Bamboo Scrimber’s Physical and Mechanical Properties in Comparison to Four Structural Timber Species
Abstract
1. Introduction
2. Materials and Methods
2.1. Materials
- Natural round bamboo was split into 3–8 parts and cut longitudinally into 2.5 m lengths.
- The outer skin and inner part were removed using an expanding machine, then crushed and flattened.
- The strands were carbonized for 2–3 h at 190 °C to remove extractive components in natural bamboo. After the carbonization process, the strands become less stiff and are easier to form the scrimber because their modulus decreases when more than 150 °C temperature is applied.
- The dry carbonized strands, having a moisture content of 0% (zero percent), were placed in the 65 °C temperature tunnel for 3.5 h until the moisture content increased and reached 0.5%.
- The adhesive used in this manufacturing process was phenol-formaldehyde (PF). The adhesion process was performed by dipping strands in PF adhesive solution (PF:water = 1:1) for 10 min, and then draining it.
- Strands coated with adhesive were dried at 70 °C for 2–4 h until they reached the target moisture content of 11%.
- After drying the resin-coated strands, the cold pressing process was carried out for 2 min with a compression load of 687 kN, equivalent to 2.625 MPa pressure.
- Next, blocks were formed in molds over 12 h using a hot curing machine with several temperatures in three parts of time, namely 110 °C for 3 h, 135 °C for 6 h, and 120 °C for 3 h. A 598–638 N load was applied to the beam during the molding process.
- Conditioning for three weeks, the last stage, releases the residual stress.
2.2. Methods
2.2.1. Physical Properties
2.2.2. Mechanical Properties
2.2.3. Ductility Ratio
- Commonwealth Scientific and Industrial Research Organization (CSIRO) [54]: In this case, the yield point in this method is viewed as the point on the load-deformation curve corresponding to 40% of the maximum capacity. The 40% of the maximum deformation is adjusted by a factor of 1.25. The point on the load-deformation curve formed by the intersection of the projection line and the new coefficient of displacement value is viewed as the yield point, and the yield load is determined (Figure 2b).
- European Committee for Standardization (CEN) [55]: This method uses the secant and tangent lines of the two parts of the load-deformation curve to determine the yield point. The first line indicates the initial stiffness, calculated from 10% to 40% of the maximum load. The angle between the secant line and displacement axis is α. The slope of the second line is equivalent to one-sixth (1/6) of the slope of the second of the load-displacement curve. The yield point is resolved as the intersection of the first and second lines (Figure 2c).
- Yasumura and Kawai (Y&K) [56]: The secant line between 10% and 40% of the maximum load indicates the initial stiffness. A line connecting the data point of 40% and 90% of the peak load, called a chord line, is drawn. Then a line parallel to the chord line and tangent to the load-deformation curve is created. The last line represents the post-elastic area before the maximum load. The intersection point between the initial stiffness and tangent line is projected horizontally onto the load-displacement curve to obtain the yield point displacement (Figure 2d).
- Equivalent Energy Elastic-Plastic (EEEP) [57]: In this method, a bilinear curve represents an assembly’s perfect elastic-plastic curve (Figure 2e). The area under the load-displacement curve (Wfailure) is assumed to be the same as the area beneath the bilinear curve. Initial stiffness in this method corresponds to the first straight line, which is defined as being between 0% and 40% of the peak load (K40). Deformation at failure (∆failure) is defined as deformation at 80% of maximum load. The following equation is used to calculate the yield load (Py) is Equation (3).
2.2.4. Analysis
3. Results and Discussion
3.1. General Description of Bamboo Scrimber
3.2. Physical Properties
3.3. Mechanical Properties
3.3.1. Tension Parallel-to-Fibers
3.3.2. Compression
3.3.3. Shear
3.3.4. Bending
3.4. Ductility Ratio
| Classification | Ductility Ratio [72] | Ductility Ratio [77] |
|---|---|---|
| Brittle | μ ≤ 2 | − |
| Low ductility | 2 < μ ≤ 4 | μ ≤ 4 |
| Moderate ductility | 4 < μ ≤ 6 | 4 < μ ≤ 6 |
| High ductility | μ > 6 | μ > 6 |
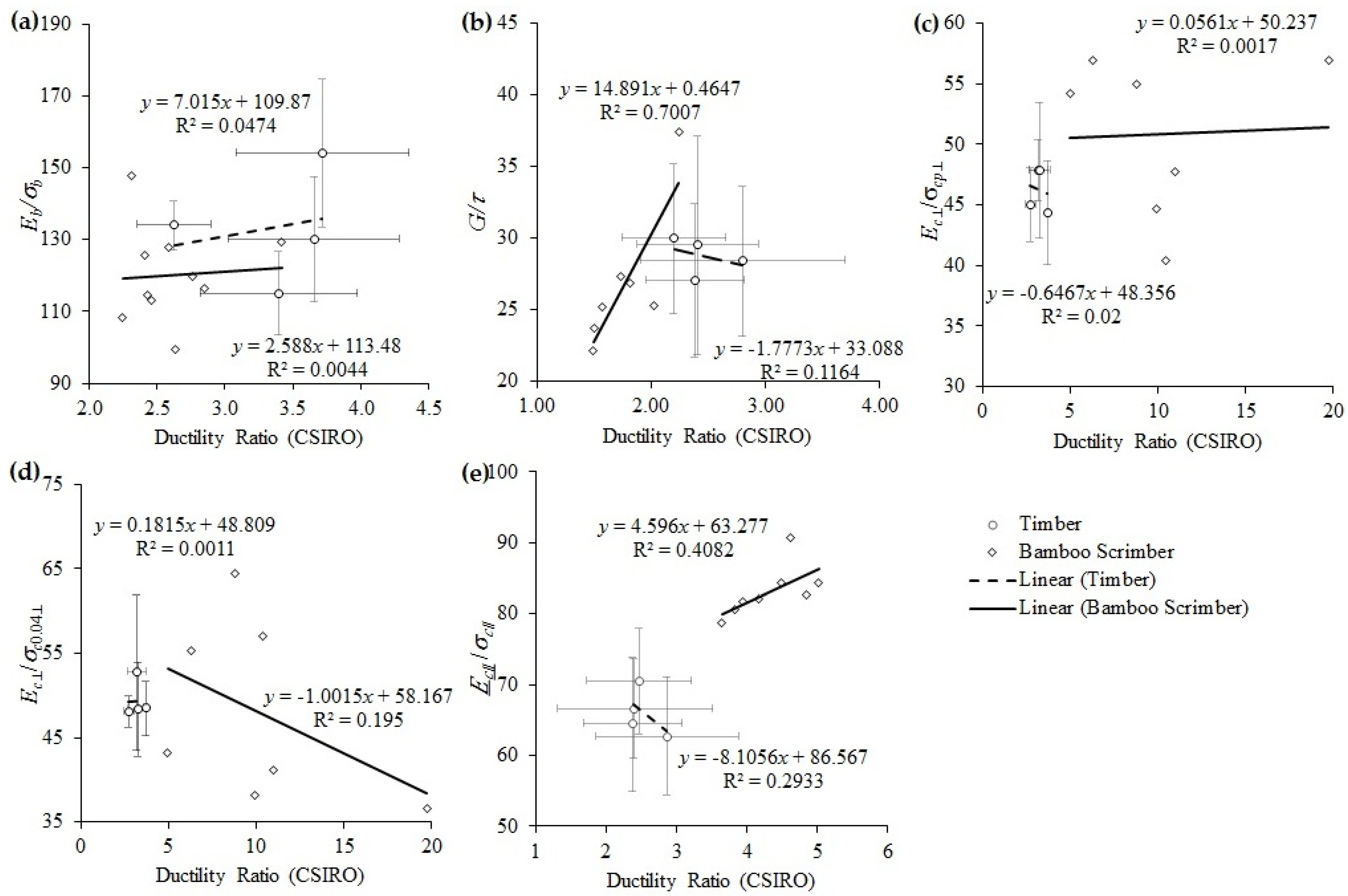
3.5. Relationship between Ductility and Ratio of Stiffness to Strength
4. Conclusions
Author Contributions
Funding
Institutional Review Board Statement
Informed Consent Statement
Data Availability Statement
Acknowledgments
Conflicts of Interest
Abbreviation
| b | specimen width (mm) |
| d | specimen depth (mm) |
| Eb | modulus of elasticity (MPa) |
| EC∥ | modulus Young in compression parallel-to-fiber (MPa) |
| Ec⊥ | modulus Young in compression perpendicular-to-fiber (MPa) |
| G | shear modulus (MPa) |
| Gb | specific gravity |
| L | specimen length (mm) |
| m0 | mass before testing (g) |
| m1 | mass after testing (g) |
| m2 | oven-dried mass (g) |
| Mc | moisture content (%) |
| P0.04 | load at 0.04 inch (N) |
| Pmax | maximum load (N) |
| Pu | ultimate load (N) = maximum load (N) |
| Pp | load at proportional limit (N) |
| SR | modulus of rupture (MPa) |
| Greek symbol | |
| μ | ductility ratio |
| Δu | ultimate displacement (mm) |
| Δy | yield displacement (mm) |
| ρ | density (g/cm3) |
| τ | shear stress |
| γ | shear strain |
| σ | stress |
| σC∥ | compressive strength parallel-to-fiber (MPa) |
| σc0.04⊥ | compressive stress perpendicular-to-fiber at the 0.04 inch deformation (MPa) |
| σcp⊥ | compressive stress perpendicular-to-fiber at the proportional limit (MPa) |
| τ∥ | shear strength parallel-to-fiber (MPa) |
| σt∥ | tensile strength parallel-to-fiber (MPa) |
| ε | strain |
References
- Firmanti, A.; Bachtiar, E.T.; Surjokusumo, S.; Komatsu, K.; Kawai, S. Mechanical stress grading of tropical timbers without regard to species. J. Wood Sci. 2005, 51, 339–347. [Google Scholar] [CrossRef]
- Bahtiar, E.T.; Nugroho, N.; Hermawan, D.; Wirawan, W.; Khuschandra. Triangle bracing system to reduce the vibration level of cooling tower—Case study in PT Star Energy Geothermal (Wayang Windu) Ltd.—Indonesia. Case Stud. Constr. Mater. 2018, 8, 248–257. [Google Scholar] [CrossRef]
- Bahtiar, E.T.; Nugroho, N.; Rahman, M.M.; Arinana; Sari, R.K.; Wirawan, W.; Hermawan, D. Estimation the remaining service-lifetime of wooden structure of geothermal cooling tower. Case Stud. Constr. Mater. 2017, 6, 91–102. [Google Scholar] [CrossRef]
- Bahtiar, E.T.; Erizal, E.; Hermawan, D.; Nugroho, N.; Hidayatullah, R. Experimental Study of Beam Stability Factor of Sawn Lumber Subjected to Concentrated Bending Loads at Several Points. Forests 2022, 13, 1480. [Google Scholar] [CrossRef]
- Bahtiar, E.T.; Denih, A.; Priadi, T.; Putra, G.R.; Koswara, A.; Nugroho, N.; Hermawan, D. Comparing the Building Code Sawn Lumber’s Wet Service Factors (CM) with Four Commercial Wood Species Laboratory Tests. Forests 2022, 13, 2094. [Google Scholar] [CrossRef]
- Cahyono, T.D.; Wahyudi, I.; Priadi, T.; Febrianto, F.; Darmawan, W.; Bahtiar, E.T.; Ohorella, S.; Novriyanti, E. The quality of 8 and 10 years old samama wood (Anthocephalus macrophyllus). J. Indian Acad. Wood Sci. 2015, 12, 22–28. [Google Scholar] [CrossRef]
- Bahtiar, E.T.; Arinana; Nugroho, N.; Nandika, D. Daily Cycle of Air Temperature and Relative Humidity Effect to Creep Deflection of Wood Component of Low-cost House in Cibeureum-Bogor, West Java, Indonesia. Asian J. Sci. Res. 2014, 7, 501–512. [Google Scholar] [CrossRef]
- Hayatunnufus, A.; Nugroho, N.; Bahtiar, E.T. Faktor Stabilitas Balok Kayu pada Konfigurasi Pembebanan Terpusat (Stability Factor of Wooden Beams in One Point Loading). J. Tek. Sipil Lingkung. 2022, 7, 129–146. [Google Scholar] [CrossRef]
- Wang, C.; Zhang, H.; Zhao, C.; Zhang, C.; Cao, T.; Dong, H.; Ding, J.; Xiong, Z.; Xiong, X.; Liu, W.; et al. Experimental study on laminated bamboo lumber column; E3S Web of Conferences. In Proceedings of the 2018 4th International Conference on Energy Materials and Environment Engineering (ICEMEE 2018), Semenyih, Malaysia, 13–15 April 2018; Volume 38, pp. 1–5. [Google Scholar]
- Nurmadina; Nugroho, N.; Bahtiar, E.T. Structural grading of Gigantochloa apus bamboo based on its flexural properties. Constr. Build. Mater. 2017, 157, 1173–1189. [Google Scholar] [CrossRef]
- Bahtiar, E.T.; Imanullah, A.P.; Hermawan, D.; Nugroho, N.; Abdurachman. Structural grading of three sympodial bamboo culms (Hitam, Andong, and Tali) subjected to axial compressive load. Eng. Struct. 2019, 181, 233–245. [Google Scholar] [CrossRef]
- Nugroho, N.; Bahtiar, E.T.; Nurmadina. Grading Development of Indonesian Bamboo Culm: Case Study on Tali Bamboo (Gigantochloa apus). In Proceedings of the 2018 World Conference on Timber Engineering, Seoul, Republic of Korea, 20–23 August 2018; pp. 1–6. [Google Scholar]
- Nugroho, N.; Bahtiar, E.T. Buckling formulas for designing a column with Gigantochloa apus. Case Stud. Constr. Mater. 2021, 14, e00516. [Google Scholar] [CrossRef]
- Nugroho, N.; Kartini; Bahtiar, E.T. Cross-species bamboo grading based on flexural properties. IOP Conf. Ser. Earth Environ. Sci. 2021, 891, 012008. [Google Scholar] [CrossRef]
- Bahtiar, E.T.; Malkowska, D.; Trujillo, D.; Nugroho, N. Experimental study on buckling resistance of Guadua angustifolia bamboo column. Eng. Struct. 2021, 228, 111548. [Google Scholar] [CrossRef]
- Bahtiar, E.T.; Trujillo, D.; Nugroho, N. Compression resistance of short members as the basis for structural grading of Guadua angustifolia. Constr. Build. Mater. 2020, 249, 118759. [Google Scholar] [CrossRef]
- Cahyono, T.D.; Novriyanti, E.; Bahtiar, E.T.; Massijaya, M.Y. Development of composite beams made from tali (Gigantochloa apus) and hitam bamboo (Gigantochloa atroviolacea). J. Indian Acad. Wood Sci. 2014, 11, 156–161. [Google Scholar] [CrossRef]
- Bahtiar, E.T.; Denih, A.; Karlinasari, L.; Putra, G.R.; Nugroho, N.; Sulistyono, S. Mengidealisasikan Penampang Lintang Buluh Bambu Menjadi Bentuk Geometri Conic Untuk Menghitung Sifat Penampangnya (Conic Geometric Idealization Shape of Bamboo Culm’s Cross-section to Calculating Section Properties). J. Penelit. Has. Hutan 2022, 40, 165–188, The paper is still under processing. [Google Scholar]
- Fridiyanti, I.; Massijaya, M.Y. Physical and mechanical properties of parallel strand lumber made from hot pre-pressed long strand oil palm trunk waste. IOP Conf. Ser. Earth Environ. Sci. 2018, 141, 012007. [Google Scholar] [CrossRef]
- Bahtiar, E.T.; Nugroho, N.; Surjokusumo, S. Estimating Young’s Modulus and Modulus of Rupture of Coconut Logs using Reconstruction Method. Civ. Eng. Dimens. 2010, 12, 65–72. [Google Scholar] [CrossRef]
- Hermawan, D.; Budiman, I.; Febrianto, F.; Subyakto, S.; Pari, G.; Ghozali, M.; Bahtiar, E.T.; Sutiawan, J.; de Azevedo, A.R.G. Enhancement of the Mechanical, Self-Healing and Pollutant Adsorption Properties of Mortar Reinforced with Empty Fruit Bunches and Shell Chars of Oil Palm. Polymers 2022, 14, 410. [Google Scholar] [CrossRef]
- Sinha, A.; Way, D.; Mlasko, S. Structural Performance of Glued Laminated Bamboo Beams. J. Struct. Eng. 2014, 140, 04013021. [Google Scholar] [CrossRef]
- Xiao, Y.; Shan, B.; Yang, R.Z.; Li, Z.; Chen, J. Glue Laminated Bamboo (GluBam) for Structural Applications. In Materials and Joints in Timber Structures; Springer: Dordrecht, The Netherlands, 2014; pp. 589–601. [Google Scholar]
- Alam, D.; Rahman, K.-S.; Ratul, S.; Sharmin, A.; Islam, T.; Hasan, M.; Islam, M. Properties of Particleboard Manufactured from Commonly Used Bamboo (Bambusa vulgaris) Wastes in Bangladesh. Adv. Res. 2015, 4, 203–211. [Google Scholar] [CrossRef]
- Marinho, N.P.; do Nascimento, E.M.; Nisgoski, S.; de Valarelli, I.D. Some physical and mechanical properties of medium-density fiberboard made from giant bamboo. Mater. Res. 2013, 16, 1387–1392. [Google Scholar] [CrossRef]
- Febrianto, F.; Sahroni; Hidayat, W.; Bakar, E.S.; Kwon, G.-J.; Kwon, J.-H.; Hong, S.-I.; Kim, N.-H. Properties of oriented strand board made from Betung bamboo (Dendrocalamus asper (Schultes.f) Backer ex Heyne). Wood Sci. Technol. 2012, 46, 53–62. [Google Scholar] [CrossRef]
- Huang, Z.; Sun, Y.; Musso, F. Assessment on bamboo scrimber as a substitute for timber in building envelope in tropical and humid subtropical climate zones—Part 1 hygrothermal properties test. IOP Conf. Ser. Mater. Sci. Eng. 2017, 264, 012006. [Google Scholar] [CrossRef]
- Liu, X.; Smith, G.D.; Jiang, Z.; Bock, M.C.D.; Boeck, F.; Frith, O.; Gatóo, A.; Liu, K.; Mulligan, H.; Semple, K.E.; et al. Nomenclature for engineered bamboo. BioResources 2016, 11, 1141–1161. [Google Scholar] [CrossRef]
- Chen, J.; Guagliano, M.; Shi, M.; Jiang, X.; Zhou, H. A comprehensive overview of bamboo scrimber and its new development in China. Eur. J. Wood Wood Prod. 2020, 79, 363–379. [Google Scholar] [CrossRef]
- Sun, X.; He, M.; Li, Z. Novel engineered wood and bamboo composites for structural applications: State-of-art of manufacturing technology and mechanical performance evaluation. Constr. Build. Mater. 2020, 249, 118751. [Google Scholar] [CrossRef]
- Zou, Z.; Wu, J.; Zhang, X. Influence of Moisture Content on Mechanical Properties of Bamboo Scrimber. J. Mater. Civ. Eng. 2019, 31, 06019004. [Google Scholar] [CrossRef]
- Van der Lugt, P. Design Interventions for Stimulating Bamboo Commercialization—Dutch Design Meets Bamboo as a Replicable Model; VSSD: Kanpur, India, 2008; ISBN 9789051550474. [Google Scholar]
- Kumar, A.; Ryparovà, P.; Kasal, B.; Adamopoulos, S.; Hajek, P. Resistance of bamboo scrimber against white-rot and brown-rot fungi. Wood Mater. Sci. Eng. 2018, 15, 57–63. [Google Scholar] [CrossRef]
- Shangguan, W.; Zhong, Y.; Xing, X.; Zhao, R.; Ren, H. 2D model of strength parameters for Bamboo scrimber. BioResources 2014, 9, 7073–7085. [Google Scholar] [CrossRef]
- Kumar, A.; Vlach, T.; Laiblova, L.; Hrouda, M.; Kasal, B.; Tywoniak, J.; Hajek, P. Engineered bamboo scrimber: Influence of density on the mechanical and water absorption properties. Constr. Build. Mater. 2016, 127, 815–827. [Google Scholar] [CrossRef]
- Huang, Y.; Ji, Y.; Yu, W. Development of bamboo scrimber: A literature review. J. Wood Sci. 2019, 65, 25. [Google Scholar] [CrossRef]
- Sharma, B.; Gatóo, A.; Bock, M.; Ramage, M. Engineered bamboo for structural applications. Constr. Build. Mater. 2015, 81, 66–73. [Google Scholar] [CrossRef]
- Kirkegaard, P.H.; Sørensen, J.D.; Cizmar, D.; Rajčić, V. Robustness analysis of a wide-span timber structure with ductile behaviour. In Proceedings of the Tenth International Conference on Computational Structures Technology, Valencia, Spain, 14–17 September 2010; Volume 93. [Google Scholar]
- EN 1998-1; Eurocode 8: Design of Structures for Earthquake Resistance. The European Union: Brussels, Belgium, 2005.
- Mander, J.B.; Basoz, N. Seismic fragility curve theory for highway bridges. In Optimizing Post-Earthquake Lifeline System Reliability; ASCE: Reston, VA, USA, 1999; pp. 31–40. [Google Scholar]
- Popovski, M.; Gavric, I.; Coe, I. Performance of Two-Storey CLT House Subjected to Lateral Loads. In Proceedings of the World Conference on Timber Engineering, Quebec City, QC, Canada, 10–14 August 2014. [Google Scholar]
- Gavric, I.; Fragiacomo, M.; Ceccotti, A. Cyclic Behavior of CLT Wall Systems: Experimental Tests and Analytical Prediction Models. J. Struct. Eng. 2015, 141, 04015034. [Google Scholar] [CrossRef]
- Fragiacomo, M.; Amadio, C.; Sancin, L.; Rinaldin, G. Seismic analysis of a light-frame timber building with and without friction pendulum base isolation. In Proceedings of the World Conference of Timber Engineering WCTE, Auckland, New Zealand, 15–19 July 2012. [Google Scholar]
- Chen, M.; Ye, L.; Li, H.; Wang, G.; Chen, Q.; Fang, C.; Dai, C.; Fei, B. Flexural strength and ductility of moso bamboo. Constr. Build. Mater. 2020, 246, 118418. [Google Scholar] [CrossRef]
- Ahmad, Y. Ductility of Timber Beams Strengthened Using Fiber Reinforced Polymer. J. Civ. Eng. Archit. 2013, 7, 535–544. [Google Scholar] [CrossRef]
- Baduge, S.K.; Mendis, P.; Ngo, T.D.; Sofi, M. Ductility Design of Reinforced Very-High Strength Concrete Columns (100–150 MPa) Using Curvature and Energy-Based Ductility Indices. Int. J. Concr. Struct. Mater. 2019, 13, 37. [Google Scholar] [CrossRef]
- Tomasi, R.; Parisi, M.A.; Piazza, M. Ductile Design of Glued-Laminated Timber Beams. Pract. Period. Struct. Des. Constr. 2009, 14, 113–122. [Google Scholar] [CrossRef]
- Newcombe, M.P.; Pampanin, S.; Buchanan, A.; Palermo, A. Section Analysis and Cyclic Behavior of Post-Tensioned Jointed Ductile Connections for Multi-Story Timber Buildings. J. Earthq. Eng. 2008, 12, 83–110. [Google Scholar] [CrossRef]
- Livas, C.; Ekevad, M.; Öhman, M. Experimental analysis of passively and actively reinforced glued-laminated timber with focus on ductility. Wood Mater. Sci. Eng. 2021, 17, 129–137. [Google Scholar] [CrossRef]
- Muñoz, W.; Salenikovich, A.; Mohammad, M.; Quenneville, P. Determination of yield point and ductility of timber assemblies: In search for a harmonised approach. In Proceedings of the 10th World Conference on Timber Engineering 2008, Miyazaki, Japan, 2–5 June 2008. [Google Scholar]
- Sharma, B.; Van Der Vegte, A. Engineered Bamboo for Structural Applications; Elsevier Ltd.: Amsterdam, The Netherlands, 2019; ISBN 9780081027042. [Google Scholar]
- ASTM D143-14; Standard Test Methods for Small Clear Specimens of Timber. American Society for Testing and Materials (ASTM): West Conshohocken, PA, USA, 2014.
- Karacabeyli, E.; Ceccotti, A. Nailed Wood-Frame Shear Walls for Seismic Loads: Test Results and Design Considerations. In Structural Engineering World Wide 1998, Proceedings of the Structural Engineering World Congress, San Francisco, CA, USA, 18–23 July 1998; Elsevier: Amsterdam, The Netherlands, 1999; pp. 1–9. [Google Scholar]
- Foliente, G.C.; Leicester, R.H. Evaluation of mechanical joint systems in timber structures. In Proceedings of the 25th Forest Products Research Conference, Melbourne, Australia, 18–21 November 1996; p. 2/16. Available online: http://hdl.handle.net/102.100.100/228051?index=1 (accessed on 10 December 2022).
- Gnanaharan, R.; Janssen, J.; Arce, O. Bending Strength of Bamboo: Comparison of Different Testing Procedures with a View to Standardization; International Network for Bamboo and Rattan: New Delhi, India, 1994. [Google Scholar]
- Yasumura, M.; Kawai, N. Estimating seismic performance of wood-framed structures. In Proceedings of the 5th World Conference on Timber Engineering, Montreux, Switzerland, 17–20 August 1998; Volume 2. [Google Scholar]
- Foliente, G. Issues in seismic performance testing and evaluation of timber structural systems. In Proceedings of the 1996 International Wood Engineering Conference, New Orleans, LA, USA, 28–31 October 1996; pp. 29–36. [Google Scholar]
- Terauchi, F.; Mulyono, A.; TauchiI, T.; Kubo, M. Typological Analysis of Engineered Bamboo Product Surfaces. J. Sci. Des. 2019, 3, 1_69–1_76. [Google Scholar] [CrossRef]
- Bahtiar, E.T.; Nugroho, N.; Massijaya, M.Y.; Roliandi, H.; Rentry, A.N.; Satriawan, A. A new method to estimate modulus of elasticity and modulus of rupture of glulam I-joist. AIP Conf. Proc. 2010, 1325, 319–322. [Google Scholar]
- Bahtiar, E.T.; Nugroho, N.; Massijaya, M.Y.; Roliandi, H.; Augusti, R.; Satriawan, A. Method to Estimate Mechanical Properties of Glulam on Flexure Testing Based on Its Laminae Characteristics and Position. Indones. J. Phys. 2016, 22, 57–67. [Google Scholar] [CrossRef]
- Nugroho, N.; Bahtiar, E.T.; Lelono, A.B. Kekuatan Bambu Betung (Dendrocalamus asper Backer ex K.Heyne) Menahan Gaya Normal Tekanan dan Tarikan (The Strength of Betung Bamboo (Dendrocalamus asper Backer ex K. Heyne) to Support Normal Force in Compression and Tension). J. Penelit. Has. Hutan 2022, 40, 37–48. [Google Scholar] [CrossRef]
- Glass, S.V.; Zelinka, S.L. Moisture relations and physical properties of wood. In Wood Handbook; Wood as an Engineering Material; General Technical Report FPL-GTR-282; U.S. Department of Agriculture, Forest Service, Forest Products Laboratory: Madison, WI, USA, 2021. [Google Scholar]
- Huang, D.; Bian, Y.; Zhou, A.; Sheng, B. Experimental study on stress-strain relationships and failure mechanisms of parallel strand bamboo made from phyllostachys. Constr. Build. Mater. 2015, 77, 130–138. [Google Scholar] [CrossRef]
- Li, H.; Zhang, H.; Qiu, Z.; Su, J.; Wei, D.; Lorenzo, R.; Yuan, C.; Liu, H.; Zhou, C. Mechanical properties and stress strain relationship models for bamboo scrimber. J. Renew. Mater. 2020, 8, 13–27. [Google Scholar] [CrossRef]
- Li, X.; Mou, Q.; Ren, H.; Li, X.; Zhong, Y. Effects of moisture content and load orientation on dowel-bearing behavior of bamboo scrimber. Constr. Build. Mater. 2020, 262, 120864. [Google Scholar] [CrossRef]
- Li, H.; Zhang, Q.; Huang, D.; Deeks, A.J. Compressive performance of laminated bamboo. Compos. Part B Eng. 2013, 54, 319–328. [Google Scholar] [CrossRef]
- Alipon, M.A.; Garcia, C.M.; Bondad, E.O. Glue and preservative effects on the properties and durability of engineered bamboo boards. Philipp. J. Sci. 2018, 147, 601–616. [Google Scholar]
- Bodig, J.; Jayne, B. Mechanics of Wood and Wood Composites; Van Nostrand Reinhold: Washington, DC, USA, 1982; Volume 1. [Google Scholar]
- Geiser, M.; Bergmann, M.; Follesa, M. Influence of steel properties on the ductility of doweled timber connections. Constr. Build. Mater. 2021, 266, 121152. [Google Scholar] [CrossRef]
- Jorissen, A.; Fragiacomo, M. General notes on ductility in timber structures. Eng. Struct. 2011, 33, 2987–2997. [Google Scholar] [CrossRef]
- Brühl, F. Ductility in Timber Structures—Possibilities and Requirements with Regard to Dowel Type Fasteners; Institut für Konstruktion und Entwurf: Stuttgart, Germany, 2020. [Google Scholar]
- Smith, I.; Asiz, A.; Snow, M.; Chui, Y. Possible Canadian/ISO approach to deriving design values from test data. In Proceedings of the CIB-W18, 39th Meeting, Florence, Italy, 28–31 August 2006. [Google Scholar]
- Obataya, E.; Kitin, P.; Yamauchi, H. Bending characteristics of bamboo (Phyllostachys pubescens) with respect to its fiber–foam composite structure. Wood Sci. Technol. 2007, 41, 385–400. [Google Scholar] [CrossRef]
- Chen, S.; Wei, Y.; Peng, D.; Zhao, K.; Hu, Y. Experimental investigation of timber beams strengthened by bamboo scrimber with anchorage structure. Structures 2021, 33, 1–11. [Google Scholar] [CrossRef]
- Ceallaigh, C.O.; Harte, A.M. The elastic and ductile behaviour of CLT wall-floor connections and the influence of fastener length. Eng. Struct. 2019, 189, 319–331. [Google Scholar] [CrossRef]
- Smith, I.; Asiz, A. Transition from design of timber components to design of system. In Proceedings of the IABSE-fib Conference, Cavtat, Croatia, 3–5 May 2010. [Google Scholar]
- EN 12512:2001; Timber Structures—Test Methods—Cyclic Testing of Joints Made with Mechanical Fasteners. Comité Européen de Normalisation (CEN): Brussels, Belgium, 2005.













| Test Method | Direction | Number of Specimen (n) | Specimen Size (b cm × d cm × L cm) | Loading Rate (mm/min) | ||
|---|---|---|---|---|---|---|
| Scrimber | Timber | Timber | Scrimber | |||
| Tension | Parallel-to-fiber | 14 | 50 | 2.5 × 2.5 × 46 (Figure 1a) | 2.5 × 2.5 × 46 (Figure 1a) | 1.00 |
| Compression | Parallel-to-fiber | 9 | 50 | 2.5 × 2.5 × 10 (Figure 1b1) | 3 × 3 × 20 (Figure 1b2) | 0.30 |
| Compression | Perpendicular-to-fiber | 7 | 50 | 5 × 5 × 15 (Figure 1c1) | 3 × 3 × 15 (Figure 1c2) | 0.305 |
| Shear | Parallel-to-fiber | 7 | 50 | 5 × 5 × 6.3 (Figure 1d1) | 3 × 5 × 6.3 (Figure 1d2) | 0.6 |
| Bending | Center point loading | 10 | 50 | 2.5 × 2.5 × 41 (Figure 1e) | 2.5 × 2.5 × 41 (Figure 1e) | 1.3 |
| Mechanical Properties | Equations |
|---|---|
| Modulus of Elasticity (Eb) | |
| Modulus of Rupture (SR) | |
| Tension Parallel-to-fiber Strength (Ft∥) | |
| Compression Parallel-to-fiber Strength (Fc∥) | |
| Compression Perpendicular-to-fiber Strength at Proportional Limit (Fcp⊥) | |
| Compression Perpendicular-to-fiber Strength at 0.04 inch (Fc0.04⊥) | |
| Compression modulus (Ec) | |
| Shear Parallel-to-fiber Strength (Fs) | |
| Shear Modulus (G) |
| Mechanical Properties (MPa) | Scrimber (Mean ± s) | Agathis (Mean ± s) | Mahogany (Mean ± s) | Red Meranti (Mean ± s) | Pine (Mean ± s) |
|---|---|---|---|---|---|
| Flexural modulus of elasticity (Eb) | 8525 ± 1275 | 6968 ± 618 | 8033 ± 1079 * | 11002 ± 1379 * | 7218 ± 1837 * |
| Modulus of rupture (σb) | 71.14 ± 9.85 | 52.08 ± 4.49 | 70.47 ± 11.37 * | 72.42 ± 12.15 * | 55.15 ± 10.18 * |
| Tensile strength parallel-to-fiber (σt∥) | 34.27 ± 16.37 | 61 ± 19.30 | 74.94 ± 21.21 | 128.48 ± 35.68 | 72.56 ± 28.68 |
| Compressive strength parallel-to-fiber (σc∥) | 64.85 ± 4.40 | 24.75 ± 2.86 | 30.67 ± 5.36 | 40.84 ± 6.46 | 29.07 ± 4.07 |
| Compressive modulus of elasticity parallel-to-fiber (Ec∥) | 5296 ± 577 | 1552 ± 275 | 2030 ± 376 | 2617 ± 452 | 2048 ± 335 |
| Compressive stress perpendicular-to-fiber at proportional limit (σcp⊥) | 19.60 ± 3.00 | 4.05 ± 0.88 | 7.76 ± 1.25 | 5.41 ± 0.75 | 5.11 ± 1.27 |
| Compressive stress perpendicular-to-fiber at 0.04” deformation (σc0.04⊥) | 21.31 ± 4.80 | 3.77 ± 0.65 | 7.08 ± 1.10 | 5.06 ± 0.65 | 5.02 ± 1.10 |
| Compressive modulus of elasticity perpendicular-to-fiber (Ec⊥) | 980.4 ± 58.2 | 194.7 ± 40.4 | 341.4 ± 46.8 | 243.3 ± 35.8 | 241.2 ± 50.0 |
| Shear strength (τ∥) | 11.15 ± 2.50 | 7.09 ± 1.48 | 9.88 ± 1.24 | 8.74 ± 1.41 | 8.48 ± 1.59 |
| Shear modulus (G) | 290.8 ± 66.3 | 206.6 ± 57.7 | 266.0 ± 57.5 | 261.6 ± 60.4 | 242.2 ± 66.3 |
| Materials | Methods | |||||||||||||||
|---|---|---|---|---|---|---|---|---|---|---|---|---|---|---|---|---|
| K&C | CSIRO | CEN | Y&K | EEEP | ||||||||||||
| n | Mean | s | n | Mean | s | n | Mean | s | n | Mean | s | n | Mean | s | ||
| Bamboo scrimber | σb | 10 | 2.7 | 0.4 | 10 | 2.6 | 0.3 | 10 | 1.5 | 0.2 | 10 | 2.2 | 0.4 | 10 | 1.53 | 0.18 |
| σc∥ | 9 | 3.5 | 0.4 | 9 | 4.3 | 0.5 | 9 | 1.78 | 0.20 | |||||||
| σc⊥ | 7 | 9.5 | 3.7 | 7 | 10.2 | 4.8 | 7 | 6.7 | 2.9 | 7 | 7.0 | 2.3 | 7 | 5.15 | 1.90 | |
| τ∥ | 7 | 1.5 | 0.2 | 7 | 1.8 | 0.3 | 5 | 1.24 | 0.51 | |||||||
| σt∥ | 14 | 2.0 | 0.3 | 14 | 1.9 | 0.3 | ||||||||||
| Agathis | σb | 50 | 3.3 | 0.3 | 50 | 2.6 | 0.3 | 50 | 1.9 | 0.2 | 50 | 2.8 | 0.4 | |||
| σc∥ | 50 | 3.1 | 1.1 | 50 | 2.9 | 1.0 | ||||||||||
| σc⊥ | 50 | 3.2 | 0.5 | 50 | 3.2 | 0.5 | 50 | 1.8 | 0.4 | 48 | 2.4 | 0.7 | ||||
| τ∥ | 50 | 2.4 | 0.5 | 50 | 2.4 | 0.5 | ||||||||||
| σt∥ | 50 | 1.8 | 0.3 | 50 | 1.8 | 0.5 | ||||||||||
| Mahogany | σb | 50 | 3.3 | 0.6 | 50 | 3.4 | 0.6 | 50 | 2.0 | 0.4 | 50 | 2.9 | 0.5 | |||
| σc∥ | 50 | 2.7 | 1.2 | 50 | 2.4 | 1.1 | ||||||||||
| σc⊥ | 50 | 3.8 | 1.2 | 50 | 3.7 | 1.2 | 50 | 2.2 | 1.0 | 48 | 2.8 | 2.0 | ||||
| τ∥ | 50 | 2.5 | 0.4 | 50 | 2.4 | 0.4 | ||||||||||
| σt∥ | 50 | 2.0 | 0.3 | 50 | 2.0 | 0.3 | ||||||||||
| Red Meranti | σb | 50 | 3.7 | 0.6 | 50 | 3.7 | 0.6 | 50 | 2.2 | 0.4 | 50 | 3.2 | 0.5 | |||
| σc∥ | 50 | 2.6 | 0.7 | 50 | 2.4 | 0.7 | ||||||||||
| σc⊥ | 50 | 2.7 | 0.3 | 50 | 2.7 | 0.3 | 50 | 1.4 | 0.2 | 45 | 1.9 | 0.4 | ||||
| τ∥ | 51 | 2.3 | 0.4 | 51 | 2.2 | 0.5 | ||||||||||
| σt∥ | 50 | 2.1 | 0.4 | 50 | 2.0 | 0.5 | ||||||||||
| Pine | σb | 50 | 3.6 | 0.6 | 50 | 3.7 | 0.6 | 50 | 2.2 | 0.5 | 50 | 3.2 | 0.6 | |||
| σc∥ | 50 | 2.7 | 0.8 | 50 | 2.5 | 0.7 | ||||||||||
| σc⊥ | 50 | 3.3 | 0.6 | 50 | 3.3 | 0.6 | 50 | 1.9 | 0.5 | 47 | 2.3 | 0.7 | ||||
| τ∥ | 50 | 2.8 | 0.9 | 50 | 2.8 | 0.9 | ||||||||||
| σt∥ | 50 | 2.0 | 0.4 | 50 | 1.9 | 0.5 | ||||||||||
Disclaimer/Publisher’s Note: The statements, opinions and data contained in all publications are solely those of the individual author(s) and contributor(s) and not of MDPI and/or the editor(s). MDPI and/or the editor(s) disclaim responsibility for any injury to people or property resulting from any ideas, methods, instructions or products referred to in the content. |
© 2023 by the authors. Licensee MDPI, Basel, Switzerland. This article is an open access article distributed under the terms and conditions of the Creative Commons Attribution (CC BY) license (https://creativecommons.org/licenses/by/4.0/).
Share and Cite
Sylvayanti, S.P.; Nugroho, N.; Bahtiar, E.T. Bamboo Scrimber’s Physical and Mechanical Properties in Comparison to Four Structural Timber Species. Forests 2023, 14, 146. https://doi.org/10.3390/f14010146
Sylvayanti SP, Nugroho N, Bahtiar ET. Bamboo Scrimber’s Physical and Mechanical Properties in Comparison to Four Structural Timber Species. Forests. 2023; 14(1):146. https://doi.org/10.3390/f14010146
Chicago/Turabian StyleSylvayanti, Sarah Putri, Naresworo Nugroho, and Effendi Tri Bahtiar. 2023. "Bamboo Scrimber’s Physical and Mechanical Properties in Comparison to Four Structural Timber Species" Forests 14, no. 1: 146. https://doi.org/10.3390/f14010146
APA StyleSylvayanti, S. P., Nugroho, N., & Bahtiar, E. T. (2023). Bamboo Scrimber’s Physical and Mechanical Properties in Comparison to Four Structural Timber Species. Forests, 14(1), 146. https://doi.org/10.3390/f14010146

