Next Article in Journal
Soil Chemical Quality in Integrated Production Systems with the Presence of Native and Exotic Tree Components in the Brazilian Eastern Amazon
Previous Article in Journal
Vegetation Dynamics since the Last Glacial Maximum in Central Yunnan, Southwest China
 
 
Font Type:
Arial Georgia Verdana
Font Size:
Aa Aa Aa
Line Spacing:
Column Width:
Background:
Article

Bending Performance of Water Saturated White Birch and Ash Wood at 20–100 °C

Research Institute of Wood Industry, Chinese Academy of Forestry, Beijing 100091, China
*
Author to whom correspondence should be addressed.
Forests 2024, 15(7), 1077; https://doi.org/10.3390/f15071077
Submission received: 25 May 2024 / Revised: 18 June 2024 / Accepted: 18 June 2024 / Published: 21 June 2024
(This article belongs to the Section Wood Science and Forest Products)

Abstract

Bent wood has the advantages of visually appealing and ergonomic shapes and the disadvantage of processing failure. Understanding how water and temperature influence wood bending is critical to avoid processing failure. Compared with softwood, saturated hardwood has been seldom reported in terms of bending performance at various temperature levels. In this paper, white birch and ash wood were studied in bending using a universal testing machine and a program-controlled water bath. White birch wood exhibited lower proportional limit stress, smaller modulus of elasticity (MOE), and lower failure stress, but higher proportional strain and failure strain than ash wood. At 20 °C, bending of air-dried wood on the tangential direction exhibited much smaller mechanical variation than that on the radial direction. The proportional limit stress, MOE, and failure stress of water-saturated wood were much smaller than those of air-dried wood, while failure strain was much higher. Evidenced by the almost constant proportional limit strain, plastic bending deformation of water-saturated wood happened to a great extent. As the temperature elevated at 20–100 °C, MOE, proportional limit stress, and failure stress of water-saturated wood decreased while proportional limit strain, failure strain, and wood toughness increased. Variation in proportional limit strain resulting from temperature change was ignorable, evidencing that elevated temperature enhanced wood plastic deformation. Furthermore, white birch wood was more susceptible to temperature over 40 °C than ash wood in terms of toughness. Under water-saturated condition, both species exhibited excellent bending performance at relatively high temperature.

1. Introduction

Wood as a renewable biomaterial displays both typical elasticity and plasticity [1]. Wood viscoelasticity is the basis for wood processing techniques such as wood bending, plasticization, and compression. Investigation of wood viscoelasticity is critical for wood application. When wood is used as a structural component, it is susceptible to viscoelastic behavior over time due to changes in temperature, moisture content, or loading, resulting in significant deformation accumulation or even eventual failure [2]. Temperature and water/moisture are important variables determining wood mechanical properties [3,4,5,6,7,8]. Hydrothermal treatment had been widely used as an important procedure in conventional bentwood production. In the hydrothermal treatment of wood, wood is softened, and water plays the role of a plasticizer to wet and swell hemicellulose, lignin, and the non-crystal region of cellulose in wood, providing more free space for molecules mobility. Heat was transferred from outside to the wood interior, which provides sufficient energy for molecules mobility. When wood is bent, moisture can act as a lubricant between microfibrils, allowing for some sliding between microfibrils, which favors bending. If moisture is lost, the friction between microfibrils increases, and the softening point of lignin increases, resulting in increased wood stiffness and strength, but deteriorated wood bending performance [9].
Iida [7] investigated the bending properties of 24 wood species. It was found that elevated temperature and increased moisture content (MC) substantially reduced wood modulus of rupture (MOR). When MOR of air-dried wood at 20 °C was set as 1.00, it became 0.52 at 20 °C in a water-saturated state. It further reduced to 0.09 at 100 °C in a water-saturated state. Wood deformation at the failure point sharply increased as a result of elevated temperature or increased MC. If the failure strain of air-dried wood was 1.00, it became 1.33 for softwood and 1.81 for hardwood at 20 °C in a water-saturated state. At 100 °C in a water-saturated state, the average failure strain was 4.00. Li [10] studied poplar wood bending properties by selecting wood with 12%–13% MC, water-saturated wood after soaking in water at 20 °C for 24 h, and fireproof boards as the raw materials. The results showed that at the same temperature, the MOE and MOR values of the selected three wood materials were in the following order: wood with 12%–13% MC > fireproof poplar wood board > water-saturated poplar wood. Temperature elevation in the range of 20–120 °C resulted in a decrease in MOE or MOR regardless of the selected raw materials, while that in the range of 120–180 °C led to an increase in MOE and MOR. In terms of wood toughness coefficient (Zb), Zb of water-saturated wood sharply increased with temperature elevation, while wood with MC of 12%–13% and fireproof poplar wood stayed almost constant even though the temperature was elevated. In the bending of small-diameter wood softened by boiling in water, the optimal conditions were as follows: original MC of 25%, boiling time 15 min and temperature of 80 °C [11]. When compressing water-saturated wood, higher temperatures led to lower MOE values, lower yield stress, and lower compression recovery rates. Under the identical compressing condition, the pressure required for water-saturated wood compression and the final compressing ratio after set recovery were both much less than that for air-dried wood [12].
In spite of the above studies, the dependence of wood bending properties on water and temperature, especially in a water-saturated state, has yet to be clarified. In the reported investigations on the dependence of water-saturated wood on temperature, softwood rather than hardwood was generally selected due to the higher lignin contents in the former than the later, resulting in easier softening in the former than the later. Studies on air-dried hardwood and water-saturated hardwood in terms of bending performance have been seldom reported and have been conducted in a narrow temperature range. This study aims at clarifying the bending performance of two typical hardwood species (birch wood and ash wood) under air-dried and water-saturated states at 20 °C, and under water-saturated states at 20–100 °C as well.

2. Materials and Methods

2.1. Materials

White birch (Betula platyphylla Suk.) and ash (Fraxinus mandshurica Rupr.) wood at the age of 20 years were selected as the raw materials. The density of air-dried birch (MC 10.5%) and ash (11.2%) wood were 0.674 g/cm3 and 0.607 g/cm3, respectively. The average growth ring width of birch and ash wood was 2.342 mm and 0.872 mm, respectively.

2.2. Methods

2.2.1. Wood Specimens Preparation

Wood specimens in this study were sampled as Figure 1 illustrates. Both birch wood and ash sapwood were first processed into lumber (as shown in Figure 1A). Then the lumber was further processed into clear specimens (Figure 1D) with the dimensions of 120 mm (L) × 15 mm (R) × 4 mm (T) and 120 mm (L) × 15 mm (T) × 4 mm (R). To reduce the mechanical variation resulting from sampling, a continuous sampling method was employed: each test was replicated with four specimens that were sampled from the same longitudinal position (Figure 1A,B) at the same length. Specimens for the tests at various temperature levels were sampled from the same cross-section at different lengths (C).

2.2.2. Wood Specimens Pretreatment

To eliminate the internal stress in the specimens and ensure that the initial mechanical states of all specimens were consistent, all specimens were oven dried at 103 °C before conditioning in a climate chamber at 20 °C and 65% relevant humidity (RH). After conditioning, the average MC of birch and ash radial specimens was 10.4% and 10.5%, respectively, while that for tangential specimens was 10.5%, and 10.3%, respectively. Eighteen of specimens from each type of specimen for each direction were used directly for bending properties tests, to ultimately determine the mechanical variation in the tangential and radial directions. After the tests, as expected, it was found that loading in the tangential direction (radial specimens) demonstrated much smaller mechanical variation. Thus, radial specimens were used for subsequent experiments, and before the experiments, they were soaked until they sank in distilled water at room temperature (Figure 2). Wood specimens at this point were considered to be water saturated. Rapid measurements of mass and dimensions were performed on these specimens. These sets of specimens were further used for tests of wood bending properties at 20–100 °C. The average MC of water-saturated birch and ash wood specimens was 104.8% and 132.7%, respectively.

2.2.3. Wood Bending Tests

Three-point bending tests were employed using a universal testing machine (Instron 5582, Norwood, MA, USA), with a span set at 80 mm and a loading head with a semi-circular radius of 5 mm. The tests on air-dried specimens were carried out indoors at 20 °C. Four replicates were determined as per GB1929-2009 [13] according to the variation coefficient determined by pre-tests.
The equipment used for testing water-saturated specimens is shown in Figure 3. Water temperature was controlled by a water bath (Eyela NTB-221, Tokyo Rikakikai Co., Ltd., Tokyo, Japan). When the temperature reached the set level, one specimen was loaded between the supports and the loading head, fully immersed in water. After stabilizing the temperature for 15 min to achieve equilibrium [14], the bending test was started at the loading rate of 3 mm/min until failure. The tests were carried out at five temperature levels: 20 °C, 40 °C, 60 °C, 80 °C, and 100 °C. MOE, MOR, failure strain, proportional limit stress, and proportional limit strain were generated directly from the INSTRON software (Bluehill 2, Version 2.17) installed on the machine after each test.

3. Results and Discussion

3.1. Wood Bending Properties

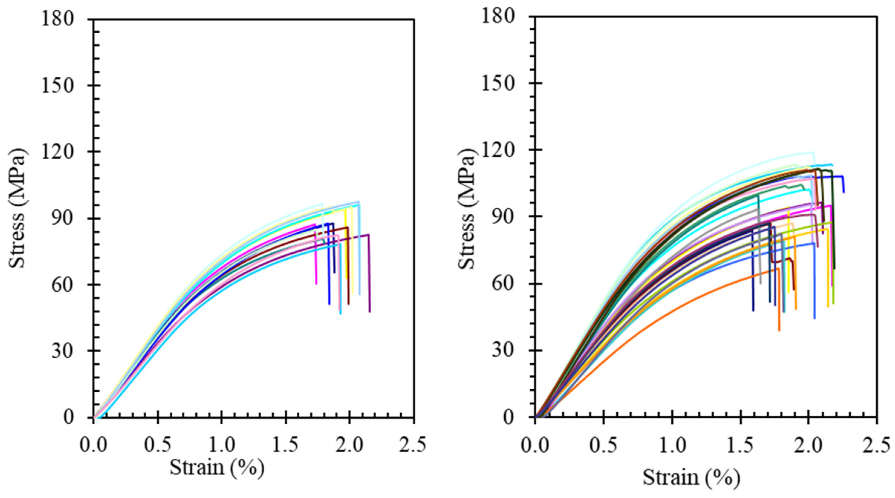
Aiming at investigating the influence of tangential and radial loading on wood bending properties, air-dried radial and tangential specimens were tested. Stress–strain profiles of the air-dried birch and ash wood are shown Figure 4 and Figure 5, respectively. For air-dried birch wood, average MOE and failure strain in the tangential direction were 13.90 GPa and 1.65%, respectively, while in the radial direction, they were 15.92 GPa and 1.81%, respectively. As for air-dried ash wood, MOE and failure strain in the tangential direction were 7.78 GPa and 1.90%, respectively, while in the radial direction, they were 8.59 GPa and 1.93%, respectively. It was accordingly demonstrated that compared with the tangential loading, bending MOE of birch and ash wood in the radial direction was smaller, while the failure strain of air-dried wood in the radial direction was greater than that in the tangential direction. Furthermore, air-dried white birch wood demonstrated much higher MOE than air-dried ash wood, regardless of the loading direction. While in contrast, the failure strain of the arid white wood was relatively lower than that of the ash wood without respect to the loading directions.
Table 1 shows the coefficients of variation in air-dried wood bending mechanical properties at 20 °C. Regardless of air-dried birch wood or air-dried ash wood, the coefficients of variation of any mechanical index in the tangential loading direction was much smaller than that obtained in the radial loading direction. This is because under the radial loading, the earlywood and latewood in the loading direction are arranged in series, resulting in significant differences in the proportion of early and latewood in terms of the thickness (4 mm) among the specimens, and the outside layer can be either earlywood or latewood, which leads to significant mechanical variation. However, when loaded tangentially, the loading direction is parallel to the tangential direction of the growth rings, and the proportions of early and latewood contained within the specimens with 15 mm width were almost equal, resulting in smaller mechanical variation. Therefore, to minimize the mechanical variation resulting from the loading directions, tangential loading was applied in the subsequent study on water-saturated wood specimens.

3.2. Bending Performance of Air-Dried Wood and Water-Saturated Wood

Table 2 compares the bending performance of air-dried wood and water-saturated wood at 20 °C when tangential loading was applied. The MOE, proportional limit stress, and failure stress of water-saturated wood were highly significantly smaller than those of air-dried wood. The elastic modulus of birch and ash wood specimens in the water-saturated state was only 0.484 and 0.474 times of that in the air-dried state, and the proportional limit stress was only 0.45 and 0.50 times of that in the air-dried state. Similarly, the failure stress was also only 0.438 and 0.475 times of that in the air-dried state, representing a reduction by more than one half. However, the variation in proportional limit strain between the water-saturated and air-dried states was not significant. The variation in failure strain was larger, with the failure strain of birch and ash wood in the water-saturated state being 1.478 and 1.272 times of that in the air-dried state, indicating that moisture can significantly increase the plastic deformation of wood. This was resulting from the moisture-induced wood swelling and the breaking of the hydrogen bonds between cellulose, as well as the significant slippage of cellulose fibers [15].

3.3. Bending Performance of Water-Saturated Wood at 20–100 °C

3.3.1. Bending Stress

Figure 6 shows the bending stress–strain profiles of air-dried wood and water-saturated wood at 20–100 °C. At 20 °C, the proportional limit stress of water-saturated birch specimens was greater than that of water-saturated ash wood, and the proportional limit stress of both water-saturated specimens decreased with the elevated temperature (Figure 7). This is attributed to the decrease in hydrogen bonding between cellulose and water molecules resulting from the temperature elevation, which enhanced the swelling effect of water on the linear cellulose chains in the non-crystal region, and therefore, the force required for the stretching and shrinking of the curled portions within the non-crystalline region was reduced, resulting in a decrease in the proportional limit stress of water-saturated specimens [16]. ANOVA analysis indicated that at 20 °C, 40 °C, 60 °C, and 80 °C the proportional limit stresses of water-saturated birch specimens were significantly different, while the proportional limit stress variations of water-saturated birch wood between 80 °C and 100 °C was insignificant, as well as that of water-saturated ash wood between 40 °C and 60 °C and between 80 °C and 100 °C. This suggests that the proportional limit stress of water-saturated birch wood was more susceptible to temperature changes compared to water-saturated ash wood. This is because the crystallinity of cellulose in birch wood is lower than that in ash wood, making the water-saturated birch specimens with more curled portions in the non-crystalline region of cellulose more prone to stretching and shrinking when temperatures are elevated, eventually resulting in more significant changes in the proportional limit stress [15].
The influence of temperature on the failure stress of water-saturated specimens is also illustrated in Figure 7. The failure stress of water-saturated birch wood was higher than that of water-saturated ash wood. The failure stress of both wood species at water-saturated state changed substantially with temperature. As a result of temperature elevation from 20 °C to 100 °C, the failure stress of both water-saturated birch wood and ash wood decreased. ANOVA results indicated that failure stress variations of water-saturated birch wood were significant between 20 °C, 40 °C, 60 °C, and 80 °C, while they were not significant between 80 °C and 100 °C. For water-saturated ash wood, the variation of failure stress was not significant between 40 °C and 60 °C, and between 60 °C and 80 °C, while they were significant for all other pairs of different temperatures in the temperature range of 20–100 °C. The high sensitivity of failure stress to temperature in water saturated state is because as the temperature increases, lignin softens [17], and the failure mode of the wood interior switches from cell wall rupture to delamination of the intercellular layers in wood cell walls with higher lignin content [7]. This eventually leads to a significant decrease in the failure stress of wood.

3.3.2. Bending Strain

The proportional limit strain of water-saturated birch wood was consistently lower than that of ash wood at the same temperatures (Figure 8). The proportional limit strain of both water saturated wood specimens decreased as a result of temperature elevation in the range of 20–100 °C. However, ANOVA analysis indicated that the variations in the proportional limit strain of water-saturated wood at various temperatures were insignificant, suggesting that the elastic deformation of wood remained relatively stable. This is because at 20–100 °C wood microfibrils did not soften but remained in the glassy state, which helped maintain wood in a relatively stable elastic deformation state.
In contrast, both water-saturated birch wood and water-saturated ash wood displayed higher failure strain when temperatures elevated in the range of 20–100 °C (Figure 8). As temperature elevated, water-saturated wood swelled, which resulted in changes in molecular spacing due to molecular vibration and thus the decreased cohesion forces and increased slip of cellulose molecules. This eventually led to increased plastic deformation [14]. Water-saturated birch wood displayed much higher bending failure strains than water-saturated ash wood at 20–100 °C. Variations in the failure strain of water-saturated birch wood at 20 °C and 80 °C, and also at 20 °C and 100 °C, were significant, while the variations at any other pair of temperature points were not significant. For water-saturated ash wood, significant variations in failure strain were observed when temperature elevated from 20 °C to levels higher than 60 °C. Failure strain variations between 40 °C and 100 °C were also statistically significant. This suggests that in a water-saturated state, ash wood was more susceptible to temperature change than birch wood in terms of failure strain, possibly due to the difference in chemical components. Higher lignin content generally contributes to a greater decrease in cohesion forces and an easier slip of cellulose molecules in ash wood when temperatures elevate.

3.3.3. MOE

When temperatures elevated in the range of 20–100 °C, the MOE of water-saturated wood decreased, regardless of whether it was white birch or ash wood (Figure 9). Water-saturated white birch wood exhibited higher MOE than that of ash wood. In particular, the MOE of water-saturated white birch wood decreased almost linearly with temperature elevation. This is because the hemicellulose and lignin in water-saturated specimens undergo a glass transition at the investigated temperature range. Moreover, hydrogen bonds within the cellulose, hemicellulose, and lignin complexes were disrupted, which weakens the intermolecular binding forces. Consequently, molecules underwent more movement and wood cell walls softened, which significantly decreased wood MOE. Conversely, the MOE of water-saturated ash wood remained relatively stable when temperatures increased from 40 °C to 60 °C, and from 80 °C to 100 °C. Variations in the MOE of water-saturated birch wood specimens were significant at all temperature pairs except that between 20 °C and 40 °C. However, for water-saturated ash wood, MOE variations between 40 °C and 60 °C, between 60 °C and 80 °C, and between 80 °C and 100 °C were not significant. This suggests that at 20 °C to 100 °C, the MOE of water-saturated white birch specimens is more susceptible to temperature than that of water-saturated ash wood.

3.3.4. Toughness

Toughness coefficient (calculated from Equation (1)) was used to characterize the relationship between strain and stress in the plastic region of wood. Both white birch wood and ash wood underwent significant changes due to the temperature elevation in the range of 20–100 °C in a water-saturated state. The toughness coefficient of water-saturated wood increased as a result of temperature elevation (Figure 10). This is because higher temperatures led to bigger strains in the plastic region of water-saturated wood, while the failure stress and proportional limit stress decreased. Water-saturated birch wood was more susceptible to temperature effects than ash wood in terms of its toughness coefficient.
T o u g h n e s s   c o e f f i c i e n t   ( Zb ) = F a i l u r e   s t r a i n P r o p o r t i o n a l   l i m i t   s t r a i n F a i l u r e   s t r e s s P r o p o r t i o n a l   l i m i t   s t r e s s  

4. Conclusions

Compared with ash wood, white birch wood exhibited lower proportional limit stress, smaller MOE, and lower failure stress, but higher proportional strain and failure strain than ash wood. At 20 °C, the bending of air-dried wood in the tangential direction exhibited much smaller mechanical variations than that in the radial direction. The proportional limit stress, MOE, and failure stress of water-saturated wood were much smaller than those of air-dried wood, while failure strain was much higher. Evidenced by the almost constant proportional limit strain, plastic bending deformation of water-saturated wood happened to a great extent. As the temperature elevated in the range of 20–100 °C, the MOE, proportional limit stress, and failure stress of water-saturated wood decreased while the proportional limit strain, failure strain, and wood toughness increased. Variation in proportional limit strain resulting from temperature change was ignorable, evidencing that elevated temperature enhanced wood plastic deformation. Furthermore, white birch wood was more susceptible to temperatures over 40 °C than ash wood in terms of toughness. Both species exhibited excellent bending performance at high temperatures in a water saturated state.

Author Contributions

Conceptualization: Y.Z. and X.L.; methodology: X.L.; software: Y.Z.; validation: Y.Z.; writing—original draft preparation: X.L.; writing—review and editing: Y.Z.; project administration: Y.Z.; funding acquisition: Y.Z. All authors have read and agreed to the published version of the manuscript.

Funding

This work was supported by the Fundamental Research Funds of CAF (Grant no. CAFYBB2017SY037).

Data Availability Statement

Data are contained within the article.

Conflicts of Interest

The authors declare no conflicts of interest.

References

  1. Bartolucci, B.; De Rosa, A.; Bertolin, C.; Berto, F.; Penta, F.; Siani, A.M. Mechanical properties of the most common European woods: A literature review. Frat. Integrità Strutt. 2020, 14, 249–274. [Google Scholar] [CrossRef]
  2. Maunus, R.A. The visoelasticity of wood at varying moisture content. Wood Sci. Technol. 1975, 9, 189–205. [Google Scholar] [CrossRef]
  3. Hassan, V.M.; Tippner, J.; Brabec, M. Effects of species and moisture content on the behaviour of solid wood under impact. Eur. J. Wood Prod. 2024, 82, 23–34. [Google Scholar] [CrossRef]
  4. Hernández, R.E.; Passarini, L.; Koubaa, A. Effects of temperature and moisture content on selected wood mechanical properties involved in the chipping process. Wood Sci. Technol. 2024, 48, 1281–1301. [Google Scholar] [CrossRef]
  5. Baumann, G.; Brandner, R.; Müller, U.; Stadlmann, A.; Feist, F. A comparative study on the temperature effect of solid birch wood and solid beech wood under impact loading. Materials 2021, 14, 7616. [Google Scholar] [CrossRef] [PubMed]
  6. Mukudai, J.; Yata, S. Modeling and simulation of viscoelastic behavior of wood under moisture content. Wood Sci. Technol. 1986, 21, 49–63. [Google Scholar] [CrossRef]
  7. Iida, I. Change of elastic and strength properties in the direction perpedicular to the grain by moisture content changes and by heating in water. J. Wood Sci. 1989, 35, 875–881. [Google Scholar]
  8. Thybring, E.F.; Kymalainen, M.; Rautkari, L. Experimental techniques for characterizing water in wood covering the range from dry to fully water-saturated. Wood Sci. Technol. 2018, 52, 297–329. [Google Scholar] [CrossRef]
  9. Kollman, P.F.F.; Cote, A.W. Principles of Wood Science and Technology: Solid Wood; Springer: New York, NY, USA, 1968; pp. 100–111. [Google Scholar]
  10. Li, D.; Xu, Y.; Jiang, B. Effect of temperature on poplar wood bending properties. J. For. Eng. 1994, 2, 29–31. [Google Scholar]
  11. Ye, C.; Lu, J.; Liu, J. Technology of bending for small-diameter logs of Schimasuperba. J. Fujian For. Coll. 2001, 21, 135–138. [Google Scholar]
  12. Yang, Q.L.; Wang, J.Y.; Qi, C.; Zhao, G.; Iida, I. Compression and permanent fixatian with heat treatment of China fir under water-saturated condition and air-dried condition. J. Beijing For. Univ. 2000, 22, 72–75. [Google Scholar]
  13. GB/T 1929-2009; Method of Sample Logs Sawing and Test Specimens Selection for Physical and Mechanical Tests of Wood. National Standards of the People’s Republic of China: Beijing, China, 2009.
  14. Dumail, F.J.; Salmen, L. Compression behaviour of saturated wood perpendicular to grain under large deformations: Comparison between water-saturated and ethylene glycol-Saturated wood. Holzforschung 1997, 51, 296–302. [Google Scholar] [CrossRef]
  15. Mantanis, I.G.; Young, A.R.; Rowel, M.R. Swelling of wood, Part 1. Swelling in water. Wood Sci. Technol. 1994, 28, 119–134. [Google Scholar]
  16. Salmen, L. Thermal expansion of water-saturated wood. Holzforschung 1990, 44, 17–19. [Google Scholar] [CrossRef]
  17. Rozsa, A.N.H. The softening temperature of wood. Holzforschung 1978, 32, 68–73. [Google Scholar] [CrossRef]
Figure 1. Wood sampling for specimens ((A): wood lumber; (B): wood strip with the size of 485 mm (L) × 15 mm (R) × 14 mm (T) or 485 mm (L) × 15 mm (T) × 14 mm (R); (C): wood strips with the size of 485 mm (L) × 15 mm (R) × 4 mm (T) or 485 mm (L) × 15 mm (T) × 4 mm (R); (D): wood specimen with the size of 120 mm (L) × 15 mm (R) × 4 mm (T) or 120 mm (L) × 15 mm (T) × 4 mm (R); L: longitudinal direction; T: tangential direction; R: radial direction; T (R): tangential or radial direction; R (T): radial or tangential direction).
Figure 1. Wood sampling for specimens ((A): wood lumber; (B): wood strip with the size of 485 mm (L) × 15 mm (R) × 14 mm (T) or 485 mm (L) × 15 mm (T) × 14 mm (R); (C): wood strips with the size of 485 mm (L) × 15 mm (R) × 4 mm (T) or 485 mm (L) × 15 mm (T) × 4 mm (R); (D): wood specimen with the size of 120 mm (L) × 15 mm (R) × 4 mm (T) or 120 mm (L) × 15 mm (T) × 4 mm (R); L: longitudinal direction; T: tangential direction; R: radial direction; T (R): tangential or radial direction; R (T): radial or tangential direction).
Forests 15 01077 g001
Figure 2. Water-saturated wood specimens ((left): white birch wood; (right): ash wood).
Figure 2. Water-saturated wood specimens ((left): white birch wood; (right): ash wood).
Forests 15 01077 g002
Figure 3. Apparatus for testing the bending mechanical properties of water-saturated wood.
Figure 3. Apparatus for testing the bending mechanical properties of water-saturated wood.
Forests 15 01077 g003
Figure 4. Stress–strain profiles of air-dried birch wood ((left): tangential loading; (right): radial loading; each profile with one specific color means one test).
Figure 4. Stress–strain profiles of air-dried birch wood ((left): tangential loading; (right): radial loading; each profile with one specific color means one test).
Forests 15 01077 g004
Figure 5. Stress–strain profiles of air-dried ash wood ((left): tangential loading; (right): radial loading; each profile with one specific color means one test).
Figure 5. Stress–strain profiles of air-dried ash wood ((left): tangential loading; (right): radial loading; each profile with one specific color means one test).
Forests 15 01077 g005
Figure 6. Bending stress–strain profiles of air-dried and water-saturated wood at 20–100 °C ((left): white birch wood; (right): ash wood).
Figure 6. Bending stress–strain profiles of air-dried and water-saturated wood at 20–100 °C ((left): white birch wood; (right): ash wood).
Forests 15 01077 g006
Figure 7. Proportional limit stress and proportional limit strain of water-saturated wood at various temperature levels.
Figure 7. Proportional limit stress and proportional limit strain of water-saturated wood at various temperature levels.
Forests 15 01077 g007
Figure 8. Proportional limit strain and failure strain of water-saturated wood.
Figure 8. Proportional limit strain and failure strain of water-saturated wood.
Forests 15 01077 g008
Figure 9. MOE of water-saturated wood at 20–100 °C.
Figure 9. MOE of water-saturated wood at 20–100 °C.
Forests 15 01077 g009
Figure 10. Toughness coefficient of water-saturated wood.
Figure 10. Toughness coefficient of water-saturated wood.
Forests 15 01077 g010
Table 1. Variation coefficient in the bending properties of air-dried wood at 20 °C.
Table 1. Variation coefficient in the bending properties of air-dried wood at 20 °C.
SpeciesLoading DirectionCoefficient of Variation
MOEProportional Stress Limit
σp
Failure Stress
σmax
Proportional Strain Limit
εp
Failure Strain
εmax
White birchTangential0.0370.0420.0350.0620.079
Radial0.0920.1510.0970.2670.107
AshTangential0.0770.1290.0720.1140.070
Radial0.1840.2120.1370.1480.086
Table 2. Comparison of mechanical properties between air-dried wood and water-saturated wood at 20 °C.
Table 2. Comparison of mechanical properties between air-dried wood and water-saturated wood at 20 °C.
SpeciesConditions
(20 °C)
Ratio *
MOEProportional Limit Stress σpFailure Stress σmaxProportional Limit Strain εpFailure Strain εmax
White birchAir-dried state1.001.0001.0001.0001.000
Water-saturated state0.484 (0.028)0.451 (0.035)0.438 (0.007)0.905 (0.124)1.272 (0.019)
AshAir-dried state1.001.0001.0001.0001.000
Water-saturated state0.474 (0.052)0.497 (0.02)0.475 (0.009)1.051 (0.163)1.478 (0.162)
Note: Ratio * means the ratio of the specific mechanical index at water-saturated state to that of the air-dried condition at 20 °C; values in parentheses indicate standard deviation.
Disclaimer/Publisher’s Note: The statements, opinions and data contained in all publications are solely those of the individual author(s) and contributor(s) and not of MDPI and/or the editor(s). MDPI and/or the editor(s) disclaim responsibility for any injury to people or property resulting from any ideas, methods, instructions or products referred to in the content.

Share and Cite

MDPI and ACS Style

Li, X.; Zhao, Y. Bending Performance of Water Saturated White Birch and Ash Wood at 20–100 °C. Forests 2024, 15, 1077. https://doi.org/10.3390/f15071077

AMA Style

Li X, Zhao Y. Bending Performance of Water Saturated White Birch and Ash Wood at 20–100 °C. Forests. 2024; 15(7):1077. https://doi.org/10.3390/f15071077

Chicago/Turabian Style

Li, Xiaoling, and Youke Zhao. 2024. "Bending Performance of Water Saturated White Birch and Ash Wood at 20–100 °C" Forests 15, no. 7: 1077. https://doi.org/10.3390/f15071077

APA Style

Li, X., & Zhao, Y. (2024). Bending Performance of Water Saturated White Birch and Ash Wood at 20–100 °C. Forests, 15(7), 1077. https://doi.org/10.3390/f15071077

Note that from the first issue of 2016, this journal uses article numbers instead of page numbers. See further details here.

Article Metrics

Back to TopTop