulation in lymphatic tissue. Antimicrob. Agents Chemother. 2005, 49, 1898–1906. [Google Scholar] [CrossRef] [Green Version]






Publisher’s Note: MDPI stays neutral with regard to jurisdictional claims in published maps and institutional affiliations. |
© 2022 by the author. Licensee MDPI, Basel, Switzerland. This article is an open access article distributed under the terms and conditions of the Creative Commons Attribution (CC BY) license (https://creativecommons.org/licenses/by/4.0/).
Share and Cite
De Clercq, E. The Elegance of the Acyclic Nucleoside Phosphonates (ANPs), Honorary Tribute to Antonín Holý, Who Passed Away on 16 July 2012, at the 10th Anniversary of His Death. Viruses 2022, 14, 1978. https://doi.org/10.3390/v14091978
De Clercq E. The Elegance of the Acyclic Nucleoside Phosphonates (ANPs), Honorary Tribute to Antonín Holý, Who Passed Away on 16 July 2012, at the 10th Anniversary of His Death. Viruses. 2022; 14(9):1978. https://doi.org/10.3390/v14091978
Chicago/Turabian StyleDe Clercq, Erik. 2022. "The Elegance of the Acyclic Nucleoside Phosphonates (ANPs), Honorary Tribute to Antonín Holý, Who Passed Away on 16 July 2012, at the 10th Anniversary of His Death" Viruses 14, no. 9: 1978. https://doi.org/10.3390/v14091978
APA StyleDe Clercq, E. (2022). The Elegance of the Acyclic Nucleoside Phosphonates (ANPs), Honorary Tribute to Antonín Holý, Who Passed Away on 16 July 2012, at the 10th Anniversary of His Death. Viruses, 14(9), 1978. https://doi.org/10.3390/v14091978
