Assessment of Forest Fire Severity for a Management Conceptual Model: Case Study in Vilcabamba, Ecuador
Abstract
1. Introduction
2. Study Area
3. Materials and Methods
3.1. Remote Sensing Tools for Fire Severity
3.1.1. Remote Sensing Products
3.1.2. Spectral Indices
3.2. Fire Modelling
3.2.1. Fire Severity Models
3.2.2. Fire Susceptibility Model Using AHP Multi-Criteria Method
- Distance to roads (C8): The fire analysed was provoked by human activities. Therefore, knowing the distance to roads is a reference to the proximity to urban zones that are the main triggers for fire-starting events in Vilcabamba parish, considering that humans generate 99% of forest fires in Ecuador [58].
- Distance to water bodies (C7): This includes superficial water sources such as rivers, streams, lakes, and lagoons that can provide water in case of fire events. The AHP method uses the weighted overlay tool that incorporates surface restrictions based on this variable, providing clues for understanding wildfire events [59]. We determined these variables using the Euclidean distance technique that calculates the distance to every single point of the geographic space.
- Land use (C6): This is crucial in the probability of forest fires in this sector because humans generate forest fires through poor farming practises such as burning grasslands that change the land use dynamics and affect fire intensity. For this variable, we used data from the geoportal of the Ministry of Environmental, Water and Ecological Transition in Ecuador (MAE, Spanish acronym) from 2018 for pre-fire and 2022 for post-fire scenes [60].
- Temperature (C5), and precipitation (C4): These create the necessary conditions for fires to burn with a certain magnitude. For precipitation (isohyets) and temperature (isotherms), we used data from five meteorological stations (Malacatos, Quinara, Yangana, Porvenir, and San Jose stations), located 15 km from Vilcabamba parish (Figure 1b). Yanacocha and San Jose stations are monitored by the National University of Loja (UNL, Spanish acronym) from 2016 to the present [61] and measure variables such as the following: temperature, precipitation, wind speed, wind direction, and relative humidity on a daily scale with a frequency of 15 min. Meanwhile, Malacatos, Quinara, and Yangana stations are monitored by the National Institute of Meteorology and Hydrology (INAHMI, Spanish acronym) [62].
- Slope angle (C1): This parameter is vital because it influences the spread of fire, with steeper slopes allowing fire to move faster uphill, as gravity helps spread flames [63]. It also affects wind patterns and fuel availability, as steeper terrains can concentrate heat and increase fire intensity.
- Elevation (C2), and slope aspect (C3): These variables are essential but not determinants for starting a forest fire in Vilcabamba parish. For these variables, we used the Digital Elevation Model (DEM) of the Military Geographical Institute (IGM, Spanish acronym) [64]. For the calculation of the slope angle and aspect, we use the GIS-based geodesic method and the QGIS software. This method is also known as Earth Centred, Earth Fixed (ECEF), as it considers the earth as an ellipsoid and shapes the slope in 3D through Cartesian coordinates [65].
3.3. Model Validation
3.4. Proposal of Action Plan for Wildfire Management
4. Results
4.1. Assessment of Wildfire Severity with Spectral Indices
4.1.1. Burned Areas Using NBR Index
4.1.2. Vegetation Recovery Using NDVI Analysis
4.1.3. Vegetation Stress Conditions Using NDMI
4.2. Fire Severity Models Using Differentiated Indices
4.3. Analysis of Variables for Wildfire Susceptibility
4.4. Proposal of Action Plan for Fire Management in Vilcabamba Parish
5. Discussion
5.1. The Main Trends in the Results
5.2. Methodological Limitations
5.3. Implications of the Results and Avenues for Future Research
6. Conclusions
Supplementary Materials
Author Contributions
Funding
Data Availability Statement
Acknowledgments
Conflicts of Interest
References
- Camarero, J.J.; Guijarro, M.; Calama, R.; Valeriano, C.; Pizarro, M.; Madrigal, J. Wildfires Improve Forest Growth Resilience to Drought. Fire 2023, 6, 161. [Google Scholar] [CrossRef]
- De Frenne, P.; Lenoir, J.; Luoto, M.; Scheffers, B.R.; Zellweger, F.; Aalto, J.; Ashcroft, M.B.; Christiansen, D.M.; Decocq, G.; De Pauw, K.; et al. Forest microclimates and climate change: Importance, drivers and future research agenda. Glob. Change Biol. 2021, 27, 2279–2297. [Google Scholar] [CrossRef] [PubMed]
- Spies, T.A.; White, E.M.; Kline, J.D.; Fischer, A.P.; Ager, A.; Bailey, J.; Bolte, J.; Koch, J.; Platt, E.; Olsen, C.S.; et al. Examining fire-prone forest landscapes as coupled human and natural systems. Ecol. Soc. 2014, 19, 9. [Google Scholar] [CrossRef]
- Martínez, J.; Vega-Garcia, C.; Chuvieco, E. Human-caused wildfire risk rating for prevention planning in Spain. J. Environ. Manag. 2009, 90, 1241–1252. [Google Scholar] [CrossRef] [PubMed]
- Carrión-Paladines, V.; Correa-Quezada, L.; Valdiviezo Malo, H.; Zurita Ruáles, J.; Pereddo Tumbaco, A.; Zambrano Pisco, M.; Lucio Panchi, N.; Jiménez Álvarez, L.; Benítez, Á.; Loján-Córdova, J. Exploring the ethnobiological practices of fire in three natural regions of Ecuador, through the integration of traditional knowledge and scientific approaches. J. Ethnobiol. Ethnomed. 2024, 20, 60. [Google Scholar] [CrossRef]
- Fragoso, P.; Corona, A.P.; Hernández, B.P. Efecto del Fuego Sobre las Propiedades de los Suelos Agrícolas en la Zona Kárstica del sur de Quintana Roo. Eur. Sci. J. ESJ 2022, 11, 406. [Google Scholar] [CrossRef]
- Ibrahim, S.; Kose, M.; Adamu, B.; Jega, I.M. Remote sensing for assessing the impact of forest fire severity on ecological and socio-economic activities in Kozan District, Turkey. J. Environ. Stud. Sci. 2024, 14, 13. [Google Scholar] [CrossRef]
- Bolotin, L.A.; McMillan, H. A hydrologic signature approach to analysing wildfire impacts on overland flow. Hydrol. Process. 2024, 38, e15215. [Google Scholar] [CrossRef]
- Schweizer, D.; Preisler, H.; Entwistle, M.; Gharibi, H.; Cisneros, R. Using a Statistical Model to Estimate the Effect of Wildland Fire Smoke on Ground Level PM2.5 and Asthma in California, USA. Fire 2023, 6, 159. [Google Scholar] [CrossRef]
- Grünig, M.; Seidl, R.; Senf, C. Increasing aridity causes larger and more severe forest fires across Europe. Glob. Change Biol. 2023, 29, 1648–1659. [Google Scholar] [CrossRef]
- Stoddard, M.T.; Huffman, D.W.; Fulé, P.Z.; Crouse, J.E.; Sánchez Meador, A.J. Forest structure and regeneration responses 15 years after wildfire in a ponderosa pine and mixed-conifer ecotone, Arizona, USA. Fire Ecol. 2018, 14, 12. [Google Scholar] [CrossRef]
- Kganyago, M.; Shikwambana, L. Assessment of the characteristics of recent major wildfires in the USA, Australia and Brazil in 2018–2019 using multi-source satellite products. Remote Sens. 2020, 12, 1803. [Google Scholar] [CrossRef]
- Ribeiro, L.M.; Rodrigues, A.; Lucas, D.; Viegas, D.X. The impact on structures of the Pedrógão Grande fire complex in June 2017 (Portugal). Fire 2020, 3, 57. [Google Scholar] [CrossRef]
- Ramos Rodríguez, M.P.; Poma Cabrera, E.B.; Reyes Chancay, J.E. Estadísticas de incendios forestales en el cantón Loja, provincia Loja, Ecuador, en el periodo 2011–2020. Bosques Latid. Cero 2024, 14, 64–76. [Google Scholar] [CrossRef]
- Reyes-Bueno, F.; Loján-Córdova, J. Assessment of Three Machine Learning Techniques with Open-Access Geographic Data for Forest Fire Susceptibility Monitoring—Evidence from Southern Ecuador. Forests 2022, 13, 474. [Google Scholar] [CrossRef]
- Sarango, J.; Muñoz, J.; Muñoz, L.; Zhofre, A. Impacto ecológico de un incendio forestal en la flora del páramo antrópico del Parque Universitario “Francisco Vivar Castro”, Loja, Ecuador. Bosques Latid. Cero 2019, 9, 101–114. [Google Scholar]
- Rodriguez, M.; Muñez, C. Fundamentos de la Climatologia, 2nd ed.; Universidad de la Rioja: Madrid, Spain, 2012; ISBN 978-84-695-2799-3. [Google Scholar]
- Roerink, G.J.; Menenti, M.; Verhoef, W. Reconstructing cloudfree NDVI composites using Fourier analysis of time series. Int. J. Remote Sens. 2000, 21, 1911–1917. [Google Scholar] [CrossRef]
- Pham, V.T.; Do, T.A.T.; Tran, H.D.; Do, A.N.T. Classifying forest cover and mapping forest fire susceptibility in Dak Nong province, Vietnam utilizing remote sensing and machine learning. Ecol. Inform. 2024, 79, 102392. [Google Scholar] [CrossRef]
- Karlsen, S.R.; Stendardi, L.; Tømmervik, H.; Nilsen, L.; Arntzen, I.; Cooper, E.J. Time-series of cloud-free sentinel-2 NDVI data used in mapping the onset of growth of central Spitsbergen, Svalbard. Remote Sens. 2021, 13, 3031. [Google Scholar] [CrossRef]
- Mateo-García, G.; Gómez-Chova, L.; Amorós-López, J.; Muñoz-Marí, J.; Camps-Valls, G. Multitemporal Cloud Masking in the Google Earth Engine. Remote Sens. 2018, 10, 1079. [Google Scholar] [CrossRef]
- Xue, J.; Su, B. Significant Remote Sensing Vegetation Indices: A Review of Developments and Applications. J. Sens. 2017, 2017, 1353691. [Google Scholar] [CrossRef]
- Sruthi, S.; Aslam, M.A.M. Agricultural Drought Analysis Using the NDVI and Land Surface Temperature Data; a Case Study of Raichur District. Aquat. Procedia 2015, 4, 1258–1264. [Google Scholar] [CrossRef]
- Phan, P.; Chen, N.; Xu, L.; Dao, D.M.; Dang, D. NDVI variation and yield prediction in growing season: A case study with tea in Tanuyen Vietnam. Atmosphere 2021, 12, 962. [Google Scholar] [CrossRef]
- Keeley, J.E. Fire intensity, fire severity and burn severity: A brief review and suggested usage. Int. J. Wildl. Fire 2009, 18, 116. [Google Scholar] [CrossRef]
- Sandoya, V.; Saura-Mas, S.; Granzow-de la Cerda, I.; Arellano, G.; Macía, M.J.; Tello, J.S.; Lloret, F. Contribution of species abundance and frequency to aboveground forest biomass along an Andean elevation gradient. For. Ecol. Manag. 2021, 479, 118549. [Google Scholar] [CrossRef]
- Chemweno, P.; Pintelon, L.; Van Horenbeek, A.; Muchiri, P. Development of a risk assessment selection methodology for asset maintenance decision making: An analytic network process (ANP) approach. Int. J. Prod. Econ. 2015, 170, 663–676. [Google Scholar] [CrossRef]
- SNGRE. Informe de Situación No.39. Incendios Forestales a Nivel Nacional del 2019 en Ecuador; Secretaría Nacional de Gestión de Riesgos y Emergencias (SNGRE): Quito, Ecuador, 2019.
- MAE. National System of Protected Areas. Available online: http://areasprotegidas.ambiente.gob.ec/mapa (accessed on 28 October 2024).
- Municipio de Loja. Incendios Forestales del 2019. Available online: https://www.loja.gob.ec/noticia/2019-10/incendios-forestales-del-fin-de-semana-fueron-provocados (accessed on 22 November 2023).
- SGNRE. Reporte de Monitoreo de Amenazas y Eventos Peligrosos No. 0682; Secretaría Nacional de Gestión de Riesgos y Emergencias (SNGRE): Samborondón, Ecuador, 2023.
- INEC. Cuestionario Censal 2022. Available online: https://www.ecuadorencifras.gob.ec/institucional/home/ (accessed on 17 October 2024).
- GAD Parroquial Vilcabamba. Plan de Ordenamiento Territorial (PDOT) Vilcabamba 2019–2023; Gobierno Autónomo Descentralizado de la Parroquial Vilcabamba: Loja, Ecuador, 2019.
- Chen, D.; Chen, H.W. Using the Köppen classification to quantify climate variation and change: An example for 1901–2010. Environ. Dev. 2013, 6, 69–79. [Google Scholar] [CrossRef]
- Díaz, S.C.; Quezada, L.C.; Álvarez, L.J.; Loján-Córdova, J.; Carrión-Paladines, V. Indigenous use of fire in the paramo ecosystem of southern Ecuador: A case study using remote sensing methods and ancestral knowledge of the Kichwa Saraguro people. Fire Ecol. 2023, 19, 5. [Google Scholar] [CrossRef]
- Primicias Incendio Forestal en Cantón Quilanga en la Provincia de Loja. Available online: https://www.primicias.ec/sociedad/incendio-forestal-loja-avanza-pese-labores-contencion-77186/ (accessed on 30 October 2024).
- Reyes-Bueno, F.; Tubío Sánchez, J.; Gracía Samaniego, J.; Miranda Barrós, D.; Crecente Maseda, R.; Sánchez-Rodríguez, A. Factors influencing land fractioning in the context of land market deregulation in Ecuador. Land Use Policy 2016, 52, 144–150. [Google Scholar] [CrossRef]
- Lastovicka, J.; Svec, P.; Paluba, D.; Kobliuk, N.; Svoboda, J.; Hladky, R.; Stych, P. Sentinel-2 data in an evaluation of the impact of the disturbances on forest vegetation. Remote Sens. 2020, 12, 1914. [Google Scholar] [CrossRef]
- Velastegui-Montoya, A.; Montalván-Burbano, N.; Carrión-Mero, P.; Rivera-Torres, H.; Sadeck, L.; Adami, M. Google Earth Engine: A Global Analysis and Future Trends. Remote Sens. 2023, 15, 3675. [Google Scholar] [CrossRef]
- ESA Copernicus Open Access Hub. Available online: https://scihub.copernicus.eu/ (accessed on 16 April 2024).
- Huang, C.; Zhang, C.; He, Y.; Liu, Q.; Li, H.; Su, F.; Liu, G.; Bridhikitti, A. Land cover mapping in cloud-prone tropical areas using Sentinel-2 data: Integrating spectral features with NDVI temporal dynamics. Remote Sens. 2020, 12, 1163. [Google Scholar] [CrossRef]
- Jodhani, K.H.; Patel, H.; Soni, U.; Patel, R.; Valodara, B.; Gupta, N.; Patel, A.; Omar, P.J. Assessment of forest fire severity and land surface temperature using Google Earth Engine: A case study of Gujarat State, India. Fire Ecol. 2024, 20, 23. [Google Scholar] [CrossRef]
- Praticò, S.; Solano, F.; Di Fazio, S.; Modica, G. Machine Learning Classification of Mediterranean Forest Habitats in Google Earth Engine Based on Seasonal Sentinel-2 Time-Series and Input Image Composition Optimisation. Remote Sens. 2021, 13, 586. [Google Scholar] [CrossRef]
- Filgueiras, R.; Mantovani, E.C.; Althoff, D.; Fernandes Filho, E.I.; da Cunha, F.F. Crop NDVI Monitoring Based on Sentinel 1. Remote Sens. 2019, 11, 1441. [Google Scholar] [CrossRef]
- Hudak, A.T.; Morgan, P.; Bobbitt, M.J.; Smith, A.M.S.; Lewis, S.A.; Lentile, L.B.; Robichaud, P.R.; Clark, J.T.; McKinley, R.A. The Relationship of Multispectral Satellite Imagery to Immediate Fire Effects. Fire Ecol. 2007, 3, 64–90. [Google Scholar] [CrossRef]
- Easterday, K.; Kislik, C.; Dawson, T.; Hogan, S.; Kelly, M. Remotely Sensed Water Limitation in Vegetation: Insights from an Experiment with Unmanned Aerial Vehicles (UAVs). Remote Sens. 2019, 11, 1853. [Google Scholar] [CrossRef]
- Huete, A.R. Vegetation Indices, Remote Sensing and Forest Monitoring. Geogr. Compass 2012, 6, 513–532. [Google Scholar] [CrossRef]
- Deng, G.; Tang, Z.; Dong, C.; Shao, D.; Wang, X. Development and Evaluation of a Cloud-Gap-Filled MODIS Normalized Difference Snow Index Product over High Mountain Asia. Remote Sens. 2024, 16, 192. [Google Scholar] [CrossRef]
- Cryer, J.D.; Chan, K.-S. Time Series Analysis, 2nd ed.; Springer Texts in Statistics; Springer: New York, NY, USA, 2008; ISBN 978-0-387-75958-6. [Google Scholar]
- Verger, A.; Sánchez-Zapero, J.; Weiss, M.; Descals, A.; Camacho, F.; Lacaze, R.; Baret, F. GEOV2: Improved smoothed and gap filled time series of LAI, FAPAR and FCover 1 km Copernicus Global Land products. Int. J. Appl. Earth Obs. Geoinf. 2023, 123, 103479. [Google Scholar] [CrossRef]
- Gandhi, U. JavaScript and the Earth Engine API. In Cloud-Based Remote Sensing with Google Earth Engine; Springer International Publishing: Cham, Switzerland, 2024; pp. 3–18. [Google Scholar]
- Saaty, T.L. Decision making—The Analytic Hierarchy and Network Processes (AHP/ANP). J. Syst. Sci. Syst. Eng. 2004, 13, 1–35. [Google Scholar] [CrossRef]
- Millet, I.; Wedley, W.C. Modelling risk and uncertainty with the analytic hierarchy process. J. Multi-Criteria Decis. Anal. 2002, 11, 97–107. [Google Scholar] [CrossRef]
- Caner, H.I.; Aydin, C.C. Shipyard site selection by raster calculation method and AHP in GIS environment, İskenderun, Turkey. Mar. Policy 2021, 127, 104439. [Google Scholar] [CrossRef]
- Singh, B. Analytical hierarchical process (AHP) and fuzzy AHP applications—A review paper. Int. J. Pharm. Technol. 2016, 8, 4925–4946. [Google Scholar]
- Salmeron, J.L.; Smarandache, F. Redesigning Decision Matrix Method with an indeterminacy-based inference process. Int. J. Appl. Math. Stat. 2008, 13, 4–11. [Google Scholar]
- Menon, R.R.; Vijayakumar, R.; Pandey, J.K. Selection of Optimal Air Independent Propulsion System using Forced Decision Matrix. Def. Sci. J. 2020, 70, 103–109. [Google Scholar] [CrossRef]
- Reyes-Bueno, F.; Balcazar-Gallegos, C. Factores que inciden en la probabilidad de ocurrencia de incendios forestales en Ecuador. FIGEMPA Investig. Desarro. 2021, 11, 50–60. [Google Scholar] [CrossRef]
- Vadrevu, K.P.; Eaturu, A.; Badarinath, K.V.S. Fire risk evaluation using multicriteria analysis-a case study. Environ. Monit. Assess. 2010, 166, 223–239. [Google Scholar] [CrossRef]
- MAE Metadatos del Ministerio de Ambiente, Agua y Transición Ecológica del Ecuador. Available online: http://ide.ambiente.gob.ec/mapainteractivo/ (accessed on 22 September 2023).
- UNL Estaciones Metereológicas en la Ciudad de Loja. Available online: https://geoportal.unl.edu.ec/visor-climatico/visor/ (accessed on 22 January 2024).
- INAHMI Estaciones Metereológicas del Ecuador. Available online: https://www.inamhi.gob.ec/ (accessed on 24 May 2024).
- Sahana, M.; Ganaie, T.A. GIS-based landscape vulnerability assessment to forest fire susceptibility of Rudraprayag district, Uttarakhand, India. Environ. Earth Sci. 2017, 76, 676. [Google Scholar] [CrossRef]
- IGM Modelo Digital del Terreno de Ecuador a Escala 1:50,000. Available online: https://www.datosabiertos.gob.ec/dataset/modelo-digital-del-terreno (accessed on 14 December 2023).
- Arias, P.; Cabrera, S.; Jácome, G.; Arias-Muñoz, P.; Cabrera-García, S.; Jácome-Aguirre, G. A Multicriteria Geographic Information System Analysis of Wildfire Susceptibility in the Andean Region: A Case Study in Ibarra, Ecuador. Fire 2024, 7, 81. [Google Scholar] [CrossRef]
- Mariscal, S.; Ríos, M.; Soria, F. Multicriteria analysis for identifying forest fire risk zones in the Biological Reserve of the Sama Cordillera, Bolivia. Int. Arch. Photogramm. Remote Sens. Spat. Inf. Sci. 2020, XLII-3/W12, 113–118. [Google Scholar] [CrossRef]
- IGM Visor de Datos Geográficos Oficiales de Ecuador. Base Contínua a Escala 1:50,000. Formato Shapefile. Available online: https://www.geoportaligm.gob.ec/portal/index.php/visualizador/ (accessed on 27 January 2024).
- Van Hoang, T.; Chou, T.Y.; Fang, Y.M.; Nguyen, N.T.; Nguyen, Q.H.; Xuan Canh, P.; Ngo Bao Toan, D.; Nguyen, X.L.; Meadows, M.E.; Canh, P.X.; et al. Mapping Forest Fire Risk and Development of Early Warning System for NW Vietnam Using AHP and MCA/GIS Methods. Appl. Sci. 2020, 10, 4348. [Google Scholar] [CrossRef]
- Vilar del Hoyo, L.; Martín Isabel, M.P.; Martínez Vega, F.J. Logistic regression models for human-caused wildfire risk estimation: Analysing the effect of the spatial accuracy in fire occurrence data. Eur. J. For. Res. 2011, 130, 983–996. [Google Scholar] [CrossRef]
- Poulos, H.M.; Barton, A.M.; Koch, G.W.; Kolb, T.E.; Thode, A.E. Wildfire severity and vegetation recovery drive post-fire evapotranspiration in a southwestern pine-oak forest, Arizona, USA. Remote Sens. Ecol. Conserv. 2021, 7, 579–591. [Google Scholar] [CrossRef]
- Pang, S.E.H.; Slik, J.W.F.; Zurell, D.; Webb, E.L. The clustering of spatially associated species unravels patterns in tropical tree species distributions. Ecosphere 2023, 14, e4589. [Google Scholar] [CrossRef]
- Silva-Souza, K.J.P.; Pivato, M.G.; Silva, V.C.; Haidar, R.F.; Souza, A.F. New patterns of the tree beta diversity and its determinants in the largest savanna and wetland biomes of South America. Plant Divers. 2023, 45, 369–384. [Google Scholar] [CrossRef]
- Daniel, C.B.; Mathew, S.; Subbarayan, S. GIS-Based Study on the Association Between Road Centrality and Socio-demographic Parameters: A Case Study. J. Geovis. Spat. Anal. 2022, 6, 1. [Google Scholar] [CrossRef]
- Murillo-Sandoval, P.; Hilker, T.; Krawchuk, M.; Van Den Hoek, J. Detecting and Attributing Drivers of Forest Disturbance in the Colombian Andes Using Landsat Time-Series. Forests 2018, 9, 269. [Google Scholar] [CrossRef]
- Morante-Carballo, F.; Gurumendi-Noriega, M.; Cumbe-Vásquez, J.; Bravo-Montero, L.; Carrión-Mero, P. Georesources as an Alternative for Sustainable Development in COVID-19 Times—A Study Case in Ecuador. Sustainability 2022, 14, 7856. [Google Scholar] [CrossRef]
- Franco, M.G.; Mundo, I.A.; Veblen, T.T. Field-Validated Burn-Severity Mapping in North Patagonian Forests. Remote Sens. 2020, 12, 214. [Google Scholar] [CrossRef]
- Ritter, A.; Muñoz-Carpena, R. Performance evaluation of hydrological models: Statistical significance for reducing subjectivity in goodness-of-fit assessments. J. Hydrol. 2013, 480, 33–45. [Google Scholar] [CrossRef]
- Tong, S.T.Y. The use of non-metric multidimensional scaling as an ordination technique in resource survey and evaluation: A case study from southeast Spain. Appl. Geogr. 1992, 12, 243–260. [Google Scholar] [CrossRef]
- Chadha, C.; Garg, S. Shortest Path Analysis on Geospatial Data Using PgRouting: Visualization of Shortest Path on Road Network. In International Conference on Innovative Computing and Communications, Proceedings of the ICICC 2018, Delhi, India, 5–6 May 2018; Springer: Singapore, 2019; pp. 201–214. [Google Scholar]
- Ahmadi, M.; Jorfi, S.; Kujlu, R.; Ghafari, S.; Darvishi Cheshmeh Soltani, R.; Jaafarzadeh Haghighifard, N. A novel salt-tolerant bacterial consortium for biodegradation of saline and recalcitrant petrochemical wastewater. J. Environ. Manag. 2017, 191, 198–208. [Google Scholar] [CrossRef]
- Morante, F.; Bravo-Montero, L.; Carrión, P.; Velastegui, A.; Berrezueta, E. Forest Fire Assessment Using Remote Sensing to Support the Development of an Action Plan Proposal in Ecuador. Remote Sens. 2022, 14, 1783. [Google Scholar] [CrossRef]
- Zhiminaicela Cabrera, J.B.; Quevedo-Guerrero, J.N.; León-Salto, M.B.; Mora-Encalada, C.P. Algoritmo Semiautomático para Mapear Incendios Forestales y Estimar la Recuperación Vegetal Mediante Imágenes Landsat-8. Rev. Tecnol.-ESPOL 2020, 32, 35–42. [Google Scholar] [CrossRef]
- Zhiminaicela Cabrera, J.B.; Lima Morales, K.A.; Quevedo Guerrero, J.N.; García Batista, R.M.; Rogel Jarrín, B.A. Incendios forestales un factor influyente en la degradación de la biodiversidad del cantón Chilla, Ecuador. Rev. Cient. Amaz. 2021, 4, 5–12. [Google Scholar] [CrossRef]
- Cisneros, C.; Calahorrano, J.; Abarca, M.; Manzano, M. Semiautomatic detection of burnt areas in Chimborazo-Ecuador using dNBR mean composites with adjusted thresholds. Rev. Teledetec. 2023, 2023, 89–99. [Google Scholar] [CrossRef]
- Sdraka, M.; Dimakos, A.; Malounis, A.; Ntasiou, Z.; Karantzalos, K.; Michail, D.; Papoutsis, I. FLOGA: A Machine-Learning-Ready Dataset, a Benchmark, and a Novel Deep Learning Model for Burnt Area Mapping with Sentinel-2. IEEE J. Sel. Top. Appl. Earth Obs. Remote Sens. 2024, 17, 7801–7824. [Google Scholar] [CrossRef]
- Lo Conti, F.; Hsu, K.-L.; Noto, L.V.; Sorooshian, S. Evaluating several satellite precipitation estimates and global ground-based dataset on Sicily (Italy). In Remote Sensing for Agriculture, Ecosystems, and Hydrology XIV, Proceedings of the SPIE Remote Sensing, Edinburgh, UK, 24–27 September 2012; Neale, C.M.U., Maltese, A., Eds.; SPIE: Bellingham, WA, USA, 2012; p. 853106. [Google Scholar]
- Wang, C.; Zhang, H.; Wu, X.; Yang, W.; Shen, Y.; Lu, B.; Wang, J. AUTS: A Novel Approach to Mapping Winter Wheat by Automatically Updating Training Samples Based on NDVI Time Series. Agriculture 2022, 12, 817. [Google Scholar] [CrossRef]
- Pragya; Kumar, M.; Tiwari, A.; Majid, S.I.; Bhadwal, S.; Sahu, N.; Verma, N.K.; Tripathi, D.K.; Avtar, R. Integrated Spatial Analysis of Forest Fire Susceptibility in the Indian Western Himalayas (IWH) Using Remote Sensing and GIS-Based Fuzzy AHP Approach. Remote Sens. 2023, 15, 4701. [Google Scholar] [CrossRef]
- Campbell, M.J.; Dennison, P.E.; Thompson, M.P.; Butler, B.W. Assessing Potential Safety Zone Suitability Using a New Online Mapping Tool. Fire 2022, 5, 5. [Google Scholar] [CrossRef]
- Debnath, P. A QGIS-Based Road Network Analysis for Sustainable Road Network Infrastructure: An Application to the Cachar District in Assam, India. Infrastructures 2022, 7, 114. [Google Scholar] [CrossRef]
- Carrión-Mero, P.; Montalván-Burbano, N.; Herrera-Franco, G.; Domínguez-Granda, L.; Bravo-Montero, L.; Morante-Carballo, F. Research Trends in Groundwater and Stable Isotopes. Water 2022, 14, 3173. [Google Scholar] [CrossRef]












| Scene | Acquisition Date | Satellite | Cloudiness | Spatial Resolution | Source |
|---|---|---|---|---|---|
| Pre-fire | 25 August 2019 | Sentinel-2A | |||
| Fire-day | 3 September 2019 | <30% | 10 m | [40] | |
| Post-fire | 9 September 2019 | ||||
| Post-fire | 4 August 2021 |
| Index | Equation | Spectral Bands | Source |
|---|---|---|---|
| NDVI | NDVI = | Near-Infrared (NIR) Red | [41] |
| NBR | NBR = | Near-Infrared (NIR) Short-Wave Infra-Red (SWIR) 2 | [42] |
| NDMI | NDMI = | Near-Infrared (NIR) Short-Wave Infra-Red (SWIR) 1 | [43] |
| Variables | Resolution (m) | Period | Preparation Method | Weight | Score | Variable Importance | Source |
|---|---|---|---|---|---|---|---|
| C1: Slope angle (%) | 30 × 30 | 2020 | geodesic (ECEF method) | 15% | 15 | 1 | |
| 30 | 2 | [64] | |||||
| 45 | 3 | ||||||
| 60 | 4 | ||||||
| C2: Elevation (m.a.s.l) | 30 × 30 | 2020 | Classification | 5% | 1400–1500 | 1 | |
| 1500–2250 | 2 | [64] | |||||
| 2250–3000 | 3 | ||||||
| 3000–3750 | 4 | ||||||
| C3: Slope aspect | 30 × 30 | 2020 | geodesic (ECEF method) | 4% | Flat | 1 | |
| South | 2 | ||||||
| West | 4 | [64] | |||||
| East | 3 | ||||||
| North | 1 | ||||||
| C4: Mean annual trecipitation (mm) | 30 × 30 | 2016–2023 | IDW Interpolation | 8% | 500–750 | 1 | |
| 750–1000 | 2 | ||||||
| 1000–1250 | 3 | [61] | |||||
| 1250–1500 | 4 | ||||||
| C5: Mean annual temperature (°C) | 30 × 30 | 2016–2023 | IDW Interpolation | 12% | 8–10 | 1 | |
| 12–14 | 2 | ||||||
| 16–18 | 3 | [61] | |||||
| 20–22 | 4 | ||||||
| C6: Land use | 1:250,000 | 2018–2022 | Clipped from MAE geoportal | 17% | Forest | 4 | |
| Water bodies | 1 | ||||||
| Other lands | 2 | ||||||
| Agriculture lands | 3 | [60] | |||||
| Shrub and herbaceous vegetation | 4 | ||||||
| Urban zone | 1 | ||||||
| C7: Distance to water bodies (m) | 30 × 30 | 2020 | Euclidean distance | 18% | 140 | 4 | |
| 280 | 3 | ||||||
| 420 | 2 | [67] | |||||
| 560 | 1 | ||||||
| C8: Distance to roads (m) | 30 × 30 | 2020 | Euclidean distance | 21% | 300 | 4 | |
| 600 | 3 | ||||||
| 900 | 2 | [67] | |||||
| 1200 | 1 |
| Score | Definition |
|---|---|
| 9 | Extreme importance |
| 6; 7; 8 | Very strong importance |
| 4; 5 | Strong importance |
| 2; 3 | Moderate importance |
| 1 | Equal importance of one over the other variable |
| Variables | C1 | C2 | C3 | C4 | C5 | C6 | C7 | C8 | Vp | Ci | λi |
|---|---|---|---|---|---|---|---|---|---|---|---|
| C1 | 1.00 | 5.00 | 7.00 | 7.00 | 1/8 | 7.00 | 1/4 | 1/5 | 1.35 | 0.15 | 2.71 |
| C2 | 1/5 | 1.00 | 2.00 | 1/2 | 1.00 | 1/8 | 1/6 | 1.00 | 0.50 | 0.05 | 1.33 |
| C3 | 1/7 | 1/2 | 1.00 | 1.00 | 1/5 | 1/8 | 1/2 | 1/6 | 0.33 | 0.04 | 0.00 |
| C4 | 1/7 | 2.00 | 1.00 | 1.00 | 2.00 | 1.00 | 1/4 | 1.00 | 0.78 | 0.08 | 0.01 |
| C5 | 8.00 | 1.00 | 5.00 | 1/2 | 1.00 | 1/4 | 1/2 | 1.00 | 1.12 | 0.12 | 1.37 |
| C6 | 1/7 | 8.00 | 8.00 | 1.00 | 4.00 | 1.00 | 1.00 | 1.00 | 1.57 | 0.17 | 1.95 |
| C7 | 4.00 | 6.00 | 2.00 | 4.00 | 2.00 | 1.00 | 1.00 | 1/6 | 1.68 | 0.18 | 1.76 |
| C8 | 5.00 | 1.00 | 6.00 | 1.00 | 1.00 | 1.00 | 6.00 | 1.00 | 1.91 | 0.21 | 1.14 |
| Σ | 18.63 | 24.50 | 32.00 | 16.00 | 11.33 | 11.50 | 9.67 | 5.53 | 9.25 | 1.00 | 10.27 |
| Parameters | dNBR | dNDVI | AHP Model | Normality Ranges |
|---|---|---|---|---|
| Skewness | 0.10 | 1.19 | −3.55 | [−3, +3] |
| Kurtosis | 5.18 | 5.57 | 8.66 | [−3, +3] |
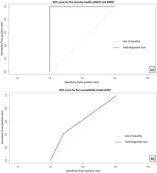
| Algorithm 1 | AUC dNBR | AUC dNDVI | AUC AHP | AIC |
| LR | 1.00 | 1.00 | 0.60 | 6 |
| Algorithm 2 | RMSE | Max Residual | Stress | Model |
| NMDS | 0.006 | 0.031 | 0.032 | severity models |
| NMDS | 0.031 | 0.093 | 0.094 | AHP model |
| Class | Land Use Categories | Area in Vilcabamba Parish (ha) | Area in Wildfire Perimeter (ha) | ||
|---|---|---|---|---|---|
| Pre-Fire (2018) | Post-Fire (2022) | Pre-Fire (2018) | Post-Fire (2022) | ||
| 1 | Shrub and herbaceous vegetation | 10,249.91 | 9846.52 | 1594.89 | 1587.70 |
| 2 | Forest | 3077.20 | 3652.00 | 119.04 | 123.35 |
| 3 | Agricultural lands | 2163.70 | 1935.83 | 4.81 | 6.79 |
| 4 | Other lands | 308.74 | 324.55 | 118.61 | 119.51 |
| 5 | Urban zone | 126.95 | 141.89 | - | - |
| 6 | Water bodies | 52.40 | 78.11 | 0.30 | 0.30 |
Disclaimer/Publisher’s Note: The statements, opinions and data contained in all publications are solely those of the individual author(s) and contributor(s) and not of MDPI and/or the editor(s). MDPI and/or the editor(s) disclaim responsibility for any injury to people or property resulting from any ideas, methods, instructions or products referred to in the content. |
© 2024 by the authors. Licensee MDPI, Basel, Switzerland. This article is an open access article distributed under the terms and conditions of the Creative Commons Attribution (CC BY) license (https://creativecommons.org/licenses/by/4.0/).
Share and Cite
González, F.; Morante-Carballo, F.; González, A.; Bravo-Montero, L.; Benavidez-Silva, C.; Tedim, F. Assessment of Forest Fire Severity for a Management Conceptual Model: Case Study in Vilcabamba, Ecuador. Forests 2024, 15, 2210. https://doi.org/10.3390/f15122210
González F, Morante-Carballo F, González A, Bravo-Montero L, Benavidez-Silva C, Tedim F. Assessment of Forest Fire Severity for a Management Conceptual Model: Case Study in Vilcabamba, Ecuador. Forests. 2024; 15(12):2210. https://doi.org/10.3390/f15122210
Chicago/Turabian StyleGonzález, Fernando, Fernando Morante-Carballo, Aníbal González, Lady Bravo-Montero, César Benavidez-Silva, and Fantina Tedim. 2024. "Assessment of Forest Fire Severity for a Management Conceptual Model: Case Study in Vilcabamba, Ecuador" Forests 15, no. 12: 2210. https://doi.org/10.3390/f15122210
APA StyleGonzález, F., Morante-Carballo, F., González, A., Bravo-Montero, L., Benavidez-Silva, C., & Tedim, F. (2024). Assessment of Forest Fire Severity for a Management Conceptual Model: Case Study in Vilcabamba, Ecuador. Forests, 15(12), 2210. https://doi.org/10.3390/f15122210

