Thinning Effects on Aboveground Biomass Increments in Both the Overstory and Understory of Masson Pine Forests
Abstract
1. Introduction
2. Materials and Methods
2.1. Site Description
2.2. Experimental Design
2.3. Field Investigation
2.4. Data Analyses
2.4.1. Biomass Increment and Tree Diversity
2.4.2. Relationships between Biomass Increment and Environmental Metrics
2.4.3. Multivariate Statistical Analysis
3. Results
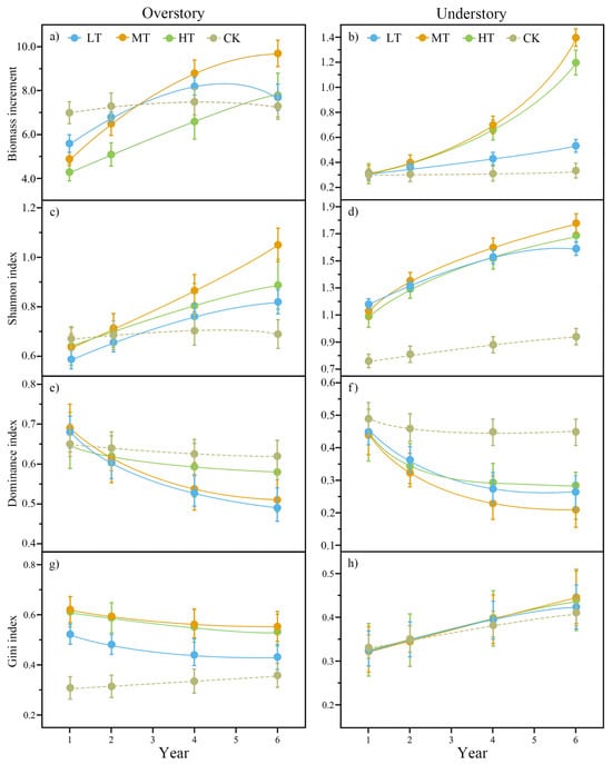
3.1. Effect of Thinning on Tree Biomass and Diversity
3.2. Correlation between Environmental Factors and Biomass Increment
3.3. Multivariate Statistical Analysis
4. Discussion
4.1. Effects of Thinning on Biomass of the Overstory and Understory
4.2. Effects of Thinning on Diversity of the Overstory and Understory
4.3. Correlation between Environmental Factors and Biomass Increments across Tree Strata
4.4. Relationships of Thinning, Environmental Factors, and Tree Diversity with Biomass Increments
5. Conclusions and Management Implications
Supplementary Materials
Author Contributions
Funding
Data Availability Statement
Acknowledgments
Conflicts of Interest
References
- Du, X.; Wang, X.; Meng, J.H. A Climate-Sensitive Transition Matrix Growth Model for Masson Pine (Pinus massoniana Lamb.) Natural Forests in Hunan Province, South-Central China. Forests 2023, 14, 1539. [Google Scholar] [CrossRef]
- Deng, C.; Zhang, S.; Lu, Y.; Froese, R.; Xu, X.; Zeng, J.; Ming, A.; Liu, X.; Xie, Y.; Li, Q. Thinning effects on forest evolution in Masson pine (Pinus massoniana Lamb.) conversion from pure plantations into mixed forests. For. Ecol. Manag. 2020, 477, 118503. [Google Scholar] [CrossRef]
- Bai, Y.-F.; Shen, Y.-Y.; Jin, Y.-D.; Hong, Y.; Liu, Y.-Y.; Li, Y.-Q.; Liu, R.; Zhang, Z.-W.; Jiang, C.-Q.; Wang, Y.-J. Selective thinning and initial planting density management promote biomass and carbon storage in a chronosequence of evergreen conifer plantations in Southeast China. Glob. Ecol. Conserv. 2020, 24, e01216. [Google Scholar] [CrossRef]
- NFA. China Forest Resources Report 2014–2018; China Forestry Publishing House: Beijing, China, 2019. (In Chinese) [Google Scholar]
- Ma, L.; Lian, J.; Lin, G.; Cao, H.; Huang, Z.; Guan, D. Forest dynamics and its driving forces of sub-tropical forest in South China. Sci. Rep. 2016, 6, 22561. [Google Scholar] [CrossRef] [PubMed]
- Dieler, J.; Uhl, E.; Biber, P.; Muller, J.; Rotzer, T.; Pretzsch, H. Effect of forest stand management on species composition, structural diversity, and productivity in the temperate zone of Europe. Eur. J. Forest Res. 2017, 136, 739–766. [Google Scholar] [CrossRef]
- Barefoot, C.R.; Willson, K.G.; Hart, J.L.; Schweitzer, C.J.; Dey, D.C. Effects of thinning and prescribed fire frequency on ground flora in mixed Pinus-hardwood stands. For. Ecol. Manag. 2019, 432, 729–740. [Google Scholar] [CrossRef]
- Navarro-Cerrillo, R.M.; Cachinero-Vivar, A.M.; Pérez-Priego, O.; Cantón, R.A.; Begueria, S.; Camarero, J. Developing alternatives to adaptive silviculture: Thinning and tree growth resistance to drought in a Pinus species on an elevated gradient in Southern Spain. For. Ecol. Manag. 2023, 537, 120936. [Google Scholar] [CrossRef]
- Zhang, H.L.; Liu, S.R.; Yu, J.Y.; Li, J.W.; Shangguan, Z.P.; Deng, L. Thinning increases forest ecosystem carbon stocks. For. Ecol. Manag. 2024, 555, 121702. [Google Scholar] [CrossRef]
- Wang, Z.; Yang, H.; Wang, D.; Zhao, Z. Response of height growth of regenerating trees in a Pinus tabulaeformis Carr. plantation to different thinning intensities. For. Ecol. Manag. 2019, 444, 280–289. [Google Scholar] [CrossRef]
- Abella, S.R.; Springer, J.D. Effects of tree cutting and fire on understory vegetation in mixed conifer forests. For. Ecol. Manag. 2015, 335, 281–299. [Google Scholar] [CrossRef]
- Pretzsch, H.; Poschenrieder, W.; Uhl, E.; Brazaitis, G.; Makrickiene, E.; Calama, R. Silvicultural prescriptions for mixed-species forest stands. A European review and perspective. Eur. J. Forest Res. 2021, 140, 1267–1294. [Google Scholar] [CrossRef]
- Oliveira, C.D.C.d.; Durigan, G.; Putz, F.E. Thinning temporarily stimulates tree regeneration in a restored tropical forest. Ecol. Eng. 2021, 171, 106390. [Google Scholar] [CrossRef]
- Bekris, Y.; Prevéy, J.S.; Brodie, L.C.; Harrington, C.A. Effects of variable-density thinning on non-native understory plants in coniferous forests of the Pacific Northwest. For. Ecol. Manag. 2021, 502, 119699. [Google Scholar] [CrossRef]
- Fu, L.; Lei, X.; Hu, Z.; Zeng, W.; Tang, S.; Marshall, P.; Cao, L.; Song, X.; Yu, L.; Liang, J. Integrating regional climate change into allometric equations for estimating tree aboveground biomass of Masson pine in China. Ann. Forest Sci. 2017, 74, 42. [Google Scholar] [CrossRef]
- Bosela, M.; Štefančík, I.; Marčiš, P.; Rubio-Cuadrado, Á.; Lukac, M. Thinning decreases above-ground biomass increment in central European beech forests but does not change individual tree resistance to climate events. Agric. For. Meteorol. 2021, 306, 108441. [Google Scholar] [CrossRef]
- Zald, H.S.J.; Callahan, C.C.; Hurteau, M.D.; Goodwin, M.J.; North, M.P. Tree growth responses to extreme drought after mechanical thinning and prescribed fire in a Sierra Nevada mixed-conifer forest, USA. For. Ecol. Manag. 2022, 510, 120107. [Google Scholar] [CrossRef]
- Bhandari, S.K.; Veneklaas, E.J.; McCaw, L.; Mazanec, R.; Whitford, K.; Renton, M. Individual tree growth in jarrah (Eucalyptus marginata) forest is explained by size and distance of neighbouring trees in thinned and non-thinned plots. For. Ecol. Manag. 2021, 494, 119364. [Google Scholar] [CrossRef]
- Cole, E.; Newton, M.; Bailey, J.D. Understory vegetation dynamics 15 years post-thinning in 50-year-old Douglas-fir and Douglas-fir/western hemlock stands in western Oregon, USA. For. Ecol. Manag. 2017, 384, 358–370. [Google Scholar] [CrossRef]
- Aun, K.; Kukumägi, M.; Varik, M.; Becker, H.; Aosaar, J.; Uri, M.; Morozov, G.; Buht, M.; Uri, V. Short-term effect of thinning on the carbon budget of young and middle-aged Scots pine (Pinus sylvestris L.) stands. For. Ecol. Manag. 2021, 492, 119241. [Google Scholar] [CrossRef]
- Liu, F.; Tan, C.; Yang, Z.; Li, J.; Xiao, H.; Tong, Y. Regeneration and growth of tree seedlings and saplings in created gaps of different sizes in a subtropical secondary forest in southern China. For. Ecol. Manag. 2022, 511, 120143. [Google Scholar] [CrossRef]
- Bebi, P.; Kulakowski, D.; Rixen, C. Snow avalanche disturbances in forest ecosystems-State of research and implications for management. For. Ecol. Manag. 2009, 257, 1883–1892. [Google Scholar] [CrossRef]
- Dong, L.; Jin, X.; Pukkala, T.; Li, F.; Liu, Z. How to manage mixed secondary forest in a sustainable way? Eur. J. Forest Res. 2019, 138, 789–801. [Google Scholar] [CrossRef]
- Liang, R.T.; Xie, Y.H.; Sun, Y.J.; Wang, B.Y.; Ding, Z.D. Temporal changes in size inequality and stand growth partitioning between tree sizes under various thinning intensities in subtropica Cunninghamia lanceolata plantations. For. Ecol. Manag. 2023, 547, 121363. [Google Scholar] [CrossRef]
- Lin, D.; Pang, M.; Lai, J.; Mi, X.; Ren, H.; Ma, K.; KePing, M. Multivariate relationship between tree diversity and aboveground biomass across tree strata in a subtropical evergreen broad-leaved forest. Chin. Sci. Bull. 2017, 62, 1861–1868. [Google Scholar] [CrossRef]
- Zobel, M.; Pärtel, M. What determines the relationship between plant diversity and habitat productivity? Glob. Ecol. Biogeogr. 2008, 17, 679–684. [Google Scholar] [CrossRef]
- Hagan, J.G.; Vanschoenwinkel, B.; Gamfeldt, L. We should not necessarily expect positive relationships between biodiversity and ecosystem functioning in observational field data. Ecol. Lett. 2021, 24, 2537–2548. [Google Scholar] [CrossRef] [PubMed]
- Sunagawa, S.; Coelho, L.P.; Chaffron, S.; Kultima, J.R.; Labadie, K.; Salazar, G.; Djahanschiri, B.; Zeller, G.; Mende, D.R.; Alberti, A. Structure and function of the global ocean microbiome. Science 2015, 348, 1261359. [Google Scholar] [CrossRef] [PubMed]
- Verschuyl, J.; Riffell, S.; Miller, D.; Wigley, T.B. Biodiversity response to intensive biomass production from forest thinning in North American forests—A meta-analysis. For. Ecol. Manag. 2011, 261, 221–232. [Google Scholar] [CrossRef]
- Ali, A.; Lin, S.-L.; He, J.-K.; Kong, F.-M.; Yu, J.-H.; Jiang, H.-S. Climate and soils determine aboveground biomass indirectly via species diversity and stand structural complexity in tropical forests. For. Ecol. Manag. 2019, 432, 823–831. [Google Scholar] [CrossRef]
- NFA. Regulations for Forest Tending Operations; National Forestry Administration: Beijing, China, 2014. (In Chinese) [Google Scholar]
- Abellanas, B.; Abellanas, M.; Pommerening, A.; Lodares, D.; Cuadros, S. A forest simulation approach using weighted Voronoi diagrams. An application to Mediterranean fir Abies pinsapo Boiss stands. Forest Syst. 2016, 25, e062. [Google Scholar] [CrossRef]
- Li, Y.; Ye, S.; Hui, G.; Hu, Y.; Zhao, Z. Spatial structure of timber harvested according to structure-based forest management. For. Ecol. Manag. 2014, 322, 106–116. [Google Scholar] [CrossRef]
- Bettinger, P.; Graetz, D.; Sessions, J. A density-dependent stand-level optimization approach for deriving management prescriptions for interior northwest (USA) landscapes. For. Ecol. Manag. 2005, 217, 171–186. [Google Scholar] [CrossRef]
- Ming, A. Community Structure and Carbon Dynamics during Close-to-Nature Transformation in South Subtropical Conifer Plantation. Doctor Thesis, Chinese Academy of Forestry, Beijing, China, 2017. [Google Scholar]
- Lei, L.; Xiao, W.; Zeng, L.; Frey, B.; Huang, Z.; Zhu, J.; Cheng, R.; Li, M.-H. Effects of thinning intensity and understory removal on soil microbial community in Pinus massoniana plantations of subtropical China. Appl. Soil. Ecol. 2021, 167, 104055. [Google Scholar] [CrossRef]
- Zhou, T.; Wang, C.; Zhou, Z. Thinning promotes the nitrogen and phosphorous cycling in forest soils. Agr. Forest Meteorol. 2021, 311, 108665. [Google Scholar] [CrossRef]
- Berger, W.H.; Parker, F.L. Diversity of Planktonic Foraminifera in Deep-Sea Sediments. Science 1970, 168, 1345–1347. [Google Scholar] [CrossRef] [PubMed]
- Valbuena, R.; Packalén, P.; Martı’n-Fernández, S.; Maltamo, M. Diversity and equitability ordering profiles applied to study forest structure. For. Ecol. Manag. 2012, 276, 185–195. [Google Scholar] [CrossRef]
- R Core Team. R: A Language and Environment for Statistical Computing; R Foundation for Statistical Computing: Vienna, Austria, 2022; Available online: https://www.R-project.org/ (accessed on 21 September 2023).
- Russell, V.L. Emmeans: Estimated Marginal Means, aka Least-Squares Means. R Package Version, 1.5.3. 2020. Available online: https://rvlenth.github.io/emmeans/ (accessed on 16 January 2023).
- Oksanen, J. Vegan: Community Ecology Package. R Package Version, 2.6.2. 2022. Available online: https://github.com/vegandevs/vegan/ (accessed on 11 January 2023).
- Hoyle, R.; St, C. Handbook of Structural Equation Modeling; Guilford Press: New York, NY, USA, 2022. [Google Scholar]
- Xu, W.; Zhou, P.; González-Rodríguez, M.Á.; Tan, Z.; Li, Z.; Yan, P. Changes in Relationship between Forest Biomass Productivity and Biodiversity of Different Type Subtropical Forests in Southern China. Forests 2024, 15, 410. [Google Scholar] [CrossRef]
- Wu, L.; Zhang, Y.; Guo, X.; Ning, D.; Zhou, X.; Feng, J.; Yuan, M.M.; Liu, S.; Guo, J.; Gao, Z.; et al. Reduction of microbial diversity in grassland soil is driven by long-term climate warming. Nat. Microbiol. 2022, 7, 1054–1062. [Google Scholar] [CrossRef]
- Rosseel, Y. Lavaan: Latent Variable Analysis. R Package Version 0.6-12. 2022. Available online: https://lavaan.ugent.be/ (accessed on 9 March 2023).
- Cheng, Z.; Zeng, S. Management Model and Management Number Table of P. massoniana Conservation Forest (in Chinese); China Forestry Publishing House: Beijing, China, 2003. [Google Scholar]
- Meng, X.; He, B.; Ma, Z.; Hou, Y.; Li, Y. Current Situation of Masson Pine Forest Management and Its Practice of Close to nature Silviculture in China. World For. Res. 2018, 31, 63–67, (In Chinese with English Abstract). [Google Scholar] [CrossRef]
- Hu, J.; Herbohn, J.; Chazdon, R.L.; Baynes, J.; Vanclay, J.K. Above-ground biomass recovery following logging and thinning over 46 years in an Australian tropical forest. Sci. Total Environ. 2020, 734, 139098. [Google Scholar] [CrossRef]
- Wang, G.; Liu, F. The influence of gap creation on the regeneration of Pinus tabuliformis planted forest and its role in the near-natural cultivation strategy for planted forest management. For. Ecol. Manag. 2011, 262, 413–423. [Google Scholar] [CrossRef]
- Metlen, K.L.; Fiedler, C.E. Restoration treatment effects on the understory of ponderosa pine/Douglas-fir forests in western Montana, USA. For. Ecol. Manag. 2006, 222, 355–369. [Google Scholar] [CrossRef]
- Hui, G.; Zhang, G.; Zhao, Z.; Yang, A. Methods of Forest Structure Research: A Review. Curr. For. Rep. 2019, 5, 152–154. [Google Scholar] [CrossRef]
- Liu, F.; Yang, Z.-g.; Zhang, G. Canopy gap characteristics and spatial patterns in a subtropical forest of South China after ice storm damage. J. Mt. Sci. 2020, 17, 1942–1958. [Google Scholar] [CrossRef]
- Mayoral, C.; Calama, R.; Sánchez-González, M.; Pardos, M. Modelling the influence of light, water and temperature on photosynthesis in young trees of mixed Mediterranean forests. New Forests 2015, 46, 485–506. [Google Scholar] [CrossRef]
- Huang, J.; Guo, X.; Rossi, S.; Zhai, L.; Yu, B.; Zhang, S.; Zhang, M. Intra-annual wood formation of subtropical Chinese red pine shows better growth in dry season than wet season. Tree Physiol. 2018, 38, 1225–1236. [Google Scholar] [CrossRef] [PubMed]
- Oguchi, R.; Hiura, T.; Hikosaka, K. The effect of interspecific variation in photosynthetic plasticity on 4-year growth rate and 8-year survival of understorey tree seedlings in response to gap formations in a cool-temperate deciduous forest. Tree Physiol. 2017, 37, 1113–1127. [Google Scholar] [CrossRef]
- Hsu, J.S.; Powell, J.; Adler, P.B. Sensitivity of mean annual primary production to precipitation. Glob. Chang. Biol. 2012, 18, 2246–2255. [Google Scholar] [CrossRef]
- Lagomarsino, A.; Mazza, G.; Agnelli, A.E.; Lorenzetti, R.; Bartoli, C.; Viti, C.; Colombo, C.; Pastorelli, R. Litter fractions and dynamics in a degraded pine forest after thinning treatments. Eur. J. For. Res. 2020, 139, 295–310. [Google Scholar] [CrossRef]
- Tilman, D. Nitrogen-Limited Growth in Plants from Different Successional Stages. Ecology 1986, 67, 555–563. [Google Scholar] [CrossRef]
- Rocha, J.H.T.; Menegale, M.L.C.; Rodrigues, M.; Gonçalves, J.L.d.M.; Pavinato, P.S.; Foltran, E.C.; Harrison, R.; James, J.N. Impacts of timber harvest intensity and P fertilizer application on soil P fractions. For. Ecol. Manag. 2019, 437, 295–303. [Google Scholar] [CrossRef]
- Hall, S.J.; Huang, W. Iron reduction: A mechanism for dynamic cycling of occluded cations in tropical forest soils? Biogeochemistry 2017, 136, 91–102. [Google Scholar] [CrossRef]
- Bontemps, J.; Bouriaud, O. Predictive approaches to forest site productivity: Recent trends, challenges and future perspectives. Forestry 2014, 87, 109–128. [Google Scholar] [CrossRef]
- Dănescu, A.; Albrecht, A.; Bauhus, J. Structural diversity promotes productivity of mixed, uneven-aged forests in southwestern Germany. Oecologia 2016, 182, 319–333. [Google Scholar] [CrossRef]
- Jucker, T.; Bouriaud, O.; Daniel, A.; Danila, I.; Duduman, G.; Valladares, F.; Coomes, D. Competition for light and water play contrasting roles in driving diversity-productivity relationships in Iberian forests. J. Ecol. 2014, 102, 1202–1213. [Google Scholar] [CrossRef]
- Fraser, L.H.; Pither, J.; Jentsch, A.; Sternberg, M.; Zobel, M.; Askarizadeh, D.; Bartha, S.; Beierkuhnlein, C.; Bennett, J.A.; Bittel, A.; et al. Worldwide evidence of a unimodal relationship between productivity and plant species richness. Science 2015, 349, 302–305. [Google Scholar] [CrossRef]
- Hooper, D.U.; Chapin, F.S., III; Ewel, J.J.; Hector, A.; Inchausti, P.; Lavorel, S.; Lawton, J.H.; Lodge, D.; Loreau, M.; Naeem, S. Effects of biodiversity on ecosystem functioning: A consensus of current knowledge. Ecol. Monogr. 2005, 75, 3–35. [Google Scholar] [CrossRef]
- Finegan, B.; Peña-Claros, M.; de Oliveira, A.; Ascarrunz, N.; Bret-Harte, M.S.; Carreño-Rocabado, G.; Casanoves, F.; Díaz, S.; Eguiguren Velepucha, P.; Fernandez, F.; et al. Does functional trait diversity predict above-ground biomass and productivity of tropical forests? Testing three alternative hypotheses. J. Ecol. 2015, 103, 191–201. [Google Scholar] [CrossRef]
- Liang, J.; Crowther, T.W.; Picard, N.; Wiser, S.; Zhou, M.; Alberti, G.; Schulze, E.-D.; McGuire, A.D.; Bozzato, F.; Pretzsch, H.; et al. Positive biodiversity-productivity relationship predominant in global forests. Science 2016, 354, aaf8957. [Google Scholar] [CrossRef]
- Prado-Junior, J.A.; Schiavini, I.; Vale, V.S.; Arantes, C.S.; van der Sande, M.T.; Lohbeck, M.; Poorter, L. Conservative species drive biomass productivity in tropical dry forests. J. Ecol. 2016, 104, 817–827. [Google Scholar] [CrossRef]
- Ali, A.; Yan, E.-R. The forest strata-dependent relationship between biodiversity and aboveground biomass within a subtropical forest. For. Ecol. Manag. 2017, 401, 125–134. [Google Scholar] [CrossRef]







| Site | Pingjiang | Anhua | Huitong |
|---|---|---|---|
| Location | 28°25′ N, 113°10′ E | 27°44′ N, 111°58′ E | 26°88′ N, 109°73′ E |
| Average annual temperature (°C) | 16.8 | 16.2 | 17.1 |
| Average annual precipitation (mm) | 1450.8 | 1706.1 | 1361.2 |
| Average daily solar radiation (MJ/m2) | 15.4 | 16.3 | 14.8 |
| Soil organic matter content (g∙kg−1) | 21.61 | 24.09 | 23.74 |
| Elevation (m, a.s.l.) | 750 | 600 | 650 |
| Aspect | SW | W | SW |
| Stand age | 24 | 22 | 22 |
| Overstory density (stems ha−1) | 1750 | 1820 | 1860 |
| Understory density (stems ha−1) | 2280 | 2150 | 1975 |
| Before Thinning | After Thinning | Thinning Amount | |||||||||||||
|---|---|---|---|---|---|---|---|---|---|---|---|---|---|---|---|
| Plots (P/A/H) | Density (N∙ha−1) | Basal Area (m2∙ha−1) | DBH (cm) | Height (m) | Biomass (Mg∙ha−1) | Density (N∙ha−1) | Basal Area (m2∙ha−1) | DBH (cm) | Height (m) | Biomass (Mg∙ha−1) | Tree (N ∙ha−1) | % | Biomass (Mg∙ha−1) | % | |
| HT | 51 | 1790 | 26.39 | 13.7 | 10.8 | 63.13 | 882 | 15.17 | 14.8 | 10.9 | 37.69 | 908 | 50.7 | 25.44 | 40.3 |
| (22/14/15) | (32.12) | (0.67) | (0.28) | (0.24) | (1.26) | (15.67) | (0.25) | (0.23) | (0.19) | (0.63) | (13.09) | (0.38) | |||
| MT | 55 | 1785 | 27.09 | 13.9 | 10.6 | 62.98 | 1207 | 20.48 | 14.7 | 11.1 | 43.58 | 578 | 32.4 | 19.4 | 30.8 |
| (24/15/16) | (35.82) | (0.64) | (0.26) | (0.23) | (1.21) | (21.93) | (0.41) | (0.23) | (0.22) | (0.82) | (8.41) | (0.27) | |||
| LT | 57 | 1750 | 25.05 | 13.5 | 10.4 | 61.54 | 1354 | 22.05 | 14.4 | 10.8 | 48.99 | 396 | 22.6 | 12.5 | 20.4 |
| (24/16/17) | (31.08) | (0.63) | (0.27) | (0.23) | (1.24) | (22.40) | (0.39) | (0.22) | (0.18) | (0.83) | (5.88) | (0.21) | |||
| CK | 51 | 1809 | 27.07 | 13.8 | 10.2 | 63.46 | |||||||||
| (23/15/13) | (30.24) | (0.58) | (0.25) | (0.24) | (1.23) | ||||||||||
| F * | 0.40 | 0.94 | 1.05 | 0.88 | 0.96 | ||||||||||
| HT | MT | LT | CK | |||||
|---|---|---|---|---|---|---|---|---|
| Mean | SE | Mean | SE | Mean | SE | Mean | SE | |
| Overstory | ||||||||
| Aboveground biomass (Mg·ha−1) | 74.79 | 1.57 | 91.18 | 1.48 | 93.59 | 1.51 | 107.48 | 1.49 |
| Biomass increased (Mg·ha−1) | 37.1 | 0.78 | 47.61 | 0.77 | 44.61 | 0.72 | 44.02 | 0.62 |
| Biomass increment (Mg·ha−1·a−1) | 7.79 | 0.16 | 9.73 | 0.16 | 7.71 | 0.12 | 7.32 | 0.11 |
| Shannon index | 0.89 | 0.02 | 1.05 | 0.02 | 0.82 | 0.01 | 0.69 | 0.01 |
| Dominance index | 0.58 | 0.01 | 0.51 | 0.01 | 0.49 | 0.01 | 0.62 | 0.01 |
| Gini index | 0.55 | 0.01 | 0.57 | 0.01 | 0.43 | 0.01 | 0.36 | 0.01 |
| Understory | ||||||||
| Aboveground biomass (Mg·ha−1) | 6.87 | 0.13 | 7.31 | 0.12 | 5.12 | 0.09 | 4.51 | 0.07 |
| Biomass increased (Mg·ha−1) | 4.21 | 0.09 | 4.63 | 0.07 | 2.45 | 0.04 | 1.85 | 0.03 |
| Biomass increment (Mg·ha−1·a−1) | 1.22 | 0.02 | 1.41 | 0.02 | 0.43 | 0.01 | 0.32 | 0.00 |
| Shannon index | 1.69 | 0.03 | 1.78 | 0.03 | 1.51 | 0.02 | 0.94 | 0.01 |
| Dominance index | 0.28 | 0.01 | 0.21 | 0.00 | 0.26 | 0.00 | 0.45 | 0.01 |
| Gini index | 0.44 | 0.01 | 0.45 | 0.01 | 0.43 | 0.01 | 0.42 | 0.01 |
| Environment | ||||||||
| Light intensity (MJ·m−2·d−1) | 8.03 | 0.16 | 6.45 | 0.11 | 4.28 | 0.06 | 3.52 | 0.05 |
| Soil moisture (%) | 30.5 | 0.62 | 35.43 | 0.56 | 35.25 | 0.57 | 37.56 | 0.54 |
| pH | 5.03 | 0.11 | 5.18 | 0.09 | 5.15 | 0.09 | 5.06 | 0.07 |
| Organic matter (g∙kg−1) | 40.43 | 0.82 | 37.83 | 0.62 | 28.87 | 0.47 | 22.58 | 0.32 |
| Total N (g∙kg−1) | 2.32 | 0.06 | 2.48 | 0.03 | 1.97 | 0.03 | 1.57 | 0.02 |
| Total P (g∙kg−1) | 0.37 | 0.01 | 0.33 | 0.01 | 0.36 | 0.01 | 0.36 | 0.01 |
| Total K (g∙kg−1) | 7.31 | 0.15 | 7.01 | 0.11 | 9.87 | 0.15 | 8.05 | 0.12 |
| Available N (mg∙kg−1) | 82.56 | 1.74 | 84.77 | 1.35 | 71.23 | 1.16 | 61.09 | 0.87 |
| Available P (mg∙kg−1) | 3.19 | 0.07 | 3.24 | 0.05 | 3.96 | 0.07 | 2.06 | 0.03 |
| Available K (mg∙kg−1) | 40.53 | 0.84 | 43.42 | 0.71 | 41.61 | 0.68 | 57.95 | 0.83 |
| Strata Class | Effect | Biomass Increment | Shannon | Dominance | Gini |
|---|---|---|---|---|---|
| Overstory | Thinning | <0.001 | <0.001 | 0.002 | <0.001 |
| Year | <0.001 | <0.001 | 0.007 | 0.005 | |
| Thinning × Year | <0.001 | <0.001 | <0.001 | 0.010 | |
| Understory | Thinning | <0.001 | <0.001 | <0.001 | 0.320 |
| Year | <0.001 | <0.001 | <0.001 | <0.001 | |
| Thinning × Year | <0.001 | <0.001 | 0.003 | 0.275 |
| Stratum Class | Year | Biomass Increment | Shannon | Dominance | Gini | ||||
|---|---|---|---|---|---|---|---|---|---|
| p-Value | Mean (se) | p-Value | Mean (se) | p-Value | Mean (se) | p-Value | Mean (se) | ||
| Overstory | 1 | 0.001 | 5.46 (0.09) | 0.255 | 0.63 (0.02) | 0.424 | 0.68 (0.02) | 0.001 | 0.52 (0.02) |
| 2 | 0.001 | 6.35 (0.13) | 0.301 | 0.69 (0.01) | 0.203 | 0.63 (0.01) | 0.001 | 0.49 (0.01) | |
| 4 | 0.001 | 7.92 (0.14) | 0.011 | 0.75 (0.02) | 0.001 | 0.57 (0.02) | 0.001 | 0.48 (0.01) | |
| 6 | 0.001 | 8.09 (0.16) | 0.001 | 0.86 (0.02) | 0.001 | 0.54 (0.02) | 0.001 | 0.46 (0.01) | |
| Understory | 1 | 0.697 | 0.32 (0.01) | 0.001 | 1.05 (0.02) | 0.085 | 0.46 (0.01) | 0.834 | 0.33 (0.01) |
| 2 | 0.089 | 0.43 (0.01) | 0.001 | 1.21 (0.02) | 0.001 | 0.36 (0.01) | 0.06 | 0.35 (0.02) | |
| 4 | 0.001 | 0.52 (0.01) | 0.001 | 1.36 (0.03) | 0.001 | 0.32 (0.01) | 0.068 | 0.39 (0.01) | |
| 6 | 0.001 | 0.84 (0.02) | 0.001 | 1.51 (0.03) | 0.001 | 0.29 (0.01) | 0.726 | 0.43 (0.02) | |
| Factor | Overstory Biomass Increment (Mg·ha−1·a−1) | Factor | Understory Biomass Increment (Mg·ha−1·a−1) | ||
|---|---|---|---|---|---|
| p-Value | r-Value | p-Value | r-Value | ||
| LI | 0.001 | 0.502 | LI | 0.064 | 0.232 |
| SM | 0.046 | −0.272 | SM | 0.229 | −0.146 |
| pH | 0.169 | −0.188 | pH | 0.612 | −0.057 |
| OM | 0.020 | 0.355 | OM | 0.001 | 0.424 |
| TN | 0.072 | 0.209 | TN | 0.022 | 0.346 |
| TP | 0.053 | 0.243 | TP | 0.101 | 0.194 |
| TK | 0.413 | −0.058 | TK | 0.062 | −0.215 |
| AN | 0.066 | 0.211 | AN | 0.053 | 0.240 |
| AP | 0.153 | 0.189 | AP | 0.041 | 0.303 |
| AK | 0.212 | −0.166 | AK | 0.275 | −0.138 |
Disclaimer/Publisher’s Note: The statements, opinions and data contained in all publications are solely those of the individual author(s) and contributor(s) and not of MDPI and/or the editor(s). MDPI and/or the editor(s) disclaim responsibility for any injury to people or property resulting from any ideas, methods, instructions or products referred to in the content. |
© 2024 by the authors. Licensee MDPI, Basel, Switzerland. This article is an open access article distributed under the terms and conditions of the Creative Commons Attribution (CC BY) license (https://creativecommons.org/licenses/by/4.0/).
Share and Cite
Liu, F.; Liu, X.; Zeng, M.; Li, J.; Tan, C. Thinning Effects on Aboveground Biomass Increments in Both the Overstory and Understory of Masson Pine Forests. Forests 2024, 15, 1080. https://doi.org/10.3390/f15071080
Liu F, Liu X, Zeng M, Li J, Tan C. Thinning Effects on Aboveground Biomass Increments in Both the Overstory and Understory of Masson Pine Forests. Forests. 2024; 15(7):1080. https://doi.org/10.3390/f15071080
Chicago/Turabian StyleLiu, Feng, Xiaolin Liu, Mengyuan Zeng, Jianjun Li, and Chang Tan. 2024. "Thinning Effects on Aboveground Biomass Increments in Both the Overstory and Understory of Masson Pine Forests" Forests 15, no. 7: 1080. https://doi.org/10.3390/f15071080
APA StyleLiu, F., Liu, X., Zeng, M., Li, J., & Tan, C. (2024). Thinning Effects on Aboveground Biomass Increments in Both the Overstory and Understory of Masson Pine Forests. Forests, 15(7), 1080. https://doi.org/10.3390/f15071080
