Cenostigma pluviosum Tree Stem Growth and Carbon Storage in a Subtropical Urban Environment: A Case Study in Sao Paulo City
Abstract
1. Introduction
- A.
- How is the Cenostigma pluviosum trees’ growth pattern considering the trees’ surrounding environment interference?
- B.
- How does the stem radial growth of Cenostigma pluviosum depend on local meteorological parameters: air temperature (°C), air relative humidity (%), precipitation (mm), soil temperature (°C), and soil volumetric water content (%)?
- C.
- What are the estimates of the total carbon stored and CO2 annually sequestered by the trees studied?
2. Materials and Methods
2.1. Study Area
2.2. Tree Selection and Morphological Measurements
2.3. Biomass Estimated by Allometric Relations
2.4. Meteorological Data Collection
2.5. Soil Volumetric Water Content and Temperature Measurements
2.6. Stem Growth
2.7. Biomass Increment, Carbon Storage, and CO2 Fixed
2.8. Statistics
3. Results
3.1. Tree Morphological Characteristics
3.2. Microclimatic Conditions
3.3. Soil Volumetric Water Content and Temperature Status
3.4. Stem Growth Pattern
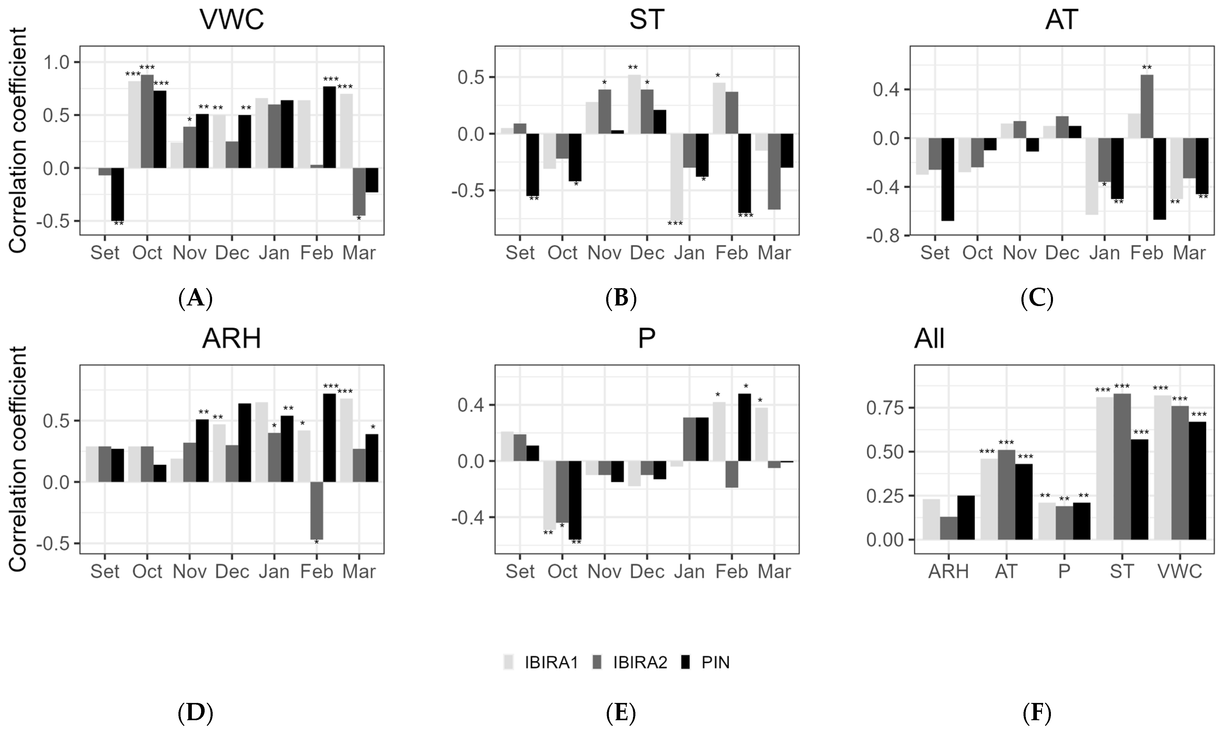
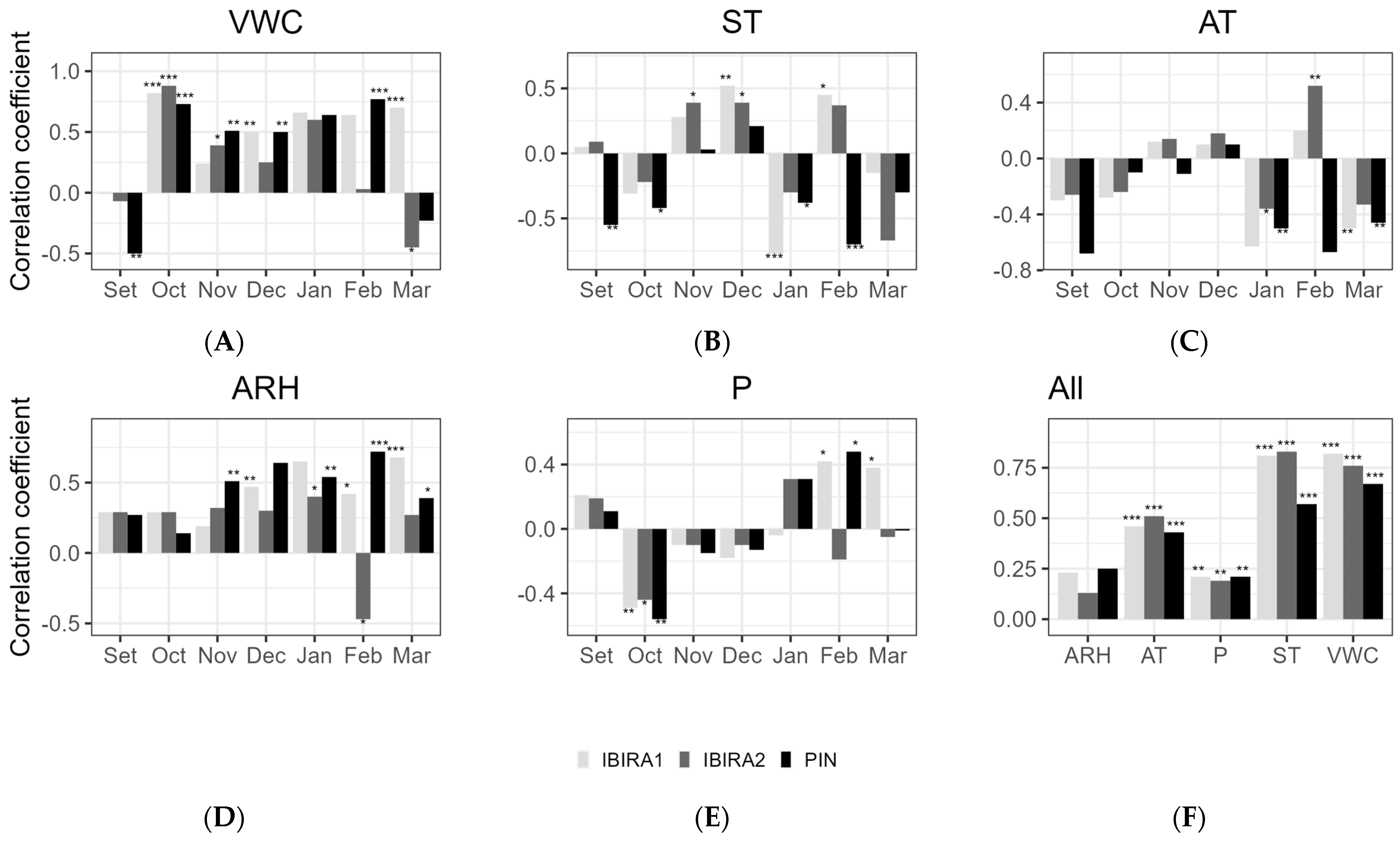
3.5. Microclimatic Effects on Stem Growth
3.6. Stem Growth Increment
3.7. Biomass, C-Storage, and CO2 Removal
4. Discussion
5. Conclusions
Author Contributions
Funding
Data Availability Statement
Acknowledgments
Conflicts of Interest
References
- Shukla, P.R.; Skea, J.; Slade, R.; Al Khourdajie, A.; van Diemen, R.; McCollum, D.; Pathak, M.; Some, S.; Vyas, P.; Fradera, R.; et al. (Eds.) Intergovernmental Panel on Climate Change—IPCC, 2022: Climate Change 2022: Mitigation of Climate Change. Contribution of Working Group III to the Sixth Assessment Report of the Intergovernmental Panel on Climate Change; Cambridge University Press: Cambridge, UK; New York, NY, USA, 2022. [Google Scholar]
- Lwasa, S.; Seto, K.C.; Bai, X.; Blanco, H.; Gurney, K.R.; Kılkış, Ş.; Lucon, O.; Murakami, J.; Pan, J.; Sharifi, A.; et al. Chapter 8: Urban systems and other settlements. In IPCC, 2022: Climate Change 2022: Mitigation of Climate Change. Contribution of Working Group III to the Sixth Assessment Report of the Intergovernmental Panel on Climate Change; Shukla, P.R., Skea, J., Slade, R., Al Khourdajie, A., van Diemen, R., McCollum, D., Pathak, M., Some, S., Vyas, P., Fradera, R., et al., Eds.; Cambridge University Press: Cambridge, UK; New York, NY, USA, 2022; pp. 861–952. [Google Scholar]
- Costanza, R.; d’Arge, R.; De Groot, R.; Farber, S.; Grasso, M.; Hannon, B.; Limburg, K.; Naeem, S.; O’neill, R.V.; Paruelo, J.; et al. The value of the world’s ecosystem services and natural capital. Nature 1997, 387, 253–260. [Google Scholar] [CrossRef]
- Barbier, E.B.; Baumgärtner, S.; Chopra, K.; Costello, C.; Duraiappah, A.; Hassan, R.; Kinzig, A.; Lehman, M.; Pascual, U.; Polasky, S.; et al. The valuation of ecosystem services. In Biodiversity, Ecosystem Functioning, and Human Wellbeing. An Ecological and Economic Perspective; Naeem, S., Bunker, D., Hector, A., Loreau, M., Perrings, C., Eds.; Oxford University Press: New York, NY, USA, 2009; pp. 248–262. [Google Scholar]
- Sukhdev, P.; Wittmer, H.; Miller, D. The economics of ecosystems and biodiversity (TEEB): Challenges and responses. In Nature in the Balance: The Economics of Biodiversity; Helmer, D., Hepburn, C., Eds.; Oxford University Press: New York, NY, USA, 2014; pp. 135–152. [Google Scholar]
- Millennium Ecosystem Assessment (MEA). Ecosystems and Human Well-Being: Synthesis; Island Press: Washington, DC, USA, 2005. [Google Scholar]
- Haines-Young, R.; Potschin-Young, M. Revision of the Common International Classification for Ecosystem Services (CICES V5.1): A Policy Brief. One Ecosyst. 2018, 3, e27108. [Google Scholar] [CrossRef]
- Haase, D.; Larondelle, N.; Andersson, E.; Artmann, M.; Borgström, S.; Breuste, J.; Gomez-Baggethun, E.; Gren, Å.; Hamstead, Z.; Hansen, R.; et al. A Quantitative Review of Urban Ecosystem Service Assessments: Concepts, Models, and Implementation. AMBIO 2014, 43, 413–433. [Google Scholar] [CrossRef]
- Barona, C.O.; Devisscher, T.; Dobbs, C.; Aguilar, L.O.; Baptista, M.D.; Navarro, N.M.; da Silva Filho, D.F.; Escobedo, F.J. Trends in urban forestry research in Latin America & the Caribbean: A systematic literature review and synthesis. Urban For. Urban Green. 2020, 47, 126544. [Google Scholar]
- Dobbs, C.; Hernández-Moreno, Á.; Reyes-Paecke, S.; Miranda, M.D. Exploring temporal dynamics of urban ecosystem services in Latin America: The case of Bogota (Colombia) and Santiago (Chile). Ecol. Indic. 2018, 85, 1068–1080. [Google Scholar] [CrossRef]
- Maragno, D.; Gaglio, M.; Robbi, M.; Appiotti, F.; Fano, E.A.; Gissi, E. Fine-scale analysis of urban flooding reduction from green infrastructure: An ecosystem services approach for the management of water flows. Ecol. Model. 2018, 386, 1–10. [Google Scholar] [CrossRef]
- Su, M.; Zheng, Y.; Hao, Y.; Chen, Q.; Chen, S.; Chen, Z.; Xie, H. The influence of landscape pattern on the risk of urban water-logging and flood disaster. Ecol. Indic. 2018, 92, 133–140. [Google Scholar] [CrossRef]
- Nowak, D.J.; Greenfield, E.J. The increase of impervious cover and decrease of tree cover within urban areas globally (2012–2017). Urban For. Urban Green. 2020, 49, 126638. [Google Scholar] [CrossRef]
- Trlica, A.; Hutyra, L.R.; Morreale, L.L.; Smith, I.A.; Reinmann, A.B. Current and future biomass carbon uptake in Boston’s urban forest. Sci. Total Environ. 2020, 709, 136196. [Google Scholar] [CrossRef]
- Boukili, V.K.; Bebber, D.P.; Mortimer, T.; Venicx, G.; Lefcourt, D.; Chandler, M.; Eisenberg, C. Assessing the performance of urban forest carbon sequestration models using direct measurements of tree growth. Urban For. Urban Green. 2017, 24, 212–221. [Google Scholar] [CrossRef]
- Shashua-Bar, L.; Pearlmutter, D.; Erell, E. The influence of trees and grass on outdoor thermal comfort in a hot-arid environment. Int. J. Climatol. 2011, 31, 1498–1506. [Google Scholar] [CrossRef]
- Gill, S.E.; Rahman, M.A.; Handley, J.F.; Ennos, A.R. Modelling water stress to urban amenity grass in Manchester UK under climate change and its potential impacts in reducing urban cooling. Urban For. Urban Green. 2013, 12, 350–358. [Google Scholar] [CrossRef]
- Zhang, Z.; Lv, Y.; Pan, H. Cooling and humidifying effect of plant communities in subtropical urban parks. Urban For. Urban Green. 2013, 12, 323–329. [Google Scholar] [CrossRef]
- Offerle, B.; Grimmond, C.S.; Fortuniak, K.; Kłysik, K.; Oke, T.R. Temporal variations in heat fluxes over a central European city centre. Theor. Appl. Climatol. 2006, 84, 103–115. [Google Scholar] [CrossRef]
- Gill, S.E.; Handley, J.F.; Ennos, A.R.; Pauleit, S. Adapting cities for climate change: The role of the green infrastructure. Built Environ. 2007, 33, 115–133. [Google Scholar] [CrossRef]
- Loridan, T.; Grimmond, C.S.B. Characterization of energy flux partitioning in urban environments: Links with surface seasonal properties. J. Appl. Meteorol. Climatol. 2012, 51, 219–241. [Google Scholar] [CrossRef]
- Oke, T.R.; Mills, G.; Christen, A.; Voogt, J.A. Urban Climates; Cambridge University Press: Cambridge, UK, 2017. [Google Scholar]
- Kong, L.; Lau, K.K.L.; Yuan, C.; Chen, Y.; Xu, Y.; Ren, C.; Ng, E. Regulation of outdoor thermal comfort by trees in Hong Kong. Sustain. Cities Soc. 2017, 31, 12–25. [Google Scholar] [CrossRef]
- Coutts, A. Green infrastructure for cities It’s all about trees! Urban Clim. News Int. Assoc. Urban Clim. 2015, 97, 7–12. [Google Scholar]
- de Coninck, H.; Revi, A.; Babiker, M.; Bertoldi, P.; Buckeridge, M.; Cartwright, A.; Dong, W.; Ford, J.; Fuss, S.; Hourcade, J.C.; et al. Chapter 4: Strengthening and Implementing the Global Response. In Global Warming of 1.5 °C an IPCC Special Report on the Impacts of Global Warming of 1.5 °C above Pre-Industrial Levels and Related Global Greenhouse Gas Emission Pathways, in the Context of Strengthening the Global Response to the Threat of Climate Change; Intergovernmental Panel on Climate Change: Geneva, Switzerland, 2018; pp. 313–443. [Google Scholar]
- Duarte, D.H.; Shinzato, P.; dos Santos Gusson, C.; Alves, C.A. The impact of vegetation on urban microclimate to counterbalance built density in a subtropical changing climate. Urban Clim. 2015, 14, 224–239. [Google Scholar] [CrossRef]
- Shashua-Bar, L.; Potchter, O.; Bitan, A.; Boltansky, D.; Yaakov, Y. Microclimate modelling of street tree species effects within the varied urban morphology in the Mediterranean city of Tel Aviv, Israel. Int. J. Climatol. 2010, 30, 44–57. [Google Scholar] [CrossRef]
- Grimmond, S.U.E. Urbanization and global environmental change: Local effects of urban warming. Geogr. J. 2007, 173, 83–88. [Google Scholar] [CrossRef]
- Romero-Duque, L.P.; Trilleras, J.M.; Castellarini, F.; Quijas, S. Ecosystem services in urban ecological infrastructure of Latin America and the Caribbean: How do they contribute to urban planning? Sci. Total Environ. 2020, 728, 138780. [Google Scholar] [CrossRef]
- Rötzer, T.; Rahman, M.A.; Moser-Reischl, A.; Pauleit, S.; Pretzsch, H. Process based simulation of tree growth and ecosystem services of urban trees under present and future climate conditions. Sci. Total Environ. 2019, 676, 651–664. [Google Scholar] [CrossRef] [PubMed]
- Livesley, S.J.; McPherson, E.G.; Calfapietra, C. The urban forest and ecosystem services: Impacts on urban water, heat, and pollution cycles at the tree, street, and city scale. J. Environ. Qual. 2016, 45, 119–124. [Google Scholar] [CrossRef] [PubMed]
- Pretzsch, H.; Moser-Reischl, A.; Rahman, M.A.; Pauleit, S.; Rötzer, T. Towards sustainable management of the stock and ecosystem services of urban trees. From theory to model and application. Trees 2023, 37, 177–196. [Google Scholar] [CrossRef]
- Song, P.; Kim, G.; Mayer, A.; He, R.; Tian, G. Assessing the ecosystem services of various types of urban green spaces based on i-Tree Eco. Sustainability 2020, 12, 1630. [Google Scholar] [CrossRef]
- Wu, R.; Na Wu, X.N.; Hai, Y.; Ke, W.; Tingting, M.; Juan, S.; Zhiyi, B. Effects of the Bamboo Communities on Microclimate and Thermal Comfort in Subtropical Climates. Forests 2023, 14, 1231. [Google Scholar] [CrossRef]
- Borowski, P.F.; Iaroslav, P.K.; Erick, R.B. Innovative Industrial Use of Bamboo as Key “Green” Material. Sustainability 2022, 14, 1955. [Google Scholar] [CrossRef]
- Umezaki, A.S.; Ribeiro, F.N.D.; de Oliveira, A.P.; Soares, J.; de Miranda, R.M. Numerical characterization of spatial and temporal evolution of summer urban heat island intensity in São Paulo, Brazil. Urban Clim. 2020, 32, 100615. [Google Scholar] [CrossRef]
- Oliveira, A.P.; Marques Filho, E.P.; Ferreira, M.J.; Codato, G.; Ribeiro, F.N.D.; Landulfo, E.; Moreira, G.A.; Pereira, M.M.R.; Mlakar, P.; Boznar, M.Z.; et al. Assessing urban effects on the climate of metropolitan regions of Brazil—Preliminary results of the MCITY BRAZIL project. Explor. Environ. Sci. Res. 2020, 1, 38–77. [Google Scholar] [CrossRef]
- Ferreira, M.J.; de Oliveira, A.P.; Soares, J.; Codato, G.; Bárbaro, E.W.; Escobedo, J.F. Radiation balance at the surface in the city of São Paulo, Brazil: Diurnal and seasonal variations. Theor. Appl. Climatol. 2012, 10, 229–246. [Google Scholar] [CrossRef]
- Marengo, J.A.; Ambrizzi, T.; Barreto, N.; Cunha, A.P.; Ramos, A.M.; Skansi, M.; Molina Carpio, J.; Salinas, R. The heat wave of October 2020 in central South America. Int. J. Climatol. 2022, 42, 2281–2298. [Google Scholar] [CrossRef]
- UNEP-WCMC; UN Environment Programme World Conservation Monitoring Centre. The State of Biodiversity in Latin America and the Caribbean: A Mid-Term Review of Progress towards the Aichi Biodiversity Targets; UNEP-WCMC: Cambridge, UK, 2016; 114p. [Google Scholar]
- Leite, J.R.; Pellegrino, P.R.M.; Modesto, A.A.L. Avaliação temporal do crescimento da mancha urbana no setor oeste da reserva da biosfera do cinturão verde (RBCV). Rev. Soc. Bras. Arborização Urbana 2012, 7, 37–52. [Google Scholar]
- Castellanos, E.J.; Lemos, M.F.; Astigarraga, L.; Chacón, N.; Cuvi, N.; Huggel, C.; Miranda Sara, L.R.; Moncassim Vale, M.; Ometto, J.P.; Peri, P.L.; et al. Central and South America. In Climate Change 2022: Impacts, Adaptation and Vulnerability. Contribution of Working Group II to the Sixth Assessment Report of the Intergovernmental Panel on Climate Change; Pörtner, H.O., Roberts, D.C., Tignor, M., Poloczanska, E.S., Mintenbeck, K., Alegría, A., Craig, M., Langsdorf, S., Löschke, S., Möller, V., et al., Eds.; Cambridge University Press: Cambridge, UK; New York, NY, USA, 2022; pp. 1689–1816. [Google Scholar] [CrossRef]
- SEEG—Sistema de Estimativas de Emissões e Remoções de Gases de Efeito Estufa; Observatório do Clima. Análise das Emissões de Suas Implicações para as Metas Climáticas do Brasil 1970–2021. Available online: https://www.oc.eco.br/wp-content/uploads/2023/03/SEEG-10-anos-v4.pdf (accessed on 10 November 2022).
- Satterthwaite, D. Cities’ contribution to global warming: Notes on the allocation of greenhouse gas emissions. Environ. Urban. 2008, 20, 539–549. [Google Scholar] [CrossRef]
- Sánchez-Ccoyllo, O.R.; Ynoue, R.Y.; Martins, L.D.; Astolfo, R.; Miranda, R.M.; Freitas, E.D.; Borges, A.S.; Fornaro, A.; Freitas, H.; Moreira, A.; et al. Vehicular particulate matter emissions in road tunnels in Sao Paulo, Brazil. Environ. Monit. Assess. 2009, 149, 241–249. [Google Scholar] [CrossRef] [PubMed]
- Costa, E.; Seixas, J.; Baptista, P.; Costa, G.; Turrentine, T. CO2 emissions and mitigation policies for urban road transportation: Sao Paulo versus Shanghai. Urbe Rev. Bras. Gestão Urbana 2018, 10, 143–158. [Google Scholar] [CrossRef]
- Grimmond, C.S.B.; King, T.S.; Cropley, F.D.; Nowak, D.J.; Souch, C. Local-scale fluxes of carbon dioxide in urban environments: Methodological challenges and results from Chicago. Environ. Pollut. 2002, 116, 243–254. [Google Scholar] [CrossRef] [PubMed]
- Escobedo, F.; Varela, S.; Zhao, M.; Wagner, J.E.; Zipperer, W. Analyzing the efficacy of subtropical urban forests in offsetting carbon emissions from cities. Environ. Sci. Policy 2010, 13, 362–372. [Google Scholar] [CrossRef]
- Weissert, L.F.; Salmond, J.A.; Schwendenmann, L. A review of the current progress in quantifying the potential of urban forests to mitigate urban CO2 emissions. Urban Clim. 2014, 8, 100–125. [Google Scholar] [CrossRef]
- Nowak, D.J.; Greenfield, E.J.; Hoehn, R.E.; Lapoint, E. Carbon storage and sequestration by trees in urban and community areas of the United States. Environ. Pollut. 2013, 178, 229–236. [Google Scholar] [CrossRef]
- Zhao, M.; Kong, Z.H.; Escobedo, F.J.; Gao, J. Impacts of urban forests on offsetting carbon emissions from industrial energy use in Hangzhou, China. J. Environ. Manag. 2010, 91, 807–813. [Google Scholar] [CrossRef] [PubMed]
- López-López, S.F.; Martínez-Trinidad, T.; Benavides-Meza, H.M.; García-Nieto, M.; Ángeles-Pérez, G. Reservorios de biomasa y carbono en el arbolado de la primera sección del Bosque de Chapultepec, Ciudad de México. Madera Bosques 2018, 24, e2431620. [Google Scholar] [CrossRef]
- Rubiano, K. Distribución de la infraestructura verde y su capacidad de regulación térmica en Bogotá, Colombia. Colomb. For. 2019, 22, 83–100. [Google Scholar] [CrossRef]
- Núñez-Florez, R.; Pérez-Gómez, U.; Fernández-Méndez, F. Functional diversity criteria for selecting urban trees. Urban For. Urban Green. 2019, 38, 251–266. [Google Scholar] [CrossRef]
- Mariano, M.V.; Almeida, C.M.V.B.D.; Bonilla, S.H.; Agostinho, F.; Giannetti, B.F. Avaliação em emergia como ferramenta de gestão nos parques urbanos de São Paulo. Gestão Produção 2015, 22, 443–458. [Google Scholar] [CrossRef][Green Version]
- Dobbs, C.; Nitschke, C.; Kendal, D. Assessing the drivers shaping global patterns of urban vegetation landscape structure. Sci. Total Environ. 2017, 592, 171–177. [Google Scholar] [CrossRef]
- Carretero, E.M.; Moreno, G.; Duplancic, A.; Abud, A.; Vento, B.; Jauregui, J.A. Urban Forest of Mendoza (Argentina): The role of Morus alba (Moraceae) in carbon storage. Carbon Manag. 2017, 8, 237–244. [Google Scholar] [CrossRef]
- Reynolds, C.C.; Escobedo, F.J.; Clerici, N.; Zea-Camaño, J. Does “greening” of neotropical cities considerably mitigate carbon dioxide emissions? The case of Medellin, Colombia. Sustainability 2017, 9, 785. [Google Scholar] [CrossRef]
- Lüttge, U.; Buckeridge, M. Trees: Structure and function and the challenges of urbanization. Trees 2020, 37, 9–16. [Google Scholar] [CrossRef]
- Clark, J.R.; Kjelgren, R. Water as a limiting factor in the development of urban trees. J. Arboric. 1990, 16, 203–208. [Google Scholar] [CrossRef]
- Morgenroth, J.; Buchan, G.D. Soil moisture and aeration beneath pervious and impervious pavements. Arboric. Urban For. 2009, 35, 135–141. [Google Scholar] [CrossRef]
- Day, S.D.; Dove, J.E.; Bartens, J.; Harris, J.R. Stormwater management that combines paved surfaces and urban trees. In GeoCongress 2008: Geosustainability and Geohazard Mitigation, Proceedings of GeoCongress 2008, New Orleans, LA, USA, 9–12 March 2008; American Society of Civil Engineers: Reston, VA, USA, 2008; pp. 1129–1136. [Google Scholar]
- Bartens, J.; Day, S.D.; Harris, J.R.; Dove, J.E.; Wynn, T.M. Can urban tree roots improve infiltration through compacted subsoils for stormwater management? J. Environ. Qual. 2008, 37, 2048–2057. [Google Scholar] [CrossRef] [PubMed]
- Armson, D.; Rahman, M.A.; Ennos, A.R. A comparison of the shading effectiveness of five different street tree species in Manchester, UK. Arboric. Urban For. 2013, 39, 157–164. [Google Scholar] [CrossRef]
- Moser, A.; Rötzer, T.; Pauleit, S.; Pretzsch, H. Structure and ecosystem services of small-leaved lime (Tilia cordata Mill.) and black locust (Robinia pseudoacacia L.) in urban environments. Urban For. Urban Green. 2015, 14, 1110–1121. [Google Scholar] [CrossRef]
- Moser, A.; Rahman, M.A.; Pretzsch, H.; Pauleit, S.; Rötzer, T. Inter-and intraannual growth patterns of urban small-leaved lime (Tilia cordata mill.) at two public squares with contrasting microclimatic conditions. Int. J. Biometeorol. 2017, 61, 1095–1107. [Google Scholar] [CrossRef] [PubMed]
- Way, D.A.; Oren, R. Differential responses to changes in growth temperature between trees from different functional groups and biomes: A review and synthesis of data. Tree Physiol. 2010, 30, 669–688. [Google Scholar] [CrossRef] [PubMed]
- Yoon, T.K.; Park, C.W.; Lee, S.J.; Ko, S.; Kim, K.N.; Son, Y.; Lee, K.H.; Oh, S.; Lee, W.K.; Son, Y. Allometric equations for estimating the aboveground volume of five common urban street tree species in Daegu, Korea. Urban For. Urban Green. 2013, 12, 344–349. [Google Scholar] [CrossRef]
- Chojnacky, D.C.; Heath, L.S.; Jenkins, J.C. Updated generalized biomass equations for North American tree species. Forestry 2014, 87, 129–151. [Google Scholar] [CrossRef]
- Farias, A.R.; Mingoti, R.; Lalle, L.D.; Spadotto, C.A.; Lovisi Filho, E. Identificação, Mapeamento e Quantificação das Áreas Urbanas do Brasil. 2017. Available online: http://www.infoteca.cnptia.embrapa.br/infoteca/handle/doc/1069928 (accessed on 26 October 2022).
- IBGE—Instituto Brasileiro de Geografia e Estatística. Dados do Censo. 2010. Available online: http://www.censo2010.ibge.gov.br/ (accessed on 12 September 2022).
- IBGE—Instituto Brasileiro de Geografia e Estatística. Dados do Censo. 2022. Available online: https://www.ibge.gov.br/estatisticas/sociais/populacao/9103-estimativas-de-populacao.html?=&t=resultados (accessed on 15 January 2023).
- Alvares, C.A.; Stape, J.L.; Sentelhas, P.C.; Gonçalves, J.D.M.; Sparovek, G. Köppen’s climate classification map for Brazil. Meteorol. Z. 2013, 22, 711–728. [Google Scholar] [CrossRef]
- Laboratory of Photovoltaic Systems (LSF); Institute of Energy and Environment of the University of São Paulo (IEE-USP). 2022. Available online: https://lsf.iee.usp.br/ (accessed on 15 January 2023).
- Ribeiro, F.N.; de Oliveira, A.P.; Soares, J.; de Miranda, R.M.; Barlage, M.; Chen, F. Effect of sea breeze propagation on the urban boundary layer of the metropolitan region of Sao Paulo, Brazil. Atmos. Res. 2018, 214, 174–188. [Google Scholar] [CrossRef]
- Oliveira, A.P.; Bornstein, R.D.; Soares, J. Annual and diurnal wind patterns in the city of São Paulo. Water Air Soil Pollut. Focus 2003, 3, 3–15. [Google Scholar] [CrossRef]
- Gagnon, E.; Bruneau, A.; Hughes, C.E.; de Queiroz, L.P.; Lewis, G.P. A new generic system for the pantropical Caesalpinia group (Leguminosae). PhytoKeys 2016, 71, 1–160. [Google Scholar] [CrossRef]
- Lorenzi, H. Árvores Brasileiras: Manual de Identificação e Cultivo de Plantas Arbóreas Nativas do Brasil, 7th ed.; Instituto Plantarum de Estudos da Flora: São Paulo, Brazil, 2016. [Google Scholar]
- Silva, L.F.; Lima, A.M.L.P.; Filho, D.F.S.; Couto, H.T.Z. Interceptação da chuva pelas copas das espécies de Caesalpinia pluviosa DC. (Sibipiruna) e Tipuana tipu O. Kuntze (Tipuana) em arborização urbana. Sci. For. 2008, 36, 307–315. [Google Scholar]
- Lima, M.W.; Trivilato, R.A.; Bezerra, I.M.; Morais, M.J.; Paixão, A.P.; Melo, L.E.; Basto, V.D.; Klingenberg, D.; Nolasco, A.M.; Dias Júnior, A.F.; et al. Propriedades tecnológicas de sete espécies provenientes da arborização urbana. Eng. Ind. Madeireira Tecnol. Pesqui. Tendências 2020, 31, 305–316. [Google Scholar]
- Guimarães, J.L.; Hüther, C.M.; Almeida, R.D.B.D.; Nogueira, L.T.; Carvalho, L.F.D.; Borella, J.; Machado, T.D.B.; Pereira, C.R. The specific leaf area of forest species subjected to different degrees of shading did not differ when detached and full leaflets were compared. Semin. Ciências Agrárias 2020, 41, 1837–1848. [Google Scholar] [CrossRef]
- Rahman, M.A.; Moser, A.; Rötzer, T.; Paulett, S. Microclimate differences and their influence on transpirational cooling of Tilia cordata in two contrasting street canyons in Munich, Germany. Agric. For. Meteorol. 2017, 232, 443–456. [Google Scholar] [CrossRef]
- McPherson, E.G.; Nowak, D.J.; Rowntree, R.A. Chicago’s Urban Forest Ecosystem: Results of the Chicago Urban Forest Climate Project; Forest Service General Technical Report (Final); Northeastern Forest Experiment Station: Radnor, PA, USA, 1994. [Google Scholar]
- McHale, M.R.; Burke, I.C.; Lefsky, M.A.; Peper, P.J.; McPherson, E.G. Urban forest biomass estimates: Is it important to use allometric relationships developed specifically for urban trees? Urban Ecosyst. 2009, 12, 95–113. [Google Scholar] [CrossRef]
- McPherson, E.G.; Nowak, D.; Heisler, G.; Grimmond, S.; Souch, C.; Grant, R.; Rowntree, R. Quantifying urban forest structure, function, and value: The Chicago Urban Forest Climate Project. Urban Ecosyst. 1997, 1, 49–61. [Google Scholar] [CrossRef]
- Nowak, D.J.; Crane, D.E. Carbon storage and sequestration by urban trees in the USA. Environ. Pollut. 2002, 116, 381–389. [Google Scholar] [CrossRef]
- Aguaron, E.; McPherson, E.G. Comparison of methods for estimating carbon dioxide storage by Sacramento’s urban forest. In Carbon Sequestration in Urban Ecosystems; Lal, R., Augustin, B., Eds.; Springer: Dordrecht, The Netherlands, 2012; pp. 43–71. [Google Scholar]
- Pretzsch, H.; Dauber, E.; Biber, P. Species-specific and ontogeny-related stem allometry of European forest trees: Evidence from extensive stem analyses. For. Sci. 2013, 59, 290–302. [Google Scholar] [CrossRef]
- Hydraulic Technology Center Foundation (FCTH). Alto Tietê Telemetry Network; Flooding Alert System of São Paulo (SAISP): São Paulo, Brazil, 2022. [Google Scholar]
- Wang, Z.; Yang, B.; Deslauriers, A.; Braeuning, A. Intra-annual stem radial increment response of Qilian juniper to temperature and precipitation along an altitudinal gradient in northwestern China. Trees-Struct. Funct. 2015, 29, 25–34. [Google Scholar] [CrossRef]
- Mäkinen, H.; Seo, J.W.; Nöjd, P.; Schmitt, U.; Jalkanen, R. Seasonal dynamics of wood formation: A comparison between pinning, micro coring and dendrometer measurements. Eur. J. For. Res. 2008, 127, 235–245. [Google Scholar] [CrossRef]
- Drew, D.M.; Downes, G.M. The use of precision dendrometers in research on daily stem size and wood property variation: A review. Dendrochronologia 2009, 27, 159–172. [Google Scholar] [CrossRef]
- Muggeo, V.M.R. Estimating regression models with unknown break-points. Stat. Med. 2003, 22, 3055–3071. [Google Scholar] [CrossRef]
- Muggeo, V.M.R. Regression Models with Break-Points/Change-Points Estimation (with Possibly Random Effects), R Package version 2.1-0; R Foundation for Statistical Computing: Vienna, Austria, 2008; pp. 1–6. Available online: https://cran.r-project.org/package=segmented (accessed on 15 January 2023).
- Forrester, D.I.; Tachauer, I.H.H.; Annighoefer, P.; Barbeito, I.; Pretzsch, H.; Ruiz-Peinado, R.; Stark, H.; Vacchiano, G.; Zlatanov, T.; Chakraborty, T.; et al. Generalized biomass and leaf area allometric equations for European tree species incorporating stand structure, tree age and climate. For. Ecol. Manag. 2017, 396, 160–175. [Google Scholar] [CrossRef]
- Cairns, M.A.; Brown, S.; Helmer, E.H.; Baumgardner, G.A. Root biomass allocation in the world’s upland forests. Oecologia 1997, 111, 1–11. [Google Scholar] [CrossRef]
- R Core Team. R. A Language and Environment for Statistical Computing; R Foundation for Statistical Computing: Vienna, Austria, 2020; Available online: https://www.R-project.org/ (accessed on 10 June 2021).
- Gheyret, G.; Zhang, H.T.; Guo, Y.; Liu, T.Y.; Bai, Y.H.; Li, S.; Schmid, B.; Bruelheide, H.; Ma, K.; Tang, Z. Radial growth response of trees to seasonal soil humidity in a subtropical forest. Basic Appl. Ecol. 2021, 55, 74–86. [Google Scholar] [CrossRef]
- Russo, A.; Escobedo, F.J.; Timilsina, N.; Schmitt, A.O.; Varela, S.; Zerbe, S. Assessing urban tree carbon storage and sequestration in Bolzano, Italy. Int. J. Biodivers. Sci. Ecosyst. Serv. Manag. 2014, 10, 54–70. [Google Scholar] [CrossRef]
- Tang, Y.; Chen, A.; Zhao, S. Carbon storage and sequestration of urban street trees in Beijing, China. Front. Ecol. Evol. 2016, 4, 53. [Google Scholar] [CrossRef]
- Mullaney, J.; Lucke, T.; Trueman, S.J. The effect of permeable pavements with an underlying base layer on the growth and nutrient status of urban trees. Urban For. Urban Green. 2015, 14, 19–29. [Google Scholar] [CrossRef]
- Mullaney, J.; Lucke, T.; Trueman, S.J.; Hosseini Bai, S. The growth and health of street trees planted in permeable pavements. Acta Hortic. 2016, 1108, 77–82. [Google Scholar] [CrossRef]
- de la Mota Daniel, F.J.; Day, S.D.; Owen Jr, J.S.; Stewart, R.D.; Steele, M.K.; Sridhar, V. Porous-permeable pavements promote growth and establishment and modify root depth distribution of Platanus × acerifolia (Aiton) Willd. in simulated urban tree pits. Urban For. Urban Green. 2018, 33, 27–36. [Google Scholar] [CrossRef]
- Vemado, F.; Pereira Filho, A.J. Severe weather caused by heat island and sea breeze effects in the metropolitan area of São Paulo, Brazil. Adv. Meteorol. 2016, 2016, 8364134. [Google Scholar] [CrossRef]








| CPA (m2) | Degree of Grass Area within CPA (%) | Crown Diameter (m) | Crown Start (m) | Crown Volume (m3) | DBH (cm) | Height (m) | LAI (2000)-Log October 2022 | |
|---|---|---|---|---|---|---|---|---|
| TreeLab IBIRA | ||||||||
| 1 | 90.27 | 100 | 10.72 | 9.5 | 315.9 | 40.13 | 13.00 | 2.94 |
| 2 | 66.15 | 100 | 9.18 | 7.2 | 357.23 | 49.70 | 12.60 | 1.47 |
| TreeLab PIN | ||||||||
| 1 | 154.48 | 0.19 | 14.02 | 7.2 | 231.71 | 49.40 | 9.77 | 3.29 |
| Sites | ST (°C) | VWC (%) |
|---|---|---|
| IBIRA | 19.0 ± 2.4 * | 22.0 ± 6.8 * |
| PIN | 21.2 ± 2.1 * | 17.5 ± 6.6 * |
| t-value | −14.069 | 9.5324 |
| df | 823.48 | 831.53 |
| p-value | 2.2 × 10−16 | 2.2 × 10−16 |
| TreeLab | Time Frame | Estimated Stem Growth Tax (µm/day) | Confidence Interval | |
|---|---|---|---|---|
| Lower Limit | Upper Limit | |||
| IBI1 | 24/08/21–19/10/21 | 9.29 | 8.43 | 10.15 |
| 19/10/21–03/01/22 | 7.75 | 7.19 | 8.31 | |
| 03/01/22–17/03/22 | 2.06 | 1.46 | 2.67 | |
| after 17/03/22 | −0.08 | −0.21 | 0.05 | |
| IBI2 | 24/08/2021–10/02/22 | 9.54 | 9.37 | 9.70 |
| 10/02/22–30/03/22 | 28.76 | 27.61 | 29.91 | |
| 30/03/22–01/08/22 | 0.30 | 0.03 | 0.57 | |
| After 01/08/22 | 0.81 | 0.03 | 1.59 | |
| PIN1 | 24/08/21–28/11/21 | 6.33 | 5.94 | 6.73 |
| 28/11/21–10/03/22 | 1.50 | 1.15 | 1.86 | |
| 10/03/22–12/04/22 | 10.69 | 8.73 | 12.65 | |
| after 12/04/22 | 0.89 | 0.73 | 1.06 | |
| Site | Stem Growth Increment mm/Period | BAI—Basal Area Increment mm2/Period |
|---|---|---|
| IBIRA1 | 1.2 | 1516.6 |
| IBIRA2 | 3.0 | 4710.0 |
| PIN | 1.3 | 2021.8 |
| Initial Total Biomass (kg C) | Initial Fixed CO2 (kg CO2) | Final total Biomass (kg C) | Final Fixed CO2 (kg CO2) | Total Biomass Increment (kg C) | Total Fixed CO2 Increment (kg CO2) | |
|---|---|---|---|---|---|---|
| 24/08/2021 | 24/08/2021 | 15/10/2022 | 15/10/2022 | 418 days | 418 days | |
| IBI1 | 347.7 | 1274.80 | 351.1 | 1287.40 | 4.2 | 15.3 |
| IBI2 | 521.1 | 1910.60 | 532 | 1953.70 | 12.8 | 47.1 |
| PIN | 463.1 | 1698 | 468 | 1716 | 4.9 | 17.9 |
Disclaimer/Publisher’s Note: The statements, opinions and data contained in all publications are solely those of the individual author(s) and contributor(s) and not of MDPI and/or the editor(s). MDPI and/or the editor(s) disclaim responsibility for any injury to people or property resulting from any ideas, methods, instructions or products referred to in the content. |
© 2024 by the authors. Licensee MDPI, Basel, Switzerland. This article is an open access article distributed under the terms and conditions of the Creative Commons Attribution (CC BY) license (https://creativecommons.org/licenses/by/4.0/).
Share and Cite
Rodrigues-Leite, J.; Duarte, D.; Moser-Reischl, A.; Rötzer, T. Cenostigma pluviosum Tree Stem Growth and Carbon Storage in a Subtropical Urban Environment: A Case Study in Sao Paulo City. Forests 2024, 15, 1239. https://doi.org/10.3390/f15071239
Rodrigues-Leite J, Duarte D, Moser-Reischl A, Rötzer T. Cenostigma pluviosum Tree Stem Growth and Carbon Storage in a Subtropical Urban Environment: A Case Study in Sao Paulo City. Forests. 2024; 15(7):1239. https://doi.org/10.3390/f15071239
Chicago/Turabian StyleRodrigues-Leite, Julia, Denise Duarte, Astrid Moser-Reischl, and Thomas Rötzer. 2024. "Cenostigma pluviosum Tree Stem Growth and Carbon Storage in a Subtropical Urban Environment: A Case Study in Sao Paulo City" Forests 15, no. 7: 1239. https://doi.org/10.3390/f15071239
APA StyleRodrigues-Leite, J., Duarte, D., Moser-Reischl, A., & Rötzer, T. (2024). Cenostigma pluviosum Tree Stem Growth and Carbon Storage in a Subtropical Urban Environment: A Case Study in Sao Paulo City. Forests, 15(7), 1239. https://doi.org/10.3390/f15071239

