Tree Functional Traits’ Responses to Forest Edges and Fire in the Savanna Landscapes of Northern South America
Abstract
1. Introduction
2. Methodology
2.1. Study Area
2.2. Data Collection and Sampling
2.2.1. Forest Structural Variables
2.2.2. Functional Traits
2.3. Laboratory Processing
3. Statistical Analysis
4. Results
4.1. Species Dominance Changes
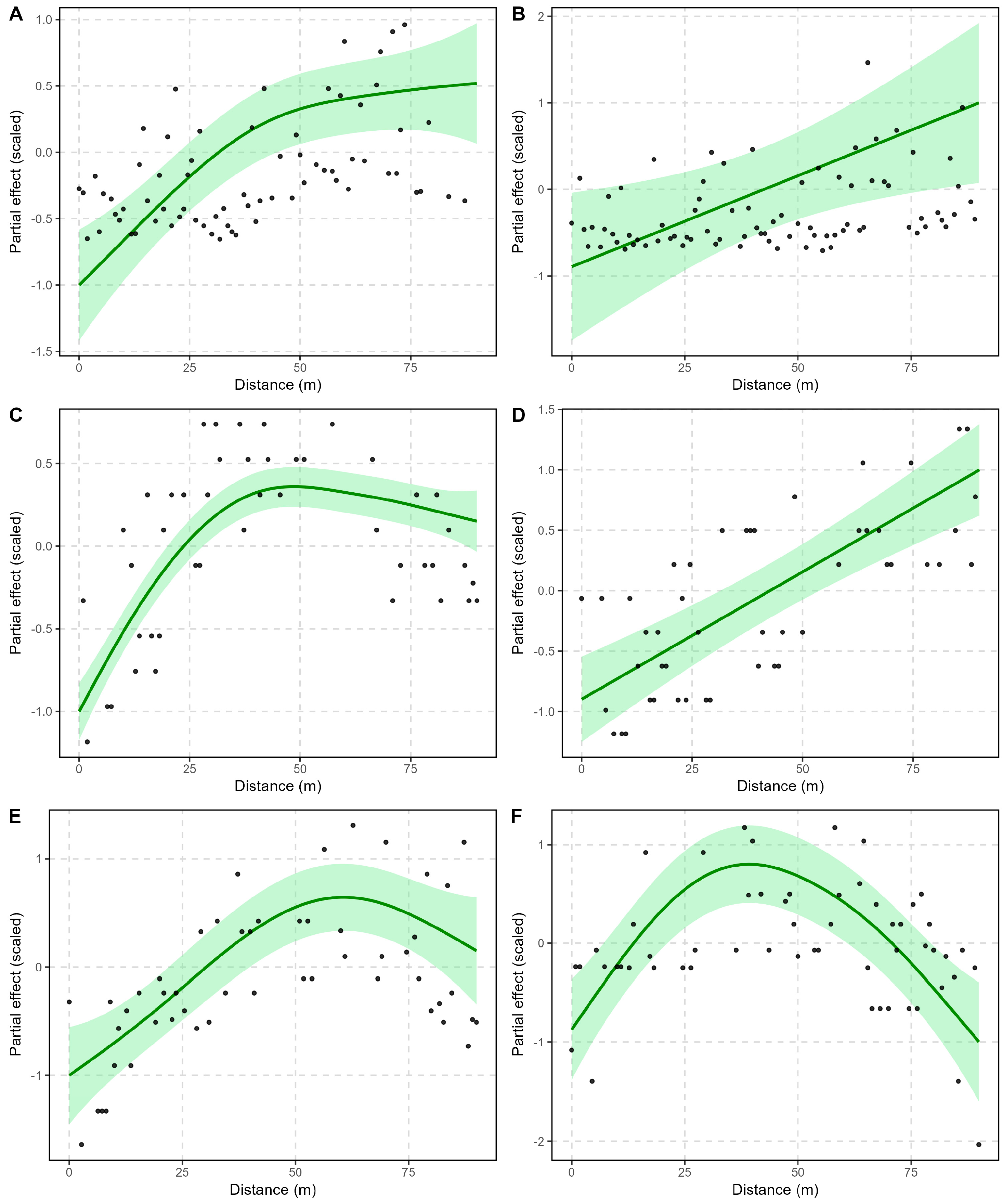
4.2. Variation in Forest Structure and Functional Traits with Edge Distance
4.3. Specific Functional Traits Affected by Edge Effects and Fire
5. Discussion
5.1. Species Dominance Changes Along the Edge
5.2. Edge Effects on Forest Structure and Functional Traits
5.3. Differential Edge Effects in Unburned and Burned Forests
5.4. Functional Traits Affected by Combined Edge and Fire Effects
5.5. Implications for Conservation and Resilience in Fire-Prone Landscapes
6. Conclusions
Supplementary Materials
Author Contributions
Funding
Data Availability Statement
Acknowledgments
Conflicts of Interest
References
- Oliveras, I.; Malhi, Y. Many Shades of Green: The Dynamic Tropical Forest–Savannah Transition Zones. Philos. Trans. R. Soc. B Biol. Sci. 2016, 371, 20150308. [Google Scholar] [CrossRef]
- Valencia, S.; Salazar, J.F.; Hoyos, N.; Armenteras, D.; Villegas, J.C. Current Forest–Savanna Transition in Northern South America Departs from Typical Climatic Thresholds. Ecosystems 2024, 27, 61–76. [Google Scholar] [CrossRef]
- Armenteras, D.; Meza, M.C.M.C.; González, T.M.T.M.; Oliveras, I.; Balch, J.K.J.K.; Retana, J. Fire Threatens the Diversity and Structure of Tropical Gallery Forests. Ecosphere 2021, 12, e03347. [Google Scholar] [CrossRef]
- Fischer, R.; Taubert, F.; Müller, M.S.; Groeneveld, J.; Lehmann, S.; Wiegand, T.; Huth, A. Accelerated Forest Fragmentation Leads to Critical Increase in Tropical Forest Edge Area. Sci. Adv. 2021, 7, eabg7012. [Google Scholar] [CrossRef] [PubMed]
- Franklin, C.M.A.; Harper, K.A.; Clarke, M.J. Trends in Studies of Edge Influence on Vegetation at Human-Created and Natural Forest Edges across Time and Space. Can. J. For. Res. 2021, 51, 274–282. [Google Scholar] [CrossRef]
- Hending, D.; Randrianarison, H.; Andriamavosoloarisoa, N.N.M.; Ranohatra-Hending, C.; Holderied, M.; McCabe, G.; Cotton, S. Forest Fragmentation and Its Associated Edge-Effects Reduce Tree Species Diversity, Size, and Structural Diversity in Madagascar’s Transitional Forests. Biodivers. Conserv. 2023, 32, 3329–3353. [Google Scholar] [CrossRef]
- Armenteras, D.; González, T.M.; Retana, J. Forest Fragmentation and Edge Influence on Fire Occurrence and Intensity Under Different Management Types in Amazon Forests. Biol. Conserv. 2013, 159, 73–79. [Google Scholar] [CrossRef]
- Zuñe-Da-silva, F.; Rodrigues, P.J.F.P.; Rojas-Idrogo, C.; Delgado-Paredes, G.E.; Enrich-Prast, A.; Sakuragui, C.M. Edge Influence over Functional Traits in an Atlantic Forest Remnant. Rev. Arvore 2022, 46, e4603. [Google Scholar] [CrossRef]
- Magnago, L.F.S.; Edwards, D.P.; Edwards, F.A.; Magrach, A.; Martins, S.V.; Laurance, W.F. Functional Attributes Change but Functional Richness Is Unchanged After Fragmentation of Brazilian Atlantic Forests. J. Ecol. 2014, 102, 475–485. [Google Scholar] [CrossRef]
- Laurance, W.F.; Camargo, J.L.C.; Fearnside, P.M.; Lovejoy, T.E.; Williamson, G.B.; Mesquita, R.C.G.; Meyer, C.F.J.; Bobrowiec, P.E.D.; Laurance, S.G.W. An Amazonian Rainforest and Its Fragments as a Laboratory of Global Change. Biol. Rev. 2018, 93, 223–247. [Google Scholar] [CrossRef] [PubMed]
- Jin, C.; Jiang, B.; Ding, Y.; Yang, S.; Xu, Y.; Jiao, J.; Huang, J.; Yuan, W.; Wu, C. Functional Traits Change but Species Diversity Is Not Influenced by Edge Effects in an Urban Forest of Eastern China. Urban For. Urban Green. 2021, 64, 127245. [Google Scholar] [CrossRef]
- Maynard, D.S.; Bialic-Murphy, L.; Zohner, C.M.; Averill, C.; van den Hoogen, J.; Ma, H.; Mo, L.; Smith, G.R.; Acosta, A.T.R.; Aubin, I.; et al. Global Relationships in Tree Functional Traits. Nat. Commun. 2022, 13, 3185. [Google Scholar] [CrossRef] [PubMed]
- da Costa, W.S.; Da Cunha, M.; Rodrigues, P.J.F.P.; de Andrade Iguatemy, M.; Valladares, F.; Barros, C.F. Intraspecific Variation in Functional Wood Anatomy of Tropical Trees Caused by Effects of Forest Edge. Ecol. Manag. 2020, 473, 118305. [Google Scholar] [CrossRef]
- Pandilha, J.; de Toledo, J.J.; Barbosa, L.C.F.; Carvalho, W.D.; de Sousa, J.C.; Cardoso da Silva, J.M. Composition, Richness and Nestedness of Gallery Forest Bird Assemblages in an Amazonian Savanna Landscape: Lessons for Conservation. PeerJ 2021, 9, e12529. [Google Scholar] [CrossRef]
- Pellegrini, A.F.A.; Franco, A.C.; Hoffmann, W.A. Shifts in Functional Traits Elevate Risk of Fire-Driven Tree Dieback in Tropical Savanna and Forest Biomes. Glob. Change Biol. 2016, 22, 1235–1243. [Google Scholar] [CrossRef]
- Meza, M.C.; Armenteras, D. Edge Influence on the Microclimate and Vegetation of Fragments of a North Amazonian Forest. Ecol. Manag. 2021, 498, 119546. [Google Scholar] [CrossRef]
- Pellegrini, A.F.A.; Refsland, T.; Averill, C.; Terrer, C.; Staver, A.C.; Brockway, D.G.; Caprio, A.; Clatterbuck, W.; Coetsee, C.; Haywood, J.D.; et al. Decadal Changes in Fire Frequencies Shift Tree Communities and Functional Traits. Nat. Ecol. Evol. 2021, 5, 504–512. [Google Scholar] [CrossRef] [PubMed]
- Fortier, R.P.; Kullberg, A.T.; Soria Ahuanari, R.D.; Coombs, L.; Ruzo, A.; Feeley, K.J. Hotter Temperatures Reduce the Diversity and Alter the Composition of Woody Plants in an Amazonian Forest. Glob. Change Biol. 2024, 30, e17555. [Google Scholar] [CrossRef] [PubMed]
- Armenteras, D.; Romero, M.; Galindo, G. Vegetation Fire in the Savannas of the Llanos Orientales of Colombia. World Resour. Rev. 2005, 17, 628–647. [Google Scholar]
- Garcia-Suabita, W.; Pacheco, M.J.; Armenteras, D. Multitemporal Dynamics of Fuels in Forest Systems Present in the Colombian Orinoco River Basin Forests. Fire 2024, 7, 171. [Google Scholar] [CrossRef]
- Zanne, A.; Lopez Gonzalez, G.; Coomes, D.; Ilic, J.; Jansen, S.; Lewis, S.; Miller, R.; Swenson, N.; Wiemann, M.; Chave, J. Data From: Towards a Worldwide Wood Economics Spectrum. Dryad 2020. [Google Scholar] [CrossRef]
- Chave, J.; Réjou-Méchain, M.; Búrquez, A.; Chidumayo, E.; Colgan, M.S.; Delitti, W.B.C.; Duque, A.; Eid, T.; Fearnside, P.M.; Goodman, R.C.; et al. Improved Allometric Models to Estimate the Aboveground Biomass of Tropical Trees. Glob. Change Biol. 2014, 20, 3177–3190. [Google Scholar] [CrossRef] [PubMed]
- Garnier, E.; Shipley, B.; Roumet, C.; Laurent, G. A Standardized Protocol for the Determination of Specific Leaf Area and Leaf Dry Matter Content. Funct. Ecol. 2001, 15, 688–695. [Google Scholar] [CrossRef]
- Schneider, C.A.; Rasband, W.S.; Eliceiri, K.W. NIH Image to ImageJ: 25 Years of Image Analysis. Nat. Methods 2012, 9, 671–675. [Google Scholar] [CrossRef] [PubMed]
- Cornelissen, J.H.C.; Lavorel, S.; Garnier, E.; Díaz, S.; Buchmann, N.; Gurvich, D.E.; Reich, P.B.; ter Steege, H.; Morgan, H.D.; van der Heijden, M.G.A.; et al. A Handbook of Protocols for Standardised and Easy Measurement of Plant Functional Traits Worldwide. Aust. J. Bot. 2003, 51, 335. [Google Scholar] [CrossRef]
- Negret, B.; Pulido Rodriguez, E.; Cabrera, M.; Osorio, C.; Paz, H.; López Ordóñez, J.; Stiles, F.; Vergara, J.; Cortés-Gómez, A.; Ramirez Pinilla, M.P.; et al. La Ecología Funcional Como Aproximación al Estudio, Manejo y Conservación de la Biodiversidad: Protocolos y Aplicaciones; Instituto Humboldt: Bogota, Colombia, 2016; ISBN 978-958-8889-68-9. [Google Scholar]
- Anderson, M.J. Permutational Multivariate Analysis of Variance (PERMANOVA). In Wiley StatsRef: Statistics Reference Online; Wiley: Hoboken, NJ, USA, 2017; pp. 1–15. [Google Scholar]
- Pinzón, J.; Spence, J.R. Bark-Dwelling Spider Assemblages (Araneae) in the Boreal Forest: Dominance, Diversity, Composition and Life-Histories. J. Insect Conserv. 2010, 14, 439–458. [Google Scholar] [CrossRef]
- Lin, X.; Zhang, D. Inference in Generalized Additive Mixed Models by Using Smoothing Splines. J. R. Stat. Soc. Ser. B Stat. Methodol. 1999, 61, 381–400. [Google Scholar] [CrossRef]
- Oksanen, J.; Kindt, R.; Legendre, P.; Hara, B.; Henry, M.; Stevens, H. Vegan: Community Ecology Package, R package version 2.6-6.1; R Foundation for Statistical Computing: Vienna, Austria, 2024. [Google Scholar]
- Laliberté, E.; Legendre, P.; Maintainer, B.S. Type Package Title Measuring Functional Diversity (FD) from Multiple Traits, and Other Tools for Functional Ecology; R Foundation for Statistical Computing: Vienna, Austria, 2023. [Google Scholar]
- Wood, S.N. Generalized Additive Models: An Introduction with R, 2nd ed.; CRC Press: Boca Raton, FL, USA, 2017; ISBN 9781498728348. [Google Scholar]
- Geiger, E.L.; Gotsch, S.G.; Damasco, G.; Haridasan, M.; Franco, A.C.; Hoffmann, W.A. Distinct Roles of Savanna and Forest Tree Species in Regeneration Under Fire Suppression in a Brazilian Savanna. J. Veg. Sci. 2011, 22, 312–321. [Google Scholar] [CrossRef]
- Sutomo, S.; van Etten, E.; Iryadi, R. Short communication: Savanna-forest boundary on Mount Rinjani, Lombok Island, West Nusa Tenggara, Indonesia. Biodiversitas 2021, 22, 726–731. [Google Scholar] [CrossRef]
- Guilherme, F.A.; Nakajima, J.N.; VAnini, A.; Ressel, K. Tree Community Structure in a Neotropical Swamp Forest in Southeastern Brazil. Biosci. J. 2013, 29, 1007. [Google Scholar]
- Maeda, E.E.; Nunes, M.H.; Calders, K.; de Moura, Y.M.; Raumonen, P.; Tuomisto, H.; Verley, P.; Vincent, G.; Zuquim, G.; Camargo, J.L. Shifts in Structural Diversity of Amazonian Forest Edges Detected Using Terrestrial Laser Scanning. Remote Sens. Environ. 2022, 271, 112895. [Google Scholar] [CrossRef]
- Trotta, G.; Cadez, L.; Boscutti, F.; Vuerich, M.; Asquini, E.; Boscarol, G.; Cingano, P.; Azzani, G.; Pischedda, S.; Tomao, A.; et al. Interpreting the Shifts in Forest Structure, Plant Community Composition, Diversity, and Functional Identity by Using Remote Sensing-Derived Wildfire Severity. Fire Ecol. 2024, 20, 94. [Google Scholar] [CrossRef]
- Mitchell, R.M.; Martin, A.R. Fire, Flammability and Functional Traits at the Forefront of Global Change Ecology. Funct. Ecol. 2023, 37, 2767–2769. [Google Scholar] [CrossRef]
- Loudermilk, E.L.; O’Brien, J.J.; Goodrick, S.L.; Linn, R.R.; Skowronski, N.S.; Hiers, J.K. Vegetation’s Influence on Fire Behavior Goes Beyond Just Being Fuel. Fire Ecol. 2022, 18, 9. [Google Scholar] [CrossRef]
- Miedema Brown, L.; Anand, M. Plant Functional Traits as Measures of Ecosystem Service Provision. Ecosphere 2022, 13, e3930. [Google Scholar] [CrossRef]
- Mina, M.; Messier, C.; Duveneck, M.J.; Fortin, M.J.; Aquilué, N. Managing for the Unexpected: Building Resilient Forest Landscapes to Cope with Global Change. Glob. Change Biol. 2022, 28, 4323–4341. [Google Scholar] [CrossRef] [PubMed]






| Variable | Intercept | Distance, p Values |
|---|---|---|
| Basal area | −3.64 | F = 6.52 p = 0.01 |
| Tree height | 2.45 | F = 17.27 p = 2 × 10−16 |
| Wood density | −0.48 | F = 5.19 p = 0.001 |
| Leaf moisture | 4.23 | F = 11.8, p = 7.39 × 10−6 |
| Leaf dry matter content | 5.75 | F = 10.64, p = 2.04 × 10−5 |
| Leaf thickness | −1.42 | F = 3.74, p = 0.0151 |
| Specific leaf area | 4.88 | F = 7.02, p = 0.0004 |
| Stem bark thickness | 0.81 | F = 22.142, p = 3.99 × 10−6 |
| Stem density | 0.10 | F = 13.58, p = 1.04 × 10−6 |
| Bark thickness | 1.81 | F = 11.88, p = 0.0006 |
| Type | Trait | Intercept | Distance, p Values |
|---|---|---|---|
| Unburned | Basal area | −3.63 | F = 5.42, p = 0.02 |
| Tree height | 2.55 | F = 15.21, p = 2 × 10−16 | |
| Wood density | −0.06 | F = 3.80, p = 0.0136 | |
| Leaf moisture | 4.25 | F = 3.48, p = 0.02 | |
| Leaf dry matter content | 5.69 | F = 3.59, p = 0.02 | |
| Leaf thickness | −1.58 | F = 3.78, p = 0.06, n.s. | |
| Specific leaf area | 12.70 | F = 5.89, p = 0.001 | |
| Stem bark thickness | 0.67 | F = 5.34, p = 0.03 | |
| Bark thickness | 0.93 | F = 55.34, p = 2 × 10−16 | |
| Burned | Basal area | −3.65 | F = 2.1, p = 0.151, n.s. |
| Tree height | 2.32 | F = 10.87, p = 0.001 | |
| Wood density | −0.48 | F = 4.22, p = 0.01 | |
| Leaf moisture | 4.22 | F = 25.59, p = 1.08 × 10−6 | |
| Leaf dry matter content | 5.78 | F = 20.4, p = 1.11 × 10−5 | |
| Leaf thickness | −1.35 | F = 537.37, p = 0.001 | |
| Specific leaf area | 4.79 | F = 10.77, p = 0.001 | |
| Stem bark thickness | 0.88 | F = 14.41, p = 0.0001 | |
| Stem density | −0.52 | F = 267.74, p = 0.0001 | |
| Bark thickness | 1.92 | F = 7.79, p = 0.00107 |
Disclaimer/Publisher’s Note: The statements, opinions and data contained in all publications are solely those of the individual author(s) and contributor(s) and not of MDPI and/or the editor(s). MDPI and/or the editor(s) disclaim responsibility for any injury to people or property resulting from any ideas, methods, instructions or products referred to in the content. |
© 2025 by the authors. Licensee MDPI, Basel, Switzerland. This article is an open access article distributed under the terms and conditions of the Creative Commons Attribution (CC BY) license (https://creativecommons.org/licenses/by/4.0/).
Share and Cite
Armenteras-Pascual, D.; Garcia-Suabita, W.; Garcia-Samaca, A.S.; Reyes-Palacios, A. Tree Functional Traits’ Responses to Forest Edges and Fire in the Savanna Landscapes of Northern South America. Forests 2025, 16, 208. https://doi.org/10.3390/f16020208
Armenteras-Pascual D, Garcia-Suabita W, Garcia-Samaca AS, Reyes-Palacios A. Tree Functional Traits’ Responses to Forest Edges and Fire in the Savanna Landscapes of Northern South America. Forests. 2025; 16(2):208. https://doi.org/10.3390/f16020208
Chicago/Turabian StyleArmenteras-Pascual, Dolors, Walter Garcia-Suabita, Arnold Sebastian Garcia-Samaca, and Alejandra Reyes-Palacios. 2025. "Tree Functional Traits’ Responses to Forest Edges and Fire in the Savanna Landscapes of Northern South America" Forests 16, no. 2: 208. https://doi.org/10.3390/f16020208
APA StyleArmenteras-Pascual, D., Garcia-Suabita, W., Garcia-Samaca, A. S., & Reyes-Palacios, A. (2025). Tree Functional Traits’ Responses to Forest Edges and Fire in the Savanna Landscapes of Northern South America. Forests, 16(2), 208. https://doi.org/10.3390/f16020208

