Abstract
With the establishment of the national park system in China, balancing ecological conservation within national parks and development in surrounding areas has become a critical issue. Despite its importance, studies on the scale effects of landscape fragmentation and its relationship with habitat quality (HQ) in these regions remain scarce. Therefore, this study focuses on the Hainan Tropical Rainforest National Park (HTRNP) in China and the surrounding nine cities and counties. The optimal scale for analyzing the spatiotemporal characteristics of landscape patterns, we assessed the best grain size and extent of landscape pattern indices using the regional information loss assessment model, area loss index, and semivariance function analysis. Based on this, the Fragstats and InVEST models analyzed the spatiotemporal evolution of landscape patterns and HQ from 1980 to 2020. Additionally, bivariate spatial autocorrelation theory was applied to examine the spatial correlation between the two. The results show that (1) the landscape indices in the study area vary with grain size and extent. The optimal grain size is 300 m, and the optimal extent is 2 km × 2 km. (2) Over the past 40 years, the landscape pattern of HTRNP has remained stable. In contrast, the surrounding areas exhibit notable spatial differentiation, with landscapes in coastal town centers becoming increasingly fragmented. (3) Over the past 40 years, the overall HQ in the study area has been relatively high, showing a spatial distribution pattern that decreases gradually from the center of HTRNP outward to rural areas, towns, and coastal regions. HTRNP has maintained a high and stable HQ, while the surrounding areas exhibited a decreasing trend in HQ, although the decline was relatively modest. (4) The spatial distribution of HQ aligns closely with landscape patterns, indicating a significant spatial correlation. The landscape connectivity of HTRNP remains high, with consistently superior HQ. In contrast, coastal town centers are characterized by highly fragmented landscapes and poor HQ. This study reveals the spatiotemporal dynamics of landscape patterns and HQ, along with their spatial associations. These findings provide a scientific basis for ecological conservation in national parks and the planning optimization of surrounding areas.
1. Introduction
International conferences, such as the Convention on Biological Diversity (CBD) and the United Nations Framework Convention on Climate Change (UNFCCC), have repeatedly emphasized the important role of nature reserves and national park systems in addressing the challenges of biodiversity loss, climate change, and natural resource depletion caused by human activities [,,]. However, studies have shown that increasing pressures from infrastructure development, climate change, and human activities around protected areas are undermining their overall conservation effectiveness [,]. In this context, China first proposed establishing a national park system in 2013, making the coordinated development of national park conservation and surrounding communities one of the key tasks in building the system []. As national parks in China are strictly protected by law, human activities within their boundaries are generally restricted []. However, surrounding areas face increased development pressure due to tourism and housing demands [,]. Therefore, assessing HQ within national parks and their surrounding areas is crucial. Clarifying the spatial relationships between these regions is critical for promoting coordinated development in adjacent areas.
In landscape ecology, landscape patterns exhibit spatial heterogeneity and scale dependency [], which are fundamental aspects of spatial heterogeneity. These characteristics are specifically reflected in the effects of grain size and spatial extent [,]. While studies on single-scale landscape patterns are relatively well-established, temporal scale analyses often focus on identifying the optimal analytical grain size through variations in landscape indices. However, research on broader landscape pattern characteristics remains limited [,]. For spatial scale studies, researchers frequently use data resolution as the basic unit and adopt methods such as moving windows [,] or grids [] to identify a single optimal scale. Notably, the grid measurement units are often set based on personal experience [], and studies on grain size effects are relatively scarce. Few studies quantitatively explore landscape pattern scales before calculating indices, which may reduce the accuracy of these calculations []. Selecting the optimal scale for studying the spatiotemporal characteristics of landscape patterns is therefore crucial for effectively assessing regional ecological conditions.
Changes in landscape types can alter the structure and composition of regional landscape elements, which in turn affect the spatial configuration and connectivity of habitats. Ultimately, these changes transform the regional ecological environment [,]. In recent years, models such as SolVES and InVEST have been widely used for HQ assessments [,]. The SolVES model primarily evaluates socio-ecological values, while the HQ module of the InVEST model has become a popular tool for assessing regional HQ due to its simplicity in data collection and operation []. With advances in modeling techniques and the introduction of uncertainty analysis methods, the spatial relationship between landscape patterns and HQ has received increasing attention [,,]. Numerous studies have shown that changes in landscape patterns significantly impact HQ [,]. However, most studies rely on traditional linear equations to analyze the effects of landscape pattern changes on regional HQ [,], but they often overlook the spatial correlation between landscape patterns and HQ, failing to fully reveal their spatial association. In contrast, spatial regression models effectively address this issue by incorporating spatial autocorrelation, enabling a quantitative analysis of the spatial relationships between landscape patterns and HQ.
Currently, research on optimal scales mainly focuses on spatiotemporal changes in landscape patterns [] and ecological risks in landscapes, as well as their driving factors [,]. Most studies focus on watersheds and urban areas [,,], while studies related to national parks and their surrounding regions remain insufficient. Research on HTRNP primarily involves independent regional analyses. For instance, Li, L., et al. [] divided HTRNP into 500 m × 500 m grid cells based on empirical methods to investigate the spatial autocorrelation between land use and ecosystem service values. Similarly, Han, N., et al. [] utilized GeoDa to construct spatial weight matrices and analyze the spatial correlation between human activities and HQ. However, systematic studies on the spatial relationship between landscape patterns and HQ in HTRNP and its surrounding areas are still lacking.
As one of the first national parks established in China, Hainan Tropical Rainforest National Park (HTRNP) is a vital part of the globally significant tropical rainforest ecosystem. It holds unique ecological value and plays a crucial role in biodiversity conservation [,]. HTRNP also contributes significantly to water resource regulation on Hainan Island [], as well as global climate regulation and biodiversity protection [,]. Hainan Island is the largest tropical island in China and a popular coastal tourist destination. The development of the free trade port and policy liberalization have further stimulated the growth of tourism and infrastructure construction in coastal cities around the HTRNP. These developments pose certain challenges to the ecological environment in the surrounding areas of the HTRNP.
Therefore, this study systematically investigates spatial scale effects and quantitatively analyzes the evolutionary characteristics and spatial correlations between landscape patterns and HQ in HTRNP and its surrounding regions. By addressing existing research gaps, this study aims to provide data-driven insights and theoretical guidance for integrated conservation and regional planning of national parks and adjacent areas.
2. Study Area and Data Sources
2.1. Study Area
HTRNP is located in the central and southern mountainous areas of Hainan Island, China (108°44′ to 110°4′ E, 18°33′ to 19°14′ N) (Figure 1). It extends from Nanqiao Township in Wanning City in the east to Banqiao Township in Dongfang City in the west, and from Maoqian Township in Baoting County in the south to Qingsong Township in Baisha County in the north, covering a total area of approximately 4403 km2. Together with its surrounding areas, the park spans nine cities and counties in Hainan Province: Wuzhishan, Qiongzhong, Baisha, Changjiang, Dongfang, Baoting, Lingshui, Ledong, and Wanning. The terrain of the area is characterized by higher elevations in the center and lower elevations around the edges, with an average altitude of 604.79 m and an average slope of 20.21°. The climate type is tropical oceanic monsoon and the region is located in a continental island-type tropical rainforest zone at the northern edge of the tropics. It is rich in tropical rainforest resources, serves as the source of the island’s major rivers, and functions as an important water conservation area. Additionally, it is an extremely valuable biodiversity reservoir within China’s terrestrial ecosystems, with a biodiversity index comparable to that of the Brazilian Amazon rainforest [].

Figure 1.
Geographical location of the study area.
2.2. Data Sources
The data used in this study primarily include land use and land cover (LULC) data, digital elevation model (DEM) data, and administrative boundary data: (1) LULC data for the years 1980, 1990, 2000, 2010, and 2020 were obtained from the Resource and Environmental Science and Data Center, Chinese Academy of Sciences (https://www.resdc.cn/, accessed on 19 January 2022). The land types are classified into 6 primary categories and 25 secondary categories. (2) The digital elevation model (DEM) was obtained from the Geospatial Data Cloud (http://www.gscloud.cn/, accessed on 20 May 2024), with a spatial resolution of 30 m. (3) Administrative boundary data include county and city boundaries as well as the HTRNP boundary. The county and city boundary data were acquired from the National Geoinformation Public Service Platform (https://www.tianditu.gov.cn/, accessed on 25 May 2024), while the HTRNP boundary data were provided by the Hainan Provincial Forestry Bureau.
3. Methodology
The flow of this study is shown in (Figure 2), which consists of the following main steps. First, the collected data were normalized and compiled into a spatial dataset. Based on this, a variety of landscape pattern indices were applied, and the optimal scale for landscape pattern analysis was determined using the regional landscape area loss index and the Semivariance function [,]. Secondly, based on the optimal scale, redundant landscape pattern indices were filtered using Pearson correlation coefficients to study the spatiotemporal evolution of landscape pattern indices across different periods []. Thirdly, the InVEST model was applied to analyze the spatiotemporal evolution of HQ across different periods [,]. The Theil–Sen method (Sen’s slope trend analysis), Mann–Kendall (MK) significance test, and coefficient of variation (CV) were used to assess the trends and intensity of HQ changes []. Finally, spatial correlation methods were employed to explore the spatial clustering patterns between landscape patterns and HQ [,].

Figure 2.
The flow chart of this study.
3.1. Optimal Spatial Scale Analysis
In this study, land use data with a 30 m spatial resolution from 2020 were utilized as the base layer for analyzing scale effects. First, to determine the optimal grain size, the land use layer was resampled using the ArcGIS Pro 3.1.0 tool to create 20 raster datasets, with grain sizes ranging from 30 m to 600 m at 30 m intervals. Secondly, based on the ecological significance of landscape indices and the specific characteristics of the study area [,], nine landscape indices were preliminarily calculated at different spatial grain sizes using the Fragstats 4.3 software platform. These indices include patch density (PD), edge density (ED), largest patch index (LPI), landscape shape index (LSI), aggregation index (AI), contagion index (CONTAG), cohesion index (COHESION), Shannon’s diversity (SHDI), and Shannon’s evenness (SHEI). Thirdly, by integrating the landscape index variation curves and the regional landscape area loss index calculated using the Regional information loss assessment mode area loss index [,] (Equations (1) and (2)), the optimal spatial grain size for the landscape indices was determined. Finally, ArcGIS Pro 3.1.0 was used to create a fishnet tool to generate raster data with five different grid sizes: 1 × 1 km, 2 × 2 km, 3 × 3 km, 4 × 4 km, and 5 × 5 km. These grids were used to divide the land use layer into multiple sub-study areas. The semivariogram was then applied to explore the optimal spatial scale [] (Equation (3)).
where refers to the relative area loss (%) of the landscape type, and and represent the areas before and after the change in landscape grain size, respectively. is the number of landscape types and represents the regional landscape area loss index. A larger value of indicates a greater loss of regional area information resulting from changes in landscape granularity.
where refers to the semivariance function, is the sample distance (m), and and denote the landscape pattern indices corresponding to and , respectively. Here, = 1, 2, 3, 4, ……, and is the total number of sample pairs at distance .
As a result, five landscape indices were identified for landscape pattern analysis in the study area. To avoid redundancy in the information provided by the selected nine landscape indices that may describe similar landscape features, this study performed a Pearson correlation analysis based on the 2020 landscape pattern index data using Arc GIS Pro. The Pearson correlation coefficient ranges from [−1, 1], indicating the strength of correlation between landscape pattern indices []. Figure 3 shows that the correlation between PD and CONTAG, as well as their respective index values, is below 0.9, indicating strong independence. SHEI also has a low correlation with other indices, with its highest correlation of 0.92 observed with SHDI. Based on these results, indices with correlation coefficients greater than 0.95 were removed. Ultimately, PD, ED, LSI, SHEI, and CONTAG were selected to analyze the spatial structure characteristics of the study area. Specifically, PD is used to represent spatial fragmentation. Higher PD values indicate increased fragmentation and patch density, resulting in a more dispersed spatial structure. ED reflects the density of spatial edges. Higher ED values suggest greater edge concentration, leading to reduced spatial connectivity. LSI measures the complexity of patch shapes. Higher LSI values indicate more irregular and complex patch shapes. SHEI describes the diversity of landscape patches. Higher SHEI values suggest more evenly distributed patch types with no dominant type. CONTAG represents spatial connectivity. Higher CONTAG values indicate stronger landscape aggregation and connectivity, whereas lower values suggest greater fragmentation and a more dispersed patch distribution.

Figure 3.
Pearson Correlation Matrix.
3.2. Habitat Quality Assessment
In habitat quality assessment studies, the InVEST and SolVES models are widely used. The InVEST model provides a clear spatial representation of HQ, with advantages such as sensitivity to human disturbances and ease of operation. It is suitable for regional-scale assessments and provides scientific support for ecological protection [] and land-use planning, making it widely applicable in HQ research [,]. However, it has limited consideration of socio-cultural values. In contrast, the SolVES model quantifies socio-cultural values by collecting public perceptions of ecosystem services through surveys, making it effective for analyzing human understanding of ecosystem services, but it lacks capabilities in ecological process quantification []. Considering the strengths of both models, this study selected the InVEST model as the preferred tool for HQ assessment.
This study utilized the HQ module of the InVEST 3.14 model, incorporating LULC suitability and biodiversity threat information to generate spatial distribution maps of HQ and degradation. First, paddy fields, drylands, urban and rural construction areas, and sandy land were identified as habitat threat factors based on the land-use conditions of HTRNP and its surrounding areas. Relevant studies were referenced to extract the corresponding threat factor layers [,].
Secondly, when setting the habitat suitability index for different land-use types and sensitivity coefficients to threat factors, this study referred to the recommended values of the InVEST 3.14 model and existing research on HTRNP and similar regions [,,]. These values were further adjusted based on the specific characteristics of the study area. For instance, the forests in HTRNP and its surrounding regions provide habitats for key tree species, while major rivers such as the Nandu River, Changhua River, and Wanquan River originate from this area. These rivers are essential for maintaining the water supply and ecological balance of Hainan Island [,]. Consequently, the habitat suitability for forests, rivers, lakes, and reservoirs was set to 1. For other habitat types, suitability was determined by their degree of naturalness, with lower values assigned to artificial environments. Specifically, the habitat suitability index was set to 0.7–0.8 for grasslands, 0.6 for tidal flats and unused land, and 0.1 for built-up areas. Sensitivity coefficients for threat factors were assigned based on general principles of biodiversity conservation in landscape ecology []. Typically, natural environments are the most sensitive to external threats, followed by semi-artificial environments, while artificial environments are the least affected. Finally, the sensitivity coefficients for ecological threat factors were assigned within a range of 0–1, according to the ecological importance of each habitat type (Table 1 and Table 2).

Table 1.
Threat factors and related coefficients.

Table 2.
Sensitivity of habitat types to each threat factor.
Subsequently, using the HQ module in the InVEST 3.14 software, this study set relevant parameters to calculate the HQ index for HTRNP and its surrounding areas for 1980, 1990, 2000, 2010, and 2020 (Equations (4)–(7)). The calculated HQ index was then resampled to the optimal resolution for landscape pattern index analysis, ensuring consistent spatial resolution between the data used for landscape pattern and HQ spatial autocorrelation analyses. Using the Jenks natural breaks method in ArcGIS Pro 3.1.0, the HQ index values were classified into four categories: low quality (0.0–0.3), medium–low quality (0.3–0.6), medium–high quality (0.6–0.8), and high quality (0.8–1.0), to facilitate quantitative evaluation. Finally, the HQ data for the five periods were analyzed using Theil–Sen trend analysis (Sen’s slope) and coefficient of variation (CV) intensity analysis.
where refers to the habitat quality at location and habitat type . is the habitat suitability index for habitat type . indicates the cumulative effect of threat factors at location and habitat type . The parameter adjusts the shape of the effect curve of the threat factors. is the number of threat factors to the habitat; is the weight; is the total number of threat factor of grid cells; is the reachability of raster; is the is the sensitivity degree of landscape to threat factor ; is the maximum threat distance of the threat factor; is the influence distance of stress factor.
3.3. Spatial Autocorrelation Analysis
Through global and local spatial autocorrelation analyses [,] (Equations (8) and (9)), the spatial distribution characteristics and intercorrelation s among multiple variables can be systematically assessed. This study employs GeoDa 1.22.0.4 software to conduct spatial autocorrelation analysis of landscape pattern indices and HQ indices, revealing their spatial correlations and distribution characteristics. On one hand, the global Moran’s I value is calculated to analyze global spatial autocorrelation, determining whether a positive or negative correlation exists between the variables. On the other hand, the bivariate Local Indicators of Spatial Association (LISA) method is used to compute the local Moran’s I values for each unit, producing LISA cluster maps for the landscape pattern and HQ variables.
where refers to the sample size of spatial units; and are the observed values for regions and , respectively; denotes the spatial weight matrix between regions and ; and and are standardized test statistics. The Moran’s I value range is [−1, 1]. A value less than 0 indicates a negative spatial correlation, greater than 0 indicates a positive spatial correlation, and equal to 0 signifies no correlation. The is typically characterized by the local Moran index, and LISA distribution maps are generated based on the Z-test.
4. Results and Analysis
4.1. Landscape Pattern Analysis Based on Scale Effects
4.1.1. Optimal Granularity and Magnitude Determination
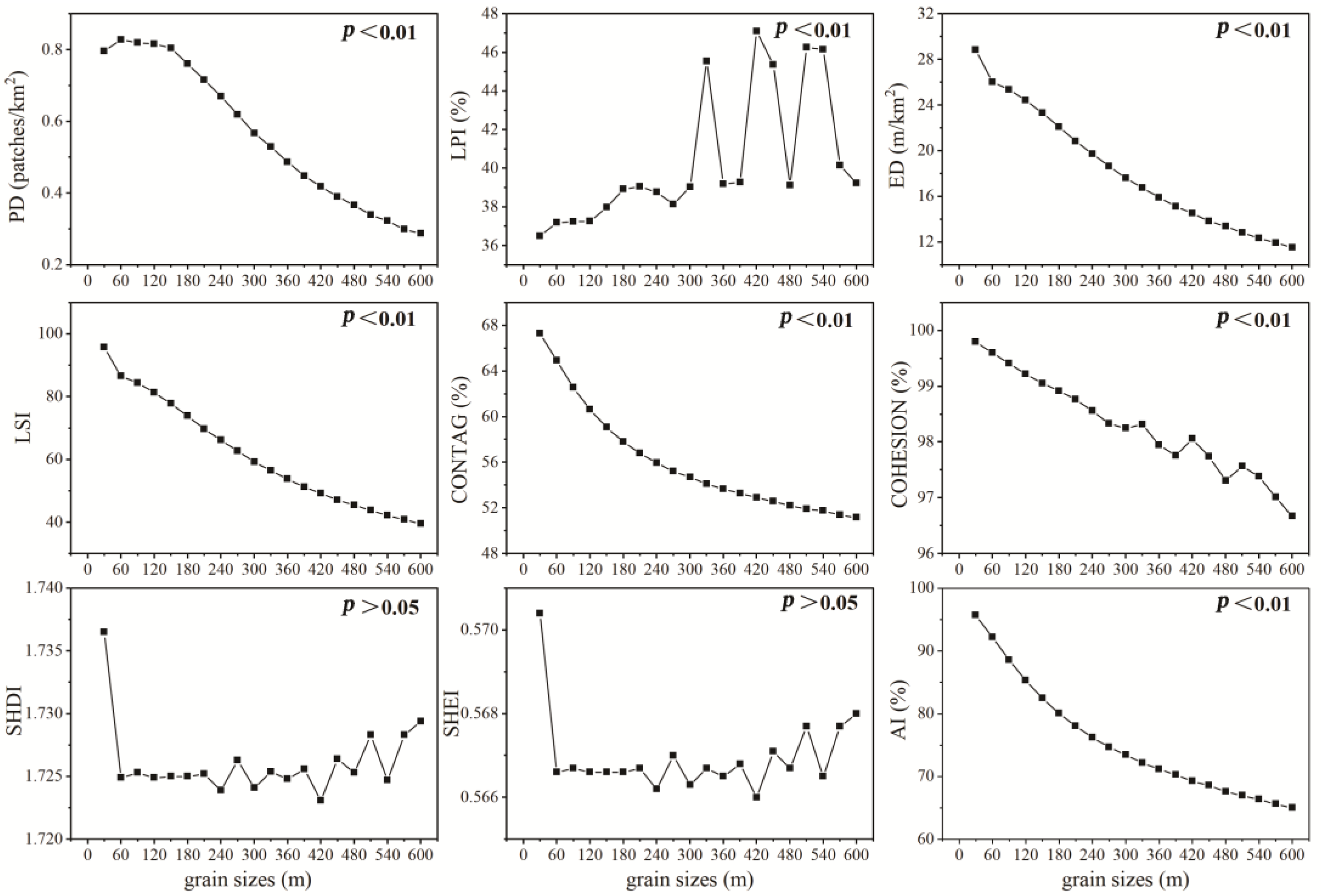
In this study, nine landscape metrics indices were selected at the landscape level, and their values at different grain sizes were calculated using Fragstats 4.3 software. Linear regression analysis was used to assess the significance of trends in landscape metrics as grain size varied. Specifically, p-values less than 0.01 indicate high significance, p-values less than 0.05 indicate significance, and p-values greater than 0.05 indicate non-significance. The response curves and significance analysis results for each landscape metric are shown in Figure 4.

Figure 4.
Response curves of landscape indices at different grain sizes.
Figure 4 shows that the p-values for PD, LSI, ED, CONTAG, COHESION, and AI are all below 0.01, indicating a significant decreasing trend for these landscape metrics at different grain sizes, which reflects a scale dependency on grain size. In contrast, the p-values for SHDI and SHEI are above the 0.05 significance level, suggesting no significant variation across grain sizes for these indices. Additionally, the nine indices exhibit four types of response curves. The response curves for CONTAG and AI display a concave shape, with an overall decreasing trend and rapid changes within the 30–240 m range, followed by a leveling off beyond 240 m. The response curve for PD shows a concave–convex pattern, where the index initially increases slowly (30–150 m) and then declines rapidly within the 150–300 m range. ED and LSI have linear response curves, showing a steady decreasing trend with no distinct inflection points. The response curves for LPI, COHESION, SHDI, and SHEI are more variable, especially at grain sizes above 300 m, where LPI and COHESION exhibit increased fluctuation. Although SHDI and SHEI also show some fluctuation above 240 m, their trends are not significant, so inflection points are not considered for these indices. Based on a comprehensive analysis of key inflection points and abrupt changes in landscape pattern index response curves, the optimal grain size range for landscape pattern analysis is determined to be 240–300 m.
Based on the calculation results of the landscape area loss index at different grain sizes in the study area (Figure 5), the index fluctuates as grain size increases. When the grain size is less than 60 m, the landscape area loss index increases rapidly, indicating a greater impact of grain size change on landscape area loss in this range. Within the 60–300 m range, the index shows slight fluctuations and an overall decreasing trend, reaching a low value at 300 m. This suggests that in this range, changes in grain size have a relatively smaller impact on landscape area loss, allowing for more accurate landscape pattern representation. When the grain size exceeds 300 m, fluctuations in the landscape area loss index increase, indicating a stronger influence of grain size changes in landscape area loss. Specifically, the area loss at 330 m is greater than that at 300 m. Based on the results of grain size effect analysis and information loss assessment, 300 m is selected as the optimal grain size for spatial analysis of landscape patterns in the study area.

Figure 5.
Loss of precision of landscape area at different grain sizes.
To determine the optimal spatial extent for this study, a semivariance model was constructed using GS+ 9.0 software based on nine landscape indices. The model parameters, including RSS, R2, and C/(C0 + C) ,were calculated. The fitting results for the nine landscape indices at different spatial extents are presented in Table S1 (refer to Supplementary Materials). Based on the fitting results, it was found that spatial extents of 2 km or 3 km provided higher explanatory power and better fitting performance for the landscape indices. The R2 value at the 2 km extent was very high, indicating an excellent model fit. Although some C/(C0 + C) values were slightly lower, the overall explanatory power of the model for the landscape pattern indices remained strong, and the low RSS value indicated minimal model residuals. Similarly, at the 3 km extent, the R2 values were also very high, and the C/(C0 + C) values were generally higher, with a low RSS value, indicating a good overall model performance. In contrast, although the 1 km extent showed good R2 values, some of the lower C/(C0 + C) values reduced the model’s ability to explain the landscape indices. Although the R2 value at the 4 km extent was relatively high, the C/(C0 + C) values for some indices were low, resulting in insufficient explanatory power of the model for the landscape indices. At the 5 km extent, some indices (e.g., NP) showed extremely high RSS values, leading to poor model fit. Considering all indices comprehensively, and to retain more spatial detail, this study determined that the 2 km extent is the optimal scale for analyzing the landscape patterns in the study area.
4.1.2. Spatiotemporal Characteristics of Landscape Patterns
To avoid redundant information among different landscape pattern indices in describing the same landscape characteristics, this study performed a Pearson correlation analysis using the 2020 landscape pattern indices. Based on the results, five indices were selected for further analysis: PD, ED, LSI, SHEI, and CONTAG. PD represents patch density, ED represents edge density, LSI reflects the complexity of patch shapes, SHEI indicates the evenness of patch distribution, and CONTAG measures the degree of aggregation and connectivity of patches. From the perspective of spatial distribution (Figure 6), the landscape pattern in the HTRNP region shows no significant spatial differentiation, whereas the surrounding areas of HTRNP exhibit distinct spatial differentiation in landscape patterns. PD, ED, LSI, and SHEI generally show an increasing trend from the HTRNP region toward the surrounding towns and coastal areas. In particular, areas near towns, coastal regions, and major transportation routes, such as Wanning, Lingshui, Ledong, and Dongfang, exhibit a higher degree of landscape fragmentation, enhanced edge effects, and increased landscape complexity. In contrast, CONTAG shows a concentrated distribution pattern in Qiongzhong, Wuzhishan, and Baoting, while other cities and counties display a more dispersed distribution pattern.

Figure 6.
Spatial distribution of the research area landscape pattern.
From the perspective of temporal sequence (Figure 7), the overall landscape quality of HTRNP has been superior to that of the surrounding areas over the past 40 years. Changes in PD, ED, LSI, SHEI, and CONTAG in HTRNP and its surrounding regions were concentrated during the period from 2010 to 2020, although the overall landscape pattern of the national park remained relatively stable. PD, ED, and LSI in HTRNP showed a trend of “relatively stable (1980–2010)—slow rise (2010–2020)”, indicating a slight increase in landscape fragmentation. However, as these values remained generally low, the landscape of HTRNP still maintained good overall integrity and connectivity. SHEI showed a slight increase during the period from 2010 to 2020, though the change was minimal, indicating that the dominant landscape patch types remained prominent and landscape evenness was well-maintained. The CONTAG value was relatively high and displayed an increasing trend, reflecting enhanced connectivity of the dominant landscape in HTRNP and stronger spatial aggregation. The ecological protection measures implemented in HTRNP have effectively limited the impact of human activities to some extent, maintaining a high level of ecosystem integrity, and the landscape structure has not been significantly disrupted. In contrast, the surrounding areas of HTRNP showed a trend of “slow increase (1980–2010)—rapid rise (2010–2020)” in PD, ED, and LSI, with relatively high values. This indicates that with intensified development and land use changes, landscape fragmentation has increased, patch shapes have become more complex, and edge effects are more pronounced. SHEI showed an upward trend from 2010 to 2020, suggesting an absence of dominant patch types and an even distribution of various patch types across the landscape in areas surrounding HTRNP. Meanwhile, the downward trend in CONTAG reflects reduced landscape connectivity and increased patch dispersion. These changes indicate certain challenges to ecological stability and sustainability in the areas surrounding HTRNP.

Figure 7.
The time variation of landscape pattern indices (a–e) in the research area. This boxplot illustrates the temporal changes in PD, ED, LSI, SHEI, and CONTAG from 1980 to 2020, showing the median, interquartile range (IQR), and mean values.
4.2. Habitat Quality Analysis Based on the InVEST Model
4.2.1. Spatiotemporal Distribution of Habitat Quality
From the perspective of spatial distribution (Figure 8), from 1980 to 2020, the overall HQ in the study area showed a decreasing gradient from the HTRNP at the center to the surrounding rural, urban, and coastal areas. Excellent-quality areas were mainly concentrated within the HTRNP region, while the surrounding cities and counties exhibited varying HQ characteristics. The HQ in Wuzhishan, Qiongzhong, Baisha, and Baoting regions displayed a woven pattern, with excellent and moderate-quality areas intertwined, and the central counties adjacent to HTRNP maintained relatively high HQ levels. In contrast, Wanning, Lingshui, Ledong, Dongfang, and Changjiang showed a belt-like distribution of poor and moderate-quality areas. Coastal counties in the eastern and southwestern parts had more poor-quality areas and generally lower HQ levels. Overall, HTRNP’s HQ is significantly higher than that of the surrounding areas, demonstrating greater stability and better ecological conditions.

Figure 8.
Spatial distribution of habitat quality in the research area.
From the perspective of temporal sequence, HQ in HTRNP exhibited a trend of “relatively stable (1980–2000)—rapid increase (2000–2010)—gradual decline (2010–2020)”. The proportion of the Excellent HQ area was the largest (>97%), while the Poor category was minimal (Table 3), indicating an overall high HQ in HTRNP. Between 1980 and 2020, the Excellent HQ area and Poor area increased by 0.62% and 0.01%, respectively, while the Moderate and Good areas decreased by 0.41% and 0.22%. Notably, from 2000 to 2010, the Excellent HQ area showed the largest increase (0.74%), followed by a 0.49% decrease in the Moderate category, possibly due to the “Grain for Green” policy. From 2010 to 2020, the proportion of Excellent HQ areas decreased, while Moderate areas increased, suggesting increasing environmental pressures on HTRNP in the past decade.

Table 3.
Habitat Quality Area Percentages and Area Changes in HTRNP.
The HQ in areas surrounding HTRNP followed a trend of “relatively stable (1980–2000)—gradual increase (2000–2010)—rapid decline (2010–2020)”. The proportion of the Excellent HQ area was the largest (>69%), while Poor and Good HQ areas were relatively small (Table 4), indicating that HQ in the surrounding areas was notably lower than within HTRNP. From 1980 to 2020, the areas classified as Good and Poor HQ increased by 0.5% and 0.95%, respectively, while Moderate and Excellent HQ areas decreased by 1.23% and 0.21%. Additionally, from 2000 to 2010, the proportion of Moderate HQ decreased, while Excellent HQ increased. Between 2010 and 2020, changes across HQ levels were more pronounced, with Poor HQ showing the largest increase of 0.99% and Excellent HQ declining by 0.96%, indicating a significant decrease in HQ in the surrounding areas of HTRNP during this period.

Table 4.
Habitat Quality Area Percentages and Area Changes in the Surrounding Areas of HTRNP.
4.2.2. Characteristics of Habitat Quality Change
To visualize the spatial trends and intensity of HQ changes in HTRNP and its surrounding areas from 1980 to 2020, this study employed Sen’s slope and coefficient of variation (CV) intensity analysis on five HQ periods (1980, 1990, 2000, 2010, and 2020) using multidimensional datasets in ArcGIS Pro 3.1.0. A positive Sen’s slope indicates an increasing trend, while a negative value indicates a decreasing trend. A larger CV value reflects greater intensity in HQ changes. As shown in Figure 9, the overall HQ in HTRNP and its surrounding areas exhibited a relatively stable trend with low variation coefficients, although significant spatial differences were observed in specific regions. The HQ in the core area of HTRNP remained stable, while certain edge areas experienced more intense and significantly increasing HQ changes. For instance, the important water source conservation forest in the western part of HTRNP near the Daguangba Hydropower Station (Figure 9(A1,B1)) and the mountainous area northwest of Wuzhishan Shuiman Township Skylight Zone (Figure 9(A2,B2)) showed marked changes.

Figure 9.
Spatial distribution of habitat quality in the research area. ((A) trend of habitat quality changes, (B) intensity of habitat quality changes).
In the surrounding coastal urban areas, HQ exhibited more pronounced trends and intensities, particularly in parts of Lingshui, Wanning, Ledong, and Dongfang. For example, significant increases in HQ were observed in the Yinggehai Salt Flats of western Ledong (Figure 9(a1,b1)), Gaopoling Reservoir in Dongfang (Figure 9(a2,b2)), the large-scale industrial zone at Shilu Iron Mine in northern Changjiang (Figure 9(a3,b3)), and Longgun Town in eastern Wanning (Figure 9(a4,b4)). In contrast, HQ showed a significant declining trend in the Qingshui Bay coastal zone of southeastern Lingshui (Figure 9(a5,b5)), the main urban area and highway-dense regions of Wanning (Figure 9(a6,b6)), as well as the coastal zone around Yinggehai Salt Flats in western Ledong (Figure 9(a1,b1)) and the urban area of Dongfang (Figure 9(a2,b2)).
4.3. Spatial Analysis of Landscape Structure and Habitat Quality Clustering
4.3.1. Global Spatial Autocorrelation Analysis
The global spatial autocorrelation is assessed by constructing a spatial lag model, which calculates whether there is a clustering effect between the attribute values of a dependent variable in one unit and the attribute values of an independent variable in neighboring spatial units, thereby determining the spatial correlation between the two variables. As shown in Table 5, 1980–2020, significant correlations were observed between the landscape pattern indices (PD, ED, LSI, SHEI, and CONTAG) and the HQ index in HTRNP and its surrounding areas. Specifically, Moran’s I for CONTAG and HQ is positive, indicating a positive correlation between CONTAG and HQ. In contrast, the Moran’s I values for PD and HQ, ED and HQ, LSI and HQ, and SHEI and HQ are negative, indicating a negative correlation between PD, ED, LSI, SHEI, and HQ.

Table 5.
Moran’s I for habitat quality index and landscape patterns.
4.3.2. Local Spatial Autocorrelation Analysis
To visualize the spatial clustering range, this study analyzed the local spatial autocorrelation between landscape patterns and HQ for the years 1980, 1990, 2000, 2010, and 2020 and generated LISA cluster maps. As shown in Figure 10, the H-H type indicates clustering of high landscape pattern index values with high HQ values, while the L-L type indicates clustering of low landscape pattern index values with low HQ values. The L-H type represents the clustering of low landscape pattern index values with high HQ values, and the H-L type represents the clustering of high landscape pattern index values with low HQ values. In the period 1980–2020, the landscape pattern indices (PD, ED, LSI, SHEI, and CONTAG) and HQ in HTRNP and its surrounding areas displayed significant spatial clustering characteristics. For CONTAG and HQ, the main clustering types were H-H and L-L. The H-H regions were mainly distributed in HTRNP and the southeastern part of Qiongzhong County, while the L-L regions were primarily located in the western and eastern coastal cities. The LISA maps for PD and HQ, ED and HQ, LSI and HQ, and SHEI and HQ showed similar patterns, with L-H clustering in the southeastern part of HTRNP and Qiongzhong County, and H-L clustering mainly in the western and eastern coastal urban centers.

Figure 10.
LISA maps of landscape patterns and habitat quality in the research area.
5. Discussion
5.1. The Impact of Scale Effects on Landscape Pattern Indices
Landscape pattern indices aid in understanding the intrinsic relationships between landscape patterns and ecological processes []. Determining the optimal scale is crucial for accurately capturing the spatiotemporal characteristics of landscape pattern changes, providing a solid foundation for ecological protection and regional planning. This study employs a regional information loss evaluation model and a semivariance function to determine the optimal scale. These methods have been widely validated in Fujian, Guizhou, and Nanning [,,], demonstrating their applicability and reliability across diverse ecological environments. The study found that the optimal grain size and extent for HTRNP and its surrounding areas are 300 m and 2 × 2 km, respectively. The proposed optimal scale effectively reduces errors associated with scale dependency and addresses limitations in previous studies of HTRNP and its surrounding areas. This approach enables a more accurate understanding of the landscape structure and ecological processes in the study area.
5.2. Spatiotemporal Characteristics of Landscape Pattern and Habitat Quality
With the ongoing development of human activities, agricultural expansion, and tourism, the ecological carrying capacity of areas surrounding national parks is under increasing pressure, and the biodiversity within the parks may be affected by the external landscape environment [,]. This study shows that from 1980 to 2020, the landscape pattern of HTRNP remained stable, with the overall landscape quality superior to that of the surrounding areas. The “Grain for Green” policy implemented since 1999 significantly influenced the landscape types within the HTRNP, particularly during the 2000–2010 period, contributing to improvements in landscape patterns. However, since 2010, with the development of the Hainan International Tourism Island and the establishment of the Hainan Free Trade Zone in 2018, intensified infrastructure construction and rapid tourism growth have led to the expansion of built-up land and increased population density [], resulting in significant changes to urban landscape patterns. In particular, the eastern coastal region has shown increasing landscape fragmentation, consistent with previous research findings [,,]. From 1980 to 2020, the HQ in HTRNP and its surrounding areas was relatively good but showed an overall declining trend. The HQ in HTRNP remained high and stable, attributed to the region’s abundant forest resources and the establishment of ecological reserves with minimal human disturbance []. In contrast, low-HQ areas in surrounding coastal urban centers increased significantly with urban expansion, which was closely related to land use types and human activities []. After the implementation of the Hainan International Tourism Island policy in 2010, the number of tourists received on Hainan Island increased by 187.7% in 2020 compared to 2010 []. The eastern coastal region, which previously had high HQ, was gradually replaced by non-eco-friendly habitats such as real estate and tourism development projects []. In addition, the area along the Hainan Middle-Line Expressway (G9811), which traverses the HTRNP, exhibits high PD and low CONTAG, indicating significant landscape fragmentation and increased habitat segmentation. This reflects the growing impact of road density on landscape patterns and HQ [], which may also weaken the spatial continuity of critical ecosystem services. With the full operation of the Hainan Island Ring Tourism Highway and the ongoing construction of another ring-road tourism highway connecting to the HTRNP, these developments have accelerated the growth of integrated tourism. However, they may also impose ecological pressure on the surrounding areas of the HTRNP. Therefore, it is imperative to expedite the establishment of a conservation and development belt around the national park, as well as ecological corridors in the surrounding regions of the HTRNP, which are crucial for maintaining regional ecosystem sustainability. Furthermore, it may also lead to reduced spatial continuity of critical ecosystem services. With the full opening of the Hainan Island Ring Tourism Highway, another ring-road tourism highway connecting to the HTRNP is under construction. While these highways have accelerated the development of integrated tourism across the island, they may also impose ecological pressure on the surrounding areas of the HTRNP. Therefore, accelerating the establishment of a conservation and development belt around the national park and ecological corridors in the surrounding regions of the HTRNP is of critical importance.
5.3. Correlation Characteristics of Landscape Patterns and Habitat Quality
The spatial correlation between landscape patterns and HQ in the HTRNP and its surrounding areas has gradually strengthened. This finding aligns with studies focusing on natural landscape reserves [,] but contrasts with results from highly urbanized regions []. The HTRNP and the southeastern region of the Qiongzhong County exhibit clustering characteristics of low PD, low ED, low LSI, low SHEI, high CONTAG, and high HQ. These patterns are largely attributed to the region’s high forest cover, favorable natural conditions, and the unique mountainous environment that limits human activities []. As a result, the area maintains high landscape connectivity and HQ, underscoring its significant ecological conservation value. In contrast, regions such as Clearwater Bay in Lingshui, the urban center of Wanning, and areas with dense highway networks show clustering patterns of high PD, high ED, high LSI, low CONTAG, and low HQ. These characteristics are mainly due to concentrated urban development and intensified infrastructure construction, which have led to increased landscape fragmentation and a significant decline in HQ. Additionally, industrial zones on the edges of the HTRNP have seen reduced landscape fragmentation and improved HQ due to a series of ecological restoration measures. Meanwhile, rural settlements surrounding the HTRNP have experienced slight declines in HQ as human activities have intensified. However, the high baseline habitat quality in these rural areas has mitigated the extent of HQ reduction, resulting in no significant clustering patterns.
5.4. Planning Optimization Suggestions
Based on the spatial clustering characteristics of landscape patterns and HQ, this study proposes optimization strategies for conservation from two perspectives: land-use planning and ecological restoration planning.
- (1)
- Land-Use Planning: It is recommended to optimize land use and industrial spatial layouts around the HTRNP, promoting the transformation and upgrading of the tourism industry [,]. Efforts should focus on gradually establishing ecological corridors around the national park and strengthening forest protection, particularly in high-HQ forest areas in central counties such as Qiongzhong and Wuzhishan. To maintain ecosystem integrity, the expansion of economic plantations such as betel nut and rubber for economic development should be avoided;
- (2)
- Ecological Restoration Planning: In areas with low HQ, such as Lingshui and Wanning, further studies and targeted restoration planning should be conducted. Priority should be given to implementing “Returning Farmland to Forest” and “Soil and Water Conservation Forest” measures. Land use should be intensified [] to prevent landscape fragmentation and habitat degradation. Additionally, completed ecological restoration projects along the HTRNP’s edges should be effectively managed to ensure the long-term maintenance of HQ. The delineation of buffer zones and peripheral protection zones around the national park should also be expedited to achieve coordinated ecological conservation goals.
6. Conclusions
This study utilized LULC data from 1980 to 2020 for the HTRNP and its surrounding areas to determine the optimal scale for landscape pattern analysis: a grain size of 300 m and an extent of 2 × 2 km. The findings revealed significant scale dependency and spatiotemporal variations in landscape patterns and HQ. Within the HTRNP, the landscape structure remained relatively stable, with consistently high HQ levels that gradually decreased outward toward surrounding areas. In contrast, coastal urban areas experienced significant landscape fragmentation and a notable decline in HQ, especially in edge zones and urban centers, driven by human activities and urbanization. Spatially, the HTRNP and southeastern Qiongzhong County exhibited high connectivity and HQ, whereas coastal urban centers showed low connectivity and HQ.
The study applied a spatial autocorrelation model to address limitations of traditional linear models in capturing spatial dependencies between landscape patterns and HQ. This approach improved analytical precision and provided robust insights for ecological conservation and spatial planning. However, uncertainties in LULC data and model assumptions limited the inclusion of factors such as climatic conditions and their interactions with other potential threats. Moreover, the analysis primarily focused on policy-driven influences, lacking a comprehensive assessment of natural and social factors.Therefore, future research should employ high-resolution remote sensing imagery to dynamically monitor LULC changes and reduce data uncertainties. Additionally, integrating regional climatic data, such as precipitation and temperature, would enable a more comprehensive assessment of climatic impacts on habitat quality. These advancements would help address the limitations of current models and enhance the understanding of landscape pattern and HQ dynamics.
Supplementary Materials
The following supporting information can be downloaded at https://www.mdpi.com/article/10.3390/f15122070/s1: Table S1: Parameters of the semivariogram for the Landscape Pattern Index at different scales.
Author Contributions
Methodology, Data processing, Software, Visualization, Writing—Original draft preparation, Q.Z.; Supervision, L.Z.; Writing—Review, Funding acquisition, H.F. All authors have read and agreed to the published version of the manuscript.
Funding
The research was funded by Hainan Institute of National Park, Hainan Provincial Philosophy and Social Science Planning Project (HNSK(ZX)24-252); Hainan Provincial Higher Education Teaching Reform Research Fund (Hnjg2024-10); Hainan University Teaching Reform Research Project (HDJ2420); and Hainan University Humanities and Social Sciences Young Scholar Support Project (24QNFC-14).
Informed Consent Statement
Informed consent was obtained from all the subjects involved in the study.
Data Availability Statement
The original contributions presented in the study are included in the article and Supplementary Materials, further inquiries can be directed to the corresponding author.
Conflicts of Interest
The authors declare no conflicts of interest.
References
- Rodrigues, A.S.L.; Andelman, S.J.; Bakarr, M.I.; Boitani, L.; Brooks, T.M.; Cowling, R.M.; Fishpool, L.D.C.; Fonseca, G.A.B.D.; Gaston, K.J.; Hoffmann, M.; et al. Effectiveness of the global protected area network in representing species diversity. Nature 2004, 428, 640–643. [Google Scholar] [CrossRef] [PubMed]
- Hannah, L.; Roehrdanz, P.R.; Marquet, P.A.; Enquist, B.J.; Midgley, G.; Foden, W.; Lovett, J.C.; Corlett, R.T.; Corcoran, D.; Butchart, S.H.M.; et al. 30% land conservation and climate action reduces tropical extinction risk by more than 50%. Ecography 2020, 43, 943–953. [Google Scholar] [CrossRef]
- Urban, C.M. Accelerating extinction risk from climate change. Science 2015, 348, 571–573. [Google Scholar] [CrossRef] [PubMed]
- Watson, J.E.M.; Dudley, N.; Segan, D.B.; Hockings, M. The performance and potential of protected areas. Nature 2014, 515, 67–73. [Google Scholar] [CrossRef] [PubMed]
- Ewers, M.R.; Rodrigues, L.A.S. Estimates of reserve effectiveness are confounded by leakage. Trends Ecol. Evol. 2008, 23, 113–116. [Google Scholar] [CrossRef]
- Gao, Y.; Peng, R.; Zhao, M.; Zhang, Y.; Zhao, Y.; Sun, D. The Community Coordinated Development Mechanism of National Park: A Case Study on Proposed Inner Mongolia Hulunbuir National Park. J. Beijing For. Univ. (Soc. Sci.) 2021, 20, 20–27. [Google Scholar] [CrossRef]
- Jakiel, M.; Kaim, D.; Ostafin, K. Long-term landscape changes in the Ojców National Park (Poland) and its surroundings: Implications for the effectiveness of buffer zones. Sustainability 2024, 16, 6649. [Google Scholar] [CrossRef]
- Zhu, H.; Liu, J. Spatial evolution of the peripheral area of nature reserve under the guidance of tourism: Taking the peripheral area of Changbai Mountain National Nature Reserve as an example. J. Nat. Resour. 2023, 38, 918–933. [Google Scholar] [CrossRef]
- Jones, K.R.; Venter, O.; Fuller, R.A.; Allan, J.R.; Maxwell, S.L.; Negret, P.J.; Watson, J.E.M. One-third of global protected land is under intense human pressure. Science 2018, 360, 788–791. [Google Scholar] [CrossRef]
- Wang, H.; Wang, L.; Liu, X.; Wei, B. Analysis of landscape pattern vulnerability in Dasi River Basin at the optimal scale. Sci. Rep. 2024, 14, 10727. [Google Scholar] [CrossRef]
- Wang, B.; Shu, X.; Liao, F.; Li, Y.; Wan, Z. Spatiotemporal of Land Use Conflicts and Multi-Scenario Simulation in Poyang Lake Area Based on Optimal Landscape Scale. Res. Soil Water Conserv. 2024, 31, 336–347. [Google Scholar] [CrossRef]
- Ma, D.; Xia, J.; Zhou, Y.; Huang, Z.; Xiao, X. Analysis of the Granularity Effect of Tea Garden Landscape Index in Different Time Series at County Scale. J. Sichuan Agric. Univ. 2021, 39, 524–531. [Google Scholar] [CrossRef]
- Yin, X. Analysis of the Scale Effect on Landscape Spatial Pattern of Rural Residential Area: Taking Xian City as an Example. Chin. J. Agric. Resour. Reg. Plan. 2016, 37, 149–154. [Google Scholar] [CrossRef]
- Zhou, H.; Liu, X.; Hu, J.; Yu, S. Analysis on Dynamic Changes of Landscape Structure in Guangxi Gulf of Tonkin Economic Zone Based on Optimum Granularity. J. Ecol. Rural Environ. 2022, 38, 545–555. [Google Scholar] [CrossRef]
- Maidina, A. Characteristics of Landscape Pattern of Land Use in Korla City Based on Moving Window Method. J. Northwest For. Univ. 2024, 39, 247–255. [Google Scholar]
- Liao, L.; Lu, B.; Cao, Y. Spatial and Temporal Dynamics and Spatial Correlation Analysis of Landscape Pattern and Habitat Quality Surrounding Wuyishan National Park. Chin. Landscape Archit. 2023, 39, 21–27. [Google Scholar] [CrossRef]
- Yang, F.; Yang, L.; Fang, Q.; Yao, X. Impact of landscape pattern on habitat quality in the Yangtze River Economic Belt from 2000 to 2030. Ecol. Indic. 2024, 166, 112480. [Google Scholar] [CrossRef]
- Liu, Z.; Wei, L.; Zhou, Y. Constructing sustainable landscape patterns for enhancing urban biodiversity. Acta Ecol. Sin. 2024, 44, 5905–5913. [Google Scholar] [CrossRef]
- Zhang, X.; Lu, L.; Zhang, X.; Li, D. Impact of Chernobyl nuclear accident on regional landscape pattern and habitat quality. Acta Ecol. Sin. 2021, 41, 1303–1313. [Google Scholar] [CrossRef]
- Duan, H.; Xu, N. Assessing Social Values for Ecosystem Services in Rural Areas Based on the SolVES Model: A Case Study from Nanjing, China. Forests 2022, 13, 1877. [Google Scholar] [CrossRef]
- Bai, L.; Xiu, C.; Feng, X.; Liu, D. Influence of urbanization on regional habitat quality: A case study of Changchun City. Habitat Int. 2019, 93, 102042. [Google Scholar] [CrossRef]
- Qin, X.; Yang, Q.; Wang, L. The evolution of habitat quality and its response to land use change in coastal China, 1985–2020. Sci. Total Environ. 2024, 952, 175930. [Google Scholar] [CrossRef] [PubMed]
- Zhang, D.; Wang, J.; Wang, Y.; Xu, L.; Zheng, L.; Zhang, B.; Bi, Y.; Yang, H. Is there a spatial relationship between urban landscape pattern and habitat quality? Implication for landscape planning of the Yellow River Basin. Int. J. Environ. Res. Public Health 2022, 19, 11974. [Google Scholar] [CrossRef] [PubMed]
- Wu, L.; Zhou, Z.; Zhang, L.; Chen, Q.; Luo, D.; Wu, T. Response of Landscape Pattern Change to Habitat Quality in Karst Area. Environ. Sci. Technol. 2023, 46, 206–217. [Google Scholar] [CrossRef]
- Li, Y.; Shen, B.; Li, J.; Li, Y.; Zhou, X.; Liu, Y. Evolution and Correlation Analysis of Habitat Quality and Landscape Pattern in Dan-Hanjiang River Basin. Environ. Sci. Technol. 2022, 45, 206–216. [Google Scholar] [CrossRef]
- Dai, L.; Li, S.; Lewis, B.J.; Wu, J.; Yu, D.; Zhou, W.; Zhou, L.; Wu, S. The influence of land use change on the spatial–temporal variability of habitat quality between 1990 and 2010 in Northeast China. J. For. Res. 2019, 30, 2227–2236. [Google Scholar] [CrossRef]
- Bian, C.; Yang, L.; Zhao, X.; Yao, X.; Xiao, L. The impact of human activity expansion on habitat quality in the Yangtze River Basin. Land 2024, 13, 908. [Google Scholar] [CrossRef]
- Fan, X.; Gu, X.; Yu, H.; Long, A.; Tiando, D.; Ou, S.; Li, J.; Rong, Y.; Tang, G.; Zheng, Y.; et al. The spatial and temporal evolution and drivers of habitat quality in the Hung River Valley. Land 2021, 10, 1369. [Google Scholar] [CrossRef]
- Abdollahi, S.; Ildoromi, A.; Salmanmahini, A.; Fakheran, S.; Kulczyk, S. Quantifying the relationship between landscape patterns and ecosystem services along the urban–rural gradient. Landscape Ecol. Eng. 2023, 19, 531–547. [Google Scholar] [CrossRef]
- Hu, C.; Wu, W.; Zhou, X.; Wang, Z. Spatiotemporal changes in landscape patterns in karst mountainous regions based on the optimal landscape scale: A case study of Guiyang City in Guizhou Province, China. Ecol. Indic. 2023, 150, 110211. [Google Scholar] [CrossRef]
- Yaermaimaiti, A.; Li, X.; Ge, X.; Liu, C. Analysis of landscape pattern and ecological risk change characteristics in Bosten Lake Basin based on optimal scale. Ecol. Indic. 2024, 163, 112120. [Google Scholar] [CrossRef]
- Chen, J.; Yang, Y.; Feng, Z.; Huang, R.; Zhou, G.; You, H.; Han, X. Ecological risk assessment and prediction based on scale optimization—A case study of Nanning, a landscape garden city in China. Remote Sens. 2023, 15, 1304. [Google Scholar] [CrossRef]
- Zhang, Z.; Cao, Y.; Zhang, L.; Chen, Z. Spatial and temporal non-stationary relationship between habitat quality and landscape pattern in Ganzhou City of China. Trans. Chin. Soc. Agric. Eng. 2024, 40, 347–356. [Google Scholar] [CrossRef]
- Wang, D.; Zhang, W.; Wang, Z.; Chen, J.; Wang, X.; Cao, Z.; Xing, T. Impact of Laxiwa Hydropower Station Construction on the Regional Landscape Pattern and Habitat Quality. J. Soil Water Conserv. 2021, 35, 200–205. [Google Scholar] [CrossRef]
- Qi, Z.; Wei, W. Analysis on the spatial-temporal evolution characteristics of ecological environment sensitivity and landscape distribution pattern of national parks: Take Shennongjia National Park as an example. J. Cent. South Univ. For. Technol. 2023, 43, 126–135,152. [Google Scholar] [CrossRef]
- Li, L.; Tang, H.; Lei, J.; Song, X. Spatial autocorrelation in land use type and ecosystem service value in Hainan Tropical Rain Forest National Park. Ecol. Indic. 2022, 137, 108727. [Google Scholar] [CrossRef]
- Han, N.; Yu, M.; Jia, P.; Zhang, Y.; Hu, K. Influence of human activity intensity on habitat quality in Hainan Tropical Rainforest National Park, China. Chin. Geogr. Sci. 2024, 34, 519–532. [Google Scholar] [CrossRef]
- Laurance, W.F.; Camargo, J.L.; Luizão, R.C.; Laurance, S.G.; Pimm, S.L.; Bruna, E.M.; Stouffer, P.C.; Williamson, G.B.; Benítez-Malvido, J.; Vasconcelos, H.L.; et al. The fate of Amazonian forest fragments: A 32-year investigation. Biol. Conserv. 2011, 144, 56–67. [Google Scholar] [CrossRef]
- Barlow, J.; Lennox, G.D.; Ferreira, J.; Berenguer, E.; Lees, A.C.; Nally, R.M.; Thomson, J.R.; Ferraz, S.F.D.B.; Louzada, J.; Oliveira, V.H.F.; et al. Anthropogenic disturbance in tropical forests can double biodiversity loss from deforestation. Nature 2016, 535, 144–147. [Google Scholar] [CrossRef]
- Du, L.; Liu, H.; Liu, W.; Wang, H.; Zhang, Y.; Quan, Z. Spatial and Temporal Variation of Water Conservation and Driving Factor Analysis in Tropical Rainforests: A Case Study of Hainan Tropical Rainforest National Park. Res. Environ. Sci. 2023, 36, 1716–1727. [Google Scholar] [CrossRef]
- Baccini, A.; Goetz, S.J.; Walker, W.S.; Laporte, N.T.; Sun, M.; Sulla-Menashe, D.; Hackler, J.; Beck, P.S.A.; Dubayah, R.; Friedl, M.A.; et al. Estimated carbon dioxide emissions from tropical deforestation improved by carbon-density maps. Nat. Clim. Change 2012, 2, 182–185. [Google Scholar] [CrossRef]
- Laurance, W.F.; Sayer, J.; Cassman, K.G. Agricultural expansion and its impacts on tropical nature. Trends Ecol. Evol. 2014, 29, 107–116. [Google Scholar] [CrossRef] [PubMed]
- Xu, J.; Chao, B.; Peng, L.; Li, Z.; Zhang, B.; Guo, F.; Bian, F.; Yu, B.; Zou, Q. Ecological Corridor Construction of Hainan Tropical Rainforest National Park. J. Southwest For. Univ. (Nat. Sci.) 2023, 43, 125–134. [Google Scholar] [CrossRef]
- Guo, H.; Cai, Y.; Li, B.; Wan, H.; Yang, Z. An improved approach for evaluating landscape ecological risks and exploring its coupling coordination with ecosystem services. J. Environ. Manag. 2023, 348, 119277. [Google Scholar] [CrossRef]
- Ai, J.; Yu, K.; Zeng, Z.; Yang, L.; Liu, Y.; Liu, J. Assessing the dynamic landscape ecological risk and its driving forces in an island city based on optimal spatial scales: Haitan Island, China. Ecol. Indic. 2022, 137, 108771. [Google Scholar] [CrossRef]
- Lin, X.; Fu, H. Optimization of tropical rainforest ecosystem management: Implications from the responses of ecosystem service values to landscape pattern changes in Hainan Tropical Rainforest National Park, China, over the past 40 years. Front. For. Glob. Change 2023, 6, 1242068. [Google Scholar] [CrossRef]
- Lei, J.; Chen, Y.; Chen, Z.; Chen, X.; Wu, T.; Li, Y. Spatiotemporal evolution of habitat quality in three basins of Hainan Island based on InVEST model. Chin. J. Appl. Ecol. 2022, 33, 2511–2520. [Google Scholar] [CrossRef]
- Zhang, X.; Wan, W.; Fan, H.; Dong, X.; Lv, T. Temporal and spatial responses of landscape patterns to habitat quality changes in the Poyang Lake Region, China. J. Nat. Conserv. 2024, 77, 126546. [Google Scholar] [CrossRef]
- Wang, G.; Chang, C.; Han, D.; Bai, T. Temporal-spatial changes of landscape pattern and habitat quality in Laotieshan Nature Reserve. Acta Ecol. Sin. 2020, 40, 1910–1922. [Google Scholar] [CrossRef]
- Chen, S.; Fu, H.; Du, Y.; Fu, G.; Chen, J. Landscape pattern changes of Hainan Tropical Rainforest National Park from 2015 to 2020. Guihaia 2023, 43, 1688–1699. [Google Scholar] [CrossRef]
- Huang, M.; Yue, W.; Feng, S.; Zhang, J. Spatial-temporal evolution of habitat quality and analysis of landscape patterns in Dabie Mountain Area of West Anhui Province based on InVEST model. Acta Ecol. Sin. 2020, 40, 2895–2906. [Google Scholar] [CrossRef]
- Ren, B.; Park, K.; Shrestha, A.; Yang, J.; McHale, M.; Bai, W.; Wang, G. Impact of human disturbances on the spatial heterogeneity of landscape fragmentation in Qilian Mountain National Park, China. Land 2022, 11, 2087. [Google Scholar] [CrossRef]
- Wei, L.; Mao, M.; Zhao, Y.; Wu, G.; Wang, H.; Li, M.; Liu, T.; Wei, Y.; Huang, S.; Huang, L.; et al. Spatio-temporal characteristics and multi-scenario simulation analysis of ecosystem service value in coastal wetland: A case study of the coastal zone of Hainan Island, China. J. Environ. Manag. 2024, 368, 122199. [Google Scholar] [CrossRef] [PubMed]
- Zou, S.; Fan, R.; Gong, J. Spatial optimization and temporal changes in the ecological network: A case study of Wanning City, China. Land 2024, 13, 122. [Google Scholar] [CrossRef]
- Yang, M.; Luo, J.; Zhu, L.; Lu, P. Impact of land use change on the spatiotemporal evolution of ecosystem services in tropical islands: A case study of Hainan Island, China. Land 2024, 13, 1244. [Google Scholar] [CrossRef]
- Lei, J.; Chen, Y.; Li, L.; Chen, Z.; Chen, X.; Wu, T.; Li, Y. Spatiotemporal change of habitat quality in Hainan Island of China based on changes in land use. Ecol. Indic. 2022, 145, 109707. [Google Scholar] [CrossRef]
- Chang, Y.; Gao, Y.; Zhen, X.; Zhang, T.; Yu, X. Spatiotemporal evolution and spatial correlation of habitat quality and landscape pattern over Beijing-Tianjin-Hebei region. China Environ. Sci. 2021, 41, 848–859. [Google Scholar]
Disclaimer/Publisher’s Note: The statements, opinions and data contained in all publications are solely those of the individual author(s) and contributor(s) and not of MDPI and/or the editor(s). MDPI and/or the editor(s) disclaim responsibility for any injury to people or property resulting from any ideas, methods, instructions or products referred to in the content. |
© 2024 by the authors. Licensee MDPI, Basel, Switzerland. This article is an open access article distributed under the terms and conditions of the Creative Commons Attribution (CC BY) license (https://creativecommons.org/licenses/by/4.0/).