Sex-Related Ecophysiological Responses of Hippophae rhamnoide Saplings to Simulate Sand Burial Treatment in Desertification Areas
Abstract
1. Introduction
2. Materials and Methods
2.1. Plant Material and Experimental Design
2.2. Determination of Growth Parameters
2.3. Determination of Gas Exchange Parameters
2.4. Determination of Chlorophyll Fluorescence
2.5. Determination of Leaf Water Potential
2.6. Determination of Leaf Chlorophyll Content
2.7. Determination of Starch and Sucrose
2.8. Data Analysis
3. Results
3.1. Sex-Specific Responses of Survival and Growth Traits to Sand Burial Depths
3.2. Sex-Specific Response of Photosynthetic Traits to Sand Burial Depths
3.3. Sex-Specific Response of Leaf Chlorophyll Fluorescence to Sand Burial Depths
3.4. Sex-Specific Responses of Leaf Chlorophyll Pigment and Water Potential to Sand Burial Depths
3.5. Sex-Specific Response of Carbohydrate Content to Sand Burial Depths
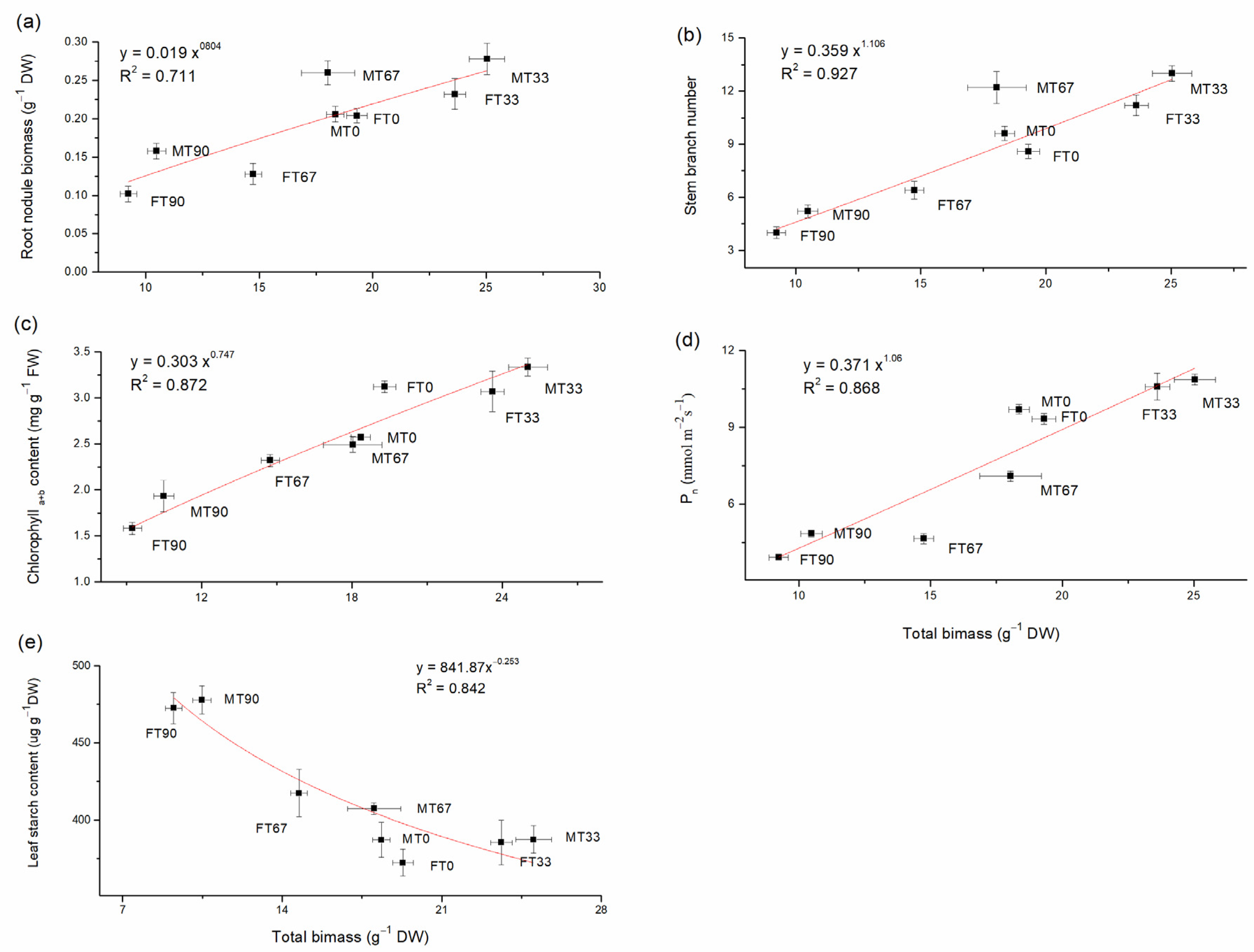
3.6. Results of Correlation and Principal Component Analysis
4. Discussion
5. Conclusions
Author Contributions
Funding
Data Availability Statement
Conflicts of Interest
References
- Heshmati, G.A.; Squires, V.R. Combating Desertification in Asia, Africa and the Middle East: Proven Practices; Springer: Berlin/Heidelberg, Germany, 2013. [Google Scholar]
- Cheng, L.; Lu, Q.; Wu, B.; Yin, C.; Bao, Y.; Gong, L. Estimation of the costs of desertification in China: A critical review. Land Degrad. Dev. 2018, 29, 975–983. [Google Scholar] [CrossRef]
- Wang, G.; Yu, K.; Gou, Q. Effects of sand burial disturbance on establishment of three desert shrub species in the margin of oasis in northwestern China. Ecol. Res. 2019, 34, 127–135. [Google Scholar] [CrossRef]
- Williams, W.J.; Eldridge, D.J. Deposition of sand over a cyano bacterial soil crust increases nitrogen bioavailability in a semi-arid woodland. Appl. Soil Ecol. 2011, 49, 26–31. [Google Scholar] [CrossRef]
- Brown, J.K.; Zinnert, J.C. Mechanisms of surviving burial: Dune grass interspecific differences drive resource allocation after sand deposition. Ecosphere 2018, 9, e02162. [Google Scholar] [CrossRef]
- Maun, M.A.; Lapierre, J. The effects of burial by sand on Ammophila breviligulata. J. Ecol. 1984, 72, 827–839. [Google Scholar] [CrossRef]
- Shi, L.; Zhang, Z.J.; Zhang, C.Y.; Zhang, J.Z. Effects of sand burial on survival, growth, gas exchange and biomass allocation of Ulmuspumila seedlings in the Hunshandak sand land, China. Ann. Bot. 2004, 94, 553–560. [Google Scholar] [CrossRef]
- Fan, B.; Zhao, C.; Zhang, X.; Sun, K. Impacts of sand burial and wind erosion on regeneration and growth of a desert clonal shrub. Front. Plant Sci. 2018, 9, 1696. [Google Scholar] [CrossRef]
- Tao, Y.Y.; Shang, T.C.; Yan, J.J.; Hu, Y.X.; Zhao, Y.; Liu, Y. Effects of sand burial depth on Xanthium spinosum seed germination and seedling growth. BMC Plant Biol. 2022, 43, 1–9. [Google Scholar] [CrossRef]
- Gilbert, M.; Pammenter, N.; Ripley, B. The growth responses of coastal dune species are determined by nutrient limitation and sand burial. Oecologia 2008, 156, 169–178. [Google Scholar] [CrossRef]
- Li, Y.; Zhao, H.X.; Duan, B.L.; Korpelainen, H.; Li, C.Y. Adaptability to elevated temperature and nitrogen addition is greater in a high-elevation population than in a low-elevation population of Hippophae rhamnoides. Trees 2011, 25, 1073–1082. [Google Scholar] [CrossRef]
- Kanayama, K.; Kato, K.; Stobdan, T.; Galitsyn, G.G.; Kochetov, A.V.; Kanahama, K. Research progress on the medicinal and nutritional properties of sea buckthorn (Hippophae rhamnoides). J. Hortic. Sci. Biotechnol. 2012, 87, 203–210. [Google Scholar] [CrossRef]
- Hu, G.Y.; Dong, Z.B.; Wei, Z.H.; Lu, J.F.; Yan, C.Z. Spatial and temporal change of desertification land of Zoige Basin in recent 30 years and its cause analysis. Adv. Earth Sci. 2009, 8, 010–013. [Google Scholar]
- Zhao, W.Z.; Li, Q.Y.; Fang, H.Y. Effects of sand burial disturbance on seedling growth of Nitraria sphaerocarpa. Plant Soil 2007, 295, 95–102. [Google Scholar] [CrossRef]
- Geber, M.A.; Dawson, T.E.; Delph, L.F. Gender and Sexual Dimorphism in Flowering Plants; Springer: Berlin/Heidelberg, Germany, 1999. [Google Scholar]
- Retuerto, R.; Fernandez, L.B.; Rodrı´guez, R.S.; Obeso, J.R. Gender, light and water effects in carbon isotope discrimination, and growth rates in the dioecious tree Ilex aquifolium. Func. Ecol. 2000, 14, 529–537. [Google Scholar] [CrossRef]
- Chen, L.H.; Han, Y.; Jiang, H.; Korpelainen, H.; Li, C.Y. Nitrogen nutrient status induces sexual differences in responses to cadmium in Populus yunnanensis. J. Exp. Bot. 2011, 62, 5037–5050. [Google Scholar] [CrossRef]
- Montesinos, D.; Villar-Salvador, P.; Garcı´a-Fayos, P.; Verdu, M. Genders in Juniperus thurifera have different functional responses to variations in nutrient availability. New Phytol. 2012, 193, 705–712. [Google Scholar] [CrossRef]
- Juvany, M.; Munné-Bosch, S. Sex-related differences in stress tolerance in dioecious plants: A critical appraisal in a physiological context. J. Exp. Bot. 2015, 66, 6083–6092. [Google Scholar] [CrossRef]
- Miao, L.F.; Yang, F.; Han, C.Y.; Pu, Y.J.; Ding, Y.; Zhang, L.J. Sex-specific responses to winter flooding, spring waterlogging and post-flooding recovery in Populus deltoides. Sci. Rep. 2017, 7, 2534. [Google Scholar] [CrossRef]
- Álvarez-Cansino, L.; Díaz-Barradas, M.C.; Zunzunegui, M.; Esquivias, M.P.; Dawson, T.E. Gender-specific variation in physiology in the dioecious shrub Corema album throughout its distributional range. Funct. Plant Biol. 2012, 39, 968–978. [Google Scholar] [CrossRef]
- Xu, X.; Zhao, H.; Zhang, X.; Hänninen, H.; Korpelainen, H.; Li, C. Different growth sensitivity to enhanced UV-B radiation between male and female Populus cathayana. Tree Physiol. 2010, 30, 1489–1498. [Google Scholar] [CrossRef]
- Yang, F.; Wang, Y.; Wang, J.; Deng, W.; Liao, L.; Li, M. Different ecophysiological responses between male and female Populus deltoids clones to waterlogging stress. Forest Ecol. Manag. 2011, 262, 1963–1971. [Google Scholar] [CrossRef]
- Li, Y.; Duan, B.L.; Chen, J.; Korpelainen, H.; Ülo, N.; Li, C.Y. Males exhibit competitive advantages over females of Populus deltoides under salinity stress. Tree Physiol. 2016, 12, 1573–1584. [Google Scholar] [CrossRef] [PubMed]
- Soldaat, L.L.; Lorenz, H.; Trefflich, A. The effect of drought stress on the sex ratio variation of Silene otites. Folia Geobot. 2000, 35, 103–110. [Google Scholar] [CrossRef]
- Morales, M.; Oñate, M.; García, M.B.; Munné-Bosch, S. Photooxidative stress markers reveal absence of physiological deterioration with ageing in Borderea pyrenaica, an extraordinarily log-lived herb. J. Ecol. 2013, 101, 555–565. [Google Scholar] [CrossRef]
- Letts, M.G.; Phelan, C.A.; Johnson, D.R.; Rood, S.B. Seasonal photosynthetic gas exchange and leaf reflectance characteristics of male and female cottonwoods in a riparian woodland. Tree Physiol. 2008, 28, 1037–1048. [Google Scholar] [CrossRef] [PubMed]
- Oñate, M.; Blanc, J.; Munné-Bosch, S. Influence of stress history on the response of the dioecious plant Urticadioica to abiotic stress. Plant Ecol. Diver 2011, 4, 45–54. [Google Scholar] [CrossRef]
- Li, C.Y.; Ren, J.; Luo, J.X.; Lu, R.S. Sex-specific physiological and growth responses to water stress in Hippophae rhamnoides L. populations. Acta Physiol. Plant 2004, 26, 123–129. [Google Scholar] [CrossRef]
- Li, C.Y.; Xu, G.; Zang, R.G.; Korpelainen, H.; Berninger, F. Sex-related differences in leaf morphological and physiological responses in Hippophae rhamnoides along an altitudinal gradient. Tree Physiol. 2007, 27, 399–406. [Google Scholar] [CrossRef]
- Van Kooten, O.; Snel, J.F.H. The use of chlorophyll fluorescence nomenclature in 21 plant stress physiology. Photosynth. Res. 1990, 25, 147–150. [Google Scholar] [CrossRef]
- Yemm, E.W.; Willis, A.J. The estimation of carbohydrates in plant extracts by anthrone. Biochem. J. 1954, 57, 508–514. [Google Scholar] [CrossRef]
- Maun, M.A. Adaptations enhancing survival and establishment of seedlings on coastal dune systems. Vegetation 1994, 111, 59–70. [Google Scholar] [CrossRef]
- Brown, J.F. Effects of experimental burial on survival, growth, and resource allocation of three species of dune plants. J. Ecol. 1997, 85, 151–158. [Google Scholar] [CrossRef]
- Li, J.; Qu, H.; Zhao, H.L.; Zhou, R.L.; Yun, J.Y.; Pan, C.C. Growth and physiological responses of Agriophyllums quarrosum to sand burial stress. J. Arid Land 2015, 7, 94–100. [Google Scholar] [CrossRef]
- Šilhán, K.; Ružek, I.; Frištyk, M.; Wiśniewská, K. Growth responses of Pinus sylvestris (L.) to burial by drift sand and its application to the reconstruction of aeolian dune development. Catena 2021, 196, 104830. [Google Scholar] [CrossRef]
- Liu, B.O.; Liu, Z.M.; Guan, D.X. Seedling growth variation in response to sand burial in four Artemisia species from different habitats in the semi-arid dune field. Trees 2008, 22, 41–47. [Google Scholar] [CrossRef]
- Xu, L.; Huber, H.; During, H.J.; Dong, M.; Anten, N.P.R. Intraspecific variation of a desert shrub species in phenotypic plasticity in response to sand burial. New Phytol. 2013, 199, 991–1000. [Google Scholar] [CrossRef]
- Sykes, M.T.; Wilson, J.B. An experimental investigation into the response of New Zealand sand dune species to different depths of burial by sand. Acta Bot. Neerl. 1990, 39, 171–181. [Google Scholar] [CrossRef]
- Xiao, Y.; Zhao, H.; Yang, W.; Qing, H.; Zhou, C.; Tang, J.; An, S. Variations in growth, clonal and sexual reproduction of Spartinaal terniflora responding to changes in clonal integration and sand burial. Clean Soil Air Water 2015, 43, 967–1114. [Google Scholar] [CrossRef]
- Qu, H.; Zhao, H.; Zhou, R.; Zuo, X.; Luo, Y.; Wang, J.; Orr, B.J. Effects of sand burial on the survival and physiology of three psammophytes of Northern China. Afr. J. Biotechnol. 2012, 11, 4518–4529. [Google Scholar]
- Espírito-Santo, M.M.; Madeira, B.G.; Neves, F.S.; Faria, M.L.; Fagundes, M.; Wilson, F.G. Sexual differences in reproductive phenology and their consequences for the demography of Baccharis dracunculifolia (asteraceae), a dioecious tropical shrub. Ann. Bot. 2003, 1, 13–19. [Google Scholar] [CrossRef]
- Poorter, L.; Kitajima, K. Carbohydrate storage and light requirements of tropical 5 moist and dry forest tree species. Ecology 2007, 88, 1000–1011. [Google Scholar] [CrossRef] [PubMed]
- Grishkana, I.; Jia, R.L.; Li, X.R. Influence of sand burial on cultivable micro-fungi in habiting biological soil crusts. Pedobiologia 2015, 58, 89–96. [Google Scholar] [CrossRef]
- Xia, Z.; He, Y.; Yu, L.; Lv, R.; Korpelainen, H.; Li, C. Sex-specific strategies of phosphorus (P) acquisition in Populus cathayana as affected by soil P availability and distribution. New Phytol. 2020, 225, 782–792. [Google Scholar] [CrossRef] [PubMed]
- Yang, Y.; Li, C.; Xu, G.; Yao, Y. Growth and physiological responses to drought and elevated ultraviolet-B in two contrasting populations of Hippophae rhamnoides. Physiol. Plant. 2005, 124, 431–440. [Google Scholar] [CrossRef]
- Kato, K.; Kanayama, Y.; Ohkawa, W.; Kanahama, K. Nitrogen fixation in sea buckthorn (Hippophae rhamnoides L.) root nodules and effect of nitrate on nitrogenase activity. Hortic. Sci. 2007, 76, 185–190. [Google Scholar]
- Xu, G.; Duan, B.L.; Li, C.Y. Different adaptive responses of leaf physiological and biochemical aspects to drought in two contrasting populations of sea buckthorn. Can. J. For. Res. 2008, 38, 584–591. [Google Scholar] [CrossRef]
- Bond, G.; Mackintosh, A.H. Effect of nitrate-nitrogen on the nodule symbioses of Coriaria and Hippophaë. Proc. R. Soc. Lond. Ser. B Biol. Sci. 1975, 190, 199–209. [Google Scholar]
- Arnone, J.A.; Kohls, S.J.; Baker, D.D. Nitrate effects on nodulation and nitrogenase activity of actinorhizal Casuarina studied in split-root systems. Soil Biol. Biochem. 1994, 26, 599–606. [Google Scholar] [CrossRef]
- Gentili, F. Phosphorus, nitrogen and their interactions affect N fixation, N isotope fractionation and N partitioning in Hippophae rhamnoides. Symbiosis 2006, 41, 39–45. [Google Scholar]
- Austin, A.T.; Ballaré, C.L. Dual role of lignin in plant litter decomposition in terrestrial ecosystems. Proc. Natl. Acad. Sci. USA 2010, 107, 4618–4622. [Google Scholar] [CrossRef]






| Treatment | Leaf Biomass (g DW) | Stem Biomass (g DW) | Root Biomass (g DW) | Total Biomass (g DW) | R/S Ratio | Branch Number | Root Nodule Biomass (g DW) |
|---|---|---|---|---|---|---|---|
| Female | |||||||
| control | 8.54 ± 0.34 bc | 8.62 ± 0.37 b | 2.13 ± 0.15 cd | 19.30 ± 0.45 b | 0.13 ± 0.01 a | 8.6 ± 0.4 cd | 0.20 ± 0.01 bc |
| T33 | 10.59 ± 0.33 a | 10.05 ± 0.35 ab | 2.97 ± 0.16 ab | 23.61 ± 0.47 a | 0.14 ± 0.01 a | 11.2 ± 0.58 ab | 0.23 ± 0.02 ab |
| T67 | 6.56 ± 0.34 d | 6.53 ± 0.31 bc | 1.66 ± 0.23 de | 14.74 ± 0.36 c | 0.13 ± 0.02 a | 6.4 ± 0.5 de | 0.13 ± 0.01 d |
| T90 | 2.89 ± 0.20 e | 5.24 ± 0.26 c | 1.1 ± 0.07 e | 9.24 ± 0.37 d | 0.14 ± 0.01 a | 4 ± 0.32 e | 0.10 ± 0.01 d |
| Male | |||||||
| control | 7.05 ± 0.33 cd | 8.77 ± 0.64 b | 2.53 ± 0.19 bc | 18.35 ± 0.39 b | 0.16 ± 0.01 a | 9.6 ± 0.4 bc | 0.21 ± 0.01 bc |
| T33 | 9.93 ± 0.41 ab | 11.50 ± 0.38 a | 3.59 ± 0.13 a | 25.03 ± 0.78 a | 0.17 ± 0.02 a | 13 ± 0.45 a | 0.28 ± 0.02 a |
| T67 | 6.72 ± 0.52 d | 9.07 ± 0.66 b | 2.24 ± 0.08 cd | 18.03 ± 1.17 b | 0.14 ± 0.02 a | 12.2 ± 0.92 a | 0.26 ± 0.02 ab |
| T90 | 3.02 ± 0.24 e | 6.39 ± 0.35 c | 1.08 ± 0.05 e | 10.48 ± 0.40 d | 0.12 ± 0.01 a | 5.2 ± 0.37 e | 0.16 ± 0.01 cd |
| Sex effect | NS | *** | *** | ** | NS | *** | *** |
| Sand burial effect | *** | *** | *** | *** | * | *** | *** |
| Sex × sand burial effect | NS | NS | NS | * | NS | *** | *** |
| Variable | Sex | Sand Burial | Sex × Sand Burial | |||
|---|---|---|---|---|---|---|
| F | p | F | p | F | p | |
| Pn | 31.776 | *** | 281.891 | *** | 7.874 | *** |
| Gs | 79.091 | *** | 367.463 | *** | 12.994 | *** |
| E | 47.44 | *** | 302.007 | *** | 7.766 | *** |
| WUE | 182.406 | *** | 21.982 | *** | 6.423 | ** |
| Water potential | 8.589 | ** | 24.588 | *** | 3.727 | * |
| Chla | 1.728 | NS | 51.297 | *** | 5.696 | ** |
| Chlb | 0.422 | NS | 9.289 | *** | 1.239 | NS |
| Tchla+b | 0.542 | NS | 57.401 | *** | 6.26 | ** |
| Fv/Fm | 6.083 | * | 205 | *** | 4.123 | * |
| Φ | 1.231 | NS | 28.151 | *** | 2.187 | NS |
| qP | 1.367 | NS | 52.836 | *** | 8.135 | *** |
| qN | 45.297 | *** | 123.922 | *** | 48.920 | *** |
| leaf starch | 0.155 | NS | 32.656 | *** | 0.458 | NS |
| root starch | 175.023 | *** | 83.528 | *** | 12.244 | *** |
| stem starch | 24.998 | *** | 54.232 | *** | 7.488 | *** |
| leaf sucrose | 45.424 | *** | 510.238 | *** | 12.663 | *** |
| root sucrose | 56.552 | *** | 154.046 | *** | 34.931 | *** |
| stem sucrose | 8.828 | ** | 14.049 | *** | 2.49 | NS |
Disclaimer/Publisher’s Note: The statements, opinions and data contained in all publications are solely those of the individual author(s) and contributor(s) and not of MDPI and/or the editor(s). MDPI and/or the editor(s) disclaim responsibility for any injury to people or property resulting from any ideas, methods, instructions or products referred to in the content. |
© 2023 by the authors. Licensee MDPI, Basel, Switzerland. This article is an open access article distributed under the terms and conditions of the Creative Commons Attribution (CC BY) license (https://creativecommons.org/licenses/by/4.0/).
Share and Cite
Chen, J.; Lin, Y.; Fang, L.; Li, J.; Han, S.; Li, Y.; Li, Y. Sex-Related Ecophysiological Responses of Hippophae rhamnoide Saplings to Simulate Sand Burial Treatment in Desertification Areas. Forests 2023, 14, 101. https://doi.org/10.3390/f14010101
Chen J, Lin Y, Fang L, Li J, Han S, Li Y, Li Y. Sex-Related Ecophysiological Responses of Hippophae rhamnoide Saplings to Simulate Sand Burial Treatment in Desertification Areas. Forests. 2023; 14(1):101. https://doi.org/10.3390/f14010101
Chicago/Turabian StyleChen, Juan, Yuhu Lin, Ling Fang, Jinfang Li, Suju Han, Yudong Li, and Yan Li. 2023. "Sex-Related Ecophysiological Responses of Hippophae rhamnoide Saplings to Simulate Sand Burial Treatment in Desertification Areas" Forests 14, no. 1: 101. https://doi.org/10.3390/f14010101
APA StyleChen, J., Lin, Y., Fang, L., Li, J., Han, S., Li, Y., & Li, Y. (2023). Sex-Related Ecophysiological Responses of Hippophae rhamnoide Saplings to Simulate Sand Burial Treatment in Desertification Areas. Forests, 14(1), 101. https://doi.org/10.3390/f14010101

