You are currently viewing a new version of our website. To view the old version click .
Forests
  • Article
  • Open Access

9 February 2023

Latitudinal and Altitudinal Patterns and Influencing Factors of Soil Humus Carbon in the Low-Latitude Plateau Regions

,
,
,
and
1
College of Forestry, Guizhou University, Guiyang 550025, China
2
College of Resources and Environment, Yunnan Agricultural University, Kunming 650201, China
3
Research Center for Soil Erosion & Ecological Restoration, Guizhou University, Guiyang 550025, China
4
Institute for Forest Resources & Environment of Guizhou, Guizhou University, Guiyang 550025, China
This article belongs to the Section Forest Soil

Abstract

The composition of forest soil organic matter is an important part of the global carbon cycle, which is effective by temperature and moisture. As we all know, the temperature and moisture in the low-latitude plateau regions are very sensitive to changes in latitude and altitude. However, the composition of soil organic matter response to changes in latitude and altitude in the low-latitude plateau regions is unknown. In this study, the effects of latitude (21–29° N) and altitude (500–4000 m) on soil organic carbon (SOC) and humic acid carbon (HAC), fulvic acid carbon (FAC), and humin carbon (HMC) in forest surface soil (0–10 cm) were investigated. The results showed that the contents of soil organic carbon and humus increased with the increase in altitude and latitude. The effect of altitude on the composition of organic matter was significant only at 23° N to 25° N. The composition of organic matter is not only regulated by mean annual temperature (MAT) and soil moisture content (SMC) but also affected by soil pH, carbon to nitrogen ratio (C/N), and powder. The soil surface layer (0–10 cm) carbon sequestration capacity in high-latitude and high-altitude areas is stronger than that in low-latitude and low-altitude areas. As a consequence, in today’s response to global climate change, the high carbon sequestration capacity of high latitude and high altitude areas should be given attention and protection.

1. Introduction

Global warming is seriously threatening global ecological security and human sustainable development [1,2]. Forest soil carbon pool is the main carbon sink of terrestrial ecosystems [3,4]. How to maximize the carbon sequestration effect of the forest ecosystem is very important. The composition of soil organic matter plays an irreplaceable role in carbon sequestration in forest ecosystems [5]. Most importantly, humus is an organic polymer with complex biochemical characteristics, which can effectively resist microbial decomposition, and the content of its carbon component is a true reflection of the ability of soil to sequester carbon [6,7]. Changes in its carbon stocks and composition may alter the concentration of CO2 in the atmosphere, thereby affecting global climate change [8,9]. Therefore, in the context of global warming, studying the storage and distribution of the humus carbon component of forest soils can provide a scientific basis for addressing global warming [10,11].
The input of forest soil organic carbon primarily originates from dead plant leaves and roots [12]. In addition, a growing body of literature shows that root exudates, as well as mucilage, sloughed cells, and other forms of rhizodeposition, are also a substantial source of SOM [13,14]. Importantly, exudates show up rapidly in microbes, which then convert that OM into SOM [15,16]. Therefore, the factors that affect the accumulation and decomposition of forest soil organic matter can affect the content of organic carbon. As the main component of organic carbon, the mechanism of soil humus formation is a highly complex process that is affected by many factors, including the content of the humus matrix and the transformation time of plant active residues [17,18]. Other environmental factors, such as climate, topography, altitude, soil type, and land use pattern also affect the humification process by affecting the input and decomposition of humification substrates [19,20,21]. Thus, these factors affect carbon sequestration by soil humus.
Altitude and latitude have long been powerful tools for studying how temperature and related climatic factors affect the characteristics and processes of forest ecosystems. Cardelli et al. (2019) [22] explored changes in topsoil under Fagus sylvatica by substituting latitude and altitude for temperature differences. The results showed that temperature increases caused by latitude had an impact on the plant–soil system, animals, microbial communities, and enzyme activities. At the elevation scale, a difference of 1 °C affected the chemical and biological properties of the soil, mainly in the surface layer. In addition, increasing temperature can increase the sensitivity of microbial communities and enzyme activities to the temperature at high latitudes, and therefore, more intense organic detrital degradation may occur [23]. Zhou et al. (2021) [24] found that increasing air temperature affected soil temperature, which improved soil biological activity and accelerated soil carbon release through enhanced soil respiration.
Humus is the most stable carbon pool of soil organic carbon, and its response to different latitudes and altitudes is also worth paying attention to. Latitude affects the accumulation of organic carbon, and the content of SOC and humus components increases in parallel with latitude from tropical to temperate forest regions. Climate factors play a leading role in the latitude pattern distribution of HAC and FAC as determined by the plant species and the process of decomposition of litter compared with other influencing factors [25,26]. The altitude plays an important role in soil humification because it can affect the soil humification process by changing environmental factors, such as temperature and moisture content, and then affect the characteristics of the distribution of carbon storage of soil components [27]. Labaz and others (2014) [17] found that the carbon content of soil humus in mountainous areas in temperate climates increases with the increase in altitude, and the form of soil humus changes simultaneously, primarily owing to the combined effect of the increase in soil acidity and the decrease in temperature with the increase in altitude [28,29,30]. However, Bojko et al. (2017) [31] concluded that the soil humus components responded differently at different altitudes, and the FAC content increased significantly in areas above 1000 m a.s.l., while the content of stable component HMC decreased significantly. In areas below 1000 m a.s.l., the most stable humus may be reduced. In summary, there is no clear understanding of the composition and changes of soil humus under the influence of different latitudes and altitudes.
The low-latitude plateau area is primarily located at the southeast edge of the Qinghai Tibet Plateau in China. The terrain in this area is complex, high in the north and low in the south, and with an altitude difference of 6664 m a.s.l. The unique geographical location of the low-latitude plateau makes it a typical area with complex terrain and comprehensive climate diversity [32], and it is considered to be one of the areas with the highest soil organic carbon reserves in China [33,34]. However, in recent years, mountain soils have become a potentially vulnerable part of the global carbon cycle. In addition to human activities, the effects of temperature and hydrological changes caused by the complex and unique geographical differences in soil organic carbon and humus should not be ignored under the background of global warming. At present, owing to the lack of research in this area, the carbon pool changes caused by temperature and humidity changes due to geographical environment differences are ignored in most regions. Therefore, it is necessary to clarify the distribution characteristics and influencing factors of soil humus under the influence of latitude and altitude to provide an important theoretical basis for soil carbon storage assessment and related emission reduction and sink increase schemes in typical regions with complex terrain and comprehensive climate diversity. The main purpose of this study was to (1) investigate the spatial distribution of the composition of soil organic matter in forest soils affected by different latitudes and investigate the subsurface soil in low-latitude and high-altitude areas, and (2) explore the influencing factors of the composition of soil organic matter in this area. The main question of this study was to identify how latitude, altitude, and related environmental factors affect variation in the SOC and its humus components.

2. Materials and Methods

2.1. Study Sites

The low-latitude plateau is primarily located in Yunnan Province, southwest China, at 97°31′39″–106°11′47″ E, 21°8′32″–29°15′8″ N (Figure 1). It covers an area of 38.32 × 104 km2 (the Mountain plateau area is 94%). The climate of the whole region is diverse and primarily part of a subtropical plateau monsoon climate. Clear dry and wet seasons, abundant rainfall, but unevenly distributed, the elevations are between 600 and 3000 m above sea level, and the average annual temperature is 14.5 °C; the average annual rainfall in this area is about 1100 mm. According to the genetic soil classification of China (GSCC), there are many types of soils in this region, including alpine meadow soil, dark brown soil, brown soil, yellow-brown soil, red soil, lateritic soil, and lateritic soil. The forest vegetation in this region forms complex and diverse natural characteristics under the joint action of complex climatic conditions and topography. It is also the region with the richest forest vegetation types in China, including practically all forest vegetation types, from cold temperate coniferous forests to tropical rainforests. The main vegetation types include thermal broadleaf forest (Yunnan Dipterocarpus intricatus Dye forests, Shorea chinensis, Shorea assamica Dyer, etc.), warm thermal broadleaf forest (Castanopsis hystrix, Castanopsis mekongensis A. Camus, etc.), warm temperate broadleaf forest (Yuanjiang Castanopsis fargesii, Cyclobalanopsis glaucoides Schotky, etc.), warm cool broadleaf forest (Acer sacchar), warm cool coniferous forest (alpine pine forest, Pinus armandii Franch, etc.), cold warm broadleaf forest (Quercus aquifolioides Rehd. Et Wils, BetulaplatyphyllaSuk, etc.), Cold temperate coniferous forest (Abies delavayi Franch, Picea likiangensis, etc.). At the same time, the area is also one of the four major forested areas in China. The existing forest area is 187, 173 km2, with forest coverage of 59.3%. The total forest biomass in this region is up to 1226.22 million Mg and the total forest productivity is 4196.29 Mg/a.
Figure 1. Distribution map of soil sampling sites in Yunnan Province, China.

2.2. Sampling

The forest soil type survey was conducted in Yunnan Province first, and then soil samples were collected from different latitudes and altitudes. The study sampling points are shown in Figure 1. Three replicate standard plots of 20 × 20 m were set for each sample site, and surface litter and defoliation were removed. Three soil samples were randomly collected in the 0–10 cm soil layer of each sample site, and the three soil samples were fully mixed into one sample. The longitude and latitude, altitude, slope, slope orientation, and other information of the sample plots were recorded simultaneously. The sample site information is shown in Supplementary material (Table S1). Divided by forest type, we collected 50 soil samples of broadleaf forest, 22 samples of coniferous forest, and 8 samples of bamboo forest. A total of 240 soil samples were collected and then transported to our laboratory in Kunming, China. Plant and animal residues and stones were removed after the soil had been dried naturally in the air. Partial soil samples were removed by quartering and screened for use.

2.3. Physical and Chemical Analyses

The soil organic carbon (SOC) was determined using the potassium dichromate oxidation method [35]. The total soil nitrogen was determined by the Kjeldahl method [36], and the soil C/N was calculated by the ratio of organic carbon to total nitrogen. The soil pH was determined with a pH meter (Ultrameter II; Myron L. Company, Carlsbad, CA, USA) from a slurry of soil mixed with distilled water (1:2.5, v/v). Soil moisture content was determined by the gravimetric method. Soil moisture content (SMC) was measured after drying the soil samples in an oven at 105 °C for 24 h. The international soil texture classification standard was used to divide the soil into clay (<2 μm), powder (2–20 μm), and sand (20–2000 μm) [37]. The data on mean annual temperature (MAT) were obtained from the China Meteorological Data Service.

2.4. The Composition of Soil Organic Matter Analysis

The modified humus composition method was used to separate and extract the soil humus components (FA, HM). Soil humus extraction methods are as follows: 5.00 g of air-dried soil sample after 60 mesh sieve was weighed in 100 mL plastic centrifuge tube, 30 mL of a mixed solution of 0.1 mol/L NaOH and 0.1 mol/LNa4P2O7 (pH = 13) was added, and the mixture was capped and extracted at (70 ± 2) °C for 1 h in a constant temperature shock water bath. After removal, it was centrifuged at 3500 r/min for 15 min. The liquid supernatant was filtered into a 50 mL volumetric flask with a medium-speed quantitative filter paper, and the residue was washed twice with a 20 mL mixture (10 mL each time). The two centrifugations were combined and filtered into a 50 mL volumetric flask. Extractable humus (HE) can be extracted from this solution, and the residue in the centrifuge tube is washed with distilled water and dried at 55 °C, then passed through a 60-mesh screen, which is HM. A total of 30 mL of the above extractable humus (HE) was absorbed, and 0.5 mol/L H2SO4 was added to adjust the pH to 1.0–1.5. The solution was kept at 60–70 °C for 1.5 h and left overnight. The next day, the solution was filtered into a 50 mL volumetric flask, which was FA. The precipitation on the filter paper was washed three times with 0.025 mol/L H2SO4, and the washing liquid was discarded. Then, the precipitation was dissolved in a 50 mL volume flask with warm (60 °C) 0.05 mol/L NaOH, and the volume was fixed with distilled water, which was HA.

2.5. Data Analysis

In order to better analyze the influence of different altitudes and latitudes on soil humus carbon stock, the altitude in this study was divided into seven gradients (500–1000 m, 1000–1500 m, 1500–2000 m, 2000–2500 m, 2500–3000 m, 3000–3500 m, and 3500–4000 m), and the latitude was divided into four gradients (21–23° N, 23–25° N, 25–27° N, and 27–29° N).
Variance analysis was used to analyze the relationship between total organic carbon and altitude and latitude, and a cluster analysis was conducted on the soil humus components at different latitudes and altitudes. To investigate the influencing factors of SOC and humus carbon under the distribution patterns of latitude and altitude, the environmental factors were divided into a climatic factor (MAT), soil characteristics (pH, SMC, C/N, and powder), and presented in the form of a redundancy analysis (RDA) graph. All analyses and plotting utilized SPSS 26.0 (IBM, Inc., Armonk, NY, USA), Origin 2019b (OriginLab, Northampton, MA, USA), and other software, and the statistical significance was p < 0.05.

3. Results

3.1. Effects of Latitude and Altitude on the Composition of Organic Matter of Forest Soil

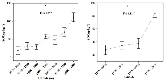
The content of SOC increased with elevation (p < 0.01). As shown in Figure 2, the relationship between the organic carbon content of forest soil and altitude changed in a roughly step-like manner. The gradient of changes could be divided into three ranges: 500–2000 m, 2000–3500 m, and 3500–4000 m, and the organic carbon content primarily ranged from 0–40 g·kg−1, 40–80 g·kg−1, and 80–120 g·kg−1, respectively.
Figure 2. Variation of forest soil organic carbon with altitude (a) and latitude (b) ** p < 0.01.
In this study, the latitude was divided into four gradient ranges (Figure 2). The content of SOC increased with the increase in latitude (p < 0.01). The trend of organic carbon content in the range of 21° N to 27° N changed relatively gradually, and the range of organic carbon content was roughly between 28 and 38 g·kg−1. The organic carbon content varied substantially in the range of 25° N to 29° N, and the organic carbon content was as high as 85 g·kg−1 in the range of 27° N to 29° N. In conclusion, the ability of soil to sequester carbon in the high-latitude and high-altitude areas was stronger than that of the low-latitude and low-altitude areas.
As shown in Figure 3, the influence of altitude on soil humus carbon varied in different latitudes, and the influence of altitude (500–1000 m,1000–1500 m, and 1500–2000 m) on the SOC in the range of 23–25° N was extremely significant (p < 0.01). The contents of humus carbon (HAC, FAC, and HMC) were 4.83 g·kg−1, 10.79 g·kg−1, and 11.20 g·kg−1; 3.40 g·kg−1, 6.02 g·kg−1, and 10.14 g·kg−1, respectively; and 9.81 g·kg−1, 15.14 g·kg−1, and 26.5 g·kg−1, respectively. The results in other latitudes were not significant. In conclusion, altitude has a substantial influence on the sequestration of soil humus carbon in the latitude range of 23° N to 25° N. In addition, the carbon content of different humus components showed the order of HMC > FAC > HAC, and humin carbon was the highest among the three components of humus.
Figure 3. Characteristics of the composition of soil organic matter at different latitudes and elevations. FAC, fulvic acid carbon; HAC, humic acid carbon; HMC, humin carbon. ** p < 0.01.

3.2. Clustering of the Composition of Soil Organic Matter and Environmental Factors

As shown in Figure 4, 21–23° N, 23–25° N, and 25–27° N can be classified into one category, and 27–29° N can be separated into one category, indicating that the soil humus composition within 21–27° N is somewhat similar. From the perspective of elevation as a classification variable, 500–1000 m, 1000–1500 m, 1500–2000 m, 2000–2500 m, 2500–3000 m, and 3000–3500 m were classified into one category, indicating that the soil humus composition within the altitude range of 500–3500 m is somewhat similar.
Figure 4. Cluster map of the composition of soil organic matter with latitude (a) and altitude (b).

3.3. Effect of Environmental Variables on the Composition of Soil Organic Matter

To better reveal the influence of environmental factors on the composition of soil organic matter, the redundancy (RDA) method was utilized in this study. Five environmental factors (pH, C/N, SMC, MAT, and powder) were utilized as environmental variables. The compositions of soil organic matter were used as soil properties, and an RDA analysis was performed on the two variable groups. As shown in Figure 5, the explanatory information content of the first sorting axis was 34.29%, and that of the second sorting axis was 35.56%, with a cumulative explanatory information content of 69.85%. The cumulative explanation rate of soil organic matter composition by various environmental factors was 31.3%, and the single explanation rate of C/N was the highest (p < 0.01), up to 22.3%, followed by MAT, SMC, pH, and powder (p < 0.05). It is apparent that C/N, as an indicator of humus properties, can reflect the characteristics by which humus carbon changes to some extent in low-latitude plateau regions. At low-latitude regions (21° N to 23° N and 23° N to 25° N), HAC and FAC positively correlated with MAT, POWDER, and pH, and the correlation was as follows: 21° N to 23° N > 23° N to 25° N. At high latitudes (27–29° N), the SOC and HMC positively correlated with SMC and C/N. These results indicate that the formation of soil humus carbon (HAC and FAC) is closely related to MAT, powder, and pH in low-latitude areas, and the SMC and C/N have more obvious effects on the formation of SOC and HMC in high-latitude areas. At low altitudes (500–1000 m and 1000–1500 m), the HAC and FAC positively correlated with MAT, powder, and pH, and the correlation was as follows: 500–1000 m > 1000–1500 m. At high altitudes (3000–4000 m), the SOC and HMC positively correlated with SMC and C/N, which indicated that low and high altitudes more significantly influenced the SOC and formation of humus carbon. However, this was not true at middle altitudes. In summary, the accumulation of HAC and FAC in low-latitude and low-altitude areas is primarily regulated by MAT, powder, and pH, while the formation of SOC and HMC in high-latitude and high-altitude areas is primarily affected by SMC and C/N.
Figure 5. RDA ordination of soil organic matter composition and environmental factors. Figure (a) represents RDA ordination at different latitudes; Figure (b) represents RDA ordination at different altitudes. FAC, fulvic acid carbon; HAC, humus acid carbon; HMC, humin carbon; MAT, mean annual temperature; RDA, redundancy analysis; SMC, soil moisture content; SOC, soil organic carbon.

4. Discussion

4.1. Effects of Altitude and Latitude on Forest Soil Organic Carbon

Altitude affects the decomposition of soil organic matter by changing temperature and rainfall, and thus, affects the content of organic carbon. In this study, the organic carbon in forest soils increased with elevation (500–4000 m) (Figure 6, p < 0.01). This is consistent with the conclusions of Badía-Villas and Girona-García (2018) [30]. This is primarily because the high-altitude area is more effective at accumulating organic carbon owing to its lower temperatures, increased soil moisture, decreased soil microbial activity, and lower decomposition rate of SOM [38]. An additional analysis showed that the change in SOC in different altitudes is stepped. What is noteworthy is that inflection points occur in the range of 1000–1500 m and 2500–3000 m, indicating that organic carbon in the range of 1000–1500 m and 2500–3000 m has a more pronounced response to altitude.
Figure 6. Relationship between altitude and the composition of soil organic matter (figure (a): SOC; figure (b): HAC; figure (c): FAC; figure (d): HMC; figure (e): HAC/FAC). FAC, fulvic acid carbon; HAC/FAC, humic acid carbon/fulvic acid carbon; HAC, humic acid carbon; HMC, humin carbon; SOC, soil organic carbon.
Latitude is one of the important indices that affects biological stock evaluations. In particular, high-latitude ecosystems are important accumulators of carbon owing to the low decomposition rate of surface litter and organic matter [39]. This study showed that the content of SOC increased with latitude (21–29° N) (Figure 7, p < 0.01), primarily owing to the change in temperature that occurs in concert with the change in latitude. Alternatively, temperature affects the biomass of plant litter by affecting photosynthesis and respiration [40]. In addition, there were significant differences in the composition of vegetation between high-latitude and low-latitude areas. The high-latitude coniferous forest contained more phenolic resin components, lignin, and tannic acid, and the high concentration of phenolics inhibited microbial activity and reduced the rate of decomposition of SOM [39]. As shown in Figure 2, the content of SOC increased slowly with the increase in latitude at the beginning but increased sharply at high latitudes (25–29° N). It could be that hydrothermal conditions in the range of 25–29° N can reduce microbial activity and the deposition of organic carbon; except for elevation, slope is also an important factor affecting soil humus composition [41]. Previous studies have found that the higher the slope, the worse the anti-erosion ability of soil, the stronger the gravity and leaching effect, the easier the loss of organic matter and the decrease in soil humus content, that is, the soil humus content decreases with the increase in the slope [42,43]. In this study, the relationship between slope and the composition of organic matter is not obvious (Table 1). As we all know, the composition of soil organic matter is regulated by various influence factors (climate, biology, soil, terrain, etc.) [44]. The low latitude plateau is a specific area with complex terrain and comprehensive climate diversity worldwide. Therefore, the composition of soil organic matter content may be more susceptible to factors except for slope exposure (latitude, altitude, MAT, SMC, etc.) and more affected in the low-latitude plateau. The unique and complex bioclimatic conditions in this region diminish the effect of the slope on the composition of soil organic matter content. This study focuses on the influence of latitude and altitude on the composition of soil organic matter content. As a result, the number of samples varies considerably across the different slope grades, and the large variability between the data will reduce the reliability of the mean value of the composition of soil organic matter content [45]. Therefore, more sample plots should be used to reduce the variability range when further investigating the relationship between the composition of soil organic matter content and slope.
Figure 7. Relationship between latitude and the composition of soil organic matter (figure (a): SOC; figure (b): HAC; figure (c): FAC; figure (d): HMC; figure (e): HAC/FAC). FAC, fulvic acid carbon; HA/FA, humic acid/fulvic acid; HAC, humic acid carbon; HMC, humin carbon; SOC, soil organic carbon.
Table 1. Characteristics of soil organic matter composition in different slope forest soils.

4.2. Analysis of Comprehensive Influencing Factors of Soil Organic Matter Composition under Different Altitudes and Latitudes

Humus is a conglomeration of different types of organic matter that form a mineral layer on the soil surface that is rich in organic compounds. Humus has an obvious potential to indicate the state of organic carbon. The composition of humus is the result of topography, climate, vegetation, and soil microbial community [46,47,48]. This study showed that the humus content of forest soil increased with the increase in latitude and altitude under the combined effect of latitude and altitude, and the contents of each component were as follows: HMC > FAC > HAC. Humin, the most stable component of humus, significantly contributes to the surface organic carbon pool [49]. The composition of humic acid in the soil of south China is generally dominated by fulvic acid, i.e., HAC < FAC. Soil microorganisms easily volatilize components as carbon sinks and sources of nutrients and, thus, rapidly increase the degree of soil humification [50]. Alternatively, low-altitude plateau forests are prone to a lower degree of surface soil humification because of the high vegetation coverage, temperature and humidity, and fresh organic residue on the surface soil that is frequently added [51]. In this study, except for the latitude range of 23–25° N, the elevation gradient had a significant influence on the content and composition of soil organic matter (p < 0.01), but the other latitude range was not significant. This indicates that altitude (500–2000 m) has a more substantial influence on soil organic matter composition at 23–25° N. This may be because the area is located near the Tropic of Capricorn (23.5° N), which is the boundary between the tropics and the north temperate zone. The existence of the Tropic of Cancer changes the climate type, resulting in drastic changes in local temperature and hydrological conditions. In addition to climate types, vegetation types also gradually change near the Tropic of Cancer, and vegetation coverage and types are also important factors that cannot be ignored. In this paper, the content of organic matter in broadleaf forests was higher than that in coniferous forests and bamboo forests (Table 2). The vegetation structure of the bamboo forest is different from that of coniferous forests and broadleaf forests [52,53], and the change in vegetation structure leads to the difference in understory microclimate (illumination, temperature, and moisture) [54]. On the other hand, the physical processes of the soil and the quantity and quality of imported roots and litter may also change, which will significantly affect the decomposition process of organic carbon [55,56]. Although the underground carbon allocation of bamboo forests is much higher than that of coniferous forests and broadleaf forests [57], the influence of surface litter on the composition of soil organic matter may be more significant than that of underground roots in 0–10 cm soil depth. This is because Wang et al. (2020) [58] found that transforming the broadleaf forest into a bamboo forest will reduce the composition of soil organic matter content. Firstly, bamboo aging leads to an increase in litter, and the increase in bamboo forests slows down the average decomposition rate of the entire litter layer. Secondly, the weight of bamboo leaf litter is lower than that of most tree species, and its decomposition rate is prolonged, resulting in a vast and light homogeneous litter layer. This homogeneous litter layer offers less potential microenvironments and habitat diversity for soil biota [59,60]. Finally, bamboo is a low-quality litter, and it is more difficult to effectively form soil organic matter from bamboo litter than from coniferous broadleaf forests. Compared with other forest types, the bamboo forest has fewer sample plots, so the reliability of the average organic carbon value is reduced by the small sample numbers.
Table 2. Characteristics of soil organic matter composition in different forest types.
As shown in Figure 4, the range of 21–27° N can be classified into one category, indicating that the composition of soil organic matter is similar in the latitude range of 21–27° N. In addition, the composition of soil organic matter from 500 m to 3500 m at different altitudes can be classified into one category, indicating that the composition of soil organic matter from 500 m to 3500 m a.s.l. is similar. In general, this is consistent with the geographical conditions of the combination of low latitude and low altitude and high latitude and high altitude in the study area. Previous studies have shown that climatic factors (temperature and precipitation) and biological factors (plants and microorganisms) are important factors that affect the accumulation of humus [61,62,63,64]. Based on the linear model (RDA) ranking method, this study revealed the relationship between the composition of soil organic matter and influencing factors at different altitudes and latitudes. HAC and FAC are primarily affected by MAT, powder, and pH (Figure 5). Temperature will affect the soil’s biological characteristics and humus morphology. High temperature is conducive to the formation of humic acid carbon, but not conducive to the formation of fulvic acid carbon [65,66]. In addition, the granular composition of soils is also closely related to the composition of organic matter, and any difference in soil texture will change the pattern of decomposition and SOM formation of the same litter. Compared with pH and MAT, powder content has less influence on the composition of organic matter [67], however, soil texture has an effect on the retention of carbon in soil. The high content of silt and clay mineral particles in soil may lead to the combination of aggregates and organic mineral complexes with humus colloid, thus having a stronger retention capacity. On the other hand, it may also lead to more microbial residues being retained in the soil [68,69].
The formation of SOC and HMC in high-latitude and high-altitude areas is primarily affected by the SMC and C/N. Humin carbon, as the most stable component of soil humus, is strongly resistant to microbial decomposition, but microbial activity is also affected by temperature, moisture, carbon source, and other factors. Therefore, the distribution of SOC and HMC in high-latitude and high-altitude areas is primarily affected by the SMC and C/N. The soil microbial community structure and enzyme activity were primarily affected by pH, C/N, and SMC, and the microbial activity gradually decreased with the elevation [70]. Tree species affect the soil’s chemical properties, such as pH and C/N, to affect the composition of soil humus [71]. For example, the soil under coniferous forests in high-altitude areas is primarily acidic owing to the presence of litter, which does not provide favorable conditions for the reactions of condensation that create soil humus. These results indicate that the accumulation of humus carbon at high latitudes and elevations is the result of the combined effects of changes in the composition of vegetation and the increase in litter input and improvement in soil fertility and microclimate brought about by canopy closure [72]. It is worth noting that when the latitude is higher than 27° N, and the altitude is greater than 3500 m, the SOC and content of humus carbon increase sharply (Figure 2). This is because when latitude > 27° N and altitude > 3500 m, on the one hand, soil parent material changes, which determines the physical and chemical properties of soil substrates and the quality of biomass inflow [26], and ultimately affects the composition of soil organic matter. On the other hand, the temperature gradually decreases, and the humidity increases; soil weathering becomes weaker; vegetation cover gradually becomes higher, resulting in less anthropogenic activity and the destruction of vegetation. The accumulation of soil organic matter composition increased. Therefore, when the size of organic carbon pools in low-latitude highland areas is assessed, the focus should be on organic carbon sequestration in high-latitude (>27° N) and high-altitude (>3500 m) areas.

5. Conclusions

This research studied the response of soil organic matter composition to different latitudes and altitudes and the main regulatory factors. The composition of soil organic matter increased with the increase in altitude and latitude. The composition of soil organic matter was ordered HAC < FAC < HUC. In the whole latitude range (21–29° N), the effect of altitude on soil humus carbon was significant only from 23° N to 25° N; this may be mainly caused by the Tropic of Cancer. The latitudinal and altitudinal patterns of soil organic matter composition in forests are regulated by MAT and SMC, and the soil chemical properties (pH, C/N, and powder) also have a certain influence on the accumulation of organic carbon and humus carbon. In the low-latitude area (21–25° N), HAC and FAC are mainly regulated by MAT and powder. The formation and transformation of SOC and HMC in high-latitude and high-altitude areas are primarily affected by the SMC and C/N. In general, the environment of high latitude and altitude is favorable for soil humus carbon storage in the surface layer (0–10 cm). As a consequence, in today’s response to global climate change, the high carbon sequestration capacity of high-latitude and high-altitude areas should be given attention and protection.

Supplementary Materials

The following supporting information can be downloaded at: https://www.mdpi.com/article/10.3390/f14020344/s1, Table S1: Environmental characteristics of sampling site.

Author Contributions

Conceptualization, Q.D.; Data curation, H.Z.; Investigation, Z.H.; Methodology, Y.Y.; Software, X.Y.; Writing—original draft, H.Z.; Writing—review and editing, Q.D. and Y.Y. All authors have read and agreed to the published version of the manuscript.

Funding

This research was supported by the Foundation of Postgraduate of Guizhou Province, Grant/Award Number: (YJSKYJJ [2021]047), General Project of Natural Science Foundation of Science and Technology Department of Yunnan Province (2006D0039M); The fourth forest resources planning and design survey in Yunnan Province forest soil professional survey (00000000038-407).

Data Availability Statement

The data presented in this study are available on request from the corresponding author.

Conflicts of Interest

All authors declared that they have no conflict of interest in this work. We declare that we do not have any commercial or associative interest that represents a conflict of interest in connection with the work submitted.

References

  1. Meinshausen, M.; Lewis, J.; McGlade, C.; Gütschow, J.; Nicholls, Z.; Burdon, R.; Cozzi, L.; Hackmann, B. Realization of Paris Agreement pledges may limit warming just below 2 °C. Nature 2022, 604, 304–309. [Google Scholar] [CrossRef]
  2. Zandalinas, S.I.; Fritschi, F.B.; Mittler, R. Global Warming, Climate Change, and Environmental Pollution: Recipe for a Multifactorial Stress Combination Disaster. Trends Plant Sci. 2021, 26, 588–599. [Google Scholar] [CrossRef] [PubMed]
  3. Babur, E.; Dindaroglu, T. Seasonal Changes of Soil Organic Carbon and Microbial Biomass Carbon in Different Forest Ecosystems. In Environmental Factors Affecting Human Health; Uher, I., Ed.; IntechOpen: London, UK, 2020; ISBN 978-1-78985-527-2. [Google Scholar]
  4. Funghi, C.; Trigo, S.; Gomes, A.C.R.; Soares, M.C.; Cardoso, G.C. Release from ecological constraint erases sex difference in social ornamentation. Behav. Ecol. Sociobiol. 2018, 72, 67. [Google Scholar] [CrossRef]
  5. Cicuzza, D.; de Nicola, C.; Testi, A.; Pignatti, S.; Zanella, A. Which is the contribution to the carbon sequestration of the forest ecosystems in the Castelporziano Reserve? Evidences from an integrated study on humus and vegetation. Rend. Fis. Acc. Lincei 2015, 26, 403–411. [Google Scholar] [CrossRef]
  6. Cheng, M.; Xue, Z.; Xiang, Y.; Darboux, F.; An, S. Soil organic carbon sequestration in relation to revegetation on the Loess Plateau, China. Plant Soil 2015, 397, 31–42. [Google Scholar] [CrossRef]
  7. Andreetta, A.; Ciampalini, R.; Moretti, P.; Vingiani, S.; Poggio, G.; Matteucci, G.; Tescari, F.; Carnicelli, S. Forest humus forms as potential indicators of soil carbon storage in Mediterranean environments. Biol Fertil Soils 2011, 47, 31–40. [Google Scholar] [CrossRef]
  8. Faggian, V.; Bini, C.; Zilioli, D.M. Carbon stock evaluation from topsoil of forest stands in NE Italy. Int. J. Phytoremediat. 2012, 14, 415–428. [Google Scholar] [CrossRef]
  9. Olaya-Abril, A.; Parras-Alcántara, L.; Lozano-García, B.; Obregón-Romero, R. Soil organic carbon distribution in Mediterranean areas under a climate change scenario via multiple linear regression analysis. Sci. Total Environ. 2017, 592, 134–143. [Google Scholar] [CrossRef]
  10. Han, B.; Kitamura, K.; Hirota, M.; Shen, H.; Tang, Y.; Suzuki, T.; Fujitake, N. Humus composition and humification degree of humic acids of alpine meadow soils in the northeastern part of the Qinghai–Tibet Plateau. Soil Sci. Plant Nutr. 2019, 65, 11–19. [Google Scholar] [CrossRef]
  11. Singh, R.P.; Manchanda, G.; Bhattacharjee, K.; Panosyan, H. Microbial Syntrophy-Mediated Eco-Enterprising; Academic Press: Amsterdam, The Netherlands, 2022; ISBN 978-0-323-99900-7. [Google Scholar]
  12. Cotrufo, M.F.; Soong, J.L.; Horton, A.J.; Campbell, E.E.; Haddix, M.L.; Wall, D.H.; Parton, W.J. Formation of soil organic matter via biochemical and physical pathways of litter mass loss. Nat. Geosci. 2015, 8, 776–779. [Google Scholar] [CrossRef]
  13. Jones, D.L.; Nguyen, C.; Finlay, R.D. Carbon flow in the rhizosphere: Carbon trading at the soil–root interface. Plant Soil 2009, 321, 5–33. [Google Scholar] [CrossRef]
  14. Sokol, N.W.; Kuebbing, S.E.; Karlsen-Ayala, E.; Bradford, M.A. Evidence for the primacy of living root inputs, not root or shoot litter, in forming soil organic carbon. New Phytol. 2019, 221, 233–246. [Google Scholar] [CrossRef]
  15. Cotrufo, M.F.; Wallenstein, M.D.; Boot, C.M.; Denef, K.; Paul, E. The Microbial Efficiency-Matrix Stabilization (MEMS) framework integrates plant litter decomposition with soil organic matter stabilization: Do labile plant inputs form stable soil organic matter? Glob. Chang. Biol. 2013, 19, 988–995. [Google Scholar] [CrossRef]
  16. Pausch, J.; Kuzyakov, Y. Carbon input by roots into the soil: Quantification of rhizodeposition from root to ecosystem scale. Glob. Chang. Biol. 2018, 24, 1–12. [Google Scholar] [CrossRef]
  17. Labaz, B.; Galka, B.; Bogacz, A.; Waroszewski, J.; Kabala, C. Factors influencing humus forms and forest litter properties in the mid-mountains under temperate climate of southwestern Poland. Geoderma 2014, 230–231, 265–273. [Google Scholar] [CrossRef]
  18. Prescott, C.E. Litter decomposition: What controls it and how can we alter it to sequester more carbon in forest soils? Biogeochemistry 2010, 101, 133–149. [Google Scholar] [CrossRef]
  19. Buresova, A.; Tejnecky, V.; Kopecky, J.; Drabek, O.; Madrova, P.; Rerichova, N.; Omelka, M.; Krizova, P.; Nemecek, K.; Parr, T.B.; et al. Litter chemical quality and bacterial community structure influenced decomposition in acidic forest soil. Eur. J. Soil Biol. 2021, 103, 103271. [Google Scholar] [CrossRef]
  20. Ahirwal, J.; Nath, A.; Brahma, B.; Deb, S.; Sahoo, U.K.; Nath, A.J. Patterns and driving factors of biomass carbon and soil organic carbon stock in the Indian Himalayan region. Sci. Total Environ. 2021, 770, 145292. [Google Scholar] [CrossRef]
  21. Tan, W.; Xi, B.; Wang, G.; Jiang, J.; He, X.; Mao, X.; Gao, R.; Huang, C.; Zhang, H.; Li, D.; et al. Increased Electron-Accepting and Decreased Electron-Donating Capacities of Soil Humic Substances in Response to Increasing Temperature. Environ. Sci. Technol. 2017, 51, 3176–3186. [Google Scholar] [CrossRef]
  22. Cardelli, V.; de Feudis, M.; Fornasier, F.; Massaccesi, L.; Cocco, S.; Agnelli, A.; Weindorf, D.C.; Corti, G. Changes of topsoil under Fagus sylvatica along a small latitudinal-altitudinal gradient. Geoderma 2019, 344, 164–178. [Google Scholar] [CrossRef]
  23. Babur, E.; Dindaroğlu, T.; Solaiman, Z.M.; Battaglia, M.L. Microbial respiration, microbial biomass and activity are highly sensitive to forest tree species and seasonal patterns in the Eastern Mediterranean Karst Ecosystems. Sci. Total Environ. 2021, 775, 145868. [Google Scholar] [CrossRef]
  24. Zhou, Y.; Chen, S.; Zhu, A.-X.; Hu, B.; Shi, Z.; Li, Y. Revealing the scale- and location-specific controlling factors of soil organic carbon in Tibet. Geoderma 2021, 382, 114713. [Google Scholar] [CrossRef]
  25. Alvarez, R.; Lavado, R. Climate, organic matter and clay content relationships in the Pampa and Chaco soils, Argentina. Geoderma 1998, 83, 127–141. [Google Scholar] [CrossRef]
  26. Ponge, J.-F.; Jabiol, B.; Gégout, J.-C. Geology and climate conditions affect more humus forms than forest canopies at large scale in temperate forests. Geoderma 2011, 162, 187–195. [Google Scholar] [CrossRef]
  27. Shedayi, A.A.; Xu, M.; Naseer, I.; Khan, B. Altitudinal gradients of soil and vegetation carbon and nitrogen in a high altitude nature reserve of Karakoram ranges. Springerplus 2016, 5, 320. [Google Scholar] [CrossRef]
  28. Zhang, Y.; Ai, J.; Sun, Q.; Li, Z.; Hou, L.; Song, L.; Tang, G.; Li, L.; Shao, G. Soil organic carbon and total nitrogen stocks as affected by vegetation types and altitude across the mountainous regions in the Yunnan Province, south-western China. CATENA 2021, 196, 104872. [Google Scholar] [CrossRef]
  29. Startsev, V.V.; Mazur, A.S.; Dymov, A.A. The Content and Composition of Organic Matter in Soils of the Subpolar Urals. Eurasian Soil Sc. 2020, 53, 1726–1734. [Google Scholar] [CrossRef]
  30. Badía-Villas, D.; Girona-García, A. Soil humus changes with elevation in Scots pine stands of the Moncayo Massif (NE Spain). Appl. Soil Ecol. 2018, 123, 617–621. [Google Scholar] [CrossRef]
  31. Bojko, O.; Kabala, C.; Mendyk, Ł.; Markiewicz, M.; Pagacz-Kostrzewa, M.; Glina, B. Labile and stabile soil organic carbon fractions in surface horizons of mountain soils—Relationships with vegetation and altitude. J. Mt. Sci. 2017, 14, 2391–2405. [Google Scholar] [CrossRef]
  32. Wu, J.; Zhang, P.; Zha, J.; Zhao, D.; Lu, W. Evaluating the long-term changes in temperature over the low-latitude plateau in China using a statistical downscaling method. Clim. Dyn. 2019, 52, 4269–4292. [Google Scholar] [CrossRef]
  33. Duan, X.; Rong, L.; Hu, J.; Zhang, G. Soil organic carbon stocks in the Yunnan Plateau, southwest China: Spatial variations and environmental controls. J. Soils Sediments 2014, 14, 1643–1658. [Google Scholar] [CrossRef]
  34. Chen, D.; Xue, M.; Duan, X.; Feng, D.; Huang, Y.; Rong, L. Changes in topsoil organic carbon from 1986 to 2010 in a mountainous plateau region in Southwest China. Land Degrad. Dev. 2020, 31, 734–747. [Google Scholar] [CrossRef]
  35. Walkley, A.J.; Black, I.A. An Examination of the Degtjareff Method for Determining Soil Organic Matter, and A Proposed Modification of the Chromic Acid Titration Method. Soil Sci. 1934, 37, 29–38. [Google Scholar] [CrossRef]
  36. Zhu, T.; Zhang, J.; Meng, T.; Zhang, Y.; Yang, J.; Müller, C.; Cai, Z. Tea plantation destroys soil retention of NO3− and increases N2O emissions in subtropical China. Soil Biol. Biochem. 2014, 73, 106–114. [Google Scholar] [CrossRef]
  37. Bouyoucos, G.J. Hydrometer Method Improved for Making Particle Size Analyses of Soils1. Agron. J. 1962, 54, 464–465. [Google Scholar] [CrossRef]
  38. Yuan, J.; Zhang, Y.; You, C.; Cao, R.; Tan, B.; Li, H.; Jiang, Y.; Yang, W. The three-dimension zonal pattern of soil organic carbon density in China’s forests. CATENA 2021, 196, 104950. [Google Scholar] [CrossRef]
  39. Aerts, R.; van Bodegom, P.M.; Cornelissen, J.H.C. Litter stoichiometric traits of plant species of high-latitude ecosystems show high responsiveness to global change without causing strong variation in litter decomposition. New Phytol. 2012, 196, 181–188. [Google Scholar] [CrossRef]
  40. Xu, L.; Wang, C.; Zhu, J.; Gao, Y.; Li, M.; Lv, Y.; Yu, G.; He, N. Latitudinal patterns and influencing factors of soil humic carbon fractions from tropical to temperate forests. J. Geogr. Sci. 2018, 28, 15–30. [Google Scholar] [CrossRef]
  41. Manlay, R.J.; Feller, C.; Swift, M.J. Historical evolution of soil organic matter concepts and their relationships with the fertility and sustainability of cropping systems. Agric. Ecosyst. Environ. 2007, 119, 217–233. [Google Scholar] [CrossRef]
  42. Wang, Z.; Huang, L.; Shao, M. Spatial variations and influencing factors of soil organic carbon under different land use types in the alpine region of Qinghai-Tibet Plateau. CATENA 2023, 220, 106706. [Google Scholar] [CrossRef]
  43. Zhang, X.; Li, X.; Ji, X.; Zhang, Z.; Zhang, H.; Zha, T.; Jiang, L. Elevation and total nitrogen are the critical factors that control the spatial distribution of soil organic carbon content in the shrubland on the Bashang Plateau, China. CATENA 2021, 204, 105415. [Google Scholar] [CrossRef]
  44. Berg, B. Litter decomposition and organic matter turnover in northern forest soils. For. Ecol. Manag. 2000, 133, 13–22. [Google Scholar] [CrossRef]
  45. Fang, H.; Ji, B.; Deng, X.; Ying, J.; Zhou, G.; Shi, Y.; Xu, L.; Tao, J.; Zhou, Y.; Li, C.; et al. Effects of topographic factors and aboveground vegetation carbon stocks on soil organic carbon in Moso bamboo forests. Plant Soil 2018, 433, 363–376. [Google Scholar] [CrossRef]
  46. Bayranvand, M.; Akbarinia, M.; Salehi Jouzani, G.; Gharechahi, J.; Alberti, G. Dynamics of humus forms and soil characteristics along a forest altitudinal gradient in Hyrcanian forest. iForest 2021, 14, 26–33. [Google Scholar] [CrossRef]
  47. Kuznetsova, A.I.; Lukina, N.V.; Gornov, A.V.; Gornova, M.V.; Tikhonova, E.V.; Smirnov, V.E.; Danilova, M.A.; Tebenkova, D.N.; Braslavskaya, T.Y.; Kuznetsov, V.A.; et al. Carbon Stock in Sandy Soils of Pine Forests in the West of Russia. Eurasian Soil Sc. 2020, 53, 1056–1065. [Google Scholar] [CrossRef]
  48. Andreetta, A.; Cecchini, G.; Bonifacio, E.; Comolli, R.; Vingiani, S.; Carnicelli, S. Tree or soil? Factors influencing humus form differentiation in Italian forests. Geoderma 2016, 264, 195–204. [Google Scholar] [CrossRef]
  49. Poeplau, C.; Don, A. Sensitivity of soil organic carbon stocks and fractions to different land-use changes across Europe. Geoderma 2013, 192, 189–201. [Google Scholar] [CrossRef]
  50. Chertov, O.G.; Nadporozhskaya, M.A. Humus Forms in Forest Soils: Concepts and Classifications. Eurasian Soil Sc. 2018, 51, 1142–1153. [Google Scholar] [CrossRef]
  51. Guimarães, D.V.; Gonzaga, M.I.S.; Da Silva, T.O.; Da Silva, T.L.; Da Silva Dias, N.; Matias, M.I.S. Soil organic matter pools and carbon fractions in soil under different land uses. Soil Tillage Res. 2013, 126, 177–182. [Google Scholar] [CrossRef]
  52. Ding, X.; Liu, G.; Fu, S.; Chen, H.Y. Tree species composition and nutrient availability affect soil microbial diversity and composition across forest types in subtropical China. CATENA 2021, 201, 105224. [Google Scholar] [CrossRef]
  53. Yang, C.; Ni, H.; Zhong, Z.; Zhang, X.; Bian, F. Changes in soil carbon pools and components induced by replacing secondary evergreen broadleaf forest with Moso bamboo plantations in subtropical China. CATENA 2019, 180, 309–319. [Google Scholar] [CrossRef]
  54. Montti, L.; Campanello, P.I.; Gatti, M.G.; Blundo, C.; Austin, A.T.; Sala, O.E.; Goldstein, G. Understory bamboo flowering provides a very narrow light window of opportunity for canopy-tree recruitment in a neotropical forest of Misiones, Argentina. For. Ecol. Manag. 2011, 262, 1360–1369. [Google Scholar] [CrossRef]
  55. Kõlli, R.; Köster, T. Interrelationships of humus cover (pro humus form) with soil cover and plant cover: Humus form as transitional space between soil and plant. Appl. Soil Ecol. 2018, 123, 451–454. [Google Scholar] [CrossRef]
  56. Huang, Y.-H.; Li, Y.-L.; Xiao, Y.; Wenigmann, K.O.; Zhou, G.-Y.; Zhang, D.-Q.; Wenigmann, M.; Tang, X.-L.; Liu, J.-X. Controls of litter quality on the carbon sink in soils through partitioning the products of decomposing litter in a forest succession series in South China. For. Ecol. Manag. 2011, 261, 1170–1177. [Google Scholar] [CrossRef]
  57. Wang, B.; Wei, W.J.; Liu, C.J.; You, W.Z.; Niu, X.; Man, R.Z. Biomass and Carbon Stock in Moso Bamboo Forests in Subtropical China: Characteristics and Implications. J. Trop. For. Sci. 2013, 25, 137–148. [Google Scholar]
  58. Wang, H.; Jin, J.; Yu, P.; Fu, W.; Morrison, L.; Lin, H.; Meng, M.; Zhou, X.; Lv, Y.; Wu, J. Converting evergreen broad-leaved forests into tea and Moso bamboo plantations affects labile carbon pools and the chemical composition of soil organic carbon. Sci. Total Environ. 2020, 711, 135225. [Google Scholar] [CrossRef]
  59. Hansen, R.A. Effects of habitat complexity and composition on a diverse litter microarthropod assemblage. Ecology 2000, 81, 1120–1132. [Google Scholar] [CrossRef]
  60. Zaninovich, S.C.; Montti, L.F.; Alvarez, M.F.; Gatti, M.G. Replacing trees by bamboos: Changes from canopy to soil organic carbon storage. For. Ecol. Manag. 2017, 400, 208–217. [Google Scholar] [CrossRef]
  61. Salmon, S. Changes in humus forms, soil invertebrate communities and soil functioning with forest dynamics. Appl. Soil Ecol. 2018, 123, 345–354. [Google Scholar] [CrossRef]
  62. Wei, Y.; Wu, X.; Zeng, R.; Cai, C.; Guo, Z. Spatial variations of aggregate-associated humic substance in heavy-textured soils along a climatic gradient. Soil Tillage Res. 2020, 197, 104497. [Google Scholar] [CrossRef]
  63. Pintaldi, E.; D’Amico, M.E.; Stanchi, S.; Catoni, M.; Freppaz, M.; Bonifacio, E. Humus forms affect soil susceptibility to water erosion in the Western Italian Alps. Appl. Soil Ecol. 2018, 123, 478–483. [Google Scholar] [CrossRef]
  64. Ponge, J.-F.; Sartori, G.; Garlato, A.; Ungaro, F.; Zanella, A.; Jabiol, B.; Obber, S. The impact of parent material, climate, soil type and vegetation on Venetian forest humus forms: A direct gradient approach. Geoderma 2014, 226–227, 290–299. [Google Scholar] [CrossRef]
  65. Zhang, J.; Hu, F.; Li, H.; Gao, Q.; Song, X.; Ke, X.; Wang, L. Effects of earthworm activity on humus composition and humic acid characteristics of soil in a maize residue amended rice–wheat rotation agroecosystem. Appl. Soil Ecol. 2011, 51, 1–8. [Google Scholar] [CrossRef]
  66. Ascher, J.; Sartori, G.; Graefe, U.; Thornton, B.; Ceccherini, M.T.; Pietramellara, G.; Egli, M. Are humus forms, mesofauna and microflora in subalpine forest soils sensitive to thermal conditions? Biol. Fertil. Soils 2012, 48, 709–725. [Google Scholar] [CrossRef]
  67. Zhou, G.; Xu, S.; Ciais, P.; Manzoni, S.; Fang, J.; Yu, G.; Tang, X.; Zhou, P.; Wang, W.; Yan, J.; et al. Climate and litter C/N ratio constrain soil organic carbon accumulation. Natl. Sci. Rev. 2019, 6, 746–757. [Google Scholar] [CrossRef]
  68. Angst, G.; Pokorný, J.; Mueller, C.W.; Prater, I.; Preusser, S.; Kandeler, E.; Meador, T.; Straková, P.; Hájek, T.; van Buiten, G.; et al. Soil texture affects the coupling of litter decomposition and soil organic matter formation. Soil Biol. Biochem. 2021, 159, 108302. [Google Scholar] [CrossRef]
  69. Hassink, J. The capacity of soils to preserve organic C and N by their association with clay and silt particles. Plant Soil 1997, 191, 77–87. [Google Scholar] [CrossRef]
  70. Yakushev, A.V.; Kuznetsova, I.N.; Blagodatskaya, E.V.; Blagodatsky, S.A. Temperature dependence of the activity of polyphenol peroxidases and polyphenol oxidases in modern and buried soils. Eurasian Soil Sc. 2014, 47, 459–465. [Google Scholar] [CrossRef]
  71. Cools, N.; Vesterdal, L.; de Vos, B.; Vanguelova, E.; Hansen, K. Tree species is the major factor explaining C:N ratios in European forest soils. For. Ecol. Manag. 2014, 311, 3–16. [Google Scholar] [CrossRef]
  72. Descheemaeker, K.; Muys, B.; Nyssen, J.; Sauwens, W.; Haile, M.; Poesen, J.; Raes, D.; Deckers, J. Humus Form Development during Forest Restoration in Exclosures of the Tigray Highlands, Northern Ethiopia. Restor. Ecol. 2009, 17, 280–289. [Google Scholar] [CrossRef]
Disclaimer/Publisher’s Note: The statements, opinions and data contained in all publications are solely those of the individual author(s) and contributor(s) and not of MDPI and/or the editor(s). MDPI and/or the editor(s) disclaim responsibility for any injury to people or property resulting from any ideas, methods, instructions or products referred to in the content.

Article Metrics

Citations

Article Access Statistics

Multiple requests from the same IP address are counted as one view.