Seasonal Dynamics of Soil Enzymatic Activity under Different Land-Use Types in Rocky Mountainous Region of North China
Abstract
:1. Introduction
2. Materials and Methods
2.1. Study Area and Soil Sampling
2.2. Analysis of Soil Enzymatic Activity
2.3. Analysis of Soil Physicochemical and Biological Properties
2.4. Statistical Analysis
3. Results
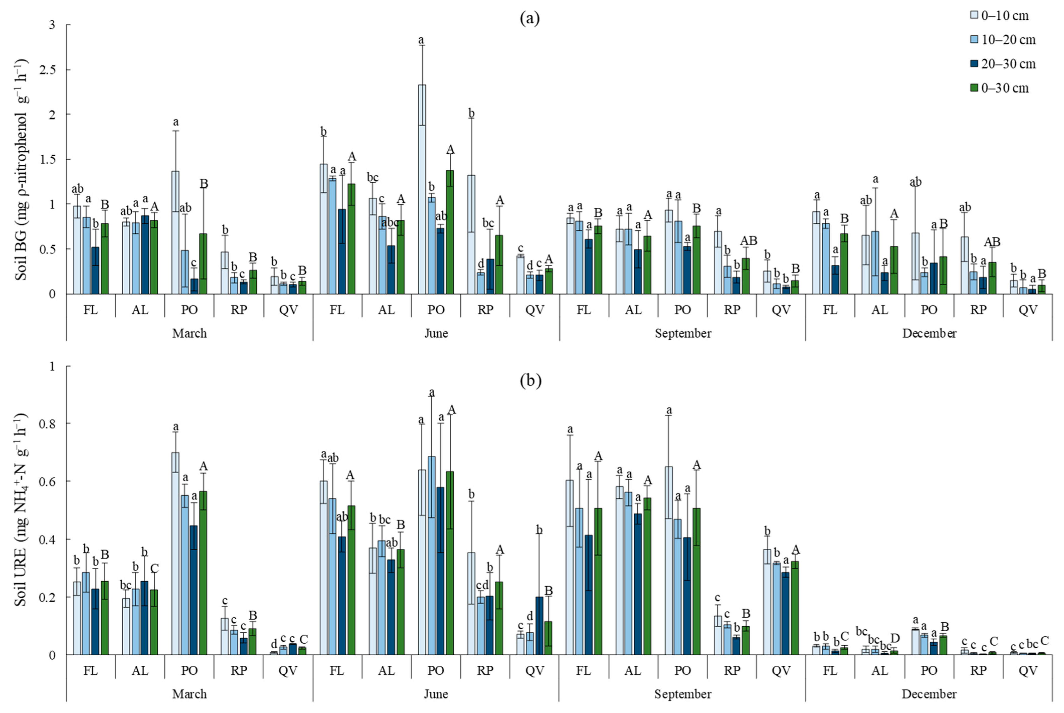
3.1. Seasonal Dynamics of Soil β-Glucosidase and Urease Activities under Different Land-Use Types
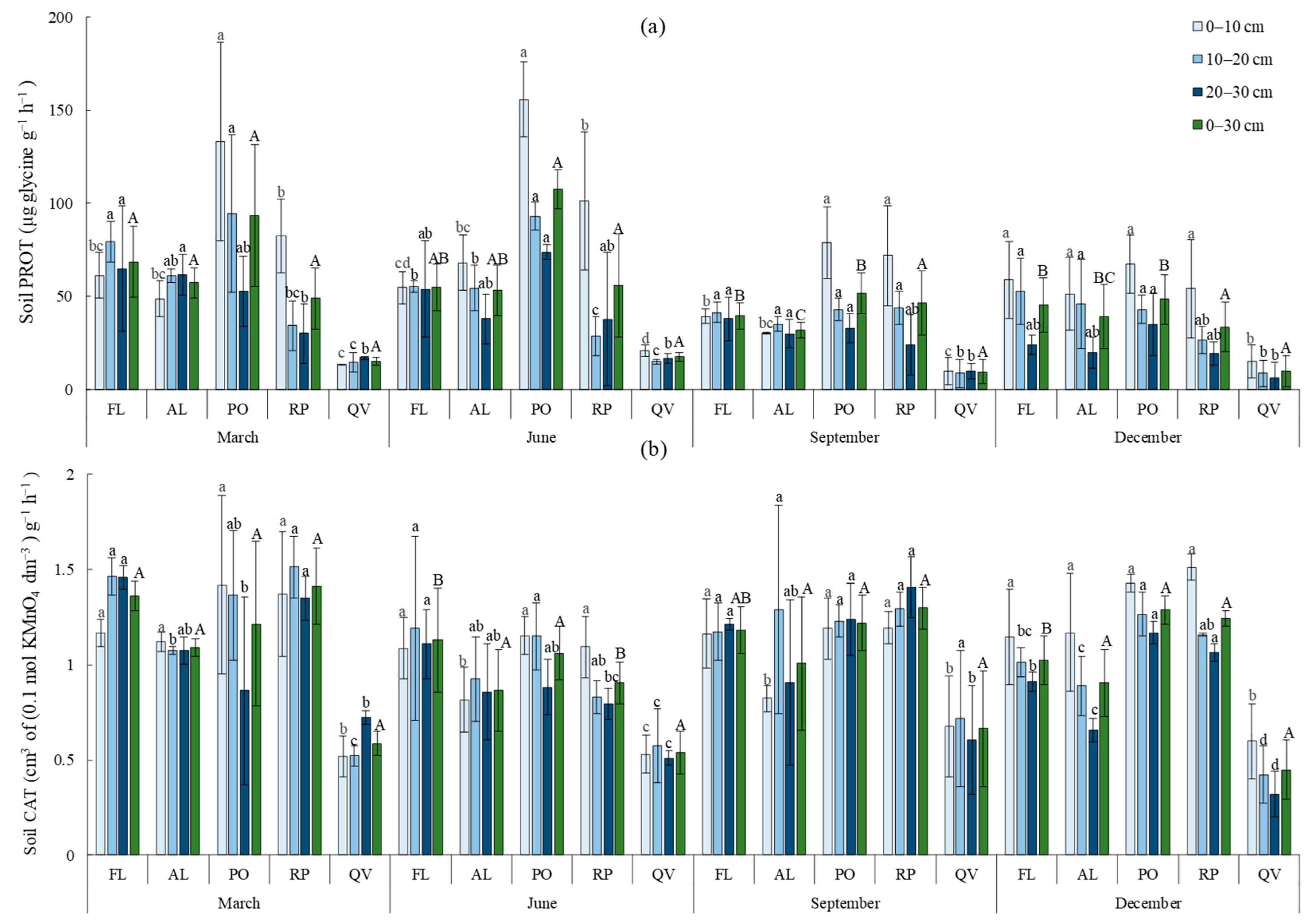
3.2. Seasonal Dynamics of Soil Protease and Catalase Activities under Different Land-Use Types
3.3. Correlation Analysis of Soil Enzymatic Activity and Soil Physicochemical Properties
4. Discussion
5. Conclusions
Author Contributions
Funding
Institutional Review Board Statement
Informed Consent Statement
Data Availability Statement
Acknowledgments
Conflicts of Interest
References
- Duan, C.; Fang, L.; Yang, C.; Chen, W.; Cui, Y.; Li, S. Reveal the response of enzyme activities to heavy metals through in situ zymography. Ecotoxicol. Environ. Saf. 2018, 156, 106–115. [Google Scholar] [CrossRef]
- Qu, Y.; Tang, J.; Li, Z.; Zhou, Z.; Wang, J.; Wang, S.; Cao, Y. Soil enzyme activity and microbial metabolic function diversity in soda saline–alkali rice paddy fields of northeast China. Sustainability 2020, 12, 10095. [Google Scholar] [CrossRef]
- Xiao, L.; Liu, G.; Li, P.; Li, Q.; Xue, S. Ecoenzymatic stoichiometry and microbial nutrient limitation during secondary succession of natural grassland on the loess plateau, China. Soil Tillage Res. 2020, 200, 104605. [Google Scholar] [CrossRef]
- Fierer, N. Embracing the unknown: Disentangling the complexities of the soil microbiome. Nat. Rev. Microbiol. 2017, 15, 579–590. [Google Scholar] [CrossRef]
- Chen, Y.; Wei, T.; Sha, G.; Zhu, Q.; Liu, Z.; Ren, K. Soil enzyme activities of typical plant communities after vegetation restoration on the loess plateau, China. Appl. Soil Ecol. 2022, 170, 104292. [Google Scholar] [CrossRef]
- Huang, H.; Di, T.; Zhou, L.; Su, H.; Ma, S.; Feng, Y.; Tang, Z.; Zhu, J.; Ji, C.; Fang, J. Effects of afforestation on soil microbial diversity and enzyme activity: A meta-analysis. Geoderma 2022, 423, 115961. [Google Scholar] [CrossRef]
- Pausch, J.; Kuzyakov, Y. Carbon input by roots into the soil: Quantification of rhizodeposition from root to ecosystem scale. Glob. Chang. Biol. 2018, 24, 1–12. [Google Scholar] [CrossRef]
- Xu, G.R.; Ma, W.W.; Song, L.C.; Tang, Y.M.; Zhou, X.L.; Shang, Y.X.; Yang, X. Characteristics of soil nitrogen content enzyme activity in Gahai wetland under different vegetation degradation conditions. Acta Ecol. Sin. 2020, 40, 8917–8927. [Google Scholar]
- Li, Y.; Han, C.; Sun, S.; Zhao, C. Effects of tree species and soil enzyme activities on soil nutrients in dryland plantations. Forests 2021, 12, 1153. [Google Scholar] [CrossRef]
- Kang, H.; Gao, H.; Yu, W.; Yi, Y.; Wang, Y.; Ning, M. Changes in soil microbial community structure and function after afforestation depend on species and age: Case study in a subtropical alluvial island. Sci. Total Environ. 2018, 625, 1423–1432. [Google Scholar] [CrossRef]
- Zhao, F.Z.; Ren, C.J.; Han, X.H.; Yang, G.H.; Wang, J.; Doughty, R. Changes of soil microbial and enzyme activities are linked to soil C, N and P stoichiometry in afforested ecosystems. For. Ecol. Manag. 2018, 427, 289–295. [Google Scholar] [CrossRef]
- Zhang, W.; Qiao, W.; Gao, D.; Dai, Y.; Deng, J.; Yang, G.; Han, X.; Ren, G. Relationship between soil nutrient properties and biological activities along a restoration chronosequence of Pinus tabulaeformis plantation forests in the Ziwuling Mountains, China. Catena 2018, 161, 85–95. [Google Scholar] [CrossRef]
- Li, Q.; Chen, J.; Feng, J.; Wu, J.; Zhang, Q.; Jia, W.; Lin, Q.; Cheng, X. How do biotic and abiotic factors regulate soil enzyme activities at plot and microplot scales under afforestation? Ecosystems 2020, 23, 1408–1422. [Google Scholar] [CrossRef]
- Di Iorio, E.; Napoletano, P.; Circelli, L.; Memoli, V.; Santorufo, L.; De Marco, A.; Colombo, C. Comparison of natural and technogenic soils developed on volcanic ash by Vis-NIR spectroscopy. Catena 2022, 216, 106369. [Google Scholar] [CrossRef]
- Ji, L.; Yang, Y.; Yang, L.; Zhang, D. Effect of land uses on soil microbial community structures among different soil depths in northeastern China. Eur. J. Soil Biol. 2020, 99, 103205. [Google Scholar] [CrossRef]
- Manoharan, L.; Kushwaha, S.K.; Ahrén, D.; Hedlund, K. Agricultural land use determines functional genetic diversity of soil microbial communities. Soil Biol. Biochem. 2017, 115, 423–432. [Google Scholar] [CrossRef]
- Vazquez, C.; Verdenelli, R.A.; Merlo, C.; Brandan, C.P.; Kowaljow, E.; Meriles, J.M. Influence of land-use changes on microbial community structure and diversity in a semiarid region. Land Degrad. Dev. 2022, 33, 3690–3702. [Google Scholar] [CrossRef]
- Guo, X.; Zhou, Y. Effects of land use patterns on the bacterial community structure and diversity of wetland soils in the Sanjiang Plain. J. Soil Sci. Plant Nutr. 2021, 21, 1–12. [Google Scholar] [CrossRef]
- Gong, J.Y.; Hou, W.P.; Liu, J.; Malik, K.; Kong, X.; Wang, L.; Chen, X.L.; Tang, M.; Zhu, R.Q.; Cheng, C.; et al. Effects of different land use types and soil depths on soil mineral elements, soil enzyme activity, and fungal community in karst area of Southwest China. Int. J. Environ. Res. Public Health 2022, 19, 3120. [Google Scholar] [CrossRef]
- Yao, H.U.; Li, Y.; Hou, Y. The variation of soil organic carbon fractions and soil enzyme activity of different land use types in Minjiang river valley. Ecol. Environ. Sci. 2018, 27, 1617–1624. [Google Scholar]
- Gong, S.S.; Feng, Z.P.; Qu, A.R.; Sun, J.H.; Xu, X.K.; Lai, Y.; Kong, Y.H. Effects of land-use types on the temporal dynamics of soil active carbon and nitrogen in the rocky mountainous of North China. Soil Sci. Plant Nutr. 2022, 68, 72–80. [Google Scholar] [CrossRef]
- Xu, H.W.; Qu, Q.; Chen, Y.H.; Liu, G.B.; Xue, S. Responses of soil enzyme activity and soil organic carbon stability over time after cropland abandonment in different vegetation zones of the loess plateau of China. Catena 2021, 196, 104812. [Google Scholar] [CrossRef]
- Lee, M.H.; Park, J.H.; Matzner, E. Sustained production of dissolved organic carbon and nitrogen in forest floors during continuous leaching. Geoderma 2018, 310, 163–169. [Google Scholar] [CrossRef]
- Han, C.; Kang, Y.M.; Yu, H.L. Effects of precipitation on soil enzyme activities during litter decomposition in a desert steppe of Northwestern China. Ecol. Environ. Sci. 2022, 31, 1802–1812. [Google Scholar]
- Li, G.; Kim, S.; Han, S.H.; Chang, H.; Du, D.L.; Son, Y. Precipitation affects soil microbial and extracellular enzymatic responses to warming. Soil Biol. Biochem. 2018, 120, 212–221. [Google Scholar] [CrossRef]
- Kong, Y.; Ma, N.L.; Yang, X.; Lai, Y.; Feng, Z.; Shao, X.; Xu, X.; Zhang, D. Examining CO2 and N2O pollution and reduction from forestry application of pure and mixture forest. Environ. Pollut. 2020, 265, 114951. [Google Scholar] [CrossRef]
- Eivazi, F.; Tabatabai, M.A. Glucosidases and galactosidases in soils. Soil Biol. Biochem. 1988, 20, 601–606. [Google Scholar] [CrossRef]
- Kandeler, E.; Gerber, H. Short-term assay of soil urease activity using colorimetric determination of ammonium. Biol. Fertil. Soils 1988, 6, 68–72. [Google Scholar] [CrossRef]
- Ladd, J.N.; Butler, J.H.A. Short-term assays of soil proteolytic enzyme activities using proteins and dipeptide derivatives as substrates. Soil Biol. Biochem. 1972, 4, 19–30. [Google Scholar] [CrossRef]
- Guan, S. Soil Enzyme and Its Research Methods; China Agriculture Press: Beijing, China, 1986. [Google Scholar]
- Jenkinson, D.S.; Brookes, P.C.; Powlson, D.S. Measuring soil microbial biomass. Soil Biol. Biochem. 2004, 36, 5–7. [Google Scholar] [CrossRef]
- Bao, S.D. Soil Agrochemical Analysis, 3rd ed.; China Agriculture Press: Beijing, China, 2000. [Google Scholar]
- Wu, J.; Wang, H.; Li, G.; Ma, W.; Wu, J.; Gong, Y.; Xu, G. Vegetation degradation impacts soil nutrients and enzyme activities in wet meadow on the Qinghai-Tibet Plateau. Sci. Rep. 2020, 10, 21271. [Google Scholar] [CrossRef]
- Zhu, Y.; Guo, B.; Liu, C.; Lin, Y.; Fu, Q.; Li, N.; Li, H. Soil fertility, enzyme activity, and microbial community structure diversity among different soil textures under different land use types in coastal saline soil. J. Soils Sediments 2021, 21, 2240–2252. [Google Scholar] [CrossRef]
- Li, B.B.; Shen, X.J.; Zhao, Y.J.; Cong, P.J.; Wang, H.Y.; Wang, A.J.; Chang, S.W. Sloping Farmlands Conversion to Mixed Forest Improves Soil Carbon Pool on the Loess Plateau. Int. J. Environ. Res. Public Health 2022, 19, 5157. [Google Scholar] [CrossRef]
- Silva, E.D.; de Medeiros, E.V.; Duda, G.P.; Lira, M.A.; Brossard, M.; de Oliveira, J.B.; dos Santos, U.J.; Hammecker, C. Seasonal effect of land use type on soil absolute and specific enzyme activities in a Brazilian semi-arid region. Catena 2019, 172, 397–407. [Google Scholar] [CrossRef]
- Leeuwen, J.P.; Djukic, I.; Bloem, J.; Lehtinen, T.; Hemerik, L.; de Ruiter, P.C.; Lair, G.J. Effects of land use on soil microbial biomass, activity and community structure at different soil depths in the Danube floodplain. Eur. J. Soil Biol. 2017, 79, 14–20. [Google Scholar] [CrossRef]
- Vaidya, B.P.; Hagmann, D.F.; Haramuniz, J.; Krumins, J.A.; Goodey, N.M. Artificial root exudates restore microbial functioning in a metal contaminated, barren, inactive soil. Environ. Pollut. 2022, 312, 120007. [Google Scholar] [CrossRef]
- Chu, H.Y.; Hosen, Y.; Yagi, K.; Okada, K.; Ito, O. Soil microbial biomass and activities in a Japanese Andisol as affected by controlled release and application depth of urea. Biol. Fertil. Soils 2005, 42, 89–96. [Google Scholar] [CrossRef]
- Pan, M.; Zhu, Q.; Gong, S.; Zhang, Z.; Lei, L.; Kong, Y. Effects of different land-use types on soil biological and physicochemical properties. Sci. Soil Water Conserv. 2021, 19, 24–33. [Google Scholar]
- Wan, X.H.; Yu, Z.P.; Wang, M.J.; Zhang, Y.; Huang, Z.Q. Litter and root traits control soil microbial composition and enzyme activities in 28 common subtropical tree species. J. Ecol. 2022, 110, 3012–3022. [Google Scholar] [CrossRef]
- Bardgett, R.D.; Mommer, L.D.; De Vries, F.T. Going underground: Root traits as drivers of ecosystem processes. Trends Ecol. Evol. 2014, 29, 692–699. [Google Scholar] [CrossRef]
- Wang, J.J.; Shu, K.L.; Wang, S.Y.; Zhang, C.; Feng, Y.C.; Gao, M.; Li, Z.H.; Cai, H.G. Soil enzyme activities affect SOC and TN in aggregate fractions in sodic-alkali soils, Northeast of China. Agronomy 2022, 12, 2549. [Google Scholar] [CrossRef]



| Land-Use Types | Stand Age (Years) | Elevation (m) | Mean Tree Height (m) | Mean DBH (cm) | Crown Density |
|---|---|---|---|---|---|
| FL | / | 410 | / | / | / |
| AL | / | 380 | / | / | / |
| PO | 35 | 410 | 8.5 | 12.90 | 0.85 |
| RP | 35 | 370 | 13.5 | 15.61 | 0.86 |
| QV | 35 | 380 | 13.1 | 7.32 | 0.84 |
| Source | Land-Use Types (LUT) | Season (S) | Soil Layer (SL) | LUT × S | LUT × SL | S × SL | LUT × S × SL | |
|---|---|---|---|---|---|---|---|---|
| p | BG | 0.000 | 0.000 | 0.000 | 0.000 | 0.000 | 0.004 | 0.107 |
| URE | 0.000 | 0.000 | 0.000 | 0.000 | 0.039 | 0.269 | 0.636 | |
| PROT | 0.000 | 0.000 | 0.000 | 0.000 | 0.000 | 0.224 | 0.396 | |
| CAT | 0.000 | 0.000 | 0.012 | 0.015 | 0.337 | 0.006 | 0.408 | |
| Equations | Adjusted R2 | P |
|---|---|---|
| Y1 = 0.483X1 + 2.831X2 + 3.608X3 + 27.942X4 − 67.521X5 + 5.964X6 + 0.143X7 − 57.761 | 0.673 | 0.046 |
| Y2 = 0.007X8 − 0.121X5 + 0.003X3 + 0.022X4 + 0.374 | 0.509 | 0.000 |
| Y3 = 0.058X1 + 0.035X9 + 2.067X4 + 0.144X3 − 0.084X10 + 0.375X6 − 20.87 | 0.745 | 0.032 |
| Y4 = 0.184X5 + 0.028X4 + 0.006X6 − 0.824 | 0.591 | 0.009 |
Disclaimer/Publisher’s Note: The statements, opinions and data contained in all publications are solely those of the individual author(s) and contributor(s) and not of MDPI and/or the editor(s). MDPI and/or the editor(s) disclaim responsibility for any injury to people or property resulting from any ideas, methods, instructions or products referred to in the content. |
© 2023 by the authors. Licensee MDPI, Basel, Switzerland. This article is an open access article distributed under the terms and conditions of the Creative Commons Attribution (CC BY) license (https://creativecommons.org/licenses/by/4.0/).
Share and Cite
Kong, Y.; Qu, A.; Feng, E.; Chen, R.; Yang, X.; Lai, Y. Seasonal Dynamics of Soil Enzymatic Activity under Different Land-Use Types in Rocky Mountainous Region of North China. Forests 2023, 14, 536. https://doi.org/10.3390/f14030536
Kong Y, Qu A, Feng E, Chen R, Yang X, Lai Y. Seasonal Dynamics of Soil Enzymatic Activity under Different Land-Use Types in Rocky Mountainous Region of North China. Forests. 2023; 14(3):536. https://doi.org/10.3390/f14030536
Chicago/Turabian StyleKong, Yuhua, Anran Qu, Erpeng Feng, Rui Chen, Xitian Yang, and Yong Lai. 2023. "Seasonal Dynamics of Soil Enzymatic Activity under Different Land-Use Types in Rocky Mountainous Region of North China" Forests 14, no. 3: 536. https://doi.org/10.3390/f14030536
APA StyleKong, Y., Qu, A., Feng, E., Chen, R., Yang, X., & Lai, Y. (2023). Seasonal Dynamics of Soil Enzymatic Activity under Different Land-Use Types in Rocky Mountainous Region of North China. Forests, 14(3), 536. https://doi.org/10.3390/f14030536
