Next Article in Journal
Traditional and Novel Indicators of Climate Change Impacts on European Forest Trees
Next Article in Special Issue
Land Use Affects the Soil C Sequestration in Alpine Environment, NE Italy
Previous Article in Journal
Screening of Date Palm (Phoenix dactylifera L.) Cultivars for Salinity Tolerance
Previous Article in Special Issue
An Assessment of Carbon Storage in China’s Arboreal Forests
 
 
Font Type:
Arial Georgia Verdana
Font Size:
Aa Aa Aa
Line Spacing:
Column Width:
Background:
Article

Chemical and Biochemical Properties of Soils Developed from Different Lithologies in Northwestern Spain (Galicia)

by
Valeria Cardelli
1,*,
Stefania Cocco
1,
Alberto Agnelli
2,
Serenella Nardi
3,
Diego Pizzeghello
3,
Maria J. Fernández-Sanjurjo
4 and
Giuseppe Corti
1
1
Department of Agricultural, Food and Environmental Sciences, Università Politecnica delle Marche, Ancona, 60131, Italy
2
Department of Agricultural, Food and Environmental Sciences, Università degli Studi di Perugia, Perugia, 06121, Italy
3
Department of Agronomy, Food, Natural Resources, Animals and the Environment, Università degli Studi di Padova, Legnaro, 35020, Italy
4
Department of Soil and Agronomic Chemistry, Universidade de Santiago de Compostela, Lugo, 27001, Spain
*
Author to whom correspondence should be addressed.
Forests 2017, 8(4), 135; https://doi.org/10.3390/f8040135
Submission received: 15 March 2017 / Revised: 11 April 2017 / Accepted: 19 April 2017 / Published: 22 April 2017
(This article belongs to the Special Issue Soil Carbon Sequestration in Forests)

Abstract

:
Physical and chemical soil properties are generally correlated with the parent material, as its composition may influence the pedogenetic processes, the content of nutrients, and the element biocycling. This research studied the chemical and biochemical properties of the A horizon from soils developed on different rocks like amphibolite, serpentinite, phyllite, and granite under a relatively similar climatic regime from Galicia (northwest Spain). In particular, the effect of the parent material on soil evolution, organic carbon sequestration, and the hormone-like activity of humic and fulvic acids were tested. Results indicated that all the soils were scarcely fertile because of low concentrations of available P, exchangeable Ca (except for the soils on serpentinite and phyllite), and exchangeable K, but sequestered relevant quantities of organic carbon. The scarce soil fertility was common to all soils independently of the parent material, and we attributed this similarity to the pedogenetic pressure induced by the climatic conditions. Also, the hormone-like activity of humic and fulvic acids, similar for all the soils, was probably due to pedogenesis. We hypothesized that the hormone-like activity of the humic substances helps growth and diffusion of vegetation in low fertile soils and, consequently, soil organic carbon sequestration too.

1. Introduction

Lithology is one of the driving factors to determine soil chemical, physical, and mineralogical properties. Studies have confirmed correlations between parent material and soil texture, pH, porosity, and moisture content [1,2], but also nutrient cycling [3] and fertility [4]. Thus, these characteristics are able to select the aboveground vegetation [5,6] and the soil biological features [7] even in environments that are extreme for climatic or geochemical reasons. For example, Kooijman et al. [8] observed that the bedrock type influenced the ecosystem functioning in a Mediterranean forest of northeast Spain, with small tree height and scarce vegetation cover on granite derived soils. However, although granitic rocks are generally nutrient poor parent materials, some varieties have a chemical and mineralogical composition that may induce good soil fertility [9]. The parent material composition may largely influence the rate of soil carbon sequestration, even though pedogenesis and element biocycling can affect this rate, with consequences on environment and human health [10]. For example, metamorphic rocks such as serpentinite and gabbro produce soils with a natural abundance of heavy metals like Ni, Zn, Mn, Cr, Cd, Co, and Cu [11,12]. Additionally, soils derived from these rocks are often poor of essential nutrients such as Ca, K, and P, have a high Mg/Ca ratio [13], and high levels of Mg and Fe [14]. Nonetheless, under certain environmental conditions these soils may accumulate an amount of organic matter that, through the formation of stable complexes between humic substances and heavy metals, reduces the bioavailability of these latter [15,16]. However, the vegetation growing on soils developed from these lithologies is adapted to the various disadvantageous conditions and, apart from the positive activity exerted by the humic substances, plants have developed biochemical and biological adaptations to limit heavy metals uptake and translocation (e.g., [17]) and overcome chemical and nutritional stresses (e.g., [14,18]). Among the strategies adopted, symbiosis with arbuscular mycorrhizal fungi allow vegetation to increment its edaphic tolerance (e.g., [19]). Among the soil-plant relationships that are functional in terms of improving plant resilience and, consequently, biomass production and soil carbon sequestration, the hormone-like activity of the humic substances seems to have an important role [20,21,22]. Humic substances exert a hormone-like activity due to the presence of indole-3-acetic acid (IAA), a plant hormone of the auxin class [23,24]. The influence of humic substances on plant development is strictly correlated to the quantity of IAA, which can have an inhibitory effect at concentrations between 0.1 and 1 mM, but may stimulate the growth of plants at concentrations ranging from 0.1 μM to 0.1 mM through direct influence on physiological targets [20]. In soils under cold climatic conditions, the hormone-like acitivity of the humic substances is fundamental for allowing some species to survive [25].
In Galicia (northwest Spain), a wide lithological variability generated a considerable pedo-diversity [26,27]. Here, the humid climate provides precipitations much higher than the evapotranspiration for long periods. This fact, together with an accelerated chemical weathering due to the mild temperature and a soil acidification favored by the non-carbonatic nature of the lithologies, induces an intense cation leaching and the genesis of poor soils [28]. On granite and quartz schists, these environmental conditions cause the release of Al in different forms and, because of the acidic soil pH and the scarcity of clay minerals, this Al can enter the soil solution and threaten the vegetation [29]. However, a high organic matter content, and specifically that of humic substances, may promote the formation of stable organo-Al complexes, and thereby reduce the soil Al activity [30]. In soils developed from serpentinite, the abundance of heavy metals is high, but the formation of organo-metal complexes reduces the availability of these elements (e.g., [31]). Also, in these soils, we suspected that humic substances might have a hormone-like activity and favor soil carbon sequestration by stimulating resilience and biomass production of the vegetation.
The aim of the present study was to evaluate the effect of the lithology on chemical and biological properties of the superficial mineral horizon of soils developed from four parent rocks. In particular, we assessed the differences in terms of soil evolution, soil carbon sequestration, and hormone-like activity of humic and fulvic acids. The selected soils developed from amphibolite, serpentinite, phyllite, and granite in a restricted area of Galicia (northwest Spain) where the soil temperature and moisture regimes were similar.

2. Materials and Methods

2.1. Study Sites

The study area was located in the provinces of La Coruña and Lugo, in Galicia (northwest Spain) (Figure 1). Taking advantage of the elevated lithological variability of the region, we selected five locations developed from four different parent rocks: amphibolite, serpentinite, phyllite, and granite. On granite, we took into consideration two areas of the same location with different vegetation: a former Pinus sylvestris L. wood that was cut four years before this study, and a Quercus robur L. wood 40–60 years old. The sampling areas receive a mean annual precipitation ranging from 845 to 1619 mm, and have a mean annual temperature from 10.5 to 12.2 °C, with mean summer and mean winter temperatures that differ by more than 6 °C. Because of this, the soil moisture regime is udic and the soil temperature regime is mesic for all the soils. Details on vegetation and environmental conditions of each area are provided in Table 1.

2.2. Soil Sampling

In each location, we conducted a soil survey with the opening of auger holes and mini-pits to select a study site representing the average condition of the place. In every study site, two soil profiles were dug until the parent rock; each profile was 8–12 m away one from the other. The soils were morphologically described according to Schoeneberger et al. [33]. Except for the soils on amphibolite, in all the other cases there were two A horizons, which were collected together to form a whole sample. Hence, a large amount of the A horizon (at least 2 kg) was collected from each profile. At each site, two additional samples of A horizon were taken in the surrounding of the profiles in order to have four samples per site. The samples were stored in a portable refrigerator. Once in the laboratory, the samples were allowed to air-dry and were subsequently sieved using a 2 mm mesh.

2.3. Physical and Chemical Analyses

Mineralogy was assessed by X-ray diffraction with a Philips PW 1830 diffractometer (Fe-filtered Co Kα1 radiation, input voltage of 35 kV, and current of 25 mA). After identification of the minerals on the basis of their characteristic peaks, a semi-quantitative estimation of the mineralogical assemblage was obtained by estimating the area of the diagnostic peak by multiplying the peak height by the width at half-height.
Soil pH in H2O and in KCl (solid:liquid ratio 1:2.5) was measured by a combined glass-calomel electrode. Total C and N were determined by a Carlo Erba EA1110 dry combustion analyzer, and the available P was estimated with the Olsen method [34]. According to Agnelli et al. [35], exchangeable cations were determined on 5 g sample placed into a plastic container, submerged with a 0.2 M BaCl2 solution (solid:liquid ratio 1:10), and gently shaken on a horizontal shaker for 90 min at room temperature. Then, the suspension was left to stand for 30 min and decanted. The solution was filtered through Whatman 42 paper and analyzed for exchangeable Ca, Mg, K, and Na with a Shimadzu AA–6300 atomic absorption spectrophotometer, and for Al with a Varian SpecttrAA 220Z atomic absorption spectrophotometer equipped with graphite furnace. Exchangeable H was calculated as the difference between the pH of the 0.2 M BaCl2 solution before and after the contact with the sample [36]. Effective cation exchange capacity (ECEC) was determined as the sum of exchanged Ca, Mg, K, Na, Al, and H; Al saturation as the percent of exchangeable Al over ECEC; and base saturation as the percentage of exchangeable Ca + Mg + K + Na over ECEC was also calculated.
To estimate the amount of carbon sequestered in the A horizon of each location, the bulk density of the A horizon was determined on the base of the pedofunction proposed by Hollis [37]. The amount of soil organic carbon sequestered was expressed in T of carbon per hectare of A horizon (T ha−1).

2.4. Organic Matter Fractionation

The organic matter was fractionated following a sequential fractionation procedure. Briefly, 40 g of sample was placed into a beaker, submerged with water (solid:liquid ratio 1:2.5), and shaken overnight. Afterward, the suspension was left to stand for a few hours and the supernatant was separated from the extraction residue by decantation. The decanted suspension was filtered through Whatman 42 paper. The solution that passed through the filter contained the water-extractable organic matter (WEOM), while the material that remained on the filter was the free particulate organic matter (POM), which is mainly made of partially decomposed vegetal and animal debris. The solution was immediately recovered in refrigerator, while the POM was dried at 40 °C. To submit the extraction residue to alkaline separation [38], it was transferred into a centrifuge tube and added to 100 mL of a 0.1 M NaOH solution. The suspension was gently shaken overnight; then, it was centrifuged for 15 min at about 15,000× g and filtered through Whatman 42 paper. The extraction with 100 mL of 0.1 M NaOH solution was then repeated. The extraction residue was washed twice, each time with 50 mL of distilled water; the obtained solutions were recovered after centrifugation and filtration, and added to the NaOH extract. The organics dissolved in this extract represented the total extractable organic matter (TEOM), which was treated with a 6 M H2SO4 solution until pH 1.2 and left to stand one night. After standing overnight the samples were centrifuged for 10 min at about 15,000× g to separate the precipitated humic acids (HA) from the fulvic acid (FA) that remained in solution. The extraction residue containing the non-extractable organic matter (NEOM) was dried at 40 °C and weighed. All solutions and solid fractions were analyzed for their organic C content by dichromate digestion at 180 °C for 30 min [39], and their contents were expressed in terms of C as WEOM (water extractable organic carbon, WEOC), POM (particulate organic carbon, POC), TEOM (total extractable organic carbon, TEOC), and NEOM (non-extractable organic carbon, NEOC). For the bioassay, HA and FA of only one profile per site were purified through permeable membranes (cutoff 1000) immersed in distilled water.

2.5. Bioassay of Auxin-Like Activity of the Humic Substances

The auxin-like activity of HA and FA was assessed by the growth reduction of watercress (Lepidium sativum L.) roots [40]. Watercress seeds were surface-sterilized by immersion in 1% hydrogen peroxide for 15 min. After rinsing five times with sterile distilled water, 20 seeds were placed on sterile filter paper in a sterile Petri dish. The filter paper was wetted with 1.2 mL of 1 mM CaSO4 (control), or 1.2 mL of 20, 10, 5, 2.5, 1, 0.5, 0.1, 0.01, and 0 mg L−1 indole-3-acetic acid (IAA) (Sigma) solution; another set of seeds placed in Petri dishes was added to 1.2 mL of 0.5, 0.005, 0.0005, 0.000005, and 0.00000001 mg L−1 of purified HA or FA. The seeds germinated in the dark at 25 °C in a germination room. After 48 h, the seedlings were removed and the root lengths were measured with a TESA-CAL IP67 electronic caliper (TESA, Renens, Switzerland) and Data Direct software, version 1 (ArtWare, Asti, Italy).

2.6. Statistical Analysis

Except mineralogy and bioassay, all the analyses were run in double on each sample. The values obtained for each sample were averaged, and these averages were used to calculate the mean for each A horizon. In all cases, the standard deviation was calculated for n = 4. These data were statistically treated with R software [41] and differences between samples were tested by the analysis of variance (ANOVA), after checking the parametricity of the dataset by the Shapiro-Wilk statistic test (“stats” package) for normality and by Levene’s test (“car” package) for homoscedasticity, both at 5% significance level. Data that did not confirm the assumptions were log, exponential, and reciprocal transformed. We considered the ANOVA test as significant when p < 0.05; differences between means were compared using a post-hoc Tukey’s Honest Significant Difference (HSD) test with p < 0.05.
For each site, the mineralogical analysis was conducted only on the two samples collected from the soil profiles, and the results were averaged. However, because of the approach used for the mineralogical analysis, only a semi-quantitative estimation was obtained; hence, we provide an estimate of the mineralogical assemblage with no statistical treatment of the data.
Bioassay tests were run using HA and FA of one of the two A horizons collected from the soil profiles. The data obtained were processed by linear regression analysis to calculate the HA and FA dose–response curves by using SPSS for Windows software, version 18.0 (SPSS, Chicago, IL, USA). Before regression, data were transformed on a natural logarithmic scale to obtain the best linear fitting. Three replicates per experiment were performed and standard errors were always less than 5%.

3. Results

3.1. Soil Morphology

Soil development in terms of both horizon differentiation and thickness of the solum (A + B horizons) was the poorest for the soils developed from serpentinite and phyllite, followed by those on amphibolite and granite (Table 1). Generally, all the soils were moderately to well structured, usually with abundant roots, at least in the A horizons. Only the soil on serpentinite displayed a relatively low number of roots. The soil originated from amphibolite, serpentinite, and phyllite, because of their small development, were Entisols, while those on granite were Inceptisols.

3.2. General Properties

The mineralogical composition of the soils mostly reflected that of the parent rock (Table 2). A greater variety of minerals was in the soil developed from serpentinite, with relatively high concentrations of serpentine, chlorite, pyroxenes, and amphiboles, and lower contents of quartz, plagioclases, and albite. In contrast, a simplified mineralogical composition was detected in the soils derived from granite, which were made of quartz, plagioclases, micas, and kaolinite. Small amounts of kaolinite were found in all the soils except that on serpentinite, while traces of 2:1 secondary clay minerals were detected in all the soils.
The calculated bulk density of the A horizons was 0.84 (standard deviation 0.06) g dm−3 for the soil on amphibolite, 0.85 (0.07) g dm−3 for that on serpentinite, 0.79 (0.03) g dm−3 on phyllite, 1.03 (0.10) g dm−3 on granite under pine, and 0.84 (0.05) g dm−3 on granite under oak. These values well agreed with those reported by Rodríguez-Lado et al. [42] for topsoils of Galicia.
The soils displayed acid to sub-acid pHs, with values of pHKCl 0.5–0.9 pH units lower than those in water (Table 3). The content of available P was always lower than 10 mg kg−1 (Table 3), much less than the deficiency limit considered for the method used, 23 mg kg−1 [34]. In the soils on amphibolite, phyllite, and granite under oak, this condition of low fertility was worsened by the low ECEC, in all cases dominated by Al, which amounted to about 69% of the ECEC (Table 3). The soil on serpentinite showed the highest ECEC and the lowest Al saturation, but a very low Ca/Mg ratio of about 0.20. The total nitrogen (TN) content was relatively higher in the soil on amphibolite, while the lowest amount was detected in the soil on granite under oak (Table 4). Conversely, the total organic carbon (TOC) content was relatively high in all the soils, except in that on granite under pine (Table 4). The WEOC represented the lowest component of TOC, never exceeding the proportion of 1.21% as in the soil on serpentinite (Table 4). The POC was relatively high in the soil on granite under oak, while the lowest value was found in that under pine (Table 4). The contents of HA and FA were similar in all the soils, with HA always higher than FA (Table 4). The total content of HA + FA assumed proportions to TOC ranging from ~20 to ~49%, with the lowest proportion in the soil on amphibolite and the highest in that on granite under oak. The NEOC, which represent the organic carbon fraction most recalcitrant to degradation, was higher in the soils on amphibolite and phyllite than in the others (Table 4).
The amount of organic carbon sequestered by the A horizons was calculated considering the mass-based concentration of TOC, the bulk density, and the thickness of each A horizon. This quantity was 228 (standard deviation 17) T ha−1 for the soil on amphibolite, 76 (20) T ha−1 for that on serpentinite, 145 (39) T ha−1 on phyllite, 148 (15) T ha−1 on granite under pine, and 343 (81) T ha−1 on granite under oak.

3.3. Response of Auxin-Like Activity of Humic Substances

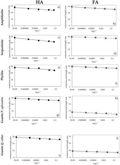
IAA and humic substances induced significant dose-dependent response, with p varying from 0.000 to 0.050 (Table 5). The treatment with IAA showed a decrement in length of roots with the increasing of its concentration (Figure 2), and the logarithmic model explained 98% of the variability (Table 5). Similar results were obtained with HA and FA of all the soils (Figure 3), with an explained variability of more than 90%, with the exception of HA on phyllite where R2 amounted to about 83%.

4. Discussion

4.1. Morphology and General Properties of the Selected Soils

Amphibolite, serpentinite, and phyllite are known to be parent rocks originating poorly developed soils under different environmental conditions (e.g., [43,44,45,46]). In contrast, under many climatic regimes granite often originates Inceptisols (e.g., [47]).
The chemical analyses showed data similar to those obtained in other studies conducted on soils developed from different parent materials of Galicia [26,48]. The similarity of results obtained by several studies on the soils of this area indicated that climatic conditions like precipitation and temperatures would play a key role on pedogenetic processes. As a demonstration of this, the soil on serpentinite displayed an acid pH, even though this is an ultramafic rock and usually originates soils with neutral to sub-alkaline pH values [49,50]. In our case, the sub-acid pHH2O and the lowest pHKCl of the soil on serpentinite were probably due to the high weathering experienced by this soil in spite of its poor drainage. This was ascribed to the relatively high precipitation and mild temperature of this area, which would have favored accumulation of organic matter also in a poor soil like this. Notwithstanding this, the base saturation was extremely high (>95%) due to the high content of exchangeable Mg. Because of the presence of serpentine and chlorite, this amount of exchangeable Mg was ascribed to the alteration of both these minerals [51]. However, it is also possible that most of this Mg was in soluble rather than in exchangeable form [52]. The very low Ca/Mg ratio of this soil showed one of the peculiarities of the soils from serpentinite, which are frequently subjected to imbalances of available Ca and Mg, together with a low content of nutrients [53] and a high content of heavy metals able to induce the so-called “serpentinite syndrome”, which selects plant species capable of resisting all these chemical difficulties [54,55]. However, all the soils showed scarce fertility, with low values of available P, exchangeable Ca (with the exception of the soils on serpentinite and phyllite), and exchangeable K. This diffused condition was attributed to both parent rocks and environmental conditions. These two factors and the sub-acid pH are considered responsible for potential Al toxicity [56]. Because of this, in the soils here studied except that on serpentinite, the exchangeable Al represented a proportion of ECEC ranging from 46 to 69%. For the soil on granite under pine, the relatively high content of exchangeable Mg, which was considerably higher than that of the other soil on granite (about 600 m far), was attributed to fertilizations with carbonaceous materials usually made in the pine plantations of this area.
The TOC content was similar and rather high in all the soils, except for that on granite under pine. This soil displayed the lowest TOC content and the lowest thickness of the O horizon, and both these conditions could have been produced by the fertilizers applied to the pine plantation. Indeed, a relatively low C/N ratio (<20) was found only in this soil and in that derived from amphibolite, those where fertilizations or the nature of the ultramafic rock could have fostered the degradation of the organic matter. The amounts of organic carbon sequestered by the A horizons ranged from 76 to 343 T ha−1, in agreement with those reported by Calvo de Anta et al. [57] for the topsoil of shrublands and forests of Galicia. The lowest value was obtained for the soil on serpentinite, the most hostile for vegetation and biomass production, while the highest values were of the soils on granite under oak and amphibole, those relatively more fertile. The discrepancies between TOC content (Table 4) and the organic carbon sequestered in the soils on serpentinite and granite under pine were attributed to the different behavior of the vegetation. On serpentinite, plant roots explored a small soil depth and produced a thin A horizon where organics accumulated, while on granite under pine the roots colonized more soil, thereby diluting the accumulation of organics. On granite under oak, both A horizon thickness and organic carbon accumulation were considerable; therefore, the soil organic carbon sequestered was the highest.
The soils on amphibolite and granite under oak represented the extremes in the distribution of organic forms over the organic carbon sequestered in the A horizon. On amphibole, NEOC (which represents the humified organic matter intimately mixed with minerals [58]) was the most represented fraction followed by HA + FA, while the contrary was true on granite under oak. This latter soil also showed the highest POC proportion, and this was attributed to the richness of lignin and tannins of the oak biomass, which was able to lower the degradation rate (e.g., [59,60]).

4.2. Hormone-Like Activity of HA and FA

Soil acidic conditions and a low content of available Ca are considered to be conditions that are able to induce the formation of auxin-like substances in the humic substances [21,25], and all the soils here studied respected these conditions. In fact, both HA and FA of all the soils showed a hormone-like activity that might contribute to regulate the growth of the root main axes and their density, and the surface absorbing area. In this way, the plants would be able to uptake a higher amount of nutrients because of the stimulation offered by the humic substances formed in the soil [21,22]. The HA extracted from the soil derived from serpentinite displayed the greatest auxin-like activity. As the soils from serpentinite are generally critical for plant growth because of low fertility (caused by low nutrient content, low Ca/Mg ratio, and low available P) and abundance of heavy metals (e.g., [50,51]), it is here advanced the hypothesis that the hormone-like activity of both HA and FA could have fostered growth and diffusion of vegetation in this hostile environment. Once produced, biomass accumulated in soil because of its transformation operated by an adapted microflora. Then, humic substances probably accumulate because of the formation of organo-metal complexes.

5. Conclusions

This study confirmed that the main chemical properties of the soils are mostly controlled by the nature of the parent material, which influences the soil nutrient content and the degree of fertility and toxicity. Because of the high weathering rate due to climatic conditions, the Galician soils developed on the studied parent rocks showed a general low fertility, and an ensemble of limiting factors that produced a rather inhospitable environment for plants. In spite of this, even in the most hostile soil (that on serpentinite) there is an organic carbon sequestration that partly depends on the auxin-like activity of the humic substances. The hormone-like activity exerted by HA and FA is able to stimulate plants, so they can grow and produce biomass, which then becomes soil organic matter. From the degradation of this latter, the formation of humic substances has the double effect of supplying the soil with hormone-like molecules and polymers that are able to complex heavy metals and other elements. Complexation of heavy metals reduces their toxic effect and increases soil sequestration of organic carbon as, once the complexes are formed, the organics are less degradable. From this point of view, preoccupations should raise if fires, climate change, or other activities like forest floor removal would lead to a strong reduction of litter and humic substances.

Acknowledgements

We are indebted with Fabio Brecciaroli for his help in lab analyses.

Author Contributions

V.C., S.C., A.A., S.N., D.P., M.J.F.S., and G.C. conceived and designed the study; M.J.F.S., S.C., and G.C. collected the samples and performed the physicochemical and mineralogical analyses; S.N., V.C., and D.P. performed the bioassay analyses; M.J.F.S., A.A., D.P., and V.C. analyzed the data; V.C., S.C., A.A., S.N., D.P., M.J.F.S., and G.C. wrote the paper.

Conflicts of Interest

The authors declare no conflict of interest.

References

  1. Gökbulak, F.; Özcan, M. Hydro-physical properties of soils developed from different parent materials. Geoderma 2008, 145, 376–380. [Google Scholar] [CrossRef]
  2. Sierra, M.; Martínez, F.J.; Sierra, C.; Aguilar, J. Correlations between pedological parameters in relation to lithology and soil type in Almería (SE Spain). J. Arid Environ. 2009, 73, 493–498. [Google Scholar] [CrossRef]
  3. Anderson, D.W. The effect of parent material and soil development on nutrient cycling in temperate ecosystems. Biogeochemistry 1988, 5, 71–97. [Google Scholar] [CrossRef]
  4. Anda, M.; Suryani, E.; Husnain; Subardja, D. Strategy to reduce fertilizer application in volcanic paddy soils: Nutrient reserves approach from parent materials. Soil Tillage Res. 2015, 150, 10–20. [Google Scholar] [CrossRef]
  5. Cocco, S.; Agnelli, A.; Gobran, G.R.; Corti, G. Changes induced by the roots of Erica arborea L. to create a suitable environment in a soil developed from alkaline and fine-textured marine sediments. Plant Soil 2013, 368, 297–313. [Google Scholar] [CrossRef]
  6. Leonard, J.; Medina, A.; Neary, D.; Tecle, A. The influence of parent material on vegetation response 15 years after the Dude Fire, Arizona. Forests 2015, 6, 613–635. [Google Scholar] [CrossRef]
  7. Canfora, L.; Bacci, G.; Pinzari, F.; Lo Papa, G.; Dazzi, C.; Benedetti, A. Salinity and bacterial diversity: To what extent does the concentration of salt affect the bacterial community in a saline soil? PLoS ONE 2014, 9, e106662. [Google Scholar] [CrossRef] [PubMed]
  8. Kooijman, A.M.; Jongejans, J.; Sevink, J. Parent material effects on Mediterranean woodland ecosystems in NE Spain. Catena 2005, 59, 55–68. [Google Scholar] [CrossRef]
  9. Da Silva, Y.J.A.B.; do Nascimento, C.W.A.; van Straaten, P.; Biondi, C.M.; de Souza Júnior, V.S. Effect of I- and S-type granite parent material mineralogy and geochemistry on soil fertility: A multivariate statistical and Gis-based approach. Catena 2017, 149, 64–72. [Google Scholar] [CrossRef]
  10. Palumbo, B.; Angelone, M.; Bellanca, A.; Dazzi, C.; Hauser, S.; Neri, R.; Wilson, J. Influence of inheritance and pedogenesis on heavy metal distribution in soils of Sicily, Italy. Geoderma 2000, 95, 247–266. [Google Scholar] [CrossRef]
  11. Rajapaksha, A.U.; Vithanage, M.; Oze, C.; Bandara, W.M.A.T.; Weerasooriya, R. Nickel and manganese release in serpentine soil from the Ussangoda Ultramafic Complex, Sri Lanka. Geoderma 2012, 189, 1–9. [Google Scholar] [CrossRef]
  12. Vithanage, M.; Rajapaksha, A.U.; Oze, C.; Rajakaruna, N.; Dissanayake, C.B. Metal release from serpentine soils in Sri Lanka. Environ. Monit. Assess. 2014, 186, 3415–3429. [Google Scholar] [CrossRef] [PubMed]
  13. Brady, K.U.; Kruckeberg, A.R.; Bradshaw, H.D.J. Evolutionary ecology of plant adaptation to serpentine soils. Annu. Rev. Ecol. Evol. Syst. 2005, 36, 243–266. [Google Scholar] [CrossRef]
  14. Baumeister, J.L.; Hausrath, E.M.; Olsen, A.A.; Tschauner, O.; Adcock, C.T.; Metcalf, R.V. Biogeochemical weathering of serpentinites: An examination of incipient dissolution affecting serpentine soil formation. Appl. Geochem. 2015, 54, 74–84. [Google Scholar] [CrossRef]
  15. Caillaud, J.; Proust, D.; Philippe, S.; Fontaine, C.; Fialin, M. Trace metals distribution from a serpentine weathering at the scales of the weathering profile and its related weathering microsystems and clay minerals. Geoderma 2009, 149, 199–208. [Google Scholar] [CrossRef]
  16. Olaniran, A.O.; Balgobind, A.; Pillay, B. Bioavailability of heavy metals in soil: Impact on microbial biodegradation of organic compounds and possible improvement strategies. Int. J. Mol. Sci. 2013, 14, 10197–10228. [Google Scholar] [CrossRef] [PubMed]
  17. Bini, C.; Maleci, C. The “serpentine syndrome” (H. Jenny, 1980): A proxy for soil remediation. Int. J. Environ. Qual. EQA 2014, 15, 1–13. [Google Scholar]
  18. Gonnelli, C.; Renella, G. Nickel and Chromium. In Heavy Metals in Soils: Trace Metals and Metalloids in Soils and Their Availability; Alloway, B.J., Ed.; Springer: Dordrecht, The Netherlands, 2013; pp. 335–366. [Google Scholar]
  19. Doubková, P.; Suda, J.; Sudová, R. The symbiosis with arbuscular mycorrhizal fungi contributes to plant tolerance to serpentine edaphic stress. Soil Biol. Biochem. 2012, 44, 56–64. [Google Scholar] [CrossRef]
  20. Nardi, S.; Pizzeghello, D.; Muscolo, A.; Vianello, A. Physiological effects of humic substances on higher plants. Soil Biol. Biochem. 2002, 34, 1527–1536. [Google Scholar] [CrossRef]
  21. Nardi, S.; Pizzeghello, D.; Reniero, F.; Rascio, N. Chemical and biochemical properties of humic substances isolated from forest soils and plant growth. Soil Sci. Soc. Am. J. 2000, 64, 639–645. [Google Scholar] [CrossRef]
  22. Pizzeghello, D.; Cocco, S.; Francioso, O.; Ferrari, E.; Cardinali, A.; Nardi, S.; Agnelli, A.; Corti, G. Snow vole (Chionomys nivalis Martins) affects the redistribution of soil organic matter and hormone-like activity in the alpine ecosystem: Ecological implications. Ecol. Evol. 2015, 5, 4542–4554. [Google Scholar] [CrossRef] [PubMed]
  23. Pizzeghello, D.; Francioso, O.; Ertani, A.; Muscolo, A.; Nardi, S. Isopentenyladenosine and cytokinin-like activity of different humic substances. J. Geochem. Explor. 2013, 129, 70–75. [Google Scholar] [CrossRef]
  24. Pizzeghello, D.; Zanella, A.; Carletti, P.; Nardi, S. Chemical and biological characterization of dissolved organic matter from silver fir and beech forest soils. Chemosphere 2006, 65, 190–200. [Google Scholar] [CrossRef] [PubMed]
  25. Pizzeghello, D.; Nicolini, G.; Nardi, S. Hormone-like activities of humic substances in different forest ecosystems. New Phytol. 2002, 155, 393–402. [Google Scholar] [CrossRef]
  26. Guitián, F.; Carballas, T. Suelos de la zona hứmeda española. V. Factores de formacion: Material geologico. An. Edafol. Agrobiol. 1969, 28, 191–204. [Google Scholar]
  27. Ibáñez, J.J.; Zinck, J.A.; Dazzi, C. Soil geography and diversity of the European biogeographical regions. Geoderma 2013, 192, 142–153. [Google Scholar] [CrossRef]
  28. Macías, F.; de Anta, R.C.; García, C.; García-Rodeja, E.; Silva, B. El material original: Su formación e influencia en las propiedades de los suelos de Galicia. An. Edafol. Agrobiol. 1982, 41, 1747–1768. [Google Scholar]
  29. Eimil-Fraga, C.; Álvarez-Rodríguez, E.; Rodríguez-Soalleiro, R.; Fernández-Sanjurjo, M.J. Influence of parent material on the aluminium fractions in acidic soils under Pinus pinaster in Galicia (NW Spain). Geoderma 2015, 255, 50–57. [Google Scholar] [CrossRef]
  30. Li, W.; Johnson, C.E. Relationships among pH, aluminum solubility and aluminum complexation with organic matter in acid forest soils of the Northeastern United States. Geoderma 2016, 271, 234–242. [Google Scholar] [CrossRef]
  31. Van der Born, G.J.; Buurman, P. Soil formation on mafic rocks of north Galicia, Spain 1. Soil and classification. Neth. J. Agric. Sci. 1985, 33, 62–64. [Google Scholar]
  32. Soil Survey Staff. Keys to Soil Taxonomy, 12th ed.; USDA–Natural Resources Conservation Service: Washington, DC, USA, 2014.
  33. Schoeneberger, P.J.; Wysocki, D.A.; Benham, E.C. Soil Survey Staff Field Book for Describing and Sampling Soils; Version 3.0; Natural Resources Conservation Service, National Soil Survey Center: Lincoln, NE, USA, 2012.
  34. Olsen, S.R.; Cole, C.V.; Watanabe, F.S.; Dean, L.A. Estimation of available phosphorus in soils by extraction with sodium bicarbonate. In USDA Circular; U.S. Government Printing Office: Washington, DC, USA, 1854; p. 19. [Google Scholar]
  35. Agnelli, A.; Cocco, S.; Massaccesi, L.; Courchesne, F.; Ugolini, F.C.; Corti, G. Features of skeleton water-extractable fines from different acidic soils. Geoderma 2017, 289, 82–96. [Google Scholar] [CrossRef]
  36. Corti, G.; Agnelli, A.; Ugolini, F.C. Release of Al by hydroxy-interlayered vermiculite and hydroxy-interlayered smectite during determination of cation exchange capacity in fine earth and rock fragments fractions. Eur. J. Soil Sci. 1997, 48, 249–262. [Google Scholar] [CrossRef]
  37. Hollis, J.M.; Jones, R.J.A.; Palmer, R. The effects of organic matetr and particle size on the water retention properties of some soils in West Midlands of England. Geoderma 1977, 17, 225–238. [Google Scholar] [CrossRef]
  38. Nelson, D.W.; Sommers, L.E. Total carbon, organic carbon, and organic matter. In Methods of Soil Analysis. Chapter 3. Chemical Methods; Sparks, D.L., Ed.; Soil Science Society of America Inc.: Madison, WI, USA, 1996. [Google Scholar]
  39. Allison, L.E. Wet-combustion apparatus and procedure for organic and inorganic carbon in soil. Soil. Sci. Soc. Am. Proc. 1960, 24, 36–40. [Google Scholar] [CrossRef]
  40. Audus, L.J. Plant Growth Substances: Chemistry and Physiology. In Plant Science Monograph; Hill, L. Publisher: London, UK, 1972. [Google Scholar]
  41. R Development Core Team. R: A Language and Environment for Statistical Computing; R Foundation for Statistical Computing: Vienna, Austria, 2008; Available online: http//www.cran.r-project.org (accessed on 6 January 2016).
  42. Rodríguez-Lado, L.; Rial, M.; Taboada, T.; Martínez Cortizas, A. A pedotransfer function to map soil bulk density from limited data. Procedia Environ. Sci. 2015, 27, 45–48. [Google Scholar] [CrossRef]
  43. Lessovaia, S.N.; Polekhovsky, Y.S. Mineralogical composition of shallow soils on basic and ultrabasic rocks of east Fennoscandia and of the Ural mountains, Russia. Clays Clay Miner. 2009, 57, 476–485. [Google Scholar] [CrossRef]
  44. Meeker, G.P.; Lowers, H.A.; Swayze, G.A.; Van Gosen, B.S.; Sutley, S.J.; Brownfield, I.K. Mineralogy and morphology of amphiboles observed in soils and rocks in El Dorado Hills, California. In Geological Survey Open-File Report 2006-1362; U.S Environmental Protection Agency Region 9 IAG DW1492190501-2; U.S. Department of the Interior & U.S. Geological Survey: Reston, VI, USA, 2006; p. 47. [Google Scholar]
  45. Bonifacio, E.; Falsone, G.; Catoni, M. Influence of serpentine abundance on the vertical distribution of available elements in soils. Plant Soil 2013, 368, 493–506. [Google Scholar] [CrossRef]
  46. Galán, E.; Fernández-Caliani, J.C.; González, I.; Aparicio, P.; Romero, A. Influence of geological setting on geochemical baselines of trace elements in soils. Application to soils of South–West Spain. J. Geochem. Explor. 2008, 98, 89–106. [Google Scholar] [CrossRef]
  47. Pal, D.K.; Wani, S.P.; Sahrawat, K.L.; Srivastava, P. Red ferruginous soils of tropical Indian environments: A review of the pedogenic processes and its implications for edaphology. Catena 2014, 121, 260–278. [Google Scholar] [CrossRef]
  48. Fernández Sanjurjo, M.J.; Corti, G.; Ugolini, F.C. Chemical and mineralogical changes in a polygenetic soil of Galicia, NW Spain. Catena 2001, 43, 251–265. [Google Scholar] [CrossRef]
  49. DeGrood, S.H.; Claassen, V.P.; Scow, K.M. Microbial community composition on native and drastically disturbed serpentine soils. Soil Biol. Biochem. 2005, 37, 1427–1435. [Google Scholar] [CrossRef]
  50. Alexander, E.B.; DuShey, J. Topographic and soil differences from peridotite to serpentinite. Geomorphology 2011, 135, 271–276. [Google Scholar] [CrossRef]
  51. Bonifacio, E.; Zanini, E.; Boero, V.; Franchini-Angela, M. Pedogenesis in a soil catena on serpentinite in north-western Italy. Geoderma 1997, 75, 33–51. [Google Scholar] [CrossRef]
  52. Corti, G. Influenza dell′alterazione dei minerali primari nella determinazione della capacità di scambio cationico nei suoli su rocce ofiolitiche. Agrochimica 1993, 37, 388–399. [Google Scholar]
  53. Anda, M. Cation imbalance and heavy metal content of seven Indonesian soils as affected by elemental compositions of parent rocks. Geoderma 2012, 189–190, 388–396. [Google Scholar] [CrossRef]
  54. Jenny, H. The Soil Resource: Origin and Behaviour; Springer: New York, NY, USA, 1980. [Google Scholar]
  55. Roberts, B.A.; Proctor, J. (Eds.) The Ecology of Areas with Serpentinized Rocks—A World View; Springer Science + Business Media: Dordrecht, The Netherlands, 1992. [Google Scholar]
  56. Kunito, T.; Isomura, I.; Sumi, H.; Park, H.-D.; Toda, H.; Otsuka, S.; Nagaoka, K.; Saeki, K.; Senoo, K. Aluminum and acidity suppress microbial activity and biomass in acidic forest soils. Soil Biol. Biochem. 2016, 97, 23–30. [Google Scholar] [CrossRef]
  57. Calvo de Anta, R.; Luís Calvo, E.; Casás Sabarís, F.; Galiñanes Costa, J.M.; Matilla Mosquera, N.; Macías Vázquez, F.; Camps Arbestain, M.; Vázquez García, N. Soil organic carbon in northern Spain (Galicia, Asturias, Cantabria and País Vasco). Span. J. Soil Sci. 2015, 5, 41–53. [Google Scholar]
  58. Lopez-Sangila, L.; Rovira, P. Sequential chemical extractions of the mineral-associated soil organic matter: An integrated approach for the fractionation of organo-mineral complexes. Soil Biol. Biochem. 2013, 62, 57–67. [Google Scholar] [CrossRef]
  59. Kögel-Knabner, I. The composition of plant and microbial residues as inputs of soil organic matter. Soil Biol. Biochem. 2002, 34, 139–162. [Google Scholar] [CrossRef]
  60. Kraus, T.E.C.; Zasoski, R.J.; Dahlgren, R.A.; Horwath, W.R.; Preston, C.M. Carbon and nitrogen dynamics in a forest soil amended with purified tannins from different plant species. Soil Biol. Biochem. 2004, 36, 309–321. [Google Scholar] [CrossRef]
Figure 1. Map of Galicia (northwest Spain) indicating the study locations.
Figure 1. Map of Galicia (northwest Spain) indicating the study locations.
Forests 08 00135 g001
Figure 2. Regression curves between concentration of indole-3-acetic acid (IAA) and root length of watercress (Lepidium sativum) with the linearization of the semi-logarithmic model through the equation (Y = a + b × log X).
Figure 2. Regression curves between concentration of indole-3-acetic acid (IAA) and root length of watercress (Lepidium sativum) with the linearization of the semi-logarithmic model through the equation (Y = a + b × log X).
Forests 08 00135 g002
Figure 3. Regression curves between concentrations of humic and fulvic acids (HA and FA, respectively), expressed as C concentration, and root length of watercress. Graphs correspond to: HA (a) and FA (b) of the soil derived from amphibolite; HA (c) and FA (d) of the soil derived from serpentinite; HA (e) and FA (f) of the soil derived from phyllite; HA (g) and FA (h) of the soil derived from granite under P. sylvestris; HA (i) and FA (j) of the soil derived from granite under Q. robur in Galicia (northwest Spain).
Figure 3. Regression curves between concentrations of humic and fulvic acids (HA and FA, respectively), expressed as C concentration, and root length of watercress. Graphs correspond to: HA (a) and FA (b) of the soil derived from amphibolite; HA (c) and FA (d) of the soil derived from serpentinite; HA (e) and FA (f) of the soil derived from phyllite; HA (g) and FA (h) of the soil derived from granite under P. sylvestris; HA (i) and FA (j) of the soil derived from granite under Q. robur in Galicia (northwest Spain).
Forests 08 00135 g003
Table 1. General features and morphology of one of the two soil profiles opened on different lithologies in Galicia (northwest Spain).
Table 1. General features and morphology of one of the two soil profiles opened on different lithologies in Galicia (northwest Spain).
Horizon aDepth (cm)Color bStructure cRoots dBoundary eThickness (cm)Other Observations
Parent rock: Amphibolite
Location: Arzúa (La Coruña). Soil use: Pinus radiata D. Don. wood. Altitude: 386 m.
Mean annual precipitation: 1619 mm; mean annual air temperature: 12.2 °C; absolute minimum temperature: 2.9 °C; absolute maximum temperature: 24.6 °C. Vegetation: Pinus radiata, Eucalyptus globulus, Quercus robur, Betula pubescens. Understory: Pteridium aquilinum, Ulex europaeus, Erica arborea, Rubus sp., Gramineae.
Soil: coarse-loamy, mixed, mesic, Typic Udorthent [32].
Oi19–5--0aw3–7Stems, leaves, and bark of P. radiata and E. globulus, stems and leaves of Q. robur, B. pubescens, U. europaeus, and P. aquilinum; few mesofauna, mostly midges.
Oi25–1--v1, vf, fcw3–6Stems, leaves, and bark of P. radiata and E. globulus, stems and leaves of Q. robur, B. pubescens, U. europaeus, and P. aquilinum.
Oi31–0--0aw1–2Fragmented stems, leaves, and bark of different species.
A0–267.5YR 2.5/23 f,m cr, fr3 mi,vf,f,m,cocw23–30-
Bw26–387.5YR 4/23 m sbk, fr3 mi,vf,f,m; 2 cocw10–15-
BC38–487.5YR 5/22 f abk, fr2 mi,vf,f,m,cocw7–10-
Cr48–56+7.5YR 5/2-1 mi,vf,f; 2 m,co---
Parent rock: Serpentinite.
Location: Melide (La Coruña). Soil use: Natural environment. Altitude: 454 m.
Mean annual precipitation: 1195 mm; mean annual air temperature: 11.9 °C; absolute minimum temperature: −4.4 °C; absolute maximum temperature: 33.2 °C. Vegetation: Erica umbellata, Erica scoparia, Calluna vulgaris, Ulex europaeus, Pinus radiata (scrawny), Rubus ideaus, gramineae, Cladonia lichen enveloping the E. umbellata stems.
Soil: loamy-skeletal, mixed, mesic, Oxyaquic Udorthent [32].
Oi2–0--0aw1–2Stems and leaves mostly of E. umbellata, E. scoparia, and U. europaeus; very few mesofauna, mostly ants.
A10–210YR 4/43 f m cr, fr2 mi,vf,f,mcw1–5In the micro-depressions there is a thin crust.
A22–810YR 5/42 f,m cr, fr1 mi,vf,f,mcw4–6-
BCg8–1710YR 6/32 f,m abk-sbk, fr0cw4–9Abundant mottles; small pockets of translocated fines.
R17–22+10YR 4/2-0--Thick cutans of translocated fines at the surface of the rock.
Parent rock: Phyllite.
Location: Guntín (Lugo). Soil use: Natural environment. Altitude: 460 m.
Mean annual precipitation: 845 mm; mean annual air temperature: 11.7 °C; absolute minimum temperature: −6.6 °C; absolute maximum temperature: 32.0 °C. Vegetation: Erica scoparia, Erica umbellata, Erica cinerea, Calluna vulgaris, Pterospartum tridentatum, Ulex europaeus, Quercus robur, Betula pubescens, Erica scoparia, Halimium lasianthum.
Soil: loamy-skeletal, mixed, mesic, Typic Udorthent [32].
Oi13–2--0cw1–3Stems and leaves mostly of E. scoparia, E. umbellata, E. cinerea, C. vulgaris, P. tridentatum, and U. europaeus; very few mesofauna, mostly ants.
Oi22–0--3 mi,vfaw2–3Stems and leaves mostly of E. scoparia, E. umbellata, E. cinerea, C. vulgaris, P. tridentatum, and U. europaeus.
A10–87.5YR 3/42-3 f,m,c cr, vfr + sg3 f,m; 2 mi,vf,cocw6–8Skeleton: 30%.
A28–147.5YR 4/43 f,m cr, vfr + sg2 mi,vf,f,mcw5–8Skeleton: 60%.
A/C14–237.5YR 4/2sg to 1 f,m cr, vfrv1 mi,vf,fcw5–8-
Cr23–442.5Y 4/2-v1 mi,vfcw15–22-
C44–80+2.5Y 4/2-0---
Parent rock: Granite.
Location: Mount Segade (Lugo). Soil use: Former Pinus sylvestris L. plantation that was cut four years before this study. Altitude: 397 m.
Mean annual precipitation: 845 mm; mean annual air temperature: 10.5 °C; absolute minimum temperature: −6.8 °C; absolute maximum temperature: 29.2 °C. Vegetation: seedlings of Quercus robur, Pteridium aquilinum, Calluna vulgaris, Ulex europaeus, Lotus corniculatus, Rubus sp., Lonicera periclymenum, Cytisus sp., Hedera elix.
Soil: loamy, mixed, mesic, Typic Humudept [32].
Oi1–0--0cw1–2Remainders of the P. sylvestris wood and cut, stems and leaves of Q. robur, P. aquilinum, C. vulgaris, U. europaeus.
A10–910YR 2/12 fcr, fr3 mi,vf,f,m; 2 cocw8–11-
A29–2710YR 2/22 f,m cr, fr2 mi,vf,f; 1 mcw16–19-
AB27–4010YR 3/42 f,m sbk-cr, fr2 mi,vf,f,mcw13–15-
Stone line40–4510YR 4/42 f,m sbk, fr2 mi,vf,f,mcw5–7Mostly made of quartzite stones.
Bw145–5810YR 5/62 f,m abk, fr2 mi,vf,fcw12–15-
Bw258–7710YR 6/62 f,m abk, fr1 mi,vf,fcw18–21-
Cr77–84+10YR 7/310YR 6/3-v1 mi, vf---
Location: Mount Segade (Lugo). Soil use: Quercus robur L. wood 40–60 years old. Altitude: 423 m.
Mean annual precipitation: 845 mm; mean annual air temperature: 10.5 °C; absolute minimum temperature: −6.8 °C; absolute maximum temperature: 29.2 °C. Vegetation: Quercus robur. Understory: few Quercus robur seedling.
Soil: loamy, mixed, mesic, Typic Humudept [32].
Oi8–5--0cw3–4Stems and leaves of Q. robur.
Oe5–0--1 vf,fcw5–7-
A10–2210YR 4/23 f,m,c cr, fr3 mi,vf,f,m,cocw20–22-
A222–3710YR 4/32 f cr, vfr3 mi,vf,f,m; 2 cocw13–16-
AB37–4810YR 3/32 f,m cr-sbk, vfr2 mi,vf,f,m,cocw10–13-
Bw148–6110YR 4/42 f,m sbk, vfr2 mi,vf,f; 1 m,cocw12–15-
Bw261–8110YR 4/62 f,m sbk, vfr1 mi,vf,f,mcw17–22-
Cr81–91+10YR 7/410YR 7/3-v1 mi,vf,f---
a horizons’ designation according to Schoeneberger et al. [33]; b moist and crushed, according to the Munsell Soil Color Charts; c sg = single grain, 1 = weak, 2 = moderate, 3 = strong; f = fine, m = medium, c = coarse; cr = crumb, abk = angular blocky, sbk = subangular blocky; fr, friable; vfr, very friable; d 0 = absent, v1 = very few, 1 = few, 2 = plentiful, 3 = abundant; mi = micro, vf = very fine, f = fine, m = medium, co = coarse; e a = abrupt, c = clear; w = wavy.
Table 2. Semi-quantitative mineralogical estimation for the A horizons of soils derived from different lithologies in Galicia (northwest Spain).
Table 2. Semi-quantitative mineralogical estimation for the A horizons of soils derived from different lithologies in Galicia (northwest Spain).
Parent RockQPlMiCKSCMMaTPpAmAbPy
Amphibolite+(+)++++ tr tr tr +++ +
Serpentinite++-+(+) ++tr trtr+(+)++(+)
Phyllite+++++(+) +++ +(+)trtr
Granite—P. sylvestris++++++(+)+++ (+) tr
Granite—Q. robur+++++++++ + tr
Q = quartz, Pl = plagioclases, Mi = micas, C = chlorite, K = kaolinite, S = serpentine, CM = 2:1 clay minerals, Ma = margarite, T = alc, Pp = pyrophyllite, Am = amphiboles, Ab = albite, Py = pyroxenes. + = ≈10%, (+) = ≈5%, tr = traces.
Table 3. Values of pH in H2O and KCl, available P, exchangeable cations, effective cation exchange capacity (ECEC), Al saturation, and base saturation (BS) for the A horizons of soils derived from different lithologies in Galicia (northwest Spain).
Table 3. Values of pH in H2O and KCl, available P, exchangeable cations, effective cation exchange capacity (ECEC), Al saturation, and base saturation (BS) for the A horizons of soils derived from different lithologies in Galicia (northwest Spain).
Parent RockpHH2OpHKClAvailable PExchangeable CationsECECAl SaturationBS
CaMgNaKAlH
mg kg−1cmol(+) kg−1%%
Amphibolite5.50 a4.59 b2.9 a0.22 cd0.24 c0.62 a0.39 a4.58 a0.64 a6.69 b68.5 a22.0 b
−0.35−0.01−1.8−0.05−0.03−0.010−3.15−0.09−3.07−18.2−17.9
Serpentinite5.97 a5.06 a6.1 a3.26 a16.08 a0.38 bc0.46 a0.18 b0.73 a21.09 a0.9 b95.7 a
−0.16−0.01−2.4−0.22−2.29−0.08−0.29−0.04−0.11−0.28−0.2−0.4
Phyllite4.69 a3.91 c9.6 a1.14 ac0.38 c0.33 bc0.39 a6.59 a0.68 a9.51 b69.3 a23.6 b
−1.1−0.3−7.9−0.17−0.12−0.05−0.01−0.19−0.07−0.05−0.7−0.6
Granite-P. sylvestris5.31 a4.80 ac5.3 a0.98 bc2.64 b0.29 c0.27 a3.94 a0.43 b8.55 ab46.1 a48.9 ab
−0.32−0.23−4.3−0.68−1.65−0.05−0.01−0.64−0.1−3.94−14.2−9.9
Granite-Q. robur5.13 a4.39 c2.7 a0.30 bc0.07 d0.52 ab0.35 a3.97 a0.52 ab5.73 b69.3 a21.6 b
−0.06−0.01−0.5−0.12−0.01−0.13−0.01−0.41−0.13−1.37−4.2−4.7
Numbers in parentheses are the standard deviations (n = 4). BS = (Ca + Mg + Na + K)/(Ca + Mg + Na + K + Al + H)·100. For each column, mean values with different letters significantly differ for p < 0.05 for the Tukey’s post-hoc test.
Table 4. Total nitrogen (TN), total organic carbon (TOC), carbon/nitrogen ratio (C/N), water extractable organic carbon (WEOC), particulate organic carbon (POC), humic acid (HA), fulvic acid (FA), and non-extractable organic carbon (NEOC) for the A horizons of soils derived from different lithologies in Galicia (northwest Spain).
Table 4. Total nitrogen (TN), total organic carbon (TOC), carbon/nitrogen ratio (C/N), water extractable organic carbon (WEOC), particulate organic carbon (POC), humic acid (HA), fulvic acid (FA), and non-extractable organic carbon (NEOC) for the A horizons of soils derived from different lithologies in Galicia (northwest Spain).
Parent RockTNTOCC/NWEOCPOCHAFANEOC
g kg−1
Amphibolite6.64 a104.63 a15.76 c0.55 a1.26 bc14.44a6.49 a81.89 a
−0.37−7.8−2.81−0.14−0.78−7.18−0.86−0.9
Serpentinite4.00 b110.68 a27.67 b1.34 a5.22 ad36.06 a11.46 a56.60 b
−0.35−29.16−1.93−0.08−1.31−28.29−8.77−8.42
Phyllite4.98 ab131.89 a26.48 b1.15 a2.68 bd37.23 a10.16 a80.67 a
−1.23−35.84−5.85−0.58−2.46−15.37−60.9−14.54
Granite—P. sylvestris3.14 bc53.34 b16.99 c0.45 a0.09 c13.97 a4.68 a34.15 bc
−0.46−5.43−2.16−0.32−0.01−3.39−1.81−1.46
Granite—Q. robur2.74 c110.67 a40.39 a0.42 a15.22 a38.87 a15.37 a40.79 bc
−0.18−29.95−1.72−0.11−7.18−17.95−11.6−8.36
Numbers in parentheses are the standard deviations (n = 4). For each column, mean values with different letters significantly differ for p < 0.05 for the Tukey’s post-hoc test.
Table 5. Coefficients of correlation and parameters of the regression curves [Y = a + b*log(X)] between concentration and root length of watercress plantlets treated with indole-3-acetic acid (IAA) or with the humic and fulvic acids (HA and FA, respectively) extracted from the A horizons of soils derived from different lithologies in Galicia (northwest Spain).
Table 5. Coefficients of correlation and parameters of the regression curves [Y = a + b*log(X)] between concentration and root length of watercress plantlets treated with indole-3-acetic acid (IAA) or with the humic and fulvic acids (HA and FA, respectively) extracted from the A horizons of soils derived from different lithologies in Galicia (northwest Spain).
Parent RockTreatmentabR2p
IAA7.439−1.6870.9800.000
AmphiboliteHA20.472−0.1170.9650.001
FA21.610−0.0990.9890.043
SerpentiniteHA19.190−0.1820.9860.000
FA22.572−0.0620.9370.009
PhylliteHA20.840−0.1210.8340.000
FA22.329−0.0660.9690.050
Granite—P. sylvestrisHA21.848−0.0860.9510.016
FA11.373−0.0800.9040.027
Granite—Q. roburHA22.471−0.0590.9450.010
FA12.549−0.0530.9850.015

Share and Cite

MDPI and ACS Style

Cardelli, V.; Cocco, S.; Agnelli, A.; Nardi, S.; Pizzeghello, D.; Fernández-Sanjurjo, M.J.; Corti, G. Chemical and Biochemical Properties of Soils Developed from Different Lithologies in Northwestern Spain (Galicia). Forests 2017, 8, 135. https://doi.org/10.3390/f8040135

AMA Style

Cardelli V, Cocco S, Agnelli A, Nardi S, Pizzeghello D, Fernández-Sanjurjo MJ, Corti G. Chemical and Biochemical Properties of Soils Developed from Different Lithologies in Northwestern Spain (Galicia). Forests. 2017; 8(4):135. https://doi.org/10.3390/f8040135

Chicago/Turabian Style

Cardelli, Valeria, Stefania Cocco, Alberto Agnelli, Serenella Nardi, Diego Pizzeghello, Maria J. Fernández-Sanjurjo, and Giuseppe Corti. 2017. "Chemical and Biochemical Properties of Soils Developed from Different Lithologies in Northwestern Spain (Galicia)" Forests 8, no. 4: 135. https://doi.org/10.3390/f8040135

APA Style

Cardelli, V., Cocco, S., Agnelli, A., Nardi, S., Pizzeghello, D., Fernández-Sanjurjo, M. J., & Corti, G. (2017). Chemical and Biochemical Properties of Soils Developed from Different Lithologies in Northwestern Spain (Galicia). Forests, 8(4), 135. https://doi.org/10.3390/f8040135

Note that from the first issue of 2016, this journal uses article numbers instead of page numbers. See further details here.

Article Metrics

Back to TopTop