Soundscapes in Urban Green Spaces of a Megacity Across an Urban–Rural Gradient: A Case Study of Shanghai
Abstract
1. Introduction
2. Materials and Methods
2.1. Study Sites
2.2. Acoustic Survey Methods
2.3. Acoustic Analysis
3. Results
3.1. Seasonal Variation Patterns of Six Acoustic Indices
3.1.1. Seasonal Patterns of Acoustic Indices in Zhongshan Park
3.1.2. Seasonal Patterns of Acoustic Indices in Jinhai Wetland Park
3.1.3. Seasonal Patterns of Acoustic Indices on Chongming Island
3.2. Diurnal Variation Patterns of Six Acoustic Indices
3.2.1. Diurnal Patterns of Acoustic Indices in Zhongshan Park
3.2.2. Diurnal Patterns of Acoustic Indices in Jinhai Wetland Park
3.2.3. Diurnal Patterns of Acoustic Indices on Chongming Island
4. Discussion
4.1. Dynamic Changes in Urban Green Space Soundscapes in Long-Term Series
4.1.1. Seasonal Variation Patterns of Urban Green Space Soundscapes
4.1.2. Daily Variation Patterns of Urban Green Space Soundscapes
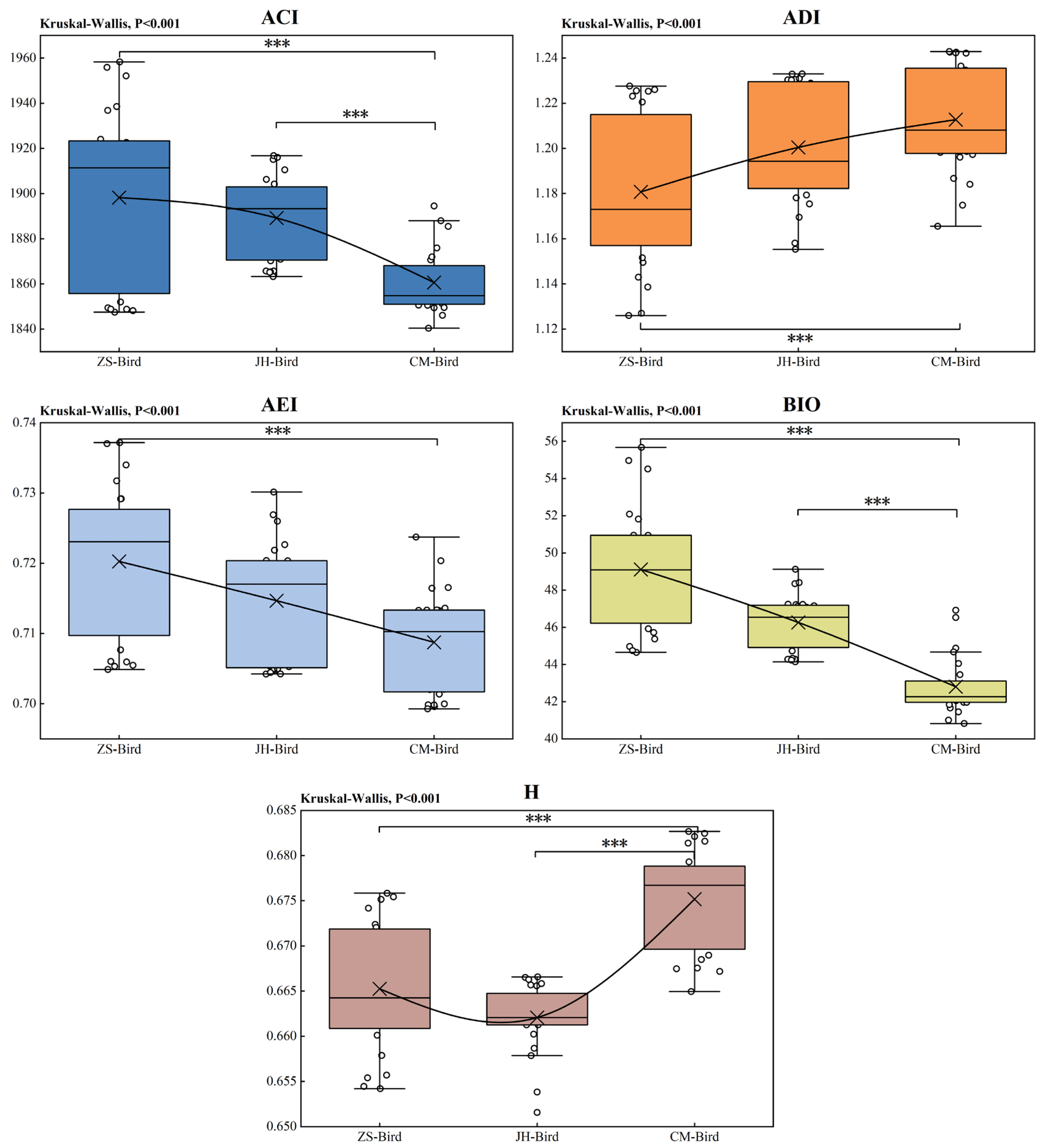
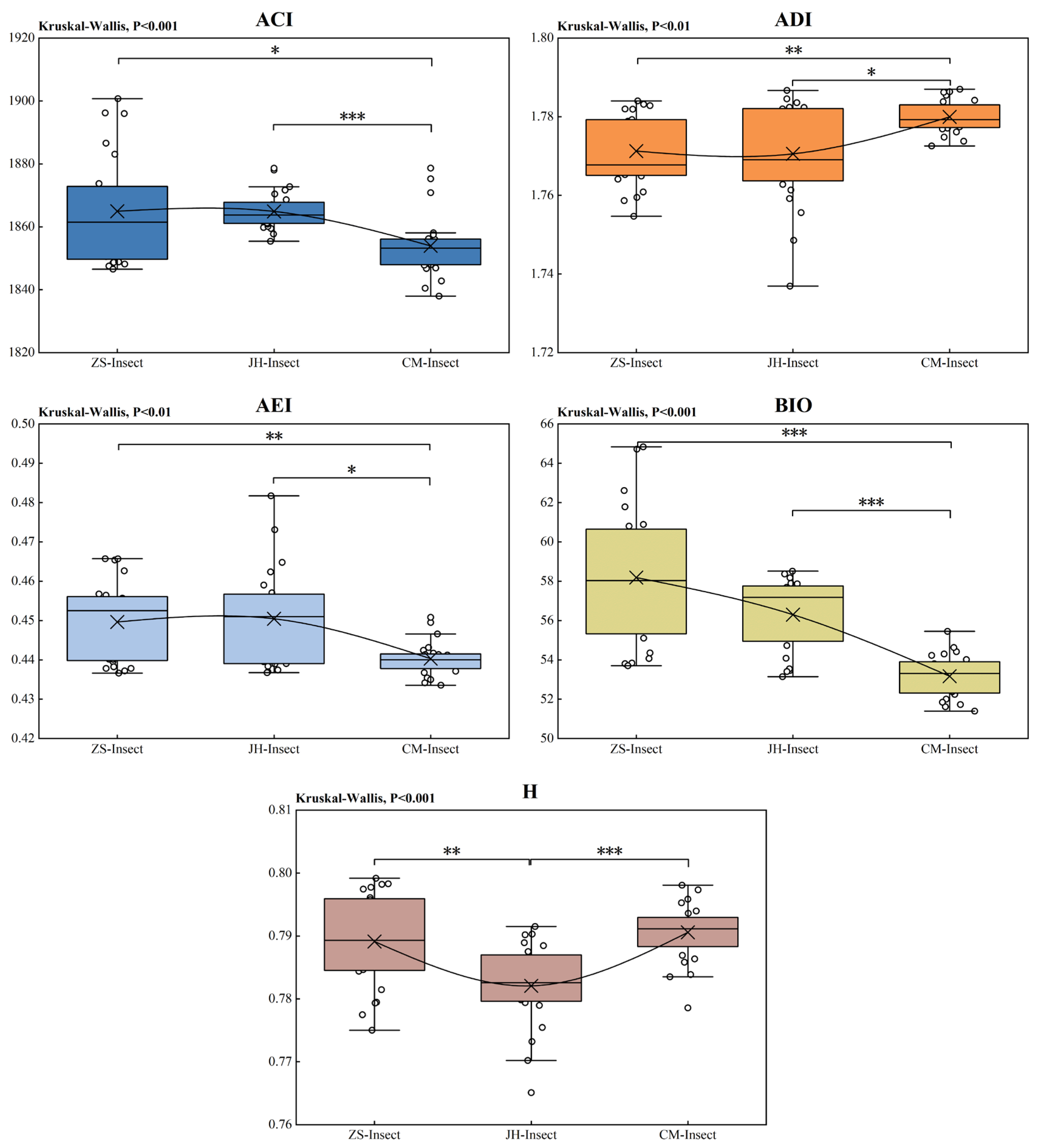
4.2. Spatial Characteristics of Urban Green Space Soundscapes Along the Urban–Rural Gradient
5. Conclusions
Author Contributions
Funding
Data Availability Statement
Conflicts of Interest
References
- Cincotta, R.P.; Wisnewski, J.; Engelman, R. Human population in the biodiversity hotspots. Nature 2000, 404, 990–992. [Google Scholar] [CrossRef]
- Hatch, L.T.; Wahle, C.M.; Gedamke, J.; Harrison, J.; Laws, B.; Moore, S.E.; Stadler, J.H.; Van Parijs, S.M. Can you hear me here? Managing acoustic habitat in US waters. Endanger. Species Res. 2016, 30, 171–186. [Google Scholar] [CrossRef]
- Bian, Q.; Wang, C.; Cheng, H.; Han, D.; Zhao, Y.; Yin, L. Exploring the application of acoustic indices in the assessment of bird diversity in urban forests. Biodivers. Sci. 2023, 31, 167–178. [Google Scholar] [CrossRef]
- Hong, X. Progress of Contemporary Urban Soundscape Researches. Landsc. Archit. 2021, 28, 65–70. [Google Scholar]
- Bian, Q.; Wang, C.; Hao, Z.-Z. Application of ecoacoustic monitoring in the field of biodiversity science. Chin. J. Appl. Ecol. 2021, 32, 1119–1128. [Google Scholar]
- Xiang, Y.; Meng, Q.; Zhang, X.; Li, M.; Yang, D.; Wu, Y. Soundscape diversity: Evaluation indices of the sound environment in urban green spaces–Effectiveness, role, and interpretation. Ecol. Indic. 2023, 154, 110725. [Google Scholar] [CrossRef]
- Pijanowski, B.C.; Farina, A.; Gage, S.H.; Dumyahn, S.L.; Krause, B.L. What is soundscape ecology? An introduction and overview of an emerging new science. Landsc. Ecol. 2011, 26, 1213–1232. [Google Scholar] [CrossRef]
- Robert, A.; Lengagne, T.; Melo, M.; Gardette, V.; Julien, S.; Covas, R.; Gomez, D.; Doutrelant, C. The theory of island biogeography and soundscapes: Species diversity and the organization of acoustic communities. J. Biogeogr. 2019, 46, 1901–1911. [Google Scholar] [CrossRef]
- Budka, M.; Skierczyńska, A.; Antczak, M.; Osiejuk, T.S. Nocturnal singing by diurnal birds in Afrotropical highlands. J. Ornithol. 2021, 162, 435–445. [Google Scholar] [CrossRef]
- Benocci, R.; Afify, A.; Potenza, A.; Roman, H.E.; Zambon, G. Self-Consistent Soundscape Ranking Index: The Case of an Urban Park. Sensors 2023, 23, 3401. [Google Scholar] [CrossRef] [PubMed]
- Benocci, R.; Roman, H.E.; Bisceglie, A.; Angelini, F.; Brambilla, G.; Zambon, G. Eco-Acoustic Assessment of an Urban Park by Statistical Analysis. Sustainability 2021, 13, 7857. [Google Scholar] [CrossRef]
- Benocci, R.; Brambilla, G.; Bisceglie, A.; Zambon, G. Eco-Acoustic Indices to Evaluate Soundscape Degradation Due to Human Intrusion. Sustainability 2020, 12, 10455. [Google Scholar] [CrossRef]
- Fairbrass, A.J.; Rennert, P.; Williams, C.; Titheridge, H.; Jones, K.E. Biases of acoustic indices measuring biodiversity in urban areas. Ecol. Indic. 2017, 83, 169–177. [Google Scholar] [CrossRef]
- Lee, C.; Park, C.R. An increase in song pitch of eastern great tits (Parus minor) in response to urban noise at Seoul, Korea. Urban Ecosyst. 2019, 22, 227–233. [Google Scholar] [CrossRef]
- Zhan, X.; Liang, D.; Lin, X.; Li, L.; Wei, C.; Dingle, C.; Liu, Y. Background noise but not urbanization level impacted song frequencies in an urban songbird in the Pearl River Delta, Southern China. Glob. Ecol. Conserv. 2021, 28, e01695. [Google Scholar] [CrossRef]
- Alcocer, I.; Lima, H.; Sugai, L.S.M.; Llusia, D. Acoustic indices as proxies for biodiversity: A meta-analysis. Biol. Rev. 2022, 97, 2209–2236. [Google Scholar] [CrossRef]
- Farina, A.; James, P. The acoustic communities: Definition, description and ecological role. Biosystems 2016, 147, 11–20. [Google Scholar] [CrossRef]
- Zhao, Y.; Shen, X.; Li, S.; Zhang, Y.; Peng, R.; Ma, K. Progress and outlook for soundscape ecology. Biodivers. Sci. 2020, 28, 806–820. [Google Scholar] [CrossRef]
- Duarte, M.H.L.; Sousa-Lima, R.S.; Young, R.J.; Vasconcelos, M.F.; Bittencourt, E.; Scarpelli, M.D.A.; Farina, A.; Pieretti, N. Changes on soundscapes reveal impacts of wildfires in the fauna of a Brazilian savanna. Sci. Total Environ. 2021, 769, 144988. [Google Scholar] [CrossRef]
- Cen, Y.; Wang, P.; Chen, Q.; Zhang, C.; Yu, S.; Hu, K.; Liu, Y.; Xiao, R. Spatiotemporal characteristics and influencing factors of animal soundscape in urban green spaces. Biodivers. Sci. 2023, 31, 43–57. [Google Scholar] [CrossRef]
- Schulte-Fortkamp, B.; Fiebig, A.; Sisneros, J.A.; Popper, A.N.; Fay, R.R. (Eds.) Soundscapes: Humans and Their Acoustic Environment; Springer: Berlin/Heidelberg, Germany, 2023; pp. 23–48. [Google Scholar]
- Alquezar, R.D.; Macedo, R.H.; Sierro, J.; Gil, D. Lack of consistent responses to aircraft noise in dawn song timing of bird populations near tropical airports. Behav. Ecol. Sociobiol. 2020, 74, 88. [Google Scholar] [CrossRef]
- Villanueva-Rivera, L.J.; Pijanowski, B.C.; Doucette, J.; Pekin, B. A primer of acoustic analysis for landscape ecologists. Landsc. Ecol. 2011, 26, 1233–1246. [Google Scholar] [CrossRef]
- Yong, D.L.; Jain, A.; Liu, Y.; Iqbal, M.; Choi, C.Y.; Crockford, N.J.; Millington, S.; Provencher, J. Challenges and opportunities for transboundary conservation of migratory birds in the East Asian-Australasian flyway. Conserv. Biol. 2018, 32, 740–743. [Google Scholar] [CrossRef]
- Wang, S.Z.; Sun, Y.F.; Li, Z.Z.; Shu, Y.; Feng, J.W.; Wang, T.M. Effects of bird migration on the temporal patterns of the wetland soundscape in the downstream region of the Tumen River Basin of China. Biodivers. Sci. 2023, 31, 87–100. [Google Scholar] [CrossRef]
- Zhao, Y.L.; Bai, Z.T.; Wang, C.; Yin, L.Q.; Sun, Z.K.; Zhang, C.; Sun, R.L.; Xu, S.; Bian, Q.; Sun, B.Q. Urban parks soundscape and its relationship with vegetation structure: A pilot study. Acta Ecol. Sin. 2021, 41, 8040–8051. [Google Scholar]
- Pieretti, N.; Farina, A.; Morri, D. A new methodology to infer the singing activity of an avian community: The Acoustic Complexity Index (ACI). Ecol. Indic. 2011, 11, 868–873. [Google Scholar] [CrossRef]
- Boelman, N.T.; Asner, G.P.; Hart, P.J.; Martin, R.E. Multi-trophic invasion resistance in Hawaii: Bioacoustics, field surveys, and airborne remote sensing. Ecol. Appl. 2007, 17, 2137–2144. [Google Scholar] [CrossRef]
- Sueur, J.; Pavoine, S.; Hamerlynck, O.; Duvail, S. Rapid Acoustic Survey for Biodiversity Appraisal. PLoS ONE 2008, 3, e4065. [Google Scholar] [CrossRef]
- Kasten, E.P.; Gage, S.H.; Fox, J.; Joo, W. The remote environmental assessment laboratory’s acoustic library: An archive for studying soundscape ecology. Ecol. Inform. 2012, 12, 50–67. [Google Scholar] [CrossRef]
- Sueur, J. Sound Analysis and Synthesis with R; Springer International Publishing: Cham, Switzerland, 2018. [Google Scholar]
- Sueur, J.; Aubin, T.; Simonis, C. Seewave, a free modular tool for sound analysis and synthesis. Bioacoustics 2008, 18, 213–226. [Google Scholar] [CrossRef]
- Lendrem, D. Sleeping and vigilance in birds. I. Field observations of the mallard (Anas platyrhynchos). Anim. Behav. 1983, 31, 532–538. [Google Scholar] [CrossRef]
- Heinrich, B. The thermal warriors: Strategies of insect survival. Ecology 1996, 78, 123–137. [Google Scholar]
- Autieri, C. Absence of female partners can explain the dawn chorus of birds. Nature 2024, 626, 482–483. [Google Scholar] [CrossRef] [PubMed]






















| Zhongshan Park | Jinhai Wetland Park | Chongming Island Ecological Forest | |
|---|---|---|---|
| Recording device height | At a height of 3 m above ground level | 1.5 m, 4 m, 8 m, and 14 m. | 1.5 m, 10 m, 16 m, and 22 m |
| Coordinate | Longitude: 121°41′ E latitude: 31°22′ N | Longitude: 121°64′ E latitude: 31°25′ N. | Longitude: 121°35′ E latitude: 31°70′ N. |
| Trees’ stand age | Approximately 40 years | Approximately 15 years | Approximately 24 years |
| Canopy density | 0.7–0.8 | 0.6–0.9 | 0.7–1.0 |
| Average tree height | 7.2 m | 6.9 m | 13 m |
| Average DBH | 10.8 cm | 8.2 cm | 16.4 cm |
| Stand density | 695 stems/hm2 | 835 stems/hm2 | 2141 stems/hm2 |
Disclaimer/Publisher’s Note: The statements, opinions and data contained in all publications are solely those of the individual author(s) and contributor(s) and not of MDPI and/or the editor(s). MDPI and/or the editor(s) disclaim responsibility for any injury to people or property resulting from any ideas, methods, instructions or products referred to in the content. |
© 2024 by the authors. Licensee MDPI, Basel, Switzerland. This article is an open access article distributed under the terms and conditions of the Creative Commons Attribution (CC BY) license (https://creativecommons.org/licenses/by/4.0/).
Share and Cite
Liu, L.; Yang, X.; Yan, J.; Zhang, W.; Ke, Y.; Zhang, T.; Yin, S. Soundscapes in Urban Green Spaces of a Megacity Across an Urban–Rural Gradient: A Case Study of Shanghai. Forests 2024, 15, 1868. https://doi.org/10.3390/f15111868
Liu L, Yang X, Yan J, Zhang W, Ke Y, Zhang T, Yin S. Soundscapes in Urban Green Spaces of a Megacity Across an Urban–Rural Gradient: A Case Study of Shanghai. Forests. 2024; 15(11):1868. https://doi.org/10.3390/f15111868
Chicago/Turabian StyleLiu, Lu, Xiao Yang, Jingli Yan, Wenwen Zhang, Yunzheng Ke, Tong Zhang, and Shan Yin. 2024. "Soundscapes in Urban Green Spaces of a Megacity Across an Urban–Rural Gradient: A Case Study of Shanghai" Forests 15, no. 11: 1868. https://doi.org/10.3390/f15111868
APA StyleLiu, L., Yang, X., Yan, J., Zhang, W., Ke, Y., Zhang, T., & Yin, S. (2024). Soundscapes in Urban Green Spaces of a Megacity Across an Urban–Rural Gradient: A Case Study of Shanghai. Forests, 15(11), 1868. https://doi.org/10.3390/f15111868

