Development of Polymorphic Index Model for Assessing Subtropical Secondary Natural Oak Forest Site Quality Under Complex Site and Climate Variables
Abstract
1. Introduction
2. Materials and Methods
2.1. Study Sites and Data
2.2. Factors Affecting Stand Dominant Height
2.3. Base Model Selection
2.4. Nonlinear Mixed-Effects Models
2.5. The Hierarchical Clustering Algorithm
2.6. Model Evaluation
3. Results
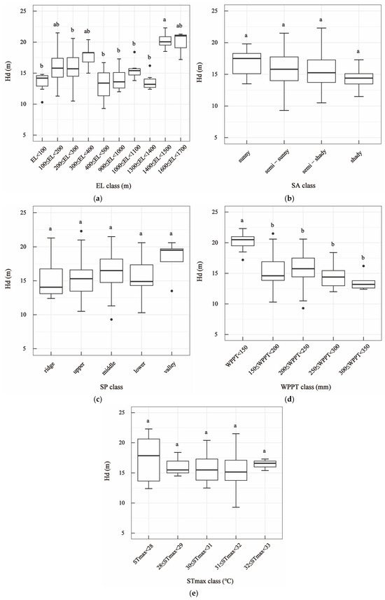
3.1. Factors Affecting Growth and Growth Responses
3.2. Simulation and Selection of Base Models
3.3. Mixed Models with Different Site Types and Climate Types and Their Interaction Type’s Effects
3.4. Mixed Model Simulation for Random-Effects Clustering
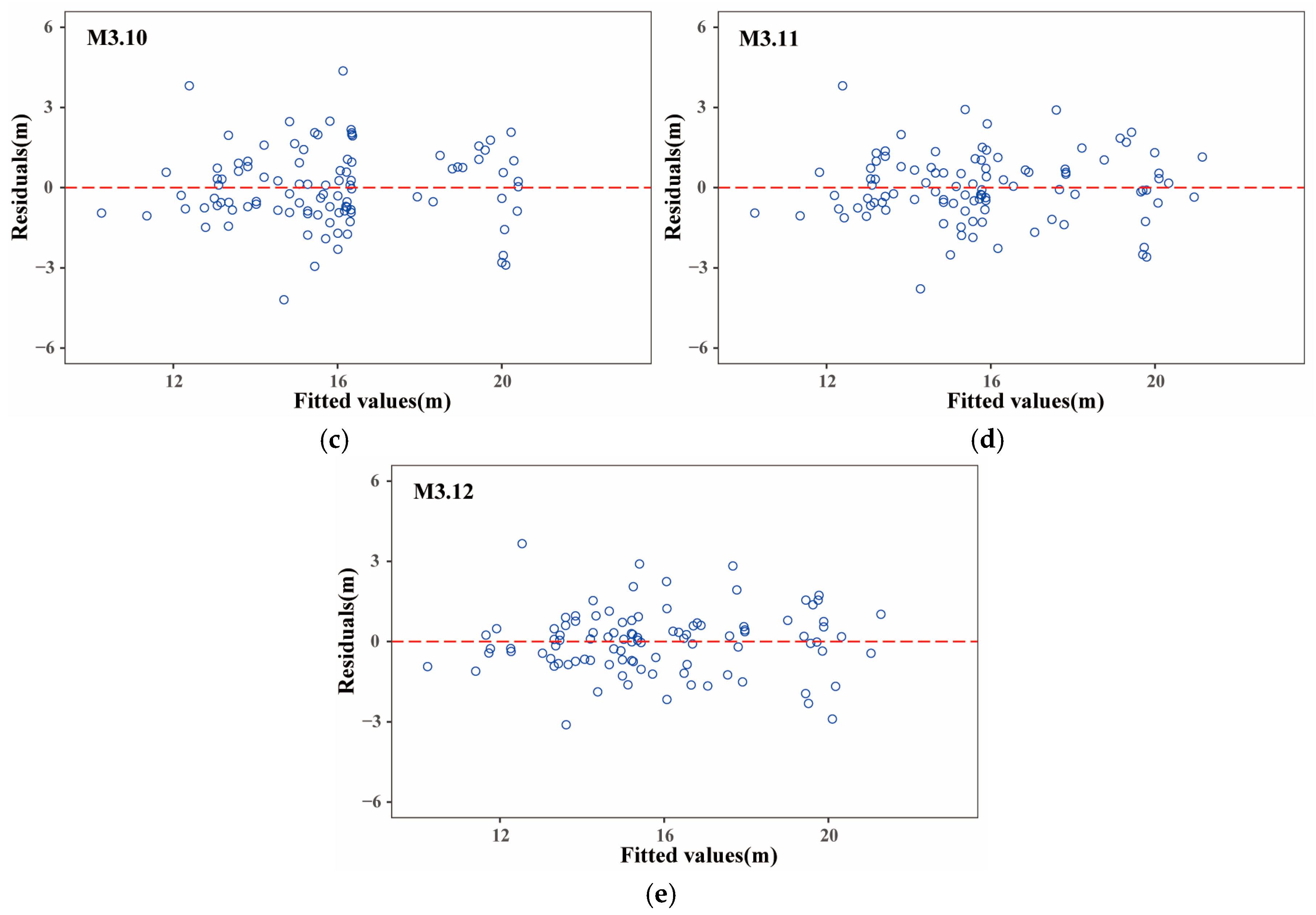
3.5. Model Evaluation for Predictive Performance
4. Discussion
4.1. Main Environmental Factors Affecting Site Index
4.2. Performance of Site Index Models
5. Conclusions
Author Contributions
Funding
Data Availability Statement
Conflicts of Interest
References
- Skovsgaard, J.P.; Vanclay, J.K. Forest Site Productivity: A Review of the Evolution of Dendrometric Concepts for Even-Aged Stands. Forestry 2008, 81, 13–31. [Google Scholar] [CrossRef]
- Skovsgaard, J.P.; Vanclay, J.K. Forest Site Productivity: A Review of Spatial and Temporal Variability in Natural Site Conditions. Forestry 2013, 86, 305–315. [Google Scholar] [CrossRef]
- Bontemps, J.-D.; Bouriaud, O. Predictive Approaches to Forest Site Productivity: Recent Trends, Challenges and Future Perspectives. Forestry 2014, 87, 109–128. [Google Scholar] [CrossRef]
- Yan, X.; Feng, L.; Sharma, R.P.; Duan, G.; Pang, L.; Fu, L.; Guo, J. Evaluating Forest Site Quality Using the Biomass Potential Productivity Approach. Forests 2023, 15, 23. [Google Scholar] [CrossRef]
- Koirala, A.; Montes, C.R.; Bullock, B.P. Modeling Dominant Height Using Stand and Water Balance Variables for Loblolly Pine in the Western Gulf, US. For. Ecol. Manag. 2021, 479, 118610. [Google Scholar] [CrossRef]
- Liang, R.; Sun, Y.; Qiu, S.; Wang, B.; Xie, Y. Relative Effects of Climate, Stand Environment and Tree Characteristics on Annual Tree Growth in Subtropical Cunninghamia lanceolata Forests. Agric. For. Meteorol. 2023, 342, 109711. [Google Scholar] [CrossRef]
- Sharma, M. Modeling Climate Effects on Site Productivity of Plantation Grown Jack Pine, Black Spruce, Red Pine, and White Spruce Using Annual/Seasonal Climate Values. Forests 2022, 13, 1600. [Google Scholar] [CrossRef]
- Kasper, J.; Leuschner, C.; Walentowski, H.; Petritan, A.M.; Weigel, R. Winners and Losers of Climate Warming: Declining Growth in Fagus and Tilia vs. Stable Growth in Three Quercus Species in the Natural Beech–Oak Forest Ecotone (Western Romania). For. Ecol. Manag. 2022, 506, 119892. [Google Scholar] [CrossRef]
- Rayner, M.E. Site Index and Dominant Height Growth Curves for Regrowth Karri (Eucalyptus diversicolor F. Muell.) in South-Western Australia. For. Ecol. Manag. 1991, 44, 261–283. [Google Scholar] [CrossRef]
- Cicșa, A.; Tudoran, G.-M.; Boroeanu, M.; Dobre, A.-C.; Spârchez, G. Estimation of the Productivity Potential of Mountain Sites (Mixed Beech-Coniferous Stands) in the Romanian Carpathians. Forests 2021, 12, 549. [Google Scholar] [CrossRef]
- Afif-Khouri, E.; Alvarez-Alvarez, P.; Fernandez-Lopez, M.J.; Oliveira-Prendes, J.A.; Camara-Obregon, A. Influence of Climate, Edaphic Factors and Tree Nutrition on Site Index of Chestnut Coppice Stands in North-West Spain. Forestry 2011, 84, 385–396. [Google Scholar] [CrossRef][Green Version]
- Bošeľa, M.; Máliš, F.; Kulla, L.; Šebeň, V.; Deckmyn, G. Ecologically Based Height Growth Model and Derived Raster Maps of Norway Spruce Site Index in the Western Carpathians. Eur. J. For. Res. 2013, 132, 691–705. [Google Scholar] [CrossRef]
- Scolforo, H.F.; McTague, J.P.; Burkhart, H.; Roise, J.; Alvares, C.A.; Stape, J.L. Site Index Estimation for Clonal Eucalypt Plantations in Brazil: A Modeling Approach Refined by Environmental Variables. For. Ecol. Manag. 2020, 466, 118079. [Google Scholar] [CrossRef]
- Duan, G.; Lei, X.; Zhang, X.; Liu, X. Site Index Modeling of Larch Using a Mixed-Effects Model across Regional Site Types in Northern China. Forests 2022, 13, 815. [Google Scholar] [CrossRef]
- Zhu, G.; Hu, S.; Chhin, S.; Zhang, X.; He, P. Modelling Site Index of Chinese Fir Plantations Using a Random Effects Model across Regional Site Types in Hunan Province, China. For. Ecol. Manag. 2019, 446, 143–150. [Google Scholar] [CrossRef]
- Babushkina, E.A.; Belokopytova, L.V. Climatic Signal in Radial Increment of Conifers in Forest-Steppe of Southern Siberia and Its Dependence on Local Growing Conditions. Russ. J. Ecol. 2014, 45, 325–332. [Google Scholar] [CrossRef]
- Qiu, T.; Aravena, M.-C.; Andrus, R.; Ascoli, D.; Bergeron, Y.; Berretti, R.; Bogdziewicz, M.; Boivin, T.; Bonal, R.; Caignard, T.; et al. Is There Tree Senescence? The Fecundity Evidence. Proc. Natl. Acad. Sci. USA 2021, 118, e2106130118. [Google Scholar] [CrossRef]
- Boehm, A.R.; Hardegree, S.P.; Glenn, N.F.; Reeves, P.A.; Moffet, C.A.; Flerchinger, G.N. Slope and Aspect Effects on Seedbed Microclimate and Germination Timing of Fall-Planted Seeds. Rangel. Ecol. Manag. 2021, 75, 58–67. [Google Scholar] [CrossRef]
- Guarín, A.; Taylor, A.H. Drought Triggered Tree Mortality in Mixed Conifer Forests in Yosemite National Park, California, USA. For. Ecol. Manag. 2005, 218, 229–244. [Google Scholar] [CrossRef]
- Brunori, A.; Nair, P.K.R.; Rockwood, D.L. Performance of Two Eucalyptus Species at Different Slope Positions and Aspects in a Contour-Ridge Planting System in the Negev Desert of Israel. For. Ecol. Manag. 1995, 75, 41–48. [Google Scholar] [CrossRef]
- Omary, A.A. Effects of Aspect and Slope Position on Growth and Nutritional Status of Planted Aleppo Pine (Pinus halepensis Mill.) in a Degraded Land Semi-Arid Areas of Jordan. New For. 2011, 42, 285–300. [Google Scholar] [CrossRef]
- Mayoral, C.; Van Breugel, M.; Turner, B.L.; Asner, G.P.; Vaughn, N.R.; Hall, J.S. Effect of Microsite Quality and Species Composition on Tree Growth: A Semi-Empirical Modeling Approach. For. Ecol. Manag. 2019, 432, 534–545. [Google Scholar] [CrossRef]
- Wypych, A.; Ustrnul, Z.; Schmatz, D.R. Long-Term Variability of Air Temperature and Precipitation Conditions in the Polish Carpathians. J. Mt. Sci. 2018, 15, 237–253. [Google Scholar] [CrossRef]
- Seibert, J.; Stendahl, J.; Sørensen, R. Topographical Influences on Soil Properties in Boreal Forests. Geoderma 2007, 141, 139–148. [Google Scholar] [CrossRef]
- Tian, A.; Wang, Y.; Webb, A.A.; Liu, Z.; Ma, J.; Yu, P.; Wang, X. Water Yield Variation with Elevation, Tree Age and Density of Larch Plantation in the Liupan Mountains of the Loess Plateau and Its Forest Management Implications. Sci. Total Environ. 2021, 752, 141752. [Google Scholar] [CrossRef]
- Scholten, T.; Goebes, P.; Kühn, P.; Seitz, S.; Assmann, T.; Bauhus, J.; Bruelheide, H.; Buscot, F.; Erfmeier, A.; Fischer, M.; et al. On the Combined Effect of Soil Fertility and Topography on Tree Growth in Subtropical Forest Ecosystems—A Study from SE China. J. Plant Ecol. 2017, 10, 111–127. [Google Scholar] [CrossRef]
- Coomes, D.A.; Allen, R.B. Effects of Size, Competition and Altitude on Tree Growth. J. Ecol. 2007, 95, 1084–1097. [Google Scholar] [CrossRef]
- Peng, J.; Li, J.; Wang, T.; Huo, J.; Yang, L. Effect of Altitude on Climate–Growth Relationships of Chinese White Pine (Pinus armandii) in the Northern Funiu Mountain, Central China. Clim. Chang. 2019, 154, 273–288. [Google Scholar] [CrossRef]
- Yeh, H.-Y.; Wensel, L.C. The Relationship between Tree Diameter Growth and Climate for Coniferous Species in Northern California. Can. J. For. Res. 2000, 30, 1463–1471. [Google Scholar] [CrossRef]
- Reich, P.B.; Oleksyn, J. Climate Warming Will Reduce Growth and Survival of Scots Pine except in the Far North. Ecol. Lett. 2008, 11, 588–597. [Google Scholar] [CrossRef]
- Givnish, T.J.; Wong, S.C.; Stuart-Williams, H.; Holloway-Phillips, M.; Farquhar, G.D. Determinants of Maximum Tree Height in Eucalyptus Species along a Rainfall Gradient in Victoria, Australia. Ecology 2014, 95, 2991–3007. [Google Scholar] [CrossRef]
- Antón-Fernández, C.; Mola-Yudego, B.; Dalsgaard, L.; Astrup, R. Climate-Sensitive Site Index Models for Norway. Can. J. For. Res. 2016, 46, 794–803. [Google Scholar] [CrossRef]
- Tymińska-Czabańska, L.; Socha, J.; Maj, M.; Cywicka, D.; Hoang Duong, X.V. Environmental Drivers and Age Trends in Site Productivity for Oak in Southern Poland. Forests 2021, 12, 209. [Google Scholar] [CrossRef]
- González-Rodríguez, M.Á.; Diéguez-Aranda, U. Rule-Based vs Parametric Approaches for Developing Climate-Sensitive Site Index Models: A Case Study for Scots Pine Stands in Northwestern Spain. Ann. For. Sci. 2021, 78, 23. [Google Scholar] [CrossRef]
- Rollinson, C.R.; Liu, Y.; Raiho, A.; Moore, D.J.P.; McLachlan, J.; Bishop, D.A.; Dye, A.; Matthes, J.H.; Hessl, A.; Hickler, T.; et al. Emergent Climate and CO2 Sensitivities of Net Primary Productivity in Ecosystem Models Do Not Agree with Empirical Data in Temperate Forests of Eastern North America. Glob. Chang. Biol. 2017, 23, 2755–2767. [Google Scholar] [CrossRef]
- Schiermeier, Q. Droughts, Heatwaves and Floods: How to Tell When Climate Change Is to Blame. Nature 2018, 560, 20–22. [Google Scholar] [CrossRef]
- Shi, L.; Liu, H.; Wang, L.; Peng, R.; He, H.; Liang, B.; Cao, J. Transitional Responses of Tree Growth to Climate Warming at the Southernmost Margin of High Latitudinal Permafrost Distribution. Sci. Total Environ. 2024, 908, 168503. [Google Scholar] [CrossRef] [PubMed]
- Spittlehouse, D.L.; Stewart, R.B. Adaptation to Climate Change in Forest Management. J. Ecosyst. Manag. 2004, 4, 7–17. [Google Scholar] [CrossRef]
- Wu, S.; Zhou, S.; Chen, D.; Wei, Z.; Dai, L.; Li, X. Determining the Contributions of Urbanisation and Climate Change to NPP Variations over the Last Decade in the Yangtze River Delta, China. Sci. Total Environ. 2014, 472, 397–406. [Google Scholar] [CrossRef]
- Way, D.A.; Oren, R. Differential Responses to Changes in Growth Temperature between Trees from Different Functional Groups and Biomes: A Review and Synthesis of Data. Tree Physiol. 2010, 30, 669–688. [Google Scholar] [CrossRef]
- Alfaro-Sánchez, R.; Muller-Landau, H.C.; Wright, S.J.; Camarero, J.J. Growth and Reproduction Respond Differently to Climate in Three Neotropical Tree Species. Oecologia 2017, 184, 531–541. [Google Scholar] [CrossRef] [PubMed]
- Hlásny, T.; Trombik, J.; Bošeľa, M.; Merganič, J.; Marušák, R.; Šebeň, V.; Štěpánek, P.; Kubišta, J.; Trnka, M. Climatic Drivers of Forest Productivity in Central Europe. Agric. For. Meteorol. 2017, 234–235, 258–273. [Google Scholar] [CrossRef]
- Zhang, X.; Fu, L.; Sharma, R.P.; He, X.; Zhang, H.; Feng, L.; Zhou, Z. A Nonlinear Mixed-Effects Height-Diameter Model with Interaction Effects of Stand Density and Site Index for Larix olgensis in Northeast China. Forests 2021, 12, 1460. [Google Scholar] [CrossRef]
- Maes, S.L.; Perring, M.P.; Vanhellemont, M.; Depauw, L.; Van Den Bulcke, J.; Brūmelis, G.; Brunet, J.; Decocq, G.; Den Ouden, J.; Härdtle, W.; et al. Environmental Drivers Interactively Affect Individual Tree Growth across Temperate European Forests. Glob. Chang. Biol. 2019, 25, 201–217. [Google Scholar] [CrossRef]
- Laubhann, D.; Sterba, H.; Reinds, G.J.; De Vries, W. The Impact of Atmospheric Deposition and Climate on Forest Growth in European Monitoring Plots: An Individual Tree Growth Model. For. Ecol. Manag. 2009, 258, 1751–1761. [Google Scholar] [CrossRef]
- Braun, S.; Schindler, C.; Rihm, B. Growth Trends of Beech and Norway Spruce in Switzerland: The Role of Nitrogen Deposition, Ozone, Mineral Nutrition and Climate. Sci. Total Environ. 2017, 599–600, 637–646. [Google Scholar] [CrossRef]
- Oboite, F.O.; Comeau, P.G. The Interactive Effect of Competition and Climate on Growth of Boreal Tree Species in Western Canada and Alaska. Can. J. For. Res. 2020, 50, 457–464. [Google Scholar] [CrossRef]
- Calegario, N.; Daniels, R.F.; Maestri, R.; Neiva, R. Modeling Dominant Height Growth Based on Nonlinear Mixed-Effects Model: A Clonal Eucalyptus Plantation Case Study. For. Ecol. Manag. 2005, 204, 11–21. [Google Scholar] [CrossRef]
- Farrelly, N.; Ní Dhubháin, Á.; Nieuwenhuis, M. Site Index of Sitka Spruce (Picea sitchensis) in Relation to Different Measures of Site Quality in Ireland. Can. J. For. Res. 2011, 41, 265–278. [Google Scholar] [CrossRef]
- You, W.; Zhu, G. The Minimum Target Diameter and the Harvest Age of Oak Natural Secondary Forests in Different Sites Conditions: Case Study in Hunan Province, China. Forests 2024, 15, 120. [Google Scholar] [CrossRef]
- He, H.; Zhu, G.; Ma, W.; Liu, F.; Zhang, X. Additivity of Stand Basal Area Predictions in Canopy Stratifications for Natural Oak Forests. For. Ecol. Manag. 2021, 492, 119246. [Google Scholar] [CrossRef]
- Andreu, L.; Gutiérrez, E.; Macias, M.; Ribas, M.; Bosch, O.; Camarero, J.J. Climate Increases Regional Tree-growth Variability in Iberian Pine Forests. Glob. Chang. Biol. 2007, 13, 804–815. [Google Scholar] [CrossRef]
- Zalloni, E.; Battipaglia, G.; Cherubini, P.; Saurer, M.; De Micco, V. Wood Growth in Pure and Mixed quercus Ilex L. Forests: Drought Influence Depends on Site Conditions. Front. Plant Sci. 2019, 10, 397. [Google Scholar] [CrossRef] [PubMed]
- Harvey, J.E.; Smiljanić, M.; Scharnweber, T.; Buras, A.; Cedro, A.; Cruz-García, R.; Drobyshev, I.; Janecka, K.; Jansons, Ā.; Kaczka, R.; et al. Tree Growth Influenced by Warming Winter Climate and Summer Moisture Availability in Northern Temperate Forests. Glob. Chang. Biol. 2020, 26, 2505–2518. [Google Scholar] [CrossRef] [PubMed]
- Madsen, C.L.; Kjær, E.D.; Ræbild, A. Climatic Criteria for Successful Introduction of Quercus Species Identified by Use of Arboretum Data. For. Int. J. For. Res. 2021, 94, 526–537. [Google Scholar]
- Wang, T.; Hamann, A.; Spittlehouse, D.L.; Murdock, T.Q. ClimateWNA—High-Resolution Spatial Climate Data for Western North America. J. Appl. Meteorol. Climatol. 2012, 51, 16–29. [Google Scholar] [CrossRef]
- Zhang, X.; Wang, Z.; Chhin, S.; Wang, H.; Duan, A.; Zhang, J. Relative Contributions of Competition, Stand Structure, Age, and Climate Factors to Tree Mortality of Chinese Fir Plantations: Long-Term Spacing Trials in Southern China. For. Ecol. Manag. 2020, 465, 118103. [Google Scholar] [CrossRef]
- GB/T 26424-2010; Technical Regulations for Inventory for Forest Management Planning and Design. State Forestry Bureau: Beijing, China, 2010.
- Breiman, L. Random Forests. Mach. Learn. 2001, 45, 5–32. [Google Scholar] [CrossRef]
- Cheng, R.; Zhang, J.; Wang, X.; Ge, Z.; Zhang, Z. Predicting the Growth Suitability of Larix principis-rupprechtii Mayr Based on Site Index under Different Climatic Scenarios. Front. Plant Sci. 2023, 14, 1097688. [Google Scholar] [CrossRef]
- Zhang, S.; Xiao, K.; Carranza, E.J.M.; Yang, F. Maximum Entropy and Random Forest Modeling of Mineral Potential: Analysis of Gold Prospectivity in the Hezuo–Meiwu District, West Qinling Orogen, China. Nat. Resour. Res. 2019, 28, 645–664. [Google Scholar] [CrossRef]
- Zhao, Z.; Xiao, N.; Shen, M.; Li, J. Comparison between Optimized MaxEnt and Random Forest Modeling in Predicting Potential Distribution: A Case Study with Quasipaa boulengeri in China. Sci. Total Environ. 2022, 842, 156867. [Google Scholar] [CrossRef] [PubMed]
- Bowen, A.K.M.; Stevens, M.H.H. Temperature, Topography, Soil Characteristics, and NDVI Drive Habitat Preferences of a Shade-tolerant Invasive Grass. Ecol. Evol. 2020, 10, 10785–10797. [Google Scholar] [CrossRef] [PubMed]
- Allen, A.S.; Schlesinger, W.H. Nutrient Limitations to Soil Microbial Biomass and Activity in Loblolly Pine Forests. Soil Biol. Biochem. 2004, 36, 581–589. [Google Scholar] [CrossRef]
- Nunes, L.; Coutinho, J.; Nunes, L.F.; Castro Rego, F.; Lopes, D. Growth, Soil Properties and Foliage Chemical Analysis Comparison. For. Syst. 2011, 20, 496. [Google Scholar] [CrossRef]
- Bronisz, K.; Mehtätalo, L. Mixed-Effects Generalized Height–Diameter Model for Young Silver Birch Stands on Post-Agricultural Lands. For. Ecol. Manag. 2020, 460, 117901. [Google Scholar] [CrossRef]
- Schumacher, F.X. A New Growth Curve and Its Application to Timber-Yield Studies. For. Res. 1939, 37, 819–820. [Google Scholar]
- Ware, G.O.; Ohki, K.; Moon, L.C. The Mitscherlich Plant Growth Model for Determining Critical Nutrient Deficiency Levels1. Agron. J. 1982, 74, 88–91. [Google Scholar] [CrossRef]
- Pearl, R.; Reed, L.J. On the Rate of Growth of the Population of the United States since 1790 and Its Mathematical Representation. Proc. Natl. Acad. Sci. USA 1920, 6, 275–288. [Google Scholar] [CrossRef]
- Winsor, C.P. The Gompertz Curve as a Growth Curve. Proc. Natl. Acad. Sci. USA 1932, 18, 1–8. [Google Scholar] [CrossRef]
- Richards, F.J. A Flexible Growth Function for Empirical Use. J. Exp. Bot. 1959, 10, 290–301. [Google Scholar] [CrossRef]
- Lundqvist, B. On the Height Growth in Cultivated Stands of Pine and Spruce in Northern Sweden. Medd Fran Statens Skogforsk 1957, 47, 1–64. [Google Scholar]
- Perin, J.; Hébert, J.; Brostaux, Y.; Lejeune, P.; Claessens, H. Modelling the Top-Height Growth and Site Index of Norway Spruce in Southern Belgium. For. Ecol. Manag. 2013, 298, 62–70. [Google Scholar] [CrossRef]
- Lee, D.; Beuker, E.; Viherä-Aarnio, A.; Hynynen, J. Site Index Models with Density Effect for Hybrid Aspen (Populus tremula L. × P. tremuloides Michx.) Plantations in Southern Finland. For. Ecol. Manag. 2021, 480, 118669. [Google Scholar]
- Shi, J.; Liu, X.; Xiang, W. Does Climate Play a More Important Role than Competition in Modeling Height to Crown Base of Larix principis-rupprechtii in Northern China? For. Ecol. Manag. 2022, 526, 120564. [Google Scholar] [CrossRef]
- Wang, T.; Xie, L.; Miao, Z.; Widagdo, F.R.A.; Dong, L.; Li, F. Stand Volume Growth Modeling with Mixed-Effects Models and Quantile Regressions for Major Forest Types in the Eastern Daxing’an Mountains, Northeast China. Forests 2021, 12, 1111. [Google Scholar] [CrossRef]
- Yang, Z.; Liu, Q.; Luo, P.; Ye, Q.; Sharma, R.P.; Duan, G.; Zhang, H.; Fu, L. Nonlinear Mixed-Effects Height to Crown Base Model Based on Both Airborne LiDAR and Field Datasets for Picea crassifolia Kom Trees in Northwest China. For. Ecol. Manag. 2020, 474, 118323. [Google Scholar] [CrossRef]
- Lindstrom, M.J.; Bates, D.M. Nonlinear Mixed Effects Models for Repeated Measures Data. Biometrics 1990, 46, 673. [Google Scholar] [CrossRef]
- Ni, C.; Nigh, G.D. An Analysis and Comparison of Predictors of Random Parameters Demonstrated on Planted Loblolly Pine Diameter Growth Prediction. Forestry 2012, 85, 271–280. [Google Scholar] [CrossRef]
- Hartigan, J.A.; Wong, M.A. Algorithm AS 136: A K-Means Clustering Algorithm. Appl. Stat. 1979, 28, 100. [Google Scholar] [CrossRef]
- Park, B.; Kargupta, H.; Johnson, E.; Sanseverino, E.; Hershberger, D.; Silvestre, L. Distributed, Collaborative Data Analysis from Heterogeneous Sites Using a Scalable Evolutionary Technique. Appl. Intell. 2002, 16, 19–42. [Google Scholar] [CrossRef]
- Yang, Y.; Huang, S. Suitability of Five Cross Validation Methods for Performance Evaluation of Nonlinear Mixed-Effects Forest Models—A Case Study. For. Int. J. For. Res. 2014, 87, 654–662. [Google Scholar] [CrossRef]
- Liu, X.; Hao, Y.; Widagdo, F.R.A.; Xie, L.; Dong, L.; Li, F. Predicting Height to Crown Base of Larix olgensis in Northeast China Using UAV-LiDAR Data and Nonlinear Mixed Effects Models. Remote Sens. 2021, 13, 1834. [Google Scholar] [CrossRef]
- Wang, J.; Jiang, L.; Yan, Y. The Impacts of Climate, Competition, and Their Interactions on Crown Width for Three Major Species in Chinese Boreal Forests. For. Ecol. Manag. 2022, 526, 120597. [Google Scholar] [CrossRef]
- Molina-Valero, J.A.; Diéguez-Aranda, U.; Álvarez-González, J.G.; Castedo-Dorado, F.; Pérez-Cruzado, C. Assessing Site Form as an Indicator of Site Quality in Even-Aged Pinus Radiata D. Don Stands in North-Western Spain. Ann. For. Sci. 2019, 76, 113. [Google Scholar] [CrossRef]
- Padilla-Martínez, J.R.; Paul, C.; Corral-Rivas, J.J.; Husmann, K.; Diéguez-Aranda, U.; Von Gadow, K. Evaluation of the Site Form as a Site Productive Indicator in Temperate Uneven-Aged Multispecies Forests in Durango, Mexico. Plants 2022, 11, 2764. [Google Scholar] [CrossRef] [PubMed]
- Vanclay J, K.; Henry, N.B. Assessing Site Productivity of Indigenous Cypress Pine Forest in Southern Queensland. Commonw. For. Rev. 1988, 67, 53–64. [Google Scholar]
- Sharma, M.; Subedi, N.; Ter-Mikaelian, M.; Parton, J. Modeling Climatic Effects on Stand Height/Site Index of Plantation-Grown Jack Pine and Black Spruce Trees. For. Sci. 2015, 61, 25–34. [Google Scholar] [CrossRef]
- Alves, L.F.; Vieira, S.A.; Scaranello, M.A.; Camargo, P.B.; Santos, F.A.M.; Joly, C.A.; Martinelli, L.A. Forest Structure and Live Aboveground Biomass Variation along an Elevational Gradient of Tropical Atlantic Moist Forest (Brazil). For. Ecol. Manag. 2010, 260, 679–691. [Google Scholar] [CrossRef]
- Zou, K.; Duan, G.; Wu, Y.; Wang, Z.; Liu, X. Site Index Model for Southern Subtropical Masson Pine Forests Using Stand Dominant Height. Forests 2023, 15, 87. [Google Scholar] [CrossRef]
- Ercanli, I.; Gunlu, A.; Altun, L.; Zeki Baskent, E. Relationship between Site Index of Oriental Spruce [Picea orientalis (L.) Link] and Ecological Variables in Maçka, Turkey. Scand. J. For. Res. 2008, 23, 319–329. [Google Scholar] [CrossRef]
- Socha, J. Effect of Topography and Geology on the Site Index of Picea Abies in the West Carpathian, Poland. Scand. J. For. Res. 2008, 23, 203–213. [Google Scholar] [CrossRef]
- Curt, T.; Bouchaud, M.; Agrech, G. Predicting Site Index of Douglas-Fir Plantations from Ecological Variables in the Massif Central Area of France. For. Ecol. Manag. 2001, 149, 61–74. [Google Scholar] [CrossRef]
- Paulo, J.A.; Palma, J.H.N.; Gomes, A.A.; Faias, S.P.; Tomé, J.; Tomé, M. Predicting Site Index from Climate and Soil Variables for Cork Oak (Quercus suber L.) Stands in Portugal. New For. 2015, 46, 293–307. [Google Scholar] [CrossRef]
- Pedlar, J.H.; McKenney, D.W. Assessing the Anticipated Growth Response of Northern Conifer Populations to a Warming Climate. Sci. Rep. 2017, 7, 43881. [Google Scholar] [CrossRef]
- Guo, J.; Cui, J.; Wu, N.; Zhang, Y.; Wang, J.; Xiang, H.; Hu, B.; Zhou, Y. Ice Storm Damage to Oak Forests in Subtropical China. For. Ecosyst. 2023, 10, 100119. [Google Scholar] [CrossRef]
- Leites, L.P.; Robinson, A.P.; Rehfeldt, G.E.; Marshall, J.D.; Crookston, N.L. Height-growth Response to Climatic Changes Differs among Populations of Douglas-fir: A Novel Analysis of Historic Data. Ecol. Appl. 2012, 22, 154–165. [Google Scholar] [CrossRef]
- Zhang, X.; Wang, H.; Chhin, S.; Zhang, J. Effects of Competition, Age and Climate on Tree Slenderness of Chinese Fir Plantations in Southern China. For. Ecol. Manag. 2020, 458, 117815. [Google Scholar] [CrossRef]
- Pugnaire, F.I.; Morillo, J.A.; Peñuelas, J.; Reich, P.B.; Bardgett, R.D.; Gaxiola, A.; Wardle, D.A.; Van Der Putten, W.H. Climate Change Effects on Plant-Soil Feedbacks and Consequences for Biodiversity and Functioning of Terrestrial Ecosystems. Sci. Adv. 2019, 5, eaaz1834. [Google Scholar] [CrossRef]
- Yin, D.; Gou, X.; Yang, H.; Wang, K.; Liu, J.; Zhang, Y.; Gao, L. Elevation-Dependent Tree Growth Response to Recent Warming and Drought on Eastern Tibetan Plateau. Clim. Chang. 2023, 176, 77. [Google Scholar] [CrossRef]








| Variables | Mean | Std | Min | Max |
|---|---|---|---|---|
| Hd (m) | 15.8 | 3.0 | 9.3 | 24.6 |
| Age (years) | 42 | 17 | 17 | 87 |
| Elevation (m) | 522 | 485 | 80 | 1638 |
| Slope (°) | 29 | 10 | 3 | 45 |
| Soil depth (cm) | 72 | 14 | 37 | 95 |
| Variable | Mean | Std | Min | Max |
|---|---|---|---|---|
| MAT (°C) | 16.98 | 1.75 | 12.93 | 18.53 |
| MWMT (°C) | 27.46 | 1.94 | 23.26 | 29.34 |
| MCMT (°C) | 5.47 | 1.58 | 1.86 | 6.92 |
| TD (°C) | 21.99 | 1.00 | 19.93 | 24.13 |
| MAP (mm) | 1653.72 | 369.10 | 1359.62 | 2534.15 |
| AHM (°C) | 17.37 | 4.05 | 10.17 | 21.11 |
| WTmax (°C) | 10.62 | 1.66 | 5.72 | 12.11 |
| STmax (°C) | 30.80 | 1.67 | 27.10 | 32.20 |
| WTmin (°C) | 3.00 | 1.87 | −0.53 | 4.94 |
| STmin (°C) | 21.89 | 2.35 | 17.35 | 24.46 |
| WTave (°C) | 6.81 | 1.63 | 2.96 | 8.51 |
| STave (°C) | 26.35 | 1.89 | 22.16 | 27.94 |
| WPPT (mm) | 215.49 | 44.02 | 121.25 | 308.60 |
| SPPT (mm) | 583.78 | 189.82 | 433.02 | 1019.23 |
| Site Factors | Symbol | Class | |||||
|---|---|---|---|---|---|---|---|
| Elevation | EL | 10 class by 100 m | |||||
| Slope | SG | <5° | 5°–14° | 15°–24° | 25°–34° | 35°–44° | ≥45° |
| Slope position | SP | ridge | upper slope | middle slope | lower slope | valley | |
| Slope aspect | SA | sunny slope | semi-sunny slope | shady slope | semi-shady slope | ||
| Soil type | SOT | yellow earth | yellow–brown earth | red earth | |||
| Soil depth | SOD | <40 cm | 40–79 cm | ≥80 cm | |||
| Model | Equation Form | Model Expression | Source |
|---|---|---|---|
| M1 | Logarithm | [14] | |
| M2 | Schumacher | [67] | |
| M3 | Mitscherlich | [68] | |
| M4 | Parabola | [15] | |
| M5 | Hybrid | [14] | |
| M6 | Roляcp | [14] | |
| M7 | Logistic | [69] | |
| M8 | Gompertz | [70] | |
| M9 | Richards | [71] | |
| M10 | Korf | [72] |
| Factors | Class | Class Range | NSP | Factors | Class | Class Range | NSP |
|---|---|---|---|---|---|---|---|
| EL (m) | 1 | EL < 100 | 7 | WPPT (mm) | 1 | WPPT < 150 | 9 |
| 2 | 100 ≤ EL < 200 | 27 | 2 | 150 ≤ WPPT < 200 | 19 | ||
| 3 | 200 ≤ EL < 300 | 27 | 3 | 200 ≤ WPPT < 250 | 50 | ||
| 4 | 300 ≤ EL < 400 | 5 | 4 | 250 ≤ WPPT < 300 | 18 | ||
| 5 | 400 ≤ EL < 500 | 3 | 5 | 300 ≤ WPPT < 350 | 5 | ||
| 6 | 900 ≤ EL < 1000 | 10 | STmax (°C) | 1 | STmax < 28 | 16 | |
| 7 | 1000 ≤ EL < 1100 | 6 | 2 | 28 ≤ STmax < 29 | 3 | ||
| 8 | 1300 ≤ EL < 1400 | 7 | 3 | 30 ≤ STmax < 31 | 9 | ||
| 9 | 1400 ≤ EL < 1500 | 6 | 4 | 31 ≤ STmax < 32 | 70 | ||
| 10 | 1600 ≤ EL < 1700 | 3 | 5 | 32 ≤ STmax < 33 | 3 | ||
| SA | 1 | sunny | 11 | ||||
| 2 | semi-sunny | 42 | |||||
| 3 | semi-shady | 38 | |||||
| 4 | shady | 10 | |||||
| SP | 1 | ridge | 12 | ||||
| 2 | upper slope | 38 | |||||
| 3 | middle slope | 22 | |||||
| 4 | lower slope | 24 | |||||
| 5 | valley | 5 |
| Model | a | SE | b | SE | c | SE | R2 | RMSE | TRE |
|---|---|---|---|---|---|---|---|---|---|
| M1 | 4.8367 * | 2.3626 | 2.9983 *** | 0.6429 | 0.1801 | 2.5294 | 2.5258 | ||
| M2 | 19.2983 *** | 0.8431 | 7.2879 *** | 1.5475 | 0.1936 | 2.5086 | 2.4834 | ||
| M3 | 17.2129 *** | 0.4897 | 0.0724 *** | 0.0094 | 0.1940 | 2.5079 | 2.4820 | ||
| M4 | 10.7065 *** | 1.8389 | 0.1785 * | 0.0835 | −0.0012 | 0.0008 | 0.1731 | 2.5402 | 2.5479 |
| M5 | −2.3090 × 1013 | 1.7077 × 1014 | 1.3621 × 1012 | 1.0067 × 1013 | 0.0894 *** | 0.0213 | 0.2140 | 2.4767 | 2.4191 |
| M6 | 4.6022 | 2.6034 | 0.3918 | 0.2065 | 0.0048 | 0.0047 | 0.1852 | 2.5216 | 2.5099 |
| M7 | 16.7937 *** | 0.4443 | 4.3528 | 5.1345 | 0.1319 * | 0.0545 | 0.1934 | 2.5089 | 2.4840 |
| M8 | 16.8301 *** | 0.4602 | 3.0013 | 3.1590 | 0.1196 * | 0.0496 | 0.1951 | 2.5063 | 2.4787 |
| M9 | 16.8864 *** | 0.4931 | 0.1086 * | 0.0512 | 2.2703 | 2.5869 | 0.1958 | 2.5051 | 2.4764 |
| M10 | 17.2115 *** | 0.7570 | 498.4688 | 1705.7551 | 2.4795 * | 1.1518 | 0.2030 | 2.4939 | 2.4536 |
| Model | Random Effect | Fixed-Effects Parameters | AIC | BIC | |||
|---|---|---|---|---|---|---|---|
| a | SE | b | SE | ||||
| M3 | — | 17.2129 *** | 0.4897 | 0.0724 *** | 0.0094 | 477.3500 | 485.1954 |
| M3.1 | ST | 17.0199 *** | 0.4962 | 0.0778 *** | 0.0098 | 473.9051 | 484.2855 |
| M3.2 | CT | 16.8969 *** | 0.7593 | 0.0689 *** | 0.0083 | 474.1020 | 484.3824 |
| M3.3 | ST + CT | 16.8187 *** | 0.7673 | 0.0725 *** | 0.0087 | 473.4495 | 484.1251 |
| M3.4 | ST * CT | 16.8386 *** | 0.4603 | 0.0815 *** | 0.0105 | 471.8918 | 482.2723 |
| M3.5 | ST + ST * CT | 16.8681 *** | 0.4724 | 0.0812 *** | 0.0104 | 473.4495 | 486.4251 |
| M3.6 | CT + ST * CT | 16.6594 *** | 0.7301 | 0.0765 *** | 0.0095 | 472.1351 | 483.1107 |
| M3.7 | ST + CT + ST * CT | 16.6506 *** | 0.7601 | 0.0765 *** | 0.0095 | 475.4498 | 485.0205 |
| Model | Random Effect | Fixed-Effects Parameters | AIC | BIC | |||
|---|---|---|---|---|---|---|---|
| a | SE | b | SE | ||||
| M3.8 | 5 levels of STG | 18.0414 *** | 1.3357 | 0.0729 *** | 0.0056 | 400.6624 | 411.0429 |
| M3.9 | 4 levels of CTG | 17.3130 *** | 1.2466 | 0.0689 *** | 0.0074 | 453.9330 | 464.3135 |
| M3.10 | 3 levels of SCTG | 16.7531 *** | 1.6962 | 0.0843 *** | 0.0073 | 387.0620 | 397.4425 |
| M3.11 | 5 levels of SCTG | 17.7450 *** | 1.3200 | 0.0843 *** | 0.0065 | 372.0108 | 382.3913 |
| M3.12 | 8 levels of SCTG | 17.3943 *** | 1.0982 | 0.0795 *** | 0.0056 | 371.5733 | 381.9538 |
| Model | Prediction | R2 | RMSE | TRE |
|---|---|---|---|---|
| M3 | none | 0.1940 | 2.5079 | 2.4820 |
| M3.4 | M response | 0.1954 | 2.5054 | 2.5133 |
| S response | 0.8220 | 1.3331 | 0.7019 | |
| M3.10 | M response | 0.1957 | 2.5110 | 2.5257 |
| S response | 0.7402 | 1.4172 | 0.7875 | |
| M3.11 | M response | 0.1957 | 2.6678 | 2.5398 |
| S response | 0.7979 | 1.2500 | 0.6117 | |
| M3.12 | M response | 0.1952 | 2.5370 | 2.4338 |
| S response | 0.8265 | 1.1587 | 0.5253 |
Disclaimer/Publisher’s Note: The statements, opinions and data contained in all publications are solely those of the individual author(s) and contributor(s) and not of MDPI and/or the editor(s). MDPI and/or the editor(s) disclaim responsibility for any injury to people or property resulting from any ideas, methods, instructions or products referred to in the content. |
© 2024 by the authors. Licensee MDPI, Basel, Switzerland. This article is an open access article distributed under the terms and conditions of the Creative Commons Attribution (CC BY) license (https://creativecommons.org/licenses/by/4.0/).
Share and Cite
Huang, L.; Zhu, G.; Chen, G. Development of Polymorphic Index Model for Assessing Subtropical Secondary Natural Oak Forest Site Quality Under Complex Site and Climate Variables. Forests 2024, 15, 1867. https://doi.org/10.3390/f15111867
Huang L, Zhu G, Chen G. Development of Polymorphic Index Model for Assessing Subtropical Secondary Natural Oak Forest Site Quality Under Complex Site and Climate Variables. Forests. 2024; 15(11):1867. https://doi.org/10.3390/f15111867
Chicago/Turabian StyleHuang, Lang, Guangyu Zhu, and Guoqi Chen. 2024. "Development of Polymorphic Index Model for Assessing Subtropical Secondary Natural Oak Forest Site Quality Under Complex Site and Climate Variables" Forests 15, no. 11: 1867. https://doi.org/10.3390/f15111867
APA StyleHuang, L., Zhu, G., & Chen, G. (2024). Development of Polymorphic Index Model for Assessing Subtropical Secondary Natural Oak Forest Site Quality Under Complex Site and Climate Variables. Forests, 15(11), 1867. https://doi.org/10.3390/f15111867
