Spatio-Temporal Evolution of Vegetation Coverage and Eco-Environmental Quality and Their Coupling Relationship: A Case Study of Southwestern Shandong Province, China
Abstract
1. Introduction
2. Materials and Method
2.1. Study Area
2.2. Data Preparation
2.3. Experimental Methodology
2.3.1. Pixel Dichotomy Technique
2.3.2. RSEI Method
| Index | Formulas | Bibliographic Reference | |
|---|---|---|---|
| Remote Sensing Ecological Index (RSEI) | (2) | [40] | |
| Greenness Index | (3) | [42] | |
| Wetness Index | (4) | [43] | |
| (5) | [44] | ||
| Dryness Index | (6) | ||
| (7) | [45] | ||
| (8) | [46] | ||
2.3.3. Trend Analysis
2.3.4. Persistence Analysis
2.3.5. Improved Coupled Coordination Degree Model
3. Results
3.1. Characteristics of Vegetation Coverage in SSUA
3.1.1. Patterns of Spatio-Temporal Fluctuations in Vegetation Coverage
3.1.2. Trend Patterns of Vegetation Coverage
3.1.3. Persistence Analysis of Vegetation Coverage
3.2. Characteristics of Environmental Quality in Southwestern Shandong Province
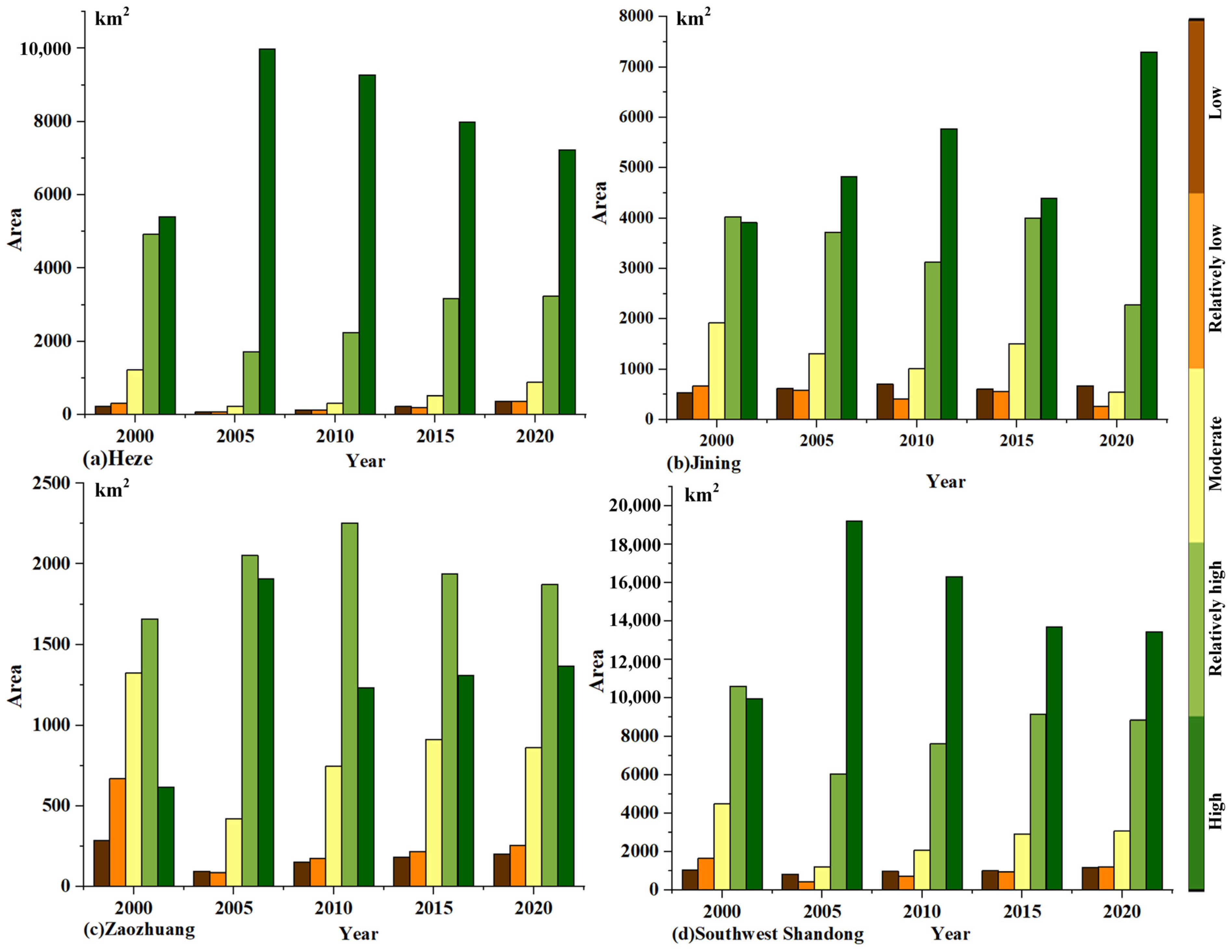
3.2.1. Characteristics of Spatio-Temporal Distribution of Environmental Condition
3.2.2. Trend Characteristics of Eco-Environmental Condition
3.2.3. Persistence Analysis of Eco-Environmental Condition
3.3. Assessment of the Coupling Coordination between Vegetation Coverage and Eco-Environmental Condition
4. Discussion
5. Conclusions
- (1)
- Over the past two decades, the vegetation coverage and eco-environmental quality in the study area has a certain degree of improvement. These aspects have demonstrated a consistent shift from lower to higher levels. This discovery backs the hypothesis that urban and regional development policies have positively influenced ecological quality in the area.
- (2)
- Following the trend analysis results, most areas in the SSUA have exhibited an improving trend in both VC and ecological conditions over the past twenty years. This confirmation suggests that while overall trends are positive, urban expansion can negatively impact specific regions.
- (3)
- There will be a tendency towards improved VC and ecological conditions in the future in the majority of regions within the SSUA. However, there are still some regions where degradation is anticipated. Future changes in vegetation cover and ecological quality require researchers to continuously monitor and develop adaptive management strategies.
- (4)
- The coupling relationship between vegetation cover and ecological conditions in the southwestern Shandong region predominantly manifests as an orderly and coordinated state of development. However, there is a growing trend of discoordination near economic centers, indicating that urbanization and economic activities increasingly challenge the ecological balance. Areas with high economic activity are more susceptible to ecological imbalances.
Author Contributions
Funding
Data Availability Statement
Conflicts of Interest
References
- Liu, C.; Li, X.; Han, D. Accessibility analysis of urban parks: Methods and key issues. Acta Ecol. Sin. 2010, 30, 5381–5390. [Google Scholar]
- Hao, X. Analysis of meteorological factors affecting the autumn phenology of woody plants in southwest part of Shandong Province. J. Shaanxi Meteorol. 2022, 3, 53–59. [Google Scholar]
- Wei, Q.; Ling, L.; Chai, C.; Zhang, G.; Yan, P.; Tao, J.; Xue, R. Soil physical and chemical properties in forest succession process in Xinglong Mountain of Gansu. Acta Ecol. Sin. 2012, 32, 4700–4713. [Google Scholar] [CrossRef]
- Xie, Q.; Yang, X.; Hao, L. Spatio-temporal Variation of Vegetation Cover and Its Driving Factors in Three-River Headwaters Region during 2001–2020. Bull. Soil Water Conserv. 2022, 42, 202–212. [Google Scholar] [CrossRef]
- Yang, S.; Liu, J.; Wei, R.; Dong, X.; Lin, Q.; Zhang, C. Spatiotemporal variation characteristics and causes of vegetation coverage in growing season in the upper reaches of the Yangtze River Basin. Resour. Environ. Yangtze Basin 2021, 31, 1523–1533. [Google Scholar]
- Zhang, X.; Wang, G.; Xue, B.; Yinglan, A. Changes in vegetation cover and its influencing factors in the inner Mongolia reach of the yellow river basin from 2001 to 2018. Environ. Res. 2022, 215, 114253. [Google Scholar] [CrossRef] [PubMed]
- Liu, J.; Fan, J.; Yang, C.; Xu, F.; Zhang, X. Novel vegetation indices for estimating photosynthetic and non-photosynthetic fractional vegetation cover from Sentinel data. Int. J. Appl. Earth Obs. Geoinf. 2022, 109, 102793. [Google Scholar] [CrossRef]
- Yang, Z.; Tian, J.; Su, W.; Wu, J.; Liu, J.; Liu, W.; Guo, R. Analysis of ecological environmental quality change in the Yellow River Basin using the remote-sensing-based ecological index. Sustainability 2022, 14, 10726. [Google Scholar] [CrossRef]
- Liu, C.; Zhang, X.; Wang, T.; Chen, G.; Zhu, K.; Wang, Q.; Wang, J. Detection of vegetation coverage changes in the Yellow River Basin from 2003 to 2020. Ecol. Indic. 2022, 138, 108818. [Google Scholar] [CrossRef]
- Yu, H.; Zahidi, I.; Liang, D. Spatiotemporal variation of vegetation cover in mining areas of Dexing City, China. Environ. Res. 2023, 225, 115634. [Google Scholar] [CrossRef]
- Zhao, X.; Han, D.; Lu, Q.; Li, Y.; Zhang, F. Spatiotemporal variations in ecological quality of Otindag Sandy Land based on a new modified remote sensing ecological index. J. Arid Land. 2023, 15, 920–939. [Google Scholar] [CrossRef]
- Yao, H. Coupling Degree Model for Urbanization and Ecological Environment. Ekoloji. Derg. 2019, 28, 1481–1485. [Google Scholar]
- Wu, M.; Vico, G.; Manzoni, S.; Cai, Z.; Bassiouni, M.; Tian, F.; Zhang, J.; Ye, K.; Messori, G. Early growing season anomalies in vegetation activity determine the large-scale climate-vegetation coupling in Europe. J. Geophys. Res. Biogeosci. 2021, 126, e2020JG006167. [Google Scholar] [CrossRef]
- Yang, G.; Huang, K.; Sun, W.; Meng, X.; Mao, D.; Ge, Y. Enhanced mangrove vegetation index based on hyperspectral images for mapping mangrove. ISPRS J. Photogramm. Remote Sens. 2022, 189, 236–254. [Google Scholar] [CrossRef]
- Yan, K.; Gao, S.; Chi, H.; Qi, J.; Song, W.; Tong, Y.; Mu, X.; Yan, G. Evaluation of the vegetation-index-based dimidiate pixel model for fractional vegetation cover estimation. IEEE Trans. Geosci. Remote Sens. 2021, 60, 1–14. [Google Scholar] [CrossRef]
- Feng, Q.; Liu, J.; Gong, J. UAV remote sensing for urban vegetation mapping using random forest and texture analysis. Remote Sens. 2015, 7, 1074–1094. [Google Scholar] [CrossRef]
- Feng, F.; Yang, X.; Jia, B.; Li, X.; Li, X.; Xu, C.; Wang, K. Variability of urban fractional vegetation cover and its driving factors in 328 cities in China. Sci. China Earth Sci. 2024, 67, 466–482. [Google Scholar] [CrossRef]
- Satti, Z.; Naveed, M.; Shafeeque, M.; Ali, S.; Abdullaev, F.; Ashraf, T.M.; Irshad, M.; Li, L. Effects of climate change on vegetation and snow cover area in Gilgit Baltistan using MODIS data. Environ. Sci. Pollut. Res. 2023, 30, 19149–19166. [Google Scholar] [CrossRef] [PubMed]
- Xie, L.; Meng, X.; Zhao, X.; Fu, L.; Sharma, R.P.; Sun, H. Estimating Fractional Vegetation Cover Changes in Desert Regions Using RGB Data. Remote Sens. 2022, 14, 3833. [Google Scholar] [CrossRef]
- Jiang, J.; Yu, Q.; Niu, Z.; Liang, C.; Gao, Y.; ZHANG, L.; ZHANG, H. Remote Sensing Extraction of Potamogeton crispus L. in Nansi Lake based on Sentinel-2. Remote Sens. Technol. Appl. 2023, 38, 1192–1202. [Google Scholar]
- Yao, J.; Li, X.; Zhang, J. Evaluation and analysis of ecological environment quality based on information entropy. Fresenius Environ. Bull. 2021, 30, 9128–9134. [Google Scholar]
- Xiong, Y.; Xu, W.; Huang, S.; Wu, C.; Dai, F.; Wang, L.; Lu, N.; Kou, W. Ecological environment quality assessment of Xishuangbanna rubber plantations expansion (1995–2018) based on multi-temporal Landsat imagery and RSEI. Geocarto Int. 2022, 37, 3441–3468. [Google Scholar] [CrossRef]
- Xiong, Y.; Xu, W.; Lu, N.; Huang, S.; Wu, C.; Wang, L.; Dai, F.; Kou, W. Assessment of spatial–temporal changes of ecological environment quality based on RSEI and GEE: A case study in Erhai Lake Basin, Yunnan province, China. Ecol. Indic. 2021, 125, 107518. [Google Scholar] [CrossRef]
- Zhang, H.; Wang, W.; Song, Y.; Miao, L.; Ma, C. Ecological index evaluation of arid inflow area based on the modified remote sensing ecological index: A case study of Tabu River Basin at the northern foot of the Yin Mountains. Acta Ecol. Sin. 2024, 44, 38–58. [Google Scholar] [CrossRef]
- Yang, W.; Zhou, Y.; Li, C. Assessment of Ecological Environment Quality in Rare Earth Mining Areas Based on Improved RSEI. Sustainability 2023, 15, 2964. [Google Scholar] [CrossRef]
- Chen, N.; Cheng, G.; Yang, J.; Ding, H.; He, S. Evaluation of Urban Ecological Environment Quality Based on Improved RSEI and Driving Factors Analysis. Sustainability 2023, 15, 8464. [Google Scholar] [CrossRef]
- Gu, F.; Xu, G.; Wang, B.; Jia, L.; Xu, M. Vegetation cover change and restoration potential in the Ziwuling Forest Region, China. Ecol. Eng. 2023, 187, 106877. [Google Scholar] [CrossRef]
- Luo, Z.; Liu, Y.; Zhou, H. The vegetation–topography heterogeneity coupling in the Loess Plateau, China. Front. Environ. Sci. 2024, 12, 1343215. [Google Scholar] [CrossRef]
- He, L.; Guo, J.; Jiang, Q.; Zhang, Z.; Yu, S. How did the Chinese Loess Plateau turn green from 2001 to 2020? An explanation using satellite data. Catena 2022, 214, 106246. [Google Scholar] [CrossRef]
- Lei, X.; Liu, H.; Li, S.; Luo, Q.; Cheng, S.; Hu, G.; Wang, X.; Bai, W. Coupling coordination analysis of urbanization and ecological environment in Chengdu-Chongqing urban agglomeration. Ecol. Indic. 2024, 161, 111969. [Google Scholar] [CrossRef]
- Zhao, Y.; Hou, P.; Jiang, J.; Zhai, J.; Chen, Y.; Wang, Y.; Bai, J.; Zhang, B.; Xu, H. Coordination study on ecological and economic coupling of the Yellow River Basin. Int. J. Environ. Res. Public Health 2021, 18, 10664. [Google Scholar] [CrossRef] [PubMed]
- Gao, Z.; Liu, J.; Feng, J.; Wang, M.; Wu, G. Hydrogeochemical Characteristics and the Suitability of Groundwater in the Alluvial-Diluvial Plain of Southwest Shandong Province, China. Water 2019, 11, 1577. [Google Scholar] [CrossRef]
- Luo, M.; Zhang, S.; Huang, L.; Liu, Z.; Yang, L.; Li, R.; Lin, X. Temporal and Spatial Changes of Ecological Environment Quality Based on RSEI: A Case Study in Ulan Mulun River Basin, China. Sustainability 2022, 14, 13232. [Google Scholar] [CrossRef]
- Yang, X.; Meng, F.; Fu, P.; Zhang, Y.; Liu, Y. Spatiotemporal change and driving factors of the Eco-Environment quality in the Yangtze River Basin from 2001 to 2019. Ecol. Indic. 2021, 131, 108214. [Google Scholar] [CrossRef]
- Chen, W.; Xia, L.; Xu, G.; Yu, S.; Chen, H.; Chen, J. Dynamic variation of NDVI and its influencing factors in the Pearl River Basin from 2000 to 2020. Ecol. Environ. 2022, 31, 1306. [Google Scholar] [CrossRef]
- Liu, M.; Liu, Y.; Chen, M.; Li, Q.; Liang, Q.; Zou, J.; Tuerhong, J. Spatiotemporal Evolution of Vegetation Coverage and Its Response to Climate Change in Upper Reaches of Ganjiang River Basin during 2000–2018. Bull. Soil Water Conserv. 2020, 40, 284–290. [Google Scholar] [CrossRef]
- Dong, G.; Ge, Y.; Liu, J.; Kong, X.; Zhai, R. Evaluation of coupling relationship between urbanization and air quality based on improved coupling coordination degree model in Shandong Province, China. Ecol. Indic. 2023, 154, 110578. [Google Scholar] [CrossRef]
- Li, X.; Shi, Z.; Yu, J.; Liang, J. Study on the Change in Vegetation Coverage in Desert Oasis and Its Driving Factors from 1990 to 2020 Based on Google Earth Engine. Appl. Sci. 2023, 13, 5394. [Google Scholar] [CrossRef]
- Gong, Z.; Zhao, S.; Gu, J. Correlation analysis between vegetation coverage and climate drought conditions in North China during 2001–2013. J. Geogr. Sci. 2017, 27, 143–160. [Google Scholar] [CrossRef]
- Xu, H. A remote sensing index for assessment of regional ecological changes. Remote Sens. Technol. Appl. 2013, 22, 301–308. [Google Scholar]
- Yang, H.; Yu, J.; Xu, W.; Wu, Y.; Lei, X.; Ye, J.; Geng, J.; Ding, Z. Long-time series ecological environment quality monitoring and cause analysis in the Dianchi Lake Basin, China. Ecol. Indic. 2023, 148, 110084. [Google Scholar] [CrossRef]
- Li, M.; Wu, B.; Yan, C.; Zhou, W. Estimation of vegetation fraction in the upper basin of Miyun reservoir by remote sensing. Resour. Sci. 2004, 26, 153–159. [Google Scholar] [CrossRef]
- Crist, E.P. A TM tasseled cap equivalent transformation for reflectance factor data. Remote Sens. Environ. 1985, 17, 301–306. [Google Scholar] [CrossRef]
- Baig, M.H.A.; Zhang, L.; Shuai, T.; Tong, Q. Derivation of a tasselled cap transformation based on Landsat 8 at-satellite reflectance. Remote Sens. Lett. 2014, 5, 423–431. [Google Scholar] [CrossRef]
- Xu, H. A new index-based built-up index (IBI) and its eco-environmental significance. Remote Sens. Technol. Appl. 2011, 22, 301–308. [Google Scholar] [CrossRef]
- Rikimaru, A.; Roy, P.; Miyatake, S. Tropical forest cover density mapping. Trop. Ecol. 2002, 43, 39–47. [Google Scholar]
- Wang, S.; Gao, M.; Li, Z.; Ma, J.; Peng, J. How Do Driving Factors Affect Vegetation Coverage Change in the Shaanxi Region of the Qinling Mountains? Remote Sens. 2023, 16, 160. [Google Scholar] [CrossRef]
- Zhang, D.; Ge, W.; Zhang, Y. Evaluating the vegetation restoration sustainability of ecological projects: A case study of Wuqi County in China. J. Clean. Prod. 2020, 264, 121751. [Google Scholar] [CrossRef]
- Jiang, W.; Yuan, L.; Wang, W.; Cao, R.; Zhang, Y.; Shen, W. Spatio-temporal analysis of vegetation variation in the Yellow River Basin. Ecol. Indic. 2015, 51, 117–126. [Google Scholar] [CrossRef]
- Zhang, L.; Wu, M.; Bai, W.; Jin, Y.; Yu, M.; Ren, J. Measuring coupling coordination between urban economic development and air quality based on the Fuzzy BWM and improved CCD model. Sustain. Cities Soc. 2021, 75, 103283. [Google Scholar] [CrossRef]
- Shen, L.; Huang, Y.; Huang, Z.; Lou, Y.; Ye, G.; Wong, S.-W. Improved coupling analysis on the coordination between socio-economy and carbon emission. Ecol. Indic. 2018, 94, 357–366. [Google Scholar] [CrossRef]
- Zhang, Z.; Li, Y. Coupling coordination and spatiotemporal dynamic evolution between urbanization and geological hazards–A case study from China. Sci. Total Environ. 2020, 728, 138825. [Google Scholar] [CrossRef] [PubMed]
- Nie, T.; Dong, G.; Jiang, X.; Lei, Y. Spatio-temporal changes and driving forces of vegetation coverage on the loess plateau of Northern Shaanxi. Remote Sens. 2021, 13, 613. [Google Scholar] [CrossRef]
- Dong, H.; Liu, Y.; Cui, J.; Zhu, M.; Ji, W. Spatial and temporal variations of vegetation cover and its influencing factors in Shandong Province based on GEE. Environ. Monit. Assess. 2023, 195, 1023. [Google Scholar] [CrossRef] [PubMed]
- Wei, W.; Bao, Y.; Wang, Z.; Chen, X.; Luo, Q.; Mo, Y. Response of habitat quality to urban spatial morphological structure in multi-mountainous city. Ecol. Indic. 2023, 146, 109877. [Google Scholar] [CrossRef]
- Aizizi, Y.; Kasimu, A.; Liang, H.; Zhang, X.; Zhao, Y.; Wei, B. Evaluation of ecological space and ecological quality changes in urban agglomeration on the northern slope of the Tianshan Mountains. Ecol. Indic. 2023, 146, 109896. [Google Scholar] [CrossRef]
- Mu, W.; Zhu, X.; Ma, W.; Han, Y.; Huang, H.; Huang, X. Impact assessment of urbanization on vegetation net primary productivity: A case study of the core development area in central plains urban agglomeration, China. Environ. Res. 2023, 229, 115995. [Google Scholar] [CrossRef]
- Yuan, B.; Fu, L.; Zou, Y.; Zhang, S.; Chen, X.; Li, F.; Deng, Z.; Xie, Y. Spatiotemporal change detection of ecological quality and the associated affecting factors in Dongting Lake Basin, based on RSEI. J. Clean. Prod. 2021, 302, 126995. [Google Scholar] [CrossRef]
- Duo, A.; Zhao, W.; Qu, X.; Jing, R.; Xiong, K. Spatio-temporal variation of vegetation coverage and its response to climate change in North China plain in the last 33 years. Int. J. Appl. Earth Obs. Geoinf. 2016, 53, 103–117. [Google Scholar] [CrossRef]
- Xu, D.; Yang, F.; Yu, L.; Zhou, Y.; Li, H.; Ma, J.; Huang, J.; Wei, J.; Xu, Y.; Zhang, C. Quantization of the coupling mechanism between eco-environmental quality and urbanization from multisource remote sensing data. J. Clean. Prod. 2021, 321, 128948. [Google Scholar] [CrossRef]











| Data Name | Resolution | Data Sources |
|---|---|---|
| USGS Landsat 5 Level 2, Collection 2, Tier 1 | 30 m | USGS (https://www.usgs.gov/) [33] accessed on 15 July 2023 |
| USGS Landsat 8 Level 2, Collection 2, Tier 1 | 30 m | USGS (https://www.usgs.gov/) [33] accessed on 15 July 2023 |
| MOD11A2 | 1000 m | USGS (https://www.usgs.gov/) [34] accessed on 15 July 2023 |
| β | Z | Trend Categories | Trend Characteristics |
|---|---|---|---|
| β > 0 | 2.58 < Z | 4 | Extremely significant increase |
| 1.96 < Z ≤ 2.58 | 3 | Significant increase | |
| 1.65 < Z ≤ 1.96 | 2 | Slightly significant increase | |
| Z ≤ 1.65 | 1 | No significant increase | |
| β = 0 | Z | 0 | Unchanged |
| β < 0 | Z ≤ 1.65 | −1 | No significant reduction |
| 1.65 < Z ≤ 1.96 | −2 | Slightly significant reduction | |
| 1.96 < Z ≤ 2.58 | −3 | Significant reduction | |
| 2.58 < Z | −4 | Extremely significant reduction |
| Type | D | Subtype | Code |
|---|---|---|---|
| Balanced development | 0.8 < D < 1 | Complementary and coordinated development | VIII |
| 0.7 < D < 0.8 | Orderly and coordinated development | VII | |
| 0.6 < D < 0.7 | Slightly coordinated development | VI | |
| Transformative development | 0.5 < D < 0.6 | Barely coordinated development | V |
| 0.4 < D < 0.5 | Slightly uncoordinated development | IV | |
| 0.3 < D < 0.4 | Moderately uncoordinated development | III | |
| Imbalanced development | 0.2 < D < 0.3 | Low-level uncoordinated development | II |
| 0 < D < 0.2 | Seriously uncoordinated development | I |
Disclaimer/Publisher’s Note: The statements, opinions and data contained in all publications are solely those of the individual author(s) and contributor(s) and not of MDPI and/or the editor(s). MDPI and/or the editor(s) disclaim responsibility for any injury to people or property resulting from any ideas, methods, instructions or products referred to in the content. |
© 2024 by the authors. Licensee MDPI, Basel, Switzerland. This article is an open access article distributed under the terms and conditions of the Creative Commons Attribution (CC BY) license (https://creativecommons.org/licenses/by/4.0/).
Share and Cite
Ma, D.; Wang, Q.; Huang, Q.; Lin, Z.; Yan, Y. Spatio-Temporal Evolution of Vegetation Coverage and Eco-Environmental Quality and Their Coupling Relationship: A Case Study of Southwestern Shandong Province, China. Forests 2024, 15, 1200. https://doi.org/10.3390/f15071200
Ma D, Wang Q, Huang Q, Lin Z, Yan Y. Spatio-Temporal Evolution of Vegetation Coverage and Eco-Environmental Quality and Their Coupling Relationship: A Case Study of Southwestern Shandong Province, China. Forests. 2024; 15(7):1200. https://doi.org/10.3390/f15071200
Chicago/Turabian StyleMa, Dongling, Qian Wang, Qingji Huang, Zhenxin Lin, and Yingwei Yan. 2024. "Spatio-Temporal Evolution of Vegetation Coverage and Eco-Environmental Quality and Their Coupling Relationship: A Case Study of Southwestern Shandong Province, China" Forests 15, no. 7: 1200. https://doi.org/10.3390/f15071200
APA StyleMa, D., Wang, Q., Huang, Q., Lin, Z., & Yan, Y. (2024). Spatio-Temporal Evolution of Vegetation Coverage and Eco-Environmental Quality and Their Coupling Relationship: A Case Study of Southwestern Shandong Province, China. Forests, 15(7), 1200. https://doi.org/10.3390/f15071200

