The Climate–Fire–Carbon Nexus in Tropical Asian Forests: Fire Behavior as a Mediator and Forest Type-Specific Responses
Abstract
1. Introduction
2. Materials and Methods
2.1. Study Area
2.2. Data Sources
2.2.1. Vegetation Type Data
2.2.2. Meteorological Data
2.2.3. Fire Behavior Data
2.2.4. Fire Emission Dataset
2.3. Statistical Analysis
2.3.1. Correlation Analysis
2.3.2. One-Way ANOVA
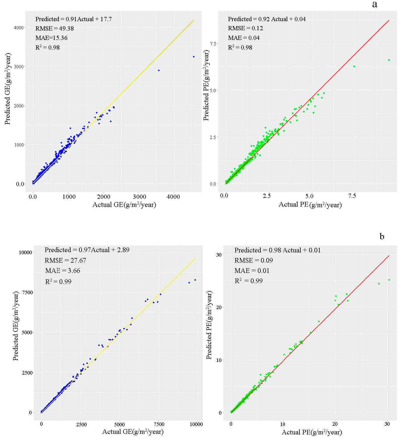
2.3.3. Random Forest
2.3.4. Local Sensitivity Analysis
2.3.5. Structural Equation Model
3. Results
3.1. Correlation Between Fire Behavior and Meteorological Factors
3.2. Impact of Fire Behavior on Carbon Emissions Across Different Vegetation Types
3.3. Variable Selection Using RF
3.4. Sensitivity Analysis
3.5. Relationships Between Fire Behavior and Emissions
3.5.1. SEM Fitting Results
3.5.2. Multidimensional Effects of FRP and BRI on Emissions
3.5.3. Exploring the Mediating Effects of GE and PE in Fire Behavior
4. Discussion
4.1. Vegetation-Type Regulation of the Relationships Between Fire Behavior and Carbon Emissions
4.2. The Modulatory Role of Meteorological Factors in the Relationship Between Fire Behavior and Carbon Emissions
4.3. Interactive Effects of Meteorological Factors and Vegetation Types on Fire Behavior and Carbon Emissions
4.4. Theoretical Implications
4.5. Management Implications
4.6. Limitations and Future Perspectives
5. Conclusions
Supplementary Materials
Author Contributions
Funding
Data Availability Statement
Acknowledgments
Conflicts of Interest
References
- Bowman, D.M.; Balch, J.K.; Artaxo, P.; Bond, W.J.; Carlson, J.M.; Cochrane, M.A.; d’Antonio, C.M.; DeFries, R.S.; Doyle, J.C.; Harrison, S.P.; et al. Fire in the Earth system. Science 2009, 324, 481–484. [Google Scholar] [CrossRef]
- Van der Werf, G.R.; Randerson, J.T.; Giglio, L.; Collatz, G.J.; Mu, M.; Kasibhatla, P.S.; Morton, D.C.; DeFries, R.S.; Jin, Y.V.; van Leeuwen, T.T. Global fire emissions and the contribution of deforestation, savanna, forest, agricultural, and peat fires (1997–2009). Atmos. Chem. Phys. 2010, 10, 11707–11735. [Google Scholar] [CrossRef]
- Demetillo, M.A.G.; Anderson, J.F.; Geddes, J.A.; Yang, X.; Najacht, E.Y.; Herrera, S.A.; Kabasares, K.M.; Kotsakis, A.E.; Lerdau, M.T.; Pusede, S.E. Observing severe drought influences on ozone air pollution in California. Environ. Sci. Technol. 2019, 53, 4695–4706. [Google Scholar] [CrossRef] [PubMed]
- Gerberding, K.; Schirpke, U. Mapping the probability of forest fire hazard across the European Alps under climate change scenarios. J. Environ. Manag. 2025, 377, 124600. [Google Scholar] [CrossRef]
- Van Der Werf, G.R.; Randerson, J.T.; Giglio, L.; Van Leeuwen, T.T.; Chen, Y.; Rogers, B.M.; Mu, M.; Van Marle, M.J.; Morton, D.C.; Collatz, G.J.; et al. Global fire emissions estimates during 1997–2016. Earth Syst. Sci. Data 2017, 9, 697–720. [Google Scholar] [CrossRef]
- van Wees, D.; van der Werf, G.R.; Randerson, J.T.; Rogers, B.M.; Chen, Y.; Veraverbeke, S.; Giglio, L.; Morton, D.C. Global biomass burning fuel consumption and emissions at 500-m spatial resolution based on the Global Fire Emissions Database (GFED). Geosci. Model Dev. Discuss. 2022, 15, 8411–8437. [Google Scholar] [CrossRef]
- Giglio, L.; Randerson, J.T.; van der Werf, G.R. Analysis of daily, monthly, and annual burned area using the fourth-generation global fire emissions database (GFED4). J. Geophys. Res. Biogeosciences 2018, 123, 1175–1197. [Google Scholar] [CrossRef]
- Filizzola, C.; Falconieri, A.; Lacava, T.; Marchese, F.; Masiello, G.; Mazzeo, G.; Pergola, N.; Pietrapertosa, C.; Serio, C.; Tramutoli, V. Fire Characterization by Using an Original RST-Based Approach for Fire Radiative Power (FRP) Computation. Fire 2023, 6, 48. [Google Scholar] [CrossRef]
- Liu, Y.; Shi, Y. Estimates of Global Forest Fire Carbon Emissions Using FY-3 Active Fires Product. Atmosphere 2023, 14, 1575. [Google Scholar] [CrossRef]
- Mendes-Lopes, J.M.; Ventura, J.M.; Amaral, J.M. Flame characteristics, temperature–time curves, and rate of spread in fires propagating in a bed of Pinus pinaster needles. Int. J. Wildland Fire 2003, 12, 67–84. [Google Scholar] [CrossRef]
- de Groot, W.J.; Hanes, C.C.; Wang, Y. Crown fuel consumption in Canadian boreal forest fires. Int. J. Wildland Fire 2022, 31, 255–276. [Google Scholar] [CrossRef]
- Zylstra, P.; Wardell-Johnson, G.; Falster, D.; Howe, M.; McQuoid, N.; Neville, S. Mechanisms by which growth and succession limit the impact of fire in a south-western Australian forested ecosystem. Funct. Ecol. 2023, 37, 1350–1365. [Google Scholar] [CrossRef]
- Meng, Q.; Lu, H.; Huai, Y.; Xu, H.; Yang, S. Forest Fire Spread Simulation and Fire Extinguishing Visualization Research. Forests 2023, 14, 1371. [Google Scholar] [CrossRef]
- Jin, P.X.; Cheng, P.; Liu, X.D.; Huang, Y. From smoke to fire: A forest fire early warning and risk assessment model fusing multimodal data. Eng. Appl. Artif. Intell. 2025, 152, 110848. [Google Scholar] [CrossRef]
- Hantson, S.; Hamilton, D.S.; Burton, C. Changing fire regimes: Ecosystem impacts in a shifting climate. One Earth 2024, 7, 942–945. [Google Scholar] [CrossRef]
- Neumann, M.; Vilà-Vilardell, L.; Müller, M.M.; Vacik, H. Fuel loads and fuel structure in Austrian coniferous forests. Int. J. Wildland Fire 2022, 31, 693–707. [Google Scholar] [CrossRef]
- Little, K.; Kettridge, N.; Belcher, C.M.; Graham, L.J.; Stoof, C.R.; Ivison, K.; Cardil, A. Cross-landscape fuel moisture differences impact simulated fire behaviour. Int. J. Wildland Fire 2024, 33, WF24019. [Google Scholar] [CrossRef]
- Phelps, N.; Beverly, J.L. Classification of forest fuels in selected fire-prone ecosystems of Alberta, Canada—Implications for crown fire behaviour prediction and fuel management. Ann. For. Sci. 2022, 79, 40. [Google Scholar] [CrossRef]
- Hou, X.; Wu, Z.W.; Zhu, S.H.; Li, Z.J.; Li, S. Comparative Analysis of Machine Learning-Based Predictive Models for Fine Dead Fuel Moisture of Subtropical Forest in China. Forests 2024, 15, 736. [Google Scholar] [CrossRef]
- Tedim, F.; Leone, V.; Amraoui, M.; Bouillo, C.; Coughlan, M.R.; Delogu, G.M.; Fernandes, P.M.; Ferreira, C.; McCaffrey, S.; McGee, T.K.; et al. Defining Extreme Wildfire Events: Difficulties, Challenges, and Impacts. Fire 2018, 1, 9. [Google Scholar] [CrossRef]
- Cawson, J.G.; Duff, T.J.; Tolhurst, K.G.; Baillie, C.C.; Penman, T.D.; Mattews, S. Dead fuel moisture research: 1991–2012. Int. J. Wildland Fire 2014, 23, 78–92. [Google Scholar] [CrossRef]
- Cawson, J.G.; Duff, T.J.; Tolhurst, K.G.; Baillie, C.C.; Penman, T.D. Fuel moisture in Mountain Ash forests with contrasting fire histories. For. Ecol. Manag. 2017, 400, 568–577. [Google Scholar] [CrossRef]
- Singh, H.; Ang, L.M.; Paudyal, D.; Acuna, M.; Srivastava, P.K.; Srivastava, S.K. A comprehensive review of empirical and dynamic wildfire simulators and machine learing techniques used for the prediction of wildfire in Australia. Technol. Knowl. Learn. 2025, 30, 935–968. [Google Scholar] [CrossRef]
- Pickering, B.J.; Kultaev, D.; Holyland, B.; Ababei, D.; Penman, T.D. The changing risk of fire to human and environmental assets under climate induced altered fire regimes in south-east Australia. Int. J. Disaster Risk Reduct. 2025, 127, 105668. [Google Scholar] [CrossRef]
- Martin, R.S.; Ottlé, C.; Sörensson, A. Fires in the South American Chaco, from dry forests to wetlands: Response to climate depends on land cover. Fire Ecol. 2023, 19, 57. [Google Scholar] [CrossRef]
- Mustaphi, C.J.; Rucina, S.M.; Marchant, R. Late Pleistocene montane forest fire return interval estimates from Mount Kenya. J. Quat. Sci. 2023, 38, 146–159. [Google Scholar] [CrossRef]
- Peel, M.C.; Finlayson, B.L.; McMahon, T.A. Updated world map of the Köppen-Geiger climate classification. Hydrol. Earth Syst. Sci. 2007, 11, 1633–1644. [Google Scholar] [CrossRef]
- Page, S.E.; Siegert, F.; Rieley, J.O.; Boehm, H.D.V.; Jaya, A.; Limin, S. The amount of carbon released from peat and forest fires in Indonesia during 1997. Nature 2002, 420, 61–65. [Google Scholar] [CrossRef]
- Huijnen, V.; Wooster, M.J.; Kaiser, J.W.; Gaveau, D.L.; Flemming, J.; Parrington, M.; Inness, A.; Murdiyarso, D.; Main, B.; van Weele, M. Fire carbon emissions over maritime southeast Asia in 2015 largest since 1997. Sci. Rep. 2016, 6, 26886. [Google Scholar] [CrossRef]
- Crippa, P.; Castruccio, S.; Archer-Nicholls, S.; Lebron, G.B.; Kuwata, M.; Thota, A.; Sumin, S.; Butt, E.; Wiedinmyer, C.; Spracklen, D.V. Population exposure to hazardous air quality due to the 2015 fires in Equatorial Asia. Sci. Rep. 2016, 6, 37074. [Google Scholar] [CrossRef]
- Berg, A.; McColl, K.A. No projected global drylands expansion under greenhouse warming. Nat. Clim. Chang. 2021, 11, 331–337. [Google Scholar] [CrossRef]
- Wells, N.; Goddard, S.; Hayes, M.J. A self-calibrating Palmer drought severity index. J. Clim. 2004, 17, 2335–2351. [Google Scholar] [CrossRef]
- Dai, A. Drought under global warming: A review. Wiley Interdiscip. Rev. Clim. Chang. 2011, 2, 45–65. [Google Scholar] [CrossRef]
- Paudel, J. Short-run environmental effects of COVID-19: Evidence from forest fires. World Dev. 2021, 137, 105120. [Google Scholar] [CrossRef] [PubMed]
- Andela, N.; Van Der Werf, G.R.; Kaiser, J.W.; Van Leeuwen, T.T.; Wooster, M.J.; Lehmann, C.E. Biomass burning fuel consumption dynamics in the tropics and subtropics assessed from satellite. Biogeosciences 2016, 13, 3717–3734. [Google Scholar] [CrossRef]
- Wimberly, M.C.; Wanyama, D.; Doughty, R.; Peiro, H.; Crowell, S. Increasing fire activity in African tropical forests is associated with deforestation and climate change. Geophys. Res. Lett. 2024, 51, e2023GL106240. [Google Scholar] [CrossRef]
- Su, Z.; Xu, Z.; Lin, L.; Chen, Y.; Hu, H.; Wei, S.; Luo, S. Exploration of the Contribution of Fire Carbon Emissions to PM2.5 and Their Influencing Factors in Laotian Tropical Rainforests. Remote Sens. 2022, 14, 4052. [Google Scholar] [CrossRef]
- Wiggins, E.B.; Anderson, B.E.; Brown, M.D.; Campuzano-Jost, P.; Chen, G.; Crawford, J.; Crosbie, E.C.; Dibb, J.; DiGangi, J.P.; Diskin, G.S.; et al. Reconciling assumptions in bottom-up and top-down approaches for estimating aerosol emission rates from wildland fires using observations from FIREX-AQ. J. Geophys. Res. Atmos. 2021, 126, e2021JD035692. [Google Scholar] [CrossRef]
- Vega Escobar, A.; Girard, F.; Valeria, O. Quantifying Missed Opportunities for Cumulative Forest Road Carbon Storage over the Past 50 Years in the Boreal Forest of Eastern Canada. Forests 2025, 16, 688. [Google Scholar] [CrossRef]
- Hamby, D.M. A review of techniques for parameter sensitivity analysis of environmental models. Environ. Monit. Assess. 1994, 32, 135–154. [Google Scholar] [CrossRef]
- Pianosi, F.; Beven, K.; Freer, J.; Hall, J.W.; Rougier, J.; Stephenson, D.B.; Wagener, T. Sensitivity analysis of environmental models: A systematic review with practical workflow. Environ. Model. Softw. 2016, 79, 214–232. [Google Scholar] [CrossRef]
- Fan, Y.; Chen, J.; Shirkey, G.; John, R.; Wu, S.R.; Park, H.; Shao, C. Applications of structural equation modeling (SEM) in ecological studies: An updated review. Ecol. Process. 2016, 5, 19. [Google Scholar] [CrossRef]
- Zhang, S.; Liu, C.; Chen, Y.; Liang, J.; Ma, Y. Research on the Impact of Climate Change Perceptions on the Carbon Offset Behavior of Visitors to Wuyi Mountain Forestry Heritage Site. Forests 2025, 16, 693. [Google Scholar] [CrossRef]
- Wang, W.; Wang, X.; Flannigan, M.D.; Guindon, L.; Swystun, T.; Castellanos-Acuna, D.; Wu, W.; Wang, G. Canadian forests are more conducive to high-severity fires in recent decades. Science 2025, 387, 91–97. [Google Scholar] [CrossRef]
- Van Wagner, C.E. Conditions for the start and spread of crown fire. Can. J. For. Res. 1977, 7, 23–34. [Google Scholar] [CrossRef]
- Kreye, J.K.; Kobziar, L.N. The effect of mastication on surface fire behaviour, fuels consumption and tree mortality in pine flatwoods of Florida, USA. Int. J. Wildland Fire 2015, 24, 573–579. [Google Scholar] [CrossRef]
- Fischer, R. The long-term consequences of forest fires on the carbon fluxes of a tropical forest in Africa. Appl. Sci. 2021, 11, 4696. [Google Scholar] [CrossRef]
- Wiggins, E.B.; Veraverbeke, S.; Henderson, J.M.; Karion, A.; Miller, J.B.; Lindaas, J.; Commane, R.; Sweeney, C.; Luus, K.A.; Tosca, M.G.; et al. The influence of daily meteorology on boreal fire emissions and regional trace gas variability. J. Geophys. Res. Biogeosciences 2016, 121, 2793–2810. [Google Scholar] [CrossRef][Green Version]
- Zumbrunnen, T.; Pezzatti, G.B.; Menéndez, P.; Bugmann, H.; Bürgi, M.; Conedera, M. Weather and human impacts on forest fires: 100 years of fire history in two climatic regions of Switzerland. For. Ecol. Manag. 2011, 261, 2188–2199. [Google Scholar] [CrossRef]
- Bowman, D.M.; Williamson, G.J.; Price, O.F.; Ndalila, M.N.; Bradstock, R.A. Australian forests, megafires and the risk of dwindling carbon stocks. Plant Cell Environ. 2021, 44, 347–355. [Google Scholar] [CrossRef]
- Liu, Y.Q.; Goodrick, S.L.; Stanturf, J.A. Future US wildfire potential trends projected using a dynamically downscaled climate change scenario. For. Ecol. Manag. 2013, 294, 120–135. [Google Scholar] [CrossRef]
- Liu, Y.; Goodrick, S.; Heilman, W. Wildland fire emissions, carbon, and climate: Wildfire–climate interactions. For. Ecol. Manag. 2014, 317, 80–96. [Google Scholar] [CrossRef]
- Prichard, S.J.; Salter, R.B.; Hessburg, P.F.; Povak, N.A.; Gray, R.W. The REBURN model: Simulating system-level forest succession and wildfire dynamics. Fire Ecol. 2023, 19, 38. [Google Scholar] [CrossRef]
- Walker, X.J.; Baltzer, J.L.; Cumming, S.G.; Day, N.J.; Ebert, C.; Goetz, S.; Johnstone, J.F.; Potter, S.; Rogers, B.M.; Schuur, E.A.; et al. Increasing wildfires threaten historic carbon sink of boreal forest soils. Nature 2019, 572, 520–523. [Google Scholar] [CrossRef]











| Variable | Min | Q1 | Median | Mean | Q3 | Max |
|---|---|---|---|---|---|---|
| CO2 (g/m2/year) | 0.034 | 4.441 | 24.758 | 142.849 | 126.727 | 11,172.000 |
| CO (g/m2/year) | 0.001 | 0.200 | 1.148 | 7.245 | 5.891 | 1155.970 |
| CH4 (g/m2/year) | 0.000 | 0.008 | 0.048 | 0.374 | 0.247 | 106.587 |
| NMHC (g/m2/year) | 0.000 | 0.009 | 0.050 | 0.247 | 0.248 | 12.416 |
| OC (g/m2/year) | 0.000 | 0.008 | 0.049 | 0.324 | 0.278 | 36.332 |
| BC (g/m2/year) | 0.000 | 0.001 | 0.006 | 0.036 | 0.033 | 2.330 |
| TMP (°C) | 15.433 | 24.158 | 25.967 | 25.394 | 27.133 | 29.050 |
| DTR (°C) | 6.025 | 9.125 | 10.375 | 10.335 | 11.342 | 18.967 |
| CLD (%) | 33.942 | 56.508 | 64.433 | 63.248 | 70.258 | 82.233 |
| VAP (hPa) | 13.800 | 22.183 | 25.075 | 24.769 | 27.983 | 32.150 |
| PDSI (dimensionless) | −3.900 | −2.296 | −1.606 | −1.567 | −0.939 | 4.000 |
| SSR (W/m2) | 11,586,900 | 16,373,950 | 17,102,500 | 17,040,722.861 | 17,793,900 | 22,417,300 |
| FRP (MW) | 5.490 | 13.364 | 17.959 | 25.800 | 26.844 | 1030.430 |
| BRI (K) | 303.574 | 315.908 | 319.393 | 320.419 | 323.725 | 389.772 |
| RHair (%) | 51.695 | 77.224 | 81.690 | 80.875 | 85.778 | 92.390 |
| WS (m/s) | 0.001 | 0.164 | 0.296 | 0.367 | 0.495 | 2.932 |
| GE (g/m2/year) | 0.036 | 4.667 | 25.982 | 150.715 | 133.361 | 12,446.973 |
| PE (g/m2/year) | 0.000 | 0.009 | 0.056 | 0.360 | 0.313 | 37.452 |
| Fire Behavior | Fire Emissions | Total Effect | Direct Effect | Total Indirect Effect | Mediating Factor | Indirect Effect of Mediating Factor | Mediating Effect Ratio | Direct Effect Ratio |
|---|---|---|---|---|---|---|---|---|
| FRP | GE | −0.853 | −0.851 | −0.002 | DTR | −0.076 | 0.089 | 0.998 |
| TMP | 1.441 | −1.689 | 0.998 | |||||
| VAP | −1.197 | 1.403 | 0.998 | |||||
| SSR | −0.042 | 0.049 | 0.998 | |||||
| PDSI | −0.128 | 0.150 | 0.998 | |||||
| BRI | GE | 1.566 | 0.829 | 0.737 | TMP | −0.661 | −0.422 | 0.529 |
| CLD | 0.391 | 0.250 | 0.529 | |||||
| VAP | 0.936 | 0.598 | 0.529 | |||||
| SSR | 0.071 | 0.045 | 0.529 | |||||
| FRP | PE | −0.832 | −0.842 | 0.010 | DTR | −0.067 | 0.081 | 1.012 |
| TMP | 1.432 | −1.721 | 1.012 | |||||
| SSR | −1.185 | 1.424 | 1.012 | |||||
| PDSI | −0.129 | 0.155 | 1.012 | |||||
| BRI | PE | 1.546 | 0.816 | 0.731 | TMP | −0.061 | −0.039 | 0.528 |
| CLD | 0.391 | 0.253 | 0.528 | |||||
| VAP | 0.936 | 0.605 | 0.528 | |||||
| SSR | 0.071 | 0.046 | 0.528 |
| Fire Behavior | Fire Emissions | Total Effect | Direct Effect | Total Indirect Effect | Mediating Factor | Indirect Effect of Mediating Factor | Mediating Effect Ratio | Direct Effect Ratio |
|---|---|---|---|---|---|---|---|---|
| FRP | GE | −0.163 | 0.002 | −0.165 | CLD | −0.060 | −0.368 | −0.012 |
| RHair | −0.101 | −0.620 | −0.012 | |||||
| SSR | −0.004 | −0.025 | −0.012 | |||||
| BRI | GE | 0.463 | 0.199 | 0.264 | RHair | 0.261 | 0.564 | 0.430 |
| SSR | 0.003 | 0.006 | 0.430 | |||||
| FRP | PE | −0.029 | 0.017 | −0.046 | DTR | −0.002 | 0.069 | −0.586 |
| RHair | −0.041 | 1.414 | −0.586 | |||||
| SSR | −0.003 | 0.103 | −0.586 | |||||
| BRI | PE | 0.211 | 0.099 | 0.112 | DTR | 0.005 | 0.024 | 0.469 |
| RHair | 0.105 | 0.498 | 0.469 | |||||
| SSR | 0.002 | 0.009 | 0.469 |
| Fire Behavior | Fire Emissions | Total Effect | Direct Effect | Total Indirect Effect | Mediating Factor | Indirect Effect of Mediating Factor | Mediating Effect Ratio | Direct Effect Ratio |
|---|---|---|---|---|---|---|---|---|
| FRP | GE | −1.754 | −0.211 | −1.543 | RHair | 0.200 | −0.114 | 0.120 |
| SSR | −0.210 | 0.120 | 0.120 | |||||
| DTR | −0.507 | 0.289 | 0.120 | |||||
| TMP | −1.027 | 0.586 | 0.120 | |||||
| BRI | GE | 4.154 | 0.394 | 3.760 | RHair | −0.166 | −0.040 | 0.095 |
| SSR | 0.142 | 0.034 | 0.095 | |||||
| DTR | 0.542 | 0.130 | 0.095 | |||||
| VAP | 2.632 | 0.634 | 0.095 | |||||
| TMP | 0.610 | 0.147 | 0.095 | |||||
| FRP | PE | −1.772 | −0.233 | −1.539 | RHair | 0.207 | −0.117 | 0.131 |
| SSR | −0.211 | 0.119 | 0.131 | |||||
| DTR | −0.513 | 0.290 | 0.131 | |||||
| TMP | −1.022 | 0.577 | 0.131 | |||||
| BRI | PE | 4.185 | 0.407 | 3.779 | RHair | −0.171 | −0.041 | 0.097 |
| SSR | 0.143 | 0.034 | 0.097 | |||||
| DTR | 0.549 | 0.131 | 0.097 | |||||
| VAP | 2.651 | 0.633 | 0.097 | |||||
| TMP | 0.607 | 0.145 | 0.097 |
| Fire Behavior | Fire Emissions | Total Effect | Direct Effect | Total Indirect Effect | Mediating Factor | Indirect Effect of Mediating Factor | Mediating Effect Ratio | Direct Effect Ratio |
|---|---|---|---|---|---|---|---|---|
| FRP | GE | 0.139 | −0.227 | 0.366 | DTR | 0.062 | 0.446 | −1.633 |
| RHair | −0.091 | −0.655 | −1.633 | |||||
| SSR | −0.187 | −1.345 | −1.633 | |||||
| TMP | 0.590 | 4.245 | −1.633 | |||||
| CLD | −0.008 | −0.058 | −1.633 | |||||
| BRI | GE | 0.369 | −0.054 | 0.424 | DTR | −0.220 | −0.596 | −0.146 |
| RHair | 0.285 | 0.772 | −0.146 | |||||
| SSR | 0.256 | 0.694 | −0.146 | |||||
| TMP | 0.128 | 0.347 | −0.146 | |||||
| CLD | −0.026 | −0.070 | −0.146 | |||||
| FRP | PE | 0.162 | −0.221 | 0.383 | DTR | 0.062 | 0.383 | −1.364 |
| RHair | −0.085 | −0.525 | −1.364 | |||||
| SSR | −0.180 | −1.111 | −1.364 | |||||
| TMP | 0.592 | 3.654 | −1.364 | |||||
| CLD | −0.006 | −0.037 | −1.364 | |||||
| BRI | PE | 0.318 | −0.081 | 0.399 | DTR | −0.222 | −0.698 | −0.255 |
| RHair | 0.267 | 0.840 | −0.255 | |||||
| SSR | 0.246 | 0.774 | −0.255 | |||||
| TMP | 0.129 | 0.406 | −0.255 |
Disclaimer/Publisher’s Note: The statements, opinions and data contained in all publications are solely those of the individual author(s) and contributor(s) and not of MDPI and/or the editor(s). MDPI and/or the editor(s) disclaim responsibility for any injury to people or property resulting from any ideas, methods, instructions or products referred to in the content. |
© 2025 by the authors. Licensee MDPI, Basel, Switzerland. This article is an open access article distributed under the terms and conditions of the Creative Commons Attribution (CC BY) license (https://creativecommons.org/licenses/by/4.0/).
Share and Cite
Luo, S.; Su, Z.; Wei, S.; Zhong, Y.; Chen, Y.; Li, X.; Zhou, Y.; Liu, Y.; Wu, Z. The Climate–Fire–Carbon Nexus in Tropical Asian Forests: Fire Behavior as a Mediator and Forest Type-Specific Responses. Forests 2025, 16, 1544. https://doi.org/10.3390/f16101544
Luo S, Su Z, Wei S, Zhong Y, Chen Y, Li X, Zhou Y, Liu Y, Wu Z. The Climate–Fire–Carbon Nexus in Tropical Asian Forests: Fire Behavior as a Mediator and Forest Type-Specific Responses. Forests. 2025; 16(10):1544. https://doi.org/10.3390/f16101544
Chicago/Turabian StyleLuo, Sisheng, Zhangwen Su, Shujing Wei, Yingxia Zhong, Yimin Chen, Xuemei Li, Yufei Zhou, Yangpeng Liu, and Zepeng Wu. 2025. "The Climate–Fire–Carbon Nexus in Tropical Asian Forests: Fire Behavior as a Mediator and Forest Type-Specific Responses" Forests 16, no. 10: 1544. https://doi.org/10.3390/f16101544
APA StyleLuo, S., Su, Z., Wei, S., Zhong, Y., Chen, Y., Li, X., Zhou, Y., Liu, Y., & Wu, Z. (2025). The Climate–Fire–Carbon Nexus in Tropical Asian Forests: Fire Behavior as a Mediator and Forest Type-Specific Responses. Forests, 16(10), 1544. https://doi.org/10.3390/f16101544

