Next Article in Journal
Growth Rate, Tree Rings, and Wood Anatomy of a Tropical Cloud Forest Tree Invader
Next Article in Special Issue
A Forest Fire Prediction Framework Based on Multiple Machine Learning Models
Previous Article in Journal
25 Years of EU Forest Policy—An Analysis
 
 
Due to scheduled maintenance work on our servers, there may be short service disruptions on this website between 11:00 and 12:00 CEST on March 28th.
Font Type:
Arial Georgia Verdana
Font Size:
Aa Aa Aa
Line Spacing:
Column Width:
Background:
Article

A Lightweight Stepwise SCMA Codebook Design Scheme for AWGN Channels

The College of Information Science and Technology & Artificial Intelligence, Nanjing Forestry University, Nanjing 210037, China
*
Author to whom correspondence should be addressed.
Forests 2025, 16(2), 257; https://doi.org/10.3390/f16020257
Submission received: 3 December 2024 / Revised: 17 January 2025 / Accepted: 27 January 2025 / Published: 30 January 2025
(This article belongs to the Special Issue Climate-Smart Forestry: Forest Monitoring in a Multi-Sensor Approach)

Abstract

Forests play a critical role in maintaining global ecological balance, regulating climate, and supporting biodiversity. Effective forest management and monitoring relies on the deployment of large-scale wireless sensor networks (WSNs) for real-time data collection, enabling the protection of ecosystems and the early detection of environmental changes. However, such massive deployments pose serious challenges with increasingly scarce radio resources. Sparse code multiple access (SCMA), a non-orthogonal multiple access (NOMA) technique, has been identified as a promising solution for facilitating wireless communications among numerous distributed sensors in large-scale WSNs with improved spectral efficiency. This is essential for application scenarios involving a substantial number of terminal devices, including forest monitoring and management. Codebook design is a critical issue for SCMA systems. It is closely related to the detection performance at the receiver, which in turn has a direct effect on the communication coverage or quality of service (QoS) for the terminal devices. This paper investigates the symbol error rate (SER) performance of SCMA systems over AWGN channels and derives its theoretical upper bound. The optimization objectives for each stage of codebook design are mathematically analyzed for a single resource element (RE), a single device, and multi-device, multi-RE scenarios. On this basis, a lightweight stepwise codebook design scheme is proposed in this paper. Simulation results demonstrate that the proposed codebooks can maintain fairness among devices while guaranteeing detection performance.

1. Introduction

Sixth-generation (6G) technology is envisioned to provide global and seamless coverage with space–air–ground–sea networks, which is of great importance for sparsely populated areas (e.g., old-growth forests), regions where geological disasters frequently occur, and pelagic zones [1,2]. The integration of 6G-enabled Internet of Things (IoT) will facilitate a significant advancement in the intelligence of forest ecological management and monitoring, particularly in remote areas characterized by complex terrains and extensive distributions [3]. As some of the most critical ecosystems, forests play a crucial role in maintaining biodiversity, regulating climate, and ensuring ecological balance. Efficient forest management and monitoring is not only vital for ecosystem protection but also for early detection of risks such as forest fires, illegal logging, and pest outbreaks. Projects such as TreeTalker [4,5,6] are designed for real-time monitoring by deploying a substantial number of sensor devices in the monitored areas of a forest. These sensors measure various environmental parameters, including air quality, soil moisture, weather conditions, and tree canopy health [7,8,9]. However, as the density of sensor devices increases significantly, traditional orthogonal multiple access (OMA) schemes, including time-division multiple access (TDMA), frequency-division multiple access (FDMA), and orthogonal frequency-division multiple access (OFDMA) [10], begin to expose their limitations in terms of massive connectivity. This is due to the fact that each device in an OMA system necessitates a dedicated radio resource for data transmission [11]. When the number of sensor devices sending data simultaneously exceeds the number of dedicated resources the system can provide, resource congestion, traffic jams, and significant communication delays will result. These issues are particularly evident in emergency situations, such as forest fires, and in multi-media sensor network systems [12,13], where there is a notable surge in data demand.
Sparse code multiple access (SCMA), a non-orthogonal multiple access (NOMA) technology [14], is regarded as a promising solution to address the aforementioned issues with improved spectral efficiency. This technique draws inspiration from the sparse matrix encoding concept used in low-density signature (LDS) technology [15], where a limited number of devices are superimposed on the same resource for data transmission. However, unlike LDS, SCMA replaces traditional modulation and spreading with sparse multi-dimensional complex-domain codebook mapping. It assigns different sparse codebooks in the sparse code domain to different devices so that the signals for different devices can be non-orthogonally superimposed on the same resources [16]. Compared to conventional OMA techniques, the load factor of devices on an independent resource in the SCMA system is greater than one, the load factor of the OMA system [17]. That is to say, the number of simultaneous data transmissions in the SCMA system can exceed the number of available independent resources by a considerable margin. This is essential for applications that need to support multiple concurrent data transfers, particularly in scenarios where radio resources for data transmission are limited and there is a surge in data (e.g., in emergency situations). A typical example is forest management and monitoring, which facilitates ecosystem protection and the expeditious identification of environmental fluctuations. This is founded upon the aggregation of real-time data collected from a substantial number of terminal devices. For SCMA systems, a critical issue that has been extensively researched is the design of codebooks [18]. Well-designed codebooks are conducive to enhancing the detection performance at the receiver side. This, in turn, exerts a direct influence on the communication coverage and the quality of service (QoS) experienced by the terminal devices. In other words, with a predetermined QoS requirement, the number of devices that can be involved in a non-orthogonal system will be affected. Therefore, the design of codebooks is also the focus of this paper.
The SCMA technology was first proposed by the Huawei Corporation in 2013 in [16]. Since then, further research and studies have been conducted on the power-balanced SCMA (pb-SCMA) technology [19,20,21]. Power balancing means that devices sharing the same radio resource apply codebooks with an equal average power level. The lattice rotation technique was used in [19] to construct a multi-dimensional mother constellation with the desired Euclidean distance distribution. Specific operators were then applied to the mother constellation to generate SCMA codebooks. A novel SCMA codebook design scheme was proposed in [20] from the perspective of capacity. It first optimized a basic M-order pulse amplitude modulation (PAM) constellation. A rotation of the angles was performed to enhance the sum rate. The resulting constellation sets were then employed to construct multi-dimensional codebooks based on Latin square principles. The authors of [21] developed a systematic construction procedure for SCMA codebooks tailored to various channel conditions. From a simulation perspective, the proposed scheme was viewed to approach the near-optimal performance of symbol error [22]. However, the design rules were not supported by a comprehensive theoretical foundation. In recent years, several studies have explored the potential of power-imbalanced codebooks to enhance decoding performance by leveraging the “near–far effect” among devices [23,24,25]. While this method can improve overall performance, it sacrifices the performance of some devices in low-SNR regions.
Although some work has been carried out on codebook design for pb-SCMA systems, the optimal solution remains elusive. Currently, sub-optimal multi-stage optimization methods remain the main approach for codebook construction due to their low complexity [21]. For instance, preceding studies [19,20,21] all adopted this approach for codebook design. The generation of codebooks for different devices is accomplished by applying operations such as angle rotation, symbol permutation, and conjugate transposition to the mother codebook. However, to the best of our knowledge, there has been no explicit investigation into the impact of these operations on the corresponding detection performance, despite the significance of such investigation for the design of codebooks. Furthermore, the optimization objective for each stage has not been derived mathematically from a theoretical analysis perspective. Indeed, as a result of our research and analysis, we found that the existing codebooks have advantages and disadvantages with respect to the stage optimization objectives that will be derived in this paper, thus leaving room for improvement in the design of codebooks. Motivated by these factors, we studied the pb-SCMA system under an AWGN channel. The detection performance of symbol error probability was mathematically investigated. Although, as with [21], this paper employed a multi-stage optimization methodology for codebook design, the objectives of each stage were derived theoretically. We then present a lightweight codebook design scheme with a detailed example. The main contributions of this paper are summarized as follows.
  • A mathematical transceiver model for an SCMA system under an AWGN channel is established. Based on this, an analysis of the symbol error probability at the receiver side is conducted. A theoretical upper bound is then obtained, which serves as a reference for codebook design.
  • A set of stepwise codebook design criteria are derived mathematically. These criteria include the theoretical optimization objectives for the codebook design on a single resource element (RE), for a single device, and for multiple devices on multiple REs.
  • Based on the derived stepwise criteria, a lightweight stepwise codebook design scheme is proposed. The codebooks designed in this paper exhibit detection performance no worse than that of the codebooks in [21], which are viewed to approach near-optimal performance.
The remainder of this paper is organized as follows. Section 2 introduces the mathematical transceiver model of an SCMA system under an AWGN channel. Section 3 derives the symbol error probability based on the maximum a posteriori (MAP) detector. A theoretical upper bound is obtained for codebook design. Section 4 presents a mathematical analysis of the optimization criteria for each stage of multi-device codebook design. Section 5 describes the detailed codebook design process for the SCMA system. Section 6 presents the simulation results of the proposed codebooks. Finally, Section 7 concludes this paper.

2. Mathematical Transceiver Model

Figure 1 illustrates a downlink schematic diagram of an SCMA system. As illustrated in Figure 1a, the base station, which may be a space station in a 6G system, concurrently transmits downlink data to J devices using K REs. In a forest scenario, these devices can be the head devices of each wireless sensor cluster. Figure 1b delineates the data process procedure at the transmitter side, whereby the base station employs distinct complex codebooks to encode bit streams for different devices. The codebook for device j , denoted by C B j , is a matrix of size K × M , i.e., C B j K × M . Each column of C B j is named as a codeword for device j . Apparently, a codebook consists of M codewords. For each device, the base station maps every log 2 M bits in the corresponding data stream to a codeword according to the device’s codebook. Here, we define s j = s j 1 , s j 2 , , s j k , , s j K T as a codeword for device j . Apparently, it is also a column of C B j K × M , i.e., s j K × 1 . In an SCMA system, the codewords in each codebook are sparse column vectors, as they possess non-zero values (i.e., valid data transmission) solely on a fixed set of REs. The REs for non-zero values vary between codebooks. For instance, the space station depicted in Figure 1a transmits downlink data to J = 6 devices via K = 4 REs. The codeword of device 1 has non-zero values exclusively on RE 1 and RE 2. In the case of device 2, the non-zero values are mapped to RE 3 and RE 4. It follows that s 1 3 = s 1 4 = 0 and s 2 1 = s 2 2 = 0 . It can be figured out that the load factor of devices on a single RE is λ = J K in an SCMA system, which is 1.5 in the aforementioned instance. This load factor is substantially larger than the load factor in an OMA system, which is merely 1. Apparently, the highly improved load factor is essential for forest management and monitoring, where a substantial number of terminal devices need to be supported for the purpose of real-time data collection.
The mapping relationship between the non-zero values in each device’s codeword and the corresponding index of REs can be represented by a two-dimensional indicator matrix, F , with dimensions K and J . A row and a column of F represent an RE and a device, respectively. F k , j = 1 means that device j engages in data transmission on RE k [19]. In Figure 1b, each device’s codeword occupies d v = 2 REs for data transmission. Each RE contains a superimposed data signal intended for d f = 3 devices. The mapping matrix corresponding to Figure 1b is
F ( 4 × 6 ) = 1 0 1 0 1 0 1 0 0 1 0 1 0 1 1 0 0 1 0 1 0 1 1 0
It is evident that this is a sparse matrix.
The superimposed symbols transmitted by the base station on these K REs can be expressed as
X = x 1 , x 2 , , x k , , x K T = j ξ 1 s j 1 , j ξ 2 s j 2 , , j ξ k s j k , , j ξ K s j K T ,
where s j = s j 1 , s j 2 , , s j k , , s j K T is the actually transmitted codeword for device j and x k represents the superimposed symbol on RE k , i.e.,
x k = j ξ k s j k
In Equations (2) and (3), ξ k is a set of devices that have data transmissions on RE k . As illustrated in Figure 1, RE 1 encompasses data transmitted to devices 1, 3, and 5. Therefore, ξ 1 = 1 , 3 , 5 . We also define ζ j to represent the set of REs actually occupied by device j . Apparently, ζ 1 = [ 1 , 2 ] , as device 1 occupies RE 1 and RE 2 for data transmission.
The data received by device j can be represented as
y j = H j X + n j , j = 1 , 2 , , J ,
where y j = y j 1 , y j 2 , , y j K T is the data received by device j , H j = d i a g h j 1 , h j 2 , , h j K denotes the channel coefficient for device j , and h j k is the channel gain between the base station and device j on RE k . Additionally, n j = n j 1 , n j 2 , , n j K T is the noise at the receiver side of device j , each element of which obeys a complex Gaussian distribution, i.e., n j k C N 0 , σ 2 .
In this paper, we assume that each receiver decodes the data for all devices. Therefore, in the subsequent analysis, no attempt is made to highlight which device is the recipient. The subscript j in Equation (4) can then be omitted, i.e.,
y = H X + n .
The data received on RE k can be expressed as
y k = h k x k + n k = h k j ξ k s j k + n k , k = 1 , 2 , , K .

3. Analysis of Detection Performance

Let S = s 1 , s 2 , , s J be the matrix comprising J column vectors, i.e., s j ( 1 j J ). Apparently, s j is a codeword or a column vector of the matric C B j . Matrix S = s 1 , s 2 , , s J is made up of the codewords actually transmitted from the base station to the J devices. Set S includes all possibilities of matrix S . Set S contains all the elements in set S except S , i.e., S = S \ S or S S . Given that there are M codewords in a single codebook, it can be inferred that the numbers of elements in sets S and S are M J and M J 1 , respectively.
By employing a maximum a posteriori (MAP) detector at the receiver side, the estimate of S can be expressed as
S ^ = arg max S S p S | y = arg max S S p y | S p S p y arg max S S p y | S p S = arg max S S p y | S = arg max S S 1 2 π σ 2 exp 1 2 σ 2 y H X 2 = ln arg min S S y H X 2 .
Here, we define S y H X 2 as the metric criterion corresponding to S . The estimate for S is the S S that corresponds to the minimum element in the set S , i.e., S ^ = arg min S S S . Let min represent the minimum element, i.e., min = min S S S . When S ^ S or min S , an estimation error of S occurs with an error probability of
P error = P min S = S S P Tx = S P min S Tx = S = 1 M J S S P min S Tx = S = 1 M J S S S S P min = S = 1 M J S S S S S S S S P S < S 1 M J S S S S P S < S .
In Equation (8),
P S < S = P y H X S 2 < y H X S 2 = P k = 1 K h k j ζ k s j k j ζ k s j k + n k 2 < k = 1 K n k 2 = P Z < k = 1 K h k 2 j ζ k s j k s j k 2 ,
where
Z k = 1 K h k j ζ k s j k s j k n k ¯ + h k j ζ k s j k s j k ¯ n k N 0 , 2 σ 2 k = 1 K h k 2 j ζ k s j k s j k 2 .
Equation (9) can then be rewritten as
P S < S = Φ k = 1 K h k 2 j ζ k s j k s j k 2 2 σ 2 k = 1 K h k 2 j ζ k s j k s j k 2 = Q k = 1 K η k j ζ k s j k s j k 2 2 ,
where η k = h k 2 σ 2 is the received symbol signal-to-noise ratio (SNR) on RE k . For an AWGN channel, we can assume that η 1 = η 2 = η K = η . Thus, Equation (8) becomes
P error 1 M J S S S S Q η k = 1 K j ζ k s j k s j k 2 2 .
Here, we define the upper bound in Equation (12) as P bound , i.e.,
P bound 1 M J S S S S Q η k = 1 K j ζ k s j k s j k 2 2 .
Assume that P SER , j is the symbol (or codeword) detection error rate of the transmitted codeword, s j , at the receiver side. It can be figured out that P error = 1 j = 1 J 1 P SER , j . In a pb-SCMA system, the basic attribute of each codebook needs to be identical (e.g., the Euclidean distance between constellation points) so that the detection error rate of each device can be considered equal. In this way, it can be viewed that P SER , 1 = P SER , 2 = = P SER , J = P SER at the same receiver side. Therefore, there is
j = 1 J 1 P SER = 1 P error ,
which means that P SER < P error , i.e.,
P SER < P bound = 1 M J S S S S Q η k = 1 K j ζ k s j k s j k 2 2 .
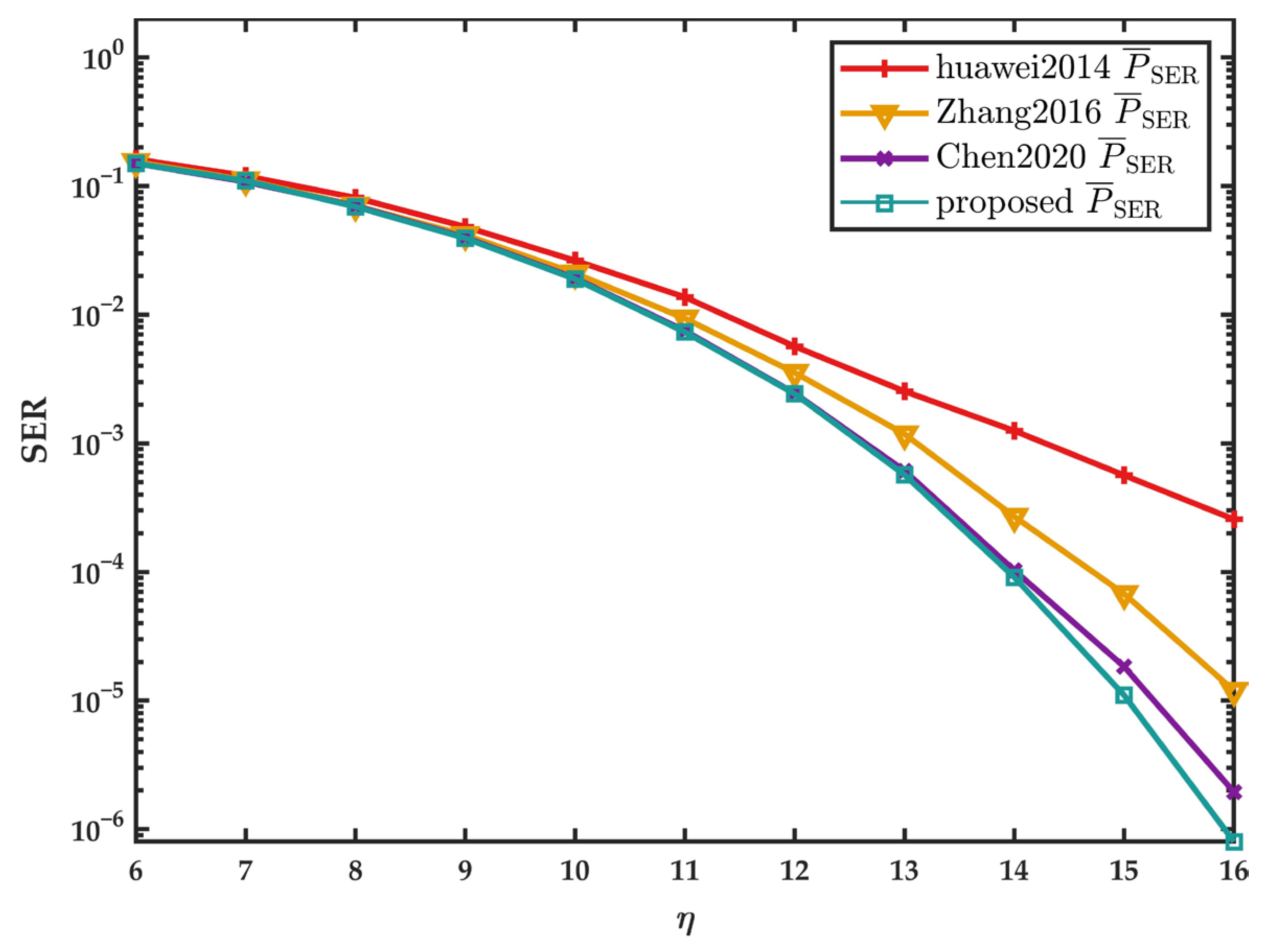
In the subsequent section, P bound is used as a reference criterion to evaluate the performance of the designed codebook. To validate the reasonableness of P bound , simulation results are provided in Figure 2 with various existing codebooks [19,20,21]. Given the high complexity of the MAP algorithm, a suboptimal alternative, the message-passing algorithm (MPA) is often employed as a surrogate for MAP in practical simulations [26]. In this algorithm, the belief messages are passed between the neighboring RE nodes and device nodes in the factor graph generated according to the indicator matrix, F , for a number of iterations until the termination criterion is met. Although it is challenging to mathematically analyze the detection process of MPA, it is generally accepted that its performance is close to that of the MAP detector [27].
Figure 2 illustrates the symbol error rate of each device, P SER , j ( 1 j J ), and the average symbol error rate, P ¯ SER , which is defined as P ¯ SER j = 1 J P SER , j / J . The theoretical upper bound, P bound (see Equation (13)), is also provided in Figure 2 for reference. From Figure 2, we can find that P SER , 1 = P SER , 2 = = P SER , J = P ¯ SER , which is consistent with our previous assumption. In the low-SNR region, P ¯ SER and P bound differ significantly. As η increases, the difference between P ¯ SER and P bound gradually decreases. Especially in the high-SNR region, P ¯ SER is very close to P bound . It is noteworthy that in Figure 2, P ¯ SER sometimes appears slightly higher than P bound . Ref. [18] has already provided an explanation of this phenomenon, stating that MPA does not consistently select S S with the minimum S as S ^ . This contrasts with MAP, such that MPA exhibits a slightly inferior performance compared to MAP.

4. Analysis of Multi-Stage Codebook Design Criteria for an AWGN Channel

In order to minimize the upper bound, P bound , of the designed codebook, each summation term, Q η k = 1 K j ζ k s j k s j k 2 2 , in (13) needs to be as small as possible. That is to say, k = 1 K j ζ k s j k s j k 2 in each term is required to be as large as possible. Therefore, the minimization problem of P bound can be transformed to maximize d min , which is defined as
d min min S S , S S k = 1 K j ζ k s j k s j k 2 .
To further reduce the complexity of codebook design, we also apply the multi-stage optimization approach. Next, we will study the objective of each stage, including the codebook design on a single RE and the codebook design for one device.

4.1. Codebook Design on a Single RE

For a single RE, k ( 1 k K ), only d f devices have data symbols on them. As mentioned in Section 2, the codeword or symbol of device j on RE k is represented as s j k , where j ξ k . Let Ω be the vector composed of d f elements, the i th ( 1 i d f ) element of which is a codeword or symbol for device j i on this RE, i.e., Ω S k = s j 1 k , s j 2 k , , s j d f k ( j i ξ k ). Ω represents the codeword vector actually transmitted by the base station to these d f devices on RE k . Set Ω includes all the M d f possibilities of vector Ω . Set Ω includes the remaining M d f 1 vectors except Ω , i.e., Ω = Ω \ Ω or S S .
Similarly, the estimated codeword, Ω ^ , at the receiver side is given by Ω ^ = arg min Ω Ω . The detection error probability of Ω on RE k is
P error k = P min Ω = Ω Ω P Tx = Ω P min Ω Tx = Ω = 1 M d f Ω Ω P min Ω Tx = Ω = 1 M d f Ω Ω Ω Ω P min = Ω 1 M d f Ω Ω Ω Ω P Ω < Ω = 1 M d f Ω Ω Ω Ω Q η k j ζ k s j k s j k 2 2 .
Here, we define P bound k as the upper bound of the error probability on RE k , i.e.,
P bound k 1 M d f Ω Ω Ω Ω Q η k j ζ k s j k s j k 2 2
There are M d f M d f 1 summation terms in Equation (18). To lower P bound k , the distance d k j ζ k s j k s j k 2 in each term should be as large as possible. Therefore, the problem of minimizing P bound k can be transformed into maximizing the elements in set d k , especially those with small values. Here, we define set D k as D k sort d k , which is the set obtained by arranging the M d f M d f 1 elements of set d k in order from smallest to largest. Thus, the minimization problem of P bound k can be formulated as maximizing L min k , i.e.,
L min k sum D k 1 : α ,
which is the sum of the first α smallest elements in set D k . Here, α can be set to 3% or more of the number of elements in set D k .

4.2. Codebook Design for a Single Device

In this subsection, we will study the codebook design problem for a single device. Let us start with the codebook design problem for a single device on a single RE. Assume that k s j 1 k , s j 2 k , , s j M k is the set that includes all the M codewords or symbols of device j ( j ξ k ) on RE k . They satisfy 1 M m = 1 M s j m k 2 = 1 . s j k k is used to represent the codeword actually transmitted for device j on RE k . Set j = s j k denotes the remaining M 1 codewords or symbols except s j k , i.e., s j k s j k . Similarly, we can derive the upper bound of the codeword or symbol error probability for device j on RE k , i.e.,
P bound , j k 1 M s j k k s j k k Q η k s j k s j k 2 2 .
Obviously, the larger the distance d j k s j k s j k 2 is, the smaller the Q-function in Equation (20) becomes. Minimizing P bound , j k can be transformed into maximizing the smallest element, d min , j k , among the M M 1 elements in d j k , where d min , j k is defined as
d min , j k min d j k .
Next, we will consider the codebook design problem for a single device on the d v REs it actually occupies. Assume that s j k 1 , s j k 2 , , s j k d v T is the codeword transmitted by the base station for device j on the corresponding d v REs. Set = s j m k 1 , s j m k 2 , , s j m k 2 , , s j m k d v T ( 1 m M ) includes all the M codewords of device j on these d v REs. = s j k , k ζ j T represents the set that contains the remaining M 1 possible codewords. The upper bound of the codeword error probability for device j on these d v REs is
P bound , j 1 M s j k , k ζ j T s j k , k ζ j T Q η k k ζ j s j k s j k 2 2 .
To lower P bound , j , the M M 1 elements in the set d j should be as large as possible, where the element d j is defined as d j k ζ j s j k s j k 2 . Therefore, we transform the minimization of P bound , j to the problem of maximizing d min , j , which is defined as
d min , j min d j .
To sum up, we have derived the criteria for each stage of the multi-stage optimization method. Firstly, we designed the codebook containing M one-dimensional codewords for a single device on a single RE with the goal of maximizing d min , j k in (21). The codebooks for d f devices on a single RE were designed to maximize L min k in (19). At this stage, each codebook had M one-dimensional codewords. Next, we tried to design the codebook for one device on d v REs with the objective of maximizing d min , j in (23). At this stage, each codebook contained M   d v -dimensional codewords. Finally, the codebooks for J devices on the K REs were designed to maximize d min in (16).

5. Multi-Device Codebook Construction

Based on the design criteria obtained in Section 4, we present a lightweight stepwise codebook construction method for an SCMA system with J = 6 , K = 4 , and M = 4 under an AWGN channel. In this example, each RE accommodates d f = 3 devices, and each device actually occupies d v = 2 REs. The corresponding mapping matrix, F , is the one provided in (1).

5.1. Codebook Construction for a Single Device on a Single RE

As in references [19,20,21], we also selected a PAM constellation to design the codebook for a single device on a single RE. Assume that set γ M 2 , , γ 1 , γ 1 , , γ M 2 includes all the M codewords or symbols of the device on RE k , where γ m + ( 1 m M 2 ). To lower the upper bound in (20), the optimal codebook for this device can be obtained as
= arg max γ M 2 , , γ 1 , γ 1 , , γ M 2 d min , j k ,
with a constraint of 1 M m = 1 M / 2 2 γ m 2 = 1 . When M = 4 , the corresponding codebook, , for a single device on a single RE can be derived as M = 4 = [ 1.3416 , 0.4472 , 0.4472 , 1.3416 ] .

5.2. Codebook Construction for Devices on a Single RE

In this subsection, we will construct codebooks for the d f devices on a single RE, with each codebook containing M one-dimensional codewords. Thus, the codebook is also named a one-dimensional codebook at this stage. Here, angle rotation is applied to the initially obtained codebook, , in (24) to generate different codebooks for different devices. The codebook for device l ( 1 l d f ) on this RE can be represented as
Λ l = e i θ l , 1 l d f ,
where θ l is the rotation angle for the corresponding codebook, Λ l . Here, we assume that θ 1 = 0 . To maximize L min k in (24), θ 2 , , θ d f can be derived as
θ 2 , , θ d f = arg max θ ˜ 2 , , θ ˜ d f 0 , 180 θ ˜ 2 θ ˜ d f L min k ,
Based on (26), we can determine that θ 2 = 60 and θ 3 = 120 or that θ 2 = 120 and θ 3 = 60 when d f = 3 . The corresponding constellations of these d f codebooks Λ l , 1 l d f are shown in Figure 3a.

5.3. Codebook Construction for a Single Device

In an SCMA system, the codeword of a device actually occupies d v REs. Λ l , obtained in (25), is just a one-dimensional codebook on one RE for device l ( 1 l d f ). In this subsection, we will study how the other d v 1 one-dimensional codebooks on the other d v 1 REs are designed for device l .
In order to achieve shaping gain [14] from codebooks on different REs and maintain fairness and balance in the energy of each codeword, it is essential that the one-dimensional codebooks on different REs are not simple repetitions. A permutation operation is employed here to generate codebooks on the other REs by swapping the mapped positions of the codewords on the constellation. Set Λ l includes all the codebooks obtained by the permutation operation on the codebook Λ l . Among these codebooks, the optimal one can be derived as
Λ ˜ l = arg max Λ l d min , j ,
where d min , j is defined in (23).
Figure 3b shows the constellations of the derived codebooks, Λ ˜ l , 1 l d f , where d f = 3 . When d ν = 2 , the device can select one one-dimensional codebook from each of sets Λ l , 1 l d f and Λ ˜ l , 1 l d f . These codebooks will then constitute the device’s d v -dimensional codebook.

5.4. Codebook Construction for Multiple Devices

In the preceding subsections, the sets of one-dimensional codebooks for devices to select from on different REs were obtained, i.e., Λ l , 1 l d f and Λ ˜ l , 1 l d f . However, the question of how each device selects these one-dimensional codebooks to construct its d v -dimensional codebook remains unsolved.
In this subsection, we will present the principles that need to be considered for a device to select one-dimensional codebooks. Assume that l ( 1 l d f ) is the index of the chosen codebook. The first principle is that devices sharing the same RE need to choose codebooks with different indices. For instance, when device j 1 ( j 1 ξ k ) selects the codebook with index l 1 ( 1 l 1 d f ) on RE k , i.e., it chooses either codebook Λ l 1 or Λ ˜ l 1 , another device occupying this RE will choose neither Λ l 1 nor Λ ˜ l 1 as its codebook. This requirement is to prevent the constellation points of different devices’ codebooks from overlapping on the same RE. Secondly, the one-dimensional codebooks on different REs for the same device will not all come from either set Λ l , 1 l d f or set Λ ˜ l , 1 l d f . For instance, when device j 1 selects the codebook Λ l 1 on its first occupied RE, at least one codebook will be selected from the permutation set Λ ˜ l , 1 l d f on the other REs occupied by this device. This requirement is to achieve shaping gain from the one-dimensional codebooks on different REs while maintaining fairness and balance in the energy of each codeword, as previously stated. There are many choices that satisfy these two principles. Nevertheless, the d v -dimensional codebooks of each device must be able to maximize d min in Equation (16).
When the corresponding mapping matrix, F , is the one provided in (1), the one-dimensional codebook selection scheme for each device on its occupied REs is provided as
O 4 × 6 = Λ 3 / Λ 1 / Λ 2 / Λ ˜ 2 / / Λ 1 / Λ 3 / Λ 3 Λ ˜ 2 / / Λ ˜ 1 / Λ ˜ 3 / Λ ˜ 2 Λ ˜ 1 / .
A row and a column in (28) also represent an RE and a device, respectively. It can be seen that device 1 selects Λ 3 on RE 1. On its second occupied RE, i.e., RE 2, it chooses Λ ˜ 2 from the set Λ ˜ l , 1 l 3 as the one-dimensional codebook. Device 2 selects Λ 3 on RE 3. On RE 4, it chooses Λ ˜ 3 from the set Λ ˜ l , 1 l 3 as its codebook. Apparently, this selection scheme satisfies both of the aforementioned principles.
Figure 4 illustrates the constellations of the finalized d v -dimensional codebooks for each device with the one-dimensional codebook selection scheme provided in (28). k ( 1 k K ) and j ( 1 j J ) are used to denote the indices of the RE and the device, respectively. As can be seen in this figure, the basic characteristics of each codebook are largely analogous, which suggests that these devices will exhibit comparable performance. The detailed codebooks of each device are provided in Appendix A.

6. Simulation Results

In this section, the detection performance of the proposed codebooks provided in Appendix A will be illustrated. The corresponding parameters are listed in Table 1. Figure 5 shows the symbol error rate of each device, P SER , j ( 1 j J ), and the average symbol error rate, P ¯ SER , with the proposed codebooks in an AWGN channel. The detection performance is consistent across devices, which corroborates our previous hypothesis. In the low-SNR region, the theoretical upper bound, P bound , is relatively loose in comparison to the simulation results. However, as η increases, P bound becomes close to the simulation results, particularly in the high-SNR region. This provides further evidence that the theoretical upper bound, P bound , derived in this paper is a reasonable approximation and can be used as a metric for codebook design.
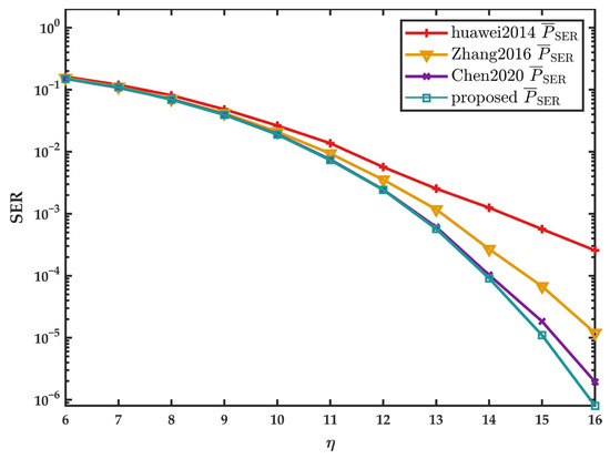
Figure 6 compares the performance of the codebooks proposed in this paper with those in the existing literature [19,20,21]. In the simulation, the mean value of the total power for each device’s d v -dimensional codeword is normalized to one. The codebooks proposed in this paper demonstrate superior detection performance compared to the other codebooks. This can be inferred from the optimization objective of each stage listed in Table 2. These parameters include d min , j k (defined in Equation (21)), L min k (defined in Equation (19)), d min , j (defined in Equation (23)), and d min (defined in Equation (16)). As can be seen from Table 2, the codebooks designed in this paper achieve the maximum values for all four parameters, suggesting better performance. From Table 2 and Figure 6, it can be observed that maximizing L min k alone (the optimization objective on a single RE) or maximizing d min , j alone (i.e., the optimization objective for a single device) does not yield the highest d min . In other words, these factors need to be considered simultaneously. While Huawei [19] has the largest d min , j , it achieves the smallest d min , resulting in the worst performance. Zhang [20], Chen [21], and the codebooks designed in this paper all employ M-PAM as the base constellation on an RE. Compared to [20], ref. [21] obtains a larger d min , resulting in better performance in the high-SNR region. Overall, in the low-SNR region, the performance of the aforementioned codebooks was found to be relatively similar. In the high-SNR region, the codebook designed in this paper optimizes the corresponding parameter of each stage, thereby achieving a larger d min and a relative performance improvement. For a wireless communication system, a lower SER may signify either an expansion of communication coverage or an enhancement of the QoS experienced by the terminal devices. In scenarios where the QoS requirement is specified, codebooks with a lower SER have the potential to augment the number of devices engaged in this non-orthogonal system. This is important in scenarios where a large number of devices need to be deployed, such as in forest management and monitoring.

7. Conclusions

This paper investigates the detection performance of SCMA systems in an AWGN channel and proposes a lightweight stepwise codebook design scheme. By constructing a mathematical transceiver model of the system, we conducted an in-depth analysis of the symbol error probability for devices at the receiver and derived the corresponding theoretical upper bound, which provides a theoretical foundation for codebook optimization. Building on this, we proposed the criteria for a stepwise codebook design, including that for a single RE, a single device, and multiple devices on multiple REs. Simulation results verify the feasibility of the proposed scheme in this paper. On this basis, one of our future research avenues will be to investigate the potential of integrating PD-NOMA with SCMA to further enhance the spectral efficiency and overall performance of the system in large-scale user scenarios.

Author Contributions

Conceptualization, M.H. and S.M.; methodology, M.H. and S.M.; software, S.M.; validation, M.H. and S.M.; formal analysis, S.M.; investigation, S.M.; resources, M.H.; data curation, S.M.; writing—original draft preparation, S.M.; writing—review and editing, M.H.; visualization, M.H. and S.M.; supervision, M.H.; project administration, M.H., Y.J., B.B. and X.L.; funding acquisition, M.H. and Y.J. All authors have read and agreed to the published version of the manuscript.

Funding

This research was funded by the National Natural Science Foundation of China (NSFC), grant numbers 61801225 and 62101266.

Data Availability Statement

The original contributions presented in this study are included in the article. Further inquiries can be directed to the corresponding author.

Conflicts of Interest

The authors declare no conflicts of interest.

Appendix A

C B 1 = 0.6708 1.1619 i 0.2236 0.3873 i 0.2236 + 0.3873 i 0.6708 + 1.1619 i 0.2236 + 0.3873 i 0.6708 1.1619 i 0.6708 + 1.1619 i 0.2236 0.3873 i 0 0 0 0 0 0 0 0 C B 2 = 0 0 0 0 0 0 0 0 0.6708 1.1619 i 0.2236 0.3873 i 0.2236 + 0.3873 i 0.6708 + 1.1619 i 0.2236 + 0.3873 i 0.6708 1.1619 i 0.6708 + 1.1619 i 0.2236 0.3873 i C B 3 = 1.3416 + 0.0000 i 0.4472 + 0.0000 i 0.4472 + 0.0000 i 1.3416 + 0.0000 i 0 0 0 0 0.2236 + 0.3873 i   0.6708 1.1619 i 0.6708 + 1.1619 i 0.2236 0.3873 i 0 0 0 0 C B 4 = 0 0 0 0 1.3416 + 0.0000 i 0.4472 + 0.0000 i 0.4472 + 0.0000 i 1.3416 + 0.0000 i 0 0 0 0 0.2236 + 0.3873 i 0.6708 1.1619 i 0.6708 + 1.1619 i 0.2236 0.3873 i C B 5 = 0.6708 1.1619 i 0.2236 0.3873 i 0.2236 + 0.3873 i 0.6708 + 1.1619 i 0 0 0 0 0 0 0 0 0.4472 + 0.0000 i 1.3416 + 0.0000 i 1.3416 + 0.0000 i 0.4472 + 0.0000 i C B 6 = 0 0 0 0 0.6708 1.1619 i 0.2236 0.3873 i 0.2236 + 0.3873 i 0.6708 + 1.1619 i 0.4472 + 0.0000 i 1.3416 + 0.0000 i 1.3416 + 0.0000 i 0.4472 + 0.0000 i 0 0 0 0

References

  1. Shen, L.H.; Feng, K.T.; Hanzo, L. Five Facets of 6G: Research Challenges and Opportunities. Acm Comput. Surv. 2023, 55, 1–39. [Google Scholar] [CrossRef]
  2. Wang, C.X.; You, X.H.; Gao, X.Q.; Zhu, X.M.; Li, Z.X.; Zhang, C. On the Road to 6G: Visions, Requirements, Key Technologies, and Testbeds. IEEE Commun. Surv. Tutor. 2023, 25, 905–974. [Google Scholar] [CrossRef]
  3. Qu, Z.C.; Zhang, G.X.; Cao, H.T.; Xie, J. LEO Satellite Constellation for Internet of Things. IEEE Access 2017, 5, 18391–18401. [Google Scholar] [CrossRef]
  4. Cotrina-Sánchez, A. Monitoring forest phenology with TreeTalker. Nat. Rev. Earth Environ. 2023, 4, 293. [Google Scholar] [CrossRef]
  5. Tomelleri, E.; Marchesini, L.B.; Yaroslavtsev, A.; Asgharinia, S.; Valentini, R. Toward a Unified TreeTalker Data Curation Process. Forests 2022, 13, 855. [Google Scholar] [CrossRef]
  6. Matasov, V.; Marchesini, L.B.; Yaroslavtsev, A.; Sala, G.; Fareeva, O.; Seregin, I.; Castaldi, S.; Vasenev, V.; Valentini, R. IoT Monitoring of Urban Tree Ecosystem Services: Possibilities and Challenges. Forests 2020, 11, 775. [Google Scholar] [CrossRef]
  7. Jiao, W.G.; Tang, R.; Xu, Y. A Coverage Optimization Algorithm for the Wireless Sensor Network with Random Deployment by Using an Improved Flower Pollination Algorithm. Forests 2022, 13, 1690. [Google Scholar] [CrossRef]
  8. Wu, Y.; Yang, N.F.; Liu, Y.Y. Study on the Moisture Content Diagnosis Method of Living Trees Based on WASN and CTWGAN-GP-L. Forests 2022, 13, 1879. [Google Scholar] [CrossRef]
  9. Wu, Y.; Hou, Z.Y.; Liu, Y.Y.; Liu, W.B. Leaf Moisture Content Detection Method Based on UHF RFID and Hyperdimensional Computing. Forests 2024, 15, 1798. [Google Scholar] [CrossRef]
  10. Alhamad, R. Adaptive NOMA/OMA for wireless communications. Signal Image Video Process. 2021, 15, 1469–1475. [Google Scholar] [CrossRef]
  11. Xu, T.H.; Xu, Y.J.; Zhou, T.; Chen, X.F.; Hu, H.L. NOMA-Based Spectrum Sensing for Satellite-Terrestrial Communication. China Commun. 2023, 20, 227–242. [Google Scholar] [CrossRef]
  12. Nasrin, G.; Neda, M.; Mahdieh, G.; Sasan, H. Utilizing Non-Orthogonal Multiple Access for Both Latency and Energy Efficiency Improvement in TSCH-Based WSNs. IEEE Access 2022, 10, 28922–28937. [Google Scholar] [CrossRef]
  13. Nomikos, N.; Gkonis, P.K.; Bithas, P.S.; Trakadas, P. A Survey on UAV-Aided Maritime Communications: Deployment Considerations, Applications, and Future Challenges. IEEE Open J. Commun. Soc. 2023, 4, 56–78. [Google Scholar] [CrossRef]
  14. Srivastava, S.; Dash, P.P. Non-Orthogonal Multiple Access: Procession towards B5G and 6G. In Proceedings of the 2021 IEEE 2nd International Conference on Applied Electromagnetics Signal Processing & Communication (AESPC), Bhubaneswar, India, 26–28 November 2021; pp. 1–4. [Google Scholar]
  15. Hoshyar, R.; Wathan, F.P.; Tafazolli, R. Novel Low-Density Signature for Synchronous CDMA Systems Over AWGN Channel. IEEE Trans. Signal Process. 2008, 56, 1616–1626. [Google Scholar] [CrossRef]
  16. Nilopour, H.; Baligh, H. Sparse Code Multiple Access. In Proceedings of the IEEE 24th International Symposium on Personal, Indoor and Mobile Radio Communications (PIMRC), London, UK, 8–11 September 2013; pp. 332–336. [Google Scholar]
  17. Wang, Y.M.; Ren, B.; Sun, S.H.; Kang, S.L.; Yue, X.W. Analysis of Non-Orthogonal Multiple Access for 5G. China Commun. 2016, 13, 52–66. [Google Scholar] [CrossRef]
  18. Chaturvedi, S.; Liu, Z.; Bohara, V.A.; Srivastava, A.; Xiao, P. A Tutorial on Decoding Techniques of Sparse Code Multiple Access. IEEE Access 2022, 10, 58503–58524. [Google Scholar] [CrossRef]
  19. Taherzadeh, M.; Nikopour, H.; Bayesteh, A.; Baligh, H. SCMA Codebook Design. In Proceedings of the 2014 IEEE 80th Vehicular Technology Conference (VTC Fall), Vancouver, BC, Canada, 14–17 September 2014. [Google Scholar]
  20. Zhang, S.T.; Xiao, K.; Xiao, B.; Chen, Z.Y.; Xia, B.; Chen, D.G.; Ma, S.D. A Capacity-based Codebook Design Method for Sparse Code Multiple Access Systems. In Proceedings of the 2016 8th International Conference on Wireless Communications and Signal Processing (WCSP), Yangzhou, China, 13–15 October 2016. [Google Scholar]
  21. Chen, Y.M.; Chen, J.W. On the Design of Near-Optimal Sparse Code Multiple Access Codebooks. IEEE Trans. Commun. 2020, 68, 2950–2962. [Google Scholar] [CrossRef]
  22. Lei, T.F.; Ni, S.Y.; Luo, Q.; Chen, S.M.; Song, X.; Xiao, P. A Progressive Codebook Optimization Scheme for Sparse Code Multiple Access in Downlink Channels. IEEE Trans. Veh. Technol. 2024, 73, 13038–13046. [Google Scholar] [CrossRef]
  23. Li, X.D.; Gao, Z.C.; Gui, Y.M.; Liu, Z.L.; Xiao, P.; Yu, L. Design of Power-Imbalanced SCMA Codebook. IEEE Trans. Veh. Technol. 2022, 71, 2140–2145. [Google Scholar] [CrossRef]
  24. Klimentyev, V.P.; Sergienko, A.B. SCMA Codebooks Optimization Based on Genetic Algorithm. In Proceedings of the 23rd European Wireless Conference 2017, Dresden, Germany, 17–19 May 2017; pp. 1–6. [Google Scholar]
  25. Yu, L.S.; Fan, P.Z.; Cai, D.H.; Ma, Z. Design and Analysis of SCMA Codebook Based on Star-QAM Signaling Constellations. IEEE Trans. Veh. Technol. 2018, 67, 10543–10553. [Google Scholar] [CrossRef]
  26. Bayesteh, A.; Nikopour, H.; Taherzadeh, M.; Baligh, H.; Ma, J. Low Complexity Techniques for SCMA Detection. In Proceedings of the 2015 IEEE Globecom Workshops (GC Wkshps), San Diego, CA, USA, 6–10 December 2015. [Google Scholar]
  27. Bao, J.C.; Ma, Z.; Xiao, M.; Zhu, Z.L. Error Performance of Sparse Code Multiple Access Networks with Joint ML Detection. In Proceedings of the IEEE 83rd Vehicular Technology Conference (VTC Spring), Nanjing, China, 15–18 May 2016. [Google Scholar]
Figure 1. A downlink schematic diagram of an SCMA system. (a) Concurrent data transmission in a forest scenario, where the transmitter is a space station and the receivers are the head devices of each wireless sensor cluster. (b) Data processing procedure at the transmitter.
Figure 1. A downlink schematic diagram of an SCMA system. (a) Concurrent data transmission in a forest scenario, where the transmitter is a space station and the receivers are the head devices of each wireless sensor cluster. (b) Data processing procedure at the transmitter.
Forests 16 00257 g001
Figure 2. Illustration of the detection performance for various codebooks under an AWGN channel [19,20,21], where the theoretical upper bound, P bound , is provided for reference. (a) The detection performance of the proposed codebooks in [19]. (b) The detection performance of the proposed codebooks in [20]. (c) The detection performance of the proposed codebooks in [21].
Figure 2. Illustration of the detection performance for various codebooks under an AWGN channel [19,20,21], where the theoretical upper bound, P bound , is provided for reference. (a) The detection performance of the proposed codebooks in [19]. (b) The detection performance of the proposed codebooks in [20]. (c) The detection performance of the proposed codebooks in [21].
Forests 16 00257 g002
Figure 3. Constellation illustration of the one-dimensional codebooks: (a) superimposed constellation of Λ l , 1 l d f ; (b) superimposed constellation of Λ ˜ l , 1 l d f .
Figure 3. Constellation illustration of the one-dimensional codebooks: (a) superimposed constellation of Λ l , 1 l d f ; (b) superimposed constellation of Λ ˜ l , 1 l d f .
Forests 16 00257 g003
Figure 4. Illustration of the finalized d v -dimensional codebooks for each device.
Figure 4. Illustration of the finalized d v -dimensional codebooks for each device.
Forests 16 00257 g004
Figure 5. Illustration of the detection performance of the proposed codebooks.
Figure 5. Illustration of the detection performance of the proposed codebooks.
Forests 16 00257 g005
Figure 6. Detection performance comparison between various codebooks under an AWGN channel [19,20,21].
Figure 6. Detection performance comparison between various codebooks under an AWGN channel [19,20,21].
Forests 16 00257 g006
Table 1. Simulation parameters.
Table 1. Simulation parameters.
ParameterValue
Number of REs, K 4
Number of devices, J 6
Modulation order, M 4
Number   of   REs   actually   occupied   by   a   device ,   d v 2
Number   of   devices   sharing   the   same   RE ,   d f 3
Channel modelAWGN
Decoding algorithmMPA [26]
Table 2. Optimization objective parameters for each stage.
Table 2. Optimization objective parameters for each stage.
CB d m i n , j k L m i n k d m i n , j d m i n
Huawei [19]0.311.3720.31
Zhang [20]0.3616.0320.67
Chen [21]0.3617.351.951.15
Proposed0.419.221.2
Disclaimer/Publisher’s Note: The statements, opinions and data contained in all publications are solely those of the individual author(s) and contributor(s) and not of MDPI and/or the editor(s). MDPI and/or the editor(s) disclaim responsibility for any injury to people or property resulting from any ideas, methods, instructions or products referred to in the content.

Share and Cite

MDPI and ACS Style

Hua, M.; Meng, S.; Juan, Y.; Bian, B.; Liu, X. A Lightweight Stepwise SCMA Codebook Design Scheme for AWGN Channels. Forests 2025, 16, 257. https://doi.org/10.3390/f16020257

AMA Style

Hua M, Meng S, Juan Y, Bian B, Liu X. A Lightweight Stepwise SCMA Codebook Design Scheme for AWGN Channels. Forests. 2025; 16(2):257. https://doi.org/10.3390/f16020257

Chicago/Turabian Style

Hua, Min, Shuo Meng, Yue Juan, Borui Bian, and Xiaoming Liu. 2025. "A Lightweight Stepwise SCMA Codebook Design Scheme for AWGN Channels" Forests 16, no. 2: 257. https://doi.org/10.3390/f16020257

APA Style

Hua, M., Meng, S., Juan, Y., Bian, B., & Liu, X. (2025). A Lightweight Stepwise SCMA Codebook Design Scheme for AWGN Channels. Forests, 16(2), 257. https://doi.org/10.3390/f16020257

Note that from the first issue of 2016, this journal uses article numbers instead of page numbers. See further details here.

Article Metrics

Back to TopTop