Phytoremediation Effect and Soil Microbial Community Characteristics of Jiulong Iron Tailings Area, Jiangxi
Abstract
:1. Introduction
2. Material and Methods
2.1. Study Area Overview
2.2. Sample Collection
2.3. Chemical Property Determination
2.4. DNA Extraction and Metagenomic Sequencing
2.5. Data Processing and Analysis
2.5.1. Soil Samples Chemical Property Analysis
2.5.2. Macrogenomic Sequencing Analysis
3. Results and Analysis
3.1. Effect of Three Tree Species Planting on the Heavy Metal Content of the Soil in Mining Areas
3.2. Heavy Metal Content in Plants
3.3. Analysis of Soil Microbial Community Composition of the Three Plants
3.3.1. Species Annotation and Statistics
3.3.2. Species Diversity at the Phylum Level
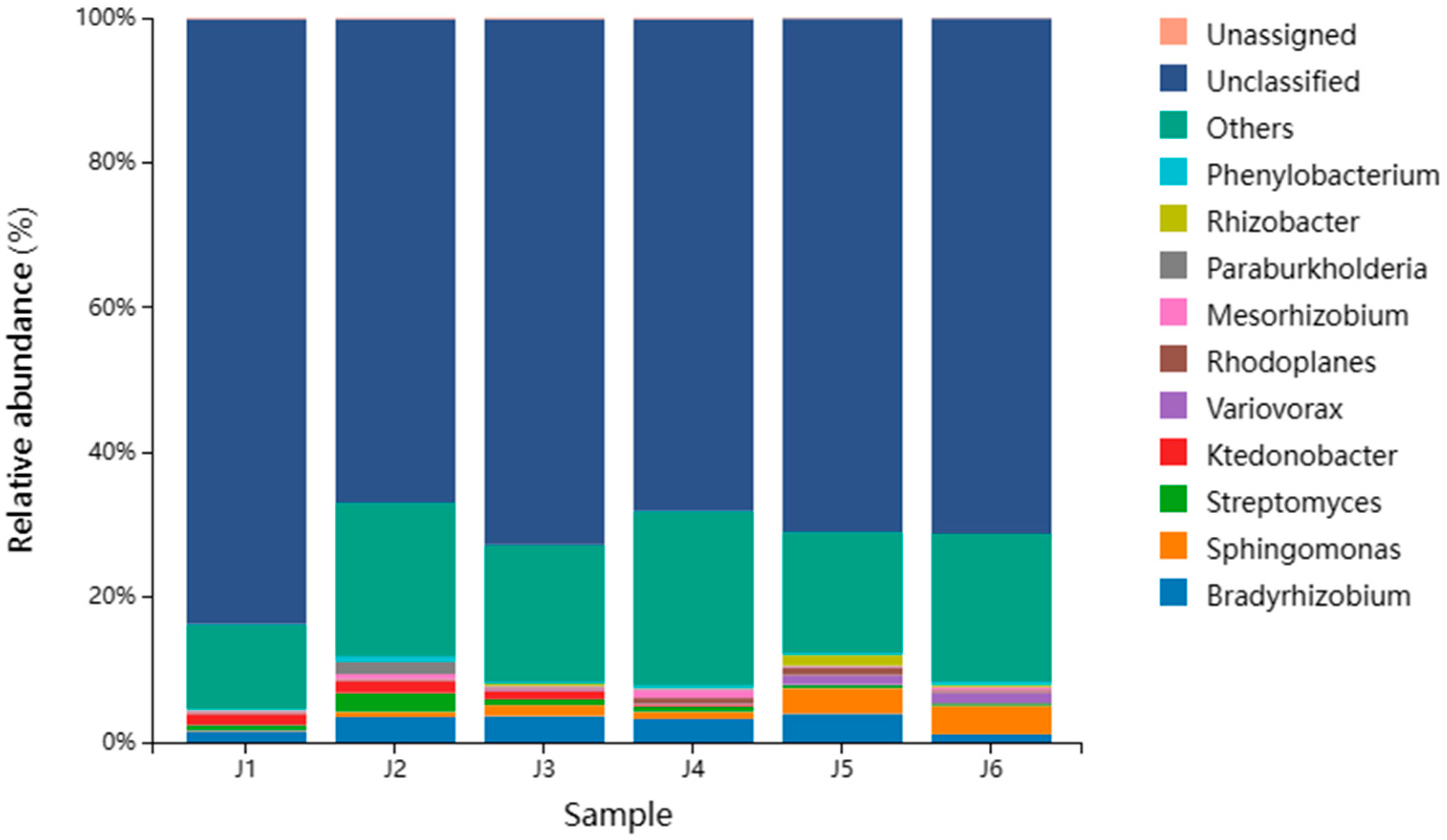
3.3.3. Species Diversity at the Genus Level
3.4. Soil Antibiotic Resistance Genes Characteristics
4. Discussion
4.1. Heavy Metal Enrichment and Transfer Capacity of Plants
4.2. Microbial Community Composition at Different Levels
4.2.1. Microbial Community Composition at the Phylum Level
4.2.2. Microbial Community Composition at the Genus Level
4.3. Soil Antibiotic Resistance Genes Characteristics
5. Conclusions
Author Contributions
Funding
Data Availability Statement
Conflicts of Interest
References
- Su, R.; Xie, T.; Yao, H.; Chen, Y.; Wang, H.; Dai, X.; Wang, Y.; Shi, L.; Luo, Y. Lead Responses and Tolerance Mechanisms of Koelreuteria paniculata: A Newly Potential Plant for Sustainable Phytoremediation of Pb-Contaminated Soil. Int. J. Environ. Res. Public Health 2022, 19, 14968. [Google Scholar] [CrossRef] [PubMed]
- Xie, C.X.; Li, H.M.; Wang, R.J.; Wang, K.Y. Analysis of the Quantity and Distribution of the Total Identified Iron Resources in China and Their Supply Capability. Acta Geosci. Sin. 2009, 30, 387–394. (In Chinese) [Google Scholar]
- Pehoiu, G.; Radulescu, C.; Murarescu, O.; Dulama, I.D.; Bucurica, I.A.; Teodorescu, S.; Stirbescu, R.M. Health Risk Assessment Associated with Abandoned Copper and Uranium Mine Tailings. Bull. Environ. Contam. Tox. 2019, 102, 504–510. [Google Scholar] [CrossRef] [PubMed]
- Heo, J.H.; Chung, Y.; Park, J.H. Recovery of Iron and Removal of Hazardous Elements from Waste Copper Slag via a Novel Aluminothermic Smelting Reduction (ASR) Process. J. Clean. Prod. 2016, 137, 777–787. [Google Scholar] [CrossRef]
- Balabanova, B.; Stafilov, T.; Sajn, R.; Baèeva, K. Characterisation of Heavy Metals in Lichen Species Hypogymnia physodes and Evernia prunastri due to Biomonitoring of Air Pollution in the Vicinity of Copper Mine. Int. J. Environ. Res. 2012, 6, 779–794. [Google Scholar]
- Chen, H.; Shen, W.G.; Shan, L.; Xiong, C.B.; Su, Y.Q.; Liu, B.; Rao, J.L. Situation of Discharge and Comprehensive Utilization of Iron Tailings Domestic and Abroad. Concrete 2012, 2, 88–92. (In Chinese) [Google Scholar]
- Wu, Z.; Yu, F.; Sun, X.; Wu, S.; Li, X.; Liu, T.; Li, Y. Long Term Effects of Lespedeza bicolor Revegetation on Soil Bacterial Communities in Dexing Copper Mine Tailings in Jiangxi Province, China. Appl. Soil Ecol. 2018, 125, 192–201. [Google Scholar] [CrossRef]
- Cornu, J.Y.; Huguenot, D.; Jézéquel, K.; Marc, L.; Thierry, L. Bioremediation of Copper-contaminated Soils by Bacteria. World J. Microb. Biot. 2017, 33, 26. [Google Scholar] [CrossRef]
- Yan, L.B. Metal Recovery from the Copper Sulfide Tailing with Leaching and Fractional Precipitation Technology. Hydrometallurgy 2014, 147, 178–182. [Google Scholar]
- Valenzuela, E.I.; García-Figueroa, A.C.; Amábilis-Sosa, L.E.; Molina-Freaner, F.E.; Pat-Espadas, A.M. Stabilization of Potentially Toxic Elements Contained in Mine Waste: A Microbiological Approach for the Environmental Management of Mine Tailings. J. Environ. Manag. 2020, 270, 110873. [Google Scholar] [CrossRef]
- Rezaie, B.; Anderson, A. Sustainable Resolutions for Environmental Threat of the Acid Mine Drainage. Sci. Total. Environ. 2020, 717, 137211. [Google Scholar] [CrossRef] [PubMed]
- Nies, D.H. Bacterial Transition Metal Homeostasis. In Molecular Microbiology of Heavy Metals; Springer: Berlin/Heidelberg, Germany, 2007; pp. 117–142. [Google Scholar]
- Li, S.; Wu, J.; Huo, Y.; Zhao, X.; Xue, L. Profiling Multiple Heavy Metal Contamination and Bacterial Communities Surrounding an Iron Tailing Pond in Northwest China. Sci. Total. Environ. 2021, 752, 141827. [Google Scholar] [CrossRef] [PubMed]
- Zhang, F.L. The Distribution of Antibiotic Resistance Genes and Its Influencing Factors in Agricultural Soil nearby a Smelting Plant. Master’s Thesis, Zhengzhou University, Zhengzhou, China, 2018. (In Chinese). [Google Scholar]
- Huang, L. Summary Report on the Current Situation of Iron Ore Resource Utilization in Jiangxi Province; Jiangxi Provincial Bureau of Geology and Mineral Exploration and Development, Jiangxi Geological Survey Brigade: Nanchang, China, 2011. (In Chinese)
- GB 15618-2018; Soil Environmental Quality Risk Control Standard for Soil Contamination of Agricultural Land. Ministry of Ecology and Environment: Beijing, China, 2018.
- Chen, S.B.; Wang, M.; Li, S.; Zhao, Z.Q.; E, W.-D. Overview on Current Criteria for Heavy Metals and its Hint for the Revision of Soil Environmental Quality Standards in China. J. Integr. Agric. 2018, 17, 765–774. [Google Scholar] [CrossRef]
- Mahdavian, K.; Ghaderian, S.M.; Torkzadeh-Mahani, M. Accumulation and Phytoremediation of Pb, Zn, and Ag by Plants Growing on Koshk Lead–zinc Mining Area, Iran. J. Soils Sediments 2017, 17, 1310–1320. [Google Scholar] [CrossRef]
- Andrews, S. FastQC: A Quality Control Tool for High throughput Sequence Data; The Babraham Institute: Babraham, UK, 2010. [Google Scholar]
- Gurevich, A.; Saveliev, V.; Vyahhi, N.; Tesler, G. QUAST: Quality Assessment Tool for Genome Assemblies. Bioinformatics 2013, 29, 1072–1075. [Google Scholar] [CrossRef]
- Zhu, W.; Lomsadze, A.; Borodovsky, M. Ab initio Gene Identification in Metagenomic Sequences. Nucleic Acids Res. 2010, 38, 132. [Google Scholar] [CrossRef]
- Steinegger, M.; Söding, J. MMseqs2 Enables Sensitive Protein Sequence Searching for the Analysis of Massive Data Sets. Nat. Biotechnol. 2017, 35, 1026–1028. [Google Scholar] [CrossRef]
- Altschul, S.F.; Madden, T.L.; Schäffer, A.A.; Zhang, J.H.; Zhang, Z. Gapped BLAST and PSI-BLAST: A New Generation of Protein Database Search Programs. Nucleic Acids Res. 1997, 25, 3389–3402. [Google Scholar] [CrossRef]
- Beals, E.W. Bray-Curtis Ordination: An Effective Strategy for Analysis of Multivariate Ecological Data. In Advances in Ecological Research; Academic Press: Cambridge, MA, USA, 1984; Volume 14, pp. 1–55. [Google Scholar]
- Punz, W.F.; Sieghardt, H. The Response of Roots of Herbaceous Plant Species to Heavy Metals. Environ. Exp. Bot. 1993, 33, 85–98. [Google Scholar] [CrossRef]
- Wang, G.H.; Liu, J.J.; Yu, Z.H.; Wang, X.Z.; Jin, J.; Liu, X.B. Research Progress of Acidobacteria Ecology in Soil. Biotech. Bull. 2016, 32, 14–20. (In Chinese) [Google Scholar]
- Zhang, X.; Yan, Z.W.; Huang, Z.L. Rhizosphere Proteobacteria from Robinia pseudoacacia and Their Performance in Removing Heavy Metals. Environ. Sci. Technol. 2019, 42, 80–89. [Google Scholar]
- Zhang, W.D. A Preliminary Study on the Diversity and Biological Functions of Culturable Actinomycetes in the Coastal Zone of Lianyungang. Master’s Thesis, Jiangsu Normal University, Xuzhou, China, 2014. (In Chinese). [Google Scholar]
- Looft, T.; Johnson, T.A.; Allen, H.K.; Baylesa, D.O.; Alta, D.P.; Stedtfeld, R.D.; Sul, W.J.; Stedtfeld, T.M.; Chai, B.; Cole, J.R.; et al. In-feed Antibiotic Effects on the Swine Intestinal Microbiome. Proc. Natl. Acad. Sci. USA 2012, 109, 1691–1696. [Google Scholar] [CrossRef] [PubMed]
- Coss-Navarrete, E.L.; Díaz-Valle, A.; Alvarez-Venegas, R. Induction of Plant Resistance to Biotic Stress by Priming with β-aminobutyric Acid (BABA) and its Effect on Nitrogen-fixing Nodule Development. In Priming-Mediated Stress and Cross-Stress Tolerance in Crop Plants; Academic Press: Cambridge, MA, USA, 2020; pp. 101–114. [Google Scholar]
- Li, Z.K.; Zhou, L.; Wang, Y.M.; Pan, J.Y.; Wang, Y.C.; Fan, N.W.; Chen, Q.C.; Wu, K.; Feng, L.L.; Wu, N.M. Sphingomonas Strain and its Application in Water Treatment. CN 102168054A, 31 August 2011. (In Chinese). [Google Scholar]
- Yang, L.; Li, X.; Wu, P.; Xue, J.; Wei, X. Streptovertimycins A–H, New Fasamycin-type Antibiotics Produced by a Soil-derived Streptomyces morookaense Strain. J. Antibiot. 2020, 73, 283–289. [Google Scholar] [CrossRef] [PubMed]
- Yabe, S.; Sakai, Y.; Abe, K.; Akira, Y.; Akira, T.; Atsuko, M.; Arwan, S.; Dwiningsih, S.; Moriyuki, H.; Kazuhide, N.; et al. Dictyobacter aurantiacus gen. nov., sp. nov., a Member of the Family Ktedonobacteraceae, Isolated from Soil, and Emended Description of the Genus Thermosporothrix. Int. J. Syst. Evol. Microbiol. 2017, 67, 2615–2621. [Google Scholar] [CrossRef]
- Rahman, M.; Sabir, A.A.; Mukta, J.A.; Khan, M.M.A.; Mohi-Ud-Din, M.; Miah, M.G.; Rahman, M.; Islam, M.T. Plant Probiotic Bacteria Bacillus and Paraburkholderia Improve Growth, Yield, and Content of Antioxidants in Strawberry Fruit. Sci. Rep. 2018, 8, 2504. [Google Scholar] [CrossRef] [PubMed]
- Finkel, O.M.; Salas-González, I.; Castrillo, G.; Conway, J.M.; Law, T.F.; Teixeira, P.J.P.L.; Wilson, E.D.; Fitzpatrick, C.R.; Jones, C.D.; Dangl, J.L. A Single Bacterial Genus Maintains Root Growth in a Complex Microbiome. Nature 2020, 587, 103–108. [Google Scholar] [CrossRef]
- Huang, X.R.; Zhang, C.W.; Zhang, X.X. The Status and Role of rhizobia in Contaminated Soil Remediation. Soil Fert. Sci. China 2016, 5, 5–10. (In Chinese) [Google Scholar]
- Liu, Y.P.; Shi, W.D.; Pan, L. Comparison Test of Seven Trees Species in Resistance to Heavy Metals Pollution. J. Jiangsu For. Sci. Technol. 2010, 37, 13–17. (In Chinese) [Google Scholar]
- Xiong, Y.W.; Tang, B.; Lin, X.Y.; Gong, Y.L. Soil Heavy Metals Contentand Dominant Plants Absorption Characteristics in Xiangxi Manganese Mining Area. J. Anhui Agri. Sci. 2016, 44, 84–87+95. (In Chinese) [Google Scholar]
- Zou, T.; Li, T.; Zhang, X.Z.; Yu, H.Y.; Huang, H.G. Lead Accumulation and Phytostabilization Potential of Dominant Plant Species Growing in a Lead–zinc Mine Tailing. Environ. Geol. 2012, 65, 621–630. [Google Scholar] [CrossRef]
- Mendez, M.O.; Maier, R.M. Phytoremediation of Mine Tailings in Temperate and Arid Environments. Rev. Environ. Sci. Bio. 2008, 7, 47–59. [Google Scholar] [CrossRef]
- Guo, X.H.; Zhu, G.L.; Wei, X.Z. Characteristics of Uptake, Bioaccumulation, and Translocation of Soil Lead (Pb) in Five Species of Herbaceous Plants. Res. Soil Water Conserv. 2016, 23, 183–186. (In Chinese) [Google Scholar]
- Lin, X.Y.; Xu, C.; Gong, Y.L.; Tang, B.; Yang, S.X.; Huang, L.; Zhao, L.; Xu, J.X.; Li, H.Y.; Liu, D.B. Repairing Effect of Different Plant Species and Their Combination on Lead-zinc Tailings. Environ. Eng. 2016, 34, 983–987+949. (In Chinese) [Google Scholar]
- Zhong, C.F.; Zhang, Q.S.; Lin, L.J.; Hui, J.C.; Zhu, X.M. Effects of Modifiers on Zinc, Chromium and Nutrient Availabilities in Soil. Res. Soil Water Conserv. 2010, 17, 233–236. (In Chinese) [Google Scholar]






| Species | Position | As mg·kg−1 | Hg μg·kg−1 | Cr mg·kg−1 | Cu mg·kg−1 | Pb mg·kg−1 | Zn mg·kg−1 |
|---|---|---|---|---|---|---|---|
| Chinese fir | Rhizosphere | 2.05 ± 0.04 | 15.23 ± 0.26 | 64.84 ± 3.28 | 82.47 ± 2.45 | 50.35 ± 3.69 | 238.34 ± 4.37 |
| Non-rhizosphere | 1.52 ± 0.02 | 12.64 ± 0.23 | 66.06 ± 3.77 | 79.62 ± 1.74 | 45.94 ± 1.71 | 246.06 ± 2.38 | |
| Wetland Pine | Rhizosphere | 4.69 ± 0.08 | 15.35 ± 0.47 | 107.52 ± 1.81 | 25.81 ± 0.13 | 63.15 ± 2.88 | 282.68 ± 6.01 |
| Non-rhizosphere | 4.32 ± 0.04 | 17.53 ± 0.04 | 104.27 ± 4.89 | 26.12 ± 0.98 | 60.00 ± 1.60 | 270.24 ± 8.68 | |
| Alder | Rhizosphere | 1.63 ± 0.08 | 21.76 ± 0.25 | 118.89 ± 2.76 | 60.00 ± 2.04 | 65.53 ± 3.35 | 170.83 ± 41.78 |
| Non-rhizosphere | 1.64 ± 0.09 | 24.62 ± 0.13 | 124.39 ± 4.61 | 63.44 ± 0.96 | 71.84 ± 2.74 | 164.96 ± 36.37 | |
| Comparison | 2.28 ± 0.09 | 37.34 ± 0.17 | 106.02 ± 2.08 | 26.80 ± 1.46 | 64.28 ± 1.07 | 114.14 ± 3.49 | |
| Soil environmental quality: risk control standard for soil contamination of agricultural land (GB15618-2018) [16] | 40 | 1300 | 150 | 50 | 70 | 200 | |
| Species | Component | As μg·kg−1 | Hg μg·kg−1 | Cr mg·kg−1 | Cu mg·kg−1 | Pb mg·kg−1 | Zn mg·kg−1 |
|---|---|---|---|---|---|---|---|
| Chinese fir | Aboveground | 248.65 ± 0.67 | 25.38 ± 0.40 | 23.37 ± 0.28 | 11.77 ± 0.07 | 82.74 ± 3.11 | 96.01 ± 0.73 |
| Root | 155.35 ± 0.93 | 9.77 ± 0.05 | 25.18 ± 0.32 | 7.88 ± 0.11 | 17.99 ± 1.26 | 34.50 ± 0.38 | |
| Wetland Pine | Aboveground | 193.80 ± 0.59 | 18.86 ± 0.36 | 15.93 ± 0.30 | 17.36 ± 0.18 | 80.65 ± 1.89 | 100.23 ± 0.89 |
| Root | 268.34 ± 0.21 | 9.06 ± 0.08 | 26.19 ± 0.18 | 6.45 ± 0.03 | 11.52 ± 0.66 | 31.36 ± 0.10 | |
| Alder | Aboveground | 107.08 ± 0.88 | 17.84 ± 0.23 | 14.81 ± 0.21 | 38.77 ± 0.37 | 50.58 ± 1.37 | 183.51 ± 1.92 |
| Root | 269.67 ± 0.21 | 5.34 ± 0.26 | 26.70 ± 0.52 | 21.07 ± 0.36 | 29.34 ± 0.39 | 80.34 ± 0.51 | |
| Normal content in plants | <1000.00 | <100.00 | 0.20~3.00 | 0.40~45.8 | 0.10~41.70 | 1.00~160.00 | |
| The critical value of hyperaccumulator | 1,000,000.00 | 10,000.00 | 1000.00 | 1000.00 | 1000.00 | 10,000.00 | |
Disclaimer/Publisher’s Note: The statements, opinions and data contained in all publications are solely those of the individual author(s) and contributor(s) and not of MDPI and/or the editor(s). MDPI and/or the editor(s) disclaim responsibility for any injury to people or property resulting from any ideas, methods, instructions or products referred to in the content. |
© 2023 by the authors. Licensee MDPI, Basel, Switzerland. This article is an open access article distributed under the terms and conditions of the Creative Commons Attribution (CC BY) license (https://creativecommons.org/licenses/by/4.0/).
Share and Cite
Lingyu, H.; Wenzheng, W.; Liguo, S.; Qian, W.; Xiangrong, L.; Yanlin, Z.; Qiwu, S. Phytoremediation Effect and Soil Microbial Community Characteristics of Jiulong Iron Tailings Area, Jiangxi. Forests 2023, 14, 1849. https://doi.org/10.3390/f14091849
Lingyu H, Wenzheng W, Liguo S, Qian W, Xiangrong L, Yanlin Z, Qiwu S. Phytoremediation Effect and Soil Microbial Community Characteristics of Jiulong Iron Tailings Area, Jiangxi. Forests. 2023; 14(9):1849. https://doi.org/10.3390/f14091849
Chicago/Turabian StyleLingyu, Hou, Wang Wenzheng, Song Liguo, Wang Qian, Liu Xiangrong, Zhang Yanlin, and Sun Qiwu. 2023. "Phytoremediation Effect and Soil Microbial Community Characteristics of Jiulong Iron Tailings Area, Jiangxi" Forests 14, no. 9: 1849. https://doi.org/10.3390/f14091849
APA StyleLingyu, H., Wenzheng, W., Liguo, S., Qian, W., Xiangrong, L., Yanlin, Z., & Qiwu, S. (2023). Phytoremediation Effect and Soil Microbial Community Characteristics of Jiulong Iron Tailings Area, Jiangxi. Forests, 14(9), 1849. https://doi.org/10.3390/f14091849

