Highly Pathogenic Avian Influenza (H5N1) Landscape Suitability Varies by Wetland Habitats and the Degree of Interface between Wild Waterfowl and Poultry in India
Abstract
1. Introduction
2. Materials and Methods
2.1. Data Sources
2.2. Statistical Analysis
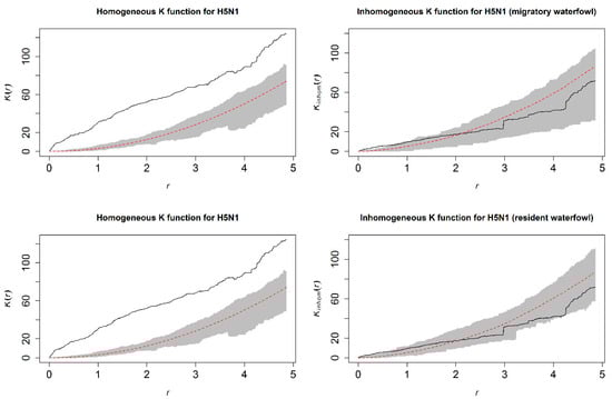
3. Results
4. Discussion
Supplementary Materials
Author Contributions
Funding
Acknowledgments
Conflicts of Interest
References
- Brown, I.H. Summary of avian influenza activity in Europe, Asia, and Africa, 2006–2009. Avian Dis. 2010, 54, 187–193. [Google Scholar] [CrossRef] [PubMed]
- Rushton, J.; Viscarra, R.; Guernebleich, E.; Mcleod, A. Impact of avian influenza outbreaks in the poultry sectors of five South East Asian countries (Cambodia, Indonesia, Lao PDR, Thailand, Viet Nam) outbreak costs, responses and potential long term control. Proc. Nutr. Soc. 2005, 61, 491–514. [Google Scholar] [CrossRef]
- Taha, F.A. How Highly Pathogenic Avian Influenza (H5N1) Has Affected World Poultry-Meat Trade; Economic Research Service, United States Department of Agriculture: Washington, DC, USA, 2007; p. 27.
- Lai, S.; Qin, Y.; Cowling, B.J.; Ren, X.; Wardrop, N.A.; Gilbert, M.; Tsang, T.K.; Wu, P.; Feng, L.; Jiang, H.; et al. Global epidemiology of avian influenza A H5N1 virus infection in humans, 1997–2015: A systematic review of individual case data. Lancet Infect. Dis. 2016, 16, e108–e118. [Google Scholar] [CrossRef]
- Webster, R.G.; Peiris, M.; Chen, H.; Guan, Y. H5N1 outbreaks and enzootic influenza. Emerg. Infect. Dis. 2006, 12, 3–8. [Google Scholar] [CrossRef] [PubMed]
- Lycett, S.J.; Pohlmann, A.; Staubach, C.; Caliendo, V.; Woolhouse, M.; Beer, M. Genesis and spread of multiple reassortants during the 2016/2017 H5 avian influenza epidemic in Eurasia. Proc. Natl. Acad. Sci. USA 2020, 117, 20814–20825. [Google Scholar] [CrossRef] [PubMed]
- Newman, S.H.; Hill, N.J.; Spragens, K.A.; Janies, D.; Voronkin, I.O.; Prosser, D.J.; Yan, B.; Lei, F.; Batbayar, N.; Natsagdorj, T.; et al. Eco-virological approach for assessing the role of wild birds in the spread of avian influenza H5N1 along the Central Asian Flyway. PLoS ONE 2012, 7, e30636. [Google Scholar] [CrossRef]
- Takekawa, J.Y.; Prosser, D.J.; Collins, B.M.; Douglas, D.C.; Perry, W.M.; Yan, B.; Ze, L.; Hou, Y.; Lei, F.; Li, T.; et al. Movements of wild ruddy shelducks in the Central Asian Flyway and their spatial relationship to outbreaks of highly pathogenic avian influenza H5N1. Viruses 2013, 5, 2129–2152. [Google Scholar] [CrossRef]
- Brown, J.D.; Swayne, D.E.; Cooper, R.J.; Burns, R.E.; Stallknecht, D.E. Persistence of H5 and H7 avian influenza viruses in water. Avian Dis. 2007, 51, 285–289. [Google Scholar] [CrossRef]
- Walsh, M.G.; Amstislavski, P.; Greene, A.; Haseeb, M.A. The Landscape Epidemiology of Seasonal Clustering of Highly Pathogenic Avian Influenza (H5N1) in Domestic Poultry in Africa, Europe and Asia. Transbound. Emerg. Dis. 2017, 64, 1465–1478. [Google Scholar] [CrossRef]
- Dhingra, M.S.; Artois, J.; Robinson, T.P.; Linard, C.; Chaiban, C.; Xenarios, I.; Engler, R.; Liechti, R.; Kuznetsov, D.; Xiao, X.; et al. Global mapping of highly pathogenic avian influenza H5N1 and H5Nx clade 2.3.4.4 viruses with spatial cross-validation. eLife 2016, 5, 1–20. [Google Scholar] [CrossRef]
- Prosser, D.J.; Hungerford, L.L.; Erwin, R.M.; Ottinger, M.A.; Takekawa, J.Y.; Ellis, E.C. Mapping avian influenza transmission risk at the interface of domestic poultry and wild birds. Front. Public Health 2013, 1, 28. [Google Scholar] [CrossRef] [PubMed]
- Stevens, K.B.; Gilbert, M.; Pfeiffer, D.U. Modeling habitat suitability for occurrence of highly pathogenic avian influenza virus H5N1 in domestic poultry in Asia: A spatial multicriteria decision analysis approach. Spat. Spatiotemporal. Epidemiol. 2013, 4, 1–14. [Google Scholar] [CrossRef] [PubMed]
- Dhingra, M.S.; Dissanayake, R.; Negi, A.B.; Oberoi, M.; Castellan, D.; Thrusfield, M.; Linard, C.; Gilbert, M. Spatio-temporal epidemiology of highly pathogenic avian influenza (subtype H5N1) in poultry in eastern India. Spat. Spatiotemporal. Epidemiol. 2014, 11, 45–57. [Google Scholar] [CrossRef] [PubMed]
- Pandit, P.S.; Bunn, D.A.; Pande, S.A.; Aly, S.S. Modeling highly pathogenic avian influenza transmission in wild birds and poultry in West Bengal, India. Sci. Rep. 2013, 3, 1–8. [Google Scholar] [CrossRef]
- Feare, C.J. The Role of wild birds in the spread of HPAI H5N1. In Proceedings of the Avian Diseases; American Association of Avian Pathologists: San Diego, CA, USA, 2007; Volume 51, pp. 440–447. [Google Scholar]
- Keawcharoen, J.; van den Broek, J.; Bouma, A.; Tiensin, T.; Osterhaus, A.D.M.; Heesterbeek, H. Wild Birds and Increased Transmission of Highly Pathogenic Avian Influenza (H5N1) among Poultry, Thailand. Emerg. Infect. Dis. 2011, 17, 1016–1022. [Google Scholar] [CrossRef]
- Pawar, S.; Pande, S.; Jamgaonkar, A.; Koratkar, S.; Pal, B.; Raut, S.; Nanaware, M.; Ray, K.; Chakrabarti, A.; Kode, S.; et al. Avian influenza surveillance in wild migratory, resident, domestic birds and in poultry in Maharashtra and Manipur, India, during avian migratory season 2006-07. Curr. Sci. 2009, 97, 550–554. [Google Scholar]
- FAO. EMPRES-i—Global Animal Disease Information System. Available online: http://empres-i.fao.org/eipws3g/ (accessed on 31 July 2020).
- Robinson, T.P.; Wint, G.R.W.; Conchedda, G.; Van Boeckel, T.P.; Ercoli, V.; Palamara, E.; Cinardi, G.; D’Aietti, L.; Hay, S.I.; Gilbert, M. Mapping the global distribution of livestock. PLoS ONE 2014, 9, e96084. [Google Scholar] [CrossRef]
- Socioeconomic Data and Applications Center | SEDAC Methods » Last of the Wild, v2 | SEDAC. Available online: http://sedac.ciesin.columbia.edu/data/collection/wildareas-v2/methods (accessed on 31 July 2020).
- Sanderson, E.W.; Jaiteh, M.; Levy, M.A.; Redford, K.H.; Wannebo, A.V.; Woolmer, G. The Human Footprint and the Last of the Wild. BioScience 2002, 52, 891–904. [Google Scholar] [CrossRef]
- Fund, W.W. Global Lakes and Wetlands Database. Available online: http://www.worldwildlife.org/pages/global-lakes-and-wetlands-database (accessed on 31 July 2020).
- Lehner, B.; Döll, P. Development and validation of a global database of lakes, reservoirs and wetlands. J. Hydrol. 2004, 296, 1–22. [Google Scholar] [CrossRef]
- QGIS Development Team. QGIS Geographic Information System; Open Source Geospatial Foundation Project 2009. Available online: http://qgis.osgeo.org (accessed on 31 July 2020).
- WorldClim—Global Climate Data for current conditions (~1950–2000) | WorldClim—Global Climate Data. Available online: http://www.worldclim.org/current (accessed on 23 October 2014).
- Elith, J.; Leathwick, J.R.; Hastie, T. A working guide to boosted regression trees. J. Anim. Ecol. 2008, 77, 802–813. [Google Scholar] [CrossRef]
- Friedman, J. Greedy function approximation: A gradient boosting machine. Ann. Stat. 2001, 29, 1189–1232. [Google Scholar] [CrossRef]
- La Sala, L.F.; Burgos, J.M.; Blanco, D.E.; Stevens, K.B.; Fernández, A.R.; Capobianco, G.; Tohmé, F.; Pérez, A.M. Spatial modelling for low pathogenicity avian influenza virus at the interface of wild birds and backyard poultry. Transbound. Emerg. Dis. 2019, 66, 1493–1505. [Google Scholar] [CrossRef] [PubMed]
- Warren, D.L.; Glor, R.E.; Turelli, M. Environmental niche equivalency versus conservatism: Quantitative approaches to niche evolution. Evolution 2008, 62, 2868–2883. [Google Scholar] [CrossRef] [PubMed]
- Ridgeway, G. CRAN—Package gbm. Available online: http://cran.r-project.org/web/packages/gbm/index.html (accessed on 31 July 2020).
- R Core Team. R: A Language and Environment for Statistical Computing; R Foundation for Statistical Computing: Vienna, Austraria, 2016. [Google Scholar]
- Package “dismo.”. Available online: https://cran.r-project.org/web/packages/dismo/dismo.pdf (accessed on 31 July 2020).
- Baddeley, A.; Turner, R. Practical Maximum Pseudolikelihood for Spatial Point Patterns (with Discussion). Aust. New Zeal. J. Stat. 2000, 42, 283–322. [Google Scholar] [CrossRef]
- Cohen, J.M.; Civitello, D.J.; Brace, A.J.; Feichtinger, E.M.; Ortega, C.N.; Richardson, J.C.; Sauer, E.L.; Liu, X.; Rohr, J.R. Spatial scale modulates the strength of ecological processes driving disease distributions. Proc. Natl. Acad. Sci. USA 2016, 113, E3359–E3364. [Google Scholar] [CrossRef]
- Baddeley, A.; Turner, R. Spatstat: An R Package for Analyzing Spatial Point Patterns. J. Stat. Softw. 2005, 12, 1–42. [Google Scholar] [CrossRef]
- Baddeley, A.; Rubak, E.; Turner, R. Spatial Point Patterns: Methodology and Applications with R; CRC Press: Boca Raton, FL, USA, 2015; Volume 11, ISBN 1482210215. [Google Scholar]
- Tian, H.; Zhou, S.; Dong, L.; Van Boeckel, T.P.; Cui, Y.; Newman, S.H.; Takekawa, J.Y.; Prosser, D.J.; Xiao, X.; Wu, Y.; et al. Avian influenza H5N1 viral and bird migration networks in Asia. Proc. Natl. Acad. Sci. USA 2015, 112, 172–177. [Google Scholar] [CrossRef]
- Li, R.; Jiang, Z.; Xu, B. Global spatiotemporal and genetic footprint of the H5N1 avian influenza virus. Int. J. Health Geogr. 2014, 13, 1–11. [Google Scholar] [CrossRef]
- Biswas, P.K.; Christensen, J.P.; Ahmed, S.S.U.; Das, A.; Rahman, M.H.; Barua, H.; Giasuddin, M.; Hannan, A.S.M.; Habib, M.; Debnath, N.C. Risk for infection with highly pathogenic avian influenza virus (H5N1) in backyard chickens, Bangladesh. Emerg. Infect. Dis. 2009, 15, 1931–1936. [Google Scholar] [CrossRef]
- Nghiem, S.V.; Zuffada, C.; Shah, R.; Chew, C.; Lowe, S.T.; Mannucci, A.J.; Cardellach, E.; Brakenridge, G.R.; Geller, G.; Rosenqvist, A. Wetland monitoring with global navigation satellite system reflectometry. Earth Space Sci. 2017, 4, 16–39. [Google Scholar] [CrossRef]




| Landscape Feature | Relative Risk | 95% Confidence Interval | p-Value |
|---|---|---|---|
| Model 1: with resident waterfowl | |||
| Poultry density (deciles) | 1.29 | 1.06–1.57 | 0.01 |
| Resident wild waterfowl composite niche (%) | 147.43 | 7.81–278.40 | 0.0008 |
| Resident waterfowl–poultry interaction | 0.60 | 0.40–0.89 | 0.01 |
| Distance to coastal marsh (5 km) | 0.75 | 0.64–0.89 | 0.0007 |
| Distance to lake (5 km) | 0.03 | 0.003–0.24 | 0.001 |
| Distance to river (5 km) | 0.47 | 0.30–0.74 | 0.001 |
| Model 2: with migratory waterfowl | |||
| Poultry density (deciles) | 1.27 | 1.03–1.56 | 0.03 |
| Migratory wild waterfowl composite niche (%) | 65.86 | 4.22–102.8 | 0.003 |
| Migratory waterfowl–poultry interaction | 0.67 | 0.46–0.99 | 0.04 |
| Distance to coastal marsh (5 km) | 0.74 | 0.64–0.87 | 0.0002 |
| Distance to lake (5 km) | 0.03 | 0.003–0.26 | 0.002 |
| Distance to river (5 km) | 0.48 | 0.31–0.76 | 0.002 |
Publisher’s Note: MDPI stays neutral with regard to jurisdictional claims in published maps and institutional affiliations. |
© 2020 by the authors. Licensee MDPI, Basel, Switzerland. This article is an open access article distributed under the terms and conditions of the Creative Commons Attribution (CC BY) license (http://creativecommons.org/licenses/by/4.0/).
Share and Cite
Walsh, M.G.; Mor, S.M.; Hossain, S. Highly Pathogenic Avian Influenza (H5N1) Landscape Suitability Varies by Wetland Habitats and the Degree of Interface between Wild Waterfowl and Poultry in India. Viruses 2020, 12, 1290. https://doi.org/10.3390/v12111290
Walsh MG, Mor SM, Hossain S. Highly Pathogenic Avian Influenza (H5N1) Landscape Suitability Varies by Wetland Habitats and the Degree of Interface between Wild Waterfowl and Poultry in India. Viruses. 2020; 12(11):1290. https://doi.org/10.3390/v12111290
Chicago/Turabian StyleWalsh, Michael G., Siobhan M. Mor, and Shah Hossain. 2020. "Highly Pathogenic Avian Influenza (H5N1) Landscape Suitability Varies by Wetland Habitats and the Degree of Interface between Wild Waterfowl and Poultry in India" Viruses 12, no. 11: 1290. https://doi.org/10.3390/v12111290
APA StyleWalsh, M. G., Mor, S. M., & Hossain, S. (2020). Highly Pathogenic Avian Influenza (H5N1) Landscape Suitability Varies by Wetland Habitats and the Degree of Interface between Wild Waterfowl and Poultry in India. Viruses, 12(11), 1290. https://doi.org/10.3390/v12111290

