Changes in Ecosystem Service Values of Forests in Southwest China’s Karst Regions from 2001–2020
Abstract
1. Introduction
2. Materials and Methods
2.1. Overview of the Study Area
2.2. Dataset
2.3. Methods
2.3.1. Indicator Framework
2.3.2. Landscape Index
2.3.3. Ecosystem Services Value-Equivalent Model
3. Results
3.1. Changes in Physical Condition
3.1.1. Extent Changes and Area Transfer
3.1.2. Forest Products
3.1.3. Changes in Landscape
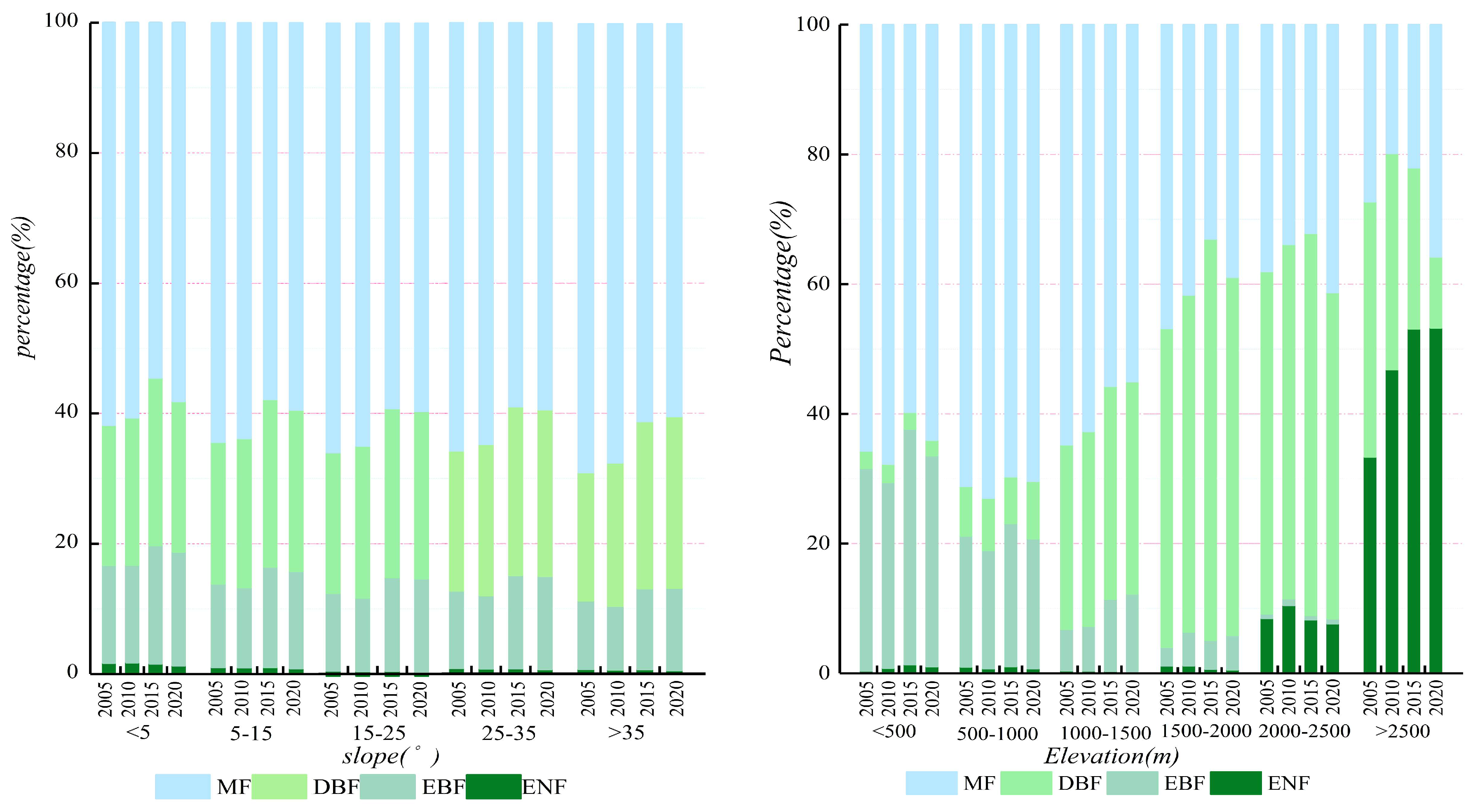
3.1.4. Slope and Elevation Changes
3.1.5. Threats
3.2. Changes in Ecosystem Services
3.2.1. Changes of Spatial-Temporal Pattern
3.2.2. Changes of Ecosystem Services Value
4. Discussion
4.1. The Framework Design
4.2. Insufficiency of the Value-Equivalent Model
5. Conclusions
- Over the past two decades, forest rehabilitation within the study area has yielded commendable outcomes, substantially mitigating various ecological dilemmas instigated by rocky desertification in this region. The forested area has increased significantly, and the ecosystem service value has more than doubled.
- The restoration of the forest ecosystem in the research area has clear stages. The physical accounts and ecosystem service accounts of the forest ecosystem in the second stage show more significant changes in terms of range expansion, area increase, and value enhancement compared to the first stage. The main reason is that a number of ecological restoration policies were implemented locally during this stage, including the conversion of farmland to forests, migration and relocation, and the promotion of the development of the forestry industry.
- Human intervention has a significant impact on the changes in the ecosystem, and reasonable forestry management policies can effectively and quickly enhance the service value of the forest ecosystem. By establishing an evaluation system that combines remote-sensing data and socio-economic data, we can provide excellent technical support for finding a balance between the sustainable development of forests and human life.
Author Contributions
Funding
Institutional Review Board Statement
Informed Consent Statement
Data Availability Statement
Acknowledgments
Conflicts of Interest
Appendix A
| Name | Description |
|---|---|
| Evergreen Needleleaf Forests | Dominated by evergreen conifer trees (canopy >2 m). Tree cover >60%. |
| Evergreen Broadleaf Forests | Dominated by evergreen broadleaf and palmate trees (canopy >2 m). Tree cover >60%. |
| Deciduous Needleleaf Forests | Dominated by deciduous needleleaf (larch) trees (canopy >2 m). Tree cover >60%. |
| Deciduous Broadleaf Forests | Dominated by deciduous broadleaf trees (canopy >2 m). Tree cover >60%. |
| Mixed Forests | Dominated by neither deciduous nor evergreen (40–60% of each) tree type (canopy >2 m). Tree cover >60%. |
| Closed Shrublands | Dominated by woody perennials (1–2 m height) >60% cover. |
| Open Shrublands | Dominated by woody perennials (1–2 m height) 10–60% cover. |
| Woody Savannas | Tree cover 30–60% (canopy >2 m). |
| Savannas | Tree cover 10–30% (canopy >2 m). |
| Grasslands | Dominated by herbaceous annuals (<2 m) |
| Permanent Wetlands | Permanently inundated lands with 30–60% water cover and >10% vegetated cover. |
| Croplands | At least 60% of area is cultivated cropland. |
| Urban and Built-up Lands | At least 30% impervious surface area including building materials, asphalt, and vehicles. |
| Cropland/Natural Vegetation Mosaics | Mosaics of small-scale cultivation 40–60% with natural tree, shrub, or herbaceous vegetation. |
| Permanent Snow and Ice | At least 60% of area is covered by snow and ice for at least 10 months of the year. |
| Barren | At least 60% of area is non-vegetated barren (sand, rock, soil) areas with less than 10% vegetation. |
| Water Bodies | At least 60% of area is covered by permanent water bodies. Unclassified 255 Has not received a map label because of missing inputs. |
References
- FAO. Global Forest Resources Assessment 2020—Key Findings; FAO: Rome, Italy, 2020. [Google Scholar]
- Available online: https://www.Fao.org/Forest-Resources-Assessment/En/ (accessed on 1 March 2023).
- Campbell, E.T.; Tilley, D.R. Valuing ecosystem services from Maryland forests using environmental accounting. Ecosyst. Serv. 2014, 7, 141–151. [Google Scholar] [CrossRef]
- FAO. Global Forest Resources Assessment 2020. Guidelines and Specifications Fra 2020; FAO: Rome, Italy, 2018. [Google Scholar]
- Grammatikopoulou, I.; Vačkářová, D. The value of forest ecosystem services: A meta-analysis at the European scale and application to national ecosystem accounting. Ecosyst. Serv. 2021, 48, 101262. [Google Scholar] [CrossRef]
- Helseth, E.V.; Vedeld, P.; Framstad, E.; Gómez-Baggethun, E. Forest Ecosystem Services in Norway: Trends, Condition, and Drivers of Change (1950–2020). Ecosyst. Serv. 2022, 58, 101491. [Google Scholar] [CrossRef]
- Available online: https://Sustainabledevelopment.un.org/ (accessed on 1 December 2022).
- Dardonville, M.; Legrand, B.; Clivot, H.; Bernardin, C.; Bockstaller, C.; Therond, O. Assessment of ecosystem services and natural capital dynamics in agroecosystems. Ecosyst. Serv. 2022, 54, 101415. [Google Scholar] [CrossRef]
- Edens, B.; Maes, J.; Hein, L.; Obst, C.; Siikamaki, J.; Schenau, S.; Javorsek, M.; Chow, J.; Chan, J.Y.; Steurer, A.; et al. Establishing the SEEA Ecosystem Accounting as a global standard. Ecosyst. Serv. 2022, 54, 101413. [Google Scholar] [CrossRef]
- UN; FAO. System of Environmental-Economic Accounting for Agriculture, Forestry and Fisheries (SEEA AFF); The Food and Agriculture Organization of the United Nations and United Nations Statistical Division: Rome, Italy, 2020. [Google Scholar]
- UN; EC; IMF; FAO; WB; OECD. System of Environmental-Economic Accounting (Central Framework); United Nations Department of Economic and Social Affairs: New York, NY, USA, 2014. [Google Scholar]
- Guerry, A.D.; Polasky, S.; Lubchenco, J.; Chaplin-Kramer, R.; Daily, G.C.; Griffin, R.; Ruckelshaus, M.H.; Bateman, I.J.; Duraiappah, A.; Elmqvist, T.; et al. Natural capital and ecosystem services informing decisions: From promise to practice. Proc. Natl. Acad. Sci. USA 2015, 112, 7348–7355. [Google Scholar] [CrossRef] [PubMed]
- Available online: https://Seea.un.org/Home/Natural-Capital-Accounting-Project (accessed on 1 March 2023).
- Available online: https://Seea.un.org/News/Release-Ncaves-China-Project-Reports-During-Closing-Workshop (accessed on 1 March 2023).
- Available online: https://Seea.un.org/Content/China-0 (accessed on 1 March 2023).
- Hein, L.; Bagstad, K.J.; Obst, C.; Edens, B.; Schenau, S.; Castillo, G.; Soulard, F.; Brown, C.; Driver, A.; Bordt, M.; et al. Progress in natural capital accounting for ecosystems. Science 2020, 367, 514–515. [Google Scholar] [CrossRef]
- Polasky, S.; Daily, G. An Introduction to the Economics of Natural Capital. Rev. Environ. Econ. Policy 2021, 15, 87–94. [Google Scholar] [CrossRef]
- Chen, C.; Park, T.; Wang, X.; Piao, S.; Xu, B.; Chaturvedi, R.K.; Fuchs, R.; Brovkin, V.; Ciais, P.; Fensholt, R.; et al. China and India lead in greening of the world through land-use management. Nat. Sustain. 2019, 2, 122–129. [Google Scholar] [CrossRef]
- Macias-Fauria, M. Satellite images show China going green. Nature 2018, 553, 411–413. [Google Scholar] [CrossRef]
- Bagstad, K.J.; Ingram, J.C.; Lange, G.M.; Masozera, M.; Ancona, Z.H.; Bana, M.; Kagabo, D.; Musana, B.; Nabahungu, N.L.; Rukundo, E.; et al. Towards Ecosystem Accounts for Rwanda: Tracking 25 Years of Change in Flows and Potential Supply of Ecosystem Services. People Nat. 2019, 2, 163–188. [Google Scholar] [CrossRef]
- Brandon, C.; Brandon, K.; Fairbrass, A.; Neugarten, R. Integrating Natural Capital into National Accounts: Three Decades of Promise and Challenge. Rev. Environ. Econ. Policy 2021, 15, 134–153. [Google Scholar] [CrossRef]
- Tong, X.; Brandt, M.; Yue, Y.; Horion, S.; Wang, K.; De Keersmaecker, W.; Tian, F.; Schurgers, G.; Xiao, X.; Luo, Y.; et al. Increased vegetation growth and carbon stock in China karst via ecological engineering. Nat. Sustain. 2018, 1, 44–50. [Google Scholar] [CrossRef]
- Zhang, C.; Qi, X.; Wang, K.; Zhang, M.; Yue, Y. The application of geospatial techniques in monitoring karst vegetation recovery in southwest China. Prog. Phys. Geogr. Earth Environ. 2017, 41, 450–477. [Google Scholar] [CrossRef]
- Chen, Q.; Xiong, K.; Dan, W.; Niu, L. Analysis of the coupling characteristics of ecology and poverty in typical karst areas: A case study of 9000 provincial poor villages in Guizhou Province. Acta Ecol. Sin. 2021, 41, 2968–2982. [Google Scholar]
- Wu, Y.; Zhou, Z.; Zhu, C.; Ma, G.; Huang, D. Measurement and spatial differentiation of rural poverty in karst mountainous areas: A case study of Panzhou City. Resour. Environ. Yangtze River Basin 2020, 29, 1247–1256. [Google Scholar]
- Yang, R.; Zhong, C.; Yang, Z.; Liu, F.; Peng, H. Analysis of Poverty Influencing Factors in Deep Poverty Counties of Southwest Karst Rocky Desertification. World Geogr. Res. 2022, 31, 1298–1309. [Google Scholar]
- Guizhou Provincial Local Chronicles Compilation Committee. Guizhou Provincial Chronicle Geographical Chronicles; Guizhou People’s Publishing House: Guiyang, China, 1988. [Google Scholar]
- Qian, C. Remote Sensing Inversion of Forest Biomass and Spatiotemporal Dynamic Analysis in Karst Region. Ph.D. Thesis, Nanjing Forestry University, Nanjing, China, 2022. [Google Scholar]
- Su, W. Current Causes of Rocky Desertification in Karst Mountainous Areas of Southwest China and Optimization Model of Governance. J. Soil Water Conserv. 2002, 2, 29–32+79. [Google Scholar]
- Xiong, K.; Li, J.; Long, M. Characteristics and key problems of soil erosion in typical karst rocky desertification control areas. Acta Geogr. 2012, 67, 878–888. [Google Scholar]
- Guizhou Provincial Local Chronicles Compilation Committee. Guizhou Province (1978–2010) Forestry; Guizhou People’s Publishing House: Guiyang, China, 2019; Volume 16. [Google Scholar]
- Feng, N.; Liu, D.; Li, Y.; Liu, P. Soil net N mineralization and hydraulic properties of carbonate-derived laterite under different vegetation types in Karst forests of China. Sci. Total. Environ. 2023, 856, 159116. [Google Scholar] [CrossRef] [PubMed]
- Peng, D.; Zhou, Q.; Tang, X.; Yan, W.; Chen, M. Changes in soil moisture caused solely by vegetation restoration in the karst region of southwest China. J. Hydrol. 2022, 613, 128460. [Google Scholar] [CrossRef]
- Zhong, F.; Xu, X.; Li, Z.; Zeng, X.; Yi, R.; Luo, W.; Zhang, Y.; Xu, C. Relationships between lithology, topography, soil, and vegetation, and their implications for karst vegetation restoration. Catena 2022, 209, 105831. [Google Scholar] [CrossRef]
- Guizhou Provincial Local Chronicles Compilation Committee. Guizhou Province Chronicle (1978–2010) XVI Vols; Guizhou People’s Publishing House: Guiyang, China, 2017; Volume Agriculture. [Google Scholar]
- He, Y.; Wang, L.; Niu, Z.; Nath, B. Vegetation recovery and recent degradation in different karst landforms of southwest China over the past two decades using GEE satellite archives. Ecol. Informatics 2022, 68, 101555. [Google Scholar] [CrossRef]
- Peng, J.; Jiang, H.; Liu, Q.; Green, S.M.; Quine, T.A.; Liu, H.; Qiu, S.; Liu, Y.; Meersmans, J. Human activity vs. climate change: Distinguishing dominant drivers on LAI dynamics in karst region of southwest China. Sci. Total. Environ. 2020, 769, 144297. [Google Scholar] [CrossRef] [PubMed]
- Available online: https://Doi.org/10.5067/Modis/Mcd12q1.061 (accessed on 6 July 2023).
- Hu, X.; Chen, Z.; Mo, L.; Yan, C.; Wang, W.; Luo, X. Analysis of Forest Landscape Pattern of Danxiashan National Nature Reserve Based on Remote Sensing Imagery. Ecol. Sci. 2023, 42, 155–163. [Google Scholar]
- Liu, Y.; Cai, X.; Ning, X.; Wang, H. Urban Forest Mapping Study of Landscape Ecological Index Model. Sci. Surv. Mapp. 2022, 47, 185–195. [Google Scholar]
- Chen, S.; Feng, X.; Ma, R.; Hong, Q. Evaluation Method and Empirical Study of Cultivated Land Fragmentation: A Case Study of Ningbo City, Zhejiang Province. China Land Sci. 2016, 30, 80–87. [Google Scholar]
- Liu, Y.; Liao, H.; Wu, X.; Guo, Q.; Mao, X.; Li, C. A Study on the Spatial Coupling Relationship between Arable Land Fragmentation and Poverty in Southwest Karst Region. J. Southwest Univ. Nat. Sci. Ed. 2019, 41, 10–20. [Google Scholar]
- Wang, S. Remote Sensing Monitoring and Spatiotemporal Analysis of Forest Change Characteristics in Southwest China in the Past 20 Years. Master’s Thesis, Southwest University, Chongqing, China, 2022. [Google Scholar]
- Xiong, C.; Wu, Z.; Zeng, Z.; Gong, J.; Li, J. Research on the temporal and spatial evolution of forest landscape pattern in the Guangdong-Hong Kong-Macao Greater Bay Area based on “spatial form-fragmentation-aggregation”. Acta Ecol. Sin. 2023, 43, 3032-44. [Google Scholar]
- Wan, W. Spatial differentiation of cultivated land fragmentation in Zhejiang Province based on county scale. Environ. Ecol. 2021, 3, 15–21+48. [Google Scholar]
- Yang, J.; Xie, B.; Zhang, D. Spatial–temporal evolution of ESV and its response to land use change in the Yellow River Basin, China. Sci. Rep. 2022, 12, 13103. [Google Scholar] [CrossRef]
- Costanza, R.; de Groot, R.; Farber, S.; Grasso, M.; Hannon, B.; Limburg, K.; Naeem, S.; Paruelo, J.; Raskin, R.G.; Sutton, P.; et al. The Value of the World’s Ecosystem Services and Natural Capital. Nature 1997, 387, 253–260. [Google Scholar] [CrossRef]
- Costanza, R.; Kubiszewski, I.; Giovannini, E.; Lovins, H.; McGlade, J.; Pickett, K.E.; Ragnarsdóttir, K.V.; Roberts, D.; De Vogli, R.; Wilkinson, R. Development: Time to Leave Gdp Behind. Nature 2014, 505, 283–285. [Google Scholar] [CrossRef]
- Costanza, R.; de Groot, R.; Sutton, P.; van der Ploeg, S.; Anderson, S.J.; Kubiszewski, I.; Farber, S.; Turner, R.K. Changes in the global value of ecosystem services. Glob. Environ. Chang. 2014, 26, 152–158. [Google Scholar] [CrossRef]
- Xie, G.; Zhang, C.; Zhang, L.; Chen, W.; Li, S. Improvement of Ecosystem Service Value Methodology Based on Value Equivalent Factor per Unit Area. J. Nat. Resour. 2015, 30, 1243–1254. [Google Scholar]
- Xie, G.; Zhen, L.; Lu, C.; Xiao, Y.; Chen, C. A Valinization Approach to Ecosystem Services Based on Expert Knowledge. J. Nat. Resour. 2008, 5, 911–919. [Google Scholar]
- Su, W.; Li, P.; He, W.; Zhu, W. Ecotourism in Guizhou Maolan Karst Forest Nature Reserve. Carsologica China 2001, 1, 67–71. [Google Scholar]
- Wang, X.; Long, J.; Li, J.; Liu, L.; Liao, H.; Li, Y.; Yang, R. Soil eukaryotic microbial diversity under different successions of Maolan karst forest in Guizhou. Environ. Sci. 2020, 41, 4314–4321. [Google Scholar]
- Su, W. The fragility of karst mountain ecosystems in Guizhou and its countermeasures. Sci. Soil Water Conserv. 2004, 3, 64–69. [Google Scholar]
- Salafsky, N.; Salzer, D.; Stattersfield, A.J.; Hilton-Taylor, C.; Neugarten, R.; Butchart, S.H.M.; Collen, B.; Cox, N.; Master, L.L.; O’Connor, S.; et al. A Standard Lexicon for Biodiversity Conservation: Unified Classifications of Threats and Actions. Conserv. Biol. 2008, 22, 897–911. [Google Scholar] [CrossRef]
- Salafsky, N.; Margoluis, R.; Redford, K.H.; Robinson, J.G. Improving the Practice of Conservation:A Conceptual Framework and Research Agenda for Conservation Science. Conserv. Biol. 2002, 16, 1469–1479. [Google Scholar] [CrossRef]
- Macroeconomic Database of Guizhou Province, China. Available online: http://hgk.guizhou.gov.cn/publish/tj/index.html (accessed on 12 July 2023).
- Xie, G.; Lu, C.; Leng, Y.; Zheng, D.; Li, S. Valuation of Ecological Assets on the Tibetan Plateau. J. Nat. Resour. 2003, 2, 189–196. [Google Scholar]
- Xie, G.; Zhang, C.; Zhang, C.; Xiao, Y.; Lu, C. The Value of Ecosystem Services in China. Resour. Sci. 2015, 37, 1740–1746. [Google Scholar]








| Resource Type | Data Sources | |
|---|---|---|
| Spatial Data | Digital elevation models (DEM) | Google Earth Engine Platform (https://developers.google.cn/earth-engine/datasets) accessed on 4 December 2022 |
| Land Cover | ||
| Landsat net primary production (NPP) Global precipitation measurement (GPM) | ||
| Socio-economic Data | Forest Products | Guizhou Statistical Yearbook (2001–2021) (http://stjj.guizhou.gov.cn/) accessed on 4 December 2022 |
| Forest Fire | ||
| Insect pests and rat infestations |
| Account Types | First-Level Indicators | Second-Level Indicators |
|---|---|---|
| Physical Condition | Extent | Area |
| Livelihood provision | Forest Production | |
| Site conditions | Elevation | |
| Slope | ||
| Landscape index | NP | |
| PD | ||
| LPI | ||
| ED | ||
| AREA_MN | ||
| SHAPE_MN | ||
| FRAC_MN | ||
| COHESION | ||
| DIVISION | ||
| AI | ||
| Threats | Forest Fire | |
| Pests and Rats | ||
| Ecosystem Services | Provisioning Services | Food production |
| Raw Material Production | ||
| Water Supply | ||
| Regulating Services | Gas Regulation | |
| Climate Regulation | ||
| Environmental Purification | ||
| Hydrological Regulation | ||
| Supporting Services | Soil Conservation | |
| Maintenance of Nutrient Cycles | ||
| Biodiversity | ||
| Cultural Services | Aesthetic Landscape |
| Landscape Index | Indicator Description | Calculation Formula | Reference |
|---|---|---|---|
| Number of Patch (NP) | The number of patches, or the number of patches of a certain type of landscape | N | [42] |
| Patch Density (PD) | PD represents the density of a certain patch in the landscape, which can reflect the heterogeneity and fragmentation of the landscape as a whole and the degree of fragmentation of a certain type, as well as the heterogeneity of the landscape per unit area. | [42] | |
| Largest Patch Index (LPI) | LPI is the ratio of the largest patch area to the total area in line, which is a positive correlation indicator of the contiguous situation, reflecting the size of the dominant patch in the landscape. | [41] | |
| Edge Density (ED) | ED is the ratio of the total perimeter to the total area of the patch, which is a negative correlation indicator of the contiguous situation, reflecting the degree of fragmentation of the patch. | [43] | |
| Mean Area (AREA_MN) | It represents an average situation, which indicates the degree of fragmentation of the landscape. | [43] | |
| Mean Shape (SHAPE_MN) | It is the mean shape index, which reflects the degree of disturbance of human activities to the landscape pattern. | [44] | |
| Mean Patch Fractal Dimension (FRAC_MN) | It indicates the complexity of the plate. If the result is 1.0, it indicates the simplest square plate. | [44] | |
| Patch Cohesion Index (COHESION) | It reflects the aggregation and dispersion of patches in the landscape, and the value is between −1 and 1. When the index result is −1, the patches are completely dispersed, and when the result is 1, the patches are clustered. | [45] | |
| Landscape Division Index (DIVISION) | It refers to the separation degree of individual distribution of different plates in a certain landscape type. | [45] | |
| Aggregation Index (AI) | AI examined the connectivity between patches of each landscape type. The smaller the value, the more discrete the landscape. | ) | [46] |
| 01–02 | 02–03 | 03–04 | 04–05 | 05–06 | 06–07 | 07–08 | 08–09 | 09–10 | 10–11 | 11–12 | 12–13 | 13–14 | 14–15 | 15–16 | 16–17 | 17–18 | 18–19 | 19–20 | |
|---|---|---|---|---|---|---|---|---|---|---|---|---|---|---|---|---|---|---|---|
| Trans-in Area (km2) | 833.88 | 646.88 | 605.63 | 590.69 | 639.13 | 800.50 | 865.00 | 777.63 | 874.94 | 972.25 | 1339.13 | 1806.31 | 2786.44 | 2510.38 | 1548.19 | 3554.63 | 3708.44 | 3791.50 | 3895.06 |
| Trans-out Area (km2) | 198.56 | 248.63 | 270.19 | 337.75 | 266.44 | 317.25 | 363.38 | 361.44 | 372.06 | 423.06 | 327.88 | 216.75 | 172.00 | 154.06 | 288.56 | 1290.94 | 1382.88 | 1001.75 | 1218.06 |
| Ratio | 4.2 | 2.6 | 2.2 | 1.7 | 2.4 | 2.5 | 2.4 | 2.2 | 2.4 | 2.3 | 4.1 | 8.3 | 16.2 | 16.3 | 5.4 | 2.8 | 2.7 | 3.8 | 3.2 |
| Year | PSV | RSV | SSV | CSV | Total |
|---|---|---|---|---|---|
| 2001 | 1.78 | 19.77 | 7.29 | 1.47 | 30.31 |
| 2002 | 1.85 | 20.48 | 7.55 | 1.52 | 31.39 |
| 2003 | 1.88 | 20.79 | 7.66 | 1.54 | 31.87 |
| 2004 | 1.90 | 21.10 | 7.77 | 1.56 | 32.33 |
| 2005 | 1.91 | 21.19 | 7.80 | 1.57 | 32.47 |
| 2006 | 1.94 | 21.56 | 7.93 | 1.59 | 33.03 |
| 2007 | 1.99 | 22.07 | 8.12 | 1.63 | 33.80 |
| 2008 | 2.03 | 22.55 | 8.30 | 1.67 | 34.54 |
| 2009 | 2.07 | 22.91 | 8.43 | 1.69 | 35.11 |
| 2010 | 2.11 | 23.47 | 8.63 | 1.73 | 35.94 |
| 2011 | 2.16 | 24.00 | 8.81 | 1.77 | 36.75 |
| 2012 | 2.28 | 25.43 | 9.32 | 1.87 | 38.91 |
| 2013 | 2.49 | 27.71 | 10.15 | 2.04 | 42.38 |
| 2014 | 2.85 | 31.78 | 11.62 | 2.34 | 48.59 |
| 2015 | 3.19 | 35.59 | 13.00 | 2.61 | 54.39 |
| 2016 | 3.35 | 37.48 | 13.69 | 2.75 | 57.27 |
| 2017 | 3.56 | 39.81 | 14.52 | 2.92 | 60.80 |
| 2018 | 3.77 | 42.18 | 15.38 | 3.09 | 64.41 |
| 2019 | 4.00 | 44.70 | 16.34 | 3.29 | 68.33 |
| 2020 | 4.25 | 47.44 | 17.35 | 3.49 | 72.53 |
Disclaimer/Publisher’s Note: The statements, opinions and data contained in all publications are solely those of the individual author(s) and contributor(s) and not of MDPI and/or the editor(s). MDPI and/or the editor(s) disclaim responsibility for any injury to people or property resulting from any ideas, methods, instructions or products referred to in the content. |
© 2023 by the authors. Licensee MDPI, Basel, Switzerland. This article is an open access article distributed under the terms and conditions of the Creative Commons Attribution (CC BY) license (https://creativecommons.org/licenses/by/4.0/).
Share and Cite
Zhou, Z.; Zhang, L.; Wu, T.; Luo, D.; Wu, L.; Chen, Q.; Feng, Q. Changes in Ecosystem Service Values of Forests in Southwest China’s Karst Regions from 2001–2020. Forests 2023, 14, 1534. https://doi.org/10.3390/f14081534
Zhou Z, Zhang L, Wu T, Luo D, Wu L, Chen Q, Feng Q. Changes in Ecosystem Service Values of Forests in Southwest China’s Karst Regions from 2001–2020. Forests. 2023; 14(8):1534. https://doi.org/10.3390/f14081534
Chicago/Turabian StyleZhou, Zhongfa, Lu Zhang, Tangyin Wu, Dan Luo, Lan Wu, Quan Chen, and Qing Feng. 2023. "Changes in Ecosystem Service Values of Forests in Southwest China’s Karst Regions from 2001–2020" Forests 14, no. 8: 1534. https://doi.org/10.3390/f14081534
APA StyleZhou, Z., Zhang, L., Wu, T., Luo, D., Wu, L., Chen, Q., & Feng, Q. (2023). Changes in Ecosystem Service Values of Forests in Southwest China’s Karst Regions from 2001–2020. Forests, 14(8), 1534. https://doi.org/10.3390/f14081534

