Experimental Analysis on the Behaviors of a Laboratory Surface Fire Spreading across a Firebreak with Different Winds
Abstract
:1. Introduction
2. Experimental Setup
3. Results and Discussions
3.1. Experimental Behavior of Surface Fire Spread
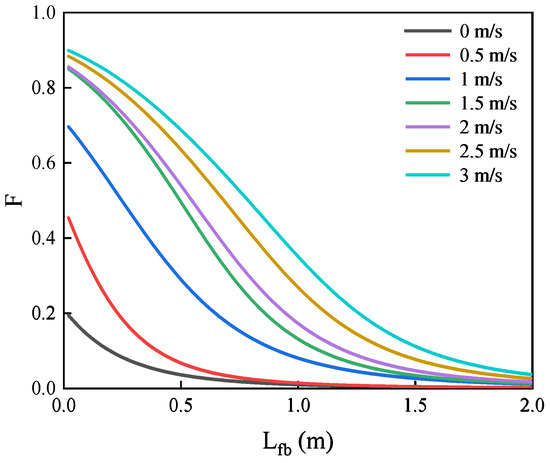
3.2. Effectiveness of Firebreak
3.3. Temperature of the Fuel
3.4. Heat Flux
4. Conclusions
Author Contributions
Funding
Data Availability Statement
Acknowledgments
Conflicts of Interest
References
- Thomas, G.; Rosalie, V.; Olivier, C.; Antonio, L.P. Modelling forest fire and firebreak scenarios in a mediterranean mountainous catchment: Impacts on sediment loads. J. Environ. Manag. 2021, 289, 112497. [Google Scholar] [CrossRef]
- Viegas, D.X.; Simeoni, A.; Xanthopoulos, G.; Rossa, C.; Ribeiro, L.M.; Pita, L.P.; Stipanicev, D.; Zinoviev, A.; Weber, R.; Dold, J.; et al. Recent Forest Fire Related Accidents in Europe; Office for Official Publications of the European Communities: Luxembourg, 2009. [Google Scholar]
- Molina-Terrén, D.M.; Xanthopoulos, G.; Diakakis, M.; Ribeiro, L.; Caballero, D.; Delogu, G.M.; Viegas, D.X.; Silva, C.A.; Cardil, A. Analysis of forest fire fatalities in southern Europe: Spain, Portugal, Greece and Sardinia (Italy). Int. J. Wildland Fire 2019, 28, 85–98. [Google Scholar] [CrossRef]
- Lin, S.; Liu, Y.; Huang, X. How to build a firebreak to stop smouldering peat fire: Insights from a laboratory-scale study. Int. J. Wildland Fire 2021, 30, 454–461. [Google Scholar] [CrossRef]
- Rothermel, R.C. A Mathematical Model for Predicting Fire Spread in Wild Land Fuels; Intermountain Forest & Range Experiment Station, Forest Service, US Department of Agriculture: Ogden, UT, USA, 1972.
- Viegas, D.X. Slope and wind effects on fire propagation. Int. J. Wildland Fire 2004, 13, 143–156. [Google Scholar] [CrossRef]
- Morandini, F.; Santoni, P.A.; Balbi, J.H. The contribution of radiant heat transfer to laboratory-scale fire spread under the influences of wind and slope. Fire Saf. J. 2001, 36, 519–543. [Google Scholar] [CrossRef]
- Morandini, F.; Simeoni, A.; Santoni, P.A.; Balbi, J.H. A Model for the Spread of Fire across a Fuel Bed Incorporating the Effects of Wind and Slope. Combust. Sci. Technol. 2005, 177, 1381–1418. [Google Scholar] [CrossRef]
- Tachajapong, W.; Lozano, J.; Mahalingam, S.; Weise, D.R. Experimental modelling of crown fire initiation in open and closed shrubland systems. Int. J. Wildland Fire 2014, 23, 451. [Google Scholar] [CrossRef]
- Li, J.; Mahalingam, S.; Weise, D.R. Experimental investigation of fire propagation in single live shrubs. Int. J. Wildland Fire 2017, 26, 58. [Google Scholar] [CrossRef]
- Tachajapong, W.; Lozano, J.; Mahalingam, S.; Zhou, X.; Weise, D.R. Experimental and Numerical Modeling of Shrub Crown Fire Initiation. Combust. Sci. Technol. 2009, 181, 618–640. [Google Scholar] [CrossRef]
- Morandini, F.; Silvani, X. Experimental investigation of the physical mechanisms governing the spread of wildfires. Int. J. Wildland Fire 2010, 19, 570–582. [Google Scholar] [CrossRef]
- Dupuy, J.-L.; Maréchal, A.J. Slope effect on laboratory fire spread Contribution of radiation and convection to fuel bed preheating. Int. J. Wildland Fire 2011, 20, 289–307. [Google Scholar] [CrossRef]
- Silvani, X.; Morandini, F.; Dupuy, J.-L. Effects of slope on fire spread observed through video images and multiple-point thermal measurements. Exp. Therm. Fluid Sci. 2012, 41, 99–111. [Google Scholar] [CrossRef]
- Liu, N.; Chen, H.; Xie, X.; Zhang, L.; Yao, B.; Zhu, J.; Shan, Y. Effect of slope on spread of a linear flame front over a pine needle fuel bed: Experiments and modelling. Int. J. Wildland Fire 2014, 23, 1087–1096. [Google Scholar] [CrossRef]
- Morandini, F.; Silvani, X.; Honoré, D.; Boutin, G.; Susset, A.; Vernet, R. Slope effects on the fluid dynamics of a fire spreading across a fuel bed: PIV measurements and OH* chemiluminescence imaging. Exp. Fluids 2014, 55, 1–12. [Google Scholar] [CrossRef]
- Liu, N.; Wu, J.; Chen, H.; Zhang, L.; Deng, Z.; Satoh, K.; Viegas, D.X.; Raposo, J.R. Upslope spread of a linear flame front over a pine needle fuel bed: The role of convection cooling. Proc. Combust. Inst. 2015, 35, 2691–2698. [Google Scholar] [CrossRef]
- Xie, X.; Liu, N.; Lei, J.; Shan, Y.; Zhang, L.; Chen, H.; Yuan, X.; Li, H. Upslope fire spread over a pine needle fuel bed in a trench associated with eruptive fire. Proc. Combust. Inst. 2017, 36, 3037–3044. [Google Scholar] [CrossRef]
- Morandini, F.; Silvani, X.; Dupuy, J.L.; Susset, A. Fire spread across a sloping fuel bed: Flame dynamics and heat transfers. Combust. Flame 2018, 190, 158–170. [Google Scholar] [CrossRef]
- Silvani, X.; Morandini, F.; Dupuy, J.L.; Susset, A.; Vernet, R.; Lambert, O. Measuring velocity field and heat transfer during natural fire spread over large inclinable bench. Exp. Therm. Fluid Sci. 2018, 92, 184–201. [Google Scholar] [CrossRef]
- Xie, X.; Liu, N.; Raposo, J.R.; Viegas, D.X.; Yuan, X.; Tu, R. An experimental and analytical investigation of canyon fire spread. Combust. Flame 2020, 212, 367–376. [Google Scholar] [CrossRef]
- Frangieh, N.; Accary, G.; Rossi, J.L.; Morvan, D.; Meradji, S.; Marcelli, T.; Chatelon, F.J. Fuelbreak effectiveness against wind-driven and plume-dominated fires: A 3D numerical study. Fire Saf. J. 2021, 124, 103383. [Google Scholar] [CrossRef]
- Zong, X.; Tian, X.; Wang, X. An optimal firebreak design for the boreal forest of China. Sci. Total Environ. 2021, 781, 146822. [Google Scholar] [CrossRef]
- Emmons, H.W. Fire in the forest. In Fire Research Abstracts and Reviews; Committee on Fire Research of the Division of Engineering, National Research Council: Washington, DC, USA, 1964. [Google Scholar]
- Wilson, A.A. Width of firebreak that is necessary to stop grass fires: Some field experiments. Can. J. For. Res. 1988, 18, 682–687. [Google Scholar] [CrossRef]
- Morvan, D. Numerical study of the behaviour of a surface fire propagating through a firebreak built in a Mediterranean shrub layer. Fire Saf. J. 2015, 71, 34–48. [Google Scholar] [CrossRef]
- Dupuy, J.L.; Morvan, D. Numerical study of a crown fire spreading toward a fuel break using a multiphase physical model. Int. J. Wildland Fire 2005, 14, 141. [Google Scholar] [CrossRef]
- Tachajapong, W.; Lozano, J.; Mahalingam, S.; Zhou, X.; Weise, D.R. An Investigation of Crown Fuel Bulk Density Effects on the Dynamics of Crown Fire Initiation in Shrublands1. Combust. Sci. Technol. 2008, 180, 593–615. [Google Scholar] [CrossRef]
- Rossa, C.G.; Davim, D.A.; Viegas, D.X. Behaviour of slope and wind backing fires. Int. J. Wildland Fire 2015, 24, 1085–1097. [Google Scholar] [CrossRef]
- Guo, H.; Xiang, D.; Kong, L.; Gao, Y.; Zhang, Y. Upslope fire spread and heat transfer mechanism over a pine needle fuel bed with different slopes and winds. Appl. Therm. Eng. 2023, 229, 120605. [Google Scholar] [CrossRef]
- Dupuy, J.L.; Maréchal, J.; Portier, D.; Valette, J.C. The effects of slope and fuel bed width on laboratory fire behaviour. Int. J. Wildland Fire 2011, 20, 272–288. [Google Scholar] [CrossRef]
- Cohen, J.D. Relating flame radiation to home ignition using modeling and experimental crown fires. Can. J. For. Res. 2004, 34, 1616–1626. [Google Scholar] [CrossRef]
- Mell, W.; Simeoni, A.; Morvan, D.; Hiers, J.K.; Skowronski, N.; Hadden, R.M. Clarifying the meaning of mantras in wildland fire behaviour modelling: Reply to Cruz et al. (2017). Int. J. Wildland Fire 2018, 27, 770–775. [Google Scholar] [CrossRef]















Disclaimer/Publisher’s Note: The statements, opinions and data contained in all publications are solely those of the individual author(s) and contributor(s) and not of MDPI and/or the editor(s). MDPI and/or the editor(s) disclaim responsibility for any injury to people or property resulting from any ideas, methods, instructions or products referred to in the content. |
© 2023 by the authors. Licensee MDPI, Basel, Switzerland. This article is an open access article distributed under the terms and conditions of the Creative Commons Attribution (CC BY) license (https://creativecommons.org/licenses/by/4.0/).
Share and Cite
Guo, H.; Yang, Z.; Ye, Z.; Xiang, D.; Gao, Y.; Zhang, Y. Experimental Analysis on the Behaviors of a Laboratory Surface Fire Spreading across a Firebreak with Different Winds. Forests 2023, 14, 2455. https://doi.org/10.3390/f14122455
Guo H, Yang Z, Ye Z, Xiang D, Gao Y, Zhang Y. Experimental Analysis on the Behaviors of a Laboratory Surface Fire Spreading across a Firebreak with Different Winds. Forests. 2023; 14(12):2455. https://doi.org/10.3390/f14122455
Chicago/Turabian StyleGuo, Hanwen, Zhengyuan Yang, Ziqun Ye, Dong Xiang, Yunji Gao, and Yuchun Zhang. 2023. "Experimental Analysis on the Behaviors of a Laboratory Surface Fire Spreading across a Firebreak with Different Winds" Forests 14, no. 12: 2455. https://doi.org/10.3390/f14122455
APA StyleGuo, H., Yang, Z., Ye, Z., Xiang, D., Gao, Y., & Zhang, Y. (2023). Experimental Analysis on the Behaviors of a Laboratory Surface Fire Spreading across a Firebreak with Different Winds. Forests, 14(12), 2455. https://doi.org/10.3390/f14122455
