Next Article in Journal
Identification of bHLH Family Genes in Rhododendron hainanense Merr. and Verification of Their Role in Heat Tolerance
Next Article in Special Issue
Physical-Hydric Properties of a Planosols Under Long-Term Integrated Crop–Livestock–Forest System in the Brazilian Semiarid
Previous Article in Journal
The Impact of Forest Rents on Ecological Footprints in China: The Moderating Role of Government Effectiveness
Previous Article in Special Issue
Growth and Energy Characteristics of Arboreal Wood Irrigated with Treated Effluent in Degraded Soil of Semi-Arid Regions
 
 
Font Type:
Arial Georgia Verdana
Font Size:
Aa Aa Aa
Line Spacing:
Column Width:
Background:
Article

Spatial Distribution of Soil Nutrients in the Red Beds of Southern China and Their Responses to Different Land Use Types

1
Guangdong Nanling Forest Ecosystem National Field Scientific Observation and Research Station, Guangzhou Institute of Geography, Guangdong Academy of Sciences, Guangzhou 510070, China
2
National Ecological Science Data Center Guangdong Branch, Guangzhou 510070, China
*
Author to whom correspondence should be addressed.
Forests 2025, 16(3), 417; https://doi.org/10.3390/f16030417
Submission received: 24 January 2025 / Revised: 21 February 2025 / Accepted: 23 February 2025 / Published: 25 February 2025
(This article belongs to the Special Issue Forest Soil Physical, Chemical, and Biological Properties)

Abstract

This study aims to understand the spatial variability of soil nutrients in red-bed regions and identify the environmental factors driving their distribution. We analyzed the spatial distribution and key drivers of pH, soil organic matter, nitrogen, phosphorus, potassium, and their available forms across forestland, cropland, grassland, and bare land in Nanxiong Basin, South China, using principal component analysis, semivariogram analysis, and ordinary Kriging interpolation. Soil organic matter and total nitrogen exhibited moderate variability (CV = 28.64% and 29.81%) driven by topography and vegetation. Available nitrogen showed low variability (CV = 17.91%), reflecting regulation by large-scale ecological processes. In contrast, available phosphorus demonstrated the highest variability (CV = 37.14%), shaped by localized fertilization and erosion. Unique interactions between topography and hydrology were governed by nutrient patterns in grasslands, while anthropogenic homogenization dominated croplands. Semivariogram analysis revealed strong spatial dependency for phosphorus, reflecting natural regulation, while weak dependency for potassium highlighted human-induced randomness. This study also identified capillary water capacity as a key driver in grassland nutrient cycling, adding to our knowledge of soil–water–plant interactions. Together, these findings provide a scientific basis for integrating precision agriculture and ecosystem-based strategies to enhance soil fertility and resilience in red-bed regions under diverse land use conditions.

1. Introduction

Soil is a heterogeneous and dynamic system shaped by the intricate interactions of geological, biological, climatic, and topographical factors [1,2]. Among these, soil nutrients are fundamental to ecosystem health, agricultural productivity, and environmental sustainability. Nutrients such as nitrogen (N), phosphorus (P), potassium (K), and soil organic matter (SOM) are critical for plant growth, influencing crop yields and maintaining the vitality of natural ecosystems. And the spatial distribution of these nutrients is inherently variable, governed by natural processes like soil formation, weathering, and climate patterns, along with anthropogenic activities, particularly human land use practices [3,4]. Understanding this variability is crucial for optimizing agricultural practices, refining fertilization strategies, and mitigating environmental degradation and so on [5,6].
Recent advancements in soil nutrients research, facilitated by technological progress in Geographic Information Systems (GIS) and geostatistical methods, have provided valuable insights into nutrient cycling and soil management [3,7,8]. Technological progress, particularly in GIS and geostatistical methods, has enhanced the ability to map and analyze soil nutrient distribution at a high resolution [9,10,11]. Techniques such as semi-variance analysis and Kriging interpolation turned to be standard tools for quantifying spatial variability in soil properties, enabling detailed and accurate spatial assessments [12,13,14]. These methods have been extensively used to study physical soil properties, including bulk density and water retention [15]. These studies have already facilitated the creation of high-resolution soil maps that are essential for precision agriculture and land management worldwide [16,17]. Although much of the existing research has focused on the spatial variability of physical soil properties, the spatial variability of key soil nutrients—such as nitrogen, phosphorus, and potassium—remain underexplored [18]. Nutrient variability is influenced not only by inherent soil characteristics and natural processes, but also by human activities, especially land use practices. Despite the recognized importance of land use in shaping nutrient distribution, few studies have comprehensively examined the impact of land use on soil nutrients variability in ecologically sensitive regions. This gap is particularly evident in regions where soil fertility has already been compromised. Thus, it is urgent and critical to study soil nutrient variability in ecologically sensitive regions.
The Nanxiong Basin in the Nanling Mountains is one such significant ecologically sensitive region characterized by nutrient-deficient soils, the so called “red-bed region” in southern China. These red-bed soils are derived from red continental clastic sedimentary rocks and are typically low in essential nutrients, making them highly vulnerable to both climatic and anthropogenic pressures. Furthermore, intensive human activities, such as deforestation, unsustainable agricultural practices, and urbanization, exacerbate the vulnerability of these soils, leading to severe degradation issues like soil erosion, vegetation loss, and the formation of “red-layer deserts” [19,20]. Thus, the ecological importance of the Nanling Mountains is underscored by their role in biodiversity conservation and ecosystem services. This formed a critical component of China’s “Two Screens and Three Belts” ecological security framework [21]. Despite its importance, few research pieces have studied the spatial variability of soil nutrients in the Nanxiong “red-bed region”, especially in relation to different land use systems [20,22].
The soil variability knowledge gap is particularly pronounced in Nanxiong red-bed soils due to their sensitivity to environmental changes and human disturbances. These red-bed soils are prone to rapid degradation under adverse conditions. Thus, the study of the nutrient dynamics is essential for effective soil conservation and land management in this region. Previous studies conducted on purple soils in the region have provided valuable insights into soil properties and nutrient distribution [22,23]. However, these studies neglected the comprehensive analysis of other essential nutrients and the influence of varied land use practices on nutrient dynamics. For instance, Yan et al. [24] examined the variability of soil organic matter in red bed soils, but their research did not fully address other critical nutrients like nitrogen and phosphorus, nor did it consider the impact of different land use patterns on these nutrients. This study investigated the spatial distribution and variability of key soil nutrients—nitrogen, phosphorus, potassium, and soil organic matter—across different land use types in the Nanxiong Basin of the Nanling Mountains. Through employing advanced geostatistical techniques such as principal component analysis (PCA) and Ordinary Kriging (OK), the study aimed to assess how environmental factors and land use practices interact to shape nutrient distribution in this ecologically vulnerable region.
In sum, the specific objectives of the study are as following: (1) to characterize the basic properties of soil nutrients in the region, (2) to analyze the spatial distribution patterns of these nutrients across various land use types, and (3) to explore the interactions between soil nutrients and environmental factors. Through addressing these objectives, the study sought to provide a comprehensive understanding of the drivers behind soil nutrients variability in red-bed soils. The findings are expected to offer critical insights into the mechanisms that govern nutrient distribution, thereby informing evidence-based recommendations for sustainable land management and ecological restoration. Specifically, this study aims to inform soil fertility management practices, enhance sustainable agricultural practices, and provide guidance for land use planning and ecological restoration efforts. These efforts are essential for mitigating soil erosion, improving soil fertility, and promoting the sustainable functioning of ecosystems in the region.

2. Materials and Methods

2.1. Study Area

The Nanxiong Basin, located in northeastern Shaoguan City, Guangdong Province, China, is an intermountain basin within the eastern Nanling Mountains (Figure 1). Covering approximately 1800 square kilometers, about 1240 square kilometers are characterized by red bed formations. These red-bed deposits, dating from the Late Cretaceous to the Paleogene, range in thickness from 2525 to 7250 m. The red-bed rocks are highly susceptible to cracking upon dehydration and unstable when exposed to water, leading to severe vegetation degradation [24]. Additionally, improper land clearing has intensified soil erosion and ecological deterioration, resulting in “red-layer desert” landscapes [19]. Consequently, the Nanxiong Basin has been designated as a key national ecological protection zone.
Situated within a subtropical monsoon humid climate zone, the region’s climate significantly influences soil distribution. The area primarily comprises four soil types: yellow soil, red soil, red calcareous soil, and purple soil, each exhibiting distinct spatial distributions influenced by latitude and topography. Vertically, soil types transition with elevation: below 200 m, purple soil predominates with interspersed Quaternary red soil; between 200 and 300 m, hilly red soils derived from red gravel, sandstone, and granite are prevalent; from 300 to 700 m, mountainous red soils dominate; and above 700 m, red soils mix with yellow soils.
Vegetation in the Nanxiong Basin is diverse, including evergreen and mixed forests of temperate and warm–temperate species, various cold-resistant plants, immature pine forests, grasslands, barren areas, and cultivated crops (Figure 2). This mosaic of soil types and climatic conditions creates a unique environment, making the Nanxiong Basin ideal for studying the spatial distribution of soil nutrients and their interactions with land use and ecological factors.
The combination of nutrient-deficient red-bed soils and varied land use practices—forestland, cropland, grassland, and bare land—presents significant challenges for soil conservation and sustainable management. Research in this area is critical for informing effective soil management and ecological restoration strategies, both for the Nanxiong Basin and similar red-bed regions globally.

2.2. Sample Collection

All field research was conducted in 2020, including a preliminary field investigation in July 2020, which aimed to select undisturbed natural tidal flat wetland vegetation areas for this study. These areas, unaffected by human activities, exhibited minimal changes in soil nutrient content over time [18], allowing for a focus on spatial variations in soil nutrient levels. Elevation measurements were referenced to the Geodetic Coordinate System 2000 (GCS 2000) ellipsoid. Real-Time Kinematic (RTK) positioning systems were utilized to record surface elevations at 10-m intervals across the study area.
A total of 152 sampling points were established, representing various land use types. The sampling grid was designed to account for variations in land use, micro-elevation, surface moisture, and vegetation density. At each sampling location, vegetation was assessed using 1 m × 1 m quadrats, and detailed vegetation data were recorded. The GPS coordinates of each sampling point were accurately noted. Soil samples were collected using soil augers at each of the 152 locations. Three soil replicates were taken from a depth of 0–20 cm at each point, thoroughly mixed, and combined to form a single composite sample of approximately 1 kg. These composite samples were then divided using the quartering method and sealed in bags for subsequent laboratory analysis.
This systematic sampling approach ensures comprehensive coverage of the study area, capturing the spatial variability of key soil nutrients—nitrogen, phosphorus, potassium, and soil organic matter—across different land use types. The methodology facilitates robust analysis of nutrient distribution patterns and their environmental drivers, supporting the study’s objectives of informing sustainable land management and ecological restoration strategies.

2.3. Laboratory Analysis

Soil pH was measured using a pH meter (Mettler Toledo S210-S) with a 1:2.5 soil-to-water (w/v) ratio, following the protocol of Sheng et al. [25]. Soil organic matter (SOM) content was determined using the potassium dichromate oxidation method with external heating, as described by Teng et al. [26], and the measurement was performed using a spectrophotometer (Shimadzu UV-1800), manufactured by Shimadzu Corporation, located in Kyoto, Japan. Total nitrogen (TN) was quantified via the micro-Kjeldahl digestion, distillation, and titration method, using a Kjeldahl distillation unit (Gerhardt Vapodest 30S), manufactured by Gerhardt, located in Königswinter, Germany. Total phosphorus (TP) concentrations (g kg−1) were obtained through alkaline digestion using 2 g NaOH and 0.25 g soil (<0.25 mm) at 400 °C for 15 min, followed by a second heating at 720 °C for 15 min. Phosphorus was then measured using the molybdate colorimetric method [27], and the measurement was performed using a spectrophotometer (Shimadzu UV-1800). Total potassium (TK) was determined by digesting soil samples in sodium hydroxide and analyzing them with an atomic absorption spectrometer (Agilent 240FS), manufactured by Agilent Technologies, located in Santa Clara, CA, USA. [28]. Hydrolyzed nitrogen was quantified using the alkaline dissociation diffusion method [29]. Available phosphorus (AP) was extracted using the standard Olsen method, while available potassium (AK) was measured using the ammonium acetate extraction method [25].
All soil samples were prepared by air-drying, sieving through a 2 mm mesh, and homogenizing before analysis. Analytical procedures were conducted in triplicate to ensure precision and reproducibility. Quality control measures included the use of standard reference materials and blank samples to validate the accuracy of the measurements. Data obtained from the laboratory analyses were subsequently used to assess the spatial variability of soil nutrients and their relationships with environmental and land use factors.

2.4. Statistical Analysis

Descriptive statistics were conducted using Excel and IBM SPSS Statistics 27. The Kolmogorov–Smirnov (KS) test was employed to assess data normality. For datasets that deviated from normality, logarithmic or Box–Cox transformations were applied to approximate a normal distribution. Spatial variability of soil nutrients was analyzed using Ordinary Kriging interpolation within the “Geostatistics” module of ArcGIS 10.7. Semivariogram functions were modeled and optimized using GS+ 9.0 software, following the semivariance formula:
γ ( h ) = 1 2 N ( h ) i = 1 N ( h ) Z ( x i ) Z ( x i + h ) 2
where N (h) represents the number of pairs of data points separated by a lag distance h, is the value of the distance equal to h of the point logarithm; and Z (xi) and Z (xi + h) are the values at positions xi and xi + h, respectively.
Key semivariogram parameters include the nugget effect (C0), representing variability at very short distances and internal randomness; the range (a), indicating the spatial extent over which variability is significant; and the sill (C0/(C0 + C), reflecting the total variation intensity. The ratio (C0/(C0 + C) quantifies the proportion of random versus autocorrelated spatial heterogeneity, following Cambardella et al. [30]: values <25% indicate strong spatial dependence, 25%–75% moderate dependence, and >75% weak dependence. The coefficient of determination (R2) was used to evaluate the fit between the variogram model and actual data, with higher values indicating better model fit. To validate the accuracy of the semivariogram models, cross-validation was conducted using a leave-one-out method. In this process, one data point was omitted from the dataset at a time, and the semivariogram model was used to predict the omitted value. The predicted values were then compared to the observed values to evaluate the model’s performance. The root mean square error (RMSE) and mean absolute error (MAE) were calculated to assess the prediction accuracy. A smaller RMSE and MAE indicated a better model fit. This cross-validation process ensures that the semivariogram model is robust and reliable in capturing the spatial variability of the soil nutrient data.
Redundancy analysis (RDA) was performed using Canoco 5.0, with soil physical properties and micro-topographical factors as explanatory variables and soil nutrients as response variables. This multivariate technique elucidates the relationships between soil nutrients and environmental factors, identifying key drivers of nutrient variability.
Ordinary Kriging interpolation facilitated the estimation of soil nutrient levels at unsampled locations, enabling the creation of continuous soil quality maps. The Kriging estimator is defined as
Z ( x 0 ) = i = 1 n λ i Z ( x i )
where Z (x0) is the estimated value at the unsampled location x0, and Z (xi) are the measured values at neighboring sampled points xi, and λi are the weights determined by the Kriging model.
This comprehensive statistical framework ensures an accurate spatial analysis of soil nutrient distribution, supporting the study’s objectives to elucidate the drivers of nutrient variability and inform sustainable land management practices.

3. Results

3.1. Basic Characteristics of Soil Nutrients at Nanxiong Basin

To investigate the spatial variability and distribution patterns of soil nutrients, 152 samples were collected from multiple sites within the Nanxiong Basin area, and basic nutrient characteristics were analyzed using laboratory chemical methods. The results indicated that soil nutrient distribution exhibited moderate spatial variability across the studied area (Table 1). Both soil organic matter and total nitrogen content showed moderate variability, with coefficients of variation (CVs) of 28.64% and 29.81%, respectively. Available nitrogen, with the lowest CV of 17.91%, exhibited a relatively stable distribution, suggesting consistency across the area. In contrast, available phosphorus demonstrated the highest variability (CV = 37.14%), indicating significant spatial heterogeneity. Available potassium content displayed variability comparable to that of soil organic matter and nitrogen. The overall coefficients of variation for all nutrients ranged from 17.91% to 37.14%, indicating moderate spatial variability, with available nitrogen exhibiting lower variability compared to the other nutrients. These findings highlight that while certain nutrients, such as available nitrogen, exhibited a more consistent distribution, others, such as available phosphorus, show greater spatial variation.
The soil nutrient distribution in the Nanxiong Basin exhibited significant variability across different land use types (Figure 3), including forestland, cropland, grassland, and bare land. Forestlands generally showed the highest levels of soil nutrients, including pH, soil organic matter, total potassium, total nitrogen, total phosphorus, available nitrogen, available phosphorus, and available potassium, reflecting their dense vegetation cover, minimal disturbance, and efficient nutrient cycling. Cropland, with intermediate levels of most nutrients, benefits from agricultural inputs such as fertilization but shows nutrient depletion compared to forestland. Grassland exhibited lower nutrient values, likely due to the less dense vegetation cover and lower soil organic matter inputs, while bare land consistently showed the lowest nutrient levels across all parameters, indicative of severe soil degradation and nutrient loss. These patterns suggest that land use significantly impacts soil nutrient availability, with forestlands playing a key role in maintaining soil fertility. The findings highlight the importance of land management practices for sustaining soil health and preventing further degradation in the Nanxiong Basin.

3.2. Correlation Characteristics Among Different Soil Nutrients at Nanxiong Basin

To investigate the relationships among soil organic matter for providing theoretical support for effective soil nutrient management, the total nitrogen, total phosphorus, and their other available nutrient forms were analyzed on samples collected from the studied sites. Correlation analysis was conducted and the results revealed the following aspects (Table 2): soil organic matter showed significant positive correlations with available potassium (r = 0.754) and available phosphorus (r = 0.697 *), suggesting that soil organic matter accumulation may enhance the availability of potassium and phosphorus in the soil. Strong correlations were found between available nitrogen, available phosphorus, and available potassium (r = 0.767 ** and r = 0.834 **, respectively), indicating potential synergistic effects among these available nutrients and highlighting the coupled dynamics of soil nutrient supply. Significant correlations were observed between total nitrogen and total phosphorus (r = 0.523 **), as well as between total nitrogen and available phosphorus (r = 0.582 *) and available nitrogen (r = 0.562 *). These correlations suggest that total nutrient indicators can partially reflect changes in their available forms. In sum, soil organic matter, a key source of soil nutrients, not only directly influences the accumulation of available nutrients, but also indirectly affects soil fertility through its interactions with total nitrogen and total phosphorus. These findings provide a scientific basis for the development of precision fertilization strategies and soil nutrient management practices, promoting improved soil fertility and sustainable agricultural development.

3.3. Semivariogram Analysis of Soil Nutrient Indicators at Nanxiong Basin

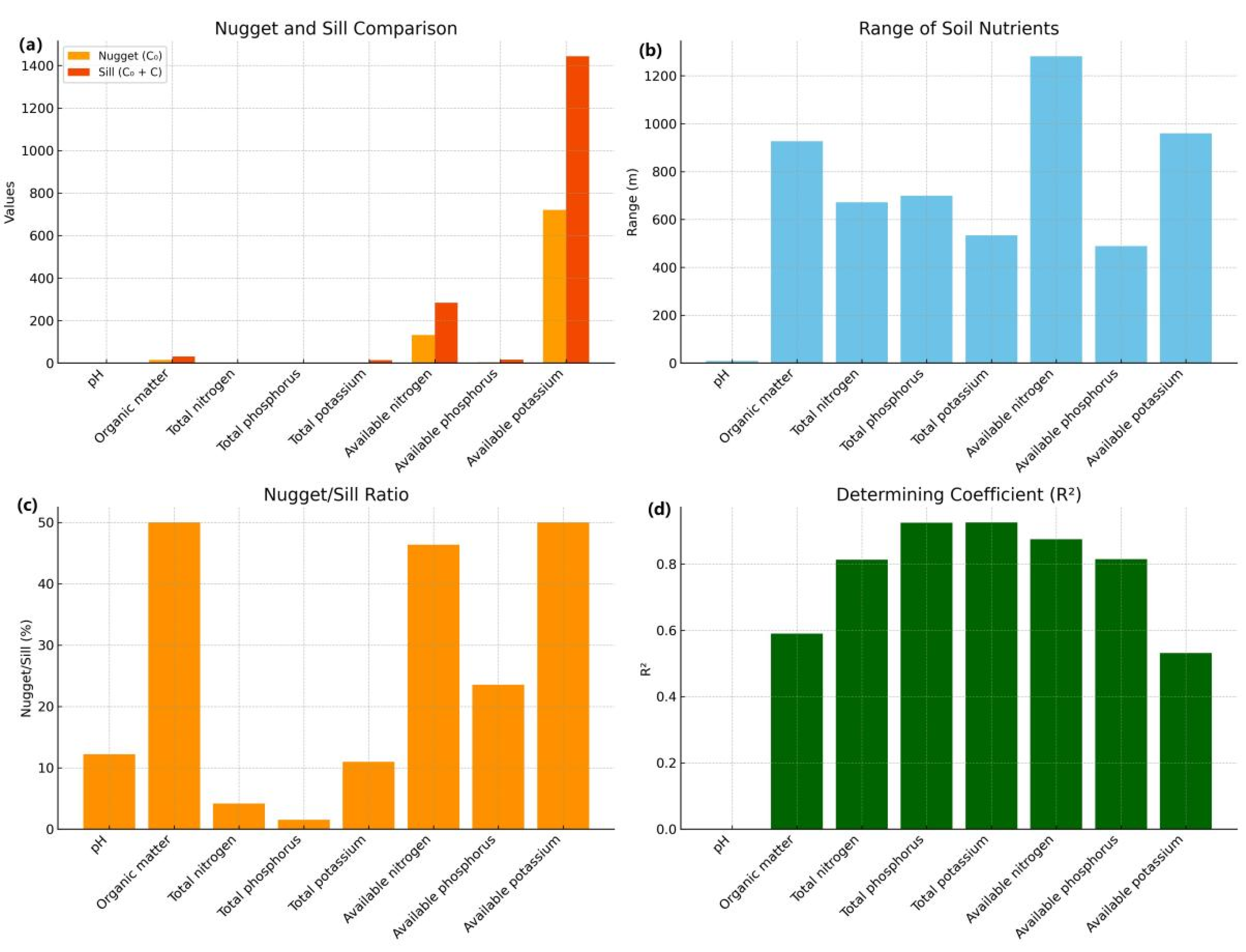
To examine the spatial variability of soil nutrient indicators in the Nanxiong Basin using semivariogram analysis, in order to better understand the underlying ecological processes and model fitting. The findings are summarized as below (Figure 4). The comparison of nugget (C0) and sill (C0 + C) values across soil nutrient indicators highlights notable variability (Figure 4a). Available potassium exhibits the highest nugget (721.00) and sill (1443.00) values, indicating a substantial degree of variability in its spatial distribution, potentially influenced by anthropogenic factors such as fertilization and land use practices. Conversely, pH shows minimal nugget (0.005) and sill (0.041) values, suggesting relatively low variability and limited spatial heterogeneity at the sampling scale. Nutrients such as soil organic matter, available nitrogen, and total phosphorus display intermediate nugget and sill values, reflecting moderate spatial variability. The spatial ranges of soil nutrients vary significantly, indicating differences in the extent of spatial autocorrelation (Figure 4b): available nitrogen exhibits the largest range (1281 m), suggesting strong spatial dependency and influence by broader ecological processes. Soil organic matter and available potassium have relatively large ranges (927 m and 960 m, respectively), indicating moderate spatial correlation influenced by both natural processes and land management practices. In contrast, pH shows the smallest range (9 m), indicating highly localized influences or a pure nugget effect. The nugget-to-sill ratio provides a quantitative measure of the proportion of random variability relative to total variability (Figure 4c). Soil organic matter and available potassium exhibit high nugget-to-sill ratios (49.98% and 49.96%, respectively), indicating substantial random variability likely caused by anthropogenic activities such as cultivation and uneven fertilizer application. Total phosphorus displays a minimal nugget-to-sill ratio (1.55%), reflecting strong spatial autocorrelation and a well-defined spatial structure. pH shows a low ratio (12.20%), suggesting relatively low random variability and localized spatial heterogeneity. The determining coefficient (R2) values for the fitted models reflect the quality of fit and spatial structure (Figure 4d). Nutrients such as total phosphorus (R2 = 0.924) and total potassium (R2 = 0.925) exhibit high R2 values, indicating well-defined spatial patterns and strong spatial dependency. Available potassium (R2 = 0.531) and soil organic matter (R2 = 0.590) show lower R2 values, highlighting weak spatial dependency and greater random variability. pH (R2 = 0.001) demonstrates a pure nugget effect, indicating no spatial autocorrelation at the sampling scale, likely due to highly localized or random influences.
The semivariogram analysis underscores the heterogeneous spatial dynamics of soil nutrient indicators. Nutrients such as available nitrogen and total phosphorus exhibited strong spatial dependency, suggesting they are influenced by natural ecological processes over broader spatial scales. In contrast, nutrients like available potassium and soil organic matter display weak spatial dependency and high random variability, which may be attributed to anthropogenic activities. These findings provide a critical basis for the development of precision soil management strategies, such as targeted fertilization, to improve nutrient efficiency and promote sustainable agricultural development.

3.4. Spatial Distribution Characteristics of Soil Nutrients at Nanxiong Basin

The spatial variability of soil nutrient factors in the study area is highly pronounced, reflecting distinct patterns influenced by regional topography, land use, and environmental factors. The soil exhibited a predominantly alkaline nature, with pH values generally exceeding 8.03 across the region (Figure 5a). Higher pH levels were found in bare land and grassland areas, while forestland and cropland exhibited more acidic conditions due to soil organic matter decomposition and fertilizer inputs. This spatial variability highlights the interplay between land use and chemical weathering processes in the region.
Soil organic matter content is relatively high overall, displaying a distinct gradient of decline from the northeast to the southwest (Figure 5b). This pattern likely reflects the combined effects of land use practices, vegetation cover, and topographic features. Forestland in the northeast retains high soil organic matter due to natural litter decomposition, whereas cropland benefits from organic amendments. In contrast, bare land and grassland in the southwest show significant depletion, likely due to limited vegetation cover and accelerated erosion processes. Total nitrogen content is low across most of the study area, with localized hotspots in the southwest and northeast, presenting a scattered distribution pattern (Figure 5c). These hotspots may be indicative of site-specific factors such as vegetation density, localized organic inputs, or variations in soil properties. In contrast, nitrogen depletion in bare land and degraded areas reflects poor soil fertility and limited biological activity. Similarly, total phosphorus is elevated in the northwest and southern regions, potentially influenced by localized parent material, phosphate fertilizer application, or sediment deposition in flatter areas (Figure 5d). The variability in nitrogen and phosphorus distribution underscores the region’s spatial heterogeneity in nutrient cycling processes and anthropogenic impacts. Total potassium exhibited significant spatial heterogeneity, with concentrations gradually decreasing from the southeast to the southwest (Figure 5e). However, small patches of moderately high values in the northwest suggest the influence of localized lithological features, such as potassium-rich parent material, or targeted fertilization practices. Available nitrogen showed relatively high concentrations in the northwest, northeast, and southeast, where vegetation and soil management practices support nitrogen cycling, whereas the southwestern region consistently showed lower levels due to erosion and nutrient depletion (Figure 5f). In contrast, available phosphorus demonstrated weak spatial variability, with a relatively uniform distribution, although slightly lower concentrations were observed in the western region, likely due to soil erosion or reduced organic inputs (Figure 5g). Available potassium mirrored the patterns of soil organic matter, showing a declining trend from the northeast to the southwest, further emphasizing the role of topography and land use in shaping nutrient availability (Figure 5h).
The distribution patterns of these soil nutrients are strongly correlated with the region’s topography, as evident in Figure 5. The observed gradients and spatial clustering suggest that elevation plays a critical role in shaping soil nutrient variability through its influence on hydrological processes, erosion, sediment deposition, and vegetation distribution. For example, higher elevations in forested areas support soil organic matter accumulation and nutrient retention, while lower elevations in agricultural zones experience nutrient enrichment from fertilization and runoff. Conversely, steeper slopes in bare land and grassland areas are associated with higher erosion rates and nutrient depletion.
These findings emphasize the importance of considering spatial variability and topographic context in soil management practices. To optimize nutrient use efficiency and support sustainable agricultural production, targeted strategies should be implemented. In forestland, conservation measures can maintain soil organic matter and nitrogen levels, while in cropland, precision fertilization practices can prevent excessive nutrient accumulation and environmental pollution. Grassland restoration and soil stabilization efforts are critical to improving soil fertility and reducing erosion. For bare land, reforestation and topsoil recovery are essential to enhance nutrient availability and restore ecosystem functions. Overall, integrating these spatial insights into land use planning and management can help mitigate soil degradation and promote sustainable agricultural practices in South China’s red-bed regions.

4. Discussion

4.1. The Distribution Characteristics and Spatial Variability of Soil Nutrients at Nanxiong Basin

This study examined the spatial variability of key soil nutrients in the Nanxiong Basin, focusing on the influence of both natural ecological processes and anthropogenic activities. The results highlight the complex interplay between regional environmental factors—such as topography, soil properties, and climate—and human influences, including land use changes and fertilization practices. The observed patterns are not only reflective of natural ecological processes, such as soil organic matter decomposition and nutrient cycling, but are also reflective of human activities, including land use changes and fertilization practices. These dual influences lead to marked spatial heterogeneity in key soil nutrients, as evidenced by the variability coefficients, semivariogram parameters, and spatial distribution trends discussed previously.
The pronounced spatial variability in available phosphorus and potassium, for instance, underscores the impact of uneven fertilizer application, differences in vegetation cover, and localized soil management practices. This is consistent with findings from Bian et al. [31], who documented significant spatial heterogeneity in soil nutrients across agricultural regions due to variable anthropogenic inputs and distinct topographic conditions. Compared to their study, an advance in this research is the integration of semivariogram analysis to elucidate the spatial dependency and random variability of soil nutrients. The nugget-to-sill ratios and spatial ranges derived from the semivariograms provided critical insights into the underlying processes that shape soil nutrients distribution. For instance, the high nugget-to-sill ratios for soil organic matter and available potassium suggest substantial influence from anthropogenic activities, such as non-uniform fertilizer application and localized cultivation methods. This is further corroborated by Haefele et al. [32], who emphasized that anthropogenic factors often contribute to the random variability observed in nutrient distributions within intensively managed agricultural areas. Moreover, the spatial distribution patterns presented in this study offer a robust framework for precision soil management. The clear gradient in soil organic matter content from northeast to southwest, combined with the scattered hotspots of total nitrogen and phosphorus, points to a need for site-specific interventions. For example, areas with high soil organic matter and total nitrogen concentrations may benefit from reduced fertilizer inputs, while regions with nutrient deficiencies may require carefully calibrated supplementation.
The implications of these findings could extend beyond local agricultural management. The identified spatial variability patterns serve as valuable references for regional land use planning and sustainable development. By integrating spatial nutrient data with topographic and land use information, policymakers and land managers can develop tailored strategies to optimize nutrient distribution, improve soil fertility, and promote long-term ecosystem health. This approach not only supports sustainable agricultural production but also contributes to broader environmental goals, such as mitigating soil erosion and reducing nutrient runoff into adjacent ecosystems.
In this study, we also considered the isotropy or anisotropy of the models used to describe soil nutrient spatial patterns. Isotropy implies uniform variability in all directions, while anisotropy suggests directional differences, often influenced by factors such as topography, hydrology, and vegetation. Our semivariogram analysis revealed that some soil nutrients (Figure 4), like total phosphorus, exhibited anisotropic behavior, with more pronounced variability in specific directions. This was likely influenced by topographic and hydrological conditions. Nutrients like available nitrogen and potassium, affected by vegetation and topographic gradients, showed anisotropic spatial patterns, while total nitrogen, with a more homogeneous distribution, was better modeled isotropically. Considering isotropy or anisotropy enhances the accuracy of spatial analysis, enabling more targeted land management and sustainable nutrient practices.

4.2. Relationship Between Soil Nutrients and Environmental Impact Factors Across Different Land Use Types at Nanxiong Basin

The spatial variability in and distribution of soil nutrients across forestland, cropland, grassland, and bare land reveal important interactions between natural and anthropogenic factors. Principal component analysis (PCA) biplots (Figure 6) illustrate complex relationships among soil nutrients (e.g., total nitrogen, available phosphorus, available potassium) and environmental variables (e.g., elevation, slope, soil moisture, bulk density, capillary water capacity), showing distinct spatial patterns across land use types. This research extends previous studies by highlighting how specific drivers regulate soil nutrients dynamics under different land use conditions.
In forestlands (Figure 6a), total nitrogen, soil organic matter, and available nitrogen strongly correlate with elevation and slope, emphasizing the role of topographic factors. The correlation between soil organic matter and total nitrogen mirrors findings from Liu et al. [33] and Guan et al. [34], who identified topography as a key factor in nutrient dynamics. This study further reveals how slope-driven erosion and soil moisture interact to regulate phosphorus and potassium availability, highlighting the complex interplay of structural and hydrological factors. In contrast, croplands exhibit nutrient patterns strongly influenced by soil moisture, reflecting the role of irrigation and fertilization in nutrient availability. However, unlike forestlands, where topography governs nutrient distribution, croplands show evidence of anthropogenic homogenization, suggesting that land management practices, such as organic amendments and lime applications, significantly alter nutrient patterns. Grasslands present a unique relationship between topography and hydrology in regulating nutrient distribution. Available nitrogen, total potassium, and available potassium correlate with capillary water capacity and soil moisture, indicating that water availability is a key determinant of nutrient cycling. These findings confirmed results from Chen et al. [35], who emphasized the role of soil moisture in nutrient availability in semi-arid grasslands. However, this study advances knowledge by demonstrating that slope-driven processes, such as erosion and runoff, also significantly influence phosphorus distribution, thus underscoring the dual impact of topography and hydrology. In bare land, the absence of vegetation shifts the factors governing nutrient distribution. Available nitrogen, total nitrogen, and soil organic matter correlate strongly with slope and bulk density, highlighting the role of structural factors in nutrient variability. Notably, the study identifies weak correlations between phosphorus and soil physical properties, suggesting the influence of microclimatic or historical land use conditions on nutrient availability.
When comparing nutrient distribution across land use types, elevation, slope, and soil moisture emerge as dominant drivers in vegetated systems such as forestland and grassland. In croplands, anthropogenic activities such as irrigation and fertilization play a major role, while bare land nutrient patterns are more influenced by physical properties and topography. This divergence underscores the complex interplay between natural and human-induced factors in shaping soil nutrients variability. The integration of PCA with spatial interpolation techniques, like Ordinary Kriging (OK), provides a more nuanced mapping of nutrient distribution, particularly in forestland and grassland ecosystems, revealing strong associations with elevation gradients.
These findings emphasize the importance of land use-specific nutrient management strategies. For instance, precision agriculture techniques, such as variable-rate fertilization, can address nutrient imbalances in croplands, while forest management should prioritize topographic preservation to maintain nutrient availability. The role of capillary water capacity in grasslands offers new research directions for soil–water–plant interactions, highlighting the importance of integrated management practices. In bare lands, nutrient restoration efforts should focus on erosion control and soil structure improvement to promote ecosystem resilience. In summary, this study advances our understanding of soil nutrient dynamics by linking nutrient distribution to environmental variables across different land use types. The findings highlight the need for tailored land management strategies that optimize nutrient use efficiency and enhance soil fertility. This research provides a methodological framework combining PCA and geospatial analysis for future studies on soil–environment interactions, contributing to sustainable ecosystem management.

5. Conclusions

This study investigated the spatial distribution and variability of key soil nutrients (pH, Soil organic matter, nitrogen, phosphorus, and potassium) in the red-bed regions of South China, revealing significant spatial heterogeneity influenced by topographic features, soil properties, and anthropogenic activities. The research achieved its objectives by characterizing soil nutrient properties, analyzing their spatial distribution across different land use types, and exploring the interactions between soil nutrients and environmental factors. The findings highlight the strong spatial autocorrelation of most nutrients, with soil organic matter, showing positive correlations with available potassium (r = 0.754) and phosphorus (r = 0.697 *), and available nitrogen, phosphorus, and potassium exhibiting synergistic effects (r = 0.767 ** and r = 0.834 **, respectively). The semivariogram analysis confirmed the high spatial variability of available potassium, influenced by human activities, while pH showed limited variability.
These findings provide a scientific basis for tailored soil management strategies, including precision fertilization, erosion control, and ecological restoration, customized for specific land use types. Integrating topographic and environmental data into land management planning is essential for optimizing nutrient use and mitigating soil degradation in fragile ecosystems. However, the study’s focus on a single red-bed region limits its generalizability to areas with differing climatic and geological conditions. Future research should expand the spatial and temporal scope of sampling and incorporate long-term monitoring to capture nutrient dynamics under changing environmental and land use scenarios. The application of advanced technologies, such as remote sensing and machine learning, alongside geostatistical methods, could enhance the scalability, precision, and applicability of future studies, supporting global efforts in sustainable ecosystem management.

Author Contributions

Conceptualization, P.Y. and P.Z.; methodology, S.L.; validation, Z.T.; investigation, J.H.; writing—review and editing, P.Y. and H.C.; project administration, P.Z. All authors have read and agreed to the published version of the manuscript.

Funding

This research was funded by the Science and Technology Program of Guangdong [2024B1212080005], GDAS’ Project of Science and Technology Development [2022GDASZH-2022010201-01], GDAS’ Project of Science and Technology Development [2022GDASZH-2022010106], the Science and Technology Planning Project of Guangdong Forestry Bureau [LC-2021124], the Guangdong Provincial Basic and Applied Basic Research Fund Project [2022A1515110307], and the Guangzhou Science and Technology Plan Project [2024A04J3508].

Data Availability Statement

The data presented in this study are available from the the author by request (yanping@gdas.ac.cn).

Conflicts of Interest

The authors declare no conflicts of interest.

References

  1. Guillot, E.; Bertrand, I.; Rumpel, C.; Gomez, C.; Arnal, D.; Abadie, J.; Hinsinger, P. Spatial heterogeneity of soil quality within a Mediterranean alley cropping agroforestry system: Comparison with a monocropping system. Eur. J. Soil Biol. 2021, 105, 103330. [Google Scholar] [CrossRef]
  2. Liu, J.; Su, S.; He, Z.; Jiang, L.; Gu, X.; Xu, D.; Ma, R.; Hong, W. Relationship between Pinus taiwanensis seedling regeneration and the spatial heterogeneity of soil nitrogen in Daiyun Mountain, southeast China. Ecol. Indic. 2020, 115, 106398. [Google Scholar] [CrossRef]
  3. Li, Q.; Jia, Z.; Zhu, Y.; Wang, Y.; Li, H.; Yang, D.; Zhao, X. Spatial Heterogeneity of Soil Nutrients after the Establishment of Caragana intermedia Plantation on Sand Dunes in Alpine Sandy Land of the Tibet Plateau. PLoS ONE 2019, 14, e0218503. [Google Scholar] [CrossRef] [PubMed]
  4. Su, S.; Liu, J.; He, Z.; Hong, W.; Zhang, J. The spatial heterogeneity of soil nutrients in a mid-subtropical Castanopsis kawakamii natural forest. Acta Ecol. Sin. 2012, 32, 5673–5682. [Google Scholar]
  5. Wang, L.; Jia, Y.; Cheng, D.; Zhao, Z.; Tao, T. Spatial variation of soil nutrients and evaluation of cultivated land quality based on field scale. Open Geosci. 2023, 15, 20220508. [Google Scholar] [CrossRef]
  6. Cotching, W.E.; Taylor, L.; Corkrey, S.R. Spatial variation of soil nutrients in dairy pasture paddocks. N. Z. J. Agric. Res. 2020, 63, 492–504. [Google Scholar] [CrossRef]
  7. Bogunovic, I.; Mesic, M.; Zgorelec, Z.; Jurisic, A.; Bilandzija, D. Spatial variation of soil nutrients on sandy-loam soil. Soil Tillage Res. 2014, 144, 174–183. [Google Scholar] [CrossRef]
  8. Huang, C.; Bai, J.; Wang, J.; Lu, Q.; Zhao, Q.; Ye, X.; Gao, H. Spatial variability of nitrogen and phosphorus in wetland soils of the Yellow River Delta, China. In Proceedings of the 2nd International Conference on Energy, Environment and Sustainable Development (EESD 2012), Jilin, China, 12–14 October 2012; pp. 1028–1032. [Google Scholar]
  9. Liu, Z.P.; Shao, M.A.; Wang, Y.Q. Large-scale spatial interpolation of soil pH across the Loess Plateau, China. Environ. Earth Sci. 2013, 69, 2731–2741. [Google Scholar] [CrossRef]
  10. Wang, Y.; Shao, M.A.; Liu, Z. Large-scale spatial variability of dried soil layers and related factors across the entire Loess Plateau of China. Geoderma 2010, 159, 99–108. [Google Scholar] [CrossRef]
  11. Wang, Y.; Shao, M.a.; Han, X.; Liu, Z. Spatial Variability of Soil Parameters of the van Genuchten Model at a Regional Scale. Clean-Soil Air Water 2015, 43, 271–278. [Google Scholar] [CrossRef]
  12. Rogowski, A.S.; Wolf, J.K. Incorporating Variability into Soil Map Unit Delineations. Soil Sci. Soc. Am. J. 1994, 58, 163–174. [Google Scholar] [CrossRef]
  13. Pan, Z.; Dong, Y.; He, G.; Guo, T.; Zhu, N. Spatial heterogeneity of soil properties in planted mixed forests in the rocky desertification areas of the Wuling Mountain. PeerJ 2024, 12, e18724. [Google Scholar] [CrossRef] [PubMed]
  14. Terefe, R.; Yu, K.-y.; Deng, Y.; Yao, X.; Wang, F.; Liu, J. Spatial variability of soil chemical properties of Moso bamboo forests of China. J. For. Res. 2021, 32, 2599–2608. [Google Scholar] [CrossRef]
  15. Ma, F.; Li, X.; Zhang, J.; Li, A. Spatial Heterogeneity of Soil Physical Properties in Shapotou Artificial Sand-fixing Vegetation Area. J. Desert Res. 2005, 25, 207–215. [Google Scholar]
  16. Tang, X.; Xia, M.; Guan, F.; Fan, S. Spatial Distribution of Soil Nitrogen, Phosphorus and Potassium Stocks in Moso Bamboo Forests in Subtropical China. Forests 2016, 7, 267. [Google Scholar] [CrossRef]
  17. Yan, P.; Peng, H.; Yan, L.; Lin, K. Spatial Variability of Soil Physical Properties Based on GIS and Geo-Statistical Methods in the Red Beds of the Nanxiong Basin, China. Pol. J. Environ. Stud. 2019, 28, 2961–2972. [Google Scholar] [CrossRef]
  18. Yan, P.; Lin, K.; Yu, C.; Tu, X. Spatial Variability of Soil Phosphorus and Potassium and Its Influencing Factors in the Fragile Red Beds Ecosystem in Southern China. Pol. J. Environ. Stud. 2021, 30, 5307–5315. [Google Scholar] [CrossRef]
  19. Luo, G.; Peng, H.; Zhang, S.; Yan, L.; Dong, Y. Exploring the Variations of Redbed Badlands and Their Driving Forces in the Nanxiong Basin, Southern China: A Geographically Weighted Regression with Gridded Data. J. Sens. 2021, 2021, 6694407. [Google Scholar] [CrossRef]
  20. Chen, Z.; Yan, L.; Peng, H.; Shi, H. Temperature Controls on the Erosion of Badland Slopes in the Nanxiong Basin, China. Front. Earth Sci. 2021, 9, 712134. [Google Scholar] [CrossRef]
  21. Xu, W.; Angel Gonzalez-Rodriguez, M.; Li, Z.; Tan, Z.; Yan, P.; Zhou, P. Effects of Edaphic Factors at Different Depths on β-Diversity Patterns for Subtropical Plant Communities Based on MS-GDM in Southern China. Forests 2022, 13, 2184. [Google Scholar] [CrossRef]
  22. Zhao, J.; Tao, Q.; Li, B.; Luo, J.; Zhang, H.; Lu, C.; Li, Q.; Xu, Q.; Huang, R.; Li, H.; et al. Low-pyrolysis-temperature biochar promoted free-living N2-fixation in calcareous purple soil by affecting diazotrophic composition. Geoderma 2021, 388, 114969. [Google Scholar] [CrossRef]
  23. Wang, Y.; Ni, J.; Ni, C.; Wang, S.; Xie, D. Effect of natural rainfall on the migration characteristics of runoff and sediment on purple soil sloping cropland during different planting stages. J. Water Clim. Change 2021, 12, 3064–3081. [Google Scholar] [CrossRef]
  24. Yan, P.; Lin, K.; Wang, Y.; Tu, X.; Bai, C.; Yan, L. Assessment of Influencing Factors on the Spatial Variability of SOM in the Red Beds of the Nanxiong Basin of China, Using GIS and Geo-Statistical Methods. Isprs Int. J. Geo-Inf. 2021, 10, 366. [Google Scholar] [CrossRef]
  25. Sheng, M.; Liu, Y.; Xiong, K. Response of soil physical-chemical properties to rocky desertification succession in South China Karst. Acta Ecol. Sin. 2013, 33, 6303–6313. [Google Scholar] [CrossRef]
  26. Teng, M.; Zeng, L.; Xiao, W.; Huang, Z.; Zhou, Z.; Yan, Z.; Wang, P. Spatial variability of soil organic carbon in Three Gorges Reservoir area, China. Sci. Total Environ. 2017, 599, 1308–1316. [Google Scholar] [CrossRef]
  27. Murphy, J.; Riley, J.P. A modified single solution method for the determination of phosphate in natural waters. Anal. Chim. Acta 1962, 27, 31–36. [Google Scholar]
  28. Zhu, X.; Han, B.; Zhao, J. Spatial and temporal variability of soil nutrients in the black soil area of northeast China. J. Food Agric. Environ. 2013, 11, 1386–1389. [Google Scholar]
  29. Tabatabai, M.A.; Bremner, J.M. Distribution of Total and Available Sulfur in Selected Soils and Soil Profiles. Agron. J. 1972, 64, 40–44. [Google Scholar] [CrossRef]
  30. Cambardella, C.A.; Moorman, T.B.; Novak, J.M.; Parkin, T.B.; Karlen, D.L.; Turco, R.F.; Konopka, A.E. Field-Scale Variability of Soil Properties in Central Iowa Soils. Soil Sci. Soc. Am. J. 1994, 58, 1501–1511. [Google Scholar] [CrossRef]
  31. Bian, H.; Wang, X.; Mao, D. Spatial Variability of Tillage Layer Soil Nutrients and Its Affecting Factors in Weigan-Kuqa River Delta Oasis. Southwest China J. Agric. Sci. 2018, 31, 759–764. [Google Scholar]
  32. Haefele, S.M.; Wopereis, M.C.S. Spatial variability of indigenous supplies for N, P and K and its impact on fertilizer strategies for irrigated rice in West Africa. Plant Soil 2005, 270, 57–72. [Google Scholar] [CrossRef]
  33. Liu, Z.-P.; Shao, M.-A.; Wang, Y.-Q. Spatial patterns of soil total nitrogen and soil total phosphorus across the entire Loess Plateau region of China. Geoderma 2013, 197, 67–78. [Google Scholar] [CrossRef]
  34. Guan, F.; Xia, M.; Tang, X.; Fan, S. Spatial variability of soil nitrogen, phosphorus and potassium contents in Moso bamboo forests in Yong’an City, China. Catena 2017, 150, 161–172. [Google Scholar] [CrossRef]
  35. Chen, F.-S.; Zeng, D.-H.; Fahey, T.J.; Yao, C.-Y.; Yu, Z.-Y. Response of leaf anatomy of Chenopodium acuminatum to soil resource availability in a semi-arid grassland. Plant Ecol. 2010, 209, 375–382. [Google Scholar] [CrossRef]
Figure 1. Map and location of the studied area, Nanxiong Basin.
Figure 1. Map and location of the studied area, Nanxiong Basin.
Forests 16 00417 g001
Figure 2. Distribution of land use types in the Nanxiong Basin. (a) Cropland, (b) Forestland, (c) Grassland, (d) Bare land.
Figure 2. Distribution of land use types in the Nanxiong Basin. (a) Cropland, (b) Forestland, (c) Grassland, (d) Bare land.
Forests 16 00417 g002
Figure 3. Variations in soil attributes across different land use types. Panels (ah) represent variations in the following soil attributes: (a) pH, (b) SOM, (c) TN, (d) TP, (e) TK, (f) AN, (g) AP, and (h) AK value. The data are shown for four land use types: forestland, cropland, grassland, and bare land.
Figure 3. Variations in soil attributes across different land use types. Panels (ah) represent variations in the following soil attributes: (a) pH, (b) SOM, (c) TN, (d) TP, (e) TK, (f) AN, (g) AP, and (h) AK value. The data are shown for four land use types: forestland, cropland, grassland, and bare land.
Forests 16 00417 g003
Figure 4. Semivariogram analysis of soil nutrients. (a) Nugget and sill comparison displays the nugget (C₀) and sill (C₀ + C) values for different soil nutrients, showing the extent of spatial variability. (b) Range of soil nutrients illustrates the range (in meters) over which significant variation in each nutrient occurs. (c) Nugget/sill ratio shows the ratio of nugget to sill for each nutrient, indicating the proportion of variability at different spatial scales. (d) Determining coefficient (R2) depicts the R2 values, reflecting the model’s fit and the reliability of spatial patterns in soil nutrients.
Figure 4. Semivariogram analysis of soil nutrients. (a) Nugget and sill comparison displays the nugget (C₀) and sill (C₀ + C) values for different soil nutrients, showing the extent of spatial variability. (b) Range of soil nutrients illustrates the range (in meters) over which significant variation in each nutrient occurs. (c) Nugget/sill ratio shows the ratio of nugget to sill for each nutrient, indicating the proportion of variability at different spatial scales. (d) Determining coefficient (R2) depicts the R2 values, reflecting the model’s fit and the reliability of spatial patterns in soil nutrients.
Forests 16 00417 g004
Figure 5. Three-dimesnional surface plots showing the spatial distribution of soil properties across different locations in the study area. Panels (ah) represent variations in soil attributes such as pH, SOM, TN, TP, TK, AN, AP, and AK values, with the color gradients indicating the concentration levels. The legends on the right side of each plot illustrate the range of values for each parameter. The plots display the high spatial variability and heterogeneity in soil properties, highlighting the influence of topographical features, soil properties, and environmental factors on nutrient distribution in the region.
Figure 5. Three-dimesnional surface plots showing the spatial distribution of soil properties across different locations in the study area. Panels (ah) represent variations in soil attributes such as pH, SOM, TN, TP, TK, AN, AP, and AK values, with the color gradients indicating the concentration levels. The legends on the right side of each plot illustrate the range of values for each parameter. The plots display the high spatial variability and heterogeneity in soil properties, highlighting the influence of topographical features, soil properties, and environmental factors on nutrient distribution in the region.
Forests 16 00417 g005
Figure 6. Principal component analysis (PCA) biplots showing the relationships between soil nutrients (red) and environmental factors (blue) across different land use types: (a) forestland, (b) cropland, (c) grassland, and (d) bare land. Arrows represent correlations between soil nutrients variables (soil organic matter, total nitrogen, available phosphorus, etc.) and environmental factors (elevation, slope, soil moisture, capillary water capacity, etc.). The direction and length of the arrows indicate the strength and direction of the correlations, with significant relationships highlighted for each land use type.
Figure 6. Principal component analysis (PCA) biplots showing the relationships between soil nutrients (red) and environmental factors (blue) across different land use types: (a) forestland, (b) cropland, (c) grassland, and (d) bare land. Arrows represent correlations between soil nutrients variables (soil organic matter, total nitrogen, available phosphorus, etc.) and environmental factors (elevation, slope, soil moisture, capillary water capacity, etc.). The direction and length of the arrows indicate the strength and direction of the correlations, with significant relationships highlighted for each land use type.
Forests 16 00417 g006
Table 1. Statistical table of basic characteristics of soil nutrients at Nanxiong Basin.
Table 1. Statistical table of basic characteristics of soil nutrients at Nanxiong Basin.
IndexMin.Max.MeanModeMedianaStandard DeviationVarianceCV
(%)
pH7.508.508.028.008.050.200.042.49
SOM9.2634.8019.8714.25 a18.845.6932.4628.64
TN0.743.901.611.601.600.480.2329.81
TP0.502.301.231.101.200.360.1329.27
TK6.5025.0015.3415.0015.003.7413.9924.38
AN55.00150.0094.9885.00 a95.0017.01289.3317.91
AP4.2020.1010.856.509.704.0316.2637.14
AK75.00210.00133.6795.00120.0037.99143.5528.42
Note: “a” indicates the presence of multiple modes.
Table 2. Correlation between soil physical and chemical indicators.
Table 2. Correlation between soil physical and chemical indicators.
Correlation
Coefficient
pHSOCTNTPTKANAPAK
pH1
SOC−0.091
TN0.050594 **1
TP−0.010.600 **0.523 **1
TK−0.050.6050.446 **0.6251
AN−0.080.692 **0.562 *0.572 **0.6441
AP−0.010.697 *0.582 *0.642 **0.6620.767 **1
AK−0.100.7540.5490.6320.716 **0.7970.834 **1
Note: * The correlation was significant at the 0.05 level. ** The correlation was significant at the 0.01 level.
Disclaimer/Publisher’s Note: The statements, opinions and data contained in all publications are solely those of the individual author(s) and contributor(s) and not of MDPI and/or the editor(s). MDPI and/or the editor(s) disclaim responsibility for any injury to people or property resulting from any ideas, methods, instructions or products referred to in the content.

Share and Cite

MDPI and ACS Style

Yan, P.; Zhou, P.; Lei, S.; Tan, Z.; Chen, H.; Huang, J. Spatial Distribution of Soil Nutrients in the Red Beds of Southern China and Their Responses to Different Land Use Types. Forests 2025, 16, 417. https://doi.org/10.3390/f16030417

AMA Style

Yan P, Zhou P, Lei S, Tan Z, Chen H, Huang J. Spatial Distribution of Soil Nutrients in the Red Beds of Southern China and Their Responses to Different Land Use Types. Forests. 2025; 16(3):417. https://doi.org/10.3390/f16030417

Chicago/Turabian Style

Yan, Ping, Ping Zhou, Sha Lei, Zhaowei Tan, Hui Chen, and Junxiang Huang. 2025. "Spatial Distribution of Soil Nutrients in the Red Beds of Southern China and Their Responses to Different Land Use Types" Forests 16, no. 3: 417. https://doi.org/10.3390/f16030417

APA Style

Yan, P., Zhou, P., Lei, S., Tan, Z., Chen, H., & Huang, J. (2025). Spatial Distribution of Soil Nutrients in the Red Beds of Southern China and Their Responses to Different Land Use Types. Forests, 16(3), 417. https://doi.org/10.3390/f16030417

Note that from the first issue of 2016, this journal uses article numbers instead of page numbers. See further details here.

Article Metrics

Back to TopTop