Natural Regeneration Patterns of Juglans mandshurica in Different Habitats
Abstract
1. Introduction
2. Materials and Methods
2.1. Study Area
2.2. Experimental Design
2.3. Classification and Determination of Height Class, Ground Diameter Class, and Age Class
2.4. Calculation of Spatial Distribution Pattern Indicators
2.5. Calculation of Renewal Index
2.6. Data Processing
3. Results and Analysis
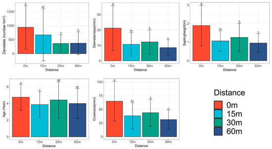
3.1. Growth of Natural Regeneration Seedlings of Juglans mandshurica in Different Habitats
3.2. Spatial Distribution Pattern of Natural Regeneration Seedlings of Juglans mandshurica in Different Habitats
3.3. Natural Regeneration Indices of Juglans mandshurica in Different Habitats
3.4. Analysis of Factors Affecting the Natural Regeneration of Juglans mandshurica in Different Habitats
4. Discussion
4.1. Analysis of Factors Affecting the Natural Regeneration of Juglans mandshurica in Different Habitats
4.2. Forest Edge Regeneration Characteristics of Juglans mandshurica
4.3. Distribution Pattern of Natural Regeneration of Juglans mandshurica in Different Habitats
4.4. Effect of Stand Vertical Structure on Natural Regeneration of Juglans mandshurica in Different Habitats
5. Conclusions
- The natural regeneration of Juglans mandshuric in different habitats showed an overall declining trend, with a low number of individuals in the lower age classes and insufficient resources for population follow-up. As time passes, seedlings from the forest edge formed by the road and the forest will gradually enter the successional layer; as the distance from the forest edge increases, the entry of Juglans mandshuric seedlings into the successional layer within the forest is restricted.
- The response of the regeneration of rowan in natural forests to the forest edge is positive, and this positive response decreases with increasing distance from the forest edge to the forest interior. In the future, the forest edge formed by the road and the forest can be used as a key site for the regeneration of rowan.
- Depending on the regeneration characteristics of the different habitats of Juglans mandshurica, different forestry measures should be taken to promote natural regeneration, taking into account the differences in the factors affecting the stand. The edge of the stand can be treated by cutting and irrigation, and the increase in the distance along the edge of the stand towards the forest can be treated by selective felling or interfering according to the stand density. For the conservation of native tree species such as rowan, it is not advisable to use traditional crude and monotonous forestry measures, and different forestry measures should be adopted according to the laws of natural regeneration.
Author Contributions
Funding
Data Availability Statement
Conflicts of Interest
References
- Szwagrzyk, J.; Szewczyk, J.; Bodziarczyk, J. Dynamics of Seedling Banks in Beech Forest: Results of a 10-Year Study on Germination, Growth and Survival. For. Ecol. Manag. 2001, 141, 237–250. [Google Scholar] [CrossRef]
- Raich, J.W.; Khoon, G.W. Effects of Canopy Openings on Tree Seed Germination in a Malaysian Dipterocarp Forest. J. Trop. Ecol. 1990, 6, 203–217. [Google Scholar] [CrossRef]
- Chazdon, R.L.; Guariguata, M.R. Natural Regeneration as a Tool for Large-Scale Forest Restoration in the Tropics: Prospects and Challenges. Biotropica 2016, 48, 716–730. [Google Scholar] [CrossRef]
- Maciel-Nájera, J.F.; Hernández-Velasco, J.; González-Elizondo, M.S.; Hernández-Díaz, J.C.; López-Sánchez, C.A.; Antúnez, P.; Bailón-Soto, C.E.; Wehenkel, C. Unexpected Spatial Patterns of Natural Regeneration in Typical Uneven-Aged Mixed Pine-Oak Forests in the Sierra Madre Occidental, Mexico. Glob. Ecol. Conserv. 2020, 23, e01074. [Google Scholar] [CrossRef]
- Harper, K.A.; Macdonald, S.E.; Burton, P.J.; Chen, J.; Brosofske, K.D.; Saunders, S.C.; Euskirchen, E.S.; Roberts, D.; Jaiteh, M.S.; Esseen, P.-A. Edge Influence on Forest Structure and Composition in Fragmented Landscapes. Conserv. Biol. 2005, 19, 768–782. [Google Scholar] [CrossRef]
- Meza-Elizalde, M.C.; Armenteras-Pascual, D. Edge Influence on the Microclimate and Vegetation of Fragments of a North Amazonian Forest. For. Ecol. Manag. 2021, 498, 119546. [Google Scholar] [CrossRef]
- Brokaw, N.V.L. Gap-Phase Regeneration in a Tropical Forest. Ecology 1985, 66, 682–687. [Google Scholar] [CrossRef]
- Meeussen, C.; Govaert, S.; Vanneste, T.; Calders, K.; Bollmann, K.; Brunet, J.; Cousins, S.A.O.; Diekmann, M.; Graae, B.J.; Hedwall, P.-O.; et al. Structural Variation of Forest Edges across Europe. For. Ecol. Manag. 2020, 462, 117929. [Google Scholar] [CrossRef]
- Marozas, V.; Grigaitis, V.; Brazaitis, G. Edge Effect on Ground Vegetation in Clear-Cut Edges of Pine-Dominated Forests. Scand. J. For. Res. 2005, 20, 43–48. [Google Scholar] [CrossRef]
- Parra-Sanchez, E.; Banks-Leite, C. The Magnitude and Extent of Edge Effects on Vascular Epiphytes across the Brazilian Atlantic Forest. Sci. Rep. 2020, 10, 18847. [Google Scholar] [CrossRef]
- Zhu, H.; Zhao, Y.; Lin, S.; Yang, Y.; Zhao, S.; Song, L.; Jiang, Y.; Xu, B.; Liang, H.; Geng, L. The Progress of Juglans mandshurica Maxim. Chin. Agric. Sci. Bull. 2011, 27, 1–4. [Google Scholar]
- Yang, L. Study of Larch Allelopathy on Manchurian Walnut. Master’s Thesis, Northeast Forestry University, Harbin, China, 2006. [Google Scholar]
- Wanli, M.; Tao, J.; Kujansuu, J. The Dynamics of Seed Rain and Seed Bank of Juglans mandshurica Population in the Changbai Mountain. J. Beijing For. Univ. Chin. Ed. 2001, 23, 70–72. [Google Scholar]
- Zhang, M. Factors Influencing Natural Regeneration of Majortree Species in Mixed Broad-Leaved Forests InMaoershan Forest Farm, Heilongjiang Province. Master’s Thesis, Northeast Forestry University, Harbin, China, 2012. [Google Scholar]
- Zheng, C. Plant Diversity and Evaluation of Seedling and Sapling Regeneration for the Juglans Mandsfiurica in Songshan. Master’s Thesis, Beijing Forestry University, Beijing, China, 2017. [Google Scholar]
- Zhengquan, W.; Yandong, Z.; Qingcheng, W. Effects of Nitrogen and Phosphorus on Root Growth of Juglans Mandshurica. J. Northeast For. Univ. 1999, 27, 1–4. [Google Scholar]
- Wang, K.; Zhu, J.; Yu, L.; Sun, Y.; Zhang, J. Effects of Light Environment on Juglans mandshurica Seedlings Growth and Photosynthesis. Chin. J. Appl. Ecol. 2010, 21, 821–826. [Google Scholar]
- Zhang, S.; Wang, Q.; Hao, L.; Li, W.; Wang, C. Effects of Light and Fertilization on the Growth of Fraxinus Mandshurica and Juglans mandshurica Seedlings under the Canopy of Betula Platyphylla Secondary Forest. For. Eng. 2015, 31, 51–56. [Google Scholar]
- Xu, L.-Q.; Cui, D.-H.; Wang, Q.-C.; Zhang, Y.; Ma, S.-J.; Zhu, K.-Y.; Hu, J.-W.; Li, H.-L. Root Architecture and Fine Root Characteristics of Juglans mandshurica Saplings in Different Habitats in the Secondary Forest on the West Slope of Zhangguangcailing, China. Ying Yong Sheng Tai Xue Bao J. Appl. Ecol. 2020, 31, 373–380. [Google Scholar]
- Wei, Y.; Zhang, Q. Forest Edge Renewal of Larix Gmelinii and Its Response to the Environment. J. Nanjing For. Univ. 2020, 44, 165. [Google Scholar]
- Gurevitch, J.; Scheiner, S.M.; Fox, G.A. The Ecology of Plants; Sinauer Associates: Sunderland, MA, USA, 2002. [Google Scholar]
- Alignier, A.; Deconchat, M. Variability of Forest Edge Effect on Vegetation Implies Reconsideration of Its Assumed Hypothetical Pattern. Appl. Veg. Sci. 2011, 14, 67–74. [Google Scholar] [CrossRef]
- Zhou, T.; Peng, S.; Wu, J.; Liu, J.; Wu, K. COS 99-6: Edge Effects of Roads on Forest Plant Diversity and Ecosystem Properties: A Case Study from Southern China. In Proceedings of the 95th ESA Annual Meeting, Pittsburgh, PA, USA, 1–6 August 2010. [Google Scholar]
- Baoyong, D.; Xiangwei, C.; Lu, W.; Qiang, L.; Jie, X. A Preliminary Study on Forest Edge Effect and Application. J. Northeast For. Univ. 1991, 2, 17–23. [Google Scholar] [CrossRef]
- Li, X.-S.; Liu, W.-Y.; Chen, J.-W.; Tang, C.Q.; Yuan, C.-M. Regeneration Pattern of Primary Forest Species across Forest-Field Gradients in the Subtropical Mountains of Southwestern China. J. Plant Res. 2010, 123, 751–762. [Google Scholar] [CrossRef]
- De Smedt, P.; Baeten, L.; Proesmans, W.; Van de Poel, S.; Van Keer, J.; Giffard, B.; Martin, L.; Vanhulle, R.; Brunet, J.; Cousins, S.A.; et al. Strength of Forest Edge Effects on Litter-Dwelling Macro-Arthropods across Europe Is Influenced by Forest Age and Edge Properties. Divers. Distrib. 2019, 25, 963–974. [Google Scholar] [CrossRef]
- Ma, S. Effect of Thinning on Stand Structure, Natural Regeneration and Plant Diversity of Fraxinus Mandshurica Natural Forest. Master’s Thesis, Northeast Forestry University, Harbin, China, 2019. [Google Scholar]
- Fangliang, H.; Legendre, P.; LaFrankie, J.V. Distribution Patterns of Tree Species in a Malaysian Tropical Rain Forest. J. Veg. Sci. 1997, 8, 105–114. [Google Scholar] [CrossRef]
- Hao, Z.; Zhang, J.; Song, B.; Ye, J.; Li, B. Vertical Structure and Spatial Associations of Dominant Tree Species in an Old-Growth Temperate Forest. For. Ecol. Manag. 2007, 252, 1–11. [Google Scholar] [CrossRef]
- Song, B.; Chen, J.; Williams, T. Spatial Relationships between Canopy Structure and Understory Vegetation of an Old-Growth Douglas-Fir Forest. For. Res. 2014, 3, 168–177. [Google Scholar] [CrossRef]
- Li, Q.; Ma, K. Factors Affecting Establishment of Quercus Liaotungensis Koidz. under Mature Mixed Oak Forest Overstory and in Shrubland. For. Ecol. Manag. 2003, 176, 133–146. [Google Scholar] [CrossRef]
- Yao, J.; Bachelot, B.; Meng, L.; Qin, J.; Zhao, X.; Zhang, C. Abiotic Niche Partitioning and Negative Density Dependence across Multiple Life Stages in a Temperate Forest in Northeastern China. J. Ecol. 2020, 108, 1299–1310. [Google Scholar] [CrossRef]
- Denslow, J.S.; Newell, E.; Ellison, A.M. The Effect of Understory Palms and Cyclanths on the Growth and Survival of Inga Seedlings. Biotropica 1991, 23, 225–234. [Google Scholar] [CrossRef]
- Duclos, V.; Boudreau, S.; Chapman, C.A. Shrub Cover Influence on Seedling Growth and Survival Following Logging of a Tropical Forest. Biotropica 2013, 45, 419–426. [Google Scholar] [CrossRef]
- Makana, J.-R.; Thomas, S.C. Effects of Light Gaps and Litter Removal on the Seedling Performance of Six African Timber Species. Biotropica J. Biol. Conserv. 2005, 37, 227–237. [Google Scholar] [CrossRef]
- Magee, L.; Wolf, A.; Howe, R.; Schubbe, J.; Hagenow, K.; Turner, B. Density Dependence and Habitat Heterogeneity Regulate Seedling Survival in a North American Temperate Forest. For. Ecol. Manag. 2021, 480, 118722. [Google Scholar] [CrossRef]
- Long, J.; Tang, M.; Chen, G. Influence of Strata-Specific Forest Structural Features on the Regeneration of the Evergreen Broad-Leaved Forest in Tianmu Mountain. PLoS ONE 2021, 16, e0247339. [Google Scholar] [CrossRef] [PubMed]
- Aussenac, G. Interactions between Forest Stands and Microclimate: Ecophysiological Aspects and Consequences for Silviculture. Ann. For. Sci. 2000, 57, 287–301. [Google Scholar] [CrossRef]
- Gelasso, M.; Li, J. Structure and Regeneration Status of Woody Species in the Munessa Forest, Southern Ethiopia. J. For. Res. 2021, 32, 493–501. [Google Scholar] [CrossRef]
- Mountford, E.P.; Savill, P.S.; Bebber, D.P. Patterns of Regeneration and Ground Vegetation Associated with Canopy Gaps in a Managed Beechwood in Southern England. Forestry 2006, 79, 389–408. [Google Scholar] [CrossRef]
- Jaloviar, P.; Kucbel, S.; Blahut, P. Response of Height Increment of Sessile Oak (Quercus Petraea Mattusch) Natural Regeneration to Irradiation Intensity. Zprávy Lesn. Vỳzkumu 2014, 59, 184–189. [Google Scholar]
- Borja, M.E.L.; Van Stan, J.T.; Plaza-Álvarez, P.A.; Manso, R. Simultaneous Estimation of Pinus Nigra Arn. Ssp. Salzmannii Natural Regeneration Emergence and Survival through Lifetime Analysis. For. Ecol. Manag. 2021, 499, 119613. [Google Scholar] [CrossRef]
- Yang, X.; Yan, D.; Liu, C. Natural Regeneration of Trees in Three Types of Afforested Stands in the Taihang Mountains, China. PLoS ONE 2014, 9, e108744. [Google Scholar] [CrossRef]
- Bing, K.; De-xiang, W.; Hong-an, C.; Wei-zhi, D.; Yan-ling, D. Regeneration Characteristics and Related Affecting Factors of Pinus Tabulaeformis Secondary Forests in Qinling Mountains. Yingyong Shengtai Xuebao 2011, 22, 1659–1667. [Google Scholar]
- Olson, M.G.; Meyer, S.R.; Wagner, R.G.; Seymour, R.S. Commercial Thinning Stimulates Natural Regeneration in Spruce–Fir Stands. Can. J. For. Res. 2014, 44, 173–181. [Google Scholar] [CrossRef]
- Yu, F.; Wang, D.; Shi, X.; Yi, X.; Huang, Q.; Hu, Y. Effects of Environmental Factors on Tree Seedling Regeneration in a Pine-Oak Mixed Forest in the Qinling Mountains, China. J. Mt. Sci. 2013, 10, 845–853. [Google Scholar] [CrossRef]
- Caccia, F.D.; Ballaré, C.L. Effects of Tree Cover, Understory Vegetation, and Litter on Regeneration of Douglas-Fir (Pseudotsuga menziesii) in Southwestern Argentina. Can. J. For. Res. 1998, 28, 683–692. [Google Scholar] [CrossRef]
- Gilliam, F.S. The Ecological Significance of the Herbaceous Layer in Temperate Forest Ecosystems. BioScience 2007, 57, 845–858. [Google Scholar] [CrossRef]
- De Lombaerde, E.; Blondeel, H.; Baeten, L.; Landuyt, D.; Perring, M.P.; Depauw, L.; Maes, S.L.; Wang, B.; Verheyen, K. Light, Temperature and Understorey Cover Predominantly Affect Early Life Stages of Tree Seedlings in a Multifactorial Mesocosm Experiment. For. Ecol. Manag. 2020, 461, 117907. [Google Scholar] [CrossRef]



| Item | Forest Edge | 15 m | 30 m | 60 m |
|---|---|---|---|---|
| Interval | Interval | Interval | Interval | |
| Canopy density | 0.2–0.9 | 0.1–1.0 | 0.4–1.0 | 0.4–1.0 |
| Herb coverage (%) | 30–100 | 10–100 | 20–100 | 30–100 |
| Shrub coverage (%) | 5–95 | 8–70 | 2–70 | 1–75 |
| Number of shrub species (species) | 45,365 | 45,303 | 45,333 | 45,395 |
| Number of tree species (species) | 45,295 | 45,296 | 45,296 | 45,297 |
| Number of trees | 45,297 | 45,299 | 45,303 | 45,303 |
| Maximum DBH of trees (cm) | 22.2–46.2 | 21.9–46.8 | 21.6–50.1 | 12.5–47.5 |
| Mean DBH of trees (cm) | 10.69–39.05 | 13.17–36.67 | 10.79–48.4 | 12.5–26.23 |
| Number of Juglans mandshurica (trees) | 0–4 | 0–3 | 0–1 | 0–2 |
| Number of Juglans mandshurica seedlings (trees) | 45,321 | 0–40 | 0–8 | 0–16 |
| Basal diameter of Juglans mandshurica seedlings (mm) | 6.61–29.80 | 5.56–62.23 | 5.15–24.89 | 4.43–26.46 |
| Height of Juglans mandshurica seedlings (m) | 0.64–3 | 0.58–1.86 | 0.65–3 | 0.52–2.65 |
| Age of Juglans mandshurica seedlings (year) | 45,331 | 45,358 | 45,331 | 45,329 |
| Crowns of Juglans mandshurica seedlings (cm2) | 24.15–92.25 | 20–117.88 | 17.5–80.31 | 15–80 |
| Number of tree seedling species except Juglans mandshurica (species) | 45,299 | 45,301 | 45,300 | 45,331 |
| Number of seedlings except Juglans mandshurica (trees) | 8–99 | 1–187 | 3–126 | 3–447 |
| Seedling height except Juglans mandshurica (m) | 0.6–2.66 | 0.4–2.89 | 0.36–5.57 | 0.36–2.2 |
| Seedling basal diameter except Juglans mandshurica (mm) | 6.25–27.68 | 3.47–27.70 | 4.16–30.72 | 3.88–23.17 |
| Type | I | II | III | IV | V |
|---|---|---|---|---|---|
| Height class | <0.7 m | 0.7 m–1.3 m | 1.3 m–2.0 m | 2.0 m–3.0 m | ≥3.0 m |
| Ground diameter class | ≤10 mm | 10 mm–20 mm | 20 mm–30 mm | 30 mm–40 mm | >40 mm |
| Age class | 1–2 | 3–4 | 5–6 | 7–8 | >8 |
| Distance from Road | m* | I | K | CA | t-Test | Distribution Pattern | ||
|---|---|---|---|---|---|---|---|---|
| Forest edge | 11.7 | 3.7 | 1.5 | 4.7 | 2.2 | 0.5 | 11.1 ** | Aggregate |
| 15 m | 19.2 | 12.9 | 3 | 13.9 | 0.5 | 2.1 | 38.7 ** | Aggregate |
| 30 m | 5.4 | 1.8 | 2.8 | 2.8 | 2.1 | 0.5 | 5.4 ** | Aggregate |
| 60 m | 7.2 | 3.5 | 1.9 | 4.5 | 1.1 | 0.9 | 10.46 ** | Aggregate |
| Distance from Road | Distribution Situation | Growth Situation | Age Situation | ||
|---|---|---|---|---|---|
| Seedling Number | Frequency | Mean Height | Mean DBH | Mean Age | |
| Forest edge | 1.000 | 1.000 | 1.000 | 1.000 | 1.000 |
| 15 m | 0.715 | 0.895 | 0.562 | 0.506 | 0.814 |
| 30 m | 0.385 | 0.790 | 0.662 | 0.576 | 0.929 |
| 60 m | 0.397 | 0.842 | 0.504 | 0.404 | 0.841 |
| Ej | 0.942 | 0.997 | 0.973 | 0.955 | 0.998 |
| Variable coefficient | 0.058 | 0.003 | 0.027 | 0.045 | 0.002 |
| Wj | 0.432 | 0.021 | 0.199 | 0.330 | 0.018 |
| Distance from Road | Correlation Coefficient of Regeneration Evaluation Index | Regeneration Index | ||
|---|---|---|---|---|
| Distribution Situation | Growth Situation | Age Situation | ||
| Forest edge | 0.453 | 0.529 | 0.018 | 1.00 |
| 15 m | 0.328 | 0.279 | 0.015 | 0.62 |
| 30 m | 0.183 | 0.322 | 0.017 | 0.52 |
| 60 m | 0.175 | 0.234 | 0.015 | 0.42 |
| Distance from Road | Regeneration Index | Forest Factor | |||||||||||||
|---|---|---|---|---|---|---|---|---|---|---|---|---|---|---|---|
| X1 | X2 | X3 | X4 | X5 | X6 | X7 | X8 | X9 | X10 | X11 | X12 | X13 | X14 | ||
| Forest edge | y1 | 0.28 | 0.12 | −0.42 | −0.50 * | 0.13 | −0.04 | −0.10 | −0.13 | −0.19 | −0.46 * | −0.02 | −0.46 | −0.22 | −0.17 |
| y2 | −0.07 | 0.03 | −0.04 | −0.39 | 0.35 | 0.40 | −0.28 | −0.27 | 0.14 | −0.29 | −0.27 | 0.35 | 0.35 | 0.44 | |
| y3 | −0.12 | −0.19 | 0.14 | −0.17 | 0.20 | 0.43 | −0.23 | −0.23 | 0.19 | −0.22 | −0.29 | 0.50 * | 0.46 | 0.51 * | |
| y4 | −0.12 | 0.36 | −0.11 | −0.27 | 0.31 | 0.13 | 0.01 | 0.01 | 0.15 | −0.07 | −0.15 | 0.15 | 0.02 | 0.14 | |
| y5 | −0.09 | 0.03 | −0.02 | −0.32 | 0.42 | 0.47 | −0.26 | −0.25 | 0.24 | −0.26 | −0.29 | 0.32 | 0.30 | 0.37 | |
| 15 m | y1 | −0.18 | −0.18 | −0.25 | −0.14 | −0.31 | −0.35 | 0.35 | 0.34 | −0.07 | −0.17 | −0.31 | 0.15 | 0.11 | 0.07 |
| y2 | −0.43 | −0.37 | −0.21 | 0.10 | −0.53 * | −0.50 * | 0.68 ** | 0.66 ** | −0.34 | 0.22 | 0.06 | 0.06 | −0.08 | −0.09 | |
| y3 | −0.50 * | −0.28 | −0.14 | 0.10 | −0.54 * | 0.53 * | 0.60 * | 0.53 * | −0.39 | 0.23 | 0.17 | 0.00 | −0.10 | −0.10 | |
| y4 | −0.37 | −0.05 | 0.00 | −0.09 | −0.19 | −0.21 | 0.42 | 0.48 | −0.13 | 0.06 | 0.09 | 0.09 | −0.01 | −0.02 | |
| y5 | −0.40 | −0.16 | −0.11 | 0.16 | −0.50 * | −0.40 | 0.84 ** | 0.78 ** | −0.15 | 0.15 | 0.17 | 0.04 | −0.04 | −0.03 | |
| 30 m | y1 | 0.13 | 0.38 | −0.36 | 0.16 | 0.09 | −0.09 | 0.18 | 0.09 | 0.14 | −0.35 | −0.32 | 0.02 | 0.21 | 0.13 |
| y2 | −0.75 * | 0.17 | 0.30 | −0.56 * | −0.44 | −0.25 | 0.23 | 0.18 | −0.28 | 0.16 | 0.18 | 0.27 | 0.24 | 0.27 | |
| y3 | −0.70 ** | 0.18 | 0.25 | 0.45 | −0.46 | −0.26 | 0.25 | 0.20 | −0.22 | 0.03 | 0.03 | 0.30 | 0.25 | 0.27 | |
| y4 | −0.56 * | −0.01 | 0.30 | 0.46 | −0.47 | −0.10 | 0.05 | 0.00 | −0.34 | −0.06 | −0.04 | 0.32 | 0.35 | 0.43 | |
| y5 | −0.65 * | 0.25 | 0.11 | 0.32 | −0.58 * | −0.30 | 0.35 | 0.32 | −0.03 | 0.00 | −0.06 | 0.51 | 0.45 | 0.43 | |
| 60 m | y1 | −0.53 * | 0.68 ** | −0.11 | −0.03 | −0.16 | −0.02 | −0.16 | −0.16 | −0.22 | −0.48 * | −0.26 | 0.12 | 0.04 | −0.01 |
| y2 | −0.18 | 0.32 | −0.34 | −0.32 | −0.77 ** | −0.73 ** | 0.02 | 0.01 | −0.61 * | −0.49 | −0.47 | −0.01 | −0.01 | −0.09 | |
| y3 | −0.13 | 0.41 | −0.15 | −0.12 | −0.82 ** | −0.65 ** | 0.04 | −0.04 | −0.57 * | −0.45 | −0.30 | −0.21 | −0.28 | −0.37 | |
| y4 | −0.16 | 0.21 | −0.20 | −0.19 | −0.71 ** | −0.58 * | 0.25 | 0.27 | −0.31 | −0.33 | −0.45 | −0.10 | −0.08 | −0.05 | |
| y5 | −0.32 | 0.30 | −0.01 | 0.01 | −0.85 ** | −0.57 * | 0.15 | 0.12 | −0.38 | −0.53 * | −0.35 | −0.15 | −0.18 | −0.23 | |
Disclaimer/Publisher’s Note: The statements, opinions and data contained in all publications are solely those of the individual author(s) and contributor(s) and not of MDPI and/or the editor(s). MDPI and/or the editor(s) disclaim responsibility for any injury to people or property resulting from any ideas, methods, instructions or products referred to in the content. |
© 2024 by the authors. Licensee MDPI, Basel, Switzerland. This article is an open access article distributed under the terms and conditions of the Creative Commons Attribution (CC BY) license (https://creativecommons.org/licenses/by/4.0/).
Share and Cite
Cui, D.; Wang, Q.; Ma, S.; Zhang, Y.; Xu, L.; Yan, L. Natural Regeneration Patterns of Juglans mandshurica in Different Habitats. Forests 2024, 15, 1201. https://doi.org/10.3390/f15071201
Cui D, Wang Q, Ma S, Zhang Y, Xu L, Yan L. Natural Regeneration Patterns of Juglans mandshurica in Different Habitats. Forests. 2024; 15(7):1201. https://doi.org/10.3390/f15071201
Chicago/Turabian StyleCui, Donghai, Qingcheng Wang, Shuangjiao Ma, Yong Zhang, Liqing Xu, and Limei Yan. 2024. "Natural Regeneration Patterns of Juglans mandshurica in Different Habitats" Forests 15, no. 7: 1201. https://doi.org/10.3390/f15071201
APA StyleCui, D., Wang, Q., Ma, S., Zhang, Y., Xu, L., & Yan, L. (2024). Natural Regeneration Patterns of Juglans mandshurica in Different Habitats. Forests, 15(7), 1201. https://doi.org/10.3390/f15071201

