Effects of Environmental Factors on the Nonstructural Carbohydrates in Larix principis-rupprechtii
Abstract
1. Introduction
2. Materials and Methods
2.1. Sites and Sample Trees
2.2. Nonstructural Carbohydrate Sampling and Analyses
2.3. Environmental Factors
2.4. Statistical Analyses
3. Results
3.1. Altitudinal Characteristics of NSCs and Their Concentration Differences among Different Organs
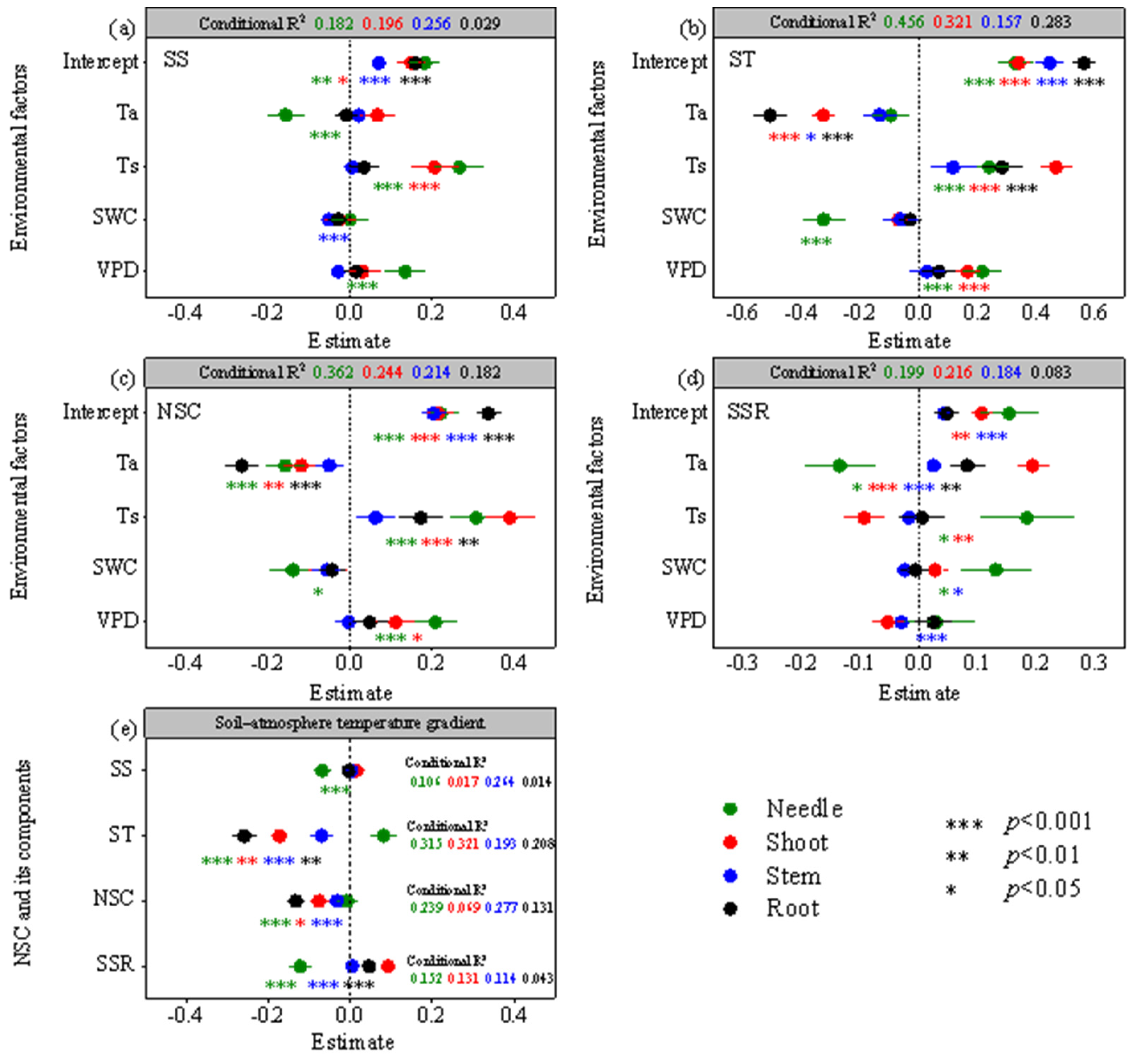
3.2. Effects of Environmental Factors on the NSCs
4. Discussion
4.1. Temperature Gradients May Assist Carbohydrate Allocation within Tree Individual
4.2. Needle Starch and Stem Soluble Sugars May Be Important for Trees to Respond to Water Stress
5. Conclusions
Supplementary Materials
Author Contributions
Funding
Data Availability Statement
Acknowledgments
Conflicts of Interest
References
- Hartmann, H.; Trumbore, S. Understanding the roles of nonstructural carbohydrates in forest trees–from what we can measure to what we want to know. New Phytol. 2016, 211, 386–403. [Google Scholar] [CrossRef]
- Du, Y.; Lu, R.; Xia, J. Impacts of global environmental change drivers on non-structural carbohydrates in terrestrial plants. Funct. Ecol. 2020, 34, 1525–1536. [Google Scholar] [CrossRef]
- Améglio, T.; Decourteix, M.; Alves, G.; Valentin, V.; Sakr, S.; Julien, J.-L.; Petel, G.; Guilliot, A.; Lacointe, A. Temperature effects on xylem sap osmolarity in walnut trees: Evidence for a vitalistic model of winter embolism repair. Tree Physiol. 2004, 24, 785–793. [Google Scholar] [CrossRef] [PubMed]
- Sala, A.; Woodruff, D.R.; Meinzer, F.C. Carbon dynamics in trees: Feast or famine? Tree Physiol. 2012, 32, 764–775. [Google Scholar] [CrossRef] [PubMed]
- Martínez-Vilalta, J.; Sala, A.; Asensio, D.; Galiano, L.; Hoch, G.; Palacio, S.; Piper, F.I.; Lloret, F. Dynamics of non-structural carbohydrates in terrestrial plants: A global synthesis. Ecol. Monogr. 2016, 86, 495–516. [Google Scholar] [CrossRef]
- Tomasella, M.; Petrussa, E.; Petruzzellis, F.; Nardini, A.; Casolo, V. The Possible Role of Non-Structural Carbohydrates in the Regulation of Tree Hydraulics. Int. J. Mol. Sci. 2020, 21, 144. [Google Scholar] [CrossRef]
- Wiley, E.; Helliker, B. A re-evaluation of carbon storage in trees lends greater support for carbon limitation to growth. New Phytol. 2012, 195, 285–289. [Google Scholar] [CrossRef]
- Wiley, E. Do Carbon Reserves Increase Tree Survival during Stress and Following Disturbance? Curr. For. Rep. 2020, 6, 14–25. [Google Scholar] [CrossRef]
- Song, L.; Luo, W.; Griffin-Nolan, R.J.; Ma, W.; Cai, J.; Zuo, X.; Yu, Q.; Hartmann, H.; Li, M.-H.; Smith, M.D. Differential responses of grassland community nonstructural carbohydrate to experimental drought along a natural aridity gradient. Sci. Total Environ. 2022, 822, 153589. [Google Scholar] [CrossRef]
- Hoermiller, I.I.; Naegele, T.; Augustin, H.; Stutz, S.; Weckwerth, W.; Heyer, A.G. Subcellular reprogramming of metabolism during cold acclimation in Arabidopsis thaliana. Plant Cell Environ. 2017, 40, 602–610. [Google Scholar] [CrossRef]
- Blumstein, M.; Hopkins, R. Adaptive variation and plasticity in non-structural carbohydrate storage in a temperate tree species. Plant Cell Environ. 2021, 44, 2494–2505. [Google Scholar] [CrossRef]
- Yang, X.; Jiang, Y.; Xue, F.; Ding, X.; Cui, M.; Dong, M.; Kang, M. Soil moisture controls on the dynamics of nonstructural carbohydrate storage in Picea meyeri during the growing season. Agric. For. Meteorol. 2022, 326, 109162. [Google Scholar] [CrossRef]
- Zhang, P.; Zhou, X.; Fu, Y.; Shao, J.; Zhou, L.; Li, S.; Zhou, G.; Hu, Z.; Hu, J.; Bai, S.H. Differential effects of drought on nonstructural carbohydrate storage in seedlings and mature trees of four species in a subtropical forest. For. Ecol. Manag. 2020, 469, 118159. [Google Scholar] [CrossRef]
- Duan, B.; Dong, T.; Zhang, X.; Zhang, Y.; Chen, J. Ecophysiological responses of two dominant subalpine tree species Betula albo-sinensis and Abies faxoniana to intra-and interspecific competition under elevated temperature. For. Ecol. Manag. 2014, 323, 20–27. [Google Scholar] [CrossRef]
- Hoch, G.; Körner, C. Global patterns of mobile carbon stores in trees at the high-elevation tree line. Glob. Ecol. Biogeogr. 2012, 21, 861–871. [Google Scholar] [CrossRef]
- Lintunen, A.; Paljakka, T.; Jyske, T.; Peltoniemi, M.; Sterck, F.; Von Arx, G.; Cochard, H.; Copini, P.; Caldeira, M.C.; Delzon, S. Osmolality and non-structural carbohydrate composition in the secondary phloem of trees across a latitudinal gradient in Europe. Front. Plant Sci. 2016, 7, 726. [Google Scholar] [CrossRef]
- Xu, Q.; Huang, B. Effects of Differential Air and Soil Temperature on Carbohydrate Metabolism in Creeping Bentgrass. Crop Sci. 2000, 40, 1368–1374. [Google Scholar] [CrossRef]
- Sperling, O.; Silva, L.C.; Tixier, A.; Théroux-Rancourt, G.; Zwieniecki, M.A. Temperature gradients assist carbohydrate allocation within trees. Sci. Rep. 2017, 7, 1–10. [Google Scholar] [CrossRef] [PubMed]
- Zwieniecki, M.A.; Tixier, A.; Sperling, O. Temperature-assisted redistribution of carbohydrates in trees. Am. J. Bot. 2015, 102, 1216–1218. [Google Scholar] [CrossRef]
- Zang, U.; Goisser, M.; Grams, T.E.; Häberle, K.-H.; Matyssek, R.; Matzner, E.; Borken, W. Fate of recently fixed carbon in European beech (Fagus sylvatica) saplings during drought and subsequent recovery. Tree Physiol. 2014, 34, 29–38. [Google Scholar] [CrossRef]
- Doughty, C.E.; Metcalfe, D.; Girardin, C.; Amézquita, F.F.; Cabrera, D.G.; Huasco, W.H.; Silva-Espejo, J.; Araujo-Murakami, A.; Da Costa, M.; Rocha, W. Drought impact on forest carbon dynamics and fluxes in Amazonia. Nature 2015, 519, 78–82. [Google Scholar] [CrossRef] [PubMed]
- Liu, H.; Shangguan, H.; Zhou, M.; Airebule, P.; Zhao, P.; He, W.; Xiang, C.; Wu, X. Differentiated responses of nonstructural carbohydrate allocation to climatic dryness and drought events in the Inner Asian arid timberline. Agric. For. Meteorol. 2019, 271, 355–361. [Google Scholar] [CrossRef]
- Adams, H.D.; Germino, M.J.; Breshears, D.D.; Barron-Gafford, G.A.; Guardiola-Claramonte, M.; Zou, C.B.; Huxman, T.E. Nonstructural leaf carbohydrate dynamics of P inus edulis during drought-induced tree mortality reveal role for carbon metabolism in mortality mechanism. New Phytol. 2013, 197, 1142–1151. [Google Scholar] [CrossRef]
- Piper, F.I. Drought induces opposite changes in the concentration of non-structural carbohydrates of two evergreen Nothofagus species of differential drought resistance. Ann. For. Sci. 2011, 68, 415–424. [Google Scholar] [CrossRef]
- Gruber, A.; Pirkebner, D.; Florian, C.; Oberhuber, W. No evidence for depletion of carbohydrate pools in Scots pine (Pinus sylvestris L.) under drought stress. Plant Biol. 2012, 14, 142–148. [Google Scholar] [CrossRef]
- Jin, Y.; Li, J.; Liu, C.; Liu, Y.; Zhang, Y.; Sha, L.; Wang, Z.; Song, Q.; Lin, Y.; Zhou, R. Carbohydrate dynamics of three dominant species in a Chinese savanna under precipitation exclusion. Tree Physiol. 2018, 38, 1371–1383. [Google Scholar] [CrossRef]
- He, W.; Liu, H.; Qi, Y.; Liu, F.; Zhu, X. Patterns in nonstructural carbohydrate contents at the tree organ level in response to drought duration. Glob. Change Biol. 2020, 26, 3627–3638. [Google Scholar] [CrossRef]
- Hartmann, H.; Ziegler, W.; Trumbore, S. Lethal drought leads to reduction in nonstructural carbohydrates in Norway spruce tree roots but not in the canopy. Funct. Ecol. 2013, 27, 413–427. [Google Scholar] [CrossRef]
- Yang, Q.; Zhang, W.; Li, R.; Xu, M.; Wang, S. Different responses of non-structural carbohydrates in above-ground tissues/organs and root to extreme drought and re-watering in Chinese fir (Cunninghamia lanceolata) saplings. Trees 2016, 30, 1863–1871. [Google Scholar] [CrossRef]
- Zhou, Q.; Shi, H.; He, R.; Liu, H.; Zhu, W.; Yu, D.; Zhang, Q.; Dang, H. Prioritized carbon allocation to storage of different functional types of species at the upper range limits is driven by different environmental drivers. Sci. Total Environ. 2021, 773, 145581. [Google Scholar] [CrossRef]
- Hartmann, H.; Bahn, M.; Carbone, M.; Richardson, A.D. Plant carbon allocation in a changing world–challenges and progress: Introduction to a virtual issue on carbon allocation. New Phytol. 2020, 227, 981–988. [Google Scholar] [CrossRef]
- Scartazza, A.; Moscatello, S.; Matteucci, G.; Battistelli, A.; Brugnoli, E. Seasonal and inter-annual dynamics of growth, non-structural carbohydrates and C stable isotopes in a Mediterranean beech forest. Tree Physiol. 2013, 33, 730–742. [Google Scholar] [CrossRef]
- Zhang, Y.; Xu, J.; Jiang, Y.; Mandra, T.; Rademacher, T.T.; Xue, F.; Dong, M.; Pederson, N. Higher plasticity of water uptake in spruce than larch in an alpine habitat of North-Central China. Agric. For. Meteorol. 2021, 311, 108696. [Google Scholar] [CrossRef]
- Zhao, K.; Dong, B.; Jia, Z.; Ma, L. Effect of climatic factors on the temporal variation of stem respiration in Larix principis-rupprechtii Mayr. Agric. For. Meteorol. 2018, 248, 441–448. [Google Scholar] [CrossRef]
- Lebourgeois, F.; Bréda, N.; Ulrich, E.; Granier, A. Climate-tree-growth relationships of European beech (Fagus sylvatica L.) in the French Permanent Plot Network (RENECOFOR). Trees 2005, 19, 385–401. [Google Scholar] [CrossRef]
- Palombo, C. The influence of land-use and climatic changes on mountain pine (Pinus mugo Turra spp. mugo) ecotone dynamics at its southern range margin on the Majella massif, Central Apennines. Ph.D. Thesis, University of Molise, Campobasso, Italy, 2013. [Google Scholar]
- Drobyshev, I.; Simard, M.; Bergeron, Y.; Hofgaard, A. Does Soil Organic Layer Thickness Affect Climate-Growth Relationships in the Black Spruce Boreal Ecosystem? Ecosystems 2010, 13, 556–574. [Google Scholar] [CrossRef]
- Wang, Y.-Y.; Khoo, K.-H.; Chen, S.-T.; Lin, C.-C.; Wong, C.-H.; Lin, C.-H. Studies on the immuno-modulating and antitumor activities of Ganoderma lucidum (Reishi) polysaccharides: Functional and proteomic analyses of a fucose-containing glycoprotein fraction responsible for the activities. Bioorganic Med. Chem. 2002, 10, 1057–1062. [Google Scholar] [CrossRef]
- Wang, B.; Gong, J.; Zhang, Z.; Yang, B.; Liu, M.; Zhu, C.; Shi, J.; Zhang, W.; Yue, K. Nitrogen addition alters photosynthetic carbon fixation, allocation of photoassimilates, and carbon partitioning of Leymus chinensis in a temperate grassland of Inner Mongolia. Agric. For. Meteorol. 2019, 279, 107743. [Google Scholar] [CrossRef]
- Campbell, G.S.; Norman, J. An introduction to Environmental Biophysics; Springer Science & Business Media: Berlin/Heidelberg, Germany, 2012. [Google Scholar]
- Lai, J.; Zou, Y.; Zhang, S.; Zhang, X.G.; Mao, L.F. glmm.hp: an R package for computing individual effect of predictors in generalized linear mixed models. J. Plant Ecol. 2022, 15, 1302–1307. [Google Scholar]
- Hoch, G.; Körner, C. The carbon charging of pines at the climatic treeline: A global comparison. Oecologia 2003, 135, 10–21. [Google Scholar] [CrossRef]
- Dolezal, J.; Kopecky, M.; Dvorsky, M.; Macek, M.; Rehakova, K.; Capkova, K.; Borovec, J.; Schweingruber, F.; Liancourt, P.; Altman, J. Sink limitation of plant growth determines tree line in the arid Himalayas. Funct. Ecol. 2019, 33, 553–565. [Google Scholar] [CrossRef]
- Hartmann, H.; Ziegler, W.; Kolle, O.; Trumbore, S. Thirst beats hunger—Declining hydration during drought prevents carbon starvation in Norway spruce saplings. New Phytol. 2013, 200, 340–349. [Google Scholar] [CrossRef] [PubMed]
- Basu, S.; Ramegowda, V.; Kumar, A.; Pereira, A. Plant adaptation to drought stress. F1000Research 2016, 5, 1554. [Google Scholar] [CrossRef] [PubMed]
- McDowell, N.G.; Sapes, G.; Pivovaroff, A.; Adams, H.D.; Allen, C.D.; Anderegg, W.R.; Arend, M.; Breshears, D.D.; Brodribb, T.; Choat, B. Mechanisms of woody-plant mortality under rising drought, CO2 and vapour pressure deficit. Nat. Rev. Earth Environ. 2022, 3, 294–308. [Google Scholar] [CrossRef]
- O’Brien, M.J.; Leuzinger, S.; Philipson, C.D.; Tay, J.; Hector, A. Drought survival of tropical tree seedlings enhanced by non-structural carbohydrate levels. Nat. Clim. Change 2014, 4, 710–714. [Google Scholar] [CrossRef]
- Gričar, J.; Zavadlav, S.; Jyske, T.; Lavrič, M.; Laakso, T.; Hafner, P.; Eler, K.; Vodnik, D. Effect of soil water availability on intra-annual xylem and phloem formation and non-structural carbohydrate pools in stem of Quercus pubescens. Tree Physiol. 2018, 39, 222–233. [Google Scholar] [CrossRef]
- Piper, F.I. Decoupling between growth rate and storage remobilization in broadleaf temperate tree species. Funct. Ecol. 2020, 34, 1180–1192. [Google Scholar] [CrossRef]
- Tixier, A.; Orozco, J.; Roxas, A.A.; Earles, J.M.; Zwieniecki, M.A. Diurnal variation in nonstructural carbohydrate storage in trees: Remobilization and vertical mixing. Plant Physiol. 2018, 178, 1602–1613. [Google Scholar] [CrossRef]
- De Schepper, V.; De Swaef, T.; Bauweraerts, I.; Steppe, K. Phloem transport: A review of mechanisms and controls. J. Exp. Bot. 2013, 64, 4839–4850. [Google Scholar] [CrossRef]




| Altitude (m a.s.l.) | Aspect (°) | Slope (°) | Soil Depth (cm) | Age (a) | Height (m) | DBH (cm) |
|---|---|---|---|---|---|---|
| 2040 | NE25 | 20 | 63 | 50 ± 5 | 8.2 ± 0.9 | 25.2 ± 2.8 |
| 2260 | NE12 | 10 | 95 | 62 ± 8 | 13.1 ± 1.1 | 37.9 ± 2.8 |
| 2440 | NE30 | 10 | 85 | 75 ± 6 | 12.7 ± 0.9 | 31.9 ± 4.8 |
| 2600 | NE20 | 15 | 45 | 73 ± 5 | 8.5 ± 0.8 | 30.9 ± 2.8 |
| 2740 | NE5 | 20 | 40 | 69 ± 9 | 7.24 ± 0.5 | 29.2 ± 2.8 |
| Altitude (m a.s.l.) | Needle | Shoot | Stem | Root | Overall |
|---|---|---|---|---|---|
| 2040 | 1.54 ± 0.75 a | 1.08 ± 0.40a | 0.17 ± 0.07a | 0.67 ± 0.36a | 0.90 ± 0.63a |
| 2260 | 1.36 ± 0.61ab | 1.04 ± 0.50a | 0.14 ± 0.07a | 0.58 ± 0.26a | 0.81 ± 0.59ab |
| 2440 | 1.38 ± 0.56ab | 1.12 ± 0.50a | 0.16 ± 0.06a | 0.63 ± 0.27a | 0.85 ± 0.59ab |
| 2600 | 1.11 ± 0.51b | 0.98 ± 0.43a | 0.16 ± 0.06a | 0.53 ± 0.17a | 0.72 ± 0.48b |
| 2740 | 1.11 ± 0.83b | 0.90 ± 0.26a | 0.23 ± 0.14a | 0.64 ± 0.69a | 0.74 ± 0.61b |
| Organs | Soluble Sugars | Starch | NSC | SSR |
|---|---|---|---|---|
| Needle | 10.91 ± 3.94b | 9.56 ± 4.27b | 20.47 ± 6.24b | 1.30 ± 0.68a |
| Shoot | 11.91 ± 5.29a | 12.19 ± 3.49a | 24.10 ± 7.41a | 1.02 ± 0.43b |
| Stem | 2.21 ± 1.39d | 13.03 ± 3.48a | 15.25 ± 4.21c | 0.17 ± 0.09d |
| Root | 7.04 ± 2.81c | 12.86 ± 4.84a | 19.90 ± 6.35b | 0.61 ± 0.39c |
Disclaimer/Publisher’s Note: The statements, opinions and data contained in all publications are solely those of the individual author(s) and contributor(s) and not of MDPI and/or the editor(s). MDPI and/or the editor(s) disclaim responsibility for any injury to people or property resulting from any ideas, methods, instructions or products referred to in the content. |
© 2023 by the authors. Licensee MDPI, Basel, Switzerland. This article is an open access article distributed under the terms and conditions of the Creative Commons Attribution (CC BY) license (https://creativecommons.org/licenses/by/4.0/).
Share and Cite
Yang, X.; Jiang, Y.; Xue, F.; Ding, X.; Cui, M.; Dong, M.; Kang, M. Effects of Environmental Factors on the Nonstructural Carbohydrates in Larix principis-rupprechtii. Forests 2023, 14, 345. https://doi.org/10.3390/f14020345
Yang X, Jiang Y, Xue F, Ding X, Cui M, Dong M, Kang M. Effects of Environmental Factors on the Nonstructural Carbohydrates in Larix principis-rupprechtii. Forests. 2023; 14(2):345. https://doi.org/10.3390/f14020345
Chicago/Turabian StyleYang, Xianji, Yuan Jiang, Feng Xue, Xinyuan Ding, Minghao Cui, Manyu Dong, and Muyi Kang. 2023. "Effects of Environmental Factors on the Nonstructural Carbohydrates in Larix principis-rupprechtii" Forests 14, no. 2: 345. https://doi.org/10.3390/f14020345
APA StyleYang, X., Jiang, Y., Xue, F., Ding, X., Cui, M., Dong, M., & Kang, M. (2023). Effects of Environmental Factors on the Nonstructural Carbohydrates in Larix principis-rupprechtii. Forests, 14(2), 345. https://doi.org/10.3390/f14020345

