Invasive Plants Do Not Exert Univocal Responses on Soil Abiotic and Biotic Characteristics
Abstract
1. Introduction
2. Materials and Methods
2.1. Study Area and Plant Species
2.2. Soil Sampling
2.3. Chemical Analysis
2.4. Biological Analyses
2.4.1. Microbial Biomass and Activities Analysis
2.4.2. Microarthropod and Collembola Community Analyses
2.5. Statistical Analyses
3. Results
3.1. Soil Chemical Characteristics
3.2. Soil Biological Characteristics
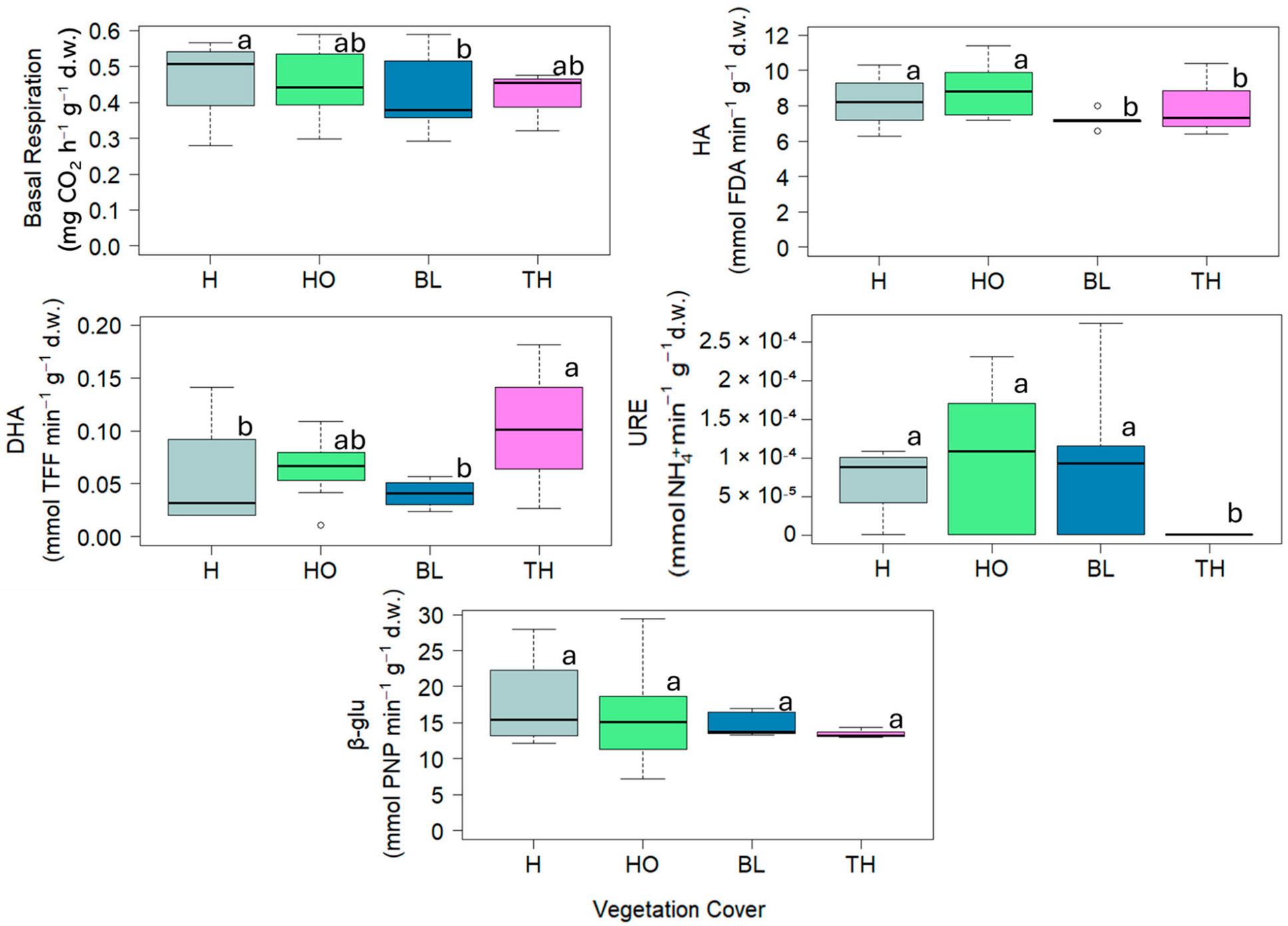
3.2.1. Microbial Biomass and Activities
3.2.2. Microarthropod Community
3.2.3. Collembola Community
3.3. Impact of Vegetation Cover on Soil’s Physical–Chemical and Biological Characteristics
4. Discussion
5. Conclusions
Supplementary Materials
Author Contributions
Funding
Data Availability Statement
Conflicts of Interest
References
- Myers, N.; Mittermeier, R.A.; Mittermeier, C.G.; Da Fonseca, G.A.; Kent, J. Biodiversity hotspots for conservation priorities. Nature 2000, 403, 853–858. [Google Scholar] [CrossRef] [PubMed]
- Rundel, P.W. California chaparral and its global significance. In Valuing Chaparral: Ecological, Socio-Economic, and Management Perspectives; Springer: Berlin/Heidelberg, Germany, 2018; pp. 1–27. [Google Scholar]
- Fried, G.; Laitung, B.; Pierre, C.; Chagué, N.; Panetta, F.D. Impact of invasive plants in Mediterranean habitats: Disentangling the effects of characteristics of invaders and recipient communities. Biol. Invasions 2014, 16, 1639–1658. [Google Scholar] [CrossRef]
- Brown, G.; Cooper, M.; Kobayashi, M.; Orgiazzi, A.; Domínguez, A.; Dias Turetta, A.P.; Tapia Torres, Y. Threats to Soil Biodiversity—Global and Regional Trends; Organización de las Naciones Unidas para la Alimentación: Roma, Italy, 2020. [Google Scholar]
- Rai, P.K.; Singh, J.S. Invasive alien plant species: Their impact on environment, ecosystem services, and human health. Ecol. Indicat. 2020, 111, 106020. [Google Scholar]
- Srivastava, A.; Singh, R. Key management issues of forest-invasive species in India. Indian J. Environ. Educ. 2009, 9, 16–24. [Google Scholar]
- Maron, J.L.; Vilà, M. When do herbivores affect plant invasion? Evidence for the natural enemies and biotic resistance hypotheses. Oikos 2001, 95, 361–373. [Google Scholar] [CrossRef]
- Goyal, C.P.; Brahma, B.C. A ray of hope against Parthenium in Rajaji National Park? Indian For. 2001, 127, 409–414. [Google Scholar]
- Jackson, R.B.; Banner, J.L.; Jobbágy, E.G.; Pockman, W.T.; Wall, D.H. Ecosystem carbon loss with woody plant invasion of grasslands. Nature 2002, 418, 623–626. [Google Scholar] [CrossRef] [PubMed]
- Vilà, M.; Espinar, J.L.; Hejda, M.; Hulme, P.E.; Jarošík, V.; Maron, J.L.; Pyšek, P. Ecological impacts of invasive alien plants: A meta-analysis of their effects on species, communities, and ecosystems. Ecol. Lett. 2011, 14, 702–708. [Google Scholar] [CrossRef] [PubMed]
- Allison, S.D.; Vitousek, P.M. Rapid nutrient cycling in leaf litter from invasive plants in Hawai’i. Oecologia 2004, 141, 612–619. [Google Scholar] [CrossRef] [PubMed]
- Weidenhamer, J.D.; Callaway, R.M. Direct and indirect effects of invasive plants on soil chemistry and ecosystem function. J. Chem. Ecol. 2010, 36, 59–69. [Google Scholar] [CrossRef] [PubMed]
- Ehrenfeld, J.G.; Scott, N.A. Invasive species and the soil: Effects on organisms and ecosystem processes. Ecol. Appl. 2001, 11, 1259–1260. [Google Scholar] [CrossRef]
- Stefanowicz, A.M.; Stanek, M.; Nobis, M.; Zubek, S. Species-specific effects of plant invasions on activity, biomass, and composition of soil microbial communities. Biol. Fertil. Soils 2016, 52, 841–852. [Google Scholar] [CrossRef]
- Hawkes, C.V.; Belnap, J.; D’Antonio, C.; Firestone, M.K. Arbuscular mycorrhizal assemblages in native plant roots change in the presence of invasive exotic grasses. Plant Soil 2006, 281, 369–380. [Google Scholar] [CrossRef]
- Xu, H.; Liu, Q.; Wang, S.; Yang, G.; Xue, S. A global meta-analysis of the impacts of exotic plant species invasion on plant diversity and soil properties. Sci. Total Environ. 2022, 810, 152286. [Google Scholar] [CrossRef] [PubMed]
- Yan, J.; Wang, L.; Hu, Y.; Tsang, Y.F.; Zhang, Y.; Wu, J.; Sun, Y. Plant litter composition selects different soil microbial structures and in turn drives different litter decomposition patterns and soil carbon sequestration capability. Geoderma 2018, 319, 194–203. [Google Scholar] [CrossRef]
- Van der Putten, W.H.; Bardgett, R.D.; Bever, J.D.; Bezemer, T.M.; Casper, B.B.; Fukami, T.; Wardle, D.A. Plant–soil feedbacks: The past, the present, and future challenges. J. Ecol. 2013, 101, 265–276. [Google Scholar] [CrossRef]
- Heneghan, L.; Bolger, T. Soil microarthropod contribution to forest ecosystem processes: The importance of observational scale. Plant Soil 1998, 205, 113–124. [Google Scholar] [CrossRef]
- Lakshmi, G.; Okafor, B.N.; Visconti, D. Soil microarthropods and nutrient cycling. In Environment, Climate, Plant and Vegetation Growth; Springer: Berlin/Heidelberg, Germany, 2020; pp. 453–472. [Google Scholar]
- Gaggini, L.; Rusterholz, H.-P.; Baur, B. The invasive plant Impatiens glandulifera affects soil fungal diversity and the bacterial community in forests. Appl. Soil Ecol. 2018, 124, 335–343. [Google Scholar] [CrossRef]
- Sun, J.; Rutherford, S.; Saif Ullah, M.; Ullah, I.; Javed, Q.; Rasool, G.; Du, D. Plant–soil feedback during biological invasions: Effect of litter decomposition from an invasive plant (Sphagneticola trilobata) on its native congener (S. calendulacea). J. Plant Ecol. 2022, 15, 610–624. [Google Scholar] [CrossRef]
- Raza, M.B.; Bhoi, T.K.; Samal, I. Soil arthropods as a nutrient enhancer. Int. J. Chem. Stud. 2019, 7, 1687–1692. [Google Scholar]
- Sagi, N.; Hawlena, D. Arthropods as the engine of nutrient cycling in arid ecosystems. Insects 2021, 12, 726. [Google Scholar] [CrossRef] [PubMed]
- Van Straalen, N.M. Evaluation of bioindicator systems derived from soil arthropod communities. Appl. Soil Ecol. 1998, 9, 429–437. [Google Scholar] [CrossRef]
- Parisi, V.; Menta, C.; Gardi, C.; Jacomini, C.; Mozzanica, E. Microarthropod communities as a tool to assess soil quality and biodiversity: A new approach in Italy. Agric. Ecosyst. Environ. 2005, 105, 323–333. [Google Scholar] [CrossRef]
- Menta, C.; Leoni, A.; Bardini, M.; Gardi, C.; Gatti, F. Nematode and microarthropod communities: Comparative use of soil quality bioindicators in covered dump and natural soils. Environ. Bioindic. 2008, 3, 35–46. [Google Scholar] [CrossRef]
- Cassagne, N.; Gers, C.; Gauquelin, T. Relationships between Collembola, soil chemistry and humus types in forest stands (France). Biol. Fertil. Soils 2003, 37, 355–361. [Google Scholar] [CrossRef]
- Miranda-Rangel, A.; Cano-Santana, Z.; Castaño-Meneses, G.; Palacios-Vargas, J.G.; Corona-Tejeda, P. Edaphic Collembola (Collembola) as indicators of the chemical characteristics of soil in a peach orchard (Prunus Persica (L.) Batsch) In Michoacán, Mexico. Appl. Ecol. Environ. Res. 2024, 22, 2601–2625. [Google Scholar] [CrossRef]
- Fiera, C. Role of Collembola in soil health and their use as indicators. In Species Monitoring in the Central Parks of Bucharest; Onete, M., Ed.; Ars Docendi: Bucharest, Romania, 2008; p. 84. ISBN 978-973-558-392-7. [Google Scholar]
- Santorufo, L.; Memoli, V.; Zizolfi, M.; Santini, G.; Di Natale, G.; Trifuoggi, M.; Barile, R.; De Marco, A.; Maisto, G. Microarthropod Responses to Fire: Vegetation Cover Modulates Impacts on Collembola and Acari Assemblages in Mediterranean Area. Fire Ecol. 2024, 20, 97. [Google Scholar] [CrossRef]
- Imperato, M.; Adamo, P.; Naimo, D.; Arienzo, M.; Stanzione, D.; Violante, P. Spatial Distribution of Heavy Metals in Urban Soils of Naples City (Italy). Environ. Pollut. 2003, 124, 247–256. [Google Scholar] [CrossRef]
- Di Gennaro, A.; Terribile, F. I Suoli della Provincia di Napoli: Carta 1:75.000 e Legenda; Camera di Commercio Industria Artigianato e Agricoltura di Napoli: GE.PRO.TER, 1999; p. 63. Available online: https://www.iris.unina.it/handle/11588/179784 (accessed on 5 December 2024).
- Santorufo, L.; Memoli, V.; Panico, S.C.; Santini, G.; Barile, R.; Di Natale, G.; Maisto, G. Early post-fire changes in properties of Andosols within a Mediterranean area. Geoderma 2021, 394, 115016. [Google Scholar] [CrossRef]
- Allen, S.E. Chemical Analysis of Ecological Materials, 2nd ed.; Blackwell Scientific Publications: Oxford, UK, 1989. [Google Scholar]
- Nannipieri, P.; Ascher, J.; Ceccherini, M.; Landi, L.; Pietramellara, G.; Renella, G. Microbial diversity and soil functions. Eur. J. Soil Sci. 2017, 68, 12–26. [Google Scholar] [CrossRef]
- Fornasier, F.; Ascher, J.; Ceccherini, M.T.; Tomat, E.; Pietramellara, G. A simplified, rapid, low-cost, and versatile DNA-based assessment of soil microbial biomass. Ecol. Indicat. 2014, 45, 75–82. [Google Scholar] [CrossRef]
- Muyzer, G.; De Waal, E.C.; Uitterlinden, A. Profiling of complex microbial populations by denaturing gradient gel electrophoresis analysis of polymerase chain reaction-amplified genes coding for 16S rRNA. Appl. Environ. Microbiol. 1993, 59, 695–700. [Google Scholar] [CrossRef] [PubMed]
- Vainio, E.J.; Hantula, J. Direct analysis of wood-inhabiting fungi using denaturing gradient gel electrophoresis of amplified ribosomal DNA. Mycol. Res. 2000, 104, 927–936. [Google Scholar] [CrossRef]
- Campbell, C.D.; Chapman, S.J.; Cameron, C.M.; Davidson, M.S.; Potts, J.M. A rapid microtiter plate method to measure carbon dioxide evolved from carbon substrate amendments so as to determine the physiological profiles of soil microbial communities by using whole soil. Appl. Environ. Microbiol. 2003, 69, 3593–3599. [Google Scholar] [CrossRef] [PubMed]
- Adam, G.; Duncan, H. Development of a sensitive and rapid method for the measurement of total microbial activity using fluorescein diacetate (FDA) in a range of soils. Soil Biol. Biochem. 2001, 33, 943–951. [Google Scholar] [CrossRef]
- Tan, X.; Liu, Y.; Yan, K.; Wang, Z.; Lu, G.; He, Y.; He, W. Differences in the response of soil dehydrogenase activity to Cd contamination are determined by the different substrates used for its determination. Chemosphere 2017, 169, 324–332. [Google Scholar] [CrossRef]
- Tabatabai, M.A. Soil enzymes. In Methods of Soil Analysis: Part 2 Chemical and Microbiological Properties; Soil Science Society of America, Inc.: Madison, WI, USA, 1983; Volume 9, pp. 903–947. [Google Scholar]
- Kendeler, E.; Gerber, H. Short-term assay of soil urease activity using colorimetric determination of ammonium. Biol. Fertil. Soils 1988, 6, 68–72. [Google Scholar] [CrossRef]
- Alef, K.; Nannipieri, P. Enzyme Activities. In Methods in Applied Soil Microbiology and Biochemistry; Academic Press: Cambridge, MA, USA, 1995; pp. 311–373. [Google Scholar]
- Macfadyen, A. Improved funnel-type extractors for soil arthropods. J. Anim. Ecol. 1961, 30, 1071–1184. [Google Scholar] [CrossRef]
- Bretfeld, G. Synopses on Paleartic Collembolan. In Symphypleona; Dunger, W., Ed.; Staatliches Museum für Naturkunde: Görlitz, Germany, 1999; Volume 2. [Google Scholar]
- Potapow, M. Synopses on Paleartic Collembolan. In Isotomidae; Dunger, W., Ed.; Staatliches Museum für Naturkunde: Görlitz, Germany, 2001; Volume 3. [Google Scholar]
- Thibaud, J.M.; Schulz, Y.J.; da Gama Assalino, M.M. Synopses on Paleartic Collembolan. In Hypogastruridae; Dunger, W., Ed.; Staatliches Museum für Naturkunde: Görlitz, Germany, 2004; Volume 4. [Google Scholar]
- Fjellberg, A. The Collembola of Fennoscandia and Denmark; Brill: Leiden, The Netherlands; Boston, MA, USA, 2007. [Google Scholar]
- Hopkin, S.P. A Key to the Collembola (Springtails) of Britain and Ireland; AIDGAP, Ed.; Field Studies Council: London, UK, 2007. [Google Scholar]
- Gisin, H. Ökologie und Lebensgemeinschaften der Collembolen im Schweizerischen Exkursionsgebiet Basels. Rev. Suisse Zool. 1943, 50, 131–224. [Google Scholar]
- Oksanen, J.; Simpson, G.L.; Blanchet, F.G.; Solymos, P.; Stevens, M.H.H.; Szoecs, E.; Wagner, H. Vegan: Community Ecology Package, R Package, Version. 2022. Available online: https://mirror.ibcp.fr/pub/CRAN/web/packages/vegan/vegan.pdf (accessed on 5 December 2024).
- Dray, S.; Dufour, A.B. The ade4 package: Implementing the duality diagram for ecologists. J. Stat. Softw. 2007, 22, 1–20. [Google Scholar] [CrossRef]
- Nadal-Sala, D.; Hartig, F.; Gracia, C.A.; Sabaté, S. Global warming likely to enhance black locust (Robinia pseudoacacia L.) growth in a Mediterranean riparian forest. For. Ecol. Manag. 2019, 449, 117448. [Google Scholar] [CrossRef]
- Medina-Villar, S.; Rodríguez-Echeverría, S.; Lorenzo, P.; Alonso, A.; Pérez-Corona, E.; Castro-Díez, P. Impacts of the Alien Trees Ailanthus altissima (Mill.) Swingle and Robinia pseudoacacia L. on Soil Nutrients and Microbial Communities. Soil Biol. Biochem. 2016, 96, 65–73. [Google Scholar] [CrossRef]
- Strayer, D.L.; Eviner, V.T.; Jeschke, J.M.; Pace, M.L. Understanding the Long-Term Effects of Species Invasions. Trends Ecol. Evol. 2006, 21, 645–651. [Google Scholar] [CrossRef] [PubMed]
- Di Fusco, N. Aspetti Forestali del Somma-Vesuvio. In Elementi di Biodiversità del Vesuvio; Picariello, O., Di Fusco, N., Fraissinet, M., Eds.; Ente Parco Nazionale del Vesuvio: Napoli, Italy, 2000. (In Italian) [Google Scholar]
- Vilà, M.; Tessier, M.; Suehs, C.M.; Brundu, G.; Carta, L.; Galanidis, A.; Lambdon, P.; Manca, M.; Médail, F.; Moragues, E.; et al. Local and Regional Assessment of the Impacts of Plant Invaders on Vegetation Structure and Soil Properties of Mediterranean Islands. J. Biogeogr. 2006, 33, 853–861. [Google Scholar] [CrossRef]
- Gomez-Aparicio, L.; Canham, C.D. Neighborhood Models of the Effects of Invasive Tree Species on Ecosystem Processes. Ecol. Monogr. 2008, 78, 69–86. [Google Scholar] [CrossRef]
- Castro-Díez, P.; González-Muñoz, N.; Alonso, A.; Gallardo, A.; Poorter, L. Effects of Exotic Invasive Trees on Nitrogen Cycling: A Case Study in Central Spain. Biol. Invasions 2009, 11, 1973–1986. [Google Scholar] [CrossRef]
- Ehrenfeld, J.G. Effects of Exotic Plant Invasions on Soil Nutrient Cycling Processes. Ecosystems 2003, 6, 503–523. [Google Scholar] [CrossRef]
- Medina-Villar, S.; Alonso, Á.; Vázquez de Aldana, B.R.; Pérez-Corona, E.; Castro-Díez, P. Decomposition and Biological Colonization of Native and Exotic Leaf Litter in a Central Spain Stream. Limnetica 2015, 34, 293–310. [Google Scholar] [CrossRef]
- Stockmann, U.; Adams, M.A.; Crawford, J.W.; Field, D.J.; Henakaarchchi, N.; Jenkins, M.; Zimmermann, M. The Knowns, Known Unknowns, and Unknowns of Sequestration of Soil Organic Carbon. Agric. Ecosyst. Environ. 2013, 164, 80–99. [Google Scholar] [CrossRef]
- Santorufo, L.; Panico, S.C.; Zarrelli, A.; De Marco, A.; Santini, G.; Memoli, V.; Maisto, G. Examining Litter and Soil Characteristics Impact on Decomposer Communities, Detritivores, and Carbon Accumulation in the Mediterranean Area. Plant Soil 2024, 505, 381–396. [Google Scholar] [CrossRef]
- Malloch, B.; Tatsumi, S.; Seibold, S.; Cadotte, M.W.; MacIvor, J.S. Urbanization and Plant Invasion Alter the Structure of Litter Microarthropod Communities. J. Anim. Ecol. 2020, 89, 1645–1657. [Google Scholar] [CrossRef]
- De Almeida, T.; Forey, E.; Chauvat, M. Alien Invasive Plant Effect on Soil Fauna Is Habitat Dependent. Diversity 2022, 14, 61. [Google Scholar] [CrossRef]
- Litt, A.R.; Cord, E.E.; Fulbright, T.E.; Schuster, G.L. Effects of Invasive Plants on Arthropods. Conserv. Biol. 2014, 28, 1532–1549. [Google Scholar] [CrossRef] [PubMed]
- Jesse, W.A.M.; Molleman, J.; Franken, O.; Lammers, M.; Berg, M.P.; Behm, J.E.; Helmus, M.R.; Ellers, J. Disentangling the Effects of Plant Species Invasion and Urban Development on Arthropod Community Composition. Glob. Chang. Biol. 2020, 26, 3294–3306. [Google Scholar] [CrossRef] [PubMed]
- de Groot, M.; Kleijn, D.; Jogan, N. Species groups occupying different trophic levels respond differently to the invasion of semi-natural vegetation by Solidago canadensis. Biol. Conserv. 2007, 136, 612–617. [Google Scholar] [CrossRef]
- Langmaier, M.; Lapin, K. A Systematic Review of the Impact of Invasive Alien Plants on Forest Regeneration in European Temperate Forests. Front. Plant Sci. 2020, 11, 524969. [Google Scholar] [CrossRef]
- Mantoni, C.; Pellegrini, M.; Dapporto, L.; Del Gallo, M.M.; Pace, L.; Silveri, D.; Fattorini, S. Comparison of Soil Biology Quality in Organically and Conventionally Managed Agro-Ecosystems Using Microarthropods. Agriculture 2021, 11, 1022. [Google Scholar] [CrossRef]
- Santorufo, L.; Memoli, V.; Santini, G.; Di Natale, G.; Trifuoggi, M.; Barile, R.; Maisto, G. Responses of Soil Microarthropods to Soil Metal Fractions under Different Mediterranean Vegetation Covers. Catena 2023, 232, 107438. [Google Scholar] [CrossRef]
- Albouchi, F.; Hassen, I.; Casabianca, H.; Hosni, K. Phytochemicals, antioxidant, antimicrobial, and phytotoxic activities of Ailanthus altissima (Mill.) Swingle leaves. S. Afr. J. Bot. 2013, 87, 164–174. [Google Scholar] [CrossRef]
- Sladonja, B.; Sušek, M.; Guillermic, J. Review on invasive tree of heaven (Ailanthus altissima (Mill.) Swingle): Conflicting values, assessment of its ecosystem services, and potential biological threat. Environ. Manag. 2015, 56, 1009–1034. [Google Scholar] [CrossRef]
- Castro-Díez, P.; Fierro- Brunnenmeister, N.; González-Muñoz, N.; Gallardo, A. Effects of exotic and native tree leaf litter on soil properties of two contrasting sites in the Iberian Peninsula. Plant Soil 2012, 350, 179–191. [Google Scholar] [CrossRef]
- Panico, S.P.; Ceccherini, M.T.; Memoli, V.; Maisto, G.; Pietramellara, G.; Barile, R.; De Marco, A. Effects of different vegetation types on burnt soil properties and microbial communities. Int. J. Wildland Fire 2020, 29, 628–636. [Google Scholar] [CrossRef]
- De Marco, A.; Esposito, F.; Berg, B.; Zarrelli, A.; Virzo De Santo, A. Litter inhibitory effects on soil microbial biomass, activity, and catabolic diversity in two paired stands of Robinia pseudoacacia L. and Pinus nigra Arn. Forests 2018, 9, 766. [Google Scholar] [CrossRef]
- Uzelac, M.; Sladonja, B.; Šola, I.; Dudaš, S.; Bilić, J.; Famuyide, I.M.; Poljuha, D. Invasive alien species as a potential source of phytopharmaceuticals: Phenolic composition and antimicrobial and cytotoxic activity of Robinia pseudoacacia L. leaf and flower extracts. Plants 2023, 12, 2715. [Google Scholar] [CrossRef] [PubMed]
- González-Muñoz, N.; Castro-Díez, P.; Parker, I.M. Differences in nitrogen use strategies between native and exotic tree species: Predicting impacts on invaded ecosystems. Plant Soil 2013, 363, 319–329. [Google Scholar] [CrossRef]
- Lazzaro, L.; Mazza, G.; d’Errico, G.; Fabiani, A.; Giuliani, C.; Inghilesi, A.F.; Foggi, B. How ecosystems change following invasion by Robinia pseudoacacia: Insights from soil chemical properties and soil microbial, nematode, microarthropod, and plant communities. Sci. Total Environ. 2018, 622, 1509–1518. [Google Scholar] [CrossRef] [PubMed]
- Nasiri, H.; Iqbal, Z.; Hiradate, S.; Fujii, Y. Allelopathic potential of Robinia pseudoacacia L. J. Chem. Ecol. 2005, 31, 2179–2192. [Google Scholar] [CrossRef]
- Gentili, R.; Ferrè, C.; Cardarelli, E.; Montagnani, C.; Bogliani, G.; Citterio, S.; Comolli, R. Comparing negative impacts of Prunus serotina, Quercus rubra, and Robinia pseudoacacia on native forest ecosystems. Forests 2019, 10, 842. [Google Scholar] [CrossRef]
- Levin, L.A.; Neira, C.; Grosholz, E.D. Invasive cordgrass modifies wetland trophic function. Ecology 2006, 87, 419–432. [Google Scholar] [CrossRef] [PubMed]








| Vegetations | pH | WC (% d.w.) | C (% d.w.) | N (% d.w.) | Corg (% d.w.) |
|---|---|---|---|---|---|
| H | 6.41 b (±0.01) | 13.5 b (±0.21) | 3.43 b (±0.53) | 0.60 a (±0.06) | 1.68 ab (±0.35) |
| HO | 6.33 b (±0.02) | 29.5 a (±0.40) | 4.00 a (±0.34) | 0.71 a (±0.10) | 2.06 a (±0.41) |
| BL | 6.50 b (±0.04) | 12.9 b (±0.20) | 3.26 b (±0.44) | 0.70 a (±0.10) | 1.50 ab (±0.31) |
| TH | 6.95 a (±0.03) | 10.6 b (±0.40) | 3.92 a (±0.42) | 0.62 a (±0.06) | 1.21 b (±0.40) |
| Vegetations | Density | Richness | Shannon Index | QBS-ar |
|---|---|---|---|---|
| H | 2111 b (±502) | 8 ab (±0.20) | 0.73 b (±0.21) | 37.42 b (±9.45) |
| HO | 3991 b (±535) | 8 ab (±0.28) | 0.99 a (±0.10) | 57.83 a (±3.74) |
| BL | 2661 b (±303) | 6 b (±0.22) | 0.79 b (±0.14) | 41.44 b (±5.60) |
| TH | 8945 a (±495) | 12 a (±0.21) | 1.41 a (±0.11) | 69.33 a (±10.22) |
Disclaimer/Publisher’s Note: The statements, opinions and data contained in all publications are solely those of the individual author(s) and contributor(s) and not of MDPI and/or the editor(s). MDPI and/or the editor(s) disclaim responsibility for any injury to people or property resulting from any ideas, methods, instructions or products referred to in the content. |
© 2025 by the authors. Licensee MDPI, Basel, Switzerland. This article is an open access article distributed under the terms and conditions of the Creative Commons Attribution (CC BY) license (https://creativecommons.org/licenses/by/4.0/).
Share and Cite
Zizolfi, M.; Maisto, G.; Santini, G.; Memoli, V.; Trifuoggi, M.; Di Natale, G.; Toscanesi, M.; Barile, R.; Santorufo, L. Invasive Plants Do Not Exert Univocal Responses on Soil Abiotic and Biotic Characteristics. Forests 2025, 16, 209. https://doi.org/10.3390/f16020209
Zizolfi M, Maisto G, Santini G, Memoli V, Trifuoggi M, Di Natale G, Toscanesi M, Barile R, Santorufo L. Invasive Plants Do Not Exert Univocal Responses on Soil Abiotic and Biotic Characteristics. Forests. 2025; 16(2):209. https://doi.org/10.3390/f16020209
Chicago/Turabian StyleZizolfi, Monica, Giulia Maisto, Giorgia Santini, Valeria Memoli, Marco Trifuoggi, Gabriella Di Natale, Maria Toscanesi, Rossella Barile, and Lucia Santorufo. 2025. "Invasive Plants Do Not Exert Univocal Responses on Soil Abiotic and Biotic Characteristics" Forests 16, no. 2: 209. https://doi.org/10.3390/f16020209
APA StyleZizolfi, M., Maisto, G., Santini, G., Memoli, V., Trifuoggi, M., Di Natale, G., Toscanesi, M., Barile, R., & Santorufo, L. (2025). Invasive Plants Do Not Exert Univocal Responses on Soil Abiotic and Biotic Characteristics. Forests, 16(2), 209. https://doi.org/10.3390/f16020209

