Spatiotemporal Changes in Ecological Quality and Its Response to Forest Landscape Connectivity—A Study from the Perspective of Landscape Structural and Functional Connectivity
Abstract
1. Introduction
2. Materials and Methods
2.1. Study Area
2.2. Methodology
2.2.1. Data Sources and Preprocessing
2.2.2. Calculation of RSEI
2.2.3. Hot Spot Analysis
2.2.4. Calculation of Structural Connectivity Indices for Forest Landscapes
2.2.5. Calculation of Functional Connectivity Index of Forest Landscapes
2.2.6. Spatial Autocorrelation Analysis
2.2.7. Geographically Weighted Regression Model
3. Results
3.1. Spatiotemporal Dynamics in EQ
3.1.1. The State of EQ in Fujian Delta Region
3.1.2. Changes in EQ
3.2. Spatial Cluster of EQ
3.3. Spatiotemporal Changes in Forest Landscape Structural and Functional Connectivity
3.4. Changes in Pattern Recognition of EQ and Forest Landscape Structural and Function Connectivity
3.5. Response of EQ to Forest Landscape Structural and Functional Connectivity
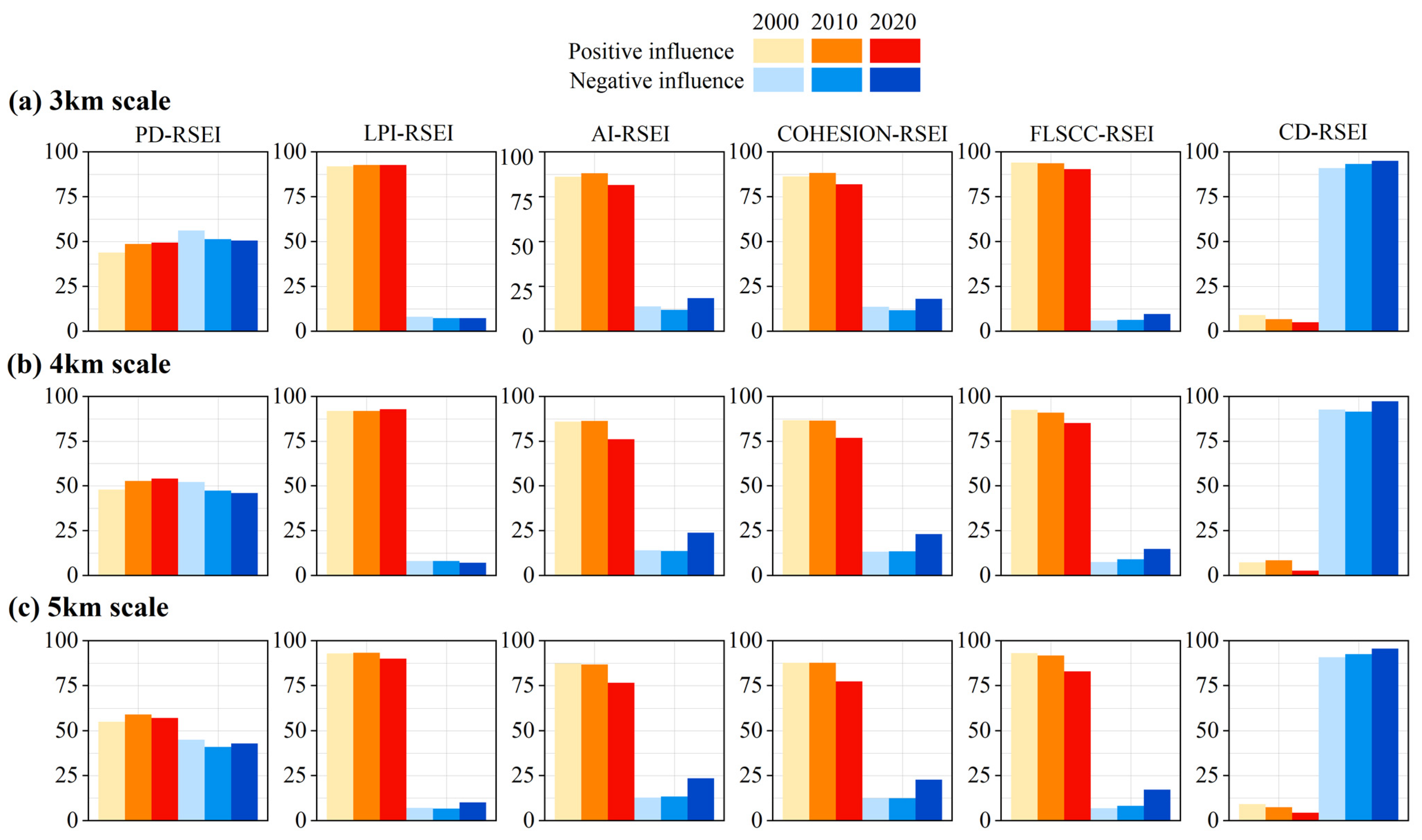
3.5.1. Bivariate Autocorrelation Analysis
3.5.2. Geographically Weighted Regression Analysis
4. Discussion
4.1. Spatiotemporal Evolution of EQ
4.2. Spatial Relationship between Forest Landscape Structural Connectivity Index and RSEI
4.3. Effects of Forest Landscape Structural and Functional Connectivity on EQ
4.4. Limitations and Implications
5. Conclusions
- (1)
- From 2000 to 2020, the overall EQ increased, improving in 37.5% of the region and deteriorating in 13.8% of the region. RSEI has a significant spatial positive correlation at different scales. The hot spots of the RSEI were predominantly located in the western and northern regions, and the cold spots were predominantly in the northeastern region.
- (2)
- The forest landscape structural and functional connectivity shows a small decreasing trend from 2000 to 2020, decreasing by 1.3% and 0.9%, respectively.
- (3)
- Eight forest landscape structural and functional connectivity change modes were detected under the conditions of an improving or degrading EQ based on the change in RSEI, forest landscape structural, and functional connectivity.
- (4)
- From the bivariate spatial autocorrelation, FLSCC-RSEI was dominated by high–high and low–low aggregation and CD-RSEI was dominated by low–high and high–low aggregation. The GWR results showed that CD had the highest explanatory power to RSEI in different scales. The impact of the forest landscape functional connectivity on EQ is greater than that of the forest landscape structural connectivity, and the impact magnitude is different. The negative regression coefficients of CD-RSEI accounted for the majority; meanwhile, a few regression coefficients were predominantly located in the east.
Supplementary Materials
Author Contributions
Funding
Data Availability Statement
Conflicts of Interest
References
- Fischer, R.; Taubert, F.; Müller, M.S.; Groeneveld, J.; Lehmann, S.; Wiegand, T.; Huth, A. Accelerated forest fragmentation leads to critical increase in tropical forest edge area. Sci. Adv. 2021, 7, eabg7012. [Google Scholar] [CrossRef]
- Modica, G.; Praticò, S.; Laudari, L.; Ledda, A.; Di Fazio, S.; De Montis, A. Implementation of multispecies ecological networks at the regional scale: Analysis and multi–temporal assessment. J. Environ. Manag. 2021, 289, 112494. [Google Scholar] [CrossRef]
- Zou, L.L.; Wang, J.Y.; Bai, M.D. Assessing spatial–temporal heterogeneity of China’s landscape fragmentation in 1980–2020. Ecol. Indicat. 2022, 136, 108654. [Google Scholar] [CrossRef]
- Matricardi, E.A.T.; Skole, D.L.; Costa, O.B.; Pedlowski, M.A.; Samek, J.H.; Miguel, E.P. Long–term forest degradation surpasses deforestation in the Brazilian Amazon. Science 2020, 369, 1378–1382. [Google Scholar] [CrossRef]
- Zhen, S.Y.; Zhao, Q.; Liu, S.; Wu, Z.L.; Lin, S.; Li, J.; Hu, X.S. Detecting Spatiotemporal Dynamics and Driving Patterns in Forest Fragmentation with a Forest Fragmentation Comprehensive Index (FFCI): Taking an Area with Active Forest Cover Change as a Case Study. Forests 2023, 14, 1135. [Google Scholar] [CrossRef]
- Ma, J.; Li, J.W.; Wu, W.B.; Liu, J.J. Global forest fragmentation change from 2000 to 2020. Nat. Commun. 2023, 14, 3752. [Google Scholar] [CrossRef] [PubMed]
- Kindu, M.; Schneider, T.; Teketay, D.; Knoke, T. Changes of ecosystem service values in response to land use/land cover dynamics in Munessa–Shashemene landscape of the Ethiopian highlands. Sci. Total Environ. 2016, 547, 137–147. [Google Scholar] [CrossRef]
- Ren, Y.; Deng, L.Y.; Zuo, S.D.; Lou, Y.J.; Shao, G.F.; Wei, X.H.; Hua, L.Z.; Yang, Y.S. Geographical modeling of spatial interaction between human activity and forest connectivity in an urban landscape of southeast China. Landsc. Ecol. 2014, 29, 1741–1758. [Google Scholar] [CrossRef]
- Che, L.; Yin, S.; Jin, J.; Wu, W. Assessment and Simulation of Urban Ecological Environment Quality Based on Geographic Information System Ecological Index. Land 2024, 13, 687. [Google Scholar] [CrossRef]
- Liu, H.; Weng, Q.H. Seasonal variations in the relationship between landscape pattern and land surface temperature in Indianapolis, USA. Environ. Monitor. Assess. 2008, 144, 199–219. [Google Scholar] [CrossRef]
- Liu, C.J.; Zhang, F.; Johnson, V.C.; Duan, P.; Kung, H.T. Spatio–temporal variation of oasis landscape pattern in arid area: Human or natural driving? Ecol. Indicat. 2021, 125, 107495. [Google Scholar] [CrossRef]
- Peng, Y.; Wang, Q.H.; Bai, L. Identification of the key landscape metrics indicating regional temperature at different spatial scales and vegetation transpiration. Ecol. Indicat. 2020, 111, 106066. [Google Scholar] [CrossRef]
- Crompton, O.; Corrêa, D.; Duncan, J.; Thompson, S. Deforestation–induced surface warming is influenced by the fragmentation and spatial extent of forest loss in Maritime Southeast Asia. Environ. Res. Lett. 2021, 16, 114018. [Google Scholar] [CrossRef]
- Li, Y.; Kang, W.; Han, Y.; Song, Y. Spatial and temporal patterns of microclimates at an urban forest edge and their management implications. Environ. Monitor. Assess. 2018, 190, 93. [Google Scholar] [CrossRef] [PubMed]
- Hu, X.S.; Xu, H.Q. A new remote sensing index for assessing the spatial heterogeneity in urban ecological quality: A case from Fuzhou City, China. Ecol. Indicat. 2018, 89, 11–21. [Google Scholar] [CrossRef]
- Gupta, K.; Kumar, P.; Pathan, S.K.; Sharma, K.P. Urban Neighborhood Green Index—A measure of green spaces in urban areas. Urban Plann. 2012, 105, 325–335. [Google Scholar] [CrossRef]
- Ivits, E.; Cherlet, M.; Mehl, W.; Sommer, S. Estimating the ecological status and change of riparian zones in Andalusia assessed by multi–temporal AVHHR datasets. Ecol. Indicat. 2009, 9, 422–431. [Google Scholar] [CrossRef]
- Imhoff, M.L.; Zhang, P.; Wolfe, R.E.; Bounoua, L. Remote sensing of the urban heat island effect across biomes in the continental USA. Remote Sens. Environ. 2010, 114, 504–513. [Google Scholar] [CrossRef]
- Zarch, M.A.A.; Malekinezhad, H.; Mobin, M.H.; Dastorani, M.T.; Kousari, M.R. Drought Monitoring by Reconnaissance Drought Index (RDI) in Iran. Water Resour. Manag. 2011, 25, 3485–3504. [Google Scholar] [CrossRef]
- Xiong, Y.; Xu, W.H.; Lu, N.; Huang, S.D.; Wu, C.; Wang, L.G.; Dai, F.; Kou, W.L. Assessment of spatial–temporal changes of ecological environment quality based on RSEI and GEE: A case study in Erhai Lake Basin, Yunnan province, China. Ecol. Indicat. 2021, 125, 107518. [Google Scholar] [CrossRef]
- Zhao, Y.W.; Zhou, L.Q.; Dong, B.Q.; Dai, C. Health assessment for urban rivers based on the pressure, state and response framework—A case study of the Shiwuli River. Ecol. Indicat. 2019, 99, 324–331. [Google Scholar] [CrossRef]
- Yu, H.D.; Zhao, J.J. The Impact of Environmental Conditions on Urban Eco–Sustainable Total Factor Productivity: A Case Study of 21 Cities in Guangdong Province, China. Int. J. Environ. Res. Public Health 2020, 17, 1329. [Google Scholar] [CrossRef] [PubMed]
- Lv, Y.; Xiu, L.A.; Yao, X.J.; Yu, Z.P.; Huang, X.Y. Spatiotemporal evolution and driving factors analysis of the eco–quality in the Lanxi urban agglomeration. Ecol. Indicat. 2023, 156, 111114. [Google Scholar] [CrossRef]
- Xu, H. A remote sensing urban ecological index and its application. Acta Ecol. Sin. 2013, 33, 7853–7862. [Google Scholar]
- An, M.; Xie, P.; He, W.J.; Wang, B.; Huang, J.; Khanal, R. Local and tele–coupling development between carbon emission and ecologic environment quality. J. Clean. Prod. 2023, 394, 136409. [Google Scholar] [CrossRef]
- Firozjaei, M.K.; Kiavarz, M.; Homaee, M.; Arsanjani, J.J.; Alavipanah, S.K. A novel method to quantify urban surface ecological poorness zone: A case study of several European cities. Sci. Total Environ. 2021, 757, 143755. [Google Scholar] [CrossRef] [PubMed]
- Sun, J.; Hu, Y.; Li, Y.; Weng, L.F.; Bai, H.A.; Meng, F.D.; Wang, T.; Du, H.Z.; Xu, D.; Lu, S. A temporospatial assessment of environmental quality in urbanizing Ethiopia. J. Environ. Manag. 2023, 332, 117431. [Google Scholar] [CrossRef] [PubMed]
- Zhang, K.L.; Feng, R.R.; Zhang, Z.C.; Deng, C.; Zhang, H.J.; Liu, K. Exploring the Driving Factors of Remote Sensing Ecological Index Changes from the Perspective of Geospatial Differentiation: A Case Study of the Weihe River Basin, China. Int. J. Environ. Res. Public Health 2022, 19, 10930. [Google Scholar] [CrossRef] [PubMed]
- Yang, H.H.; Xu, W.Z.; Yu, J.; Xie, X.Q.; Xie, Z.Q.; Lei, X.Y.; Wu, Z.K.; Ding, Z. Exploring the impact of changing landscape patterns on ecological quality in different cities: A comparative study among three megacities in eastern and western China. Ecol. Inform. 2023, 77, 102255. [Google Scholar] [CrossRef]
- Lin, L.L.; Hao, Z.B.; Post, C.J.; Mikhailova, E.A. Monitoring Ecological Changes on a Rapidly Urbanizing Island Using a Remote Sensing–Based Ecological Index Produced Time Series. Remote Sens. 2022, 14, 5773. [Google Scholar] [CrossRef]
- Yang, L.Q.; Yu, K.Y.; Ai, J.W.; Liu, Y.F.; Lin, L.L.; Lin, L.C.; Liu, J. The Influence of Green Space Patterns on Land Surface Temperature in Different Seasons: A Case Study of Fuzhou City, China. Remote Sens. 2021, 13, 5114. [Google Scholar] [CrossRef]
- Bird, K.I.T.; Uden, D.R.; Allen, C.R. Functional connectivity varies across scales in a fragmented landscape. PLoS ONE 2023, 18, e0289706. [Google Scholar] [CrossRef]
- Taylor, P.; Fahrig, L.; Henein, K.; Merriam, G. Connectivity is a vital element of landscape structure. Oikos 1993, 68, 571–573. [Google Scholar] [CrossRef]
- Morin, E.; Razafimbelo, N.T.; Yengué, J.L.; Guinard, Y.; Grandjean, F.; Bech, N. Are human–induced changes good or bad to dynamic landscape connectivity? J. Environ. Manag. 2024, 352, 120009. [Google Scholar] [CrossRef]
- Li, W.W.; Liu, P.; Yang, N.; Chen, S.; Guo, X.M.; Wang, B.; Zhang, L. Improving landscape connectivity through habitat restoration: Application for Asian elephant conservation in Xishuangbanna Prefecture, China. Integr. Zool. 2023, 19, 319–335. [Google Scholar] [CrossRef]
- Zhang, C.; Chen, W.B.; He, L.; Huang, F.F.; Li, H.F. Dynamic simulation of the grassland connectivity and the effects of landscape pattern in China’s Poyang Lake from the integrated perspective of habitat and biology. Ecohydrology 2023, 16, e2540. [Google Scholar] [CrossRef]
- Lee, J.; Ellis, C.D.; Choi, Y.E.; You, S.; Chon, J. An Integrated Approach to Mitigation Wetland Site Selection: A Case Study in Gwacheon, Korea. Sustainability 2015, 7, 3386–3413. [Google Scholar] [CrossRef]
- Adriaensen, F.; Chardon, J.P.; De Blust, G.; Swinnen, E.; Villalba, S.; Gulinck, H.; Matthysen, E. The application of ‘least–cost’ modelling as a functional landscape model. Urban Plann. 2003, 64, 233–247. [Google Scholar] [CrossRef]
- Gómez, A.Q.; Rivas, C.A.; González–Moreno, P.; Navarro–Cerrillo, R.M. Forest plantations in Manabi (Ecuador): Assessment of fragmentation and connectivity to support dry tropical forests conservation. Appl. Sci. 2023, 13, 6418. [Google Scholar] [CrossRef]
- Zhang, C.; Chen, W.B.; Huang, F.F.; He, L.; Li, H.F. Dynamic simulation of functional connectivity and identification of conservation priorities for grassland in China’s Poyang Lake considering ecological processes. Ecol. Indicat. 2023, 149, 110163. [Google Scholar] [CrossRef]
- Belote, R.T.; Barnett, K.; Zeller, K.; Brennan, A.; Gage, J. Correction to: Examining local and regional ecological connectivity throughout North America. Landsc. Ecol. 2023, 38, 1619–1620. [Google Scholar] [CrossRef]
- Brennan, A.; Naidoo, R.; Greenstreet, L.; Mehrabi, Z.; Ramankutty, N.; Kremen, C. Functional connectivity of the world’s protected areas. Science 2022, 376, 1101–1104. [Google Scholar] [CrossRef]
- Almasieh, K.; Mohammadi, A. Assessing landscape suitability and connectivity for effective conservation of two semi–desert ungulates in Iran. Cons. Sci. Pract. 2023, 12, e13047. [Google Scholar] [CrossRef]
- Gonzalez, J.R.; del Barrio, G.; Duguy, B. Assessing functional landscape connectivity for disturbance propagation on regional scales—A cost–surface model approach applied to surface fire spread. Ecol. Model. 2008, 211, 121–141. [Google Scholar] [CrossRef]
- Zhou, W.; Cao, F.L. Effects of changing spatial extent on the relationship between urban forest patterns and land surface temperature. Ecol. Indicat. 2020, 109, 105778. [Google Scholar] [CrossRef]
- Li, X.M.; Zhou, W.Q.; Ouyang, Z.Y. Relationship between land surface temperature and spatial pattern of greenspace: What are the effects of spatial resolution? Urban Plann. 2013, 114, 1–8. [Google Scholar] [CrossRef]
- Wang, L.Y.; Hou, H.; Weng, J.X. Ordinary least squares modelling of urban heat island intensity based on landscape composition and configuration: A comparative study among three megacities along the Yangtze River. Sustain. Cities Soc. 2020, 62, 102381. [Google Scholar] [CrossRef]
- Su, S.L.; Xiao, R.; Zhang, Y. Multi–scale analysis of spatially varying relationships between agricultural landscape patterns and urbanization using geographically weighted regression. Appl. Geogr. 2012, 32, 360–375. [Google Scholar] [CrossRef]
- Wang, H.; Zang, F.; Zhao, C.Y.; Liu, C.L. A GWR downscaling method to reconstruct high–resolution precipitation dataset based on GSMaP–Gauge data: A case study in the Qilian Mountains, Northwest China. Sci. Total Environ. 2022, 810, 152066. [Google Scholar] [CrossRef]
- Tian, A.H.; Xu, T.T.; Gao, J.Y.; Liu, C.; Han, L.T. Multi–scale spatiotemporal wetland loss and its critical influencing factors in China determined using innovative grid–based GWR. Ecol. Indicat. 2023, 149, 110144. [Google Scholar] [CrossRef]
- Wu, D.C. Spatially and temporally varying relationships between ecological footprint and influencing factors in China’s provinces Using Geographically Weighted Regression (GWR). J. Clean. Prod. 2020, 261, 121089. [Google Scholar] [CrossRef]
- Zheng, X.C.; Zou, Z.Y.; Xu, C.M.; Lin, S.; Wu, Z.L.; Qiu, R.Z.; Hu, X.S.; Li, J. A New Remote Sensing Index for Assessing Spatial Heterogeneity in Urban Ecoenvironmental–Quality–Associated Road Networks. Land 2022, 11, 46. [Google Scholar] [CrossRef]
- Li, S.A.; An, W.Z.; Zhang, J.; Gan, M.Y.; Wang, K.; Ding, L.L.; Li, W.Q. Optimizing limit lines in urban–rural transitional areas: Unveiling the spatial dynamics of trade–offs and synergies among land use functions. Habitat Int. 2023, 140, 102907. [Google Scholar] [CrossRef]
- Lin, J.H.; Lin, M.S.; Chen, W.H.; Zhang, A.; Qi, X.H.; Hou, H.R. Ecological risks of geological disasters and the patterns of the urban agglomeration in the Fujian Delta region. Ecol. Indicat. 2021, 125, 107475. [Google Scholar] [CrossRef]
- Liu, X.; Zeng, S.P.; Namaiti, A.; Xin, R.H. Comparison between three convolutional neural networks for local climate zone classification using Google Earth Images: A case study of the Fujian Delta in China. Ecol. Indicat. 2023, 148, 110086. [Google Scholar] [CrossRef]
- Chen, Y.P.; Peng, L.H.; Cao, W.Z. Health evaluation and coordinated development characteristics of urban agglomeration: Case study of Fujian Delta in China. Ecol. Indicat. 2021, 121, 107149–107167. [Google Scholar] [CrossRef]
- Zhang, S.H.; Zhong, Q.L.; Cheng, D.L.; Xu, C.B.; Chang, Y.N.; Lin, Y.Y.; Li, B.Y. Landscape ecological risk projection based on the PLUS model under the localized shared socioeconomic pathways in the Fujian Delta region. Ecol. Indicat. 2022, 136, 108642. [Google Scholar] [CrossRef]
- Gorelick, N.; Hancher, M.; Dixon, M.; Ilyushchenko, S.; Thau, D.; Moore, R. Google Earth Engine: Planetary–scale geospatial analysis for everyone. Remote Sens. Environ. 2017, 202, 18–27. [Google Scholar] [CrossRef]
- Gong, C.; Tan, Q.Y.; Liu, G.B.; Xu, M.X. Positive effects of mixed-species plantations on soil water storage across the Chinese Loess Plateau. For. Ecol. Manag. 2024, 552, 378–1127. [Google Scholar] [CrossRef]
- Zuo, X.M.; Li, J.Z.; Zhang, L.D.; Wu, Z.Y.; Lin, S.; Hu, X.S. Spatio–Temporal Variations in Ecological Quality and Its Response to Topography and Road Network Based on GEE: Taking the Minjiang River Basin as a Case. Land 2023, 12, 1754. [Google Scholar] [CrossRef]
- Cui, R.H.; Han, J.Z.; Hu, Z.Q. Assessment of Spatial Temporal Changes of Ecological Environment Quality: A Case Study in Huaibei City, China. Land 2022, 11, 944. [Google Scholar] [CrossRef]
- Zhang, X.Y.; Jia, W.W.; He, J.Y. Spatial and temporal variation of ecological quality in northeastern China and analysis of influencing factors. J. Clean. Prod. 2023, 423, 138650. [Google Scholar] [CrossRef]
- Guo, H.J.; Cai, Y.P.; Li, B.W.; Wan, H.; Yang, Z.F. An improved approach for evaluating landscape ecological risks and exploring its coupling coordination with ecosystem services. J. Environ. Manag. 2023, 348, 119277. [Google Scholar] [CrossRef] [PubMed]
- Liu, M.M.; Liang, G.M.; Xiao, Y.; Wu, Z.Y.; Hu, X.S.; Lin, S.; Wu, Z.L. Spatial coupling analysis of forest landscape structure and functional connectivity in Min River Delta. Acta Ecol. Sin. 2023, 43, 10464–10479. [Google Scholar]
- Hu, J.Y.; Zhang, J.X.; Li, Y.Q. Exploring the spatial and temporal driving mechanisms of landscape patterns on habitat quality in a city undergoing rapid urbanization based on GTWR and MGWR: The case of Nanjing, China. Ecol. Indicat. 2022, 143, 109333. [Google Scholar] [CrossRef]
- Hu, C.Y.; Wu, W.; Zhou, X.X.; Wang, Z.J. Spatiotemporal changes in landscape patterns in karst mountainous regions based on the optimal landscape scale: A case study of Guiyang City in Guizhou Province, China. Ecol. Indicat. 2023, 150, 110211. [Google Scholar] [CrossRef]
- Chen, J.Z.; Wang, L.; Ma, L.; Fan, X.Y. Quantifying the scale effect of the relationship between land surface temperature and landscape pattern. Remote Sens. 2023, 15, 2131. [Google Scholar] [CrossRef]
- Ribeiro, M.P.; de Mello, K.; Valente, R.A. How can forest fragments support protected areas connectivity in an urban landscape in Brazil? Urban For. Urban Green. 2022, 74, 127683. [Google Scholar] [CrossRef]
- Hu, C.G.; Wang, Z.Y.; Wang, Y.; Sun, D.Q.; Zhang, J.X. Combining MSPA–MCR Model to Evaluate the Ecological Network in Wuhan, China. Land 2022, 11, 213. [Google Scholar] [CrossRef]
- Zeller, K.A.; Jennings, M.K.; Vickers, T.W.; Ernest, H.B.; Cushman, S.A.; Boyce, W.M. Are all data types and connectivity models created equal? Validating common connectivity approaches with dispersal data. Divers. Distrib. 2018, 24, 868–879. [Google Scholar] [CrossRef]
- Fu, Y.J.; Shi, X.Y.; He, J.; Yuan, Y.; Qu, L.L. Identification and optimization strategy of county ecological security pattern: A case study in the Loess Plateau, China. Ecol. Indicat. 2020, 112, 106030. [Google Scholar] [CrossRef]
- Fan, C.; Myint, S. A comparison of spatial autocorrelation indices and landscape metrics in measuring urban landscape fragmentation. Urban Plann. 2014, 121, 117–128. [Google Scholar] [CrossRef]
- Chen, J.; Xu, C.M.; Lin, S.; Wu, Z.L.; Qiu, R.Z.; Hu, X.S. Is There Spatial Dependence or Spatial Heterogeneity in the Distribution of Vegetation Greening and Browning in Southeastern China? Forests 2022, 13, 840. [Google Scholar] [CrossRef]
- Wang, X.Y.; Su, F.Z.; Yan, F.Q.; Zhang, X.J.; Wang, X.G. Effects of Coastal Urbanization on Habitat Quality: A Case Study in Guangdong–Hong Kong–Macao Greater Bay Area. Land 2023, 12, 34. [Google Scholar] [CrossRef]
- Wu, X.; Zhen, S.Y.; Zuo, X.M.; Hu, X.S.; Shen, R.F. Vegetation restoration dynamics and its response to road network in southern Fujian. China Environ. Sci. 2023, 43, 288–300. [Google Scholar]
- Wang, H.; Liu, C.L.; Zang, F.; Liu, Y.Y.; Chang, Y.P.; Huang, G.Z.; Fu, G.Q.; Zhao, C.Y.; Liu, X.H. Remote Sensing–Based Approach for the Assessing of Ecological Environmental Quality Variations Using Google Earth Engine: A Case Study in the Qilian Mountains, Northwest China. Remote Sens. 2023, 15, 960. [Google Scholar] [CrossRef]
- Zhang, L.F.; Fang, C.L.; Zhao, R.D.; Zhu, C.; Guan, J.Y. Spatial–temporal evolution and driving force analysis of eco–quality in urban agglomerations in China. Sci. Total Environ. 2023, 866, 161465. [Google Scholar] [CrossRef] [PubMed]
- Greene, C.S.; Kedron, P.J. Beyond fractional coverage: A multilevel approach to analyzing the impact of urban tree canopy structure on surface urban heat islands. Appl. Geogr. 2018, 95, 45–53. [Google Scholar] [CrossRef]
- Ji, J.W.; Tang, Z.Z.; Zhang, W.W.; Liu, W.L.; Jin, B.; Xi, X.; Wang, F.T.; Zhang, R.; Guo, B.; Xu, Z.Y. Spatiotemporal and Multiscale Analysis of the Coupling Coordination Degree between Economic Development Equality and Eco–Environmental Quality in China from 2001 to 2020. Remote Sens. 2022, 14, 737. [Google Scholar] [CrossRef]
- Hu, X.S.; Xu, C.M.; Chen, J.; Lin, Y.Y.; Lin, S.; Wu, Z.L.; Qiu, R.Z. A Synthetic Landscape Metric to Evaluate Urban Vegetation Quality: A Case of Fuzhou City in China. Forests 2022, 13, 1002. [Google Scholar] [CrossRef]
- Li, Q.W.; Jin, T.T.; Jiang, A.P.; Peng, Q.D.; Lin, J.Q.; Zhang, D. Effects of road construction on landscape pattern in Southwest China. Acta Ecol. Sin. 2023, 43, 2310–2322. [Google Scholar]
- Liu, Y.A.; Xu, M.X.; Gao, P. Monitoring the Evolution of Spatiotemporal Landscape Pattern in Megacity Beijing Using Long Time Series of Landsat Data. Sens. Mater. 2023, 35, 3293–3312. [Google Scholar] [CrossRef]
- Zheng, Z.H.; Wu, Z.F.; Chen, Y.B.; Guo, C.; Marinello, F. Instability of remote sensing based ecological index (RSEI) and its improvement for time series analysis. Sci. Total Environ. 2022, 814, 152595. [Google Scholar] [CrossRef] [PubMed]
- Awade, M.; Metzger, J.P. Using gap–crossing capacity to evaluate functional connectivity of two Atlantic rainforest birds and their response to fragmentation. Austral Ecol. 2008, 33, 863–871. [Google Scholar] [CrossRef]














| Year | NDVI | WET | LST | NDBSI | Eigenvalue | Percentage Eigenvalue (%) | |
|---|---|---|---|---|---|---|---|
| 2000 | PC1 | 0.455 | 0.457 | −0.587 | −0.489 | 0.291 | 81.29 |
| PC2 | −0.265 | 0.686 | 0.597 | −0.321 | 0.039 | 10.98 | |
| PC3 | 0.711 | −0.336 | 0.540 | −0.300 | 0.024 | 6.67 | |
| PC4 | –0.466 | –0.455 | –0.088 | –0.754 | 0.004 | 1.06 | |
| 2005 | PC1 | 0.508 | 0.480 | −0.461 | −0.547 | 0.251 | 83.97 |
| PC2 | 0.513 | −0.715 | −0.427 | 0.210 | 0.033 | 10.92 | |
| PC3 | 0.455 | −0.243 | 0.746 | −0.421 | 0.013 | 4.31 | |
| PC4 | 0.522 | 0.447 | 0.219 | 0.693 | 0.002 | 0.81 | |
| 2010 | PC1 | 0.506 | 0.485 | −0.466 | −0.540 | 0.273 | 86.21 |
| PC2 | 0.513 | −0.731 | −0.413 | 0.180 | 0.031 | 9.77 | |
| PC3 | 0.415 | −0.243 | 0.741 | −0.468 | 0.010 | 3.27 | |
| PC4 | 0.556 | 0.414 | 0.251 | 0.676 | 0.002 | 0.75 | |
| 2015 | PC1 | 0.514 | 0.405 | −0.376 | −0.656 | 0.213 | 88.18 |
| PC2 | 0.444 | −0.782 | −0.423 | 0.107 | 0.018 | 7.30 | |
| PC3 | −0.317 | 0.309 | −0.802 | 0.401 | 0.008 | 3.33 | |
| PC4 | 0.661 | 0.358 | 0.191 | 0.630 | 0.003 | 1.19 | |
| 2020 | PC1 | 0.559 | 0.433 | −0.441 | −0.553 | 0.205 | 89.23 |
| PC2 | −0.398 | 0.697 | 0.528 | −0.277 | 0.017 | 7.52 | |
| PC3 | −0.566 | 0.320 | −0.717 | 0.251 | 0.007 | 2.85 | |
| PC4 | 0.458 | 0.473 | 0.111 | 0.744 | 0.000 | 0.40 |
| Year | Type of Change | PD | AI | LPI | COHESION | FLSCC | CD |
|---|---|---|---|---|---|---|---|
| Increase | 1.7% | 0.2% | 0.7% | 0.2% | 1.1% | 1% | |
| 2000–2010 | Stable | 97.4% | 99% | 99.1% | 98.9% | 97.8% | 98.9% |
| Decrease | 0.9% | 0.8% | 0.2% | 0.9% | 1.1% | 0.1% | |
| Increase | 0.6% | 0.2% | 0.2% | 0.2% | 0.3% | 0.5% | |
| 2010–2020 | Stable | 99.1% | 99.4% | 99.1% | 99.4% | 99.1% | 98.9% |
| Decrease | 0.3% | 0.4% | 0.7% | 0.4% | 0.6% | 0.6% | |
| Increase | 2.2% | 0.3% | 0% | 0.4% | 1.1% | 0.9% | |
| 2000–2020 | Stable | 96.6% | 98.6% | 100% | 98.4% | 97.6% | 98.9% |
| Decrease | 1.2% | 1.1% | 0% | 1.3% | 1.3% | 0.2% |
| Year | Variable | Scales/km | ||||
|---|---|---|---|---|---|---|
| 1 | 2 | 3 | 4 | 5 | ||
| PD–RSEI | 0.30 | 0.37 | 0.42 | 0.45 | 0.48 | |
| LPI–RSEI | 0.59 | 0.58 | 0.59 | 0.60 | 0.62 | |
| 2000 | AI–RSEI | 0.48 | 0.48 | 0.50 | 0.51 | 0.53 |
| COHESION–RSEI | 0.49 | 0.49 | 0.51 | 0.52 | 0.53 | |
| FLSCC–RSEI | 0.54 | 0.53 | 0.55 | 0.55 | 0.57 | |
| CD–RSEI | −0.42 | −0.43 | −0.44 | −0.43 | −0.44 | |
| PD–RSEI | 0.34 | 0.40 | 0.44 | 0.47 | 0.50 | |
| LPI–RSEI | 0.59 | 0.58 | 0.59 | 0.61 | 0.62 | |
| 2010 | AI–RSEI | 0.53 | 0.53 | 0.54 | 0.55 | 0.56 |
| COHESION–RSEI | 0.54 | 0.53 | 0.54 | 0.55 | 0.57 | |
| FLSCC–RSEI | 0.58 | 0.56 | 0.57 | 0.58 | 0.59 | |
| CD–RSEI | −0.50 | −0.51 | −0.51 | −0.50 | −0.51 | |
| PD–RSEI | 0.39 | 0.45 | 0.49 | 0.52 | 0.54 | |
| LPI–RSEI | 0.60 | 0.59 | 0.61 | 0.62 | 0.64 | |
| 2020 | AI–RSEI | 0.58 | 0.57 | 0.58 | 0.59 | 0.61 |
| COHESION–RSEI | 0.58 | 0.57 | 0.59 | 0.60 | 0.61 | |
| FLSCC–RSEI | 0.62 | 0.60 | 0.62 | 0.62 | 0.64 | |
| CD–RSEI | −0.56 | −0.56 | −0.56 | −0.55 | −0.56 | |
Disclaimer/Publisher’s Note: The statements, opinions and data contained in all publications are solely those of the individual author(s) and contributor(s) and not of MDPI and/or the editor(s). MDPI and/or the editor(s) disclaim responsibility for any injury to people or property resulting from any ideas, methods, instructions or products referred to in the content. |
© 2024 by the authors. Licensee MDPI, Basel, Switzerland. This article is an open access article distributed under the terms and conditions of the Creative Commons Attribution (CC BY) license (https://creativecommons.org/licenses/by/4.0/).
Share and Cite
Liu, M.; Liang, G.; Wu, Z.; Zuo, X.; Hu, X.; Lin, S.; Wu, Z. Spatiotemporal Changes in Ecological Quality and Its Response to Forest Landscape Connectivity—A Study from the Perspective of Landscape Structural and Functional Connectivity. Forests 2024, 15, 1248. https://doi.org/10.3390/f15071248
Liu M, Liang G, Wu Z, Zuo X, Hu X, Lin S, Wu Z. Spatiotemporal Changes in Ecological Quality and Its Response to Forest Landscape Connectivity—A Study from the Perspective of Landscape Structural and Functional Connectivity. Forests. 2024; 15(7):1248. https://doi.org/10.3390/f15071248
Chicago/Turabian StyleLiu, Miaomiao, Guanmin Liang, Ziyi Wu, Xueman Zuo, Xisheng Hu, Sen Lin, and Zhilong Wu. 2024. "Spatiotemporal Changes in Ecological Quality and Its Response to Forest Landscape Connectivity—A Study from the Perspective of Landscape Structural and Functional Connectivity" Forests 15, no. 7: 1248. https://doi.org/10.3390/f15071248
APA StyleLiu, M., Liang, G., Wu, Z., Zuo, X., Hu, X., Lin, S., & Wu, Z. (2024). Spatiotemporal Changes in Ecological Quality and Its Response to Forest Landscape Connectivity—A Study from the Perspective of Landscape Structural and Functional Connectivity. Forests, 15(7), 1248. https://doi.org/10.3390/f15071248

