Next Article in Journal
Recent Drought-Induced Vitality Decline of Black Pine (Pinus nigra Arn.) in South-West Hungary—Is This Drought-Resistant Species under Threat by Climate Change?
Next Article in Special Issue
Devising Urban Biodiversity Habitat Provision Goals: Ecosystem Services Analysis
Previous Article in Journal
Different Influences of Vegetation Greening on Regional Water-Energy Balance under Different Climatic Conditions
 
 
Font Type:
Arial Georgia Verdana
Font Size:
Aa Aa Aa
Line Spacing:
Column Width:
Background:
Article

Effects of Biochar and Sludge on Carbon Storage of Urban Green Roofs

1
College of Resources and Environmental Sciences, Nanjing Agricultural University, Nanjing 210095, China
2
Environmental Impact Assessment Center, Nanjing Agricultural University, Nanjing 210095, China
3
College of Horticulture, Nanjing Agricultural University, Nanjing 210095, China
*
Author to whom correspondence should be addressed.
Forests 2018, 9(7), 413; https://doi.org/10.3390/f9070413
Submission received: 10 May 2018 / Revised: 3 July 2018 / Accepted: 4 July 2018 / Published: 10 July 2018

Abstract

Green roofs can improve urban ecological conditions by mitigating the heat island effect and absorbing harmful gases. Soil additives can improve roof soil properties and promote the stability of the urban ecosystem. As soil additives, biochar and sludge are widely used in the ground, but their application on roofs is still scarce. This study examined the carbon storage potential of green roofs amended with sludge and biochar. The roof soil was composed of soil and varying proportions of the additives (0%, 5%, 10%, 15%, and 20%, v/v); Sedum lineare was then planted. The carbon contents of the soils and plants were measured for one year. The influence of biochar or sludge on the carbon content of the roof soil and the factors affecting the roof carbon storage potential were analyzed. The results showed that the carbon storage potential of a biochar green roof (9.3 kg C m−2) was significantly higher than that of a sludge green roof (7.9 kg C m−2). Biochar increased the carbon content of the green roof by improving the physical properties of the roof soil and promoting plant growth, whereas sludge increased the carbon content of the green roof by improving the chemical properties of the roof soil. Moreover, biochar could not only store large amounts of stable carbon, but also reduce the weight of the green roof, improve soil moisture, and provide a resourceful utilization of municipal sludge. Thus, biochar can be considered a material for promoting carbon storage on green roofs.

1. Introduction

With the rapid development of urbanization, several serious environmental problems have appeared, such as the decrease of green land, environmental pollution, the greenhouse effect, and the increase of industrial exhaust gas emission. According to scientific reports, since the mid-20th century, human activities have accounted for 95% of global warming [1]. Cities are responsible for 60–80% of global greenhouse gas emission [2]. About 2–4% of global warming may be attributed to the urban heat island effect [3]. Therefore, on a global scale, solving the urban environmental problem has been the key to address the global climate change. As a new form of urban greening, green roofs have been gradually accepted by people. Green roofs can absorb harmful gases and particulate matter, reduce rainfall runoff, reduce energy consumption, and improve air quality [4,5,6,7]. Importantly, the substrates and plants on green roofs have a great carbon sequestration ability [8] (Getter et al., 2009), which may have a positive effect on mitigating the climate change [7]. Green roofs are receiving increased attention for their ability to improve to the urban climate, relieve the heat island effect, and beautify the environment. However, prior studies on green roof mainly focused on rainfall interception and building energy efficiency, and only few studies have been conducted on the carbon storage capacity of roof greening.
The soil and plants are the basis for carbon sequestration on green roofs [8], which may have a positive effect on mitigating the climate change (e.g., plants reduce the heat island effect and relieve global warming via transpiration and greenhouse gas absorption) [9]. The roof-planting environment is characterized by limited water, high temperatures, and thin soil layers, which makes the roof plants face serious challenges in terms of survival and growth. The harsh environment greatly affects the carbon fixation capability of green roofs. Thus, we need a way to improve the physical and chemical properties of green roof soils and increase their carbon storage potential. Adding soil amendments commonly used on the ground may be an effective way.
Waste materials, such as clay, sewage sludge, and coal ash, are widely used as roof soil amendments for green roofs [7,10]. Biochar, as a new soil improvement material, has not been widely used on roofs. Sludge contains abundant N, P, organics, and other nutrient substances required by plants for growth, which could improve soil fertility by serving as additives. In addition to nutrients, municipal sludge contains poisonous substances, parasitic eggs, and pathogenic bacteria that are resistant to degradation. If sludge is used directly, toxic substances may harm the plants, interfere with plant growth, or even threaten human health [7]. Although sludge is widely used in agriculture in moderate doses after safety treatment (concentration, dewatering, anaerobic digestion) [11], it still poses some potential safety hazards. Compared with sludge, sludge biochar has attracted the attention of scholars because sludge converted into biochar can retain nutrients while containing low levels of harmful substances. Using sludge biochar as a soil amendment can also improve the soil properties, thereby improving soil fertility and providing a better growing environment for plants [12]. The transformation of biomass into chemically stable biochar added to soil can separate some carbon from the carbon cycle, which reduces the emission of CO2 and can lead to a “carbon-negative” status.
The pyrolysis of sludge into biochar followed by its addition to soil can improve the soil properties of green roofs and effectively recycle municipal solid waste. The annual production of sludge is growing rapidly in the world, and its secure disposal or reuse are an increasingly important issue [7]. Therefore, adding sludge biochar into green roofs may be a new way to make use of sludge. Native plants and Sedum lineare have been considered the first choice of roof plants [13], because they can adapt well to the local climate. If the soil properties and plant growth of the green roof are improved, the green roof system could isolate more carbon [14], which would be beneficial to the urban environment and human health. However, the carbon storage potential of green roofs with amendments (sludge and biochar) has not been well studied. Therefore, the conversion of sludge into sludge biochar maybe an available and economical way to boost the utilization of sewage sludge in China. At present, research on using sludge and biochar as green roof substrates has been limited.
This study aimed to develop more effective and economical ways to increase municipal sludge usage and to improve the soil conditions of green roofs by combining biochar with green roofs, which has an important theoretical and practical value. Currently, research on the usage of sludge biochar on green roofs is limited. In this study, we hypothesized that biochar is more advantageous than sludge in green roofs because it increases the roofs’ carbon content. The objectives of this study were as follows: (1) to evaluate the possibility of using biochar in green roofs and analyze the carbon absorption capacity and carbon storage of a green roof containing sludge and biochar, and (2) determine the most suitable rooftop substrate additives (sludge or biochar).

2. Materials and Methods

2.1. Study Area and Materials

This experiment was carried out in June 2016 on experimental roofs at the College of Resources and Environmental Sciences at Nanjing Agricultural University in China (118°51’ E, 32°18’ N, building height: 28 m). The average annual temperature of the area is 15.4 °C, the annual highest temperature is 43.1 °C, and the lowest temperature is −14 °C. The average annual precipitation is 1106.5 mm.
Municipal sewage sludge (SS), sludge biochar (SB), and urban natural soil (CK) were used as the research material. The sludge was provided by a sewage treatment factory at Jinhua, Yongkang, in Zhejiang Province. Sludge biochar (biochar) was obtained from sewage sludge by using a harmless drying treatment and pyrolysis. Pyrolysis process details: the sludge with 80% humidity was put into the dry distillation biochar preparation box at 600 °C. The total pyrolysis time was 150 min, and the activation time of sludge charcoal was 15–30 min. During the heating process, the sludge was continuously flipped, and the generated steam and flue gas were transported to the heating chamber, which was used to activate the sludge biochar (Mississippi International Water (China) Ltd, 2015) [15]. Biochar and sludge were used on a dry weight basis. Urban natural soil (calcareous alluvial soil) was obtained from Pukou District in Nanjing. The biochar was processed through a 50-mesh screen to ensure the integrity of the particles and easy sampling. The seeds of Sedum lineare (Sedum lineare Thunb.) were purchased from the Jiangsu Agricultural Science Academy and planted on the green roof. The urban soil was air-dried, milled, sieved through a 20-mesh sieve, and analyzed to determine its initial properties, before planting (Table S1).

2.2. Experimental Design

Nine treatments for the roof were compared, including CK, the mixture of local natural soil and sludge (5% SS, 10% SS, 15% SS, and 20% SS, v/v), and the mixture of local natural soil and biochar (5%SB, 10%SB, 15%SB, and 20%SB, v/v).
The spatial distribution of the plots was planned so as to have five identical 1 m × 1 m plots (five repetitions), which was adapted from Luo et al. [7]. Each plot was composed of nine identical subplots (nine treatments), which were separated by a waterproof layer (Figure 1). Sedum lineare (Sedum lineare Thunb.) plants were grown at 5 cm from each other, in 25 cm-deep soils. The vertical structure of the green roofs consisted of a waterproof membrane, a drainage layer, a filter layer, the soil, and a plant layer, as in standard green roofs [7,16]. During the experiment, the position of each plot was randomly changed every other month.

2.3. Sampling and Analyzing

The experiment was performed from June 2016 to May in 2017. Four sampling points were established randomly in every treatment. Destructive sampling was performed every 30 days. Each sample was measured three times in parallel, and the average value was taken as the result. A total of 324 soil and plant samples were collected. Each soil sample was gently mixed and sieved of impurities, air-dried, ground, and finally stored after sieving through a 100-mesh sieve for total carbon (TC) measurements. The plant samples were first cleaned and separated from the soil, then dried at 75 °C for over 48 h, and the biomass was measured (dry weight). The oven-dried samples were ground using stainless steel grinders and sieved with 100-mesh sieves for total organic carbon (TOC) measurements.
The physical parameters of the soils and the biomass of the plants were measured using an analytical balance (T214, Denver). The water holding capacity (WHC) was determined gravimetrically as the difference between substrate weight at pot or field capacity and dry weight, divided by dry weight, and then multiplied by 100. The bulk density of the dry substrate was determined as the weight of the substrate divided by its volume. The samples (600–700 mL) of soil were soaked in water for 30 min then drained for 5 min. This cycle was then repeated three times but with only 10 min soaking each time. To determine the air-filled porosity (AFP), the volume of water from the last drainage was captured and measured, and this volume was then divided by the initial substrate volume and multiplied by 100 [6]. A portable pH meter (IQ 150, IQ Scientific Instruments, Loveland, Colorado, USA) was used to measure the pH. The TC contents of the soil samples and plant samples were analyzed with a TOC analyzer (Multi C/N 2100 and HT 1300, Jena, Germany). Total nitrogen was measured using the Walkley–Black procedure [17] and the semi-Kjeldahl method [18]. Phosphorus and potassium concentrations were determined by the Olsen-P extraction [19] and flame photometry methods [20], respectively. In order to ensure the accuracy of the data, each sample was measured three times in parallel, and then the average value was taken.

2.4. Data Analysis and Carbon Storage Calculations

Excel version 2013 and the R Project for Statistical Computing (Version 3.1 for Windows, R Core Team, Vienna, Austria) were used to perform a linear regression analysis and variance analysis. ANOVA was used to determine the effects of biochar and sludge on the carbon content of the soil and green roof in green roofs, the means were compared using a Duncan test (least significant difference). The Tukey test was used to analyze the differences of plant biomass, carbon content, and carbon storage between all treatments. The probability level used to determine significance was p < 0.05. A correlation analysis between the proportion of additives and the carbon content of the soil, and a linear regression analysis were used to determine the impact of additives on the carbon content of soil and plants. The correlation results were represented by R (|R| > 0.3 indicates a significant correlation), and the regression analysis results were indicated by R2 (R2 > 0.6 indicates a significant explanatory value) [21]. We first analyzed the relationship between additives (biochar and sludge) and substrate properties and then compared the relationship between substrate properties and roof carbon content for different additives treatments (redundancy analysis). Finally, the structural equation model (SEM) was used to investigate the mechanism by which biochar and sludge affected the carbon storage potential of the green roof [22,23]. We hypothesized that the physical and chemical properties of the soil could be considered to determine the influence of biochar and sludge, and to construct a path model based on the roof components as endogenous explanatory variables. The results of ANOVA tests informed the initial path analysis model. The model fit was determined via χ2 tests and the adjusted goodness-of-fit index (AGFI > 0.9 indicates that the model has a high degree of adaptation) [24].
Data such as soil bulk density, soil volume, and carbon content of biochar were used to estimate the carbon stock of the green roof [25,26].
The carbon stock of the green roof with nine treatments was analyzed and calculated using the following formula:
C gi = C si + C pi + C bi = SOC i × SBD i × SV i   +   1 n j n POC ij × DWP ij S ij + BOC i × BW i
where i represents the different experimental green roof groups, Cgi represents the carbon stock of the green roof (kg C m−2), Csi is the carbon stock of the green roof soils (kg C m−2), Cpi is the carbon stock of the green roof plants (kg C m−2), and Cbi is the carbon stock of the green roof biochar (kg C m−2). SOCi represents the average total organic carbon content from the green roof i soils (g kg−1), SBDi represents the bulk density of the green roof soils (kg m−3), and SVi represents the volume of the green roof soils (m3). POCij represents the average total organic carbon content of the green roof plants (g kg−1), DWPij represents the dry weight of the green roof plants (kg), Sij represents the area accounted for by each species strains of the green roof plants (m2), BOCi represents the average total organic carbon content of biochar on the green roof (g kg−1), and BWi represents the weight of biochar on the green roof (kg).
The calculation of green roof carbon storage was as follows:
Cgi = ECgiBCgi
where △Cgi represents the carbon storage of the green roof i (kg C m−2), ECgi represents the carbon content of the green roof at the end of the experiment (kg C m−2), and BCgi represents the carbon content of the green roof at the beginning of the experiment (kg C m−2).

3. Results

3.1. The Properties and Carbon Content of Green Roof Soils

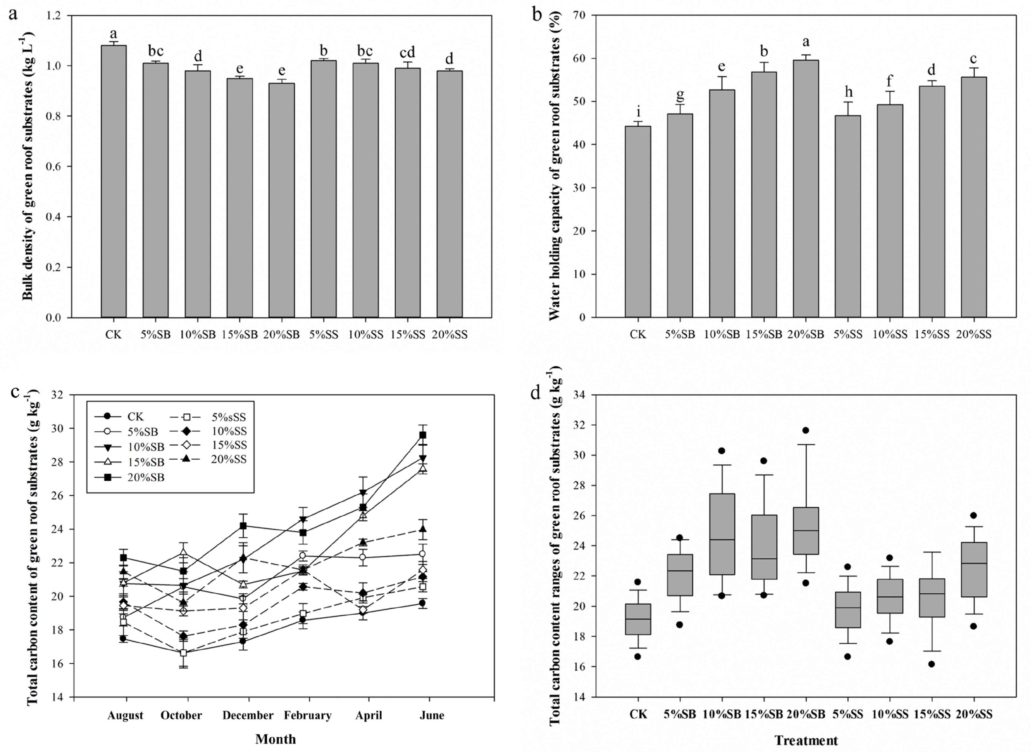
Sludge and biochar could significantly improve the properties of the roof soils. Compared with CK treatment, adding biochar decreased the soil bulk density of 6–13%, while adding sludge reduced the soil bulk density of 5–9%. The improvement of the soil water holding capacity by biochar addition was higher than that obtained after sludge addition. Compared with CK treatment, the soil water holding capacity increased by 6.6–34.6% and 5.5–25.8% with biochar addition and sludge addition, respectively, and each biochar treatment led to a higher soil water holding capacity than the sludge treatments (Figure 2a,b).
Figure 2c presents the TC contents in the two substrates in different months. The TC contents of soils treated with SS and SB were higher than that of soil treated with CK. It appeared that the TC contents tended to significantly increase from October 2016 to April 2017, with some fluctuation in other months. The change ranges of carbon content after sludge treatment were narrower than those after biochar treatment in the experimental period; compared with the early stage of the experiment (60 d), the TC content after SB treatments increased by 20.1–32.7% and the TC content after SS treatments increased by 7.7–11.7%. The carbon content of sludge-treated soil in each group was lower than in biochar-treated soil, irrespective of the biochar amount.
Figure 2d shows the TC content ranges for the green roofs the whole 12 months. The averages of the TC content for CK treatment, SB treatments, and SS treatments in the experimental period were 19.57, 22.51–29.63, and 20.57–23.98 g kg−1, respectively. The average TC contents of soils with 5–20% SB treatments and 5–20% SS treatments on green roof in the experimental period were 26.99 and 21.82 g kg−1, respectively. The TC contents for all SB treatments were 15–51% higher than that corresponding to the CK treatment. The TC contents for all SS treatments were 5–22% higher than that corresponding to the CK treatment.
As for the chemical properties, the contents of total nitrogen, phosphorus, and potassium of sludge-treated soils and biochar-treated soils were significant higher than those of CK-treated soils (p > 0.05) (Table S2). Compared with CK treatment, soil nitrogen, phosphorus, and potassium after SB treatment were increased by 14.9–55.5%, 9.8–24.1%, and 13.8–19.9%, respectively; soil nitrogen, phosphorus, and potassium after SS treatment were increased by 17.8–71.3%, 16.9–30.3%, and 12.1–22.4%, respectively. The improvement of soil nutrients by sludge addition was higher than that obtained by biochar addition.

3.2. Biomass and TOC Content of Green Roof Plants

Sludge and biochar could significantly improve the biomass and carbon content of the roof plants compared with CK. The biomass of plants in biochar soils was increased by 50.5–118.7%, and the biomass of plants in sludge soils was increased by 34.2–90.5%, but there was no significant difference between 10% SB and 20% SS (p > 0.05) (Table 1). The carbon contents of plants in biochar soils were significantly higher than those of plants in sludge soil, and there were significant differences between the different treatments (p < 0.05) (Table 1). The carbon stock of plants for each biochar treatment was significantly higher than that of plants in the sludge-treated soils, especially with respect to the >5% treatment (Table 1).

3.3. Carbon Stock and Carbon Storage of Green Roofs

Sludge and biochar improved the total carbon storage and carbon stock values of the green roof. The effect of biochar on the carbon storage of the green roof was significantly greater than the effect of sludge on the carbon storage of the green roof. The correlation between biochar and improved soil physical properties (R2 = 0.51–0.98) was higher than the correlation between sludge and improved soil physical properties (R2 = 0.35–0.91); the correlation between sludge and improved soil chemical properties (R2 = 0.77–0.98) was higher than the correlation between biochar and improved soil chemical properties (R2 = 0.47–0.82). The soil properties and carbon content of the green roof were highly correlated (R2 = 0.39–0.97, Figure 3, Table 2).
The difference between the carbon content of the sludge green roof and of the biochar green roof was 18.8–30.5%, and the greatest difference was observed for the 10% treatments (Figure 4a). Sludge addition increased the carbon storage of the green roof by 6.4–35.7% when compared with the CK, but the effects of biochar addition on the carbon storage of the green roof were much greater (18.8–68.5% increase compared with the CK) (Figure 4b). A further addition of biochar to the soil (20%) did not significantly improve the carbon content of the green roof. There was no significant difference between the 15% SB and the 20% SB treatments (p > 0.05).
The SEM analysis of the green roof carbon content indicated that biochar had a great influence on the soil carbon content (↑0.83), and sludge had a great impact on the plant carbon content (↑0.87). The path coefficient of biochar to the carbon storage of the green roof was 0.11 (p > 0.05), which indicated that the influence of biochar on the carbon storage of the green roof was small and not direct. While the path coefficient of sludge to the carbon storage of the green roof was 0.69 (p < 0.05), which indicates that the influence of sludge on the carbon storage of the green roof was direct.
The path coefficient of biochar to the physical properties of roof soil was 0.86, while the path coefficient for the chemical properties was 0.23, which shows that biochar had a stronger effect on the physical properties of the roof soil than on the chemical properties and, in particular, had a stronger effect on the porosity (↑0.91) and moisture (↑0.87). The influence of sludge on the chemical properties of the roof soil was 0.75, and the path coefficient of the physical properties was 0.36, which indicates that the effect of sludge on the chemical properties of the roof soil was greater than the effect on the physical properties; the effects on phosphorus (↑0.76) and potassium (↑0.83) were particularly evident. In addition, the improvement of the soil physical properties by biochar significantly affected the soil chemical properties (path coefficient = 0.73) and the carbon storage of the green roof (path coefficient = 0.89). The improvement of the soil physical properties by sludge has a significant effect on the soil chemical properties (path coefficient = 0.53) but had no significant effect on the carbon storage of the roof (path coefficient = 0.39, p > 0.05). Compared with sludge, biochar affected the carbon storage of the green roof not only by directly improving the physical properties of the soil, but also by indirectly improving the chemical properties of the soil (Figure 5). A χ2 test indicated that our hypothesized path analysis model cannot be rejected as a potential explanation of the observed covariance matrix (a, χ2 = 182.382, p = 0.061, df = 28, AGFI = 0.902. b, χ2 = 137.692, p = 0.076, df = 28, AGFI = 0.907).

4. Discussion

4.1. Carbon Storage Ability of Roof Soil

Biochar significantly reduced the weight of the soil compared to the sludge, reaching a maximum reduction of 13.9% per cubic meter. This was due to the high temperature cracking of sludge, resulting in abundant porosity and increased volume and specific surface area [12,27]. Therefore, the weight of the roof soil was significantly reduced, and the soil moisture was increased (Figure 2a,b). Meanwhile, the consumption of sludge by biochar treatment was higher than that obtained by the direct use of sludge: the increase corresponded to about 113.50–307.25 kg, and the conversion ratio of sludge pyrolysis into biochar was 10:1 [Mississippi International Water (China) Ltd., Hangzhou, Zhejiang, China; 2015]. Therefore, biochar was better than sludge in terms of reducing the substrate weight and increasing its water storage [12].
Our research shows that sludge and biochar can significantly increase the carbon content of roof soil, but the average carbon content of the sludge soil was lower than that of the biochar-amended soil. Compared to the control soil, the carbon content of biochar-amended soils and sludge-amended soils increased by 15.0–51.3% and 5.1–22.5%, respectively (Figure 2c,d). These findings are similar to those of previous studies. For example, the addition of 20 g kg−1 of biochar increased the carbon content of soil by 68.8% [28]. Luo et al. [7], by adding 50% of sludge, observed a 77% increase in the total carbon content of soil. The effect, discovered in biochar-amended soils, may be caused by a high content of stable organic carbon in biochar [29,30], which leads to increases in organic carbon in the soil. Moreover, the porous structure of biochar promotes the growth of microorganisms, which increase the content of microbial biomass carbon and total organic carbon in the soil [31]. Meanwhile, biochar can sequester a large amount of carbon because of its own stability and adsorbability.
At the same time, the variation ranges of the carbon content in sludge-treated soil were smaller than those of the carbon content in biochar-treated soil in different months (Figure 2c). This difference may be due to the hot and dry environment on the roof. The thermal conductivity of the biochar causes a high variability in the temperature of the soil [32,33] and water losses [34]. The rapid reproduction of microorganisms results in the consumption of considerable amounts of soluble organic carbon [35]. However, under high temperatures and an arid environment, plants may wilt and die, thereby returning biomass to the soil and increasing the content of organic carbon in the soil [7]. These reasons may have caused the significant changes observed in the carbon content of biochar-amended soil in different months. For example, in the summer, the carbon content of sludge-treated soils decreased significantly, due to a faster decomposition rate of soil organic carbon caused by extremely high environmental temperatures [36]. Because of the chemical stability differences between sludge and biochar, the turnover times of organic carbon in different amended soils differed greatly. The soil carbon content for all green roof treatments increased in December, and a possible reason for this phenomenon is that the decomposition of plant residues caused the organic carbon from the plant residues to migrate into the soil carbon pool.
Therefore, biochar had a better stability than sludge and could promote carbon persistence in the roof soil. Adding a proper amount of biochar can effectively adsorb C and reduce the loss of soil organic carbon and the sensitivity to temperature, helping to increase the carbon storage ability of green roof soils.

4.2. Carbon Fixation Ability of Green Roof Plants

Plant biomass is an important indicator of carbon stock in plants, and plants’ growth and biomass are affected by the properties of the soil [37] and the types of amendments. In this study, under the same conditions, the biomass of plants in biochar-treated soils was higher than that in sludge-treated soils. According to the RDA analysis and SEM results, we found that two possible reasons for this effect: 1. Different levels of improvement of the roof substrate properties by different additives resulted in different levels of plant growth. Sludge is rich in nutrients, which is the main means by which it promotes plant growth (Figure 3b), but, with time, the nutrients in sludge were consumed and lost, and the final nutrient contents for the different sludge treatments were lower than those found for the biochar treatments (Table S2). Compared with sludge, although biochar does not contain large amounts of N, P, K, and other nutrients (Table S1), it can well preserve these elements, given its high porosity and strong adsorption [38], and thus maintained for a longer time a high level of available plant nutrients in the green roof. Biochar was better than sludge in improving the physical properties of the substrate, especially the porosity and moisture (Figure 3a). The lightweight and porous structure of biochar reduces the soil weight and improves the soil aggregation properties, so that the distribution of the soil particles is more uniform. At the same time, because of the pore structure of biochar, it has a large specific surface area, which leads to an increased water adsorption capacity [39]. Thus, the soil water holding capacity and aeration capacity were significantly increased, the loss of the soil moisture by transpiration was reduced, and the retained water promoted plant growth [7].
We also found that the biomass of plants increased with the increase of sludge. For biochar, the biomass of plants first increased and then decreased with the increase of biochar content and it was higher on the 15% biochar green roof than on the 20% biochar green roof (Table 1). This might have resulted from an environmental pressure (drought stress) on the plants caused by large amounts of biochar [40]. Our results showed that the chemical properties (TN, P, and K) of 20% biochar soil were worse than those of 15% biochar soil (Table S2). This was likely due to the temperature exceeding 40 degrees in summer, and to the fact that large amounts of biochar changed the thermal conductivity, the moisture, and the aeration of the soil, which hindered plant growth [41]. On the other hand, a large amount of biochar leads to the increase of soil temperature and the reduction of plant available water, which makes the plants wilt and die. This means that the amount of biochar applied to a green roof is restricted (<20%), while sludge can be added in larger amounts (>20%).
The carbon stock (2.12–3.57 kg C m−2) and carbon content (433.17–497.18 g kg−1) of Sedum lineare in the biochar green roof were 0.06–0.18 times and 14–39% times higher than those in the sludge green roof (Table 1). Under normal growing conditions, the carbon fixation levels of Sedum lineare grown on biochar green roofs were 2.12–3.57 kg m−2, which were 84.2–209.7% higher than those in the green roofs without biochar. The carbon stock levels of Sedum lineare grown on sludge green roofs were 1.65–2.86 kg m−2, which were 43.3–148.0% higher than those in the green roofs without sludge. Generally, plants would grow rapidly before reaching a relatively stable growth period [7,8,13]. Some studies suggest that plant carbon fixation results from an increase in biomass [7]. The investigation of carbon fixation in plants and substrate [8,42] is complicated because plant growth is related to climate, irrigation, environment, human activity, and substrate conditions. Biochar increases the water available for plants [6], adsorbs soluble nutrients, and promotes the growth of beneficial microbes for a long time [43]; therefore, it thus provide a good roof environment for plant growth and facilitate the fixation of C by photosynthesis as a result of improved soil fertility [44]. Although the initial nutrient content of sludge was higher, the soluble nutrients were easily lost with rainfall, which made the plant lack nutrients in the late stages of this experiment (Tables S1 and S2). This may be the main reason why the carbon content of plants in sludge-treated soils were lower than that of plants in biochar-treated soils.

4.3. Carbon Storage Ability and Levels of Green Roofs

Our results indicate that sludge and biochar can significantly promote the sequestration of carbon by adding soil organic carbon and plant biomass (Table 2, Figure 4). The biochar green roof had a better carbon storage ability than the sludge green roof (R2 = 0.86, R2 = 0.78, Figure 5), but biochar does not always promote plant growth. For example, large amounts of biochar have been shown to inhibit plant growth and affect the carbon storage of green roofs, especially at high temperatures in the summer [45]. Compared with biochar, it was shown that sludge has a little effect on the carbon content of green roofs, which may be due to the presence of insufficient amounts of sludge and the fast consumption of organic carbon in sludge soil [46].
The path coefficient of the structural equation model showed that the mechanisms by which biochar and sludge influenced the carbon storage of the roof were different. The effects of biochar addition on the carbon storage of the green roof resulted from the increase of the soil carbon content through the biochar adsorption pathway. The effects of sludge addition on the carbon storage of the green roof resulted from the increase of plant carbon content through nutrients carried by sludge. The path coefficient of the soil physical properties to the soil chemical properties (path coefficient = 0.73) indicated that the improvement of the soil physical properties by biochar could lead to an amelioration of the soil chemical properties, and that biochar could indirectly improve the carbon storage potential of the green roof. In addition, sludge materials could contain significant amounts of decomposable forms of C that could easily decompose over several years. This might reduce the net C sequestration. Therefore, the scope of green roofs load-bearing must be considered in practical applications, taking into account that biochar has a greater potential than sludge.
Biochar significantly increased the total carbon content of the green roof, but the carbon content in the presence of 20% biochar was less than that of the 15% biochar soil, because the carbon content of plants was the best in the 15% biochar soil and contributed 87.5% of the carbon content of the green roofs. However, the carbon stock of the 20% biochar soil was the highest, which was probably due to the small size of the plants in our study. Under normal planting conditions (plants covering the whole green roof), plants will have a greater impact on the carbon storage potential of green roofs.
Although plants are indispensable for the carbon storage capacity of green roofs [7], roof soil as a substrate of plant growth will determine the capacity of carbon storage in plants, promoting the carbon fixation process of green roof system. Biochar and sludge appear to be the main means to improve the carbon storage of green roofs [6]. The carbon storage of biochar green roofs can reach 7.7–11.9 kg C m−2 year−1, which is higher than the storage capacity that can be obtained with sludge green roofs (6.9–8.8 kg C m−2 year−1). From the point of view of resource utilization, biochar has a better potential than sludge in green roofs.
Building roofs provides a unique opportunity to sequester carbon [8]. The roof area of Nanjing is about 19.78 km−2, of which approximately 90% has no greening. The assumptions for the calculation of carbon storage on green roofs in the Nanjing are: (1) the usage of roof area for greening is 50%; (2) the green roof is planted with the scale configuration (Sedum lineare and 10% biochar + 90% soil) similar to the adaptable green roof configuration of this study (carbon stock of 9.78 kg C m−2); (3) the depth of the green roofs soil is 25 cm. The calculation results for carbon storage in the Nanjing green roofs indicate 1.94 × 108 kg C in the first year, equivalent to a reduction of CO2 emissions of 7.1 × 108 kg C. Furthermore, such a system would consume 5.45 × 107 kg sewage sludge. Compared with carbon stock in other ecosystems, sludge biochar has a potential application in improving the carbon storage potential on green roofs (Table 3). This approach provides a new strategy to mitigate the urban heat island effect and mitigate global warming.

5. Conclusions

We found that the two selected additives (biochar and sludge) in the green roofs are potential candidates as soil amendments with a strong ability of carbon storage. The carbon storage ability of the biochar-amended soils was higher than that of the sludge-amended soils using different ratios of biochar and sludge. The green roofs with biochar and sludge had mean carbon storage values of 9.3 kg C m−2 and 7.9 kg C m−2, respectively. The biochar-amended soil has a higher potential than the sludge-amended soil because of its long carbon turnover time. Moreover, sludge biochar can consume a large amount of sludge, which will effectively improve the sewage sludge reuse rate in the city. The findings presented here will not only help improve the urban environment but also maximize the ecological benefits, while providing information on carbon storage for green roof construction.

Supplementary Materials

The following are available online at https://www.mdpi.com/1999-4907/9/7/413/s1. Table S1: Properties of initial substrates urban-natural-soil (CK), sewage sludge (SS) and sludge biochar (SB) of green roof before planting. Table S2: The physical and chemical properties of soil on the green roofs.

Author Contributions

Conceptualization, H.C.; Data curation, H.C., P.X., X.W., and J.M.; Formal analysis, H.C., P.X., and S.Z.; Methodology, X.W., S.Z., and Y.Z.; Writing—original draft, H.C.; Writing—review & editing, H.C., J.M., and Y.Z.

Funding

The work was supported by the National Natural Science Foundation (31200530).

Acknowledgments

The authors are thankful to the School of Infrastructure, College of Resources and Environmental Sciences of Nanjing Agricultural University, China, for providing facilities in which to conduct this research. The work was supported by the National Natural Science Foundation (31200530) and the Environmental Impact Assessment Center of Nanjing Agricultural University. We thank Cong Wang for helpful discussion on the manuscript, anonymous reviewers, and the academic editor for their valuable comments and insightful suggestions.

Conflicts of Interest

The authors declare no conflict of interest.

References

  1. IPCC. Contribution of working group I to the fifth assessment report of the intergovernmental panel on climate change stocker. In Climate Change 2013: The Physical Science Basis; Qin, T.F.D., Plattner, G.K., Tignor, M., Allen, S.K., Boschung, J., Nauels, A., Xia, Y., Bex, V., Midgley, P.M., Eds.; Cambridge University Press: Cambridge, UK; New York, NY, USA, 2013; p. 1535. [Google Scholar]
  2. Kamal-Chaoui, L.; Robert, A. Competitive Cities and Climate Change; OECD: Paris, France, 2009. [Google Scholar] [CrossRef]
  3. Jacobson, M.Z.; Ten Hoeve, J.E. Effects of urban surfaces and white roofs on global and regional climate. J. Clim. 2012, 25, 1028–1044. [Google Scholar] [CrossRef]
  4. Oberndorfer, E.; Lundholm, J.; Bass, B.; Coffman, R.R.; Doshi, H.; Dunnett, N.; Gaffin, S.; Kohler, M.; Liu, K.K.Y.; Rowe, B. Green roofs as urban ecosystems: Ecological structures, functions, and services. Bioscience 2007, 57, 823–833. [Google Scholar] [CrossRef]
  5. Wolf, D.; Lundholm, J.T. Water uptake in green roof microcosms: Effects of plant species and water availability. Ecol. Eng. 2008, 33, 179–186. [Google Scholar] [CrossRef]
  6. Cao, C.T.N.; Farrell, C.; Kristiansen, P.E.; Rayner, J.P. Biochar makes green roof substrates lighter and improves water supply to plants. Ecol. Eng. 2014, 71, 368–374. [Google Scholar] [CrossRef]
  7. Luo, H.; Liu, X.; Anderson, B.C.; Zhang, K.; Li, X.; Huang, B.; Li, M.; Mo, Y.; Fan, L.; Shen, Q.; et al. Carbon sequestration potential of green roofs using mixed-sewage-sludge substrate in Chengdu World Modern Garden City. Ecol. Indicators 2015, 49, 247–259. [Google Scholar] [CrossRef]
  8. Getter, K.L.; Rowe, D.B.; Robertson, G.P.; Cregg, B.M.; Andresen, J.A. Carbon sequestration potential of extensive green roofs. Environ. Sci. Technol. 2009, 43, 7564–7570. [Google Scholar] [CrossRef] [PubMed]
  9. Onmura, S.; Matsumoto, M.; Hokoi, S. Study on evaporative cooling effect of roof lawn gardens. Energ. Build. 2001, 33, 653–666. [Google Scholar] [CrossRef]
  10. Molineux, C.J.; Fentiman, C.H.; Gange, A.C. Characterising alternative recycled waste materials for use as green roof growing media in the U.K. Ecol. Eng. 2009, 35, 1507–1513. [Google Scholar] [CrossRef]
  11. Fytili, D.; Zabaniotou, A. Utilization of sewage sludge in EU application of old and new methodsâ—A review. Renew. Sust. Energ. Rev. 2008, 12, 116–140. [Google Scholar] [CrossRef]
  12. Kimetu, J.M.; Lehmann, J.; Krull, E.; Singh, B.; Joseph, S. Stability and stabilisation of biochar and green manure in soil with different organic carbon contents. Soil Res. 2010, 48, 577–585. [Google Scholar] [CrossRef]
  13. Macivor, J.S.; Lundholm, J. Performance evaluation of native plants suited to extensive green roof conditions in a maritime climate. Ecol. Eng. 2011, 37, 407–417. [Google Scholar] [CrossRef]
  14. Whittinghill, L.J.; Rowe, D.B.; Schutzki, R.; Cregg, B.M. Quantifying carbon sequestration of various green roof and ornamental landscape systems. Landsc. Urban Plan. 2014, 123, 41–48. [Google Scholar] [CrossRef]
  15. Zhang, D. Method and Device for Preparing Agricultural Carbon by Using an Organic Substance. Patent WO/2012/149897 A1, 8 November 2012. Available online: http://xueshu.baidu.com/s?wd=paperuri%3A%2828d65ce7d8d751e44840edd1ff99be73%29&filter=sc_long_sign&tn=SE_xueshusource_2kduw22v&sc_vurl=http%3A%2F%2Fwww.freepatentsonline.com%2Fwo2012149897.html&ie=utf-8&sc_us=4232976608368829021 (accessed on 8 November 2012).
  16. Fioretti, R.; Palla, A.; Lanza, L.G.; Principi, P. Green roof energy and water related performance in the Mediterranean climate. Build. Environ. 2010, 45, 1890–1904. [Google Scholar] [CrossRef]
  17. Nelson, D.W.; Sommers, L.E.; Sparks, D.L.; Page, A.L.; Helmke, P.A.; Loeppert, R.H.; Soltanpour, P.N.; Tabatabai, M.A.; Johnston, C.T.; Sumner, M.E. Total carbon, organic carbon, and organic matter. In Methods of Soil Analysis; American Society of Agronomy, Soil Science Society of American: Madison, WI, USA, 1982; Volume 9, pp. 961–1010. [Google Scholar]
  18. Sparks, D.L.; Page, A.; Helmke, P.; Loeppert, R.; Soltanpour, P.; Tabatabai, M.; Johnston, C.; Sumner, M. Chemical methods. In Methods of Soil Analysis, Part 3; Soil Science Society of America: Madison, WI, USA, 1996. [Google Scholar]
  19. Watanabe, F.S.; Olsen, S.R. Test of an Ascorbic Acid Method for Determining Phosphorus in Water and NaHCO3 Extracts from Soil1. Soil Sci. Soc. Am. J. 1965, 29, 677–678. [Google Scholar] [CrossRef]
  20. Knudsen, D.; Peterson, G.; Pratt, P. Lithium, sodium, and potassium. In Methods of Soil Analysis, Part 2, Chemical and Microbiological Properties; Page, A.L., Miller, R.H., Kenney, D.R., Eds.; American Society of Agronomy, Soil Science Society of American: Madison, WI, USA, 1982; pp. 225–246. [Google Scholar]
  21. Liu, T.; Guo, R.; Ran, W.; Whalen, J.K.; Li, H. Body size is a sensitive trait-based indicator of soil nematode community response to fertilization in rice and wheat agroecosystems. Soil Biol. Biochem. 2015, 88, 275–281. [Google Scholar] [CrossRef]
  22. Grace, J.B. Structural Equation Modeling and Natural Systems; Cambridge University Press: Cambridge, UK, 2006. [Google Scholar]
  23. Rosseel, Y. Lavaan: An R package for structural equation modeling. J. Stat. Softw. 2012, 48, 1–36. [Google Scholar] [CrossRef]
  24. Chen, D.; Lan, Z.; Hu, S.; Bai, Y. Effects of nitrogen enrichment on belowground communities in grassland: Relative role of soil nitrogen availability vs. soil acidification. Soil Biol. Biochem. 2015, 89, 99–108. [Google Scholar] [CrossRef]
  25. He, N.; Qiang, Y.; Ling, W.; Wang, Y.; Han, X. Carbon and nitrogen store and storage potential as affected by land-use in a Leymus chinensis grassland of northern China. Soil Biol. Biochem. 2008, 40, 2952–2959. [Google Scholar] [CrossRef]
  26. Bouchard, N.R.; Osmond, D.L.; Winston, R.J.; Hunt, W.F. The capacity of roadside vegetated filter strips and swales to sequester carbon. Ecol. Eng. 2013, 54, 227–232. [Google Scholar] [CrossRef]
  27. Shinogi, Y.; Kanri, Y. Pyrolysis of plant, animal and human waste: Physical and chemical characterization of the pyrolytic products. Bioresource Technol. 2003, 90, 241–247. [Google Scholar] [CrossRef]
  28. Laird, D.; Fleming, P.; Wang, B.Q.; Horton, R.; Karlen, D. Biochar impact on nutrient leaching from a Midwestern agricultural soil. Geoderma 2010, 158, 436–442. [Google Scholar] [CrossRef]
  29. Cross, A.; Sohi, S.P. The priming potential of biochar products in relation to labile carbon contents and soil organic matter status. Soil Biol. Biochem. 2011, 43, 2127–2134. [Google Scholar] [CrossRef]
  30. Kuzyakov, Y.; Bogomolova, I.; Glaser, B. Biochar stability in soil: Decomposition during eight years and transformation as assessed by compound-specific 14C analysis. Soil Biol. Biochem. 2014, 70, 229–236. [Google Scholar] [CrossRef]
  31. Knicker, H. How does fire affect the nature and stability of soil organic nitrogen and carbon? A review. Biogeochemistry 2007, 85, 91–118. [Google Scholar] [CrossRef]
  32. Meng, Q.; Hu, W. Roof cooling effect with humid porous medium. Energy Build. 2005, 37, 1–9. [Google Scholar] [CrossRef]
  33. Oguntunde, P.G.; Abiodun, B.J.; Ajayi, A.E.; van de Giesen, N. Effects of charcoal production on soil physical properties in Ghana. J. Plant Nutr. Soil Sci. 2008, 171, 591–596. [Google Scholar] [CrossRef]
  34. Ojeda, G.; Mattana, S.; Àvila, A.; Alcañiz, J.M.; Volkmann, M.; Bachmann, J. Are soil–water functions affected by biochar application? Geoderma 2015, 249–250, 1–11. [Google Scholar] [CrossRef]
  35. Ghani, A.; Dexter, M.; Perrott, K.W. Hot-water extractable carbon in soils: A sensitive measurement for determining impacts of fertilisation, grazing and cultivation. Soil Biol. Biochem. 2003, 35, 1231–1243. [Google Scholar] [CrossRef]
  36. Glaser, B.; Balashov, E.; Haumaier, L.; Guggenberger, G.; Zech, W.; Derenne, S.; Knicker, H. Black carbon in density fractions of anthropogenic soils of the Brazilian Amazon region. Org. Geochem. 2000, 31, 669–678. [Google Scholar] [CrossRef]
  37. Jeffery, S.; Verheijen, F.G.A.; Velde, M.V.D.; Bastos, A.C. A quantitative review of the effects of biochar application to soils on crop productivity using meta-analysis. Agric. Ecosyst. Environ. 2011, 144, 175–187. [Google Scholar] [CrossRef]
  38. Beck, D.A.; Johnson, G.R.; Spolek, G.A. Amending greenroof soil with biochar to affect runoff water quantity and quality. Environ. Pollut. 2011, 159, 2111–2118. [Google Scholar] [CrossRef] [PubMed]
  39. Lehmann, J. Biochar for environmental management: An introduction. In Biochar for Environmental Management Science and Technology; Routledge: London, UK, 2009; Volume 25, pp. 15801–15811. [Google Scholar]
  40. Chen, H.; Ma, J.; Wei, J.; Gong, X.; Yu, X.; Guo, H.; Zhao, Y. Biochar increases plant growth and alters microbial communities via regulating the moisture and temperature of green roof substrates. Sci. Total Environ. 2018, 635, 333–342. [Google Scholar] [CrossRef] [PubMed]
  41. Jindo, K.; SĂĄnchezmonedero, M.A.; HernĂĄndez, T.; García, C.; Furukawa, T.; Matsumoto, K.; Sonoki, T.; Bastida, F. Biochar influences the microbial community structure during manure composting with agricultural wastes. Sci. Total Environ. 2012, 416, 476–481. [Google Scholar] [CrossRef] [PubMed]
  42. Macivor, J.S.; Margolis, L.; Puncher, C.L.; Matthews, B.J.C. Decoupling factors affecting plant diversity and cover on extensive green roofs. J. Environ. Manag. 2013, 130, 297–305. [Google Scholar] [CrossRef] [PubMed]
  43. Hamer, U.; Marschner, B.; Brodowski, S.; Amelung, W. Interactive priming of black carbon and glucose mineralisation. Org. Geochem. 2004, 35, 823–830. [Google Scholar] [CrossRef]
  44. Rehman, M.Z.; Rizwan, M.; Ali, S.; Fatima, N.; Yousaf, B.; Naeem, A.; Sabir, M.; Ahmad, H.R.; Ok, Y.S. Contrasting effects of biochar, compost and farm manure on alleviation of nickel toxicity in maize (Zea mays L.) in relation to plant growth, photosynthesis and metal uptake. Ecotox. Environ. Safe. 2016, 133, 218–225. [Google Scholar] [CrossRef] [PubMed]
  45. Evans, A.G. Biochar: Carbon sequestration, land remediation, and impacts on soil microbiology. Crit. Rev. Environ. Sci. Technol. 2012, 42, 2311–2364. [Google Scholar] [CrossRef]
  46. Terry, R.E.; Nelson, D.W.; Sommers, L.E. Carbon cycling during sewage sludge decomposition in soils1. Soil Sci. Soc. Am. J. 1979, 43, 494–499. [Google Scholar] [CrossRef]
  47. Dong, W.; Shu, J.; He, P.; Ma, G.; Dong, M. Study on the Carbon Storage and Fixation of Phramites autralis in Baiyangdian Demonstration Area. Procedia Environ. Sci. 2012, 13, 324–330. [Google Scholar] [CrossRef]
  48. Woomer, P.L.; Tieszen, L.L.; Tappan, G.; Toure, A.; Sall, M. Land use change and terrestrial carbon stocks in Senegal. J. Arid. Environ. 2004, 59, 625–642. [Google Scholar] [CrossRef]
  49. Olson, K.R. Soil organic carbon sequestration, storage, retention and loss in U.S. croplands: Issues paper for protocol development. Geoderma 2013, 195, 201–206. [Google Scholar] [CrossRef]
  50. Neary, D.G.; Overby, S.T.; Hart, S.C. Soil carbon in arid and semiarid forest ecosystems. In The Potential of U.S. Forest Soils to Sequester Carbon and Mitigate the Greenhouse Effect; Kimble, J.M., Heath, L.S., Birdsey, R., Lal, R., Eds.; CRC Press: Boca Raton, FL, USA, 2003; pp. 293–310. [Google Scholar]
  51. Yan, X.; Cai, Z.; Wang, S.; Smith, P. Direct measurement of soil organic carbon content change in the croplands of China. Glob. Chang. Biol. 2011, 17, 1487–1496. [Google Scholar] [CrossRef]
Figure 1. Schematic diagram of the roof’s layout.
Figure 1. Schematic diagram of the roof’s layout.
Forests 09 00413 g001
Figure 2. The properties and carbon content of green roof soil. (a) Bulk density of different green roof soils. (b) Water holding capacity of different green roof soils. (c) Total carbon (TC) content of different green roof soils in different months. (d) TC content ranges for different green roof soils for the 12 months of the experiment. The different letters indicate significant differences (p-value < 0.05).
Figure 2. The properties and carbon content of green roof soil. (a) Bulk density of different green roof soils. (b) Water holding capacity of different green roof soils. (c) Total carbon (TC) content of different green roof soils in different months. (d) TC content ranges for different green roof soils for the 12 months of the experiment. The different letters indicate significant differences (p-value < 0.05).
Forests 09 00413 g002
Figure 3. The redundancy analysis (RDA) shows the relationships among soil physical properties, soil nutrients, and carbon content of the green roof components. (a) Analysis of different biochar treatments. (b) Analysis of different sludge treatments. The different treatments were: CK, urban natural soil, no biochar or sludge (Forests 09 00413 i001); 5% SB (5% SS), 5% biochar (sludge) + soil (Forests 09 00413 i002); 10% SB (10% SS), 10% biochar (sludge) + soil (Forests 09 00413 i003); 15% SB (15% SS), 15% biochar (sludge) + soil (Forests 09 00413 i004); 20%SB (20%SS), 20% biochar (sludge) + soil (Forests 09 00413 i005). The acronyms are: soil temperature (ST), soil moisture (SW), total nitrogen (TN), total phosphorus (TP), total potassium (TK), water holding capacity (WHC), air-filled porosity (AFP), bulk density (BD), total carbon content of the green roof (GC), carbon content of the plants (PC), biomass of the plants (PB), and carbon content of the substrate (SC).
Figure 3. The redundancy analysis (RDA) shows the relationships among soil physical properties, soil nutrients, and carbon content of the green roof components. (a) Analysis of different biochar treatments. (b) Analysis of different sludge treatments. The different treatments were: CK, urban natural soil, no biochar or sludge (Forests 09 00413 i001); 5% SB (5% SS), 5% biochar (sludge) + soil (Forests 09 00413 i002); 10% SB (10% SS), 10% biochar (sludge) + soil (Forests 09 00413 i003); 15% SB (15% SS), 15% biochar (sludge) + soil (Forests 09 00413 i004); 20%SB (20%SS), 20% biochar (sludge) + soil (Forests 09 00413 i005). The acronyms are: soil temperature (ST), soil moisture (SW), total nitrogen (TN), total phosphorus (TP), total potassium (TK), water holding capacity (WHC), air-filled porosity (AFP), bulk density (BD), total carbon content of the green roof (GC), carbon content of the plants (PC), biomass of the plants (PB), and carbon content of the substrate (SC).
Forests 09 00413 g003
Figure 4. Total carbon content and carbon storage of the green roof. (a) Total carbon content (g kg−1) of different green roofs. (b) Carbon storages (kg C m−2) of different green roofs.
Figure 4. Total carbon content and carbon storage of the green roof. (a) Total carbon content (g kg−1) of different green roofs. (b) Carbon storages (kg C m−2) of different green roofs.
Forests 09 00413 g004
Figure 5. Structural equation model (SEM) analysis of the effects of additives on green roofs’ carbon storage potential. (a) The mechanism of biochar influence on green roof carbon storage potential. (b) The mechanism of the sludge influence on green roof carbon storage potential. The square boxes indicate variables included in the model: Soil APF = soil air-filled porosity. The symbols “↑” and “↓” indicate a significant increase or decrease, respectively, in response to the inclusion of the additives. The number in each square box indicates the response to additives’ addition. Results of model fitting: (a) χ2 = 182.382, p = 0.061, df = 28, AGFI = 0.902. (b) χ2 = 137.692, p = 0.076, df = 28, AGFI = 0.907 (a high P value associated with a χ2 test indicates a good fit of the model to the data, i.e., no significant discrepancies, AGFI = adjusted goodness-of-fit index > 0.9 indicates that the model has a high degree of adaptation). The solid and dashed arrows indicate significant (p < 0.05) and non-significant effects (p > 0.05), respectively; the r2 values associated with the response variables indicate the proportion of variation explained by the relationships with other variables. The values associated with the solid arrows represent standardized path coefficients.
Figure 5. Structural equation model (SEM) analysis of the effects of additives on green roofs’ carbon storage potential. (a) The mechanism of biochar influence on green roof carbon storage potential. (b) The mechanism of the sludge influence on green roof carbon storage potential. The square boxes indicate variables included in the model: Soil APF = soil air-filled porosity. The symbols “↑” and “↓” indicate a significant increase or decrease, respectively, in response to the inclusion of the additives. The number in each square box indicates the response to additives’ addition. Results of model fitting: (a) χ2 = 182.382, p = 0.061, df = 28, AGFI = 0.902. (b) χ2 = 137.692, p = 0.076, df = 28, AGFI = 0.907 (a high P value associated with a χ2 test indicates a good fit of the model to the data, i.e., no significant discrepancies, AGFI = adjusted goodness-of-fit index > 0.9 indicates that the model has a high degree of adaptation). The solid and dashed arrows indicate significant (p < 0.05) and non-significant effects (p > 0.05), respectively; the r2 values associated with the response variables indicate the proportion of variation explained by the relationships with other variables. The values associated with the solid arrows represent standardized path coefficients.
Forests 09 00413 g005
Table 1. Biomass and mean total organic carbon content of green roof plants.
Table 1. Biomass and mean total organic carbon content of green roof plants.
TreatmentBiomass g Plant−1Total Organic Carbon Content g kg−1Carbon Stocks kg C m−2
CK9.09 ± 0.27 (g)351.06 ± 1.03 (i)1.15 ± 0.10 (h)
5%SB13.68 ± 0.26 (e)433.17 ± 1.05 (f)2.12 ± 0.07 (f)
10%SB17.61 ± 0.29 (c)477.38 ± 1.04 (c)3.01 ± 0.05 (c)
15%SB19.87 ± 0.44 (a)497.48 ± 1.01 (a)3.57 ± 0.03 (a)
20%SB18.55 ± 0.40 (b)483.17 ± 1.02 (b)3.25 ± 0.06 (b)
5%SS12.20 ± 0.39 (f)375.56 ± 0.29 (h)1.65 ± 0.09 (g)
10%SS15.49 ± 0.23 (d)402.42 ± 0.53 (g)2.26 ± 0.02 (e)
15%SS16.38 ± 0.57 (d)437.98 ± 0.61 (e)2.57 ± 0.07 (d)
20%SS17.31 ± 0.43 (c)457.78 ± 0.59 (d)2.86 ± 0.08 (c)
Notes: All data through different letters to indicate the significant difference between them.
Table 2. Correlation between the additives and the properties of the roof substrate.
Table 2. Correlation between the additives and the properties of the roof substrate.
BiocharSludge
pHR (Pearson correlation) −0.979−0.977
p-values<0.000<0.000
Soil air-filled porosityR (Pearson correlation) 0.9200.597
p-values<0.0000.015
Bulk density R (Pearson correlation) −0.715−0.614
p-values0.0020.011
Soil waterR (Pearson correlation) 0.9900.946
p-values<0.000<0.000
Soil temperatureR (Pearson correlation) 0.9530.954
p-values<0.000<0.000
Soil total NR (Pearson correlation) 0.9110.990
p-values<0.000<0.000
Soil total PR (Pearson correlation) 0.8390.967
p-values<0.000<0.000
Soil total KR (Pearson correlation) 0.6870.881
p-values0.003<0.000
Plant biomass R (Pearson correlation) 0.8100.925
p-values<0.000<0.000
Carbon content of plant R (Pearson correlation) 0.7870.995
p-values<0.000<0.000
Carbon content of substrateR (Pearson correlation) 0.9410.993
p-values<0.000<0.000
Carbon content of green roofR (Pearson correlation) 0.8980.989
p-values<0.000<0.000
Table 3. Carbon stocks (kg C m−2) and carbon storage (kg C m−2 year−1) of different green roofs and ecosystems.
Table 3. Carbon stocks (kg C m−2) and carbon storage (kg C m−2 year−1) of different green roofs and ecosystems.
Ecosystem TypeCarbon Stocks (kg C m−2)Reference
Extensive green roof (15% biochar substrate + Sedum lineare) 11.93In this study, Nanjing, China
Extensive green roof (20% sludge substrate + Sedum lineare) 8.82
Sedum on extensive green roof 1.19[8]
Soil or substrate of green roof (Herbaceous perennials and grasses)3.27[13]
Extensive green roofs configuration (sludge+ Nephrolepis auriculata + Ligustrum vicaryi + Liriope spicata)18.28[7]
Wetland ecosystems7.14–8.72[47]
Grassland ecosystems 1.73[48]
Field ecosystems5.21[49]
Forest and shrub ecosystems7.80[7,50]
Tropical Grassland 5.40
TypeCarbon Storage (kg C m−2 year−1)Reference
Extensive green roof (10% biochar substrate + Sedum lineare)9.33In this study, Nanjing, China
Extensive Green roof (10% sludge substrate + Sedum lineare)7.91
Entire extensive green roofs configuration (sludge+ Nephrolepis auriculata + Ligustrum vicaryi + Liriope spicata)6.47[4]
Cropland 0.12[49]
Cropland 0.11–0.91[51]
Wetland 1.17–1.76[47]

Share and Cite

MDPI and ACS Style

Chen, H.; Ma, J.; Wang, X.; Xu, P.; Zheng, S.; Zhao, Y. Effects of Biochar and Sludge on Carbon Storage of Urban Green Roofs. Forests 2018, 9, 413. https://doi.org/10.3390/f9070413

AMA Style

Chen H, Ma J, Wang X, Xu P, Zheng S, Zhao Y. Effects of Biochar and Sludge on Carbon Storage of Urban Green Roofs. Forests. 2018; 9(7):413. https://doi.org/10.3390/f9070413

Chicago/Turabian Style

Chen, Haoming, Jinyi Ma, Xinjun Wang, Pingping Xu, Shuo Zheng, and Yanwen Zhao. 2018. "Effects of Biochar and Sludge on Carbon Storage of Urban Green Roofs" Forests 9, no. 7: 413. https://doi.org/10.3390/f9070413

APA Style

Chen, H., Ma, J., Wang, X., Xu, P., Zheng, S., & Zhao, Y. (2018). Effects of Biochar and Sludge on Carbon Storage of Urban Green Roofs. Forests, 9(7), 413. https://doi.org/10.3390/f9070413

Note that from the first issue of 2016, this journal uses article numbers instead of page numbers. See further details here.

Article Metrics

Back to TopTop