Abstract
Quantifying the dynamic changes and relationships between ecosystem services (ESs) and land use change is critical for sustainable ecosystem management and land use optimization. However, comprehensive discussions on the spatiotemporal variations of ESs and their relationships with land use intensity (LUI) are lacking, particularly in the context of significant climate warming. Systematic analyses of the forestry management unit scale are limited, leading to considerable uncertainty in sustainable ecosystem management, especially in alpine ecosystems of the Northern Hemisphere, where ESs have significantly degraded. The study focuses on the Daxing’anling forest area, Inner Mongolia (DFIAM), a representative sensitive alpine ecosystem and crucial ecological security barrier in Northern China. Utilizing the InVEST model, we analyzed the spatiotemporal variations in land use and four essential ESs, water yield (WY), carbon storage (CS), soil conservation (SC), and habitat quality (HQ), from 2013 to 2018. We also assessed the dynamic relationships between LUI and these ESs using a four-quadrant model. Our findings indicate the following: (1) Land use types in DFIAM remained relatively stable between 2013 and 2018, with forest being the dominant type (approximately 93%). During this period, areas of forest, cropland, impervious surfaces, and bare land increased, while areas of grassland, water, and wetland decreased. Although the overall change of LUI was gentle, a spatial pattern of “high in the southeast and low in the northwest” emerged, with low LUI areas showing slight expansion. (2) WY, SC, and HQ decreased, while CS increased from 2013 to 2018. The spatial distributions of these ESs showed higher values in the center and lower values at the edges, with forests demonstrating a strong capacity to provide multiple ESs. (3) The relationship between LUI and the four ESs from 2013 to 2018 was predominantly negative, primarily situated in Quadrant II, indicating that increased LUI inhibited ES supply capacity. Within Quadrant II, the distribution range of LUI, WY, and HQ decreased, while CS remained stable and SC increased. Furthermore, Quadrant III (positive correlation) accounted for a large proportion (19.23%~42.31%), highlighting the important role of non-anthropogenic factors in ES changes. Overall, most ESs in the DFAIM showed a decline while LUI remained relatively stable, with predominantly negative correlations between LUI and ESs. The increased LUI driven by human activities, and other non-human factors, may have contributed significantly to ES degradation. To improve ESs, we proposed implementing differentiated land use planning and management, systematic ecological protection and restoration strategies, a multi-level ecological early-warning monitoring and evaluation network, ecological corridors and buffer zones, and a collaborative management system with multiple participation. These results provide scientific guidance for the sustainable management of alpine ecosystems, enhancement of ESs, and formulation of land resource protection policies.
1. Introduction
Ecosystem services (ESs) are fundamental to sustainable socio-economic development, ecological security, and human well-being [1,2]. Over the past half century, approximately 60% of global ecosystems and their associated services have experienced degradation due to significant climate change and increased human activity, with a continued decline projected in the future [3,4]. This degradation is particularly severe in the Northern Hemisphere’s mid-high latitudes and high-altitude regions [5,6], where ecosystems face multiple challenges, including frequent forest fires, accelerated soil erosion, vegetation cover changes, and diminished ES supply capacity, posing serious threats to both human survival and ecosystem sustainability [7]. Understanding and managing these challenges requires robust quantitative assessment of ESs [8,9]. Such assessments are crucial for environmental policy formulation, ecological security maintenance, and sustainable ecosystem management [5,10]. Among the various assessment tools available, the Integrated Valuation of Ecosystem Services and Trade-offs (InVEST) model has emerged as a prominent solution due to its open-source nature, operational efficiency, minimal data requirements, and user-friendly interface [11,12,13]. The model’s effectiveness has been validated through numerous studies across different spatial scales, from river basins [10,14] to states/provincial [11,15] and regional levels [16,17]. Given the complex nature of ESs—characterized by diversity, uncertainty, temporal dynamics, interconnectivity, spatial heterogeneity, and geographic variability [17,18]—there is a pressing need for dynamic ES assessment in alpine ecosystems at mid- to high latitudes and altitudes. The application of the InVEST model in these vulnerable regions can provide critical scientific insights to guide ecosystem protection, restoration, and sustainable development strategies [19,20].
Land use change represents the most direct manifestation of the interaction between human activity and the natural environment, significantly influencing ESs [14,21]. This change encompasses various aspects, including alterations in land use type, cover, transfer, pattern, and intensity [22]. Such changes affect the supply capacity, distribution, and dynamics of ESs by disrupting ecosystem processes, structures, and functions, including material cycling and the flow of energy and nutrients [21,23]. Additionally, land use change modifies physical and chemical properties such as landscape pattern, vegetation cover and habitat connectivity [24]. Conversely, changes in ESs can impact the land use structure, function, and efficiency [25], highlighting the complex relationship between the land use change and ESs [26]. Understanding this relationship is vital for optimizing ecological security barriers, promoting sustainable resource management, and facilitating coordinated social and economic development [27,28]. Current rapid socio-economic development, increased human interference, and significant climate warming have increased land use, resulting in rapid transformations in land use types, patterns, and cover [3,29]. These changes have serious implications for the provisioning and stabilization of essential ecosystems [21,30]. Furthermore, the response of ESs to land use change exhibits spatiotemporal heterogeneity and geographic variability, varying by location and time [31,32]. Consequently, elucidating the relationship between land use change and ESs has become a research focus [7], aimed at enabling rational and efficient resource allocation for sustainable ecosystem management [21,27], particularly in the ecologically fragile regions of the Northern Hemisphere at mid- to high latitudes and altitudes [7]. Previous studies have primarily focused on the impact of land use change on the total value of ESs [33,34] or analyzed the effects of specific land use types [35] or land use cover [5,7] on ESs. Recently, some researchers have employed methods such as simple correlation analysis [28], spatial autocorrelation analysis (global and local Moran’s I indices) [20,36], grey correlation degree method [37], and ecosystem service change index (ESCI) [27] to explore the relationship between land use intensity (LUI) and ES values or physical quantities across various scales, including urban agglomerations [38], river basins [20], provinces, and counties [39,40]. However, several gaps remain in the existing research. First, there is limited attention directed to the relationship between LUI and ESs in ecologically fragile ecosystems, such as glacier and alpine ecosystems [27]. Second, studies examining the relationship between LUI and ESs at the forestry management unit scale are lacking. Third, mainstream analytical methods tend to focus on single-dimensional linear relationships, which may be influenced by sample selection, spatial heterogeneity, and variable selection, making it challenging to comprehensively capture the complex spatial heterogeneity and nonlinear dynamics between LUI and ESs [27,38]. In contrast, the four-quadrant model, which combines qualitative and quantitative analyses, effectively illustrates the relationship between LUI and ESs along with their spatial differentiation characteristics [41,42]. This approach aids in clearly defining the ecological characteristics of different regions and provides decision makers with a comprehensive perspective. Therefore, it is urgent to utilize the InVEST model alongside the four-quadrant model to explore the relationship between land use and ESs in special ecosystems and their spatiotemporal changes at the forestry management unit scale. These analyses will provide a scientific basis for sustainable ecosystem management and guide optimal land use, ecological protection, and restoration.
Alpine ecosystems are typical fragile and sensitive ecosystems located at middle and high latitudes. They are characterized by cold climate, low precipitation, dryness, strong winds, limited light, and diverse topography, all of which are crucial for sustainable ecological development and human survival [43,44]. Furthermore, these ecological systems demonstrate exceptional susceptibility and accelerated responsiveness to global climate change [45,46]. Alpine ecosystems comprise various types, including alpine, forest, meadow, and wetland, each with unique topographical features. Additionally, significant methodological challenges, such as logistical constraints, data acquisition limitations, and anthropogenic interferences, complicate the precise assessment of spatiotemporal variations and intricate relationships between ESs and LUI, thereby presenting substantial obstacles to ecosystem conservation and restoration efforts [43,47]. The Daxing’anling forest area, Inner Mongolia (DFAIM), represents one of the most paradigmatic alpine ecosystems globally and is recognized as China’s most ecologically sensitive, fragile, and biodiverse region [48]. As China’s largest state-owned forest area with extensive forest reserves, DFAIM serves as a critical “ecological security barrier in Northern China” and is acknowledged as the “most temperature-change-sensitive regional ecosystem” [48]. It holds significant strategic importance for regulating water circulation in Northeast Asia, maintaining national ecological security and safeguarding timber resources [49,50]. However, prolonged high-intensity anthropogenic activities, including forest resource extraction and agricultural land conversion, compounded by significant climatic perturbations (such as extreme cold events and prolonged drought), have precipitated substantial ecological challenges. These challenges manifest as soil erosion, recurring wildfires, forest quality degradation, and habitat fragmentation, ultimately resulting in native ecosystem deterioration and ecological destabilization that critically threaten local ecological integrity and socioeconomic development [49,51]. Previous studies have assessed forest ESs using the Forest Ecosystem Service Function Assessment Specification to assess forest ESs supply levels [52] or explored the trade-offs and synergies of ESs [44]. However, comprehensive research on the spatiotemporal dynamics and interactions between ESs and land use at the forestry management unit scale remains limited. To address this research gap, we selected the DFAIM as the research site due to its characteristics as a sensitive alpine forest area, considering its data comprehensiveness, accessibility, and temporal relevance, supported by regular five-year forest resource 1-class inventory assessments. We strategically chose 2013 and 2018 as study periods, coinciding with a significant decade of climatic transformations in China [53]. Our research objectives were as follows: (1) analyze land use change characteristics in DFAIM from 2013 to 2018 using a land use transfer matrix and LUI assessment; (2) quantify spatiotemporal changes in water yield (WY), carbon storage (CS), soil conservation (SC), and habitat quality (HQ) using the InVEST model and ESCI; (3) reveal the spatiotemporal dynamic relationships between LUI and ESs at the forestry management unit scale using a four-quadrant model; and (4) propose strategic recommendations for ES optimization. The research results can provide scientific guidance for the sustainable management of alpine ecosystems and the formulation of policies for ecological protection and socio-economic coordinated development.
2. Materials and Methods
2.1. Study Area
The DFAIM is located in the northeast of the Inner Mongolia Autonomous Region, with geographical coordinates of 119°36′30″ E~125°24′00″ E, 47°03′20″ N~53°20′00″ N (Figure 1). The terrain is characterized by steep mountains and hills in the east and flatter areas in the west, with elevations ranging from 400 to 1500 m. The region experiences a cold temperate continental monsoon climate, featuring long, cold, and dry winters and short, hot, and rainy summers. The annual precipitation is 300~450 mm, predominantly occurring from May to October. The annual average temperature ranges from −2 °C to −4 °C, with extreme minimums of −49.6 °C and maximums of 37 °C. The annual sunshine duration is approximately 2594 h, the frost-free period lasts 76 to 120 d, annual evaporation ranges from 800 to 1200 mm, and the snow accumulation period extends for five months. The primary soil types in DFAIM include brown coniferous forest soils, gray forest soils, alluvial soils, and meadow soils [44,54]. The forests are primarily composed of cold-temperate coniferous forests, temperate mixed coniferous and broadleaf forests, and deciduous broadleaf forests, with dominant species including Larix gmelinii (Rupr.) Kuzen., Betula platyphylla Sukaczev, Quercus mongolica Fisch. ex Ledeb., etc.
Figure 1.
Map of the study area.
2.2. Data Description
To accurately quantify the supply capacity of four ESs—WY, CS, SC, and HQ—as well as land use changes from 2013 to 2018, we collected various datasets. These included land use cover, digital elevation model (DEM), soil, potential evapotranspiration, precipitation, railroad, road, waterway, normalized difference vegetation index (NDVI), forest resource 1-class inventory data, and WY coefficient data (Table 1). Due to variations in data sources, precision, and storage formats, all spatial data were unified under the WGS_1984_UTM_Zone_51 coordinate system, and all raster data were resampled to a uniform spatial resolution of 30 m × 30 m [44,55].
Table 1.
Data information and data sources. WY, CS, SC, and HQ refer to water yield, carbon storage, soil conservation, and habitat quality, respectively. LUI and LUTM stand for land use intensity and land use transfer matrix, respectively. Same below.
2.3. L and Use Change Assessment
2.3.1. Land Use Intensity (LUI)
LUI quantifies the degree of human modification and intervention in land use patterns [56]. To evaluate the LUI for each forestry management unit, we employed the following formula [36]:
where LUI denotes land use intensity, with higher values indicating greater anthropogenic impact on land use patterns; Si represents the area of the i-th land use type; Ai denotes the graded index assigned to the i-th land use type. The graded indexes were systematically assigned according to the characteristic features of the DFAIM alpine forest region and the anthropogenic impact associated with each land use type [57], ranging from 1 to 5: class 1 (Ai = 1, bare land), class 2 (Ai = 2, wetland, water), class 3 (Ai = 3, forest, grassland), class 4 (Ai = 4, cropland), and class 5 (Ai = 5, impervious surface).
2.3.2. Land Use Transfer Matrix (LUTM)
Land use transfer matrix (LUTM) directly reflects the dynamic conversion between the area and location of different land use types at the initial and final stages [33]. We used the following matrix to represent these transitions:
where Sij represents the area transferred from the i-th land use type in 2013 to the j-th land use type in 2018. i represents the initial land use type (rows, 2013); j represents the final land use type (columns, 2018). n is the total number of land use types (n = 7). The matrix elements (Sij) reveal both the magnitude and direction of land use changes (e.g., grassland to forest, grassland to bare land) during the study period, enabling us to track the dynamics of land use transformation in the study area.
2.4. Ecosystem Services (ESs) Assessment
Literature review, field research, and interviews indicated that WY, CS, SC, and HQ are critical ESs for DFAIM [49,52] and essential for sustainable regional development. These services are also significant in the context of global concerns [7,12,16,27,58], covering three major categories: provisioning services, supporting services, and regulating services. WY is vital for the hydrological cycle and water security [59]. SC supports agricultural production, ecological security, and hazard mitigation, thereby maintaining regional ecosystem stability [2]. CS is essential for sequestering atmospheric CO2, regulating climate, and mitigating global warming [60]. Finally, HQ refers to the ecosystem’s ability to provide suitable conditions for the survival and development of individuals and populations, closely linked to biodiversity [61]. Hence, the InVEST model and ESCI were employed to quantify the supply capacity and spatiotemporal variation of these four ESs, as detailed in Table 2.
Table 2.
Methods for quantifying ESs supply capacity and changes. WY, CS, SC, and HQ are short for water yield, carbon storage, soil conservation, and habitat quality, respectively.
2.5. Relationship Between LUI and ESs
The four-quadrant model effectively illustrates the coupling relationship and spatial differentiation between the two elements, and it has been increasingly utilized across various fields [26,42]. In this study, we employed the four-quadrant model to examine the spatiotemporal relationships between the LUI and the four ESs of DFAIM at the forestry management unit scale. The four-quadrant models were constructed with z-score-normalized LUI as the horizontal axis and z-score-normalized ESs as the vertical axis. The interpretation of each quadrant is provided in Table 3 [42]. These four quadrants provide a basis for understanding the relationship between ESs and LUI at the forestry management unit scale.
Table 3.
Meaning of each quadrant for the relationship between LUI and ESs.
3. Results
3.1. Spatiotemporal Changes in Land Use
From 2013 to 2018, forest was the predominant land use type in DFAIM, comprising approximately 93% of the total area, followed by cropland and grassland (Figure 2). Impervious surface, water, wetland, and bare land accounted for less than 1% of the total area. The forest area, being the largest and most widely distributed land use type, increased by 0.05% during this period (Figure 2a,b). Cropland represented the second-largest land use type, primarily concentrated in the southeastern regions of DFAIM, such as Dayangshu and Bilahe, with an increase of 4.63%. Grassland accounted for about 2.5% of DFAIM’s total area from 2013 to 2018 and showed a noticeable reduction over time. Grassland was predominantly located in strips and patches in the western, southern, and southeastern parts of DFAIM. From 2013 to 2018, the areas of impervious surface, water, wetland, and bare land remained relatively small. Among these, the extent of impervious surface was greater than that of water, wetland, and bare land. Specifically, the impervious surface area increased from 143.78 km2 in 2013 to 164.08 km2 in 2018, mainly concentrated in the southeastern part of Dayangshu and the central parts of Alihe, Genhe, Alongshan, and Mangui. Similarly, the bare land area in 2018 increased by 59.51% compared to 0.26 km2 in 2013, primarily located in Dayangshu, Arxan, Alihe, and Jiwen. In contrast, the water area and wetland area decreased by 4.82% and 13.24%, respectively, by 2018. Water was scattered in the northern, southern, and southeastern regions of DFAIM, primarily in Dayangshu and Yonganshan. Wetland was in the southeast of Dayangshu, Bilahe, and Beidahe (Figure 2a,b).
Figure 2.
Spatial distribution of DFAIM land use in 2013 (a) and 2018 (b), and land use transfer change (c) from 2013 to 2018.
During this period, various land use types in DFAIM underwent conversion changes, although the major land use types remained consistent (Figure 2c). All land use types experienced some degree of conversion to forests, particularly grassland and cropland, with 186.49 km2 and 122.9 km2 converted, respectively. Some forest areas were transformed into cropland, grassland, impervious surface, and water, with the largest conversion area being cropland (243.77 km2). A total of 244.59 km2 of cropland was converted into impervious surface, grassland, forest, and water, primarily into grassland and forest. In total, 395.83 km2 was transferred to cropland, mainly from grassland (150.74 km2) and forest (243.77 km2). Grassland was converted into all other land use types, particularly into forest (186.49 km2), cropland (150.75 km2), and impervious surfaces (7.22 km2). Some forest, wetland, bare land, cropland, and water areas were converted into grassland, with cropland (117.70 km2) contributing the most, followed by forest (16.65 km2) and wetland (1.06 km2). Only grassland was converted to bare land (0.21 km2) and wetland (0.01 km2). A shift of 0.02 km2 occurred from bare land to impervious surface and a shift of 0.04 km2 to grassland. The transitions from wetland to other land use types occurred in descending order as follows: grassland (1.06 km2), forest (0.14 km2), cropland (0.06 km2), water, and impervious surface. The water area changed to impervious surface, grassland, cropland, and forest by 2.18, 0.24, 0.72, and 1.21 km2, respectively. Shifts to water occurred across different land use types, with impervious surface (0.39 km2), grassland (0.11 km2), and cropland (0.08 km2) being the most notable. Overall, all land use types contributed to an increase of 20.7 km2 of impervious surface, especially from grassland (7.22 km2), forest (7.37 km2), and cropland. The impervious surface was converted only to forest and water, totaling 0.39 km2 (Figure 2c).
The average LUI in DFAIM increased slightly from 3.021 in 2013 to 3.023 in 2018, representing an increase of 0.07% (Figure 3). Ergun had the lowest LUI at approximately 2.9, while Dayangshu had the highest at approximately 3.2, with both LUI values showing increases during the study period. Wuerqihan ranked second in LUI in both 2013 and 2018, with an increase of 0.13% in 2018, reaching a value of 3.026. The LUI values of Keyihe, Jinhe, Mangui, Delbur, Wuma, Yonganshan, Qiqian, and Hanma Nature Reserves remained stable throughout the study period. From 2013 to 2018, LUI increased by 0.10% in Chol, Chuoyuan, Kuduer, and Jiwen; by 0.07% in Arxan, Tulihe, Alihe, and Luomin Forest Management Institute; by 0.06% in Bilahe; and by 0.03% in Yitulihe, Ganhe, Genhe, Jinhe, Morduga, Erguna, Alongshan, and Beidahe. To analyze spatial distribution changes in LUI more accurately, the Jenks natural breaks method was employed to classify LUI at the forestry management unit scale into five levels: low, lower, medium, higher, and high (Figure 3). The spatial distribution of LUI in DFAIM remained relatively stable from 2013 to 2018, showing a general pattern with high values concentrated in the southeast and low values in the northwest. The low LUI level was concentrated in the northwest, with its distribution range expanding over time. The lower LUI level was primarily found in the central and southern parts of DFAIM, covering 11 forestry management units in 2013 and 9 in 2018, with reductions in Keyihe and Alongshan. Throughout the study period, the spatial distribution of the “high”, “higher”, and “medium” LUI levels remained relatively stable. Specifically, the high level was located in the southeastern corner (Dayangshu), the higher level concentrated in the southeast (Bilahe), and the medium level distributed in the west and east (Tulihe, Wuerqihan, Jiwen, and Alihe) (Figure 3).
Figure 3.
LUI and changes in DFAIM from 2013 to 2018.
3.2. Spatiotemporal Changes in ESs
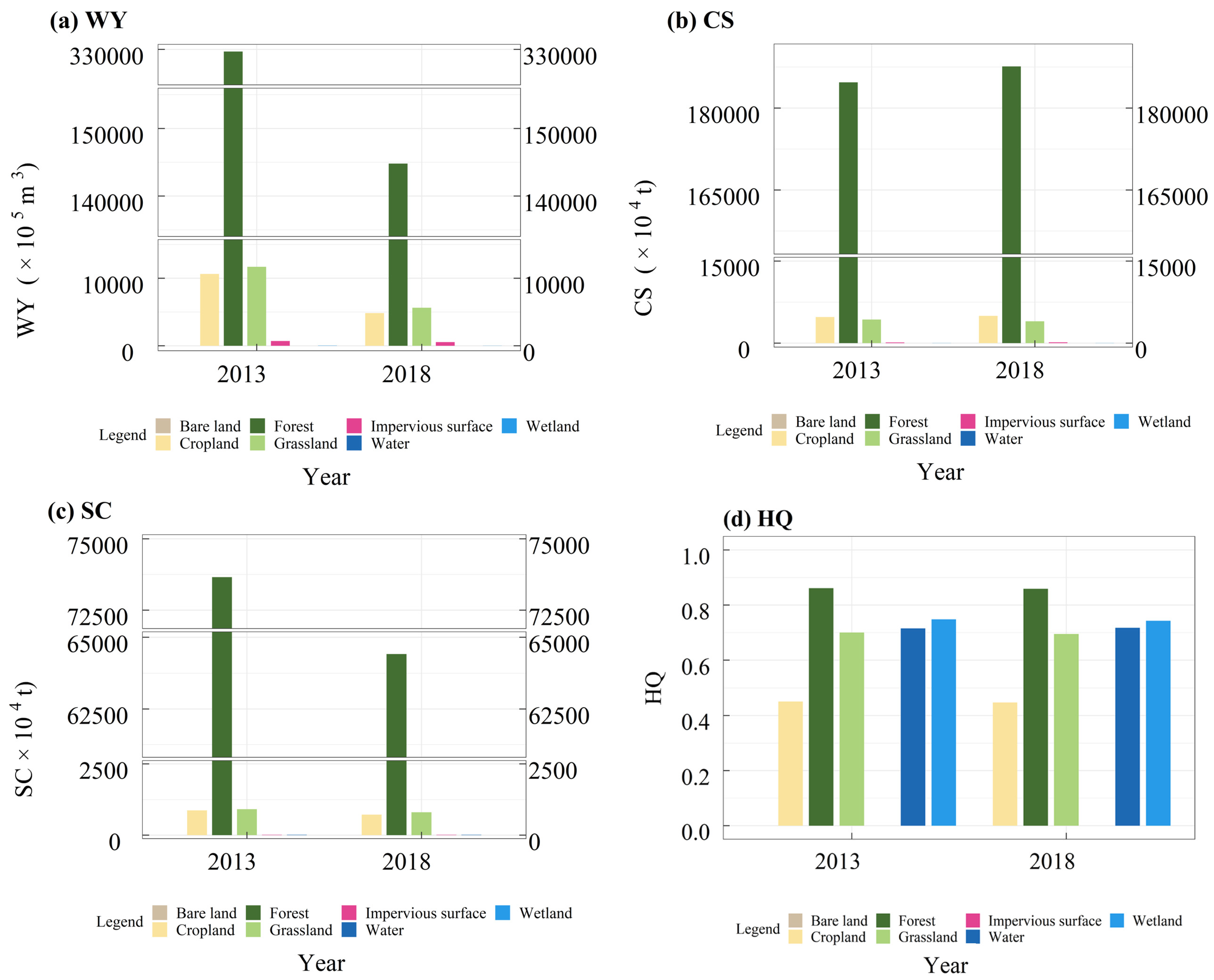
The WY supply capacity in DFAIM decreased from 2013 to 2018, with the average depth of water produced declining from 319.84 mm in 2013 to 141.26 mm in 2018 (Figure 4a, Figure 5a, and Figure 6a–c). During this period, forest was the main contributor to WY, accounting for approximately 92%, followed by grassland (about 3%), cropland (about 3%), impervious surface (about 0.2%), wetland, water, and bare land (Figure 4a). The ESCI for forest, cropland, grassland, impervious surface, water, and wetland was negative, ranging from −0.23 to −1, indicating a decline in WY for these land use types over time (Figure 5a). Among them, WY supply capacity of water decreased the most (−1), followed by wetland (−0.65). The changes in WY for forest, cropland, and grassland were similar, with reductions of 56.08%, 54.54%, and 51.77% in 2018 compared to 2013, respectively. The impervious surface experienced the least reduction in WY supply capacity, with a decrease of 23.40% in 2018 relative to 2013. In contrast, the ESCI for bare land was positive, indicating a 7.46% increase in 2018 compared to 2013 (Figure 5a). To accurately describe the spatial distribution of ESs, the Jenks natural breaks method was employed to classify each ESs into three levels: low-value area, medium-value area, and high-value area (Figure 7). The spatial distribution pattern of WY during the study period revealed high values concentrated in the center of DFAIM, with lower values toward the periphery (Figure 6a–c and Figure 7a,e). High-value areas were primarily located in the central region, with their distribution notably restricted over time, particularly in Keyihe, Ganhe, and Jiwen. Conversely, the distribution range of low-value and medium-value areas expanded. Specifically, the low-value area expanded from the northernmost part of the DFAIM in 2013 to encompass the western and central regions by 2018, while the medium-value area expanded from the western and eastern parts to the central region (Figure 7a,e).
Figure 4.
Supply capacity of individual ESs for different land use types in DFAIM from 2013 to 2018. WY, CS, SC, and HQ are short for water yield, carbon storage, soil conservation, and habitat quality, respectively. Same below.
Figure 5.
ESCI of different land use types in DFAIM. ESCI stands for ecosystem service change index.
Figure 6.
Spatial distribution of ESs in DFAIM for the years 2013 (a,d,g,j) and 2018 (b,e,h,k) and the difference between the two years (c,f,i,l).
Figure 7.
The supply capacity levels of various ESs of DFAIM in 2013 and 2018.
The CS supply capacity in 2018 was higher than in 2013, with the average CS supply capacity increasing from 195.29 t/ha in 2013 to 198.14 t/ha in 2018 (Figure 4b, Figure 5b, and Figure 6d–f). Forest, cropland, impervious surface, and bare land all had positive ESCI values ranging from 0.02 to 0.60, indicating an increase in their CS supply capacity over time (Figure 5b). The CS supply capacity was greatest in forest, followed by cropland, which increased by 1.58% and 4.63%, respectively. Bare land demonstrated the greatest increase in CS supply capacity, with an ESCI of 0.60. Conversely, the CS supply capacity of water, grassland, and wetland decreased over time, with ESCI values ranked from highest to lowest as follows: water (−0.05), grassland (−0.08), and wetland (−0.13) (Figure 5b). The spatial distribution pattern of CS throughout the study period showed high values concentrated in the central and northern regions, while low values were observed in the southeast and southwest (Figure 6d–f and Figure 7b,f). The high-value CS areas were the largest and most widely distributed, primarily located in the central and northern parts of DFAIM and gradually expanding to surrounding areas. The medium-value CS areas were concentrated in the southeast and southwest, with their distribution becoming increasingly restricted. The low-value CS areas were small and scattered, primarily located in Mangui, Alongshan, Jinhe, and Genhe, with a with a further reduction in their distribution range by 2018 (Figure 7b,f).
The SC supply capacity of DFAIM decreased from 2013 to 2018, with the average SC declining from 76.07 t/ha in 2013 to 66.50 t/ha in 2018 (Figure 4c, Figure 5c, and Figure 6g–i). Variations were observed in the contributions of various land use types to SC supply capacity, with forest as the primary contributor, followed by grassland, cropland, impervious surface, water, wetland, and bare land (Figure 4c). The ESCI values of forest, grassland, cropland, and wetland were negative, indicating a decrease in the SC supply capacity of these land use types over time (Figure 5c). In 2018, the SC supply capacity of forest, grassland, and cropland was 12.55%, 11.73%, and 17.39% lower than in 2013, respectively. The wetland experienced the most substantial decline in SC supply capacity, with an ESCI of −0.33. In contrast, ESCI was positive for bare land, water, and impervious surface, with bare land exhibiting the highest value (0.95) and water the lowest (0.02). The SC supply capacity of impervious surface increased by 4.71% in 2018 compared to 2013 (Figure 5c). Throughout the study period, the main spatial distribution pattern of SC exhibited low values in the east and west, with high values concentrated in the center, decreasing toward the peripheries (Figure 6g–i and Figure 7c,g). Over time, the distribution of high-value and medium-value areas became more restricted, with high-value areas forming strips and clusters primarily in the central region of DFAIM, particularly in Alongshan and Hanma Nature Reserve. Medium-value areas were located around high-value areas, while low-value areas were predominantly found in the eastern and western parts of DFAIM, exhibiting the widest distribution and further expanding toward the center, especially in Keyihe, Ganhe, Jinhe, and Morduga (Figure 7c,g).
DFAIM exhibited a favorable HQ, with average HQ values of 0.841 and 0.839 in 2013 and 2018, respectively (Figure 4d, Figure 5d, and Figure 6j-l). The highest HQ was found in forest (about 0.86), followed by wetland (about 0.74), water (about 0.71), grassland (about 0.70), and cropland (about 0.45) (Figure 5d). Both bare land and impervious surface displayed very poor HQ. The ESCI values for forest, cropland, grassland and wetland were negative, indicating a decrease in their HQ supply capacity over time (Figure 5d). The most notable decline was observed in cropland (−0.01), while forest experienced the least reduction (−0.002). In 2018, the HQ supply capacity of wetland and grassland decreased by 0.70% and 0.64%, respectively. In contrast, HQ increased only for water, which had a positive ESCI of 0.003 (Figure 5d). The spatial distribution pattern of HQ during the study period revealed low values in the southeast and along the north–south and east–west centerlines, with high values concentrated in the northern and central regions (Figure 6j-l and Figure 7d,h). High-value areas dominated HQ across DFAIM, including regions such as Yonganshan, Uma, and Qiqian, although all values decreased over time. The distributions of low-value and medium-value areas were similar, both clustering around the north–south and east–west centerlines of DFAIM as well as in the southeast region. Compared to the medium-value areas, low-value areas exhibited a more aggregated distribution and increased in area over time (Figure 7d,h).
3.3. Changes in the Relationship Between LUI and ESs
The number of forestry management units in Quadrant II of LUI and WY was the highest, indicating a negative correlation where increasing LUI reduced WY supply capacity (Figure 8a,e, Table 3). The number of forestry management units in Quadrant II decreased from 13 in 2013 to 11 in 2018, predominantly located in the southern and central parts of DFAIM, with a noticeable reduction in the central area over time (Figure 8a,e). In Quadrant IV, LUI and WY were characterized by a negative correlation, where improvements in WY supply capacity were attributed to a weakening of LUI, which was only observed in 2018 in the western part of DFAIM (Tulihe). The number of forestry management units in Quadrant III for LUI and WY, indicating a positive correlation where non-anthropogenic factors may have contributed to WY degradation, ranked second and was mainly distributed in the northeast of DFAIM. Specifically, the number of forestry management units in Quadrant III increased from nine in 2013 to 10 in 2018, with increases noted in Ganhe, Alihe, and Genhe, while Jinhe and Alongshan experienced decreases. In Quadrant I, LUI and WY indicated a positive correlation, where increasing LUI did not have an obvious negative impact on WY, primarily located in the southeast corner of DFAIM and encompassing four forestry management units. Notably, Tulihe transitioned from Quadrant I in 2013 to Quadrant IV in 2018, while Jiwen shifted from Quadrant II in 2013 to Quadrant I in 2018 (Figure 8a,e).
Figure 8.
Relationship between LUI and individual ESs in 2013 and 2018. I represents Quadrant I; II represents Quadrant II; III represents Quadrant III; and IV represents Quadrant IV.
For the relationship between LUI and CS, Quadrant II encompassed the highest number of forestry management units (17), primarily located in the upper and northern parts of DFAIM (Figure 8b,f). Over time, Quadrant II expanded in the southern part of DFAIM (Tulihe) while decreasing in the east (Jiwen), indicating a negative correlation in which increasing LUI reduced CS supply capacity (Table 3). In Quadrant IV, LUI and CS, characterized by a negative correlation, where improvements in CS supply capacity were attributed to a weakening of LUI, were concentrated in the southeastern and western parts of DFAIM, progressively clustering in the southeast. The number of forestry management units in Quadrant IV decreased from four in 2013 to three in 2018 due to changes in Tulihe’s ranking. The spatial distribution of Quadrant III for LUI and CS, indicating a positive correlation, where non-anthropogenic factors may have primarily caused CS degradation, remained relatively stable and was primarily concentrated in eastern DFAIM. During the study period, Quadrant III for LUI and CS included five forestry management units: Arxan, Chol, Chuoyuan, Kuduer, and Beidahe. Quadrant I for LUI and CS, also indicating a positive correlation, where increasing LUI did not have an obvious negative impact on CS, emerged only in 2018, located in the east-central part of DFAIM (Jiwen) (Figure 8b,f).
From 2013 to 2018, LUI and SC predominantly resided in Quadrant II, indicating a negative correlation, where increasing LUI reduced SC supply capacity, followed by Quadrant III, which exhibited a positive correlation, suggesting that non-anthropogenic factors may have primarily contributed to SC degradation (Figure 8c,g, Table 3). Quadrant II for LUI and SC was primarily located in the southern and east-central parts of DFAIM and shifted northeastward over time, incorporating areas such as Tulihe, Morduga, Uma, and Qiqian. In 2013, two forestry management units were classified in Quadrant IV for LUI and SC, indicating a negative correlation, where improvements in SC supply capacity resulted from a reduction in LUI. By 2018, this number rose to three units, which included Jiwen, Dayangshu, and Bilahe. The spatial distribution of Quadrant IV exhibited increased clustering in the southeastern part of DFAIM over time. Quadrant III for LUI and SC was mainly concentrated in the northeast and central areas of DFAIM, gradually moving toward the center. The number of forestry management units in Quadrant III decreased by 9.09% from 11 units in 2013 to 10 units in 2018. Specifically, in 2018, Morduga, Uma, and Qiqian were removed from Quadrant III, while Keyihe and Alihe were added. Quadrant I for LUI and SC, indicating a positive correlation, where increasing LUI did not have an obvious negative impact on SC, clustered in the lower central region of DFAIM, although its distribution became increasingly restricted. The number of forestry management units in Quadrant I decreased from two to one (Wuerqihan) (Figure 8c,g).
LUI and HQ exhibited the highest number of forestry management units in Quadrant II during the study period, indicating a negative correlation where increased LUI reduced HQ supply capacity (Figure 8d,h, Table 3). The number of forestry management units in Quadrant II reached 12 in 2018, representing a 20% reduction from 2013. Quadrant II for LUI and HQ primarily concentrated in the northern, central, and upper parts of DFAIM, with a decline in distribution in the northern and eastern areas over time. Quadrant III for LUI and HQ, indicating a positive correlation where non-anthropogenic factors may have been the main cause of HQ degradation, included seven forestry management units in 2013, with Keyihe, Yonganshan, and Hanma Nature Reserve added in 2018 and Jiwen removed. Additionally, the number of forestry management units in Quadrant IV for LUI and HQ, reflecting a negative correlation, where HQ supply capacity improved due to weakening LUI, increased by 33.33% compared to 2013, with spatial distribution expanding toward the southeast. These regions were more dispersed, initially located in the east, west, and south of DFAIM, and gradually spread northward. Throughout the study period, Quadrant I exhibited a stable spatial distribution concentrated in the western DFAIM (Wuerqihan), indicating a positive correlation where increases in LUI did not significantly compromise HQ (Figure 8d,h).
4. Discussion
4.1. Spatiotemporal Changes in Land Use
Land use change significantly impacts both global and regional ecological environments as well as social and economic development [21]. In DFAIM, all land use types underwent varying degrees of change from 2013 to 2018, with increases in the areas of in forest, cropland, impervious surface, and bare land, while the areas of grassland, water, and wetland decreased. These changes align with the overall increase in cropland and construction land and the decrease in water and grassland areas observed in Northeast China from 2000 to 2020, although they differ from the decline in forest land reported in other studies [72]. These land use changes are closely linked to socio-economic factors, including national policies, population density, and levels of economic and scientific development, as well as natural factors such as climate change and geographical conditions [73]. Forest was the main land use type in DFAIM, accounting for approximately 93% of the area, and the forest area increased over time. Recognized as a national key forest ecological functional area and part of the “Great Green Wall” of Northern China, DFAIM has benefited from ecological construction projects, including natural forest protection, the conversion of cropland to forest and grassland, and large-scale afforestation efforts, all contributing to the increase in forest resources [74]. Conversely, grassland area in DFAIM has declined over time. While precipitation is generally a key climatic factor influencing grass growth [56,75], recent warming and drying trends have led to diminished precipitation and soil moisture, adversely affecting grass growth. Human activities, particularly grazing, are primary drivers of grassland degradation in Inner Mongolia [75], reducing the proportion of dominant grass species and disrupting normal vegetation growth [76]. Additionally, land use changes, such as plantation forestry and crop cultivation, have accelerated the conversion of grassland to cropland and forest [56]. The increases in bare land and impervious surface areas in DFAIM primarily stem from the transformation of grassland. The decrease in wetland area is attributed to global warming, increased aridity, heightened evapotranspiration, and anthropogenic disturbances, including the conversion of wetlands to cropland or impervious surface.
Measuring LUI is essential for guiding rational land resource planning and providing a scientific basis for the sustainable ecosystem development [77]. Throughout the study period, the LUI of DFAIM remained generally stable, contrasting with the slight decrease observed in the Inner Mongolia Autonomous Region from 2008 to 2017 [78]. Variations in LUI may result from differences in research periods, objects, scopes, geographical conditions, or policies [79]. The average LUI of DFAIM increased by 0.07% from 2013 to 2018. Climate drying and warming may have increased the frequency and length of natural wildfires (at least five large-scale natural fires occurred during the study period), leading to increased anthropogenic activities such as artificial fire suppression, forest restoration, and reforestation [51]. The relatively small variation in LUI among forestry management units is likely due to DFAIM being a state-owned forest area in China, with continued implementation of ecological protection policies.
Between 2013 and 2018, LUI in DFAIM exhibited significant spatial differentiation, with predominantly high values in the southeast and low values in the northwest. The northwestern part of DFAIM encompasses original forests with abundant resources, numerous nature reserves, strict management and protection measures, low human interference, high mountains, and remote roads, resulting in low LUI. However, the range of low-level LUI has increased over time, likely due to the natural ecological suitability of the northwestern region, where government initiatives have encouraged and supported the development of regional eco-tourism, fostering sustainable land use patterns. Conversely, the southeastern part of DFAIM is characterized by gentle slopes, low vegetation coverage, high urbanization levels, a dense road network, and an interwoven distribution of various land use types that are in continuous transformation. This has resulted in a predominance of high-, higher-, and medium-LUI areas. These observations reflect the significant outcomes of the DFAIM’s “Natural Forest Protection Project” and “Large-scale Land Greening” initiatives, which have effectively stabilized land use types [15].
4.2. Spatiotemporal Changes in ESs
A quantitative assessment of ESs and their spatiotemporal changes is essential for sustainable development in regional natural and social systems [8,80]. Between 2013 and 2018, WY, SC, and HQ in DFAIM exhibited a decline, while CS showed an increase. This pattern indicates a gradual degradation of most ESs in the DFAIM, consistent with similar findings in the Inner Mongolia grassland ecosystem (2000–2017) [81] and an increase in CS in Northeast China (2000–2020) [72]. Climate warming and drying, alongside decreased annual precipitation, higher mean temperatures, and accelerated evapotranspiration, have reduced soil microorganism diversity and abundance, exacerbating natural disasters such as wildfires, pest outbreaks, rodent infestations, and soil erosion [51]. Human activities, including road construction and tourism development, further impair ecosystem stability and multifunctionality, leading to declines in WY, SC, and HQ in DFAIM. Conversely, DFAIM is dominated by forests, with high vegetation cover that mitigates the impact of elevated summer temperatures on plant growth [82]. This forest cover contributes to substantial CS due to large-scale afforestation efforts and ecological restoration projects, which have fostered favorable conditions for vegetation and expanded forest areas [83]. Additionally, climate change within certain thresholds can induce plants to produce stress tolerance proteins, thereby enhancing plant metabolism and promoting growth in response to adverse environmental conditions [84,85]. This process contributes to an increase in amino acid content within plants and accelerates photosynthesis efficiency [84], ultimately enhancing forest productivity and carbon sequestration capacity [86]. Nonetheless, the high transpiration rates and water consumption of forest vegetation can inhibit WY to some extent [82]. From 2013 to 2018, the spatial distribution of the four ESs revealed clear heterogeneity [87], with higher values concentrated in the central region and lower values on the peripheries. This distribution aligns with precipitation patterns in DFAIM, where lower WY values have encroached toward the center, reflecting a decrease in precipitation [88]. SC showed low values on the eastern and western sides, with higher values in the center, aligning with the slope distribution pattern and indicating that topography plays a vital role in its distribution [81]. The high-value areas of SC were characterized by steep slopes, high vegetation cover, higher precipitation, and greater snowmelt. In contrast, the low-value areas of SC were located in the southeast and west, where gentle terrain and agricultural activities likely altered soil structure [89], reducing SC capacity. CS exhibited high values in the central and northern regions and low values in the southeast and southwest, reflecting spatial distribution in vegetation coverage, with the greater impact of more cropland and impervious surfaces in these areas. Additionally, ecological protection and construction projects have further enhanced forest CS, expanding high-value CS areas into surrounding regions [90]. The spatiotemporal distribution of HQ remained relatively stable during this period. The poorer HQ in the southeastern portion of the DFAIM and near transportation routes may be due to its high level of human activity and habitat fragmentation, combined with higher population densities in the southeastern region. In contrast, the northern section of DFAIM benefited from higher vegetation cover, more stable traffic patterns, and lower LUI, leading to improved HQ. Moreover, over time, high-value HQ areas contracted, suggesting that climate change may have influenced vegetation dynamics in the region [88]. The contributions of different land use types to ESs varied considerably, with forests being the primary contributors to all four ESs of DFAIM. This is consistent with studies from Northeast China, where forest land similarly exerted a substantial impact [72]. Given that forests comprise over 93% of DFAIM’s total area, ongoing ecological projects focus on conserving forest and grassland ecosystems, enhancing their area and quality, and thereby increasing the supply capacity of multiple ESs. Conversely, bare land showed lower ES values despite upward trends in CS, WY, and SC. Continuous degradation of some grasslands into bare land—driven by climate warming and anthropogenic grazing—has altered ES dynamics in these areas. Impervious surfaces and bare land exhibited minimal ES supply capacity, especially with HQ recorded as zero. This was likely due to poor soil quality, significant fluctuations in surface temperature, and a lack of vegetation cover [15,87], which highlights the detrimental effects of these land uses on ecological integrity [91]. Therefore, land use changes considerably influence the supply capacity and distribution of ESs [87,92]. In addition, comparisons with existing studies in the region [93,94] indicate a relative error of 9.07% in forest CS and 15.3% in WY for this assessment, reinforcing the reliability of the findings obtained using the InVEST model.
4.3. Changes in the Relationship Between LUI and ESs
Understanding the spatiotemporal relationship between LUI and ESs is crucial for optimizing land use allocation and achieving sustainable ecosystem management [7,27]. During the study period, the relationships between LUI and the four ESs in DFAIM predominantly exhibited negative correlations, primarily observed in Quadrant II. This indicates that increased LUI, driven by human activities, has led to the degradation of ESs. This is the same as regulating services and support services decreasing with increasing LUI [27] and different from provisioning services increasing with LUI [95]. The intricate mountain systems and complex hydrology in DFAIM contribute to heterogeneous local environments [96], complicating the relationship between ESs and LUI and indicating regional variations [95]. Additionally, Quadrant III displayed positive correlations, where lower LUI and reduced ESs suggest that degradation may stem from non-anthropogenic factors. Given the designation of this region as a key ecological function area, human disturbances are limited. However, the prevalence of extreme climatic conditions, including frequent forest wildfires and various natural disasters, has harmed ecosystem structures and processes, leading to a reduction in ESs. This also indicates the sensitivity of ESs in this region to climate change [48]. With the change of time, the number of forestry management units of LUI and WY as well as of LUI and HQ in Quadrant II decreased and increased in Quadrant III. Conversely, the relationships between LUI and SC exhibited an opposite pattern, confirming the dynamic nature of the relationship between LUI and ESs [26,97], with SC being particularly sensitive to human disturbances. The relationship between LUI and ESs was characterized by spatial heterogeneity, which was consistent with the results of previous studies [7,26]. The southeast corner of DFAIM primarily fell into Quadrant I for LUI and WY, indicating a positive correlation, while it mostly occupied Quadrant IV for LUI and CS, SC, and HQ, which became more clustered in this region over time. The relatively high LUI in this area, characterized by extensive human activities, high habitat fragmentation, and complex land use types, likely reduced the supply capacities of CS, SC, and HQ. However, WY appears to be more influenced by climate change [42], indicating that increased LUI did not substantially harm WY. In the northern part of DFAIM, relationships predominantly resided in Quadrant III for LUI and WY as well as for LUI and SC, while Quadrant II was prevalent for LUI and CS and for LUI and HQ. The northern region encompasses the largest contiguous area of bright coniferous primary forest, characterized by low LUI and minimal human activities, suggesting that the decline in SC and WY may primarily result from non-anthropogenic factors. Nevertheless, DFAIM’s ecological fragility means that increasing LUI, such as through soil disturbance and road construction, could adversely affect CS and HQ and alter their spatial distributions. Furthermore, the spatial patterns of the relationships between LUI and WY as well as between LUI and SC changed significantly from 2013 to 2018, with expansions in Quadrant III reflecting precipitation patterns. This underscores the impact of climate change on the relationship between LUI and ESs within DFAIM [98].
4.4. Management Inspirations
Considering the vulnerability of DFAIM and the declining trends in ESs, we propose the following targeted management recommendations to restore ecosystems, enhance ES supply capacity, and promote sustainable development.
4.4.1. Differential Land Use Planning and Management
Based on the spatial distribution characteristics (high in the southeast and low in the northwest) of LUI in the DFAIM region from 2013 to 2018 and its negative correlation with ESs, differentiated land use policies are recommended. First, it is essential to optimize the land use structure and scientifically regulate LUI in various regions to ensure effective management of important ecological function areas. Second, clear boundaries should be established for high-intensity land use areas in the southeast, with stringent controls on land use expansion to prevent disorderly cropland expansion and maintain the stability of ESs. In the central transition zone, it is advisable to prioritize the use of underutilized land for urban development while maintaining existing forestland and promoting the coordination of ecological functions among forests, cropland, and grasslands. Additionally, strict ecological protection red lines should be delineated in the western region, prohibiting large-scale land development to enhance ecosystem integrity.
4.4.2. Systematic Ecological Protection and Restoration Strategies
In response to the declining supply capacities of WY, HQ, and SC, along with the variability in ES supply capacities across different land use types, integrated management and differentiated ecological protection and restoration strategies are proposed. First, priority should be given to the protection of water conservation areas, and projects for rainwater harvesting and wetland protection should be promoted to ensure the sustainable use of water resources. In areas with severe soil and water conservation degradation, it is recommended to implement soil and water conservation projects and vegetation restoration to enhance ES supply capacities, especially in high-intensity agricultural areas. For regions with low HQ, green technologies should be employed for infrastructure development to minimize damage to vegetation. Given the high capacity of forest ecosystems to provide a variety of ESs, strict protection of existing forest resources is essential. Increased financial support and incentives should be provided, and ecological projects such as programs for natural forest protection should continue to improve carbon sequestration efficiency and enhance resilience to climate change. Furthermore, to address the reduction in grassland area, it is advisable to implement rotational grazing and precision restoration techniques while adjusting livestock structures for sustainable utilization of grassland resources. Moreover, promoting practices such as conservation tillage and intercropping can enhance the ES supply capacity of croplands.
4.4.3. Ecological Early Warning Monitoring and Assessment Systems
In response to the spatial and temporal dynamics of ESs, we recommend establishing a multilevel ecological monitoring and assessment early warning system. First, fixed monitoring plots should be established across the region, creating a comprehensive ecological monitoring network that focuses on areas with high LUI. Second, key indicators—such as WY, CS, HQ, and SC—should be incorporated into a regular monitoring system, with comprehensive evaluations conducted quarterly. In terms of technological implementation, advanced tools such as remote sensing satellites and unmanned aerial vehicles should be utilized to establish a dynamic monitoring mechanism. This system will enable real-time monitoring of meteorological, hydrological, environmental, and forest and grassland disasters, alongside the development of a forest fire monitoring and suppression system. Finally, a big data-based assessment model should be established to regularly analyze the impact of land use changes on ESs, providing a scientific foundation for policy adjustments.
4.4.4. Ecological Corridor and Buffer Zone Construction
Given the spatial distribution of ESs, characterized by “high in the middle and low on both sides”, we recommend optimizing the regional ecological spatial pattern by actively constructing ecological belts, buffer zones, and ecological corridors. First, ecological corridors should be established between regions with high ES values (e.g., the central region) to enhance connectivity among ecological patches and facilitate the flow of ecological processes. Simultaneously, ecological buffer zones should be established around areas with low ES values, particularly in regions with slopes greater than 25°, to enhance ecological stability and soil and water conservation through vegetation restoration and terracing projects. Additionally, urban development boundaries should be clearly delineated to reserve ecological development space, thereby constructing a regional ecological security pattern characterized by a “corridor-patch-matrix” framework that promotes optimal allocation of ESs.
4.4.5. Multi-Stakeholder Participation Mechanisms and Agricultural Production Optimization
In light of the spatial heterogeneity of ESs, we propose the establishment of a synergistic management system that is “government-led, research-supported, and publicly engaged”. First, a platform for ES valuation and information sharing should be established, with regular reports on land use changes and their ecological impacts to enhance transparency and public involvement. Second, scientific research institutions should be leveraged to develop eco-friendly land use technologies, providing technical support to farmers and enhancing their ecological protection awareness and capacity. Educational initiatives focused on ecological protection should be organized to raise public awareness of the value of ESs, fostering a societal commitment to ecological preservation. Finally, considering the impact of cropland changes on the supply capacity of ESs, we recommend promoting precision agriculture and integrated water and fertilizer management technologies to achieve coordinated development of ecological benefits and agricultural production. Furthermore, practices such as conservation tillage and intercropping should be encouraged to enhance the supply capacity of cropland ESs.
4.5. Limitations and Future Perspectives
This study has several limitations that should be addressed in future research. Firstly, due to model constraints and data availability, we only quantified a limited set of ESs, excluding cultural services from the assessment. Secondly, although the four-quadrant model effectively integrates qualitative and quantitative analyses to illustrate the causal relationships between LUI and ESs, it primarily relies on descriptive statistics without rigorous statistical validation, making it difficult to determine the statistical significance of observed changes. Thirdly, our study focused exclusively on the relationship between LUI and ESs, without examining the driving mechanisms of other physical, natural, and socio-economic factors influencing changes in ESs. Fourthly, data limitations restricted our analysis to a single land use classification category over a brief period (2013–2018), preventing assessment of inter-annual and seasonal variations as well as external disturbances such as extreme weather events, droughts, and pest outbreaks, which may not fully capture the dynamics trend of the relationship between LUI and ESs. Fifthly, while most InVEST model parameters were derived from regional studies and empirical values, with some adapted to DFAIM-specific conditions, limited validation data may have introduced bias into our results.
To address these limitations, we propose several directions for future research: firstly, expand the assessment to include a broader range of ESs, particularly cultural services, to provide a more comprehensive ecological evaluation; secondly, implement robust statistical methods to validate the relationships within the four-quadrant framework, enhancing the scientific rigor of the analysis; thirdly, investigate the complex interactions among multiple drivers of ES changes, including natural, socio-economic, and ecological factors; fourthly, incorporate more detailed land use classifications or vegetation types, extend the research period for continuous monitoring, and consider external interference factors such as climate and disasters to identify inter-annual and seasonal fluctuations, which will deepen our understanding of the mechanisms driving changes in ESs and their dynamic relationship with LUI under various scenarios of past and future climate and land use changes; fifthly, enhance model accuracy through localized parameter calibration based on field studies and experimental analyses; and lastly, examine the relationship between LUI and ESs across multiple spatial scales to better understand cross-scale interactions and support regional sustainable management strategies. These improvements can enhance our understanding of the relationship between LUI and ESs under various scenarios, providing a more robust scientific foundation for sustainable ecosystem management.
5. Conclusions
This study quantified the land use change and spatiotemporal variation of four ESs of DFAIM from 2013 to 2018 and analyzed the relationship between LUI and ESs. The main conclusions were as follows: (1) Land use patterns exhibited relative stability with localized transformations. Forest remained the dominant land cover type (~93%) with slight expansion, while cropland, impervious surface, and bare land areas increased marginally. Significant mutual transformations occurred among different land use types, particularly among forests, croplands, grasslands, and impervious surfaces. The overall variation of LUI was gentle, with high values concentrated in the southeast and low values in the northwest, while low LUI areas showed slight expansion. (2) Four ESs demonstrated spatial heterogeneity, with overall high values concentrated in the center and low values on the peripheries. Over time, WY, SC, and HQ gradually decreased, while CS increased. Forest areas maintained the highest ES values, whereas bare land areas showed the lowest. (3) The relationship between LUI and all four ESs was predominantly negative and primarily situated in Quadrant II, with distinct regional characteristics: LUI and WY were observed in the south and middle, LUI and HQ in the north and upper middle, LUI and CS in the upper middle, and LUI and SC in the south and southeast. Additionally, Quadrant III (positive correlation) accounted for a significant proportion (19.23%~42.31%), highlighting the important role of non-anthropogenic factors in ES changes. Overall, most ESs of DFAIM experienced degradation over time despite relatively stable changes in LUI, which were predominantly negatively correlated with ESs. The increase in LUI driven by human activities, along with non-anthropogenic factors, was an important cause of ES degradation. These findings offer insights into the interactions between land use changes and ESs in alpine ecosystems, providing a scientific basis for sustainable ecosystem management. To enhance ESs, we propose a comprehensive framework that integrates differentiated land-use planning and management; scientific regulation of LUI; systematic ecological protection and restoration strategies; strengthened financial support mechanisms; the establishment of multi-level ecological monitoring networks encompassing meteorological, hydrological, environmental, and forestry-grassland hazards; the construction of eco-belts and corridors; and the implementation of synergistic management systems with multi-stakeholder participation.
Author Contributions
Conceptualization, L.X. and Y.H.; methodology, L.X., C.T. and H.X.; software, L.X., L.Z. and H.X.; data curation, L.X., Y.H. and L.Z.; formal analysis, L.X. and L.Z.; visualization, L.X. and H.X.; investigation, L.X. and C.T.; resources, L.Z. and C.T.; writing—original draft, L.X.; writing—review and editing, L.X. and Y.H.; validation, L.Z. and H.X.; supervision, Y.H.; funding acquisition, Y.H. All authors have read and agreed to the published version of the manuscript.
Funding
This research was funded primarily by the National Natural Science Foundation of China (31170593 and 31570633) and National Forestry and Grassland Administration Research on Major Forestry Issues (500102-1776).
Data Availability Statement
Dataset available on request from the authors.
Acknowledgments
We would like to thank Elizabeth Tokarz for assistance with English language and grammatical editing of the manuscript. The authors would like to thank the anonymous reviewers for their valuable comments and suggestions that improved the quality of this manuscript.
Conflicts of Interest
Liang Zhang and Chunwei Tang are employed by Inner Mongolia Daxinganling Carbon Sinks Science and Technology Limited Liability Company, their employer’s company was not involved in this study, and there is no relevance between this research and their company.
References
- Abdollahi, S.; Ildoromi, A.; Salmanmahini, A.; Fakheran, S.; Kulczyk, S. Quantifying the relationship between landscape patterns and ecosystem services along the urban–rural gradient. Landsc. Ecol. Eng. 2023, 19, 531–547. [Google Scholar] [CrossRef]
- Costanza, R.; Grasso, M.; Hannon, B.; Limburg, K.; Naeem, S.; O’Neill, R.V.; Paruelo, J.; Raskin, R.G.; Sutton, P. The value of the world’s ecosystem services and natural capital. Nature 1997, 387, 253–260. [Google Scholar] [CrossRef]
- Chen, W.; Chi, G.; Li, J. The spatial association of ecosystem services with land use and land cover change at the county level in China, 1995-2015. Sci. Total Environ. 2019, 669, 459–470. [Google Scholar] [CrossRef]
- Millennium Ecosystem Assessment. Ecosystems and Human Well-Being: Synthesis; Island Press: Washington, DC, USA, 2005. [Google Scholar]
- Li, Y.; Liu, W.; Feng, Q.; Zhu, M.; Yang, L.; Zhang, J.; Yin, X. The role of land use change in affecting ecosystem services and the ecological security pattern of the Hexi Regions, Northwest China. Sci. Total Environ. 2023, 855, 158940. [Google Scholar] [CrossRef] [PubMed]
- Scharnagl, K.; Johnson, D.; Ebert-May, D. Shrub expansion and alpine plant community change: 40-year record from Niwot Ridge, Colorado. Plant Ecol. Divers. 2019, 12, 407–416. [Google Scholar] [CrossRef]
- Luo, Y.; Guo, X.; Lü, Y.; Zhang, L.; Li, T. Combining spatiotemporal interactions of ecosystem services with land patterns and processes can benefit sensible landscape management in dryland regions. Sci. Total Environ. 2024, 909, 168485. [Google Scholar] [CrossRef]
- Afonso, F.; Félix, P.M.; Chainho, P.; Heumüller, J.A.; De Lima, R.F.; Ribeiro, F.; Brito, A.C. Assessing ecosystem services in mangroves: Insights from São Tomé Island (Central Africa). Front. Environ. Sci. 2021, 9, 501673. [Google Scholar] [CrossRef]
- Yang, Q.; Zhang, P.; Qiu, X.; Xu, G.; Chi, J. Spatial-temporal variations and trade-offs of ecosystem services in Anhui Province, China. Int. J. Environ. Res. Public Health 2023, 20, 855. [Google Scholar] [CrossRef] [PubMed]
- Fan, L.; Wang, X.; Chen, Z.; Chen, R.; Liu, X.; He, Y.; Wang, S. Analysis of spatial and temporal evolution of ecosystem services and driving factors in the Yellow River Basin of Henan Province, China. Forests 2024, 15, 1547. [Google Scholar] [CrossRef]
- Chen, C.; Liu, J.; Bi, L. Spatial and temporal changes of habitat quality and its influential factors in China based on the InVEST model. Forests 2023, 14, 374. [Google Scholar] [CrossRef]
- Meehan, T.D.; Gratton, C.; Diehl, E.; Hunt, N.D.; Mooney, D.F.; Barham, B.L.; Jackson, R.D. Ecosystem-service tradeoffs associated with switching from annual to perennial energy crops in Riparian Zones of the US Midwest. PLoS ONE 2013, 8, e80093. [Google Scholar] [CrossRef] [PubMed]
- Natural Capital Project. InVEST User Guide. Available online: https://storage.googleapis.com/releases.naturalcapitalproject.org/invest-userguide/latest/en/index.html (accessed on 23 November 2023).
- Zhao, J.; Shao, Z.; Xia, C.; Fang, K.; Chen, R.; Zhou, J. Ecosystem services assessment based on land use simulation: A case study in the Heihe river basin, China. Ecol. Indic. 2022, 143, 109402. [Google Scholar] [CrossRef]
- Nematollahi, S.; Fakheran, S.; Kienast, F.; Jafari, A. Application of InVEST habitat quality module in spatially vulnerability assessment of natural habitats (case study: Chaharmahal and Bakhtiari province, Iran). Environ. Monit. Assess. 2020, 192, 487. [Google Scholar] [CrossRef] [PubMed]
- Nelson, E.; Mendoza, G.; Regetz, J.; Polasky, S.; Tallis, H.; Cameron, D.; Chan, K.M.; Daily, G.C.; Goldstein, J.; Kareiva, P.M.; et al. Modeling multiple ecosystem services, biodiversity conservation, commodity production, and tradeoffs at landscape scales. Front. Ecol. Environ. 2009, 7, 4–11. [Google Scholar] [CrossRef]
- Jiang, W.; Wu, T.; Fu, B. The value of ecosystem services in China: A systematic review for twenty years. Ecosyst. Serv. 2021, 52, 101365. [Google Scholar] [CrossRef]
- Shao, M.; Wu, L.; Li, F.; Lin, C. Spatiotemporal dynamics of ecosystem services and the driving factors in urban agglomerations: Evidence from 12 national urban agglomerations in China. Front. Ecol. Evol. 2022, 10, 804969. [Google Scholar] [CrossRef]
- Chen, T.; Peng, L.; Liu, S.; Wang, Q. Spatio-temporal pattern of net primary productivity in Hengduan mountains area, China: Impacts of climate change and Human activities. Chin. Geogr. Sci. 2017, 27, 948–962. [Google Scholar] [CrossRef]
- Yang, H.; Zheng, L.; Wang, Y.; Li, J.; Zhang, B.; Bi, Y. Quantifying the relationship between land use intensity and ecosystem services’ value in the Hanjiang river basin: A case study of the Hubei Section. Int. J. Environ. Res. Public Health 2022, 19, 10950. [Google Scholar] [CrossRef]
- Hasan, S.S.; Zhen, L.; Miah, M.G.; Ahamed, T.; Samie, A. Impact of land use change on ecosystem services: A review. Environ. Dev. 2020, 34, 100527. [Google Scholar] [CrossRef]
- Felipe-Lucia, M.R.; Soliveres, S.; Penone, C.; Fischer, M.; Ammer, C.; Boch, S.; Boeddinghaus, R.S.; Bonkowski, M.; Buscot, F.; Fiore-Donno, A.M.; et al. Land-use intensity alters networks between biodiversity, ecosystem functions, and services. Proc. Natl. Acad. Sci. USA 2020, 117, 28140–28149. [Google Scholar] [CrossRef] [PubMed]
- Mooney, H.A.; Duraiappah, A.; Larigauderie, A. Evolution of natural and social science interactions in global change research programs. Proc. Natl. Acad. Sci. USA 2013, 110, 3665–3672. [Google Scholar] [CrossRef] [PubMed]
- Allan, E.; Manning, P.; Alt, F.; Binkenstein, J.; Blaser, S.; Blüthgen, N.; Böhm, S.; Grassein, F.; Hölzel, N.; Klaus, V.H.; et al. Land use intensification alters ecosystem multifunctionality via loss of biodiversity and changes to functional composition. Ecol. Lett. 2015, 18, 834–843. [Google Scholar] [CrossRef]
- Gascoigne, W.R.; Hoag, D.; Koontz, L.; Tangen, B.A.; Shaffer, T.L.; Gleason, R.A. Valuing ecosystem and economic services across land-use scenarios in the Prairie Pothole Region of the Dakotas, USA. Ecol. Econ. 2011, 70, 1715–1725. [Google Scholar] [CrossRef]
- Sun, Y.; Liu, S.; Shi, F.; An, Y.; Li, M.; Liu, Y. Spatio-temporal variations and coupling of human activity intensity and ecosystem services based on the four-quadrant model on the Qinghai-Tibet Plateau. Sci. Total Environ. 2020, 743, 140721. [Google Scholar]
- Li, J.; Dong, S.; Li, Y.; Wang, Y.; Li, Z.; Li, F. Effects of land use change on ecosystem services in the China–Mongolia–Russia economic corridor. J. Clean. Prod. 2022, 360, 132175. [Google Scholar] [CrossRef]
- Han, Z.L.; Liu, C.H.; Yan, X.L.; Li, X.Y.; Wang, X.Z. Coupling coordination and matches in ecosystem services supply-demand for ecological zoning management: A case study of Dalian. Acta Ecol. Sin. 2021, 41, 9064–9075. [Google Scholar]
- Zhang, X.; Wang, Y.; Yuan, X.; Shao, Y.; Bai, Y. Identifying ecosystem service supply-demand imbalance for sustainable land management in China’s Loess Plateau. Land Use Policy 2022, 123, 106423. [Google Scholar] [CrossRef]
- Tolessa, T.; Senbeta, F.; Kidane, M. The impact of land use/land cover change on ecosystem services in the central highlands of Ethiopia. Ecosyst. Serv. 2017, 23, 47–54. [Google Scholar] [CrossRef]
- Bryan, B.A. Incentives, land use, and ecosystem services: Synthesizing complex linkages. Environ. Sci. Policy 2013, 27, 124–134. [Google Scholar] [CrossRef]
- Law, E.A.; Bryan, B.A.; Meijaard, E.; Mallawaarachchi, T.; Struebig, M.J.; Watts, M.E.; Wilson, K.A. Mixed policies give more options in multifunctional tropical forest landscapes. J. Appl. Ecol. 2017, 54, 51–60. [Google Scholar] [CrossRef]
- Feng, Z.; Sun, L. Response of spatial and temporal variations of ecosystem service value to land use/land cover transformation in the upper basin of Miyun Reservoir. Ecol. Indic. 2024, 160, 111819. [Google Scholar] [CrossRef]
- Lu, M.; Zhang, Y.; Liang, F.; Wu, Y. Spatial relationship between land use patterns and ecosystem services value—Case study of Nanjing. Land 2022, 11, 1168. [Google Scholar] [CrossRef]
- Tian, L.; Tao, Y.; Fu, W.; Li, T.; Ren, F.; Li, M. Dynamic simulation of land use/cover change and assessment of forest ecosystem carbon storage under climate change scenarios in Guangdong province, China. Remote Sens. 2022, 14, 2330. [Google Scholar] [CrossRef]
- Zhang, Z.; Pan, H.; Liu, Y.; Sheng, S. Ecosystem services’ response to land use intensity: A case study of the Hilly and Gully Region in China’s Loess Plateau. Land 2024, 13, 2039. [Google Scholar] [CrossRef]
- Ma, Q.Q.; Jing, H.T.; Liu, Q.; Wang, L. The relationship between ecosystem services value and spatial and temporal changes of land use in Taihang Mountains from 1985 to 2020. Hubei Agric. Sci. 2024, 63, 27–35. [Google Scholar]
- Yang, Y.; Zhang, J.; Hu, Y. Land use intensity alters ecosystem service supply and demand as well as their interaction: A spatial zoning perspective. Sustainability 2024, 16, 7224. [Google Scholar] [CrossRef]
- Mekuria, W.; Diyasa, M.; Tengberg, A.; Haileslassie, A. Effects of long-term land use and land cover changes on ecosystem service values: An example from the central rift valley, Ethiopia. Land 2021, 10, 1373. [Google Scholar] [CrossRef]
- Yao, Y. Spatial and Temporal Variability and Coupling of Land Use and Ecosystem Services in the Yellow River Delta—A Case Study of Dongying City. Master’s Thesis, Shandong Agricultural University, Taian, China, 2024. [Google Scholar]
- Liu, Y.T.; Yang, Z.; Xu, G.L.; Yang, Q.Q.; Liu, S.J.; He, K.L. Correlation between ecosystem services value and human activity intensity based on the four-quadrant model: A case study in the international tourism and culture demonstration area, the south Anhui Province. Acta Ecol. Sin. 2022, 42, 5200–5210. [Google Scholar]
- Hao, J.Y.; Zhi, L.H.; Li, X.W.; Dong, S.K.; Li, W. Temporal and spatial variations and the relationships of land use pattern and ecosystem services in Qinghai-Tibet Plaleau, China. Chin. J. Appl. Ecol. 2023, 34, 3053–3063. [Google Scholar]
- He, J.S.; Dong, S.; Shang, Z.; Sundqvist, M.K.; Wu, G.; Yang, Y. Above-belowground interactions in alpine ecosystems on the roof of the world. Plant Soil. 2021, 458, 1–6. [Google Scholar] [CrossRef]
- Xu, L.; He, Y.; Zhang, L.; Bao, G.; Xu, H. Spatial variation in ecosystem service relationships in alpine ecosystems: A case study of the Daxing’anling forest area, Inner Mongolia. Ecol. Indic. 2024, 166, 112351. [Google Scholar] [CrossRef]
- Quan, Q.; He, N.; Zhang, R.; Wang, J.; Luo, Y.; Ma, F.; Pan, J.; Wang, R.; Liu, C.; Zhang, J.; et al. Plant height as an indicator for alpine carbon sequestration and ecosystem response to warming. Nat. Plants 2024, 10, 890–900. [Google Scholar] [CrossRef]
- Grabherr, G.; Gottfried, M.; Pauli, H. Climate effects on mountain plants. Nature 1994, 369, 448. [Google Scholar] [CrossRef] [PubMed]
- Bai, Y.; Ma, L.; Degen, A.A.; Rafiq, M.K.; Kuzyakov, Y.; Zhao, J.; Zhang, R.; Zhang, T.; Wang, W.; Li, X.; et al. Long-term active restoration of extremely degraded alpine grassland accelerated turnover and increased stability of soil carbon. Glob. Chang. Biol. 2020, 26, 7217–7228. [Google Scholar] [CrossRef] [PubMed]
- Zhang, L.; He, Y.; Wang, J.; Meng, J. Development of a climate-sensitive matrix growth model for Larix gmelinii mixed-species natural forests and its application for predicting forest dynamics under different climate scenarios. Forests 2022, 13, 574. [Google Scholar] [CrossRef]
- Chang, Y. The Evaluation on Forest Ecosystem Service Value of Daxing’anling Forest in Inner Mongolia. Master’s Thesis, Inner Mongolia Agricultural University, Hohhot, China, 2010. [Google Scholar]
- Dai, L.; Wu, G.; Zhao, J.; Kong, H.; Shao, G.; Deng, H. Carbon cycling of alpine tundra ecosystems on Changbai mountain and its comparison with Arctic Tundra. Sci. China Earth Sci. 2002, 45, 903. [Google Scholar] [CrossRef]
- Zheng, B.; Ciais, P.; Chevallier, F.; Yang, H.; Canadell, J.G.; Chen, Y.; Van Der Velde, I.R.; Aben, I.; Chuvieco, E.; Davis, S.J.; et al. Record-high CO2 emissions from boreal fires in 2021. Science 2023, 379, 912–917. [Google Scholar] [CrossRef] [PubMed]
- Wang, X.H. Study on Forest Ecosystem Services of Daxinganling Forest in Inner Mongolia. Master’s Thesis, Inner Mongolia Agricultural University, Hohhot, China, 2015. [Google Scholar]
- China Meteorological Administration Climate Change Center. Climate Change in China 2022; Science Press: Beijing, China, 2023. [Google Scholar]
- Yue, Y.J.; Su, Z.C.; Han, J.; Gerilegaowa; Wuyunzhula. Species diversity and community structure research of forest vegetation in Greater Hinggan Mountain. J. Inner Mongolia Agr. Univ. Nat. Sci. Ed. 2020, 41, 21–26. [Google Scholar]
- Zhang, J.; Wang, Y.; Sun, J.; Zhang, Y.; Wang, D.; Chen, J.; Liang, E. Trade-offs and synergies of ecosystem services and their threshold effects in the largest Tableland of the Loess Plateau. Glob. Ecol. Conserv. 2023, 48, e02706. [Google Scholar] [CrossRef]
- Chen, T.; Bao, A.; Jiapaer, G.; Guo, H.; Zheng, G.; Jiang, L.; Chang, C.; Tuerhanjiang, L. Disentangling the relative impacts of climate change and human activities on arid and semiarid grasslands in Central Asia during 1982–2015. Sci. Total Environ. 2019, 653, 1311–1325. [Google Scholar] [CrossRef]
- Wu, A.X.; Chen, L.; Zhao, Y.X. Spatial-temporal pattern evolution of eco-environmental quality and its response to land use change in rapidly urbanized areas——A case study of Northern Three Counties in Langfang City. J. Northwest For. Univ. 2024, 39, 169–176. [Google Scholar]
- Su, Y.; Feng, Q.; Liu, W.; Zhu, M.; Xia, H.; Ma, X.; Cheng, W.; Zhang, J.; Zhang, C.; Yang, L.; et al. Improved understanding of trade-offs and synergies in ecosystem services via fine land-use classification and multi-scale analysis in the Arid Region of Northwest China. Remote Sens. 2023, 15, 4976. [Google Scholar] [CrossRef]
- Valente, R.A.; De Mello, K.; Metedieri, J.F.; Américo, C. A multicriteria evaluation approach to set forest restoration priorities based on water ecosystem services. J. Environ. Manag. 2021, 285, 112049. [Google Scholar] [CrossRef] [PubMed]
- Dixon, R.K.; Solomon, A.M.; Brown, S.; Houghton, R.A.; Trexier, M.C.; Wisniewski, J. Carbon pools and flux of global forest ecosystems. Science 1994, 263, 185–190. [Google Scholar] [CrossRef] [PubMed]
- Goldstein, J.H.; Caldarone, G.; Duarte, T.K.; Ennaanay, D.; Hannahs, N.; Mendoza, G.; Polasky, S.; Wolny, S.; Daily, G.C. Integrating ecosystem-service tradeoffs into land-use decisions. Proc. Natl. Acad. Sci. USA 2012, 109, 7565–7570. [Google Scholar] [CrossRef] [PubMed]
- Budyko, M.I. Climate and Life; Academic Press: New York, NY, USA, 1974. [Google Scholar]
- Redhead, J.W.; Stratford, C.; Sharps, K.; Jones, L.; Ziv, G.; Clarke, D.; Oliver, T.H.; Bullock, J.M. Empirical validation of the InVEST water yield ecosystem service model at a national scale. Sci. Total Environ. 2016, 569–570, 1418–1426. [Google Scholar] [CrossRef] [PubMed]
- Gu, Y.; Lin, N.; Ye, X.; Xu, M.; Qiu, J.; Zhang, K.; Zou, C.; Qiao, X.; Xu, D. Assessing the impacts of human disturbance on ecosystem services under multiple scenarios in karst areas of China: Insight from ecological conservation red lines effectiveness. Ecol. Indic. 2022, 142, 109202. [Google Scholar] [CrossRef]
- Wischmeier, W.H.; Smith, D.W.D. Rainfall energy and its relationship to soil loss. Eos Trans. Am. Geophys. Union 1958, 39, 285–291. [Google Scholar]
- Zeng, J.; Xu, J.; Li, W.; Dai, X.; Zhou, J.; Shan, Y.; Zhang, J.; Li, W.; Lu, H.; Ye, Y.; et al. Evaluating trade-off and synergies of ecosystem services values of a representative resources-based urban ecosystem: A coupled modeling framework applied to Panzhihua City, China. Remote Sens. 2022, 14, 5282. [Google Scholar] [CrossRef]
- Li, Q.; Bao, Y.; Wang, Z.; Chen, X.; Lin, X. Trade-offs and synergies of ecosystem services in karst multi-mountainous cities. Ecol. Indic. 2024, 159, 111637. [Google Scholar] [CrossRef]
- Yuan, Z.; Liang, Y.; Zhao, H.; Wei, D.; Wang, X. Trade-offs and synergies between ecosystem services on the Tibetan Plateau. Ecol. Indic. 2024, 158, 111384. [Google Scholar] [CrossRef]
- Wang, Y.; Gao, J.X.; Jin, Y.; Cao, B.S.; Wang, Y.; Zhang, X.H.; Zhou, J.W. Habitat quality of farming-pastoral ecotone in Bairin Right Banner, Inner Mongolia based on land use change and InVEST model from 2005 to 2015. J. Ecol. Rural Environ. 2020, 36, 654–662. [Google Scholar]
- Liu, Y. Spatial and Temporal Evolution of Ecosystem Services in the Shule River Basin Based on InVEST Model. Master’s Thesis, Gansu Agricultural University, Lanzhou, China, 2021. [Google Scholar]
- Ding, Q. Ecosystem Services Evaluation and Trade-Offs Effects in Central Asia. Ph.D. Thesis, China University of Geosciences, Beijing, China, 2022. [Google Scholar]
- Li, Z.Z. Study on the Impact of Land Use Change on Ecosystem Services in Northeast China. Master’s Thesis, Heilongjiang University, Harbin, China, 2023. [Google Scholar]
- Qiu, L.; Pan, Y.; Zhu, J.; Amable, G.S.; Xu, B. Integrated analysis of urbanization-triggered land use change trajectory and implications for ecological land management: A case study in Fuyang, China. Sci. Total Environ. 2019, 660, 209–217. [Google Scholar] [CrossRef]
- Su, Z.C.; Zhu, X.L.; Wang, Y.P.; Duan, H. Analysis of forest resource changes in Inner Mongolia. Inner Mongolia For. Invest. Des. 2020, 43, 13–15. [Google Scholar]
- Li, H.; Hong, Y.; Deng, G.R.; Wu, G.R.; Zhang, H.Y.; Zhao, J.J.; Guo, X.Y. Impacts of climate change and human activities on net primary productivity of grasslands in Inner Mongolia, China during 1982-2015. Chin. J. Appl. Ecol. 2021, 32, 415–424. [Google Scholar]
- Christiansen, S.; Svejcar, T. Grazing effects on shoot and root dynamics and above- and below-ground non-structural carbohydrate in Caucasian bluestem. Grass Forage Sci. 1988, 43, 111–119. [Google Scholar] [CrossRef]
- Eom, S.; Suzuki, T.; Lee, M.H. A land-use mix allocation model considering adjacency, intensity, and proximity. Int. J. Geog. Inf. Sci. 2020, 34, 899–923. [Google Scholar] [CrossRef]
- Zou, Y.G.; Gao, Y.; Deng, M.; Rong, Y. The spatiotemporal balance degree evaluation of land use in the Inner Mongolia Autonomous Region. Sci. Tech. Manag. Land Res. 2019, 36, 29–42. [Google Scholar]
- Xie, Z.; Zhang, Q.Q.; Ainiwaerjiang, A.; Zhang, F.R. Diagnostic study on the intensity and stability of land use changes in mountainous area. J. China Agric. Univ. 2024, 29, 186–198. [Google Scholar]
- Tzilivakis, J.; Warner, D.J.; Holland, J.M. Developing practical techniques for quantitative assessment of ecosystem services on farmland. Ecol. Indic. 2019, 106, 105514. [Google Scholar] [CrossRef]
- Hu, Y.X.; Gong, J.R.; Zhu, C.C.; Shi, J.Y.; Zhang, Z.H.; Song, L.Y.; Zhang, Z.Y. Spatial ditrbution of ecosystem services in the desert steppe, Inner Mongolia based on ecosystem service bundles. Acta Pratac. Sin. 2023, 32, 1–14. [Google Scholar]
- Ouyang, Z.Y.; Wang, R.S.; Zhao, J.Z. Ecosystem services and their economic valuation. Chin. J. Appl. Ecol. 1999, 10, 635–640. [Google Scholar]
- Teng, M.; Zeng, L.; Xiao, W.; Huang, Z.; Zhou, Z.; Yan, Z.; Wang, P. Spatial variability of soil organic carbon in Three Gorges Reservoir area, China. Sci. Total Environ. 2017, 599–600, 1308–1316. [Google Scholar] [CrossRef] [PubMed]
- Abo Gamar, M.I.; Dixon, S.L.; Qaderi, M.M. Single and interactive effects of temperature, carbon dioxide and watering regime on plant growth and reproductive yield of two genotypes of Arabidopsis thaliana. Acta Physiol. Plant. 2021, 43, 124. [Google Scholar] [CrossRef]
- Xu, L.; Yao, L.; Ai, X.; Guo, Q.; Wang, S.; Zhou, D.; Deng, C.; Ai, X. Litter autotoxicity limits natural regeneration of Metasequoia glyptostroboides. New For. 2023, 54, 897–919. [Google Scholar] [CrossRef]
- Creutzburg, M.K.; Scheller, R.M.; Lucash, M.S.; LeDuc, S.D.; Johnson, M.G. Forest management scenarios in a changing climate: Trade-offs between carbon, timber, and old forest. Ecol. Appl. 2017, 27, 503–518. [Google Scholar] [CrossRef] [PubMed]
- Fang, Z.; Ding, T.; Chen, J.; Xue, S.; Zhou, Q.; Wang, Y.; Wang, Y.; Huang, Z.; Yang, S. Impacts of land use/land cover changes on ecosystem services in ecologically fragile regions. Sci. Total Environ. 2022, 831, 154967. [Google Scholar] [CrossRef] [PubMed]
- Chao, B.; Zhao, Y.Y.; Wu, H.Y.; Li, Y.; Su, N. Ecosystem services and its response to climate factors in the Mongolian Plateau from 2000 to 2020. Arid Land Geogr. 2024, 1–12. Available online: https://link.cnki.net/urlid/65.1103.X.20240229.1532.002 (accessed on 25 January 2024).
- Feng, J.; Chen, F.; Tang, F.; Wang, F.; Liang, K.; He, L.; Huang, C. The trade-offs and synergies of ecosystem services in Jiulianshan National Nature Reserve in Jiangxi Province, China. Forests 2022, 13, 416. [Google Scholar] [CrossRef]
- Li, Y.; Liu, W.; Feng, Q.; Zhu, M.; Yang, L.; Zhang, J. Quantitative assessment for the spatiotemporal changes of ecosystem services, tradeoff–synergy relationships and drivers in the Semi-Arid Regions of China. Remote Sens. 2022, 14, 239. [Google Scholar] [CrossRef]
- Deng, Z.; Cao, J. Incorporating ecosystem services into functional zoning and adaptive management of natural protected areas as case study of the Shennongjia region in China. Sci. Rep. 2023, 13, 18870. [Google Scholar] [CrossRef] [PubMed]
- Yang, Y.; Li, M.; Feng, X.; Yan, H.; Su, M.; Wu, M. Spatiotemporal variation of essential ecosystem services and their trade-off/synergy along with rapid urbanization in the Lower Pearl River Basin, China. Ecol. Indic. 2021, 133, 108439. [Google Scholar] [CrossRef]
- National Forestry and Grassland Administration. From Green Seas to Golden Opportunities—China’s Largest State-Owned Forest Balances Conservation and Development. Available online: https://www.forestry.gov.cn/c/www/ggzyxx/535439.jhtml (accessed on 25 March 2024).
- Wang, B.; Chen, B.G.; Yan, H.G.; Niu, X.; Song, D.C. Research on Ecosystem Service Function and Value Assessment of Forest and Wetland Ecosystems in the Key State-Owned Forest Management Bureau of Daxinganling, Inner Mongolia; China Forestry Publishing House: Beijing, China, 2020. [Google Scholar]
- Li, Q.; Zhang, X.; Liu, Q.; Liu, Y.; Ding, Y.; Zhang, Q. Impact of land use intensity on ecosystem services: An example from the Agro-Pastoral Ecotone of Central Inner Mongolia. Sustainability 2017, 9, 1030. [Google Scholar] [CrossRef]
- Zhang, S.; Zhang, B.P.; Yao, Y.H.; Qi, W.W.; Pang, Y.; Zhao, F. The effects of mass elevation effect on the distribution of evergreen broad-leaved forests of Taiwan. J. Mount. Sci. 2013, 31, 534–541. [Google Scholar]
- Chen, H.; Dong, N.; Liang, X.; Huang, H. Spatiotemporal evaluation of regional land use dynamics and its potential ecosystem impact under carbon neutral pathways in the Guangdong–Hong Kong–Macao Greater Bay Area. Remote Sens. 2023, 15, 5749. [Google Scholar] [CrossRef]
- Wang, H.; Zhou, S.; Li, X.; Liu, H.; Chi, D.; Xu, K. The influence of climate change and human activities on ecosystem service value. Ecol. Eng. 2016, 87, 224–239. [Google Scholar] [CrossRef]
Disclaimer/Publisher’s Note: The statements, opinions and data contained in all publications are solely those of the individual author(s) and contributor(s) and not of MDPI and/or the editor(s). MDPI and/or the editor(s) disclaim responsibility for any injury to people or property resulting from any ideas, methods, instructions or products referred to in the content. |
© 2025 by the authors. Licensee MDPI, Basel, Switzerland. This article is an open access article distributed under the terms and conditions of the Creative Commons Attribution (CC BY) license (https://creativecommons.org/licenses/by/4.0/).







