Next Article in Journal
Mapping Forest Cover and Estimating Soil Organic Matter by GIS-Data and an Empirical Model at the Subnational Level in Mexico
Next Article in Special Issue
Current Status and Challenges for Forest Commons (Iriai Forest) Management in Japan: A Focus on Forest Producers’ Cooperatives and Authorized Neighborhood Associations
Previous Article in Journal
Seasonal Dynamics of Soil Enzymatic Activity under Different Land-Use Types in Rocky Mountainous Region of North China
Previous Article in Special Issue
Verification of Structural Strength of Spur Roads Constructed Using a Locally Developed Method for Mountainous Areas: A Case Study in Kochi University Forest, Japan
 
 
Font Type:
Arial Georgia Verdana
Font Size:
Aa Aa Aa
Line Spacing:
Column Width:
Background:
Article

Rain-Driven Failure Risk on Forest Roads around Catchment Landforms in Mountainous Areas of Japan

1
United Graduate School of Agricultural Sciences, Iwate University, Morioka 020-8550, Japan
2
Agri-Innovation Center, Faculty of Agriculture, Iwate University, Morioka 020-8550, Japan
3
Geo Forest Co., Ltd., Minamiminowa 399-4511, Japan
4
Forestry and Forest Products Research Institute, Tsukuba 305-8687, Japan
*
Author to whom correspondence should be addressed.
Forests 2023, 14(3), 537; https://doi.org/10.3390/f14030537
Submission received: 15 February 2023 / Revised: 7 March 2023 / Accepted: 8 March 2023 / Published: 9 March 2023

Abstract

Although the causes of and impacts against forest road failure differ according to the type of damage that occurs, the statistical understanding of the trends in the type of failure is insufficient. In this study, we collected data on 526 forest road failures due to heavy rainfall during 2006–2010 in the mountainous regions of Japan and statistically analyzed the characteristics. The forest roads covered in this study include those used primarily for timber extraction as well as those used for public purposes. Forest road segments were classified into four categories: streamside, stream crossings, zero-order basin, and others, and comparisons were made regarding the length of damage, the relative probability of occurrence, repair costs, and induced rainfall intensity in each category. Streamside segments accounted for only 15% of the total length of routes analyzed but 42% of all damaged segments. Furthermore, the relative risk of the streamside segments was about 6.0 times higher than that of the other categories of segments, indicating that they were the most likely to be damaged in this analysis. It is clear that the most important issue in the target area is to prevent damage to streamside segments.

1. Introduction

A properly maintained network of forest roads provides the forest accessibility necessary for the sustainable use of forest resources, including forest maintenance, timber harvesting, hunting management, and recreational activities [1]. On the other hand, forest roads gradually lose their functionality due to erosion caused by use and exposure to rainfall after establishment, and if the degree of erosion becomes severe enough, they are damaged and become dysfunctional. The forms and factors of erosion and damage vary. Accumulation of sediment and organic matter in culverts crossing forest roads reduces the drainage capacity of culverts [2], causing gully of the road surface due to overflow of stream water [3], culvert failure, and road body failure at stream crossings. Overflow of road surface runoff water causes road body failure by significantly changing the shape of the rutted area itself. Sediment accumulation on the road surface due to soil avalanches from the cut slope or its upper slope makes the road impassable for vehicular traffic.
Soil erosion, in which forest roads are directly or indirectly involved, is an important source of sediment to streams in forested watersheds, affecting the hydrologic system of the forested watershed [4]. Sediment inputs to forested stream systems can have adverse effects on water quality, such as turbidity, increased nutrient concentrations, and reduced water clarity. Therefore, studies have examined the effects of rainfall, vegetation, and season on sediment runoff generated by the existing road network [5,6], as well as studies on the interaction between the road network and the river network [7].
Facilities for proper drainage are of paramount importance in road design [8]. Therefore, studies have been conducted on the layout and dimensioning of appropriate drainage facilities, taking into account the topography and hydrological factors of the hillsides and the road structure [2,9]. From the viewpoint of minimizing the amount of road surface erosion, guidelines have been given for appropriate cross-sectional trench spacing according to the longitudinal gradient [10]. In recent years, forest road design and maintenance methods have been proposed that take into account the impact on the forest environment as well as economic efficiency; Aruga et al. [11] attempted to reduce sediment deposition to rivers and the total cost of forest road alignment planning; Dodson et al. [12] studied the environmental impact on rivers, the cost both environmental and economic to the river, the occurrence of road failures that may lead to both environmental and economic costs, and the total cost of owning a forest road, they examined a method for scheduling maintenance and improvement activities on forest road segments to minimize these three costs. Saito et al. [13] studied an automatic forest road design model that considers shallow landslides using LiDAR data. Pellegrini and Grigolato [14] examined how the integrated use of GIS and Analytical Hierarchy Process (AHP) analysis can be used to determine priorities in road network maintenance work to minimize sediment generation from road surfaces and maximize the social value of roads.
In Japan, studies have analyzed the risk of forest road failure from the perspective of topography and forest road structure. Located on the eastern edge of monsoon Asia, one of the world’s rainiest regions, Japan has an average annual precipitation of 1718 mm, which is about twice the world average (880 mm) [15]. The rainy season in June and typhoons in autumn bring torrential rains. Geologically, the terrain is complex and steep due to its location in an orogenic belt where the Pacific Plate is subducting toward the continental plate, and there are many mountainous areas with active erosion. Therefore, the placement of forest roads on unstable slopes may cause slope failure. Kondo and Kamiya [16] surveyed 100 forest road failures that occurred on three forest road routes over a 13-year period from 1977 to 1989 and analyzed the characteristics of damage-prone stream crossings using Quantification II. Surface failures on hillsides occur most frequently in concave landforms (zero-order basin) where seepage water and weathered sediments are concentrated and have not yet developed in the primary valley [17]. Yoshimura and Kanzaki [18] analyzed slope failure factors by analysis of variance using only topographic factors legible from topographic maps. In the analysis, inclination, cross-section slope, turning point inclination, and catchment area were used as the factors estimating the risk of slope failure. They reported that the risk of failure is particularly high on concave slopes. Yoshimura et al. [19] also examined forest road alignment geometry in slope failure areas and reported that the risk of failure was significantly higher on inner curves where water had been concentrated, followed by a higher risk of failure at outer curve inflection points (the starting and ending points of a curve on a curve located on a ridge). Kondo and Kamiya [16] and Yoshimura et al. [19] suggest that the topography and structural configuration of forest road sections have some influence on the risk of forest road failure in Japan, although they do not consider the layout of drainage facilities. In Japanese forest road engineering textbooks, the rising water level of the stream parallel to the forest road has also been cited as a cause of damage on the valley side of forest roads [20].
Forest road failures in Japan are more likely to occur in forest road segments with topography, such as stream crossings, stream sides, and zero-order basins [16,17,18,19,20]. However, all of the existing studies in Japan are only the results of a few lines of investigation in some areas. Thus, for example, Kondo and Kamiya [16] surveyed 100 forest road failures that occurred on three forest road routes over a 13-year period from 1977 to 1989. They reported that failures at stream crossings accounted for 72% of the total in the research site and reported a characteristic form of damage, but it is not known to what extent this trend applies in Japan. Wemple et al. [21] reported that of 103 sediment transport events that occurred near forest roads in the western Cascade Range region of Oregon due to heavy rainfall in February 1996, three-quarters were mass movements, debris flows, cut slope slides, fill slope slides, and Phillips [22] investigated 116 landslides that occurred during two heavy rainfall events on the east coast of the North Island and found 17 landslides associated with forest roads. Sidle et al. [23] studied mass wasting along a road in Yunnan, China, to determine the extent to which landslide erosion was caused by cut-and-fill slope failure or dry ravel. The results show that the landslide erosion was caused by a cut slope, embankment slope failure, and dry ravel. However, only one or two heavy rainfall events were reported in each case.
Factors and countermeasures for forest road failure differ depending on the type of failure that occurs, but the statistical understanding of the type of damage events is not sufficient because of the limited study area in the existing studies. Since we do not know the macroscopic occurrence trends of failures, it is also impossible to determine whether there are sufficient guidelines and research on the important countermeasures for failures that occur in the target area. In addition to stream crossings, other failure hazards have been identified in concave terrain, but it is not known to what extent the susceptibility to failure differs. If there is a difference in the likelihood of failure even in the same category of damage-prone areas, the weight should be changed when selecting routes and scheduling maintenance and management. If there is a pattern of failure that tends to require high repair costs, then the most important issue from the viewpoint of reducing repair costs is to prevent the occurrence of such a pattern of failure. Since the sensitivity to rainfall intensity may differ depending on the damage pattern, it is important to understand the relationship between the failure pattern and rainfall intensity in order to consider the maintenance of forest roads under climate change. By understanding the overall trend of forest road failure, more strategic maintenance may be possible. In Japan, forest road failures occur frequently due to heavy rains caused by typhoons and rainy season fronts, which predominantly occur from July to October. The total number of damaged segments of forest roads and the total amount spent on repair in Japan in the last 3 years has been 8181 (19.3 billion yen) in the 2017 fiscal year, 13,241 (39.8 billion yen) in the 2018 fiscal year, and 12,448 (34.1 billion yen) in the 2019 fiscal year [24]. However, the latest Basic Plan for Forestry and Forest Products states that the desired length for forest roads is 250,000 km, compared to the current 190,000 km [25]. If the frequency of heavy rainfall and the length of forest roads increase in the future, the number of failures caused by heavy rainfall and the cost of repair is very likely to increase [26]. In recent years, there has been a shortage of forest engineers who can formulate repair plans [24]. If the number of failures is not reduced, it may not be possible to provide the labor required for failure repair in the future. If the number of failures increases, the time required for failure recovery may become longer, with forest roads remaining impassable for a longer period and forestry activities potentially being severely hampered. As the intensity and frequency of rainfall events increase, it is important to avoid planning routes in unstable terrain and to take appropriate precautionary measures in hazardous areas on existing routes. This is particularly important to promote appropriate forest road maintenance in the context of limited human and economic resources. To achieve this, it is necessary to identify what types of forest road failure are important to address.
Therefore, in order to provide statistical information on forest road failures, this study collected data on a large number of forest road failures that occurred in mountainous areas in Japan and statistically analyzed the characteristics of each topographic type at the points where failures occurred. Specifically, forest road segments were classified into four categories: stream crossings, streamside, zero-order basin, and others, and comparisons were made regarding the length of forest road failure, the relative probability of occurrence, repair costs, and induced rainfall intensity in each category.
The terms “erosion” and “failure” to forest roads are not strictly defined. In this study, the difference between the two terms is the degree of erosion, and the term “failure” is used when a forest road is so eroded that it cannot fulfill its design purpose and becomes dysfunctional (Figure 1). In this study, ”failure” includes shallow landslides, slope failures, road surface erosion, and road body failure.

2. Materials and Methods

2.1. Dataset

The difficulty in collecting forest road failure data over a wide area is that the larger the field survey area, the more labor is required. Therefore, it was difficult to obtain a forest road failure data set with a sample size sufficient for statistical analysis. On the other hand, in Japan, for the purpose of applying for government subsidies, the location and details of repair work are recorded in an administrative document (“Forest Road Facility Failure Assessment Document”). The failure is subject to certain conditions, such as there being a repair cost of more than 400,000 yen/point (As of 2006–2010, USD 2942 as of 7 March 2023) and the failure being caused by a rainfall event with 24 h of rainfall of 80 mm or more. The data in this document include the date of occurrence of the failure and its triggers, the distance from the start of the forest road to the damaged place, the repair cost, and the length of the segment of the road where the repair was required (Table 1).
However, since this document was created for administrative purposes only, it was supposed to be discarded after a five-year retention period and has not been used for research on forest road failures. In this study, we were able to obtain the “Forest Road Facility Failure Assessment Document” prepared in Nagano Prefecture between 2006 and 2010. Based on this document, an inventory of forest road failures was compiled. Among the forest road failures in the document, 10 failures caused by factors other than heavy rainfall (snowmelt) were excluded from the data. The forest roads covered in this study include those used primarily for timber extraction as well as those used for public purposes.
Nagano Prefecture is in the central region of Japan’s Honshu Island and has mountainous characteristics, with forests covering 78% of its total area (approximately 1.06 million ha) [27] (Figure 2). In the Nagano Prefecture, 1962, forest roads totaling approximately 4904 km in length have been established as of the 2019 fiscal year, and the average forest road density is 7.1 m/ha [27]. Forest road counting is based on road identification codes. At least 207 roads, comprising approximately 10.7% of all roads, have experienced failures due to rainfall events during 2006–2010 (Figure 3a). The total number of damaged forest roads due to rainfall events during 2006–2010 was 701. Of these, 526 were identified as failure locations according to the forest road vector data (Figure 3b). The analysis in this study covers the 526 failures that occurred along these 207 routes. The median and mean number of the damaged locations (locations/line) for each forest road were 1 and 3, respectively. In 79% of the lines, the number of damaged points per line was less than 3 (Figure 4).

2.2. Classification of Forest Road Segments

The Forest Road Facility Failure Assessment Document obtained for this study does not record the type of failure. In other words, it is not possible to determine whether the failure is the road surface, cut slope, fill, or road body. However, since the location data of the failures are recorded, the topographical features of failures can be clarified by analysis. Since it is possible to infer to some extent the causes of road failure from the topographical features of the failures, we decided to classify failures from the viewpoint of topographical features.
To accurately assess the risk of failure, it is desirable to consider the presence or absence of structures, such as drainage facilities, as well as their types and functional status. However, in order to conduct an analysis that takes structures into account, it is necessary to record the presence and absence of structures, their types, and their functional status prior to the occurrence of a failure. In this study, due to the availability of data, it is not possible to obtain information on structures prior to the occurrence of the failure since the study deals with forest road failure that occurred from 2006 to 2010. Therefore, the structural information was not considered in the analysis of the failure in this study. Even if the above structural information could be obtained and failure classification was performed considering both structures and topography, it is expected that the results would be complicated because a single failure belongs to multiple categories. Since the purpose of this study is to statistically understand the morphological characteristics of the elucidated failure events rather than to strictly describe the risk of forest road failure, we believe that a concise approach to classifying failure based on topographical factors alone is effective. Even without considering structural information, the identification of topographic features that are prone to forest road failure can, paradoxically, identify the characteristics of areas where structures are not functioning properly.
Referring to previous studies [16,17,18,19,20], forest road segments were classified into three categories, namely streamsides, including stream crossings (Figure 5), around concave landforms such as zero-order basins (Figure 6), and “others” that do not fall into either of these categories. A category for the slope was also considered. However, steep slopes were not included in the categories because they are a more universal landform type and could be mixed with other landform types, complicating categorization. Lithology and geology were not included for the same reason. In Japan, the Geospatial Information Authority of Japan provides spatial information on landslide landforms, geology, and faults. However, not all landslide landforms and faults have been databased, and it is possible that some small-scale landslides, especially in short sections of forest roads, have not been extracted, so they were not used in the evaluation categories. However, since a high-resolution DEM was used in this study, it is likely that the characteristics of erosional landforms, such as fault zones and landslide landforms, were also taken into account as erosion heights, which will be discussed later.
First, each forest road was equally divided into 5 m intervals. The division process is performed by creating a new apex every 5 m from the beginning point of the forest road. The apex of the division’ refers to each vertex created by this process. In this study, the apex of the division represented the center of the forest road segment. The presence or absence of forest road segment failure was determined based on the positional relationship between the forest road segment feature and the failure feature. First, line features (vertex interval: 5 m) were created from The Forest Road Facility Failure Assessment Document to indicate the forest road segments where forest road failure occurred. Next, a nearest neighbor search was conducted from each vertex of the failure line feature to the forest road segment center point set. The forest road segment that corresponded to the nearest neighbor was defined as the damaged segment.
Next, the forest road segments were classified into three categories using a Digital Elevation Model (DEM). The DEM used was a 1 m resolution DEM created from an aerial laser survey conducted by Nagano Prefecture in 2013, which was resampled to a 5 m resolution.

2.2.1. Streamside

The raster data representing the water system lines were converted into vector data, which were equally divided into 5 m intervals, as was the case with forest roads. The nearest waterline vertex was searched from each forest road vertex, and its distance was obtained. The forest road vertices within 15 m of the waterline were defined as forest road segments along the stream. In this study, stream features were created from a DEM with a 5-m cell size. Therefore, we used 15 m, the distance of 3 cells in the DEM, as a guide to represent the adjacent range of the stream.

2.2.2. Stream Crossing

Stream line features and forest road line features were determined to intersect, and forest road segments that intersected were defined as stream crossings.

2.2.3. Zero-Order Basin

As a method for estimating zero-order basins, Shirasawa et al. [28] developed and validated a method using three landform quantities; erosion height, uneroded height, and erosion rate were considered to represent the degree of erosion. The erosion height is calculated as the difference between the summit level map and the base level map, which contains the highest and lowest elevation points in an area [29]. The amount of topography represented by the erosion height depends on the sampling grid size of the DEM. Kühni and Pfiffner [29] analyzed the morphology of valleys incised by major rivers in the Swiss Alps by using a 10 km square smoothing filter. In this study, erosion heights were determined using a smoothing filter of 30 m square to evaluate erosion due to surface failure, following the method of Shirasawa et al. [28]. Shirasawa et al. [28] determined the threshold of erosion heights representing zero-order basins by examining erosion heights on shallow landslides. The erosion height was used to simplify the method of estimating the zero-order basins. Some studies have used curvature to assess the risk of surface failure, but the assessment model uses multiple factors other than curvature [30]. Since it has been suggested that the erosion height calculated from the tangent peak surface and the tangent valley surface could be used to estimate the zero-order basin with a single indicator, we used the erosion height instead of the curvature in this study.
However, in this study, it was not possible to collect a sufficient sample of damaged slope areas. Therefore, cells with erosion heights of 2.5 m or more were treated as zero-order basins with reference to the relative risk values. The erosion height tends to be high around the waterline, and the area around the waterline is also defined as a concave landform according to the defining parameters used in this study. In this study, we wanted to make a clear distinction between streamside and zero-order basins in terms of topographic scale. Therefore, we masked the erosion heights of cells located 15 m around the waterline to avoid confusion between the two landforms. Zero-order basins defined in this study represent unchanneled landforms with a catchment area of 1 ha or less. Even under these conditions, forest road segments located along a stream with a zero-order basin on the backslope fall into both the along-stream and around-concave landform categories.
At each forest road apex, a concave cell was examined for the presence of a concave cell at 20 m in the transverse direction. The 20 m cell was examined to avoid evaluating the forest road slope as a concave cell. The vertices where concave cells were present were defined as the forest road segment around the concave cell. Although a simplified method was used in this study, there is room for further study of the evaluation method for the area zero-order basin.

2.3. Extension, Relative Risk, Repair Cost, and Rainfall at Failure by Terrain Type

First, by totaling the extensions of forest road segments by topographic type, we obtained the percentage of topographic types on an extension basis. The percentage of the landforms that were damaged was also calculated by adding up the extensions of the damaged segments by landform type. By comparing these data, the characteristics of failure in each landform type were examined in terms of the extension of failure.
Next, we calculated the relative risk of each landform type with respect to the other categories in order to examine the extent to which the susceptibility to failure differs by landform type. For example, the relative risk of the streamside category is calculated as the ratio of the probability of failure in the streamside category to the probability of failure in the other categories. Since the relative risk of each landform category represents the likelihood of failure relative to the other categories, it is also possible to compare the likelihood of failure among landforms. In order to clarify the relationship between topographic form categories and failure rates, a test of independence was conducted using the χ-square distribution. The null hypothesis of the χ-squared test is that the two variables, i.e., a given landform category and loss rate, are independent. If the null hypothesis is rejected, it suggests that there is some relationship between the two variables, i.e., the category may have an effect on the susceptibility to damage. Finally, we examined whether the cost of repair and rainfall at the time of failure differed by terrain type. While repair costs and rainfall were recorded on a per-loss basis from the Forest Road Facility Failure Assessment Document, the topographic configuration differed on a per forest road segment basis. Therefore, depending on the length of the failure, a single failure may consist of segments of multiple terrain categories. In this case, the category with the highest number of segments was treated as the topographic category of the failure in question. The Kruskal–Wallis test was performed to determine whether the samples were drawn from the same population (or different populations with the same distribution) by comparing the median repair cost and rainfall at the time of failure for each topographic category group. If the null hypothesis is rejected, it suggests that not all samples may have been obtained from the same continuously distributed population. In this case, a further multiple comparison test is performed to determine whether there is a significant difference between any of the groups.
The rainfall at the time of failure recorded in the Forest Road Facility Failure Assessment Document was obtained from the nearest meteorological station (Automated Meteorological Data Acquisition System). These meteorological stations are located at intervals of about 17 km, and 45 of them are located in Nagano Prefecture (Figure 7) [31].

3. Results

3.1. Percentage of Forest Roads Damaged by Segment Categories

Figure 8 shows the percentage of all forest road segments and damaged forest road segments by terrain type category.
The bar graph in the upper row of Figure 8 shows the percentage of forest road segment categories calculated for the 207 routes; 15% was streamside, 26% zero-order basin, 3% in both categories (“mixed”), 4% was stream crossing, and 53% was of other types.
The bar graph in the lower row of Figure 8 shows the percentage of forest road segment categories calculated for the failure segments; 42% was streamside, 18% zero-order basin, 8% in both categories, 7% was stream crossing, and 25% was of other types. By extension, 75% of the forest road failures that occurred in the target area occurred along streams or stream crossing or zero-order basins, indicating that forest road failures along streams are most common.

3.2. Relative Risk of Forest Road Segment Categories

The number of damaged and undamaged segments was recorded for each forest road segment category, and the relative risk to forest road segments in the “other” category was calculated (Figure 9). The χ² test results showed that the ratio of the number of damaged to undamaged forest road segments in the “other” category was significantly higher than that in the “other” category for all categories. The relative risk for forest road segments in the “other” category was higher along streams and zero-order basins, in that order. The streamside was about 6.0 times more likely to be damaged, stream crossings were about 4.6 times more likely to be damaged, and zero-order basins were about 1.9 times more likely to be damaged than the other categories.

3.3. Failure Characteristics by Forest Road Segment Category

3.3.1. Failure Repair Costs

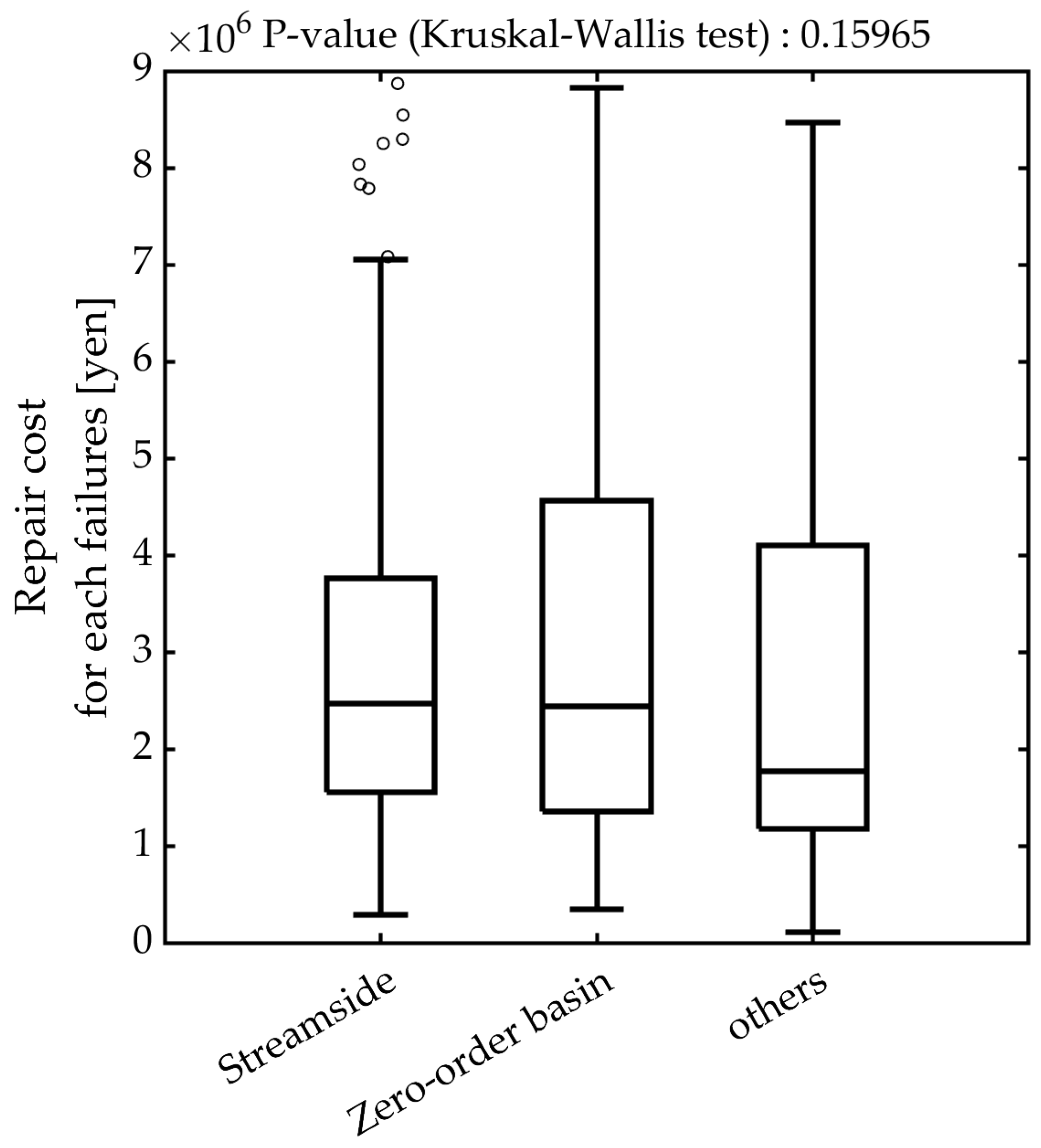
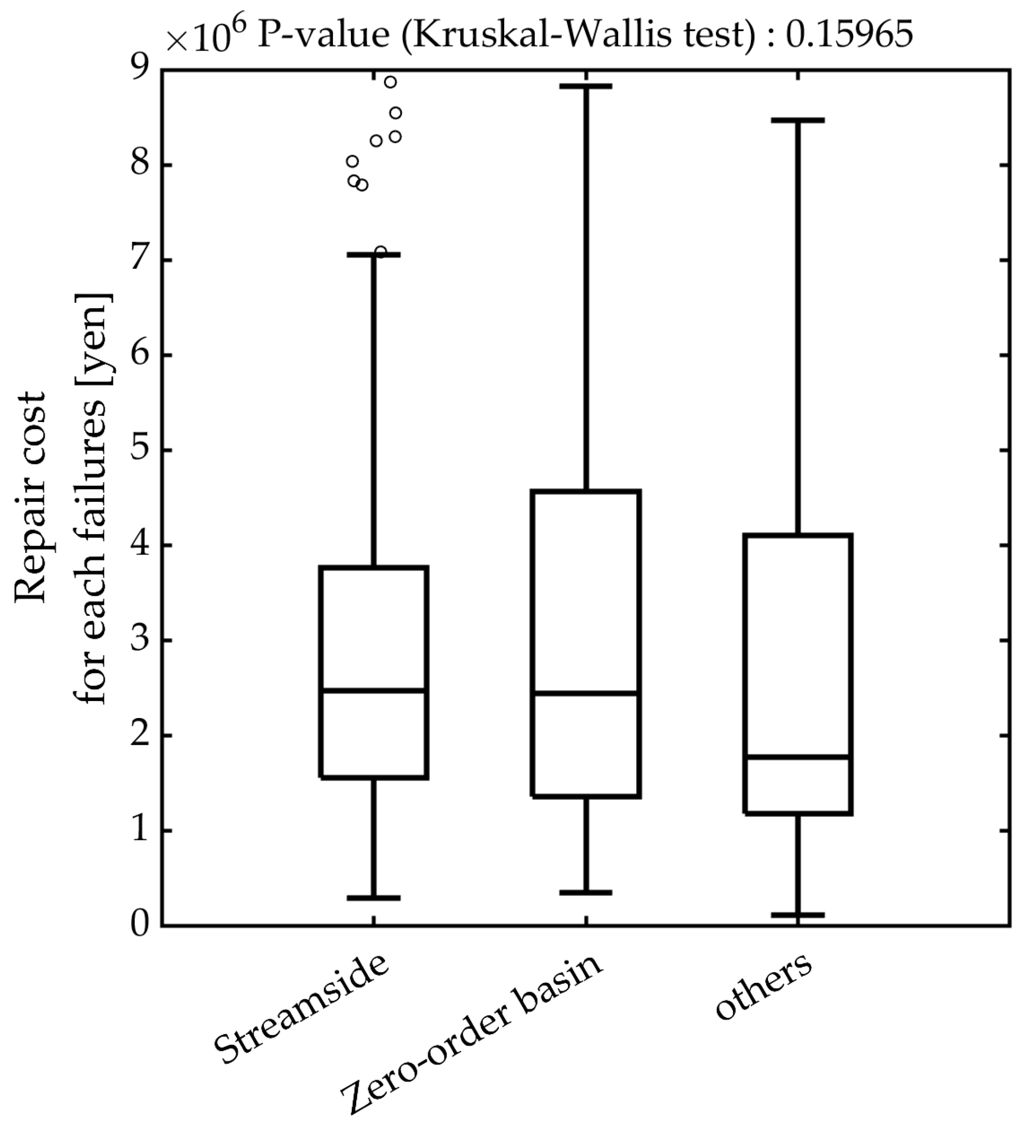
Figure 10 shows the distribution of repair costs for the 287 damaged areas where repair costs were available (USD 1 = JPY 135.96 as of 7 March 2023). Only a small percentage of the failures were applicable to stream crossings (failures in which stream crossing segments were in the majority), so they were excluded from the analysis. The median and mean repair cost for all the damaged sites was approximately 2.33 million yen and 2.94 million yen, respectively (USD 16,946 and 21,584, respectively, as of 7 March 2023). The Kruskal–Wallis test was conducted for the three forest road segment categories, and the null hypothesis that all samples were derived from the same distribution with a 5% risk rate was not rejected. It is considered necessary to consider factors other than topographic morphology in analyzing the causes of damage that lead to high repair costs.

3.3.2. Amount of Rainfall

The distribution of the maximum 1 h rainfall and maximum 24 h rainfall for the rainfall events that triggered the forest road failures are shown in Figure 11 and Figure 12, respectively. The maximum and minimum values for 1 h potential rainfall [32] and 24 h potential rainfall [33] at the target sites are plotted in the figures as reference values. The median maximum 1 h rainfall for all the damaged locations was 15.5 mm/h. The Kruskal–Wallis test was performed for the three forest road segment categories. However, the null hypothesis that all samples were derived from the same distribution with a 5% risk rate was not rejected. The quartile range of maximum 1 h rainfall at the damaged sites being located between the maximum and minimum values of 1-year potential rainfall suggests that forest road failures can occur even when the intensity of the maximum 1 h rainfall is not extreme. The median maximum 24 h rainfall intensity for all damaged sites was 175 mm/24 h. The Kruskal–Wallis test was conducted for the three forest road segment categories. The null hypothesis that all samples were derived from the same distribution with a 5% risk rate was rejected. Multiple comparisons showed that the mean maximum 24-h rainfall at the time of damage for the streamside category was significantly higher than the mean for the other categories at a 5% risk rate. The first quartile of the streamside category was higher than the other categories and exceeded the 30-year potential rainfall in some areas.

4. Discussion

Streamside forest road segments accounted for only 15% of the total length of forest roads analyzed, but 42% of the road segments that were damaged. Furthermore, the relative risk of the streamside forest road segment was about 6.0 times higher than that of the other categories of forest road segments, indicating that it was the most likely terrain type to be damaged in this analysis. From the perspectives of both the length of failure and the relative risk, it is clear that the most important issue in the target area is the prevention of failure on the streamside forest road segments. The Forestry Agency supports the planning and improvement of trunk forest roads important for failure prevention and conducts projects to promote the strengthening of forest roads [34]. Countermeasures along stream segments will be particularly important for the resilience of Japan’s forest roads against failures.
In previous studies evaluating the environmental impact of forest roads, distance to streams [35,36] and avoidance of stream crossings [37] have been used as one evaluation index. This study found that proximity to a stream is also an important evaluation indicator for forest road maintenance in terms of the susceptibility of forest roads to damage. Jing et al. [38] studied the spatial relationship between road and river networks in central China and noted that road and river networks were closely related spatially, with the density of high-standard roads increasing the closer they were to rivers. In Japan, there is a history of forest roads being located along streams because of the preference for timber haul-out routes using progressive gradients before the 1960s, when the driving performance of timber transport vehicles was low [39]. Especially when forest roads located along streams play a key role in the road network, they need to be subject to maintenance and improvement because of the significant disruption that would result from their destruction. The mean maximum 24-h rainfall at the time of the failure of a forest road segment along a stream was significantly higher than the mean for other geomorphic categories at a 5% risk rate. The frequency of extreme precipitation events per degree of warming also increased, and these trends were reported to be greater in Europe and Japan than in the United States and Australia [40]. Future changes in rainfall patterns may further increase the risk of damage, especially along streamside forest roads, and the relationship between failure and rainfall should continue to be investigated.
Even in terrain forms that were considered to be at high risk of failure in previous studies, the ease of failure in terms of relative risk differed by several fold. In studies of forest road evaluation based on multi-criteria evaluation, the AHP method has been used to determine the importance of different criteria [12,35,36,37]. Through interviews with experts and others, evaluations have been made, for example, that Criterion A is twice as important as Criterion B. However, these evaluations are based on the subjective opinions of experts. With regard to the weight of the criteria for failure, a more objective evaluation may be possible by accumulating statistical knowledge.
The topographic morphology of the forest road segments analyzed in this study could not explain the difference in failure repair costs. According to Watanabe et al. [41], who studied the past repair costs of 1504 forest roads in Nagano Prefecture, Japan, the standard deviation of the repair cost of one forest road failure amounts to about 26.2 million yen. Therefore, it is considered necessary to first investigate the characteristics of the failure in detail, especially for the failure with high repair costs.
In this study, we were able to obtain five years of inventory data on forest road failure by the prefectural government, which allowed us to statistically analyze the characteristics of forest road failure. In Japan, such inventory data are temporarily maintained by administrative departments but are discarded after a certain period of time because of a lack of familiarity with how to utilize them. As revealed in this study, some knowledge can be obtained only by collecting data on forest road failure on a scale of several hundred routes. Therefore, it is important to establish a system to compile a database of forest road failure inventories in the future. In this study, we focused on forest road failure that occurred more than 10 years ago, so we were unable to consider the presence, location, and condition of structures (drainage facilities, retaining walls, road surface pavement) that existed before the damage occurred. In Japan, it is rare to record information on such forest road structures in normal times because the value of their use is not well known. Since these structures are essential for a more accurate assessment of the risk of forest road failure, it is desirable to investigate their location and other information prior to the occurrence of a failure. Recently, studies have evaluated the degree of damage to failure-risk forest road surfaces by remote sensing [42,43,44]. Although it is labor-intensive to survey all forest roads immediately, it is also important to combine techniques to determine the functional status of forest road structures in a labor-saving manner, focusing on forest roads composed of segments at high risk of failure, as identified in this study and to build an inventory data of the structures.
There are various types of failure to forest roads, and it is necessary to construct an evaluation model of failure risk and prioritize countermeasures according to the cause and risk of failure. For example, in a forest road segment that runs alongside a stream, the nourishing force of the stream is considered to be the dominant failure factor, and reinforcement of the fill slope may be a more important failure risk reduction method than the placement of cross-drainage ditches. In this study, forest road segments were classified in terms of topography, and comparisons were made regarding the length of forest road failure, the relative probability of occurrence, repair cost, and induced rainfall intensity in each category. The results showed the importance of responding to forest road failures along streams, which was revealed by the analysis based on a large number of data for a wide area of the prefecture.

5. Conclusions

In this study, we statistically analyzed the characteristics of each topographic type at the points where failures occurred. Specifically, forest road segments were classified into four categories: stream crossings, streamside, zero-order basin, and others, and comparisons were made regarding the length of forest road failure, the relative probability of occurrence, repair costs, and induced rainfall intensity in each category. We were able to obtain the “Forest Road Facility Failure Assessment Document” prepared in Nagano Prefecture between 2006 and 2010. Based on this document, an inventory of forest road failures was compiled. The analysis in this study covers the 526 failures that occurred along these 207 routes. There are various types of failure to forest roads, and it is necessary to construct an evaluation model of failure risk and prioritize countermeasures according to the cause and risk of failure. Streamside forest road segments accounted for only 15% of the total length of forest roads analyzed, but 42% of the road segments that were damaged. Furthermore, the relative risk of the streamside forest road segment was about 6.0 times higher than that of the other categories of forest road segments, indicating that it was the most likely terrain type to be damaged in this analysis. From the perspectives of both the length of failure and the relative risk, it is clear that the most important issue in the target area is the prevention of failure on the streamside forest road segments. The results showed the importance of responding to forest road failures along streams, which was revealed by the analysis based on a large amount of data for a wide area of the prefecture.

Author Contributions

Conceptualization, M.W. and M.S; formal analysis, M.W.; resources, K.T. and H.S.; data curation, K.T. and H.S.; writing—original draft preparation, M.W.; writing—review and editing, M.W., M.S., K.T. and H.S.; funding acquisition, M.S. All authors have read and agreed to the published version of the manuscript.

Funding

This research was funded by the Japan Society for the Promotion of Science (JSPS) KAKENHI (Grant Number: 22H03800, 21K05665, 21H03672, 19H02991) by M.S.

Institutional Review Board Statement

Not applicable.

Informed Consent Statement

Not applicable.

Data Availability Statement

The data are not publicly available due to confidentiality reasons.

Acknowledgments

We would like to thank Nagano Prefecture and the municipalities in Nagano Prefecture for providing valuable data for this study.

Conflicts of Interest

The authors declare no conflict of interest.

References

  1. Demir, M. Impacts, Management and Functional Planning Criterion of Forest Road Network System in Turkey. Transp. Res. Part Policy Pract. 2007, 41, 56–68. [Google Scholar] [CrossRef]
  2. Minematsu, H.; Akita, O. New Design Criterion for Forest-Road. J. Jpn. Soc. 1987, 69, 489–491. [Google Scholar] [CrossRef]
  3. Weaver, W.; Weppner, E.; Hagans, D. Handbook for Forest, Ranch and Rural Roads: A Guide for. Planning, Designing, Constructing, Reconstructing, Upgrading, Maintaining and Closing Wildland Roads; Mendocino County Resource Conservation District: Ukiah, CA, USA, 2014. [Google Scholar]
  4. Kastridis, A. Impact of Forest Roads on Hydrological Processes. Forests 2020, 11, 1201. [Google Scholar] [CrossRef]
  5. Akay, A.E.; Erdas, O.; Reis, M.; Yuksel, A. Estimating Sediment Yield from a Forest Road Network by Using a Sediment Prediction Model and GIS Techniques. Build. Environ. 2008, 43, 687–695. [Google Scholar] [CrossRef]
  6. Martínez-Zavala, L.; Jordán López, A.; Bellinfante, N. Seasonal Variability of Runoff and Soil Loss on Forest Road Backslopes under Simulated Rainfall. Catena 2008, 74, 73–79. [Google Scholar] [CrossRef]
  7. Jones, J.A.; Swanson, F.J.; Wemple, B.C.; Snyder, K.U. Effects of Roads on Hydrology, Geomorphology, and Disturbance Patches in Stream Networks. Conserv. Biol. 2000, 14, 76–85. [Google Scholar] [CrossRef]
  8. Schiechti, H.M. FAO–SFM Tool Detail: FAO Watershed Management Field Manual–Vegetative and Soil Treatment Measures Chapter 4. Available online: https://www.fao.org/sustainable-forest-management/toolbox/tools/tool-detail/en/c/263442/ (accessed on 16 January 2023).
  9. Zhao, Q.; Wang, A.; Jing, Y.; Zhang, G.; Yu, Z.; Yu, J.; Liu, Y.; Ding, S. Optimizing Management Practices to Reduce Sediment Connectivity between Forest Roads and Streams in a Mountainous Watershed. Remote. Sens. 2022, 14, 4897. [Google Scholar] [CrossRef]
  10. Kochenderfer, J.N. Erosion Control on Logging Roads in the Appalachians; Northeastern Forest Experiment Station, Forest Service, US Department of Agriculture: Upper Darby, PA, USA, 1970; Volume 158. Available online: https://www.fs.usda.gov/research/treesearch/23767 (accessed on 29 January 2023).
  11. Aruga, K.; Sessions, J.; Miyata, E.S. Forest Road Design with Soil Sediment Evaluation Using a High-Resolution DEM. J. For. Res. 2005, 10, 471–479. [Google Scholar] [CrossRef]
  12. Dodson, E.; Sessions, J.; Wing, M. Scheduling Forest Road Maintenance Using the Analytic Hierarchy Process and Heuristics. Silva Fenn. 2006, 40, 143–160. [Google Scholar] [CrossRef]
  13. Saito, M.; Goshima, M.; Aruga, K.; Matsue, K.; Shuin, Y.; Tasaka, T. Study of Automatic Forest Road Design Model Considering Shallow Landslides with LiDAR Data of Funyu Experimental Forest. Croat. J. Eng. 2013, 34, 1–15. [Google Scholar]
  14. Pellegrini, M.; Grigolato, S.; Cavalli, R. Spatial Multi-Criteria Decision Process to Define Maintenance Priorities of Forest Road Network: An Application in the Italian Alpine Region. Croat. J. Eng. 2013, 34, 31–42. [Google Scholar]
  15. Ministry of Land, Infrastructure, Transport and Tourism. Chapter 3: Causes of Flood and Landslide Disasters and Changes in Social Structures. Available online: https://www.mlit.go.jp/river/pamphlet_jirei/bousai/saigai/kiroku/suigai/suigai_3-1-1.html (accessed on 29 January 2023).
  16. Kondo, K.; Kamiya, N. The Analysis on the Factors of Forest Road Disasters in the Area of Southern Akaishi Mountains. J. Jpn. Eng. Soc 1995, 10, 205–212. [Google Scholar] [CrossRef]
  17. Tsukamoto, Y. Study on the Growth of Stream Channel (1) -Relationship between Stream Channel Growth and Landslides Occurring during Heavy Storm. Shin. Sabo 1973, 25, 4–13. [Google Scholar] [CrossRef]
  18. Yoshimura, T.; Kanzaki, K. Method of Planning a Forest-Road Network Using the Degrees of Slope Failure Potentials (I) Estimation of the Degrees of Slope Failure Potentials with Topographic Maps. J. Jpn. For. Soc. 1995, 77, 1–8. [Google Scholar] [CrossRef]
  19. Yoshimura, T.; Akahane, H.; Kanzaki, K. The Evaluation of Potential Slope Failure of Forest Roads Using the Fuzzy Theory. J. Jpn. Eng. Soc. 1995, 10, 195–204. [Google Scholar] [CrossRef]
  20. Kamiizaka, M.; Kobayashi, N. New Forestry Civil Engineering. Available online: https://www.kinokuniya.co.jp/f/dsg-01-9784254440133 (accessed on 29 January 2023).
  21. Wemple, B.C.; Swanson, F.J.; Jones, J.A. Forest Roads and Geomorphic Process Interactions, Cascade Range, Oregon. Earth Surf. Process. Landf. 2001, 26, 191–204. [Google Scholar] [CrossRef]
  22. Phillips, C. Geomorphic Effects of Two Storms on the Upper Waitahaia River Catchment, Raukumara Peninsula, New Zealand. J. Hydrol. 1988, 27, 99–112. [Google Scholar]
  23. Sidle, R.C.; Furuichi, T.; Kono, Y. Unprecedented Rates of Landslide and Surface Erosion along a Newly Constructed Road in Yunnan, China. Nat. Hazards 2011, 57, 313–326. [Google Scholar] [CrossRef]
  24. Forestry Agency. Study Group on Future Road Network Development 1st Meeting. Available online: https://www.rinya.maff.go.jp/j/seibi/sagyoudo/attach/pdf/kentokai-20.pdf (accessed on 29 January 2023).
  25. Forestry Agency. Basic Plan for Forest and Forestry (Cabinet Decision on 15 June 2021). Available online: https://www.rinya.maff.go.jp/j/kikaku/plan/attach/pdf/index-10.pdf (accessed on 29 January 2023).
  26. Muneoka, H.; Shirasawa, H.; Zushi, K.; Suzuki, H. Frequency of Forest Road Collapse with Various Rainfall Intensities. J. Jpn. Eng. Soc 2021, 36, 43–50. [Google Scholar] [CrossRef]
  27. Nagano Prefecture Forestry Statistics. Available online: https://www.pref.nagano.lg.jp/rinsei/toukei/ringyotoukeisyo.html (accessed on 27 January 2022).
  28. Shirasawa, H.; Saito, M.; Toda, K.; Tada, Y.; Daimaru, H. Shallow Landslide Hazard Assessment Using High-Resolution DEM for Application to Road Alignment Design. J. Jpn. Eng. Soc 2018, 33, 123–131. [Google Scholar] [CrossRef]
  29. Kühni, A.; Pfiffner, O.A. The Relief of the Swiss Alps and Adjacent Areas and Its Relation to Lithology and Structure: Topographic Analysis from a 250-m DEM. Geomorphology 2001, 41, 285–307. [Google Scholar] [CrossRef]
  30. Shirzadi, A.; Bui, D.T.; Pham, B.T.; Solaimani, K.; Chapi, K.; Kavian, A.; Shahabi, H.; Revhaug, I. Shallow Landslide Susceptibility Assessment Using a Novel Hybrid Intelligence Approach. Environ. Earth Sci. 2017, 76, 60. [Google Scholar] [CrossRef]
  31. Nagano District Meteorological Observatory ∣ Outline of Weather Observation Services and AMeDAS. Available online: https://www.data.jma.go.jp/nagano/shosai/kansoku/kansoku.html (accessed on 29 January 2023).
  32. Probable Precipitation List by Location (AMeDAS) Western Hokuriku. Available online: https://www.pref.nagano.lg.jp/kasen/infra/kasen/keikaku/koukyodo280401.html (accessed on 30 January 2023).
  33. Rainfall Intensity Formula in Nagano Prefecture. Available online: https://www.data.jma.go.jp/cpdinfo/riskmap/rtpd/listRTPD_tb_211.html (accessed on 30 January 2023).
  34. Forestry Agency Summary of the FY2022 Forestry Agency Budget. Available online: https://www.rinya.maff.go.jp/j/rinsei/yosankesan/pdf/R4_k3.pdf (accessed on 29 January 2023).
  35. Mohammadi Samani, K.; Hosseini, S.A.; Lotfian, M.; Najafi, A. Planning Road Network in Mountain Forests Using GIS and Analytic Hierarchical Process (AHP). Casp. J. Environ. Sci. 2010, 8, 151–162. [Google Scholar]
  36. Hayati, E.; Majnounian, B.; Abdi, E.; Sessions, J.; Makhdoum, M. An Expert-Based Approach to Forest Road Network Planning by Combining Delphi and Spatial Multi-Criteria Evaluation. Environ. Monit. Assess. 2013, 185, 1767–1776. [Google Scholar] [CrossRef]
  37. Norizah, K.; Mohd Hasmadi, I. Developing Priorities and Ranking for Suitable Forest Road Allocation Using Analytical Hierarchy Process (AHP) in Peninsular Malaysia. Sains Malaysa 2012, 41, 1177–1185. [Google Scholar]
  38. Jing, Y.; Zhao, Q.; Lu, M.; Wang, A.; Yu, J.; Liu, Y.; Ding, S. Effects of Road and River Networks on Sediment Connectivity in Mountainous Watersheds. Sci. Total Environ. 2022, 826, 154189. [Google Scholar] [CrossRef]
  39. Forestry Road Division of the Forestry Agency, 20th Anniversary Publication Group ed. Trajectory and Development of Forest Roads; Tokyo Antiquarian Booksellers Cooperative Association: Tokyo, Japan, 1972. [Google Scholar]
  40. Myhre, G.; Alterskjær, K.; Stjern, C.W.; Hodnebrog, Ø.; Marelle, L.; Samset, B.H.; Sillmann, J.; Schaller, N.; Fischer, E.; Schulz, M.; et al. Frequency of Extreme Precipitation Increases Extensively with Event Rareness under Global Warming. Sci. Rep. 2019, 9, 16063. [Google Scholar] [CrossRef]
  41. Watanabe, M.; Saito, M.; Toda, K.; Shirasawa, H.; Ueki, T. The Elucidation of Actual Disaster Restoration Project Costs by Compiling the Forest Road Registers. J. Jpn. Eng. Soc. 2022, 37, 155–160. [Google Scholar] [CrossRef]
  42. Hrůza, P.; Mikita, T.; Janata, P. Monitoring of Forest Hauling Roads Wearing Course Damage Using Unmanned Aerial Systems. Acta Univ. Agric. Silvic. Mendel. Brun. 2016, 64, 1537–1546. [Google Scholar] [CrossRef]
  43. Akgul, M.; Yurtseven, H.; Akburak, S.; Demir, M.; Cigizoglu, H.K.; Ozturk, T.; Eksi, M.; Akay, A.O. Short Term Monitoring of Forest Road Pavement Degradation Using Terrestrial Laser Scanning. Measurement 2017, 103, 283–293. [Google Scholar] [CrossRef]
  44. Hrůza, P.; Mikita, T.; Tyagur, N.; Krejza, Z.; Cibulka, M.; Procházková, A.; Patočka, Z. Detecting Forest Road Wearing Course Damage Using Different Methods of Remote Sensing. Remote Sens. 2018, 10, 492. [Google Scholar] [CrossRef]
Figure 1. Image of forest road failure. A culvert at a stream crossing was destroyed by heavy rain, and the road body was eroded by stream water, making it inaccessible to vehicles.
Figure 1. Image of forest road failure. A culvert at a stream crossing was destroyed by heavy rain, and the road body was eroded by stream water, making it inaccessible to vehicles.
Forests 14 00537 g001
Figure 2. Map showing the research site. White lines indicate all forest roads in the Nagano Prefecture. In the figure on the right, no public roads other than forest roads are shown, so the forest roads are shown as if they exist independently. The forest road vector data shown in the figure was created by Nagano Prefecture.
Figure 2. Map showing the research site. White lines indicate all forest roads in the Nagano Prefecture. In the figure on the right, no public roads other than forest roads are shown, so the forest roads are shown as if they exist independently. The forest road vector data shown in the figure was created by Nagano Prefecture.
Forests 14 00537 g002
Figure 3. Number of forest road routes and failures analyzed. (a) Two hundred-seven routes where the failure occurred were included in the analysis. (b) Failures for which location information on both the failure and the forest road route has been developed are included in the analysis.
Figure 3. Number of forest road routes and failures analyzed. (a) Two hundred-seven routes where the failure occurred were included in the analysis. (b) Failures for which location information on both the failure and the forest road route has been developed are included in the analysis.
Forests 14 00537 g003
Figure 4. Distribution of the number of failures according to route.
Figure 4. Distribution of the number of failures according to route.
Forests 14 00537 g004
Figure 5. Image of a forest road segment that falls into the streamside category. Note: The points in the figure represent the center coordinates of the segment.
Figure 5. Image of a forest road segment that falls into the streamside category. Note: The points in the figure represent the center coordinates of the segment.
Forests 14 00537 g005
Figure 6. Image of a forest road segment that falls into the zero-order basin category. Note: The points in the figure represent the center coordinates of the segment.
Figure 6. Image of a forest road segment that falls into the zero-order basin category. Note: The points in the figure represent the center coordinates of the segment.
Forests 14 00537 g006
Figure 7. Distribution of meteorological stations established in Nagano Prefecture.
Figure 7. Distribution of meteorological stations established in Nagano Prefecture.
Forests 14 00537 g007
Figure 8. Percentage of all forest road segments and damaged forest road segments by terrain type category.” Mixed” indicates segments that fall into both streamside and zero-order basin landforms.
Figure 8. Percentage of all forest road segments and damaged forest road segments by terrain type category.” Mixed” indicates segments that fall into both streamside and zero-order basin landforms.
Forests 14 00537 g008
Figure 9. Cross tabulation table of forest road segment topography form and damage status. Rows correspond to the topographic form of the forest road segment, and columns correspond to the damage status.
Figure 9. Cross tabulation table of forest road segment topography form and damage status. Rows correspond to the topographic form of the forest road segment, and columns correspond to the damage status.
Forests 14 00537 g009
Figure 10. Repair cost by risk category for each area damaged by failure. The line in each box represents the median of the sample; the upper and lower ends of each box represent the upper and lower quartiles, respectively.
Figure 10. Repair cost by risk category for each area damaged by failure. The line in each box represents the median of the sample; the upper and lower ends of each box represent the upper and lower quartiles, respectively.
Forests 14 00537 g010
Figure 11. Distribution of maximum hourly rainfall in the damaged area. The line in each box represents the median of the sample; the upper and lower ends of each box represent the upper and lower quartiles, respectively.
Figure 11. Distribution of maximum hourly rainfall in the damaged area. The line in each box represents the median of the sample; the upper and lower ends of each box represent the upper and lower quartiles, respectively.
Forests 14 00537 g011
Figure 12. Distribution of maximum 24 h rainfall in the damaged area. The line in each box represents the median of the sample; the upper and lower ends of each box represent the upper and lower quartiles, respectively.
Figure 12. Distribution of maximum 24 h rainfall in the damaged area. The line in each box represents the median of the sample; the upper and lower ends of each box represent the upper and lower quartiles, respectively.
Forests 14 00537 g012
Table 1. Items listed in the Forest Road Facility Failure Assessment Document and examples of how to complete the document.
Table 1. Items listed in the Forest Road Facility Failure Assessment Document and examples of how to complete the document.
ItemExample of Description
Identification number of the failuresNo.1
Causes of failureTyphoon No. 4 on 14–15 July 2007
Maximum hourly rainfall11.0 mm
Maximum 24 h rainfall112.5 mm
Failure extension32 m
Repair cost13,369,000 yen (USD 98,328 as of 7 March 2023)
Distance from beginning point4500 m
Disclaimer/Publisher’s Note: The statements, opinions and data contained in all publications are solely those of the individual author(s) and contributor(s) and not of MDPI and/or the editor(s). MDPI and/or the editor(s) disclaim responsibility for any injury to people or property resulting from any ideas, methods, instructions or products referred to in the content.

Share and Cite

MDPI and ACS Style

Watanabe, M.; Saito, M.; Toda, K.; Shirasawa, H. Rain-Driven Failure Risk on Forest Roads around Catchment Landforms in Mountainous Areas of Japan. Forests 2023, 14, 537. https://doi.org/10.3390/f14030537

AMA Style

Watanabe M, Saito M, Toda K, Shirasawa H. Rain-Driven Failure Risk on Forest Roads around Catchment Landforms in Mountainous Areas of Japan. Forests. 2023; 14(3):537. https://doi.org/10.3390/f14030537

Chicago/Turabian Style

Watanabe, Masaru, Masashi Saito, Kenichiro Toda, and Hiroaki Shirasawa. 2023. "Rain-Driven Failure Risk on Forest Roads around Catchment Landforms in Mountainous Areas of Japan" Forests 14, no. 3: 537. https://doi.org/10.3390/f14030537

APA Style

Watanabe, M., Saito, M., Toda, K., & Shirasawa, H. (2023). Rain-Driven Failure Risk on Forest Roads around Catchment Landforms in Mountainous Areas of Japan. Forests, 14(3), 537. https://doi.org/10.3390/f14030537

Note that from the first issue of 2016, this journal uses article numbers instead of page numbers. See further details here.

Article Metrics

Back to TopTop