Next Article in Journal
Transcriptomic Profiling Analyses Revealed Candidate Genes Under Freezing Stress in Siberian Apricot (Prunus sibirica)
Next Article in Special Issue
Advancing Knowledge in Forest Water Use Efficiency Under Global Climate Change Through Scientometric Analysis
Previous Article in Journal
Soundscapes in Urban Green Spaces of a Megacity Across an Urban–Rural Gradient: A Case Study of Shanghai
Previous Article in Special Issue
Typical Plantation Water Use Strategies Are Determined by Environmental Conditions and Plant Eco-Physiology in Beijing, China
 
 
Font Type:
Arial Georgia Verdana
Font Size:
Aa Aa Aa
Line Spacing:
Column Width:
Background:
Article

Pollarding May Relieve Drought Stress in Black Poplars

by
J. Julio Camarero
1,*,
Cristina Valeriano
1,
José Antonio Sánchez-Sancho
2 and
Chabier de Jaime Loren
3
1
Instituto Pirenaico de Ecología (CSIC), Apdo. 202, 50192 Zaragoza, Spain
2
Plaza Street 1, Bañón, 44357 Teruel, Spain
3
Centro de Estudios del Jiloca, Avda. Bigas Luna 2, 44200 Calamocha, Spain
*
Author to whom correspondence should be addressed.
Forests 2024, 15(11), 1869; https://doi.org/10.3390/f15111869
Submission received: 3 October 2024 / Revised: 22 October 2024 / Accepted: 23 October 2024 / Published: 24 October 2024

Abstract

Pollarding has historically been used in broadleaf tree species across European woodlands. However, despite pollarding enhances vigor growth in the short term, it is still unclear how long this effect lasts and whether it can alleviate drought stress in seasonally dry regions. We compared the radial growth and wood δ13C (13C/12C), a proxy of intrinsic water-use efficiency (iWUE), of trees pollarded 10 and 20 years ago in two black poplar (Populus nigra L.) riparian stands located in North Eastern Spain and subjected to different ecohydrological conditions. We also assessed if pollarded trees showed different leaf phenology as compared with uncut trees of coexisting white poplar (Populus alba L.) trees. The relationships between growth, climate variables, drought severity and river flow were quantified. Pollarded and uncut trees showed a similar leaf phenology with a trend towards earlier leaf unfolding as springs become warmer. Pollarding increased growth rates by 54% (ratio between trees pollarded 10 and 20 years ago, respectively), but this enhancement was transitory and lasted ca. 10 years, whereas wood δ13C decreased −5%. The growth of black poplar increased in response to high precipitation in the previous winter, cool wet conditions, and a higher river flow in summer. Pollarding improves growth and relieves drought stress.

1. Introduction

Most European forests and woodlands have been shaped by humans through history [1]. For instance, forests across the northern Mediterranean Basin were subjected to secular management to provide timber, firewood, and other products [2]. Some of these stands dominated by broadleaf species (oak, beech, ash, poplar, willow, etc.) were transformed through pollarding to obtain wood and leaf fodder, but this traditional technique ceased in most of these regions during the past century due to massive rural migration [3,4,5]. Nowadays, urban societies are demanding the conservation of pollarded stands through sustainable use, but we still lack adequate assessments of their past and recent growth responses after pollarding cessation. Long-term approaches based on tree-ring data could help to forecast how these anthropogenic forests and woodlands will respond to pollarding cessation and current climate warming, particularly in drought-prone Mediterranean regions [6,7,8,9,10,11]. Furthermore, long-term leaf-phenology data could complement tree-ring series to assess if the growing season of pollarded and uncut trees differs. Several studies on tree phenology have reported advanced bud bursting and leaf onset as the climate warms, and often delayed fall phenology (e.g., leaf fall), leading to a longer growing season, particularly at mid-latitude regions [12,13]. However, it is unclear if a longer growing season leads to higher radial growth in broadleaf tree species and how pollarding can affect leaf phenology and growth [14].
The regular cutting of pollarded trees makes them valuable long-term carbon reservoirs and biodiversity hotspots [5]. These stands constitute singular cultural landscapes and their hollow and complex stems provide unique habitats to insects, birds, and mosses or lichens [15]. However, the intensity and frequency of traditional pollarding have declined across Europe—making unmanaged pollarded stands very vulnerable to structural damage (non-pollarded canopies show dieback and often collapse) [5] and warming-induced aridification [9]. It is known that pollarding lengthens the lifespan of trees, but it is unclear how it affects the functioning and performance of trees. Pollarding leads to an abrupt reduction in stem wood production lasting for about 3 to 7 years following branch cutting and such suppressions of radial growth (negative growth changes) have been used to reconstruct past pollarding events [7,8,9]. Afterwards, trees improve their growth rate until the next pollarding cycle is applied. However, information on other functional proxies of water shortage such as intrinsic water-use efficiency (iWUE) is lacking. The iWUE is the ratio between the photosynthesis and stomatal conductance rates and it can be reconstructed by analyzing C isotope ratios (13C/12C or δ13C) in tree-ring wood [16,17]. Higher wood δ13C values correspond to a higher iWUE [17]. Therefore, functional multi-proxy assessments of formerly and recently pollarded stands are required to promote their conservation and to improve their management and preservation. In the case of Mediterranean broadleaf species, the role played by drought stress also has to be considered because it is a major climatic driver of Mediterranean forest dynamics [11].
Pollarded stands in seasonally dry Mediterranean regions are mainly dominated by oak and ash species [10,11]. However, in historically overgrazed and deforested, continental Mediterranean regions, pollarded black poplar (Populus nigra L.) stands represent a unique source of wood and fodder for rural societies as is the case in southern Teruel, North Eastern Spain [18]. In this area, riparian stands of black poplars used to be managed and pollarded in winter every 12–15 years, forming distinctive cultural agro-forestry systems enduring climatically harsh conditions [18]. Nowadays, these stands are menaced by the widespread cessation of pollarding after the 1960s, when most people migrated to cities, and also by drought stress due to climate warming and the reduction in soil moisture availability caused by river regulation through dam building for agriculture [9,18]. This type of pollarded woodland forms riparian ecosystems subjected to the aforementioned stressors, i.e., pollarding cessation and ongoing aridification [19].
Here, we analyzed how pollarding affects the radial growth, leaf phenology, and iWUE of pollarded black poplar trees by comparing individuals subjected to recent pollarding carried out 10 and 20 years before sampling, i.e., in periods similar to and exceeding the traditional pollarding cutting period. This was conducted in two nearby sites (Galve, Aguilar del Alfambra) subjected to similar climate conditions and located in the same river basin, in North Eastern Spain (Figure 1). However, the compared sites experience different ecohydrological processes with low (Aguilar) and high river flows (Galve), and also geological substrates (clay) more prone to retain groundwater in the case of Galve. Overall, the hydrological conditions seem to be more stressful to poplars in Aguilar than in Galve (Figure 1).
In addition, we capitalize on the existence of long leaf-phenology series (27 years) for pollarded black poplars and uncut white poplars (Populus alba L.) in one of the study sites (Galve). We compared the phenology series of both species to test if pollarded trees showed different leaf onset and leaf fall trends. We also analyzed the relationships between radial growth rates, climate variables (temperature, precipitation), drought severity, and river flow to pinpoint the main climate drivers of black poplar growth in the study sites.
Our specific objectives are (i) to assess climate-, drought-, and river flow-growth relationships in pollarded black poplar stands, and (ii) to compare growth and iWUE responses to pollarding conducted 10 and 20 years ago in two black poplar stands. We hypothesize that as the effect of the pollarding impact on radial growth disappears, growth will decline but wood δ13C values will increase corresponding to a higher iWUE, i.e., trees pollarded 10 years ago will show a higher growth rate and lower δ13C values than trees pollarded 20 years ago.

2. Materials and Methods

2.1. Study Sites

Two sites located in North Eastern Spain (southern Teruel province, Aragón region) were selected because the authors knew the pollarding dates of the black poplar trees, which were checked by visually inspecting the size and shape of their crowns. They are located near Galve (0.885° W, 40.651° N, 1170 m a.s.l.) and Aguilar del Alfambra (0.793° W, 40.573° N, 1271 m a.s.l.—hereafter, Aguilar) villages (Figure 1). The stands are located near croplands and close to the Alfambra river banks. However, the river flow is lower in Aguilar than in Galve because of intensive water use for irrigation through ditches in the first site.
The Alfambra basin occupies ca. 915 km2 and lies between 850 and 1300 m a.s.l. Riparian vegetation is dominated by pollarded black poplar, white poplar (which is not pollarded), and willows (Salix atrocinerea Brot., Salix purpurea L., Salix alba L., Salix eleagnos Scop.). In the nearby drier locations, the landscape is dominated by open grasslands and Mediterranean shrublands (Crataegus monogyna Jacq., Amelanchier ovalis Medik., Genista scorpius (L.) DC., Thymus vulgaris L., Juniperus phoenicea L.). Soils are basic, fertile, and of sandy to clayey texture. They are developed on calcareous limestones and marls. Both poplar species are considered phreatophytes, i.e., their roots uptake groundwater directly [9]. The substrate in Galve has abundant clay layers which retain groundwater.

2.2. Climate Data, Drought Index, and River Flow Data

First, we obtained monthly climate data for the period 1950–2023 (TMax, mean maximum temperature; TMin, mean minimum temperature; Prec, precipitation sum) from the 0.1°-gridded E-OBS climate dataset version 28.0e [20]. Second, weekly data of the Standardized Precipitation Evapotranspiration Index (SPEI), a multi-scalar drought index which accounts for precipitation and temperature effects [21], were obtained for the 1.1 km gridded Spanish SPEI database. Data corresponded to the 1961–2023 period and were obtained for 1-, 3-, and 6-month-long time scales. Negative and positive SPEI values correspond to dry and wet conditions, respectively. Third, monthly river flows were obtained from the Teruel station situated in the lower Alfambra river basin (1.115° W, 40.365°, 885 m, period 1983–2021). Flow data were obtained from the Spanish Flow and Discharge Database (https://ceh.cedex.es; accessed on 25 June 2024). In the study basin, river flows peak from March to May and reach minimum values from July to September [9], corresponding to a continental Mediterranean pluvial flow regime. Annual flows range from 15 to 40 hm3.

2.3. Leaf-Phenology Data

The leaf onset and start of leaf falling dates were obtained for the two poplar species from the Galve meteorological station (0.882° W, 40.655° N, 1188 m a.s.l.), located at ca. 0.5 km from the Galve site. These data correspond to the Phenology Network of the Spanish Meteorological Agency (period 1995–2021). We calculated the duration of the growing season as the difference between the leaf falling and leaf onset dates.

2.4. Field Sampling

Field sampling was carried out in early December 2023. We selected dominant, pollarded black poplar trees and measured their diameter at 1.3 m and total height using tapes and a laser rangefinder (Nikon Forestry Pro 550 hypsometer). In each site, 10 trees pollarded 10 years ago (in December 2014) and another 10 trees pollarded 20 years ago (in December 2004) were sampled and measured. In addition, main branches, formed after pollarding, were sampled at a mean height of 3.7 m. This was conducted using a chainsaw in some of the stems to check the pollarding years, particularly in trees pollarded 20 years ago. We took three cores at 1.3 m from each tree using a Pressler increment borer. Two cores were processed (glued, sanded) for tree-ring width measuring, and the third core was kept without gluing or labeling for wood δ13C analyses.

2.5. Dendrochronological Methods

Cores or cross-sections were air-dried, glued onto wooden mounts, and polished using sandpaper until tree-ring boundaries were conspicuous [22]. Then, samples were visually cross-dated under the stere microscope, and tree-ring widths were measured with a 0.001 resolution along two radii per sample using scanned images (resolution 2400 dpi) and the CooRecorder-CDendro software (v. 9.8.1, Saltsjöbaden, Sweden) [23]. The visual cross-dating was statistically checked using the COFECHA software, which calculates moving correlations between individual series of indexed ring-width values and the mean site series of each species [24]. The age at 1.3 m was estimated by counting the number of rings and by estimating the missing innermost rings (see [9]).
To calculate climate–growth relationships, tree-ring width series were detrended using a spline of 2/3 of the growth series length and a 0.5 response cut-off. Then, autoregressive models were fitted to each series to remove the first-order autocorrelation. Residual, pre-whitened individual series of ring-width indices were obtained and averaged by using bi-weight robust means. This allowed the development of mean chronologies for each site and also the consideration of separately trees pollarded 10 and 20 years ago. Several dendrochronological statistics were calculated over the period 1985–2023, including the first-order autocorrelation of raw ring-width series (AR1), the mean correlation among indexed ring-width series (rbar), and the Expressed Population Signal (EPS) that estimates the coherence and reliability of the mean series of ring-width indices [25].
We calculated Pearson correlations between monthly climate data (TMax, mean maximum temperature; TMin, mean minimum temperature; Prec, total precipitation; and river flow) and the mean site series of leaf-phenology dates and ring-width indices, and also for the mean series of trees pollarded 10 and 20 years ago, from the prior October to current September according to previous studies in the study species [9]. This was conducted for the best-replicated period (1970–2023). In addition, moving correlations were calculated considering 20-year periods lagged every year for the climate variable showing the highest correlation with growth indices. Detrending and climate–growth relationships were calculated using the packages dplR ver. 1.7.7 [26,27] and treeclim [28], respectively, in the R statistical software ver. 4.4.1 [29].

2.6. Analyzing Wood δ13C

Wood δ13C measurements were used to estimate iWUE because previous studies showed similar δ13C values in wood and cellulose [30]. Five trees showing robust cross-dating, i.e., significant (p < 0.05) positive correlations with their respective mean series (10-year- and 20-year-pollarding groups), were selected. One core per tree was transversally cut using a sledge microtome [31] and the sapwood rings corresponding to the period 2015–2023, i.e., one year after the most recent pollarding carried out in 2014, were selected and separated under the microscope using scalpels. This gave a total of 2 sites × 2 groups per site × 5 trees per group = 20 wood samples. Wood samples were milled and homogenized using a ball mixer mill (Retsch MM301, Haan, Germany).
Isotope analyses were carried out at the Stable Isotope Laboratory of the University of Almería (Spain). Wood aliquots (0.9–1.1 mg) were weighed on a microbalance (AX205 Mettler Toledo, OH, USA) into tin foil capsules and combusted to CO2 at 1200 °C (G2201-I Analyzer, Picarro). The CO2 was transferred to a Picarro Liaison A0301 interface and inputted into Cavity Ring-Down Spectroscopy. The δ13C values were referenced to the Vienna PeeDee Belemnite (VPDB) scale. Several standards were used for calibration during δ13C analyses. Four replicates of each standard were analyzed. Precision ranged between 0.05 and 0.27 ‰ (±SE, n = 20) and accuracy varied from −0.03‰ to 0.40‰.

2.7. Statistical Analyses

To compare ring-width data between series of trees with different pollarding times, non-parametric Wilcoxon rank-sum W tests were used. These tests determine whether the obtained tree-ring data of both tree groups (trees pollarded 10 or 20 years ago) originated from the same population (null hypothesis) or if one group shows larger values than the other. To compare wood δ13C values between groups of trees of the same population with different pollarding times and to correct for their lack of normality, we used non-parametric Mann–Whitney U tests. To assess trends in annual climate series and leaf-phenology data, the Kendall τ statistic was used. To compare leaf-phenology trends between species, one-way ANCOVAs were used.

3. Results

3.1. Climate Trends and River Flow Data

In the study area, both the annual mean maximum and minimum temperatures have increased since 1950 (τ = 0.60, p < 0.0001 and τ = 0.22, p = 0.006, respectively; (Figure 2). In contrast, neither the river flow of the hydrological year nor the annual precipitation showed any significant trend (τ = −0.01, p = 0.94 and τ = 0.01, p = 0.99, respectively). Some periods were remarkable because they were wet and cool such as the early 1970s or dry and warm such as the mid-1990s, 2000s, and 2010s. Very low river flows were measured in 1993–1995, 2004–2005, 2011–2012, and 2015–2016 which corresponded to severe droughts.

3.2. Radial Growth

In both sites, mean growth rates were significantly higher in poplars pollarded 10 years ago as compared with those pollarded 20 years ago (Table 1; Galve, U = 656, p = 0.0001; Aguilar, U = 977, p = 0.003). The most recent periods with different growth rates between the two pollarding treatments were 2013–2023 and 2015–2023 in Galve (W = 66, p = 0.001) and Aguilar (W = 45, p = 0.004), respectively (Figure 3). However, trees pollarded 10 years ago also showed significantly (p < 0.05) higher growth rates than trees pollarded 20 years ago in previous periods (Galve, 1979–1986; Aguilar, 1970–1974, 1976–1977, and 1985–1989). Regarding tree-ring statistics, trees pollarded ten years ago showed lower first-order autocorrelation in both sites (Table 1). Recently pollarded trees tended to show lower rbar and EPS values, indicating a lower coherence of their mean growth series as compared with trees pollarded before.
Figure 2. Annual climate data (temperature, precipitation) and river contribution in the hydrological year measured in the study area. Regression lines indicate significant (p < 0.05) trends in the case of temperature data.
Figure 2. Annual climate data (temperature, precipitation) and river contribution in the hydrological year measured in the study area. Regression lines indicate significant (p < 0.05) trends in the case of temperature data.
Forests 15 01869 g002

3.3. Leaf Phenology

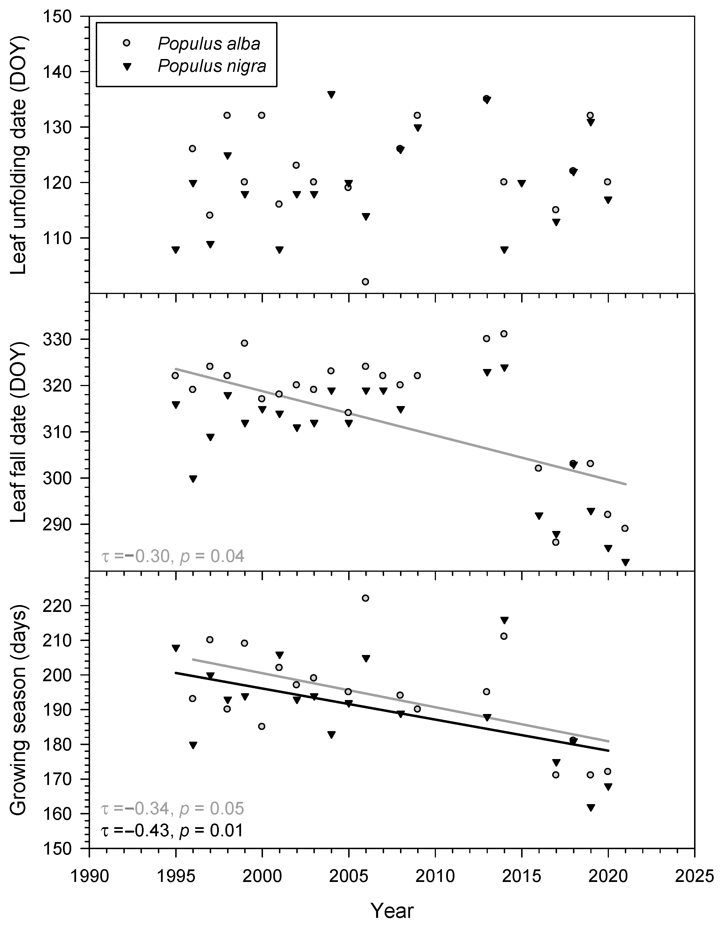
Leaf emergence and fall occurred on average on 28 April and 3 November in black poplar, and these phases were observed on 1 May and 10 November in the case of white poplar. White poplar showed a significantly more delayed leaf fall than black poplar (U = 147, p = 0.016).
Regarding climate–phenology relationships, a higher maximum temperature in March (r = −0.47, p = 0.04) and April (r = −0.81, p < 0.001) led to an earlier leaf unfolding in black poplar, whereas a higher August minimum temperature lead to an earlier leaf fall (r = −0.48, p = 0.04). A high precipitation in April precipitation lead to a more delayed leaf emergence (r = 0.47, p = 0.04) and, consequently, to a shorter growing season (r = −0.62, p = 0.006). In white poplar, similar results were found including the negative relationships between leaf unfolding and April maximum temperature (r = −0.79, p < 0.001) and between the length of the growing season and April precipitation (r = −0.50, p = 0.03).
No significant trends were observed for leaf unfolding, but the leaf fall date showed a negative trend in the case of white poplar (Figure 4). The growing season has significantly shortened in both species, but the negative slope of this trend did not significantly differ between species (F = 0.11, p = 0.75).

3.4. Growth Responses to Climate, Drought Severity, and River Flow

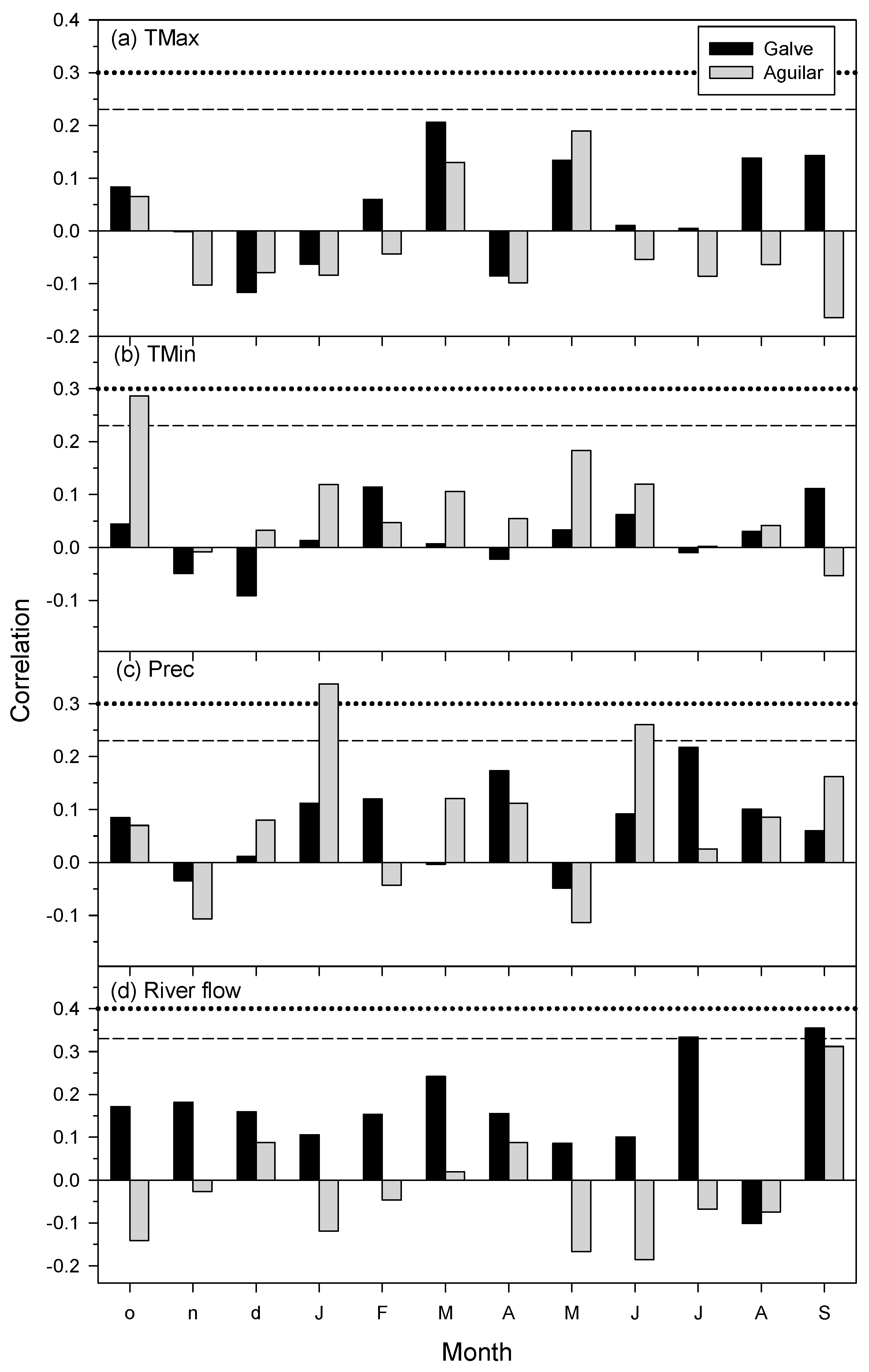
In Galve, growth was enhanced by high precipitation in July and elevated river flows in July and September (Figure 5). The correlations with river flow were much stronger and more significant (p < 0.01) for the series of trees pollarded 10 years ago than for those pollarded 20 years ago (July, r = 0.47 vs. r = 0.14; September, r = 0.53 vs. r = 0.07). In the case of July precipitation, correlations were almost significant with the series of trees pollarded 10 years ago (r = 0.32, p = 0.06).
In Aguilar, growth increased in response to high minimum temperatures in the previous October, the wet conditions in January and June, and again with high river flows in September. We found no differences in the climate–growth relationships between trees pollarded 10 or 20 years ago, only a tendency of trees pollarded 20 years ago to respond more to the September river flow, but this correlation was not significant (r = 0.27, p = 0.12). Considering the drought index, we found positive and significant correlations between the growth indices and the 1-month SPEI in late January and from mid-to-late June in Aguilar (Figure 6).
The importance of January precipitation for growth in Aguilar has strengthened through time as shown by the moving correlations (Figure 7). This relationship became significant from the 2000s onwards.

3.5. Wood δ13C Data

In both study sites, trees pollarded 10 years ago showed significantly lower values of wood δ13C than trees pollarded 20 years ago (Table 2). The highest mean wood δ13C value (−27.95‰), indicating a higher iWUE, was measured in trees pollarded 20 years ago sampled in Aguilar, whereas the lowest wood δ13C value (−29.28‰) was measured in trees pollarded 10 years ago from Galve, indicating a lower iWUE.

4. Discussion

As expected, black polar trees pollarded 10 years ago showed higher growth rates and lower wood δ13C values than coexisting trees pollarded 20 years ago. The average increase in radial growth was 54% (the ratio between the growth rates of trees pollarded 10 and 20 years ago), corresponding to a mean rate of 1.14 mm yr−1, whereas the relative mean decrease in wood δ13C was −5% corresponding to −1.28‰. In Galve, trees pollarded 10 years ago were more responsive, in terms of growth variability, to changes in summer river flow than trees pollarded 20 years ago, whilst no relevant differences were found in Aguilar. These different responses may be explained by different ecohydrological processes operating in the two study sites. In the Aguilar site, the Alfambra river has a very low flow because of intensive water use for irrigation through ditches, which could explain the growth dependence on prior winter precipitation and the lower responsiveness to changes in river flow. In contrast, the Alfambra river has a higher flow near the Galve site, where poplar trees grew more and showed a lower iWUE. Furthermore, the substrate in Galve has abundant clay layers which could retain groundwater and explain the tighter coupling between growth and summer and early autumn (July, September) river flow in this site. Overall, the hydrological conditions seem to be more stressful to poplar growth and water use in Aguilar than in Galve.
The growth enhancement detected in trees pollarded 10 years ago was transitory because their growth rates converged with those of trees pollarded 20 years ago. In addition, the year-to-year growth persistence declined which could explain why growth responded more to river flow variability in Galve in trees pollarded 10 years ago than in those pollarded 20 years ago. The higher autocorrelation of trees pollarded 20 years ago may make them less responsive to environmental fluctuations and indicate a chronic growth decline caused by multiple stressors [19], including a too-long pollarding turn or a weakened river flow and phreatic recharge in the more stressful Aguilar site.
We also found higher growth rates in trees pollarded 10 years during other periods where no pollarding was recorded. They could be explained by climate or hydrological conditions because they occurred either during wet cool decades (1970s in Aguilar) or during periods with high river flows (late 1980s in Galve). We cannot discard that these trees were subjected to previous pollarding during those periods, but this scenario is not plausible given that regular pollarding ceased in most of these stands during the 1960s when most of the rural population migrated to cities and traditional pollarding cycles ceased [9,18].
The observed warming trends suggest ongoing aridification through an increased water evaporative demand. This agrees with the positive growth responses to precipitation in the previous winter (Aguilar), when soil water reserves are replenished, or in the current summer (Galve), when poplar radial growth occurs and water shortage peaks. A similar positive response to July (only in Galve) and September (both sites) river flow confirms the phreatophytic behavior of black poplar and its dependence on phreatic water when the water balance is most negative in late summer [9,32]. Furthermore, warmer and drier spring conditions would lead to an earlier leaf emergence and thus a longer growing season in both poplar species, as we observed in agreement with other studies in European broadleaf species [12]. However, this did not lead to higher radial growth rates as found before [33], as no significant relationship was found between the length of the growing season and the tree-ring width of trees sampled in Galve. Photosynthesis and cambial activity rates respond to different climate drivers, and phenology variability is not necessarily a proxy of growth and productivity [34].
The main limitations of our study are the small amount of sampled trees, which could be increased in the future, and the relatively low coherence among growth series (low EPS values). The second shortcoming is expectable because poplars show complacent growth series and a low responsiveness to climate variability.
The reduced responsiveness to climate and river flow of trees pollarded 20 years ago in the less stressful Galve site reinforces the idea that they are subjected to chronic stress because of the lack of regular pollarding cycles. Such stressful conditions would correspond to lower growth rates and increased wood δ13C reflecting the iWUE. These two patterns could be used in the future as early-warning signals of impending dieback in poplar stands lacking regular pollarding.
Recent pollarding reduced the iWUE in black poplars. The lower wood δ13C values in trees pollarded 10 years ago were found in both study sites, suggesting an alleviation of drought stress either under relatively mesic conditions with higher growth rates (Galve) or in more xeric conditions with reduced river flow and lower growth rates (Aguilar). This lessening of drought stress can be explained by the removal of aboveground biomass through pollarding, which can reduce the transpiring surface area and lead to an increased root–shoot ratio. We suspect this effect is also transitory and keeping a persistently lower iWUE would require regular pollarding cycles every ca. 10 years.

5. Conclusions

To conclude, pollarding improved growth but alleviated drought stress as indicated by the reduction in wood δ13C (indicating a lower iWUE) in trees pollarded 10 years ago. In the long term, non-pollarded trees collapse because of canopy dieback and the excessive weight of uncut main branches [18]. This structural failure may also be driven by a reduction in stem wood production and drought stress amplified by the lack of pollarding and the aridification process linked to rising temperatures. Although formerly pollarded black poplar trees may reach elevated ages of up to 200–250 years [9], pollarding is necessary for keeping them growing and for improving their vigor and resilience to drought stress. Our findings point out future research and management plans to preserve these cultural woodlands, including a better understanding of different pollarding techniques, intensities and timings on long-term growth and survival rates. Regular pollarding should be applied in these stands, particularly in those subjected to stronger drought stress and reduced river flow in summer, and the planting of young poplars could also offset the death of uncut trees.

Author Contributions

Conceptualization, J.J.C. and C.d.J.L.; methodology, J.J.C. and C.V.; software, J.J.C. and C.V.; validation, J.J.C., C.V., J.A.S.-S. and C.d.J.L.; formal analysis, J.J.C.; investigation, J.J.C.; resources, J.J.C.; data curation, J.J.C. and C.V.; writing—original draft preparation, J.J.C.; writing—review and editing, J.J.C., C.V., J.A.S.-S. and C.d.J.L.; visualization, J.J.C.; supervision, J.J.C. and C.d.J.L.; project administration, J.J.C. and C.d.J.L.; funding acquisition, J.J.C. All authors have read and agreed to the published version of the manuscript.

Funding

This research was funded by “Ministerio de Ciencia, Innovación y Universidades” (Spain) grant numbers PID2021–123675OB-C43 and TED2021–129770B-C21. The APC was funded by grant PID2021–123675OB-C43.

Data Availability Statement

The raw data supporting the conclusions of this article will be made available by the authors on request.

Acknowledgments

We thank “Parque Cultural del Chopo Cabecero del Alto Alfambra” for providing sampling permission. We thank Xose Luis and Pedro Sánchez for their help in the field and Ángel Fernández Cortés for carrying out the δ13C analyses. We also thank Alejandro Pérez for explaining to us detailed aspects of the Alfambra basin hydrogeology.

Conflicts of Interest

The authors declare no conflicts of interest.

References

  1. Rackam, G. Woodlands; Collins: London, UK, 2006. [Google Scholar]
  2. Grove, A.T.; Rackham, O. The Nature of Mediterranean Europe: An Ecological History; Yale University Press: New Haven, CT, USA, 2003. [Google Scholar]
  3. Read, H.J. Pollard and Veteran Tree Management, Part II; Corporation of London: London, UK, 1996. [Google Scholar]
  4. Read, H. Veteran Trees: A Guide to Good Management; English Nature: Peterborough, UK, 2000. [Google Scholar]
  5. Read, H.J. Pollards and pollarding in Europe. Br. Wildl. 2008, 19, 250–259. [Google Scholar]
  6. Haas, J.N.; Schweingruber, F.H. Wood anatomical evidence pollarding ash stems the Valais. Dendrochronologia 1993, 11, 35–43. [Google Scholar]
  7. Rozas, V. Dendrochronology of pedunculate oak (Quercus robur L.) in an old-growth pollarded woodland in northern Spain: Establishment patterns and the management history. Ann. For Sci. 2005, 62, 13–22. [Google Scholar] [CrossRef]
  8. Bernard, V.; Renaudin, S.; Marguerie, D. Evidence of trimmed oaks (Quercus sp.) in North Western France during the early Middle Ages (9th–11th centuries AD). In Charcoal Analysis: New Analytical Tools and Methods for Archaeology; Dufraisse, A., Ed.; BAR Publishing: Oxford, UK, 2006; pp. 103–108. [Google Scholar]
  9. Camarero, J.J.; González de Andrés, E.; Colangelo, M.; De Jaime Loren, C. Growth history of pollarded black poplars in a continental Mediterranean region: A paradigm of vanishing landscapes. For. Ecol. Manag. 2022, 517, 120268. [Google Scholar] [CrossRef]
  10. Candel-Pérez, D.; Hernández-Alonso, H.; Castro, F.; Sangüesa-Barreda, G.; Mutke, S.; García-Hidalgo, M.; Rozas, V.; Olano, J.M. 250-Year reconstruction of pollarding events reveals sharp management changes in Iberian ash woodlands. Trees Struct. Funct. 2022, 36, 1909–1921. [Google Scholar] [CrossRef]
  11. Camarero, J.J.; Valeriano, C.; Rubio-Cuadrado, A. Old oaks show increasing growth synchrony after pollarding cessation as climate becomes more arid. For. Ecol. Manag. 2024, 569, 122189. [Google Scholar] [CrossRef]
  12. Menzel, A.; Sparks, T.H.; Estrella, N.; Koch, E.; Aasa, A.; Ahas, R.; Alm-Kübler, K.; Bissolli, P.; Braslavská, O.; Briede, A.; et al. European phenological response to climate change matches the warming pattern. Glob. Chang. Biol. 2006, 12, 1969–1976. [Google Scholar] [CrossRef]
  13. Roslin, T.; Antao, L.; Hallfors, M.; Meyke, E.; Lo, C.; Tikhonov, G.; Delgado, M.M.; Gurarie, E.; Abadonova, M.; Abduraimov, O.; et al. Phenological shifts of abiotic events, producers and consumers across a continent. Nat. Clim. Chang. 2021, 11, 241–248. [Google Scholar] [CrossRef]
  14. Camarero, J.J.; Campelo, F.; Sánchez-Sancho, J.A.; Santana, J.C. Mediterranean service trees respond less to drought than oaks. For. Ecol. Manag. 2023, 541, 121070. [Google Scholar] [CrossRef]
  15. Ranius, T.; Jansson, N. The influence of forest regrowth, original canopy cover and tree size on saproxylic beetles associated with old oaks. Biol. Conserv. 2000, 95, 85–94. [Google Scholar] [CrossRef]
  16. Farquhar, G.D.; Richards, R.A. Isotopic composition of plant carbon correlates with water-use efficiency of wheat genotypes. Austral. J. Plant Physiol. 1984, 11, 539–552. [Google Scholar] [CrossRef]
  17. Siegwolf, R.T.W.; Brooks, J.R.; Roden, J.; Saurer, M. Stable Isotopes in Tree Rings; Springer: Cham, Switzerland, 2022. [Google Scholar]
  18. De Jaime Loren, F.C.; Herrero Loma, F. El Chopo Cabecero en el Sur de Aragón. La Identidad de un Paisaje; Centro de Estudios del Jiloca: Calamocha, Spain, 2007. [Google Scholar]
  19. Stella, J.C.; Bendix, J. Multiple stressors in riparian ecosystems. In Multiple Stressors in River Ecosystems; Sabater, S., Elosegi, A., Ludwig, R., Eds.; Elsevier: Amsterdam, The Netherlands, 2019; pp. 81–110. [Google Scholar]
  20. Cornes, R.; van der Schrier, G.; van den Besselaar, E.J.M.; Jones, P.D. An ensemble version of the E-OBS temperature and precipitation datasets. J. Geophys. Res. Atm. 2018, 123, 9391–9409. [Google Scholar] [CrossRef]
  21. Vicente-Serrano, S.M.; Tomás-Burguera, M.; Beguería, S.; Reig-Gracia, F.; Latorre, B.; Peña-Gallardo, M.; Luna, Y.; Morata, A.; González-Hidalgo, J.C. A High Resolution Dataset of Drought Indices for Spain. Data 2017, 2, 22. [Google Scholar] [CrossRef]
  22. Fritts, H.C. Tree Rings and Climate; Blackburn Press: Caldwell, ID, USA, 2001. [Google Scholar]
  23. Larsson, L. CDendro & CooRecorder Program Package; Version 9.8.1; Cybis Elektronik & Data: Saltsjöbaden, Sweden, 2005; Available online: https://www.cybis.se/forfun/dendro (accessed on 10 September 2024).
  24. Holmes, R.L. Computer-Assisted Quality Control in Tree-Ring Dating and Measurement. Tree-Ring Bull. 1983, 43, 69–78. [Google Scholar]
  25. Wigley, T.M.L.; Briffa, K.R.; Jones, P.D. On the average value of correlated time series, with applications in dendroclimatology and hydrometeorology. Am. Meteorol. Soc. 1984, 23, 201–213. [Google Scholar] [CrossRef]
  26. Bunn, A.G. Statistical and visual crossdating in R using the dplR library. Dendrochronologia 2010, 28, 251–258. [Google Scholar] [CrossRef]
  27. Bunn, A.G.; Korpela, M.; Biondi, F.; Campelo, F.; Mérian, P.; Qeadan, F.; Zang, C. dplR: Dendrochronology Program Library in R. R package, Version 1.7.7. 2024. Available online: https://cran.r-project.org/web/packages/dplR/index.html (accessed on 13 September 2024).
  28. Zang, C.; Biondi, F. Treeclim: An R package for the numerical calibration of proxy-climate relationships. Ecography 2015, 38, 431–436. [Google Scholar] [CrossRef]
  29. R Core Team. A Language and Environment for Statistical Computing; R Foundation for Statistical Computing: Vienna, Austria, 2024; Available online: https://www.r-project.org/ (accessed on 13 September 2024).
  30. D’Alessandro, C.M.; Guerrieri, M.R.; Saracino, A. Comparing carbon isotope composition of bulk wood and holocellulose from Quercus cerris, Fraxinus ornus and Pinus radiata tree rings. For. J. Silvic. For. Ecol. 2004, 1, 51–57. [Google Scholar]
  31. Gärtner, H.; Nievergelt, D. The core-microtome, a new tool for surface preparation on cores and time series analysis of varying cell parameters. Dendrochronologia 2010, 28, 85–92. [Google Scholar] [CrossRef]
  32. Singer, M.B.; Stella, J.C.; Dufour, S.; Piégay, H.; Wilson, R.J.S.; Johnstone, L. Contrasting water-uptake and growth responses to drought in co-occurring riparian tree species. Ecohydrology 2013, 6, 402–412. [Google Scholar] [CrossRef]
  33. Camarero, J.J.; Campelo, F.; Colangelo, M.; Valeriano, C.; Knorre, A.; Solé, G.; Rubio-Cuadrado, A. Decoupled leaf-wood phenology in two pine species from contrasting climates: Longer growing seasons do not mean more radial growth. Agric. For. Meteorol. 2022, 327, 109223. [Google Scholar] [CrossRef]
  34. Körner, C.; Möhl, P.; Hiltbrunner, E. Four ways to define the growing season. Ecol. Lett. 2023, 26, 1277–1292. [Google Scholar] [CrossRef] [PubMed]
Figure 1. (a) Location of the two study sites (GA, Galve; AG, Aguilar) in Teruel, Aragón, North Eastern Spain (the small map shows the distribution of black poplar in Europe and the location of the study area—grey box). The sites are located in the Alfambra river basin (purple area). Blue lines correspond to rivers, and color patches show basins. The red patches show Zaragoza and Teruel cities. Green points correspond to pollarded black poplar stands. Views of poplars pollarded (b) twenty and (c) ten years ago, respectively, and (d) recently pollarded poplars (two years before sampling).
Figure 1. (a) Location of the two study sites (GA, Galve; AG, Aguilar) in Teruel, Aragón, North Eastern Spain (the small map shows the distribution of black poplar in Europe and the location of the study area—grey box). The sites are located in the Alfambra river basin (purple area). Blue lines correspond to rivers, and color patches show basins. The red patches show Zaragoza and Teruel cities. Green points correspond to pollarded black poplar stands. Views of poplars pollarded (b) twenty and (c) ten years ago, respectively, and (d) recently pollarded poplars (two years before sampling).
Forests 15 01869 g001
Figure 3. Mean tree-ring width series (log scale) measured in the two study sites. The gray bars indicate periods when trees which were pollarded 10 years ago (10 yrs, black symbols) grew significantly (p < 0.05) more than trees which were pollarded 20 years ago (20 yrs, yellow symbols). Values are the means ± SE.
Figure 3. Mean tree-ring width series (log scale) measured in the two study sites. The gray bars indicate periods when trees which were pollarded 10 years ago (10 yrs, black symbols) grew significantly (p < 0.05) more than trees which were pollarded 20 years ago (20 yrs, yellow symbols). Values are the means ± SE.
Forests 15 01869 g003
Figure 4. Leaf-phenology series (dates of leaf onset and fall, growing season) measured in the two study poplar species. DOY is the day of the year. The gray and black symbols, lines, and statistics correspond to Populus alba and Populus nigra, respectively. The statistics are the Kendall τ and its associated probability level (p).
Figure 4. Leaf-phenology series (dates of leaf onset and fall, growing season) measured in the two study poplar species. DOY is the day of the year. The gray and black symbols, lines, and statistics correspond to Populus alba and Populus nigra, respectively. The statistics are the Kendall τ and its associated probability level (p).
Forests 15 01869 g004
Figure 5. Correlations (Pearson coefficients) calculated between the mean series of ring-width indices in Galve and Aguilar and monthly climate: (a) TMax, mean maximum temperature; (b) TMin, mean minimum temperature; (c) Prec, total precipitation; and (d) river flow data. The window of analyses lies from autumn and winter of the prior year (o, n, d) to the current September (S). The horizontal dashed and dotted lines show the 0.05 and 0.01 significance levels, respectively.
Figure 5. Correlations (Pearson coefficients) calculated between the mean series of ring-width indices in Galve and Aguilar and monthly climate: (a) TMax, mean maximum temperature; (b) TMin, mean minimum temperature; (c) Prec, total precipitation; and (d) river flow data. The window of analyses lies from autumn and winter of the prior year (o, n, d) to the current September (S). The horizontal dashed and dotted lines show the 0.05 and 0.01 significance levels, respectively.
Forests 15 01869 g005
Figure 6. Correlations (Pearson coefficients) calculated between the mean series of ring-width indices in Galve and Aguilar and the 1-month SPEI calculated at weekly resolution. The horizontal dashed and dotted lines show the 0.05 and 0.01 significance levels, respectively. DOY is the day of the year. Correlations were calculated from January to September of the year of tree-ring formation.
Figure 6. Correlations (Pearson coefficients) calculated between the mean series of ring-width indices in Galve and Aguilar and the 1-month SPEI calculated at weekly resolution. The horizontal dashed and dotted lines show the 0.05 and 0.01 significance levels, respectively. DOY is the day of the year. Correlations were calculated from January to September of the year of tree-ring formation.
Forests 15 01869 g006
Figure 7. Moving correlations (Pearson coefficients) calculated between growth indices and January precipitation in the Aguilar study site. Values located above the horizontal dashed line are significant (p < 0.05). Correlations were calculated considering 20-year periods lagged every year for the period 1970–2023.
Figure 7. Moving correlations (Pearson coefficients) calculated between growth indices and January precipitation in the Aguilar study site. Values located above the horizontal dashed line are significant (p < 0.05). Correlations were calculated considering 20-year periods lagged every year for the period 1970–2023.
Forests 15 01869 g007
Table 1. Size and tree-ring variables measured in the two study sites. Values are the means ± SE. Different letters indicate significant (p < 0.05) differences between ditch and control stands located in the same site according to Mann–Whitney tests. Tree-ring width corresponds to the common period 1970–2023. Statistics are abbreviated as: AR1, first-order autocorrelation; rbar, the mean correlation among indexed ring-width series; EPS, Expressed Population Signal.
Table 1. Size and tree-ring variables measured in the two study sites. Values are the means ± SE. Different letters indicate significant (p < 0.05) differences between ditch and control stands located in the same site according to Mann–Whitney tests. Tree-ring width corresponds to the common period 1970–2023. Statistics are abbreviated as: AR1, first-order autocorrelation; rbar, the mean correlation among indexed ring-width series; EPS, Expressed Population Signal.
SitePollarded Time (Years Ago)Diameter at 1.3 m (cm)Height (m)Age at 1.3 m (Years)Tree-Ring Width (mm)AR1RbarEPS
Galve1079.0 ± 8.016.9 ± 0.495 ± 53.94 ± 0.30 b0.58 ± 0.01 a 0.400.77
2082.9 ± 6.618.2 ± 0.989 ± 42.53 ± 0.11 a0.65 ± 0.02 b0.490.82
Aguilar1087.2 ± 5.514.0 ± 0.998 ± 62.52 ± 0.13 b0.55 ± 0.01 a 0.460.81
2083.7 ± 4.615.1 ± 0.6109 ± 81.64 ± 0.11 a0.66 ± 0.03 b0.510.87
Table 2. Values of δ13C measured in wood of (‰). Values are the means ± SE. Different letters indicate significant (p < 0.05) differences of δ13C between ditch and control stands located in the same site according to Mann–Whitney tests.
Table 2. Values of δ13C measured in wood of (‰). Values are the means ± SE. Different letters indicate significant (p < 0.05) differences of δ13C between ditch and control stands located in the same site according to Mann–Whitney tests.
SitePollarded Time (Years Ago)Wood δ13C (‰)Mann–Whitney U (p)
Galve10−29.28 ± 0.150.001 (0.008)
20−28.00 ± 0.34
Aguilar10−29.22 ± 0.200.001 (0.008)
20−27.95 ± 0.23
Disclaimer/Publisher’s Note: The statements, opinions and data contained in all publications are solely those of the individual author(s) and contributor(s) and not of MDPI and/or the editor(s). MDPI and/or the editor(s) disclaim responsibility for any injury to people or property resulting from any ideas, methods, instructions or products referred to in the content.

Share and Cite

MDPI and ACS Style

Camarero, J.J.; Valeriano, C.; Sánchez-Sancho, J.A.; de Jaime Loren, C. Pollarding May Relieve Drought Stress in Black Poplars. Forests 2024, 15, 1869. https://doi.org/10.3390/f15111869

AMA Style

Camarero JJ, Valeriano C, Sánchez-Sancho JA, de Jaime Loren C. Pollarding May Relieve Drought Stress in Black Poplars. Forests. 2024; 15(11):1869. https://doi.org/10.3390/f15111869

Chicago/Turabian Style

Camarero, J. Julio, Cristina Valeriano, José Antonio Sánchez-Sancho, and Chabier de Jaime Loren. 2024. "Pollarding May Relieve Drought Stress in Black Poplars" Forests 15, no. 11: 1869. https://doi.org/10.3390/f15111869

APA Style

Camarero, J. J., Valeriano, C., Sánchez-Sancho, J. A., & de Jaime Loren, C. (2024). Pollarding May Relieve Drought Stress in Black Poplars. Forests, 15(11), 1869. https://doi.org/10.3390/f15111869

Note that from the first issue of 2016, this journal uses article numbers instead of page numbers. See further details here.

Article Metrics

Back to TopTop