Adjunctive Therapeutic Effects of Forest Bathing Trips on Geriatric Hypertension: Results from an On-Site Experiment in the Cinnamomum camphora Forest Environment in Four Seasons
Abstract
1. Introduction
2. Materials and Methods
2.1. Study Sites
2.2. Participants
2.3. Procedure
2.4. Measurement
2.5. Air Quality Measurements
2.6. Data Analysis
3. Results
3.1. Baseline Characteristics of Participants
3.2. Effect of Forest Bathing on Blood Pressure and Heart Rate Variability in Different Seasons
3.3. Effect of Forest Bathing on Cardiovascular Disease-Related Pathological Factors in Different Seasons
3.4. Evaluation of Mood State Evaluation in Different Seasons
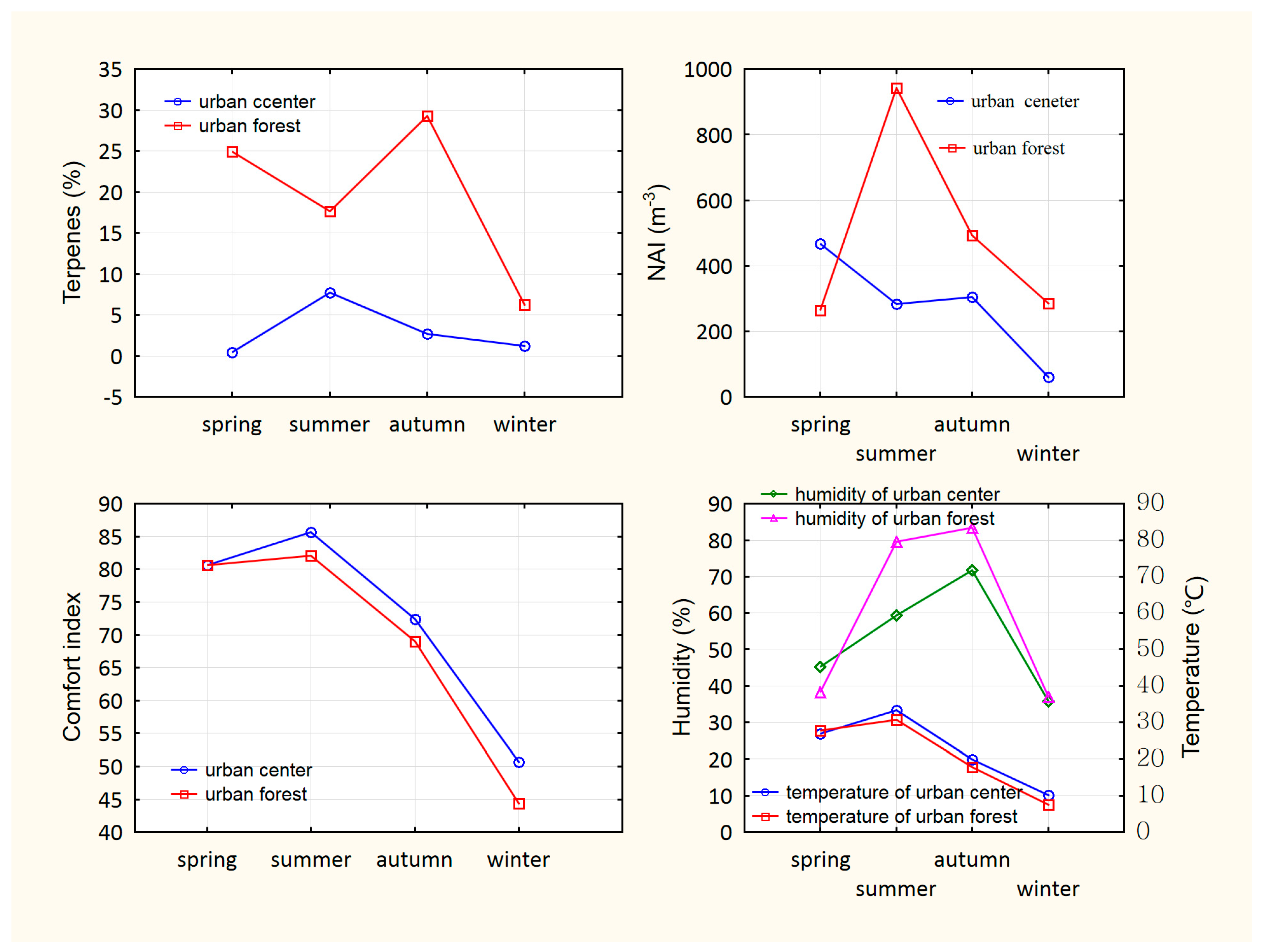
3.5. Relationship between Forest Environment and the Effect Value of Forest Bathing in Four Seasons
4. Discussion
4.1. Antihypertensive Effects of C. camphora Forest
4.2. Antihypertensive Effects of Forest Bathing across Different Seasons
5. Conclusions
Supplementary Materials
Author Contributions
Funding
Data Availability Statement
Acknowledgments
Conflicts of Interest
References
- Lederbogen, F.; Kirsch, P.; Haddad, L.; Streit, F.; Tost, H.; Schuch, P. City living and urban upbringing affect neural social stress processing in humans. Nature 2011, 474, 498–501. [Google Scholar] [CrossRef] [PubMed]
- Francis, J.; Wood, L.J.; Knuiman, M.; Giles-Corti, B. Quality or quantity? Exploring the relationship between public open space attributes and mental health in Perth, Western Australia. Soc. Sci. Med. 2012, 74, 1570–1577. [Google Scholar] [CrossRef] [PubMed]
- Ashworth. How Does Stress Affect Us? 2019. Available online: https://psychcentral.com/lib/how-does-stress-affect-us/ (accessed on 10 June 2019).
- Lafortezza, R.; Carrus, G.; Sanesi, G.; Davies, C. Benefits and well-being perceived by people visiting green spaces in periods of heat stress. Urban For. Urban Green. 2009, 8, 97–108. [Google Scholar] [CrossRef]
- Zhang, Z.; Lv, Y.; Pan, H. Cooling and humidifying effect of plant communities in subtropical urban parks. Urban For. Urban Green. 2013, 12, 323–329. [Google Scholar] [CrossRef]
- Mao, G.X.; Cao, Y.B.; Lan, X.G.; He, Z.H.; Chen, Z.M.; Wang, Y.Z.; Hu, X.L.; Lv, Y.D.; Wang, G.F.; Yan, J. Therapeutic effect of forest bathing on human hypertension in the elderly. J. Cardiol. 2012, 60, 495–502. [Google Scholar] [CrossRef]
- Zhou, Q.; Wang, J.F.; Wu, Q.; Chen, Z.M.; Wang, G.F. Seasonal dynamics of VOCs released from Cinnamomun camphora forests and the associated adjuvant therapy for geriatric hypertension. Ind. Crops Prod. 2021, 174, 114131. [Google Scholar] [CrossRef]
- Li, Q.; Morimoto, K.; Nakadai, A.; Inagaki, H.; Katsumata, M.; Shimizu, T.; Hirata, Y.; Hirata, K.; Suzuki, H.; Miyazaki, Y.; et al. Forest bathing enhances human natural killer activity and expression of anti-cancer proteins. Int. J. Immunopathol. Pharmacol. 2007, 20, 3–8. [Google Scholar] [CrossRef]
- Ochiai, H.; Ikei, H.; Song, C.; Kobayashi, M.; Takamatsu, A.; Miura, T.; Kagawa, T.; Li, Q.; Kumeda, S.; Imai, M.; et al. Physiological and psychological effects of forest therapy on middle-aged males with high-normal blood pressure. Int. J. Environ. Res. Public Health 2015, 12, 2532–2542. [Google Scholar] [CrossRef]
- Song, C.; Ikei, H.; Kobayashi, M.; Miura, T.; Taue, M.; Kagawa, T. Effect of forest walking on autonomic nervous system activity in middle-aged hypertensive individuals: A pilot study. Int. J. Environ. Res. Public Health 2015, 12, 2687–2699. [Google Scholar] [CrossRef]
- Li, Q.; Kobayashi, M.; Kumeda, S.; Ochiai, T.; Miura, T.; Kagawa, T.; Imai, M.; Wang, Z.Y.; Otsuka, T.; Kawada, T. Effects of forest bathing on cardiovascular and metabolic parameters in middle-aged males. Evid.-Based Complement Altern. Med. 2016, 2016, 2587381. [Google Scholar] [CrossRef]
- Li, Q.; Otsuka, T.; Kobayashi, M.; Wakayama, Y.; Inagaki, H.; Katsumata, M.; Hirata, Y.; Li, Y.J.; Hirata, K.; Shimizu, T.; et al. Acute effects of walking in forest environments on cardiovascular and metabolic parameters. Eur. J. Appl. Physiol. 2011, 111, 2845–2853. [Google Scholar] [CrossRef]
- Sung, J.; Woo, J.-M.; Kim, W.; Lim, S.-K.; Chung, E.-J. The effect of cognitive behavior therapy-based “forest therapy” program on blood pressure, Salivary Cortisol Level, and Quality of Life in Elderly Hypertensive Patients. Clin. Exp. Hypertens. 2012, 34, 1–7. [Google Scholar] [CrossRef]
- Li, Q.; Morimoto, K.; Kobayashi, M.; Inagaki, H.; Katsumata, M.; Hirata, Y.; Hirata, K.; Shimizu, T.; Li, Y.J.; Wakayama, Y.; et al. A forest bathing trip increases human natural killer activity and expression of anti-cancer proteins in female subjects. J. Biol. Regul. Homeost. Agents 2008, 22, 45–55. [Google Scholar]
- Tsunetsugu, Y.; Park, B.J.; Ishii, H.; Hirano, H.; Kagawa, T.; Miyazaki, Y. Physiological effects of Shinrin-yoku (taking in the atmosphere of the forest) in an old-growth broadleaf forest in Yamagata Prefecture, Japan. J. Physiol. Anthropol. 2007, 26, 135–142. [Google Scholar] [CrossRef]
- Park, B.J.; Tsunetsugu, Y.; Ishii, H.; Furuhashi, S.; Hirano, H.; Kagawa, T.; Miyazaki, Y. Physiological effects of Shinrin-yoku (taking in the atmosphere of the forest) in a mixed forest in Shinano Town, Japan. Scand. J. For. Res. 2008, 23, 278–283. [Google Scholar] [CrossRef]
- Park, B.J.; Tsunetsugu, Y.; Kasetani, T.; Morikawa, T.; Kagawa, T.; Miyazaki, Y. Physiological effects of forest recreation in a young conifer forest in Hinokage Town, Japan. Silva Fenn 2009, 43, 291–301. [Google Scholar] [CrossRef]
- Ochiai, H.; Ikei, H.; Song, C.; Kobayashi, M.; Miura, T.; Kagawa, T.; Li, Q.; Kumeda, S.; Imai, M.; Miyazaki, Y. Physiological and psychological effects of a forest therapy program on middle-aged females. Int. J. Environ. Res. Public Health 2015, 12, 15222–15232. [Google Scholar] [CrossRef]
- Song, C.; Ikei, H.; Kagawa, T.; Miyazaki, Y. Effects of walking in a forest on young women. Int. J. Environ. Res. Public Health 2019, 16, 229. [Google Scholar] [CrossRef]
- Park, B.J.; Tsunetsugu, Y.; Kasetani, T.; Hirano, H.; Kagawa, T.; Sato, M.; Miyazaki, Y. Physiological effects of Shinrin-yoku (taking in the atmosphere of the forest)--using salivary cortisol and cerebral activity as indicators. J. Physiol. Anthropol. 2007, 26, 123–128. [Google Scholar] [CrossRef]
- Jia, B.B.; Yang, Z.X.; Mao, G.X.; Lyu, Y.D.; Wen, X.L.; Xu, W.H.; Lyu, X.L.; Cao, Y.B.; Wang, G.F. Health effect of forest bathing trip on elderly patients with chronic obstructive pulmonary disease. Biomed. Environ. Sci. 2016, 29, 212–218. [Google Scholar]
- Mao, G.X.; Cao, Y.B.; Wang, B.Z.; Wang, S.Y.; Chen, Z.M.; Wang, J.R.; Xing, W.M.; Ren, X.X.; Lv, X.X.; Dong, J.H.; et al. The salutary influence of forest bathing on elderly patients with chronic heart failure. Int. J. Environ. Res. Public Health 2017, 14, 368. [Google Scholar] [CrossRef] [PubMed]
- Song, C.; Harumi, I.; Miho, I.; Michiko, T.; Yoshifumi, M. Physiological and psychological effects of a walk in urban parks in fall. Int. J. Environ. Res. Public Health 2015, 12, 14216–14228. [Google Scholar] [CrossRef] [PubMed]
- Wu, Q.; Ye, B.; Lv, X.L.; Mao, G.X.; Wang, S.Y.; Chen, Z.M.; Wang, G.F. Adjunctive therapeutic effects of Cinnamomum camphora forest environment on elderly patients with hypertension. Int. J. Gerontol. 2020, 14, 327–331. [Google Scholar]
- Wu, Q.; Ye, B.; Chen, Z.M.; Lyu, X.L.; Ren, X.X.; Dong, J.H.; Wang, G.F. Medical assessment on forest therapy base in Zhejiang Province, China. Biomed. Environ. Sci. 2019, 32, 934–937. [Google Scholar]
- Kerstin, K.; Ahmed, A.K.; Jasmin, O.; Gert, R.; Hendrik, B. Iyengar yoga increases cardiac parasympathetic nervous modulation among healthy yoga practitioners. Evid.-Based Complement Altern. Med. 2007, 4, 511–517. [Google Scholar]
- Shapiro, D.; Cook, I.A.; Davydov, D.M.; Ottaviani, C.; Leuchter, A.F.; Abrams, M. Yoga as a complementary treatment of depression: Effects of traits and moods on treatment outcome. Evid.-Based Complement Alternat. Med. 2007, 4, 493–502. [Google Scholar] [CrossRef]
- Kirschbaum, C.; Hellhammer, D.H. Salivary cortisol in psychoneuroendocrine research: Recent developments and applications. Psychoneuroendocrinology 1994, 19, 313–333. [Google Scholar] [CrossRef]
- Mena-Martín, F.J.; Martín-Escudero, J.C.; Simal-Blanco, F.; Carretero-Ares, J.L.; Arzúa-Mouronte, D.; Sanz, J.J.C. Influence of sympathetic activity on blood pressure and vascular damage evaluated by means of urinary albumin excretion. J. Clin. Hypertens. 2006, 8, 619–624. [Google Scholar] [CrossRef]
- Ideno, Y.; Hayashi, K.; Abe, Y.; Ueda, K.; Iso, H.; Noda, M.; Lee, J.S.; Suzuki, S. Blood pressure-lowering effect of Shinrinyoku (Forest bathing): A systematic review and meta-analysis. BMC Complement. Altern. Med. 2017, 17, 409–421. [Google Scholar] [CrossRef]
- Yau, K.Y.; Loke, A.Y. Effects of forest bathing on prehypertensive and hypertensive adults: A review of the literature. Environ. Health Prev. 2020, 25, 23. [Google Scholar] [CrossRef]
- Lee, H.J.; Hyun, E.; Yoon, W.J.; Kim, B.H.; Man, H.R.; Kang, H.K.; Cho, J.Y.; Yoo, E.S. In vitro anti-inflammatory and anti-oxidative effects of Cinnamomum camphora extracts. J. Ethnopharmacol. 2006, 103, 208–216. [Google Scholar] [CrossRef]
- Park, B.J.; Furuya, K.; Kasetani, T.; Takayama, N.; Kagawa, T.; Miyazaki, Y. Relationship between psychological responses and physical environments in forest settings. Landsc. Urban Plan. 2011, 102, 24–32. [Google Scholar] [CrossRef]
- Ryushi, T.; Kita, I.; Sakurai, T.; Yasumatsu, M.; Isokawa, M.; Aihara, Y. The effect of exposure to negative air ions on the recovery of physiological responses after moderate endurance exercise. Int. J. Biometeorol. 1998, 41, 132–136. [Google Scholar] [CrossRef]
- Wu, C.; Lee, G.; Yang, S.; Yu, K.; Lou, C. Influence of air humidity and the distance from the source on negative air ion concentration in indoor air. Sci. Total Environ. 2006, 370, 245–253. [Google Scholar] [CrossRef]
- Wei, C.L.; Wang, J.T.; Jiang, Y.G.; Zhang, Q.G. Air negative charge ion concentration and its relationships with meteorological factors in different ecological functional zones of Hefei City. Chin. J. Appl. Ecol. 2006, 17, 2158–2162. [Google Scholar]
- Shao, H.R.; He, Q.T.; Yan, H.P.; Hou, Z.; Li, T. Spatio-temporal changes of negative air ion concentrations in Beijing. J. Beijing For. Univ. 2005, 27, 35–39. [Google Scholar]
- Shi, S.J.; Wu, Q.D.; Su, J.Y.; Li, C.W.; Zhao, X.N.; Xie, J.H.; Gui, S.H.; Su, Z.R.; Zeng, H.F. Composition analysis of volatile oils from flowers, leaves and branches of Cinnamomum camphora chvar. Borneol in China. J. Essent. Oil Res. 2013, 25, 395–401. [Google Scholar] [CrossRef]
- Porres-Martinez, M.; Gonzalez-Burgos, E.; Carretero, M.E.; Gomez-Serranillos, M.P. In vitro neuroprotective potential of the monoterpenes alpha-pinene and 1,8-cineole against H2O2-induced oxidative stress in PC12 cells. Z. Nat. C 2016, 71, 191–199. [Google Scholar]
- Kim, D.-S.; Lee, H.-J.; Jeon, Y.-D.; Han, Y.-H.; Kee, J.-Y.; Kim, H.-J. Alpha-Pinene exhibits anti-Inflammatory activity through the suppression of MAPKs and the NF-kappa B pathway in mouse peritoneal macrophages. Am. J. Chin. Med. 2015, 43, 731–742. [Google Scholar] [CrossRef]
- Pragadheesh, V.S.; Saroj, A.; Yadav, A.; Chanotiya, C.S.; Alam, M.; Samad, A. Chemical characterization and antifungal activity of Cinnamomum camphora essential oil. Ind. Crops Prod. 2013, 49, 628–633. [Google Scholar] [CrossRef]
- Hansen, J.S.; Norgaard, A.W.; Koponen, I.K.; Sorli, J.B.; Paidi, M.D.; Hansen, S.W. Limonene and its ozone-initiated reaction products attenuate allergic lung inflammation in mice. J. Immunotoxicol. 2016, 13, 793–803. [Google Scholar] [CrossRef] [PubMed]
- Shao, D.; Park, J.; Wort, S.J. The role of endothelin-1 in the pathogenesis of pulmonary arterial hypertension. Pharmacol. Res. 2011, 63, 504–511. [Google Scholar] [CrossRef] [PubMed]
- Saleh, M.A.; Pollock, D.M. Endothelin in renal inflammation and hypertension. Endothel. Ren. Physiol. Dis. 2011, 172, 160–170. [Google Scholar]
- Wei, H.; Ma, B.; Hauer, R.J.; Liu, C.; Chen, X.; He, X. Relationship between environmental factors and facial expressions of visitors during the urban forest experience. Urban For. Urban Green. 2020, 53, 126699. [Google Scholar] [CrossRef]
- Rosa, C.D.; Larson, L.R.; Collado, S.; Profice, C.C. Forest therapy can prevent and treat depression: Evidence from meta-analyses. Urban For. Urban Green. 2021, 57, 126943. [Google Scholar] [CrossRef]
- Bielinis, E.; Takayama, N.; Boiko, S.; Omelan, A.; Bielinis, L. The effect of winter forest bathing on psychological relaxation of young polish adults. Urban For. Urban Green. 2018, 29, 276–283. [Google Scholar] [CrossRef]
- Duan, W.J.; Wang, C.; Pei, N.C.; Zhang, C.; Gu, L.; Jiang, S.S.; Hao, Z.Z.; Xu, X.H. Urban forests increase spontaneous activity and improve emotional state of white mice. Urban For. Urban Green. 2019, 46, 126449. [Google Scholar] [CrossRef]
- Zhou, Q.; Wang, J.; Xu, Y.; Xia, S.; Shen, F.; Xu, L. Seasonal and diurnal change laws of volatile organic compounds from leaves of Cinnamomum camphora. Guihaia 2020, 40, 1021–1032. [Google Scholar]
- Zhang, Z.; Guo, S.; Liu, X.; Gao, X. Synergistic antitumor effect of alpha-pinene and beta-pinene with paclitaxel against non-small-cell lung carcinoma (NSCLC). Drug Res. 2015, 65, 214–218. [Google Scholar]
- Pawar, S.D.; Meena, G.S.; Jadhav, D.B. Diurnal and seasonal air ion variability at rural station ramanandnagar (17°2′ N, 74° E), India. Aerosol Air Qual. Res. 2010, 10, 154–166. [Google Scholar] [CrossRef]



| Time | Urban Forest Group | Urban Center Group |
|---|---|---|
| Day 1 | ||
| 6:30–7:30 | Drawing of blood samples drawn and blood pressure measurement | Drawing of blood samples drawn and blood pressure measurement |
| 7:30–8:30 | Breakfast | Breakfast |
| 9:00–11:30 | Trip to the urban forest | Trip to the urban center |
| 11:30–12:30 | Lunch at hotel | Lunch at hotel |
| 12:30–15:00 | Noon break or free activities | Noon break or free activities |
| 15:00–16:30 | Walking along a predetermined course | Walking along a predetermined course |
| 16:30–17:30 | Free time | Free time |
| 17:30–18:30 | Dinner at hotel | Dinner at hotel |
| 18:30–19:30 | Walking or free time at hotel | Walking or free time at hotel |
| 19:30–22:00 | Free time at hotel | Free time at hotel |
| 22:00 | Sleeping | Sleeping |
| Day 2 | ||
| 7:30–8:00 | Blood pressure measurement | Blood pressure measurement |
| 8:00–8:30 | Breakfast | Breakfast |
| 8:30–10:00 | Walking along a predetermined course | Walking along a predetermined course |
| 11:30–12:30 | Lunch at hotel | Lunch at hotel |
| 12:30–15:00 | Noon break or free activities | Noon break or free activities |
| 15:00–16:30 | Walking along a predetermined course | Walking along a predetermined course |
| 16:30–17:30 | Free time | Free time |
| 17:30–18:30 | Dinner at hotel | Dinner at hotel |
| 18:30–19:30 | Walking or free time at hotel | Walking or free time at hotel |
| 19:30–22:00 | Free time at hotel | Free time at hotel |
| 22:00 | Sleeping | Sleeping |
| Day 3 | ||
| 6:30–7:30 | Drawing of blood samples and blood pressure measurement | Drawing of blood samples and blood pressure measurement |
| 7:30–8:30 | Breakfast | Breakfast |
| 9:00–11:30 | Return to Zhejiang hospital | Return to Zhejiang hospital |
| Indicators | Time | Urban Forest | Urban Center | Significance of the Difference between Groups (p) |
|---|---|---|---|---|
| SBP | Spring | 133.15 ± 11.85 b | 131.3 ± 15.22 | 0.7167 |
| Summer | 137 ± 14.75 b | 135.7 ± 10.1 | 0.8045 | |
| Autumn | 135.45 ± 9.77 b | 144.18 ± 14.17 | 0.0519 | |
| Winter | 145.74 ± 13.47 a | 141 ± 13.77 | 0.396 | |
| Significance of the difference among different seasons (p) | 0.0307 | 0.1556 | ||
| DBP | Spring | 71.6 ± 5.14 b | 80.8 ± 14.66 | 0.0167 |
| Summer | 67.2 ± 5.85 b | 74.3 ± 10.4 | 0.0229 | |
| Autumn | 68.95 ± 7.64 b | 77 ± 11.14 | 0.0239 | |
| Winter | 89 ± 8.16 a | 79.78 ± 8.07 | 0.0095 | |
| Significance of the difference among different seasons (p) | 0.0000 | 0.5707 | ||
| HR | Spring | 69.9 ± 5.13 | 70.3 ± 6.7 | 0.8571 |
| Summer | 70.05 ± 8.92 | 70.7 ± 7.92 | 0.8469 | |
| Autumn | 68.7 ± 5.78 | 70.45 ± 7.16 | 0.4637 | |
| Winter | 70.11 ± 7.65 | 68.78 ± 11.83 | 0.7226 | |
| Significance of the difference among different seasons (p) | 0.7383 | 0.9994 | ||
| SpO2 | Spring | 98.45 ± 0.61 a | 98.4 ± 0.52 a | 0.8248 |
| Summer | 98.1 ± 0.91 a | 96.6 ± 1.35 b | 0.0012 | |
| Autumn | 98.1 ± 0.72 a | 98.18 ± 0.75 a | 0.7673 | |
| Winter | 96.63 ± 1.98 b | 98.44 ± 0.73 a | 0.0137 | |
| Significance of the difference among different seasons (p) | 0.0054 | 0.0087 |
| Indicators | Time | Urban Forest | Urban Center | Significance of the Difference between Groups (p) |
|---|---|---|---|---|
| ET-1 | Spring | 24.88 ± 22.03 a | 12.68 ± 12.99 | 0.1228 |
| Summer | 5.28 ± 4.84 b | 21.13 ± 32.29 | 0.0426 | |
| Autumn | 12.45 ± 11.28 b | 5.89 ± 7.91 | 0.1123 | |
| Winter | 12.89 ± 21.62 b | 14.99 ± 20.03 | 0.8071 | |
| Significance of the difference among different seasons (p) | 0.0029 | 0.1559 | ||
| Renin | Spring | 185.67 ± 167.72 b | 171.57 ± 108.38 b | 0.8134 |
| Summer | 153.39 ± 168.02 b | 58.89 ± 49.08 b | 0.0956 | |
| Autumn | 679.09 ± 275.92 a | 753.48 ± 413.01 a | 0.5608 | |
| Winter | 109.83 ± 155.68 b | 251.23 ± 248.48 b | 0.0761 | |
| Significance of the difference among different seasons (p) | 0.0000 | 0.0001 | ||
| AGT | Spring | 39.43 ± 34.88 b | 14.1 ± 16.72 b | 0.041 |
| Summer | 5.75 ± 5.25 c | 13.96 ± 19.44 b | 0.0916 | |
| Autumn | 106.81 ± 57.36 a | 144.65 ± 110.46 a | 0.2233 | |
| Winter | 20.14 ± 25.19 b c | 27.07 ± 38.13 b | 0.5698 | |
| Significance of the difference among different seasons (p) | 0.0000 | 0.0001 |
| Indicators | Time | Urban Forest | Urban Center | ||||
|---|---|---|---|---|---|---|---|
| ET-1 | Renin | AGT | ET-1 | Renin | AGT | ||
| SBP | Spring | 0.385 | 0.154 | 0.501 * | −0.159 | 0.470 | −0.165 |
| Summer | −0.040 | −0.003 | 0.521 * | 0.333 | 0.309 | 0.091 | |
| Autumn | −0.0053 | 0.162 | −0.023 | 0.357 | −0.345 | 0.564 | |
| Winter | −0.332 | −0.473 * | 0.299 | −0.092 | 0.326 | 0.184 | |
| DBP | Spring | 0.297 | −0.139 | 0.294 | 0.115 | 0.055 | −0.139 |
| Summer | −0.171 | 0.125 | 0.298 | −0.036 | −0.620 | 0.182 | |
| Autumn | −0.209 | −0.259 | 0.156 | −0.143 | 0.292 | −0.334 | |
| Winter | −0.494 * | −0.131 | 0.061 | 0.167 | 0.550 | −0.267 | |
| HR | Spring | 0.149 | −0.442 | −0.405 | 0.195 | −0.024 | −0.067 |
| Summer | −0.129 | 0.121 | −0.162 | 0.067 | 0.109 | −0.292 | |
| Autumn | −0.173 | 0.049 | −0.002 | −0.521 | 0.062 | −0.006 | |
| Winter | 0.137 | −0.021 | 0.292 | −0.268 | 0.477 | −0.636 | |
| SpO2 | Spring | 0.294 | 0.275 | 0.500 * | 0.520 | −0.260 | 0.260 |
| Summer | −0.167 | 0.194 | −0.235 | 0.764 * | −0.677 * | 0.056 | |
| Autumn | 0.248 | 0.047 | 0.136 | −0.179 | 0.110 | 0.617 | |
| Winter | 0.500 * | 0.367 | 0.299 | 0.043 | 0.165 | 0.381 | |
| Indicators | Time | Urban Forest | Urban Center | Significance of the Difference between Groups (p) |
|---|---|---|---|---|
| Tension/anxiety (T) | Spring | 16.3 ± 3.95 a | 17.3 ± 4.95 a | 0.5525 |
| Summer | 12.9 ± 3.88 b | 12.6 ± 2.55 b | 0.8268 | |
| Autumn | 10.3 ± 2.77 c | 11.09 ± 3.65 bc | 0.5024 | |
| Winter | 11.5 ± 3.87 bc | 8.44 ± 0.72 c | 0.028 | |
| Significance of the difference among different seasons (p) | 0.0000 | 0.0000 | ||
| Depression/dejection (D) | Spring | 39.4 ± 5.28 a | 38.6 ± 4.45 a | 0.6842 |
| Summer | 28.25 ± 5.64 b | 30 ± 6.38 b | 0.449 | |
| Autumn | 19.7 ± 5.08 c | 20.82 ± 8.23 c | 0.6423 | |
| Winter | 20.83 ± 7.19 c | 16.78 ± 2.05 c | 0.1129 | |
| Significance of the difference among different seasons (p) | 0.0000 | 0.0000 | ||
| Anger/hostility (A) | Spring | 29.35 ± 3.8 a | 29.6 ± 6.35 a | 0.8933 |
| Summer | 24.25 ± 4.76 b | 24 ± 4.89 b | 0.894 | |
| Autumn | 16.65 ± 3.67 c | 17.91 ± 6.56 c | 0.4964 | |
| Winter | 17.44 ± 5.54 c | 14.33 ± 2.45 c | 0.1232 | |
| Significance of the difference among different seasons (p) | 0.0000 | 0.0001 | ||
| Vigor/activity (V) | Spring | 16.35 ± 3.77 c | 18.3 ± 4.32 c | 0.2138 |
| Summer | 22.75 ± 2.67 b | 23.6 ± 3.37 ab | 0.458 | |
| Autumn | 27.95 ± 6.39 a | 20.82 ± 2.48 bc | 0.0014 | |
| Winter | 26.06 ± 4.71 a | 25.11 ± 5.64 a | 0.6494 | |
| Significance of the difference among different seasons (p) | 0.0000 | 0.0151 | ||
| Fatigue/inertia (F) | Spring | 14.4 ± 2.84 a | 13.8 ± 2.66 a | 0.5818 |
| Summer | 12.65 ± 3.19 a | 13.7 ± 3.34 a | 0.4104 | |
| Autumn | 9.85 ± 2.83 b | 10.18 ± 2.36 b | 0.7438 | |
| Winter | 10.27 ± 3.43 b | 10.67 ± 3.5 b | 0.7848 | |
| Significance of the difference among different seasons (p) | 0.0000 | 0.018 | ||
| Confusion/bewilderment © | Spring | 20.15 ± 2.48 a | 19.4 ± 1.58 a | 0.3921 |
| Summer | 15.55 ± 2.78 b | 15 ± 1.83 b | 0.5766 | |
| Autumn | 13.2 ± 2.42 c | 13.45 ± 3.5 b | 0.8129 | |
| Winter | 13.33 ± 2.43 c | 13.11 ± 2.89 b | 0.8378 | |
| Significance of the difference among different seasons (p) | 0.0000 | 0.0001 |
Disclaimer/Publisher’s Note: The statements, opinions and data contained in all publications are solely those of the individual author(s) and contributor(s) and not of MDPI and/or the editor(s). MDPI and/or the editor(s) disclaim responsibility for any injury to people or property resulting from any ideas, methods, instructions or products referred to in the content. |
© 2022 by the authors. Licensee MDPI, Basel, Switzerland. This article is an open access article distributed under the terms and conditions of the Creative Commons Attribution (CC BY) license (https://creativecommons.org/licenses/by/4.0/).
Share and Cite
Huang, R.; Li, A.; Li, Z.; Chen, Z.; Zhou, B.; Wang, G. Adjunctive Therapeutic Effects of Forest Bathing Trips on Geriatric Hypertension: Results from an On-Site Experiment in the Cinnamomum camphora Forest Environment in Four Seasons. Forests 2023, 14, 75. https://doi.org/10.3390/f14010075
Huang R, Li A, Li Z, Chen Z, Zhou B, Wang G. Adjunctive Therapeutic Effects of Forest Bathing Trips on Geriatric Hypertension: Results from an On-Site Experiment in the Cinnamomum camphora Forest Environment in Four Seasons. Forests. 2023; 14(1):75. https://doi.org/10.3390/f14010075
Chicago/Turabian StyleHuang, Runxia, Aibo Li, Zhengcai Li, Zhuomei Chen, Benzhi Zhou, and Guofu Wang. 2023. "Adjunctive Therapeutic Effects of Forest Bathing Trips on Geriatric Hypertension: Results from an On-Site Experiment in the Cinnamomum camphora Forest Environment in Four Seasons" Forests 14, no. 1: 75. https://doi.org/10.3390/f14010075
APA StyleHuang, R., Li, A., Li, Z., Chen, Z., Zhou, B., & Wang, G. (2023). Adjunctive Therapeutic Effects of Forest Bathing Trips on Geriatric Hypertension: Results from an On-Site Experiment in the Cinnamomum camphora Forest Environment in Four Seasons. Forests, 14(1), 75. https://doi.org/10.3390/f14010075
