Next Article in Journal
Nursery Cultivation Strategies for a Widespread Mangrove (Kandelia obovata Sheue & al.): Evaluating the Influence of Salinity, Growth Media, and Genealogy
Next Article in Special Issue
Formation Mechanism of Tourists’ Pro-Environmental Behavior in Wuyishan National Park, China, Based on Ecological Values
Previous Article in Journal
Decrease in Inorganic Nitrogen and Net Nitrogen Transformation Rates with Biochar Application in a Warm-Temperate Broadleaved Forest
 
 
Font Type:
Arial Georgia Verdana
Font Size:
Aa Aa Aa
Line Spacing:
Column Width:
Background:
Article

Mushroom Picking as a Special Form of Recreation and Tourism in Woodland Areas—A Case Study of Poland

1
Institute of Forest Sciences, Faculty of Civil Engineering and Environmental Sciences, Białystok University of Technology, ul. Wiejska 45E, 15-351 Białystok, Poland
2
Forest Protection Department, Forest Research Institute, ul. Braci Leśnej 3, 05-090 Sękocin Stary, Poland
*
Author to whom correspondence should be addressed.
Forests 2024, 15(3), 573; https://doi.org/10.3390/f15030573
Submission received: 31 January 2024 / Revised: 15 March 2024 / Accepted: 16 March 2024 / Published: 21 March 2024
(This article belongs to the Special Issue The Sustainable Use of Forests in Tourism and Recreation)

Abstract

The paper looks at the potential benefits of mushrooms in terms of health, recreation, and tourism. Mycotourism is an innovative, specialised tourism product that has been successfully introduced in some regions of the world, helping to combat seasonality and promote economic development in rural areas. The aim of the study was to analyse the development of mycotourism in Poland in comparison with other countries. As a method, a questionnaire on the cultural significance of mushrooms was developed and disseminated via social media. It was found that there are strong mycophilic tendencies in Poland, leading to a strong interest in mushrooms, both in terms of cultural and culinary traditions. They are also a factor that attracts tourists to the forest areas. In contrast, the UK and Germany are more mycophobic, resulting in a lower interest in mushrooms, limited culinary use, and a lower awareness of their role in the ecosystem and their potential health benefits. The low average score for knowledge of mushrooms in countries such as the UK indicates a need for increased mycological education that can contribute to a better understanding of the conservation of these important components of the forest floor. The high proportion of people who see mushroom picking in Poland as a form of recreation emphasises its role as an important cultural and potential nature tourism asset. In Poland, where long traditions are associated with mushrooms and mushroom picking, they have a strong influence on the choice of mycological tourism, especially in regions with a rich tradition of mushroom picking. The high percentage of mushrooms used for culinary purposes, especially in Poland, emphasises their value and influences the health component of the diet, which is rich in proteins, vitamins, and minerals. Research has shown that mushroom consumption and its effects on health are perceived positively. This is evidenced by higher ratings in Poland than in the UK and Germany, indicating a general awareness of the health benefits of mushrooms, even though their use in medicine remains limited. The low level of awareness of the role of mushrooms and their potential health benefits suggests that educational and promotional activities should be increased to sensitise the public to mushrooms.

1. Introduction

Mycotourism is an innovative, specialised tourism product that has been successfully introduced in some regions of the world, such as the Castilla y León region on the Iberian Peninsula in Spain [1]. Mycotourism helps to combat seasonality and contributes to the economic development of rural areas. Mycological tourism, which is becoming increasingly popular in Europe, reflects the deep connection between humans and mushrooms. This form of tourism combines elements of education, recreation, and a deeper understanding of nature and its biodiversity. Many European communities where the tradition of mushroom picking is part of the cultural heritage attract tourists who are interested in learning about mushrooms, their collection, and their culinary use [2,3].
Tourism, defined as traveling for recreational, educational, or cultural purposes, brings a number of benefits to both tourists and the places they visit. As it has been noted [4], forest areas become attractive destinations thanks to their micro climate, their richness in flora and fauna, and their medicinal properties. They offer the opportunity to relax in unspoiled nature, which helps to improve physical and mental health. Mycological tourism, or mushroom tourism, often called “mycotourism”, is defined as recreation and tourism that is practiced with the intention of observing and collecting mushrooms [2].
In some countries, including Belgium and the Netherlands, mushroom picking is prohibited to protect biodiversity. Mycotourism should thus blend recreation, education, and a profound understanding of nature. Urban forests, due to their confined spaces, face risks from walking, such as trampling and soil compaction. Moreover, mushroom pickers’ treatment of non-edible species—shaped by their education—is crucial, particularly to prevent indiscriminate destruction of fruiting bodies, which, albeit less common now, remains a concern.
The impact of mushroom gathering on spore dispersal and the broader mycobiome is unclear, given that fruiting bodies are a minor component of the vast mycelial network. Yet, it is theorised that collecting fungi might hinder spore spread over large distances. Mycotourism appeals to both novices and experts, providing unique insights and learning opportunities about regional mushroom practices [2].
Mushrooms occupy a special place in our culture: We love them and despise them, fear them, and misunderstand them. They can be downright delicious, deadly poisonous, sugary sweet, or absolutely grotesque. These strange organisms have great symbolic power in our myths and legends [5]. In everyday language, the terms “mushrooms” and “fungi” are often used interchangeably, but these terms have different meanings.
Only a small proportion of the world’s fungi actually form fruiting bodies. As a fruiting body, similar to a potato or an apple, a mushroom is not an independent life form but part of a larger organism—the fungus [6].
Mushroom picking is an ancient way of life, and mushrooms themselves are becoming an important cultural ecosystem service in rural communities. Mushroom picking and cooking is an integral part of local culture in many mountain regions and communities around the world, where culinary tourism is becoming increasingly popular. It is about the importance that local people place on certain cultural ecosystem services, such as wild foods, and how this local sense of place is reflected in food tourism practices and planned destination creation. Fungi are among the most diverse organisms on earth and have played an important role in human society since prehistoric times. In recent years, however, they have become strategically important not only for the conservation and management of ecosystems but also as a resource to stem the rural exodus in peripheral Mediterranean regions such as inland eastern Spain [7].
However, this study focuses on mushroom picking, which is important to many communities, especially in Europe, and has been and still is an important cultural tradition. In Poland, for example, picking mushrooms in the forest is a favourite family pastime that is often passed down from generation to generation, reflecting a deeply ingrained mycophilic culture—a concept introduced by Gordon Wasson and his wife, Valentina, in 1957 [8].
This mycophilic perspective views mushrooms as integral to cultural and culinary traditions, rather than with fear or suspicion. Mushrooms are also an important part of the local cuisine in Poland and are used in a variety of dishes. Wild mushroom gathering is an ancient way of life, and wild mushrooms themselves are proving to be an important cultural ecosystem service in rural and natural environments. Picking and preparing mushrooms is not only a beloved practice in Poland but also in many mountainous regions and communities around the world, where food tourism is becoming increasingly popular [9], resonating with the Wassons’ insights on the global dichotomy between mycophilic and mycophobic attitudes.
This study further explores how such cultural perceptions of mushrooms can influence contemporary practices, such as sustainable forest management that includes non-timber resources and new, non-extractive activities like tourism. In several countries around the world, including Poland and Mexico, there is a trend towards embracing wild edible mushrooms for their economic and cultural importance [10], showcasing a broader appreciation for mushrooms that aligns with the Wassons’ observations on mycophilic cultures.
In the case of Poland, as in other European countries, a competitive global market that requires a customised offer, mycotourism contributes to the economic development of rural areas, a priority objective for policymakers and stakeholders alike [1].
Mushrooms have been served on tables in Poland for centuries, even on the tables of the Carpathians [11]. At the turn of the nineteenth and twentieth centuries, 22 species of edible mushrooms were collected in the area of Gorlice and Biecz (Poland), including genera of Morchella, Agaricus, Boletus, Leccinum, Russula, Suillus, Lactarius, and Paxillus involutus. The species collected included those that were eaten raw (Lactarius volemus (Fr.) Kuntze.) or after processing, as well as those that were used for medicinal purposes or in the household, for example, to repel insects. Even today, mushrooms are still eaten raw (sprinkled with salt), fried on the cooker or in a pan, pickled and dried (as an accompaniment to dishes), and as tinctures (Fomitopsis betulina (Bull.) B.K. Cui, M.L. Han & Y.C. Dai). Another example comes from Sweden, where society has changed rapidly in recent decades and with it its members’ interest in mushroom picking [12]. In the second half of the twentieth century, the flow of information about mushrooms has continued through lecturers, courses, media, exhibitions, and even clubs.
Forest walks are also an important leisure activity for many Swedes, and at the beginning of the twenty-first century, mushroom picking has also become a flourishing pastime for people with an urban lifestyle. It could be the path taken by the British and Germans.
Mushrooms were not included in the pre-industrial diet of Sweden’s rural population. In the 1830s, some academic mycologists launched information campaigns to educate people about edible mushrooms. This propaganda met with fierce resistance from the rural population. Even at the beginning of the last century, mushrooms were only eaten occasionally, mainly by the aristocracy. In the course of the twentieth century, the Swedish urban middle class accepted mushrooms as food, closely followed by the working class. A few became connoisseurs, but most people confined themselves to one or two taxa. The chanterelle, Cantharellus cibarius Fr. was (and still is) the most popular species. It was easy to recognise, and if it was a good mushroom season and the mushroom picker was diligent, considerable quantities could be harvested and preserved or, since the late 1950s, put in the freezer.
The estimated world mushroom production in 2018–2019 was 43 million tonnes (MT), with Lentinula edodes (Berk.) Pegler (shiitake) contributing 26%, Auricularia spp. 21% Pleurotus ostreatus (Jacq.) P. Kumm. (oyster) 16%, Agaricus bisporus (J.E. Lange) Imbach 11%, Flammulina velutipes (Curtis) P. Karst. 7%, P. eryngii (DC.) Quél (king oyster) 5%, Volvariella volvacea (Bull.) Singer (rice straw mushroom) 1% and others 13% [13]. Other important contributors were Agrocybe aegerita (V. Brig.) Singer, Pholiota nameko (T. Itô) S. Ito & S. Imai, Tremella fuciformis Berk., Hypsizygus marmoreus (Peck) H.E. Bigelow, etc. According to FAOSTAT, Poland produced 280 million kg in 2018 and 362 million kg in 2019, the UK 99 million kg and 101 million kg and Spain 166 million kg and 170 million kg, respectively. One of the old methods of preserving mushrooms is lactic acid fermentation.
The species Boletus edulis Bull., Leccinum spp., Suillus spp., Xerocomus sp., Lactarius deliciosus (L.) Gray and Tricholoma equestre (L.) P. Kumm. were mainly used for this purpose. In total, 100,000 tonnes of mushrooms are harvested in Poland [14,15]. Compared to other European countries, there are no daily limits (in Germany, 2 kg per mushroom picker), and in Italy, special permits have to be applied for.
The information collected on mushroom picking preferences shows that local knowledge generally does not differ from scientific knowledge [16]. Analysing public perceptions of mushrooms can help to improve knowledge about local changes in mushroom diversity and provide new assessments related to analysing the large-scale occurrence of macrofungi and their harvesting.
In this introductory section, we have provided information on the quantities and types of mushrooms harvested annually from national forests. We have tried to illustrate the importance of the topic using available sources. Unfortunately, we have not found any reports or statistics on mushroom tourism. Our research is probably one of the first in Poland in this field. The survey method we have chosen has the advantage of being able to reach various interest groups comprehensively via social media. The results obtained provide a new contribution to knowledge about the public’s perception of mushrooms.
The aim of this study was to analyse mycophilic (positive attitude towards mushrooms) and mycophobic (negative attitude towards mushrooms) trends, focusing on Polish tourism as part of Europe. The study primarily aims to understand how knowledge and perceptions of mushrooms influence decisions and behaviours in forest tourism in different cultures and communities. By analysing these trends, the study will help to understand the impact of mushrooms on culture and tourism and to protect their biological and cultural diversity.

2. Materials and Methods

As the aim of the research was to analyse the cultural significance of mushrooms in different communities, for this purpose, we designed a questionnaire that was sent to selected target groups (less or more similar/relevant in a specific country). By answering 10 questions, we hoped to understand how the perception of mushrooms influences the destination choice and behaviour of tourists in different European cultures and to identify the cultural and environmental factors that influence these trends. The list of survey questions is presented in Table 1.
The study is qualitative and could be conducted via social media. The advantage of this approach was direct access to different stakeholder groups. The weakness of the method was the different sample sizes in the different countries. For this reason, it was decided to present the results for Poland as a so-called “case study” with a comparison with the UK and Germany. As a qualitative, descriptive method, it made it possible, among other things, to find out something about attitudes towards collecting and using mushrooms. The literature analysis was carried out using the following keywords: world mushroom production, Agaricus, Pleurotus, Lentinula, Auricularia, Flammulina, Volvariella.
The survey on mycophilic and mycophobic trends in European tourism, conducted in English and Polish, placed a particular emphasis on the cultural significance of mushrooms. The research tools were made available to respondents between February and May 2021 via an electronic Google Forms form, which allowed for quick responses to the data contained in the survey.
The English version of the survey was distributed in international Facebook groups, with a focus on the UK. These groups included “BUSHCRAFT UK”, “Fauna and Flora—Botany & Zoology”, “Mycology—Permaculture Gaia Network”, “Way of Nature UK”, “Nature and Wildlife UK”, “The Research Survey Group”, “Bushcraft and Wild Camping UK.
The surveys in Polish were sent to selected groups of recipients as well as to social groups on Facebook dealing with nature, mycology, survival, bushcraft, ecotourism, health and treatment with natural substances, hunting, ecological education, and biodiversity research. The surveys were distributed only with the consent of the group administrators and in accordance with Facebook’s guidelines for ensuring ethical and responsible research.
The selected recipient groups include: (1) employees of the Białystok University of Technology (academic, administrative, and technical staff); (2) employees of the primary school in Marcinkowo (teaching staff, school staff); and (3) academics and students from various Polish and international universities with different research profiles.
The groups on the Facebook social network where the survey was published in Polish included: “Wild nature and its inhabitants”, “EDCPL—Ekwipunek Dźwigany Dzień”, “Nature in the service of your health”, “grzyby.pl”, “Supporters of the website www.NaGrzyby.pl”, “Bushcraft Polska”, “Nature of Poland and the World”, “Brać Myśliwska”, “Slime moulds: Myxomycota, Mycetozoa, Eumycetozoa”, “Poland and Nature”, “Home Survival”, “Adventure and Animals”, “Nature and You”. In a survey distributed both in Poland and abroad, the respondents were groups that showed interest in mushrooms (or survivalists) on Facebook. In summary, both the Polish and English versions of the questions were addressed to similar organisations, so the results of the survey could be compared.

Responses to the Survey from Participants from Poland, Great Britain and Germany

Firstly, we compared the survey responses from participants from Poland with those from the UK and Germany as the most represented countries. This means that some of the responses collected from participants from other countries were not taken into account. The number of these responses was small, and as we were interested in the start-up patterns depending on the country of origin of the participants, we decided not to include them as a separate category. We believe that the cultural background of participants from countries as far away as Belarus, Italy, Norway, and Portugal (to name but a few) is so different that it would not be relevant.

3. Results and Interpretation

3.1. Figures of Collected Responses to the Surveys

In Figure 1, we present the comparison of the survey responses collected with the respondents’ country of origin. The responses from Poland were collected exclusively for the Polish version of the survey.
In total, the survey conducted in Polish collected responses from 471 respondents, and we received 188 responses from international respondents, of which 102 were from the UK, 39 from Germany, and less than 10 responses from any of the other countries (Figure 1).
In Figure 2, we show the graphical comparison of the answers to the survey question according to the three countries of origin of the respondents. We do not present here the answers to all the questions listed in Table 1 because, due to a technical error, the answers to questions Q.6, Q.7, and Q.9 were recorded on different scales, which means that there is no one-to-one correspondence between the answers to the Polish and English versions of the surveys.
In the following subsections, we mention the patterns we noticed when analysing this data. Some of these patterns seem obvious and confirm familiar stereotypes or common sense. However, in our opinion, they are also interesting and important as they confirm the validity of the collected data and the similarities of the surveyed population with the general population in Poland and other countries.

3.1.1. Q.1: Are Mushrooms Your Area of Interest?

The survey results show clear differences in interest in mushrooms between respondents from Poland, Germany, and the UK. In Poland, as many as 75% of respondents expressed an interest in mushrooms, while this percentage was significantly lower in the UK and Germany at 23% and 39%, respectively.
This difference could be an expression of deeply rooted cultural and historical traditions that influence the perception and appreciation of nature in the different regions of Europe. As Engel et al. [17] found, cultural and regional differences can significantly influence the way people perceive and value elements of the natural environment, including fungi.

3.1.2. Q.2: Does Your Family Have a Mushroom Tradition?

The answers to the question about the presence of mushroom-related traditions in families also showed clear differences between countries. In Poland, 73% of respondents confirmed the existence of such traditions, while in the UK and Germany, this percentage was only 12% and 18%, respectively.
These results reflect the deeper significance of mushrooms in Polish culture, where mushroom picking and use have a long history and are often passed down from generation to generation.

3.1.3. Q.3: Is Your Interest in Mushrooms or Mycology (Such as Mushroom Picking or Mycological Research) a Form of Recreation or Tourism?

The survey results show that only 40% of Polish respondents consider activities related to mushrooms or mycology as a form of recreation or tourism, while in the UK and Germany, it is about 11% and 13%, respectively. This can be interpreted as an expression of cultural differences in the perception of nature and its use for recreational purposes. Forests and their biodiversity, including fungi, play a key role in the provision of ecosystem services, including cultural services, which may include recreation and tourism [18].

3.1.4. Q.4: Does Your Interest in Fungi or Mycology Influence Your Decision to Engage in a Particular Form of Tourism or Recreation?

Responses to the question about interest in mushrooms and choice of form of tourism or recreation also varied across countries. In Poland, 36% of respondents said that their interest in mushrooms often influences their choice of tourism or recreation, while in the UK and Germany it was a much lower percentage, around 5% each.
The data presented may suggest that in countries with memorable mycological traditions, such as Poland, mushroom picking could be an important factor influencing the decisions of tourists and recreationists. Research has shown that cultural ecosystem services (of which mushroom picking is one) have a significant impact on landscape management and planning [19].

3.1.5. Q.10: Do You Consciously Use Mushrooms for Medicinal Purposes?

Most respondents (79% in Poland, 87% in the UK, and 80% in Germany) never consciously use mushrooms for medicinal purposes.

3.2. Demographic Characteristics of Respondents from Poland

In the previous section, we presented the analysis of the responses to the survey in terms of the differences between the response behaviour of the participants of Polish origin and the participants from the UK and Germany. As we have already admitted, most of the responses to the survey were obtained from respondents from Poland. For this reason, we limit our further in-depth analysis of the dependence of responses on the demographic characteristics of respondents.
In Section 2, we have described the method we used to reach respondents with the survey. As you could see, we were not able to create and select a statistically representative sample with the same demographic characteristics as the population of Poland. To better understand the group of survey participants, we show in Figure 3 the analysis of the number of participants according to the demographic dimensions about which we gained insights in the survey.

3.3. Survey Responses in Poland

3.3.1. Q.1: Do Mushrooms Belong to Your Field of Interest?

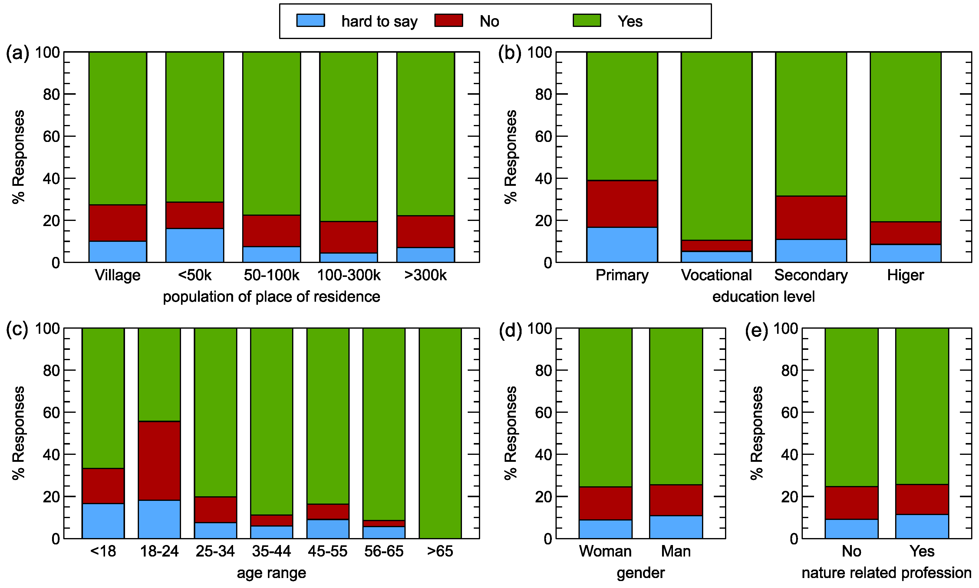
In Figure 4, we present the results of the respondents’ answers to the first question of the survey. Several patterns can be recognised in the data. First of all, we can see that the answers are very similar in all groups of respondents’ places of residence (Figure 4a).
Another observation is the dependence of the answers on the respondents’ level of education. As can be seen in Figure 3, we only received a few responses from respondents who had completed primary school or vocational school at the time of the survey. Most respondents had completed secondary school or some type of higher education. For this reason, we believe that due to the number of responses, we only discuss a comparison of the proportions of responses collected from respondents with a medium or high level of education. It should be noted that in these two groups, the proportion of undecided answers (the answer—difficult to say) is very similar, but the number of positive answers to this question also increased with higher levels of education.
Another pattern can be seen in Figure 4c: the interest in mushrooms increases with the age of the respondents. This could indicate that nature in general is more appreciated with increasing life experience, which in a way contradicts stereotypical opinions. The observed proportions of responses from the very young age group (<18) are probably not very reliable due to the very small number of respondents in this group (Figure 3c).
Similar results of responses were obtained when we compared categories of two genders (Figure 4d) or categories differentiated by type of education/occupation across the natural domain. This may be surprising, as the stereotypical opinions could be contrary.

3.3.2. Q.2: Does Your Family Have a Mushroom Tradition?

In Figure 5, we present the results of the answers to the second survey question, divided into groups across the demographic dimensions analysed. In our opinion, an interesting pattern can be observed when comparing the results of the different age groups of respondents (Figure 5c). It is noticeable that the number of negative responses is higher in the young adult groups (18–24 and 25–24) than in the older groups (35–44). There is a stereotypical opinion that mushroom picking is a national sport of Poles. But this result could indicate that the transfer of this habit to younger generations is slower than observed in the past. It could be that parents have chosen other forms of joint family activities than in the past.

3.3.3. Q.3: Is Your Interest in Mushrooms or Mycology (Such as Mushroom Picking or Mycological Research) a Form of Leisure or Tourism?

In our opinion, the answers to the third question, shown in Figure 6, do not reveal many patterns. What could be observed is that many respondents do not have a clear opinion (answers difficult to say). A higher number of positive answers could also be observed in the oldest age group.

3.3.4. Q.4: Does Your Interest in Mushrooms or Mycology Influence Your Decision to Pursue a Particular Form of Tourism or Leisure Activity?

The answers to the fourth question of the survey, shown in Figure 7, may reveal some patterns. First of all, it is noticeable that the proportion of “often” responses is lower among participants living in larger cities (100,000 inhabitants or more) than in smaller towns or villages. This may be due to the greater distance to the nearest forest from these towns.
Another pattern in the responses to this question that we noticed is a higher proportion of “Never” responses in the older groups of respondents (56–65 and >65). We did not ask more specific questions that could explain this fact, but one assumption may be that any form of tourism or recreation is less popular in older population groups, especially in the oldest group (>65), which could be caused by some kind of deterioration in health.

3.3.5. Q.5: Have You Ever Deliberately Destroyed Fungi in Their Natural Environment?

Figure 8 shows the analysis of the answers to the 5th question of the survey. A very encouraging observation is that most of the respondents selected the option that they never consciously destroy mushrooms in their natural environment. The options “rarely” and “often” were chosen by a very small percentage of respondents.
Other patterns observed also indicate positive trends in behaviour. The proportion of respondents who do not destroy mushrooms increases with their level of education or age. In our opinion, this should not be taken to mean that younger generations are destroying mushrooms to a greater extent than in the past. The choice of the options “never” and “I used to” was probably made according to recent behaviour or a recent change in behaviour. The younger groups of respondents thus indicated a positive change in their attitude towards nature.
A confirmation of the stereotypical opinion could also be observed in Figure 8: women are less likely to destroy nature compared to men.

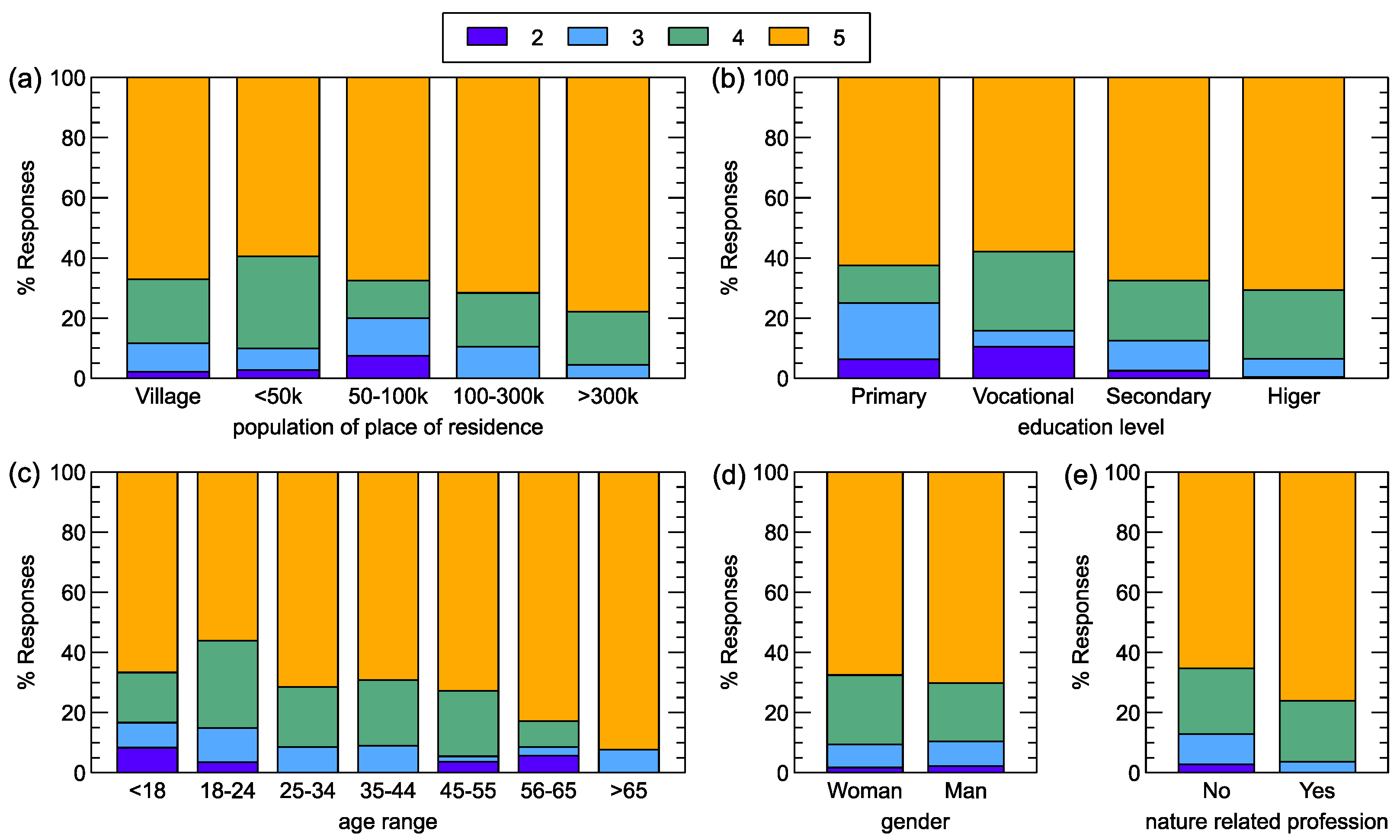
3.3.6. Q.6: How Do You Assess the Role of Fungi in the Natural Ecosystem?

In Figure 9, we present the results of the answers to the sixth question of the survey. A very encouraging observation is that the role of fungi in the natural ecosystem is generally appreciated, as there was no response with the choice of 1 point. Even the choices of 2 and 3 points were rather rarely chosen, as most respondents indicated 4 or 5 points.
A trend could be observed in the answers related to the age of the respondents (Figure 9c): the role of mushrooms is more appreciated by older respondents, as they chose 5 points more often.
The fact that respondents with nature-related occupations/education (Figure 9e) provided a higher rate of valued responses seems to be an obvious consequence of their background.

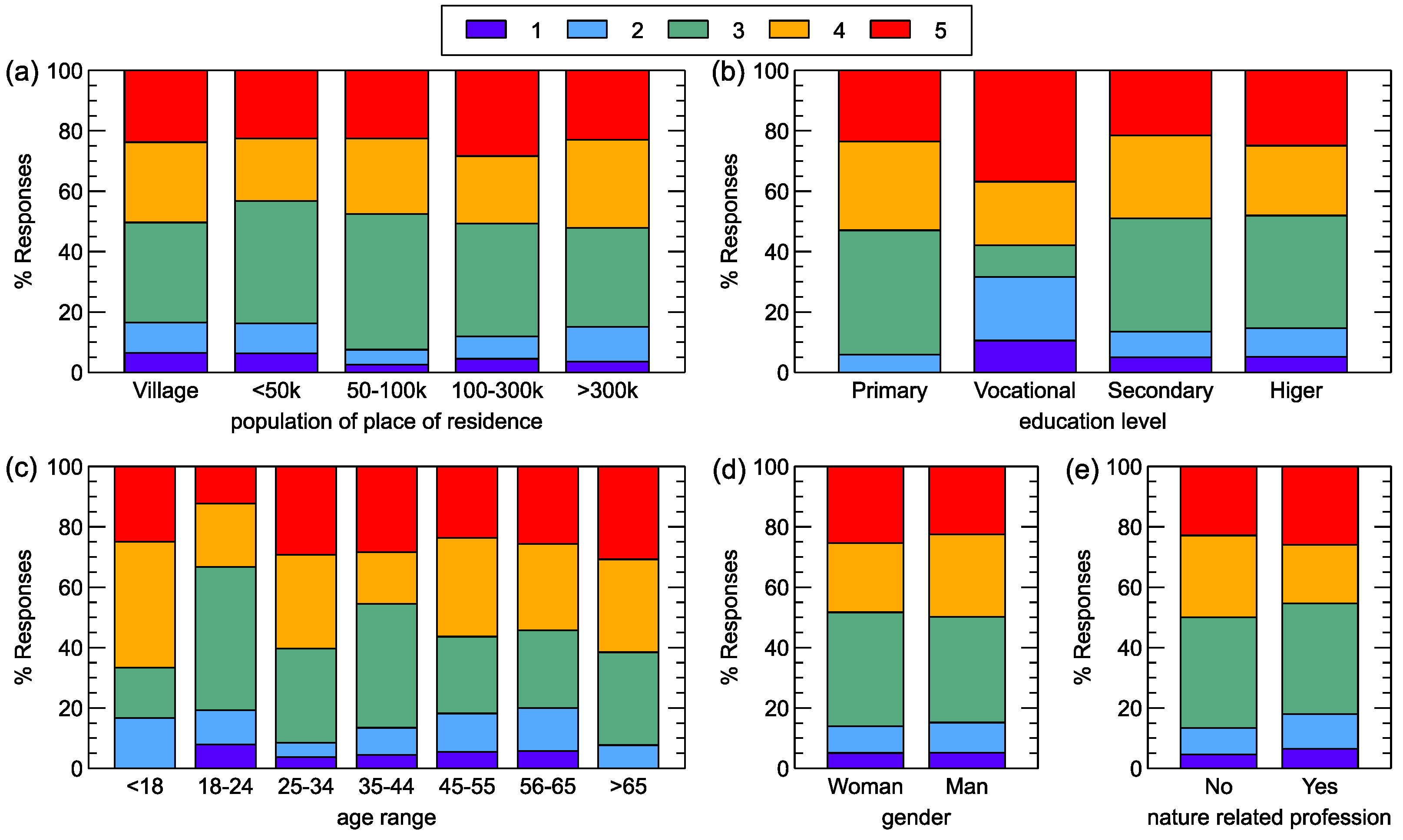
3.3.7. Q.7: How Would You Rate Your Knowledge about Mushrooms?

In Figure 10, we present the analysis of the answer to the seventh question of the survey. An observed pattern that we would like to mention here is that the self-assessment of respondents’ knowledge about mushrooms is much higher in the oldest groups of the population (56–65 and >65) (Figure 10c). There are many more answers with 5 points in these groups. It is also interesting to note that there is no gradual trend of increasing such a high score with age, but an abrupt shift. In our opinion, this can be explained by social changes in habits, as mushroom picking was much more popular in the past, until the end of communist rule in Poland (1989), and then gradually declined. Another abrupt change in relation to the age of the respondents is a much lower self-assessment of knowledge about mushrooms in the younger group (18–24).
Another interesting pattern that could be observed is that women rated their knowledge of mushrooms higher than men (Figure 10d).
The higher self-assessment of knowledge about mushrooms by respondents with a profession/education related to nature (Figure 10e) can be explained by the background of the respondents.

3.3.8. Q.8: Do You Use Mushrooms for Culinary Purposes?

In Figure 11, we present the results of the answers to the eighth question of the survey. As you can see, there are very few answers with the answer option “Never”. The responses found in Figure 11b,c should be excluded as not reliable, as the number of respondents in these categories was very low (Figure 3).
It is also worth noting that in all groups across all demographic dimensions analysed, the answer that mushrooms are eaten was chosen by around 60%.
There are two interesting outliers that stood out when looking at the patterns in relation to the age groups in Figure 11c. Firstly, the young adult group (18–24) selected a much lower proportion of “Often” responses, which we believe could be explained by the fact that many at this age have different habits from those at older ages. The other observed outlier is a higher percentage of “Often” answers in the oldest group of respondents (>65), which could be related to the fact that they more often keep the traditions of Polish cuisine.

3.3.9. Q.9: Do You Think That Eating Mushrooms Has a Positive Impact on Human Health?

In Figure 12, we present the results of the answers to the ninth survey question. It can be seen that overall there is a general belief that eating mushrooms has a positive impact on human health, as in almost all groups, across all demographic dimensions analysed, responses of 4 or 5 points accounted for 50% or more. The opposite answers, where 1 or 2 points were awarded, were chosen by a maximum of 10–15% (as in the previous analysis, we exclude the categories with a very low number of participants from the analysis (Figure 3)).
Mushrooms are known to contain nutrients such as vitamins, minerals, and antioxidants that can help improve overall health [20].

3.3.10. Q.10: Are You Consciously Using Mushrooms for Medicinal Purposes?

In Figure 13, we present the results of the analysis of the answers to the tenth question of the survey. Overall, the use of mushrooms for medicinal purposes is not popular in Poland, with around 80% of responses denying such a practice.
It might be interesting to analyse the cases of groups of respondents where such use of mushrooms was admitted.
First of all, in Figure 13a, we can observe that respondents living in large cities (over 100,000 inhabitants) use mushrooms as medicine more frequently. One possible explanation for this behaviour is the assumption that medicinal mushrooms for such purposes are not collected in the forests but bought in specialised shops, which are more common in larger cities.
In Figure 13c, we can observe the analysis on the dimension of respondents’ age group, and two outliers can be observed at the opposite ends of the scale (we do not treat the age group of <18 as reliable answers due to the small number of responses). Firstly, mushrooms are used much less frequently for medicinal purposes in the young adult group (18–24) and much more frequently in the elderly group (>65). This can easily be explained by the different health statuses of young and older people and the different needs for medical treatments.
It is also interesting to note that the answer “Often” was chosen more frequently based on the demographic characteristics of the respondents compared to other groups. According to Figure 13c, it is the group of older respondents (>65), Figure 13d, more likely to be women, Figure 13e, with a professional/educational background related to nature.

4. Discussion

4.1. The Gathering of Wild Mushrooms as an Ancient Way of Life and Provision of an Important Cultural Ecosystem Service in Rural and Natural Environments

As far as we are aware, our research in Poland is one of the first to be carried out using a social media survey and complements the statistics on the amount of mushrooms collected. We decided to ask 10 questions so as not to discourage people from filling out too long a questionnaire in advance. We tried to cover the most important questions, in our opinion. We took into account the level of education, age, and sex of the people questioned, as well as where they live: village, small, medium, or large city.
When reading this article, we must bear in mind that the aim of this study was not to investigate mycophilic or mycophobic trends in European tourism but rather to analyse the cultural significance of mushrooms in different communities. Therefore, we designed a questionnaire that was sent to selected target groups (less or more similar/relevant in a given country). By answering 10 questions, we obtained feedback that helped us to understand how the perception of mushrooms influences the destination choice and behaviour of tourists in different European cultures and to identify the cultural and environmental factors that influence these trends.
The first two questions, Q.1 and Q.2, concern the study of mushrooms and even the development of traditions. For thousands of years, mushrooms have been known in various communities as a valuable source of food and medicine, but the traditional view of mycobiota has changed throughout history [21]. Early explorers and scientists, whose influence on the approach to mushroom picking can also be observed in our time, played an important role in this. Their confrontation with traditional folk knowledge about mycobiota could be the reason for today’s division into mycophobic and mycophilic peoples.
Questions Q.3 and Q.4 concern recreation; the modern forms and patterns of nature recreation and tourism are the products of an industrialised society [22]. Forest recreation dates back to the Middle Ages, when kings and aristocrats Modern forms and patterns of nature recreation and tourism are the products of an industrialised society. Forest recreation dates back to the Middle Ages, when kings and aristocrats took part in hunting. Tourism began in the 18th century, when rich people embarked on Grand Tours, crossed the Alps, and experienced the sublime. Later, they travelled to other places in Europe where mountains, lakes, coasts, and forests offered access to ’wild’ nature. Outdoor recreation for the middle classes developed in the 19th century, when the railway made travelling easier for those who had the time. Recreation in the woods included—and still includes—hunting, hiking, and sightseeing.
The royal hunting forests were often one of the first types of parks to be opened to the public, often due to social pressure and the growth of cities to accommodate these areas. Until socialist movements and trade unions improved working conditions, Sunday was the only free time for the majority of the working population. Therefore, these were the most important times for them to relax, walk in nature, get fresh air, play sports, and meet other people for various social activities.
A positive aspect of individual and collective mushroom picking is leaving intact fruiting bodies that are not collected. This is probably due to the acquired knowledge about fungal functions in the natural environment (Q.7).
Two questions concern fungi as part of the environment and ecosystem (Q.6 and Q.7). In Poland, public awareness is good, as is in Bulgaria [23]. Similar studies were conducted on the critical political ecology of human-forest interaction in a Bulgarian locality. However, based on basic field research conducted annually since 1992, it is argued that even in a relatively small area, the relationships between the environment and society are so complex that empirical analysis and theorization are a major challenge.
The new insights gained from the questionnaires make it possible to develop the theoretical and practical implications of this analysis for all stakeholders, but especially for those who claim to ’manage’ and ’regulate’ the interactions between people and forests.
This study shows that the Polish population is currently considered to be very mycophilic and has knowledge about which types of mushrooms can be collected and which should be avoided (Q.7). The obvious change in the attitude of scientists towards mushrooms and the acceptance of the folk view of mushrooms took place at the turn of the 18th and 19th centuries, at the earliest [21].
The long aversion of scientists to the mushroom kingdom has meant that knowledge of wild edible mushrooms is still limited, and we still need to explore the world of fungi extensively. With the right approach, mushrooms can offer us many, perhaps as yet unknown, benefits. Hungarians living in the Carpathian Basin, who are exposed to both mycophobic and mycophilic (German and Slavic) influences, have adopted an intermediate attitude, which is reflected in the average number of mushroom names and the average knowledge about mushrooms [24].

4.2. Culinary Tourism as a Change in the Perception of the Value of Mushrooms and Social Needs

Question Q.8 concerns the culinary use of mushrooms by society. The forests were mainly associated with freedom from social control and a break from work, and the unions organised mass mushroom picking, which was very popular in Poland. In addition, picking produce such as berries and mushrooms was and still is a popular activity in many areas of the country. Forest recreation dates back to the Middle Ages, when kings and nobles took part in hunting [22].
Tourism began in the 18th century when rich people embarked on Grand Tours, crossing the Alps and experiencing the sublime. Later, they traveled to other places in Europe where mountains, lakes, coasts, and forests offered access to ’wild’ nature. Outdoor recreation for the middle classes developed in the 19th century, when the railway made traveling easier for those who had the time. Recreation in the woods included - and still includes—hunting, hiking, and sightseeing.
The royal hunting forests were often one of the first types of parks to be opened to the public, often due to social pressure and the growth of cities to accommodate these areas. Until socialist movements and trade unions improved working conditions, Sunday was the only free time for the majority of the working population. Therefore, these were the most important times for workers to relax, walk in nature, get fresh air, play sports, and meet other people for various social activities. A questionnaire developed and disseminated via social media has shown that in Poland (compared to other countries), mycrotourism has been introduced in rural areas and promotes economic development there. Thus, the use of social media seems to be a simple and effective method to analyse the cultural significance of mushrooms. However, although social media allows broad access to stakeholders, it also has its limitations, as there are different interests in answering the questions posed. The methods used in this study are probably too descriptive and could therefore be improved by interviewing other stakeholders, such as local shops and restaurants, to get a more accurate picture of possible solutions to improve this type of tourism. Another observation is the dependence of the answers on the respondents’ level of education. We received only a few responses from respondents who had completed primary school or vocational school at the time of the survey. Most respondents had secondary or higher education. For this reason, we believe that, based on the number of responses, we can only discuss a comparison of the proportion of responses from respondents with this medium or high level of education. It should be noted that in these two groups, the percentage of undecided answers (the answer is difficult to say) is very similar, but the number of positive answers increased with increasing educational level.

4.3. Is Mushroom Picking and Eating Has a Positive Impact on Human Health?

Question Q.9 concerns the impact of fungi on public health. We already mentioned that prospective mushroom pickers can access extensive information, including details on protected species (Q.7). Mushrooms hold significant roles in folklore, biomedicine, and even rituals across various cultures, leading to the preferential use of certain types believed to possess medicinal properties (Q.10). Thus, it is crucial to scientifically validate these attributes to challenge entrenched cultural perceptions (Q.2).
Historically, mushrooms have been revered or deemed sacred in some societies, while in others, they are appreciated as essential resources for food and medicine, potentially causing overharvesting in natural habitats (Q.6 and Q.7) [25]. Artificial cultivation could mitigate the need for bans on wild mushroom picking, given their long history of consumption and cultural significance—from ancient Greek warriors valuing them for strength to Roman views of them as “food of the gods”, and their esteem in Chinese culture as healthful “elixirs of life,” with some species now endangered in the wild [26].
Considering mushrooms’ historical cultural and touristic importance (Q.3 and Q.4), from traditional Chinese uses to Ötzi the Iceman, outright bans on picking are impractical. Even in protected areas, locals often gather mushrooms for food and medicinal uses, reflecting their ancient role in Chinese medicine for their antibacterial and healing effects (Q.10).
The scientific community’s input is crucial in shaping sustainable practices and attitudes towards mushroom foraging. Moreover, the clash with traditional views may underpin the current divide between mycophobic and mycophilic societies [21].
Changes in biodiversity and the loss of fungal species significantly impact culture, emphasising the importance of their protection and understanding (Q.6 and Q.7) [27].
While yeasts, molds, and skin infections are fungal organisms, they fall outside the primary focus of fungal research, cultivation, and preparation (Q.10).
The field of ethnomycology has emerged, driven by three key aspects [28]: the role of mushrooms in various culinary (Q.8) and chemical contexts and their integration into diets with justifications [29], their relationship to other hallucinogens, and their significance in ritual-mythological systems, including mushroom cults (Q.2).
Despite the positive views on mushrooms’ health effects, their medicinal use is not widespread [30], possibly due to a lack of knowledge or trust in traditional treatments. Edible mushrooms, classified as functional foods—for example, selected Pleurotus species: P. citrinopileatus Singer, P. djamor (Rumph. ex Fr.) Boedijn, P. eryngii (DC.) Quél., P. florida Singer, P. ostreatus (Jacq.) P. Kumm., and P. pulmonarius (Fr.) Quél. have biologically active compounds that warrant further research (Q.10) [31].
Recent years have shown that in practice the economic and commercial impact is of great importance, and some household modules are often linked to the sale of mushrooms. Furthermore, in countries where they are undervalued, knowledge about them can be improved through teaching, public policy, and research that contributes to the body of knowledge, especially regarding their health-promoting and medicinal properties.
Exercise and time in the forest provide inner peace, heal neurosis and burnout, and improve the health of society. This was proven during the COVID-19 epidemic and the protection of society, which often spent time in the forest and influenced the positive attitude of tourists.

4.4. Future Public Awareness of New Applications of Mushrooms in Medicine and Bioengineering

In many cultures, mushrooms were valued not only for their nutritional value (Q.8), but also for their spiritual and medicinal significance (Q.10). In traditional Chinese medicine, mushrooms such as reishi (Ganoderma lucidum) (Curtis) P. Karst., shiitake (Lentinula edodes) (Berk.) Pegler, and maitake (Grifola frondosa) (Dicks.) Gray have been used for their health-promoting properties, including anti-inflammatory, antioxidant, and immune-boosting properties.
In Europe, mushrooms have been used to treat a variety of ailments, from infections to digestive problems. Modern scientific research supports many of these traditional uses and points to the potential benefits of mushrooms in the treatment of a variety of diseases [32,33].
It appears that mushroom picking is becoming an increasingly common activity in the countries analysed (Q.10). Some recent studies show that the way collectors access this resource has changed, especially in industrialised countries [34].
Research shows that mushrooms can provide a range of health benefits, including anti-inflammatory, antioxidant, and anti-cancer properties (Q.9 and Q.10). Many mushroom species contain bioactive compounds such as polysaccharides, terpenoids, and phenols, which are being studied for their ability to support human health and treat a variety of diseases [35]. Mushrooms (including wild mushrooms) are also being researched as potential sources of new medicines and dietary supplements, emphasising their importance in natural medicine and pharmacology. This is unusual because H. annosum (Fr.) Bref. is a common pathogenic fungus that destroys pine plantations on post-agricultural land, but in this case, it offers hope for curing colon cancer. It emphasises the importance of preserving forest biodiversity for future generations.
Modern fungal research focuses on their potential applications in the treatment of various diseases, including oncology and neurology, as well as their use in bio-engineering, for example in the production of biodegradable and new materials [36].
In oncology, fungal research is focused on identifying new anti-cancer agents, with some fungi, such as Heterobasidion annosum [37], showing promising anti-cancer effects. In neurology, research is focusing on the potential use of mushrooms in the treatment of neurodegenerative and mental illnesses, taking into account their unique bioactive properties [38].
In the field of bio-engineering, fungi are being investigated for their ability to produce biodegradable materials, which offers potential applications in the fields of sustainable development and environmental protection [39]. In addition, fungi are being researched as a source of new materials that can be used in various fields, from medicine to engineering [39,40]. Modern fungi research opens up new possibilities for disease treatment, sustainable development, and innovation in bio-engineering, emphasising their versatility and potential in various fields of science and technology.
To summarise, ethnomycology studies the cultural, ceremonial, and medicinal use of mushrooms, apart from their consumption as food (Q.10). In this sense, [41] sheds light on how traditional societies utilised and at the same time preserved biodiversity in their territories.
In Poland, the focus in the last 20 years has been on the culinary use of mushrooms (Q.8), but this may soon change as the younger generation loses experience in mushroom picking (Q.1 and Q.2). In such a developed part of the world today, it is probably no longer possible to maintain the status quo, even if ’traditions’ play an important role, as is the case in Poland. We are witnessing rapid social change, and ’traditional life’ will be irretrievably lost.
Ethnomycology in Europe is probably approaching the point where scientific knowledge will form the basis for further mushroom use by society [41]. However, our Polish examples cannot fully confirm that we are seeing more modern trends in relation to mushrooms based on scientific knowledge rather than traditional knowledge (Q.2) [42]. On the other hand, people are becoming more and more aware of the use of mushrooms in cosmetics and food supplements and recognise the biological and medicinal potential of many mushroom species (Q.10).

4.5. Future Research Needed

In 1957, Gordon Wasson—who first popularised magic mushrooms in a 1957 Life article—and his wife Valentina developed a binary system by which all cultures could be classified as either “mycophilic” or “mycophobic”. The Wassons speculated that the mushrooms were “an echo of the Latter-day Saints of antiquity” psychedelic mushroom cults. Mycophilic cultures were descendants of those who worshipped mushrooms. There were mycophobic cultures, originating from those who saw their power as devilish [8].
Mycophobic attitudes can lead to Yamaguchi Sodo writing poems praising matsutake and Terence McKenna extolling the benefits of matsutake by consuming large doses of psilocybin mushrooms. Mycophobic attitudes may fuel moral panic that leads to the legalisation of the mushroom, i.e., Albertus Magnus and John Gerard may issue urgent warnings about the dangers of “Fancy New Meats”. Both positions recognise the power of mushrooms to influence people’s lives. They both understand this power in different ways. Crusade or fetish? Mycophobia or hidden mycophilia? It is not always easy to spot the difference. However, there is now a return to magic mushrooms and the beneficial effects of psilocibin, and research has begun on the subject [43,44].
In light of the above findings, the importance of a holistic approach to tourism that integrates living system (Q.6 and Q.7) thinking and regenerative tourism as key priorities becomes clear. With this in mind, the authors [45] suggest that future research should prioritise exploring local stakeholder preferences, carrying capacity, and other contextual variables in order to overcome the current limitations of the literature and shape tourism towards a more resilient and sustainable future (Q.3 and Q.4).
The results of the systematic literature review provide valuable information for tourism researchers, practitioners, and policymakers and provide a fundamental basis for future research in this area. Is it also possible that we will see a shift from ’mycophobia’ to ’mycophilia’ in the UK and Germany, as has happened in Poland in the past (Q.2).
In Spain, too, public demand for the collection of edible mushrooms has increased over the last two decades and now applies to all forest areas. Even the idea of introducing a fee system where the user pays has been considered as a possible strategy for ecosystem management (Q.6 and Q.7).
Valuing the recreational benefits people derive from picking edible mushrooms can provide an indication of how much people would be willing to pay for reaching forests by public or private transportation means [46].
In the Catalan Pyrenees in north-east Spain, forest food plays an important role in the culture and identity of local communities, similar to our studies, which is a clue for the forest managers. It is linked to the highly seasonal activities of mushroom tourism, which has a direct impact on sustainable forest management and tourism planning in rural areas [9].
Rural areas in particular are suffering from economic crises that overlap with the long-term negative effects of climate change. In central and north-east Spain, micro-tourism concepts are springing up like mushrooms. This new branch of ecotourism can contribute to the stabilisation of social and political structures. The potential of micro-tourism can also compensate for some of the losses associated with widespread unemployment and the increasingly frequent summer drought [47].
We believe that the place of origin (Poland) influences the answers because mushroom picking is a tradition cultivated here by individual generations. We expected a large number of answers to our questions, which was confirmed, as was public awareness. This is mainly related to the interest (tradition) in picking and using mushrooms in cooking and their health-promoting properties, which are also used in folk medicine (and currently in evidence-based medicine).
We had expected Western societies to be less associated with the use of wild mushrooms, so the place where one grew up and lives influences preferences for mushroom tourism.
Since research has a territorial connotation, in future research we will strengthen this relationship between our research results and the territory they cover. In the future, we will certainly collect more data about the area (Poland and other countries), with the help of interviews with interested parties as well as data we receive from the municipalities. As a result, the future article will have more potential after we have improved the methods of data collection.
The data analysis conducted in the first article of this kind in Poland on the public perception of mushrooms via social media is necessarily simplified to analysing the answers to 10 questions. Therefore, it focuses only on the statistics of the questions. However, in further research, we plan to analyse correlations between different variables, which will increase its scientific value.

5. Conclusions

Cultural and regional elements can be recognised in the way people perceive and value primary elements, including mushrooms. The results of the survey provided new information about how deeply mushrooms are anchored in Polish culture, as this knowledge has been collected for a long time and passed down from generation to generation. The survey revealed cultural differences between countries in the perception of nature and its use for recreational purposes. Forest mushrooms are an important element of ecosystem services, including cultural services related to recreation and tourism. The survey results suggest that in countries with mycological traditions, such as Poland, mushroom picking can be an important factor in tourists’ recreational activities. Research shows that ecosystem services (including mushroom picking) influence landscape management and forest provision. Thank you to the analysis of the development of mycotourism carried out as part of the survey, its importance as a specialised tourism product was confirmed. In Poland, a high percentage of people consider mushroom picking as a form of recreation that has a cultural value but also a potential value for nature tourism.
It turned out that mushroom picking in Poland has a great influence on the choice of mycological tourism, especially in regions with a rich tradition of organising it. The original result of this study is the high proportion of mushrooms collected for culinary purposes and the related awareness (especially in Poland) of their health-promoting values, supplementing the diet with easily digestible proteins, vitamins, and minerals. To summarise, there is a strong tendency towards mycophilia in Poland, as shown by the higher survey results, which express both a great interest in mushrooms due to cultural traditions and the culinary possibilities of their use.
What is new is the conviction that mushrooms in Poland are also an effective factor in attracting tourists to forest areas. Picking mushrooms thus has an additional benefit, namely spending time in the forest and utilising its health functions (inhalation of essential oils, clean, oxygen-rich air, etc.). The research confirmed expectations that mushroom consumption and its health benefits are perceived more positively in Poland than in the UK and Germany, where people are more mycophobic. The lower awareness in these countries of the potential health benefits of mushroom consumption in turn leads to a lower interest in mushrooms and a limited use of mushrooms in the kitchen. The low, average results of the knowledge assessment in the UK and Germany on the role of mushrooms in the ecosystem in turn suggest that there is a need for increased mycological education in this area, which should contribute to a better understanding of the conservation of this important element of the forest floor in the future.
It was also noted that interest in fungi increases with the age of respondents and brings with it new knowledge. This could indicate that as life experience increases, nature in general is more and more appreciated, which in some ways contradicts stereotypical opinions. It is clear to see that the number of negative responses is higher in the young adult groups (18–24 and 25–24 years) than in the older groups (35–44 years). Although there is a stereotypical opinion that mushroom picking is the national sport of Poles, the survey results indicate that the transfer of this custom to the younger generations is slower than observed in the past. Perhaps parents today are opting for other forms of joint family activities than in the past. We obtained similar response results when we compared categories of two genders or categories differentiated by type of education/occupation. In this way, the article provides new information about differences in society’s awareness of the role of mushrooms and their potential health benefits. This could mean, for example, that nature educators in countries such as the UK should increase their educational and promotional efforts to raise the public’s environmental awareness. It also seems that future research should focus not only on deepening public awareness of the health properties of mushrooms but also on their increasing use in medicine.

Author Contributions

Conceptualization, T.P. and M.J.; methodology, T.P. and M.J.; software, T.P. and P.B.; validation, T.P., P.B. and T.O.; formal analysis, T.O.; investigation, T.P.; resources, M.J.; data curation, P.B.; writing—original draft preparation, T.P., T.O. and P.B.; writing—review and editing, T.O.; visualization, T.P. and P.B.; supervision, T.O.; project administration, M.J.; funding acquisition, M.J. All authors have read and agreed to the published version of the manuscript.

Funding

The study was partly carried out within the framework: WZ/WB-INL/2/2024 and financed from the science funds from Ministry of Science and Higher Education in Poland.

Data Availability Statement

Data are contained within the article.

Conflicts of Interest

The authors declare no conflicts of interest.

References

  1. Latorre, J.; de Frutos, P.; de Magistris, T.; Martinez-Peña, F. Segmenting tourists by their motivation for an innovative tourism product: Mycotourism. J. Ecotour. 2021, 20, 311–340. [Google Scholar] [CrossRef]
  2. Havlickova, B.; Czaika, V.A.; Friedrich, M. Epidemiological trends in skin mycoses worldwide. Mycoses 2008, 51, 2–15. [Google Scholar] [CrossRef]
  3. Chiller, T.M.; Galgiani, J.N.; Stevens, D.A. Coccidioidomycosis. Infect. Dis. Clin. 2003, 17, 41–57. [Google Scholar] [CrossRef]
  4. Jalinik, M. Obszary leśne w rozwoju turystyki. Ekon. Środowisko 2016, 3, 313–323. [Google Scholar]
  5. Money, N.P. Mushrooms: A Natural and Cultural History; Reaktion Books: London, UK, 2022. [Google Scholar]
  6. Yamin-Pasternak, S. Ethnomycology: Fungi and mushrooms in cultural entanglements. In Ethnobiology; Wiley-Blackwell: Hoboken, NY, USA, 2011; pp. 213–230. [Google Scholar]
  7. Martínez-Ibarra, E.; Gómez-Martín, M.; Armesto-López, X. Climatic and socioeconomic aspects of mushrooms: The case of Spain. Sustainability 2019, 11, 1030. [Google Scholar] [CrossRef]
  8. Sheldrake, M. Entangled Life: How Fungi Make Our Worlds, Change Our Minds & Shape Our Futures; Random House Trade Paperbacks: New York, NY, USA, 2021. [Google Scholar]
  9. Fusté-Forné, F. Seasonality in food tourism: Wild foods in peripheral areas. Tour. Geogr. 2019, 24, 578–598. [Google Scholar] [CrossRef]
  10. Jiménez-Ruiz, A.; Thomé-Ortiz, H.; Espinoza-Ortega, A.; Bordi, I.V. Recreational use of wild edible mushrooms: Mycological tourism in the world with an emphasis on Mexico. Rev. Bosque 2017, 38, 447–456. [Google Scholar] [CrossRef]
  11. Bernaś, E.; Słupski, J.; Gębczyński, P. Edible Mushrooms of the Polish Carpathians. In Cultural Heritage—Possibilities for Land-Centered Societal Development; Springer: Cham, Switzerland, 2022; pp. 259–268. [Google Scholar]
  12. Svanberg, I.; Lindh, H. Mushroom hunting and consumption in twenty-first century post-industrial Sweden. J. Ethnobiol. Ethnomedicine 2019, 15, 42. [Google Scholar] [CrossRef]
  13. Singh, M.; Kamal, S.; Sharma, V.P. Status and trends in world mushroom production-III-World Production of different mushroom species in 21st century. Mushroom Res. 2020, 29, 75–111. [Google Scholar] [CrossRef]
  14. Orłowski, D.; Woźniczko, M. Polish cuisine and its importance in culinary tourism. In Tourism in Poland; The Higher School of Tourism and Foreign Languages: Warsaw, Poland, 2015; p. 117. [Google Scholar]
  15. Hilszczańska, D.; Rosa-Gruszecka, A.; Kosel, B.; Horak, J.; Siebyła, M. A Survey of the Knowledge of Truffles among Polish Foresters and Implications for Environmental Education. Forests 2019, 10, 365. [Google Scholar] [CrossRef]
  16. Kotowski, M.A.; Molnár, Z.; Łuczaj, Ł. Fungal ethnoecology: Observed habitat preferences and the perception of changes in fungal abundance by mushroom collectors in Poland. J. Ethnobiol. Ethnomed. 2021, 17, 29. [Google Scholar] [CrossRef]
  17. Engel, S.; Pagiola, S.; Wunder, S. Designing payments for environmental services in theory and practice: An overview of the issues. Ecol. Econ. 2008, 65, 663–674. [Google Scholar] [CrossRef]
  18. Brockerhoff, E.G.; Barbaro, L.; Castagneyrol, B.; Forrester, D.I.; Gardiner, B.; González-Olabarria, J.R.; Lyver, P.O.; Meurisse, N.; Oxbrough, A.; Taki, H.; et al. Forest biodiversity, ecosystem functioning and the provision of ecosystem services. Biodivers. Conserv. 2017, 26, 3005–3035. [Google Scholar] [CrossRef]
  19. Plieninger, T.; Bieling, C.; Fagerholm, N.; Byg, A.; Hartel, T.; Hurley, P.; López-Santiago, C.A.; Nagabhatla, N.; Oteros-Rozas, E.; Raymond, C.M.; et al. The role of cultural ecosystem services in landscape management and planning. Curr. Opin. Environ. Sustain. 2015, 14, 28–33. [Google Scholar] [CrossRef]
  20. Idler, E.L.; Benyamini, Y. Self-rated health and mortality: A review of twenty-seven community studies. J. Health Soc. Behav. 1997, 38, 21–37. [Google Scholar] [CrossRef] [PubMed]
  21. Kotowski, M.A. History of mushroom consumption and its impact on traditional view on mycobiota–an example from Poland. Microb. Biosyst. 2019, 4, 1–13. [Google Scholar]
  22. Pröbstl, U.; Elands, B.; Wirth, V. Forest recreation and nature tourism in Europe: Context, history and current situation. In European Forest Recreation and Tourism: A Handbook; Taylor and Francis: Abingdon, UK, 2009; pp. 12–32. [Google Scholar]
  23. Staddon, C. Towards a critical political ecology of human–forest interactions: Collecting herbs and mushrooms in a Bulgarian locality. Trans. Inst. Br. Geogr. 2009, 34, 161–176. [Google Scholar] [CrossRef]
  24. Zsigmond, G. The meanings and functions of mushrooms as food in Hungarian folk tradition. Acta Ethnogr. Hung. 2010, 55, 115–138. [Google Scholar] [CrossRef]
  25. Cardinale, B.J.; Duffy, J.E.; Gonzalez, A.; Hooper, D.U.; Perrings, C.; Venail, P.; Narwani, A.; Mace, G.M.; Tilman, D.; Wardle, D.A.; et al. Biodiversity loss and its impact on humanity. Nature 2012, 486, 59–67. [Google Scholar] [CrossRef] [PubMed]
  26. Valverde, M.E.; Hernández-Pérez, T.; Paredes-López, O. Edible mushrooms: Improving human health and promoting quality life. Int. J. Microbiol. 2015, 2015, 376387. [Google Scholar] [CrossRef]
  27. Chapin Iii, F.S.; Zavaleta, E.S.; Eviner, V.T.; Naylor, R.L.; Vitousek, P.M.; Reynolds, H.L.; Hooper, D.U.; Lavorel, S.; Sala, O.E.; Hobbie, S.E.; et al. Consequences of changing biodiversity. Nature 2000, 405, 234–242. [Google Scholar] [CrossRef]
  28. Toporov, V.N. On the semiotics of mythological conceptions about mushrooms. Semiotica 1985, 53, 295–357. [Google Scholar] [CrossRef]
  29. Vunduk, J.; Biketova, A.Y. The Cultural Use of Mushrooms. In Edible Fungi: Chemical Composition, Nutrition and Health Effects; The Royal Society of Chemistry: London, UK, 2022; pp. 327–358. [Google Scholar]
  30. Rizzo, G.; Goggi, S.; Giampieri, F.; Baroni, L. A review of mushrooms in human nutrition and health. Trends Food Sci. Technol. 2021, 117, 60–73. [Google Scholar] [CrossRef]
  31. Krakowska, A.; Zięba, P.; Włodarczyk, A.; Kała, K.; Sułkowska-Ziaja, K.; Bernaś, E.; Sękara, A.; Ostachowicz, B.; Muszyńska, B. Selected edible medicinal mushrooms from Pleurotus genus as an answer for human civilization diseases. Food Chem. 2020, 327, 127084. [Google Scholar] [CrossRef] [PubMed]
  32. Cowan, M.M. Plant products as antimicrobial agents. Clin. Microbiol. Rev. 1999, 12, 564–582. [Google Scholar] [CrossRef] [PubMed]
  33. Sterflinger, K. Fungi: Their role in deterioration of cultural heritage. Fungal Biol. Rev. 2010, 24, 47–55. [Google Scholar] [CrossRef]
  34. De Frutos, P.; Rodriguez-Prado, B.; Latorre, J.; Martinez-Peña, F. A gravity model to explain flows of wild edible mushroom picking. A panel data analysis. Ecol. Econ. 2019, 156, 164–173. [Google Scholar] [CrossRef]
  35. Niazi, A.R.; Ghafoor, A. Different ways to exploit mushrooms: A review. All Life 2021, 14, 450–460. [Google Scholar] [CrossRef]
  36. Berger, K.J.; Guss, D.A. Mycotoxins revisited: Part I. J. Emerg. Med. 2005, 28, 53–62. [Google Scholar] [CrossRef]
  37. Sadowska, A.; Zapora, E.; Sawicka, D.; Niemirowicz-Laskowska, K.; Surażyński, A.; Sułkowska-Ziaja, K.; Kała, K.; Stocki, M.; Wołkowycki, M.; Bakier, S.; et al. Heterobasidion annosum induces apoptosis in DLD-1 cells and decreases colon cancer growth in in vivo model. Int. J. Mol. Sci. 2020, 21, 3447. [Google Scholar] [CrossRef]
  38. Chaudhary, R.; Kalra, R.; Goel, M. Role of fungi in neurodegenerative diseases. In New and Future Developments in Microbial Biotechnology and Bioengineering; Elsevier: Amsterdam, The Netherlands, 2020; pp. 71–79. [Google Scholar]
  39. Hesham, A.E.L.; Upadhyay, R.S.; Sharma, G.D.; Manoharachary, C.; Gupta, V.K. Fungal Biotechnology and Bioengineering; Springer: Berlin/Heidelberg, Germany, 2020. [Google Scholar]
  40. Barzee, T.J.; Cao, L.; Pan, Z.; Zhang, R. Fungi for future foods. J. Future Foods 2021, 1, 25–37. [Google Scholar] [CrossRef]
  41. Comandini, O.; Rinaldi, A.C. Ethnomycology in Europe: The past, the present, and the future. In Mushrooms, Humans and Nature in a Changing World: Perspectives from Ecological, Agricultural and Social Sciences; Springer: Cham, Switzerland, 2020; pp. 341–364. [Google Scholar]
  42. Ławrynowicz, M.; Ruszkiewicz-Michalska, M.; Kałucka, I. (Eds.) Traditional Use and Protection of Fungi in Poland: A Contribution to the European Cultural Heritage (Book of Abstracts); Sekcja Mikologiczna Polskiego Towarzystwa Botanicznego Zakład Mikologii Uniwersytetu Łódzkiego: Lodz, Poland, 2021. [Google Scholar]
  43. Bradshaw, A.J.; Backman, T.A.; Ramírez-Cruz, V.; Forrister, D.L.; Winter, J.M.; Guzmán-Dávalos, L.; Furci, G.; Stamets, P.; Dentinger, B.T. DNA authentication and chemical analysis of Psilocybe mushrooms reveal widespread misdeterminations in Fungaria and inconsistencies in metabolites. Appl. Environ. Microbiol. 2022, 88, e01498-22. [Google Scholar] [CrossRef] [PubMed]
  44. Steinhardt, J. Psychedelic naturalism and interspecies alliance: Views from the emerging do-it-yourself mycology movement. In Plant Medicines, Healing and Psychedelic Science: Cultural Perspectives; Springer: Cham, Switzerland, 2018; pp. 167–184. [Google Scholar]
  45. Joshi, S.; Panzer-Krause, S.; Zerbe, S.; Saurwein, M. Rural tourism in Europe from a landscape perspective: A systematic review. Eur. J. Tour. Res. 2024, 36, 3616. [Google Scholar] [CrossRef]
  46. Frutos, P.d.; Peña, F.M.; Martínez, P.O.; Esteban, S. Estimating the social benefits of recreational harvesting of edible wild mushrooms using travel cost methods. For. Syst. 2009, 18, 235–246. [Google Scholar] [CrossRef]
  47. Büntgen, U.; Latorre, J.; Egli, S.; Martínez-Peña, F. Socio-economic, scientific, and political benefits of mycotourism. Ecosphere 2017, 8, e01870. [Google Scholar] [CrossRef]
Figure 1. Distribution of the number of respondents depending on their country of origin.
Figure 1. Distribution of the number of respondents depending on their country of origin.
Forests 15 00573 g001
Figure 2. Percentage of responses to the survey questions (Table 1) from respondents from Poland (PL), the United Kingdom (UK), and Germany (DE). The question number is indicated above subfigures.
Figure 2. Percentage of responses to the survey questions (Table 1) from respondents from Poland (PL), the United Kingdom (UK), and Germany (DE). The question number is indicated above subfigures.
Forests 15 00573 g002
Figure 3. Figures of Polish respondents compared to various demographic characteristics collected in the survey. The plotted characteristic is indicated as y-axis caption.
Figure 3. Figures of Polish respondents compared to various demographic characteristics collected in the survey. The plotted characteristic is indicated as y-axis caption.
Forests 15 00573 g003
Figure 4. Percentages of responses to survey Q.1 (Are mushrooms in your area of interest?) compared to various demographic characteristics of respondents. Only respondents from Poland were considered.
Figure 4. Percentages of responses to survey Q.1 (Are mushrooms in your area of interest?) compared to various demographic characteristics of respondents. Only respondents from Poland were considered.
Forests 15 00573 g004
Figure 5. Percentages of responses to survey Q.2 (Is there a mushroom tradition in your family?) compared to various demographic characteristics of respondents. Only respondents from Poland were considered.
Figure 5. Percentages of responses to survey Q.2 (Is there a mushroom tradition in your family?) compared to various demographic characteristics of respondents. Only respondents from Poland were considered.
Forests 15 00573 g005
Figure 6. Percentages of responses to survey Q.3 (Is your interest in mushrooms or mycology (such as mushroom picking or mycological research) a form of leisure or tourism?) compared to various demographic characteristics of respondents. Only respondents from Poland were considered.
Figure 6. Percentages of responses to survey Q.3 (Is your interest in mushrooms or mycology (such as mushroom picking or mycological research) a form of leisure or tourism?) compared to various demographic characteristics of respondents. Only respondents from Poland were considered.
Forests 15 00573 g006
Figure 7. Percentages of responses to survey Q.4 (Does your interest in mushrooms or mycology influence your decision to undertake a particular form of tourism or leisure activity? Only respondents from Poland were considered.
Figure 7. Percentages of responses to survey Q.4 (Does your interest in mushrooms or mycology influence your decision to undertake a particular form of tourism or leisure activity? Only respondents from Poland were considered.
Forests 15 00573 g007
Figure 8. Percentages of answers to question Q.5 (Have you ever deliberately destroyed mushrooms in their natural environment?) compared to different demographic characteristics of respondents. Only respondents from Poland were considered.
Figure 8. Percentages of answers to question Q.5 (Have you ever deliberately destroyed mushrooms in their natural environment?) compared to different demographic characteristics of respondents. Only respondents from Poland were considered.
Forests 15 00573 g008
Figure 9. Percentages of responses to survey Q.6 (How do you assess the role of fungi in the natural ecosystem?) compared to different demographic characteristics of respondents. Only respondents from Poland were considered. The colors represent points accorded by the respondents of the survey (Table 1).
Figure 9. Percentages of responses to survey Q.6 (How do you assess the role of fungi in the natural ecosystem?) compared to different demographic characteristics of respondents. Only respondents from Poland were considered. The colors represent points accorded by the respondents of the survey (Table 1).
Forests 15 00573 g009
Figure 10. Percentages of responses to survey Q.7 (How would you rate your knowledge of mushrooms?) compared to various demographic characteristics of respondents. Only respondents from Poland were considered. The colors represent points accorded by the respondents of the survey (Table 1).
Figure 10. Percentages of responses to survey Q.7 (How would you rate your knowledge of mushrooms?) compared to various demographic characteristics of respondents. Only respondents from Poland were considered. The colors represent points accorded by the respondents of the survey (Table 1).
Forests 15 00573 g010
Figure 11. Percentages of responses to survey Q.8 (Do you use mushrooms for culinary purposes?) compared to various demographic characteristics of respondents. Only respondents from Poland were considered.
Figure 11. Percentages of responses to survey Q.8 (Do you use mushrooms for culinary purposes?) compared to various demographic characteristics of respondents. Only respondents from Poland were considered.
Forests 15 00573 g011
Figure 12. Percentages of responses to survey Q.9 (Do you believe that eating mushrooms has a positive impact on human health?) compared to different demographic characteristics of respondents. Only respondents from Poland were considered. The colors represent points accorded by the respondents of the survey (Table 1).
Figure 12. Percentages of responses to survey Q.9 (Do you believe that eating mushrooms has a positive impact on human health?) compared to different demographic characteristics of respondents. Only respondents from Poland were considered. The colors represent points accorded by the respondents of the survey (Table 1).
Forests 15 00573 g012
Figure 13. Percentages of responses to the Q.10 survey (Do you consciously take mushrooms for medicinal purposes?) compared to various demographic characteristics of respondents. Only respondents from Poland were considered.
Figure 13. Percentages of responses to the Q.10 survey (Do you consciously take mushrooms for medicinal purposes?) compared to various demographic characteristics of respondents. Only respondents from Poland were considered.
Forests 15 00573 g013
Table 1. Research questions in the survey.
Table 1. Research questions in the survey.
Research QuestionPossible Answers
Q.1Are mushrooms your area of interest?Hard to say/Yes/No
Q.2Does your family have a mushroom tradition?Hard to say/Yes/No
Q.3Is your interest in mushrooms or mycology (such as mushroom picking or mycological research) a form of recreation or tourism?Hard to say/Yes/No
Q.4Does your interest in mushrooms or mycology influence your decision to undertake a specific form of tourism or recreation?Never/Rarely/Often
Q.5Have you ever consciously destroyed mushrooms in their natural environment?Never/Used to in the past/Rarely/Often
Q.6How do you assess the role of fungi in the natural ecosystem?1–5 range (in survey in Polish)
Q.7How would you rate your knowledge of fungi?1–5 range (in survey in Polish)
Q.8Do you use mushrooms for culinary purposes?Never/Rarely/Often
Q.9Do you believe that eating mushrooms has a positive impact on human health?1–5 range (in survey in Polish)
Q.10Do you consciously use mushrooms for medicinal purposes?Never/Rarely/Often
Demographic questions used in further analysis
Type of place of residenceVillage/City up to 50,000/City 50,000–100,000/City 100,000–300,000/City above 300,000 inhabitants
Level of educationPrimary school/Basic vocational/Secondary/High
Age group<18/18–24/25–34/35–44/44–55/56–65/>65
Sex/genderFemale/Male
Is your education or profession related to nature?Yes/No
Disclaimer/Publisher’s Note: The statements, opinions and data contained in all publications are solely those of the individual author(s) and contributor(s) and not of MDPI and/or the editor(s). MDPI and/or the editor(s) disclaim responsibility for any injury to people or property resulting from any ideas, methods, instructions or products referred to in the content.

Share and Cite

MDPI and ACS Style

Jalinik, M.; Pawłowicz, T.; Borowik, P.; Oszako, T. Mushroom Picking as a Special Form of Recreation and Tourism in Woodland Areas—A Case Study of Poland. Forests 2024, 15, 573. https://doi.org/10.3390/f15030573

AMA Style

Jalinik M, Pawłowicz T, Borowik P, Oszako T. Mushroom Picking as a Special Form of Recreation and Tourism in Woodland Areas—A Case Study of Poland. Forests. 2024; 15(3):573. https://doi.org/10.3390/f15030573

Chicago/Turabian Style

Jalinik, Mikołaj, Tomasz Pawłowicz, Piotr Borowik, and Tomasz Oszako. 2024. "Mushroom Picking as a Special Form of Recreation and Tourism in Woodland Areas—A Case Study of Poland" Forests 15, no. 3: 573. https://doi.org/10.3390/f15030573

APA Style

Jalinik, M., Pawłowicz, T., Borowik, P., & Oszako, T. (2024). Mushroom Picking as a Special Form of Recreation and Tourism in Woodland Areas—A Case Study of Poland. Forests, 15(3), 573. https://doi.org/10.3390/f15030573

Note that from the first issue of 2016, this journal uses article numbers instead of page numbers. See further details here.

Article Metrics

Back to TopTop