You are currently viewing a new version of our website. To view the old version click .
Forests
  • Article
  • Open Access

4 September 2022

Can Indoor Residents Perceive Green and Blue Spaces in Communities as Posted Sentiments? A Verification in Nanchang

and
1
College of City Construction, Jiangxi Normal University, Nanchang 330022, China
2
College of Environment and Bioresources, Dalian Minzu University, Dalian 116600, China
*
Author to whom correspondence should be addressed.
This article belongs to the Special Issue Designing a Landscape for Better Mental Well-Being of Urban Forest Experiencers

Abstract

Ecological infrastructures (EIs), such as public and urban green and blue spaces (GBSs), have been well demonstrated to benefit visitors’ mental well-being. Experiences in community GBSs may also evoke positive emotions for their residents. In this study, 54 communities in Nanchang were chosen as objective sites, where landscape metrics of GBSs were remotely evaluated. A total of 2105 local residents’ facial expressions (with happy, sad, and neutral emotions) were obtained from Sina Weibo. Inhabitants showed more net positive emotions (happy minus sad) in cold seasons, and females smiled more frequently than males. Newly constructed communities with houses for sale had larger areas of normalized difference vegetation index (NDVI) and built-up index compared to communities with no houses for sale. Neither the availability of houses for sale nor housing price had any effect on facial expression scores. Poisson regression revealed significant coefficients (β) of positive emotions with largeness of green space (GS) and blue space (BS). Overall, BS had a stronger contribution (β, 0.6–1.1) to residents showing positive emotions relative to GS (β, −2.45–0.89), whose area ratio of NDVI increased the frequency of showing happiness. We recommend constructing GBSs with over 0.68 km2 of GS and over 2000 m2 of BS per community, where the area ratio of GS should be more than 70% of the total if the goal is to evoke more happiness in residents.

1. Introduction

Both urban and rural inhabitants experience stressful life events across a wide demographic spectrum [1,2]. The COVID-19 pandemic increased mental stress for a wide range of the population [3,4]. People are seeking outlets to relieve stress and to get rid of mental fatigue. It has been suggested that interacting with nature can benefit mental health by alleviating anxiety and tension [5,6]. Urban green and blue spaces (GBSs) are two major types of ecological infrastructures (EIs) that are accessible to communities [7,8]. Experiences in GBSs can promote human health and well-being by alleviating mental stress [9,10]. The benefits of GBSs in parks have attracted major public attention [11,12]. GBSs in urban communities also account for an important proportion of EIs in a city [13,14,15], but their benefits have received less attention.
A community is a place where its residents build interpersonal relationships with each other. It is also a place where people experience emotional attachment to their estate(s) [16]. Evidence shows that GBSs in a community improve mental health and promote attachment to the community [17,18]. Stress recovery theory (SRT) emphasizes experiencing nature to reduce mental stress and promote psychological recovery [5]. Surveys among local stakeholders, residents, and visitors revealed that community GBSs can cause people to reflect on their well-being [19,20]. However, there may be at least three queries that limit the effects of community GBSs, which would challenge these findings. They are commercial aspects of a community, sentiment assessment at reliable accuracy, and, assuming the first two queries, the mechanism by which landscape metrics drive emotional responses. All these queries need to be addressed in a context where people’s frequency of interacting with community GBSs may differ.
Housing price has an association with the socioeconomic status of residents in a community [7]. EIs in a community matter for housing price because green space has a close association with the value of a community’s real estate [21]. There are several attributes of green spaces within or surrounding communities that may be determinant for housing prices. For forest structure dimensions, connected or closely spaced trees with big crowns were found to be associated with a higher property value, but fragmented or spaced green landscape was associated with a lower property value [21,22]. A large area of green space does not necessarily mean people will frequently interact with it [12]; hence, greater accessibility to green space was also associated with a higher property value [7,22]. Visual contact with green space had an even greater association with housing price compared to accessibility to green space [22]. Greater accessibility to blue space was also associated with higher housing prices [23]. Therefore, it is reasonable to speculate that people living in upscale communities have better well-being because their communities have larger areas of GBSs. However, people living in upscale communities may also experience more positive emotions when they perceived safety with neighbors [24,25]. It is still unclear how the well-being of residents living in communities with GBSs rank by housing price.
In a systematic review, Jabbar et al. [26] put forth a summary of human well-being for those who have experienced urban green spaces. Its assessment can be summed up into six categories of well-being: physical, psychological, mental, social, subjective, and environmental perceptions. For modern residents, stress is a major factor in low quality of life. Stress imposes physical and psychological pressures, which degrade health and well-being [27]. The restoration elicited by an experience in green space had been mostly assessed by self-reported scores on questionnaires [20,28]. This methodology was queried for its accuracy regarding human errors caused by mental fatigue or making overly reserved judgments [29]. In addition, many questionnaires used for evaluating green space experiences were not validated at all [30]. Self-reported scores may not be fully reliable for academic usage [31]. There is a significant labor and time expenditures in recruiting participants and completing surveys [32]. An alternative methodology was suggested and is being employed to rate facial expressions as a gauge to assess emotions [33]. Facial expression score is a sensitive parameter that reflects emotions of GBS experiencers either at subjects’ unconsciousness [34,35,36] or with their awareness of being photographed [11,37,38,39,40]. Facial expressions can be easily obtained from social media and compiled to create a large reserve of data; hence, this method was frequently used to assess the emotions of a big group of people who were experiencing public green spaces at large geographical scales [37,41,42,43]. These together suggest a potential to use facial expressions as an assessment the emotions of community residents that have experienced GBSs. However, to our knowledge, there have been few relevant studies.
People debate about the mechanism of SRT. There has been an agreement on the aspects of public GBSs that can be perceived. Themes include biodiversity [41,44], microclimate [35,39,40,45], soil properties [46], municipal dimensions [37], and regional landscape metrics [11,38,42]. GBS landscapes consist of horizontal and vertical planes and are also present in private communities [47,48]. According to findings from GBSs in public parks, people experience more positive emotions in landscapes with larger areas and lower elevations [11,38,42]. This may also be the case for GBSs in communities, but relevant evidence is highly scarce. Community residents spend a large proportion of their daily time at home; hence, technically, people spend more time in closer proximity to GBSs in communities than in public parks. The largeness of GBSs can vary among communities according to housing prices. Further investigations on the facial expressions of people living in communities at different prices are needed to verify the discussed mechanisms.
This study was conducted in Nanchang, where 54 communities were targeted as study sites across a remarkable range of housing prices. Facial expressions were obtained from people, in communities ranked at varied price categories, who took selfies at home and posted them on social media. Landscape metrics were remotely evaluated to detect their differences among communities at different prices and to evaluate the mechanism that causes people to show emotions in relation to the size of GBSs. We hypothesized that: (i) communities at higher housing prices are constructed with larger areas of GBSs, (ii) which resulted in residents smiling more. We also assumed that (iii) the largeness of GBSs was the driver of community residents showing positive emotions shown on their faces.

2. Materials and Methods

2.1. Study Area and Basic Condition

This study was conducted in Nanchang (28°10′–29°11′ N, 115°27′–116°35′ E). Nanchang is the capital of Jiangxi, which contains six districts and three prefecture-level counties and accounts for an area of 195 km2. At the end of 2021, the resident population of Nanchang was 6.44 million and the gross domestic product was RMB 0.67 billion. Due to its sub-tropical monsoon climate, the average annual temperature is 17.35 °C, and the daily temperature ranges between 40.9 °C and −15.2 °C. Annual rainfall averaged 1650 mm over 150 d. The average RH was 78.5% and annual sunlight duration ranged between 1723 h and 1820 h.

2.2. Commuinity and Property Value

A total of 54 communities were chosen in this study wherein 5 had houses for sale and 49 had no houses for sale (Table 1). Housing price was averaged from numbers published by online agencies, such as Shell Houses [49], Lianjia [50], Fang [51], and 58 City House [52]. Average housing prices ranged from RMB 6818 m−2 to 30,153 m−2, which were categorized by price into high (>20,000 CNY m−2, n = 8), medium (10,000–20,000 CNY m−2; n = 39), and low (<10,000 CNY m−2; n = 7). The spatial distributions of these communities are shown in Figure 1.
Table 1. Name and location of communities in Nanchang and the number of photos of inhabitants who took selfies and uploaded them to Sina Weibo in 2021.
Figure 1. Location of Nanchang city in China with spatial distributions of landscape types and communities. Number of communities refers to order in Table 1. Abbreviations: NDVI, normalized difference vegetation index; MNDWI, modified normalized difference water index; NDBI, normalized difference built-up index.

2.3. Landscape Metrics

The landscape metrics are green space, blue space, and the built-up space for communities in ArcGIS version 10.2 (Eris China, Shanghai, China). All landscape metrics were remotely evaluated using 30 m × 30 m resolution Landsat 8 OLI satellite images. The boundary of every community was outlined by people using geographical references from Baidu Map [53]. The area of every community was vectorized to a new shape file where the landscape metrics were extracted. Green space area was characterized as the largeness of normalized difference vegetation index (NDVI) according to an equation using bands in Landsat 8 imageries:
N D V I = N I R R e d N I R + R e d
where NIR and Red are band 5 and band 4, respectively. Modified normalized difference water index (MNDWI) was calculated as [54]:
M N D W I = G r e e n S W I 1 G r e e n + S W I 1
where Green is band 3 and SWI1, an abbreviation for short-wave infrared 1, is band 6 (1.57–1.65 µm) [55]. Normalized difference built-up index (NDBI) was calculated as [56]:
N D B I = R e d G r e e n R e d + G r e e n
The largeness of EIs was estimated as the areas of NDVI, MNDWI, and NDBI by the area of the community. Regarding potential errors in the outline of the grid, the total area of the landscape metrics was calculated as the sum of the areas of NDVI, MNDWI, and NDBI, and not as the area of the outlined grid. In addition to the landscape metrics’ areas, their ratios to the total area of every community were also calculated in percentage.

2.4. Facial Photos of Community Residents

The use of facial expression data has been applied in an ethic statement and approved by the ethic board committee of College of Environment and Bioresources, Dalian Minzu University (Reference code: ES-ERC-2021-004). Sina Weibo is recognized as “Chinese Twitter” because it has a similar social interaction between or among its users as Twitter. Users can share photos showing their faces as soon as they feel emotions at a special place. This results in a pair of data: geographical information from a check-in location and the emotion assessed from users’ faces. This enables analysis about the emotional responses of people, from their facial expressions, in relation to geographical factors such as location [33], municipal dimensions [37], microclimate [39,40,43], landscape metrics [11,38,42], and forest plant biodiversity [41]. Most users of Sina Weibo come from mainland China; hence this population’s facial expressions were targeted as the source of data to analyze the benefits of public EIs [31,34,35,36,57].
In this study, photos of people’s faces taken in each community were collected from Sina Weibo. Most of the photos were selfies and very few of them were taken by others. All photos had to be a portrait with locations tagged at the communities. We admit that there is some probability that a person took a photo of themself, which captured their emotions at that moment, and the person then posted the photo to Sina Weibo at a later time or a different place. The probability of this behavior may be low, so we assume it would not impact our results. All photos included only one person per shot. We processed photos with previously suggested treatments to increase the success and accuracy of recognizing and analyzing facial expressions [11,35,39,41]:
(1)
All facial expressions must be fully visible and without any covers over the face.
(2)
Digital decorations of the face can only be accepted if they do not change the recognition of the original face.
(3)
Photos need to be rotated unless the axis of the nose was perpendicular to the horizontal line of the screen.
Photos were sent for analysis of expressions and rating of emotions using FireFACE software in its 1.0 version [38,40,46]. This version of the software can recognize emotional expressions on faces with East Asian characteristics to an acceptable extent that passes facial validation tests [31,34]. The software was trained to rate happy, sad, and neutral expressions as gauges of positive, negative, and indifferent emotions, respectively, in percentages. According to face coding theory [58], people who study facial emotions agree that a face is a complex of multiple expressions which reflect contrastingly positive (happy) and negative emotions (e.g., sad, contempt, angry). The software was trained to recognize the sum of frequencies of whether a face is about to smile (happy) or not (unhappy) and rated the total frequency of a face (100%) into proportions of happy, sad, and indifferent emotions. Given that a facial expression consists of multiple emotions [59], we assess net positive emotion (NPE) as an index by the equation [33]:
N P E = H a p p y S a d
where Happy and Sad are scores of happy and sad emotions rated by the instrument.

2.5. Data Analysis and Statistics

This study analyzed data using SPSS 26.0 (IMB SPSS Statistics, Chicago, IL, USA). All our data passed the test for normal distribution and their variances showed no heterogeneous manners. First, data of people’s facial expressions were collected in every community in Nanchang across the year 2021. Every record of facial data had to be validated according to the criterion that all emotions (happy, sad, and neutral) can be recognized. Any data with three zeros were categorized as invalid and were not used in this study. Analysis of variance (ANOVA) was used to analyze each person’s facial expression in response to gender (male vs. female) and season (spring, summer, autumn, winter) by a mixed model [34,35]. Thereafter, per-person facial data were bulked by being averaged into groups in every community. ANOVA was also used to compare results about facial expression scores and landscape metrics among different communities that varied by type (sold out vs. for-sale) and price category (low, medium, high) using two-way ANOVA models. When significant effects were indicated, results were averaged and compared to either main effects (type or price category) or combined effects (type × price category). Means were compared using the Duncan multiple range test to cope with the issue of means from grouped observations having uneven numbers of replicates [42,43,46]. To detect the mechanism driving facial expression changes in community GBSs, the Poisson regression model was used to detect the most likely predictions of facial expression scores against parameters of each level at every landscape metric [33,40,43]. When significant parameters (coefficients) were estimated, they were further detected for their correlation with landscape metric size and area ratios using polynomial quadratic or linear models to characterize the critical values [40,43]. Significance was determined by confidence of probability over 95% for both ANOVA (p < 0.05) and Poisson regression (ChiSq < 0.05).

3. Results

3.1. Seasonal Variation of Facial Expression Scores of Community Dwellers in Contrasting Genders

The interaction between season and gender did not have significant effects on happy and sad scores and NPE (Table 2). Both season and gender had a significant main effect on the three types of facial expression scores and their interaction had an effect on neutral score. Happy scores changed to a significant level across different seasons (Figure 2A) and was higher in autumn and winter (~41%) than in spring and summer (34%–35%). Females had higher happy scores (~40%) than males (~37%) (Figure 2B). Sad scores did not show any significant seasonal variation in a range between 10% and 12% (Figure 2C). In contrast, females had lower sad scores (~10%) relative to males (12%) (Figure 2D). Like happy score, NPE showed a similar trend across seasons and was higher in autumn and winter (~30%) than in spring and summer (~25%) (Figure 2E). Again, females had a higher NPE (~30%) compared to males (~20%) (Figure 2F). Neutral score was higher for males in spring (~70%) than in any other combination of season and gender (Figure 2G).
Table 2. F values from mixed-model analysis of variance (ANOVA) of seasonal variation (Season), gender, and their interaction (Season × Gender) on facial expression scores of community inhabitants in Nanchang.
Figure 2. Dynamic changes of facial expression scores for happy (A,B), sad emotions (C,D), net positive emotion index (NPE; E,F), and neutral emotion (G) of community residents of differing genders (female, F; male, M) and seasonal dynamic of neutral scores for both genders. Error bars mark standard deviations; different letters label significant difference identified by Duncan multiple range test at 0.05 level.

3.2. Effects of Community Attributes on Scores of Facial Expressions

According to Table 3, neither property type nor price category had any significant effects on facial expression scores (Table 3). Happy score ranged between 18.44% and 69.04%. People in communities with houses for sale had a median happy score of ~40% and a mean happy score of ~45%, while those in communities with no houses for sale had a median happy score of ~34% and a mean happy score of ~38% (Figure 3A). Median happy score was about 30%, 35%, and 40% and mean happy score was about 31%, 40%, and 41% for communities at low, medium, and high prices, respectively (Figure 3B). People in communities with houses for sale and communities with no houses for sale had a median sad score of ~8% and ~11%, respectively (Figure 3C). Means of sad scores were ~9% and ~10% for communities with houses for sale and communities with no houses for sale, respectively. Median sad score was 10.3%, 11%, and 10.9% in communities at low, medium, and high prices, respectively (Figure 3D). Means of sad scores were 11.4%, 10%, and 10.1% for categories of communities at low, medium, and high prices, respectively. Regarding neutral score, people in communities with houses for sale had a median and mean of ~49%, while those in communities with no houses for sale had a median of ~55% and a mean of ~50% (Figure 3E). Median neutral score was 56%, 51%, and 49% in communities at low, medium, and high prices, respectively (Figure 3F). Means of neutral scores were 57%, 50%, and 50% at low, medium, and high prices, respectively. Median NPE was 39% and 22% for communities with houses for sale and communities with no houses for sale, respectively, while mean NPE was 31% and 29% for those respective communities (Figure 3G). Median NPE was 18%, 21%, and 27% for low-, medium-, and high-price communities, respectively, while mean NPE was 20%, 30%, and 31% (Figure 3H).
Table 3. F values from ANOVA of community-property effects of product-type (Type: sold vs. on-sale), price category (Category: low, medium, and high), and their interaction (Type × Category) on facial expressions of inhabitants (happy, sad, neutral etc.) and estate landscape metrics.
Figure 3. Whisker-box plots happy (A,B), sad (C,D), and neutral emotional scores (E,F) and NPE (G,H). A box frames the range of data in 25% (upper) and 75% (lower) quantiles attached to bars marking 5% (upper) and 95% (lower) quantiles. Within-box dash line stands for the level of median level and dashed line for the mean.

3.3. Effects of Community Attributes on Landscape Metrics

According to Table 3, the type of community had a significant main effect on the largeness of NDVI, NDBI, and total area (Area), but the price category had no effect on these parameters. The largeness of NDVI was 0.30 ± 0.30 km2 (mean ± standard deviation) in communities with houses for sale and 0.12 ± 0.14 km2 in communities with no houses for sale (Figure 4A). NDVI largeness ranged from 0.08 ± 0.05 km2 to 0.15 ± 0.12 km2 in descending order of community prices. MNDWI largeness ranged between 1650 ± 617 m2 and 5400 ± 1158 m2 with no responses to community type or price category (Figure 4B). NDBI largeness was 0.02 ± 0.02 km2 and 0.09 ± 0.14 km2 for communities with no houses for sale and communities with houses for sale, respectively (Figure 4C). Communities in the high price category have nearly no NDBI largeness and those in medium- and low-price categories have NDBI largeness of ~0.03 km2. Communities in the medium price category with houses for sale have higher NDBI largeness than communities with no houses for sale at any price category (Figure 4C). Again, the medium-price communities with houses for sale also have higher Area largeness than communities with no houses for sale at all three price categories (Figure 4D).
Figure 4. Landscape metrics variation in communities of largeness for NDVI (A), MNDWI (B), and NDBI (C) and the total area of green and blue spaces and built-up lands (Area) (D). Columns are means of areas and bars mark standard deviations. Different letters identify significant difference according to Duncan multiple range test at 0.05 level. Communities are classified to types of all houses sold out (Sold) and some on sale (On-sale) at price categories of low, medium, and high levels.
None of the area ratios of landscape metrics had a response to community characteristic factors (Table 3). Ranges of area ratios were 83.91%–94.17%, 0.16%–0.74%, and 5.68%–18.09% for NDVI, MNDWI, and NDBI, respectively.

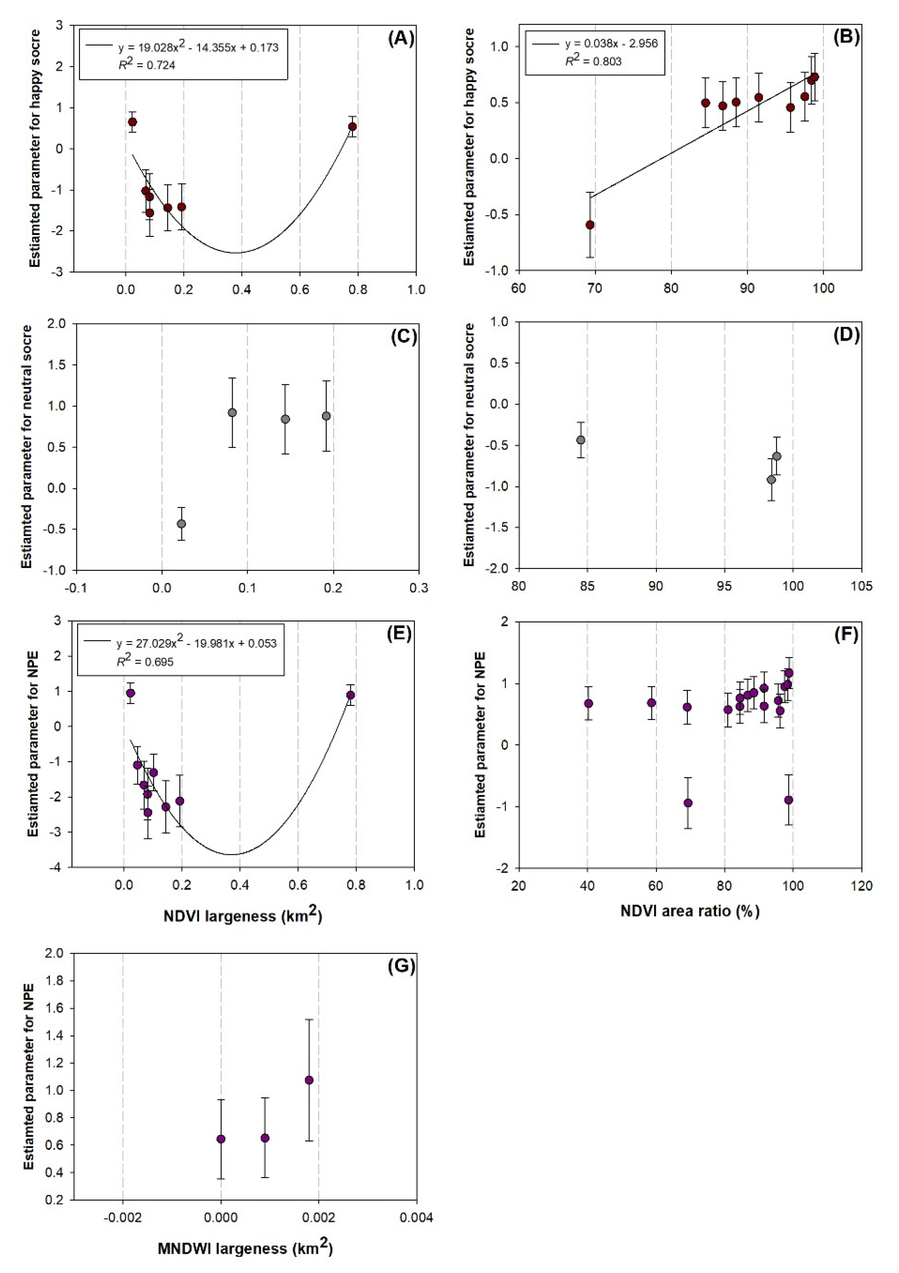
3.4. Regression of Facial Expression Scores against Landscape Metrics

Residents’ happy scores can be regressed against the observed levels of NDVI largeness (0.02 km2 to 0.78 km2), while the coefficient of NDBI largeness was estimated to be 1.26 at NDBI largeness of 0.0018 km2 (Figure 5A). The relationship between the observed levels of NDVI largeness and the estimated parameter for the happy score can be described by a polynomial quadratic equation with a U-shape curve. It was indicated that the happy score coefficient decreased as NDVI largeness increased from 0–0.38 km2, and the lowest happy score coefficient was −2.53 (Figure 5A). The relationship between the happy score coefficient and the area ratio of NDVI can be described as linear with the slope increasing from 69.33% to 98.81% (Figure 5B).
Figure 5. Poisson regression of facial expression scores for happy (A,B) and neutral (C,D) emotions and NPE (E,F) against NDVI largeness (A,C,E) and NDVI area ratio (B,D,F) or for NPE against MNDWI largeness (G). Dots are parameters (coefficients) estimated by maximum likelihood in Poisson models with error bars marking standard deviations against observed landscape metric largeness. Polynomial quadratic or linear equations are given based on significant correlation (p < 0.05) with determinative coefficient (R2) disclosed.
The sad score failed to be regressed against any landscape metrics, and no results are shown. Neutral score can be regressed against both largeness (Figure 5C) and area ratio (Figure 5D) of NDVI. The neutral score coefficient was −0.43 when NDVI largeness was around 0.02 km2, and it increased up to ~0.8 as NDVI largeness increased up to 0.08 km2. The neutral score coefficient ranged from −0.92 to 0.43 as the area ratio of NDVI ranged from 84.51% to 98.81% (Figure 5D).
NPE can also be regressed against NDVI largeness with a quadratic equation (Figure 5E). It was indicated that the NPE coefficient was lowest (−3.64) when the level of observed NDVI largeness was 0.37 km2. Meanwhile, the NPE coefficient ranged from 0.65 to 1.08 as MNDWI largeness ranged from 0 to 1800 m2 (Figure 5G) with the NPE coefficient of 1.85 regressed against the observed MNDWI largeness of 1800 m2. NPE can also be regressed against the area ratio of NDVI largeness, but no further relationship can be detected (Figure 5F).

4. Discussion

4.1. Landscpe Metrics in Communities of Different Attributes

We cannot accept our first hypothesis because neither the green space area nor the blue space area varied significantly by housing price. Our results disagree with previous findings that support the argument that GBS largeness is positively associated with property value and price [21,23]. There are several explanations for this disagreement, and we would like to disclose the first three that we can surmise. First, evidence that suggests an association between GBS and housing price relies on the precondition that the large landscape had to be connected rather than fragmented [21,22]. Therefore, the reason for the association between GBSs and housing prices may be the GBS’s landscape, rather than its area size. For example, Kim et al. [21] reported the positive association between green space area and housing price in Austin, TX, USA, but the objective was mostly single-family houses where having a large area of green space is difficult unless the green space was connected through multiple properties. Wu et al. [22] also reported an association between green space area and property value in China, but the green space was estimated from the respondents’ perceptions of the space instead of being remotely measured. Second, GBS area tends to associate with housing prices in super large cities [7,22] where the resident population is highly dense, especially in communities that would compete with EIs for public land. The city in this study, Nanchang, only had a resident population of 6.44 million, which can be characterized as a mega-scale city [60]. It was unlikely for communities in Nanchang to compete with EIs for land. Finally, sufficient accessibility to and visual contact with GBSs may be the key reason for the association between the size of GBSs and housing prices [7,22,23]. Most of our communities were constructed with evenly distributed GBSs scattered around buildings; hence residents should also have an even chance to access and make visual contact with nature in their communities.
Among the three categories of housing prices, only the medium price category (10,000–20,000 CNY m−2) had a significant difference in NDBI largeness between communities with houses for sale and communities with no houses for sale. In our study, communities with no houses for sale were built earlier than those with houses for sale. Newly constructed communities were mostly located in the suburbs and have a denser residential population and larger area (Figure 1; Table 1). The residents in this type of community did have even access to experiencing GBSs, but most of the communities’ houses were all sold out. Older communities were mostly located in early developed regions of the city center, e.g., around areas of downtown beside the river where the space to introduce more trees or wetlands was limited. Therefore, we can conclude that the null difference in GBSs among communities in the region was due to a limited space that prevented the construction of EIs for old communities and buildings for new communities.

4.2. Facial Expressions of Residents in Communities of Different Attributes

We also cannot accept our second hypothesis. None of our facial expression scores showed any responses to the type of community. The second hypothesis was put forth based on the first hypothesis and SRT theory. As we discussed above, the null difference in GBSs among communities led to another null difference in facial expressions. Furthermore, the failure to find significant differences in facial expression scores can also be explained by three possibilities. First, it has been reported that facial expression scores reflect people’s desire to rent houses, not to buy them [61]. Technically, we cannot distinguish between the proportions of people who are tenants or house-owners. The websites, from which housing prices were collected, indicated a much lower number of records for renting than for buying. People who already bought houses may not be sensitive to changes in housing prices and thus, their facial expressions may not be affected by housing prices. Second, positive emotions were reported to be the result of people feeling safe inside their neighborhood [24,25]. These results were mainly obtained from streets where crimes were frequent. Buonanno et al. [62] considered that housing price is associated with residents’ satisfaction only when the threat of crime can be perceived. Most of our communities had high security, so it was rare for residents in communities of any price to think about crime. Finally, facial expressions may mean many things when there are no stimulations that strongly influence the respondent’s perceptions. In the open spaces on public lands, unobvious geographical stimulations appear to trigger emotional responses at only large geographical scales, such as national [37,41] or provincial [11,33,39,42]. Although we studied 54 communities, they were all located in a single city. Facial expression patterns may be more uniform in people living in the same city than in people living in different cities. We suggest future works to test the facial expressions of residents in communities of China on a larger geographical scale, which may result in significant responses among community attributes.
Our data on facial expression scores showed that people tend to show more positive emotions in colder seasons (autumn and winter), but there was no trend in showing sadness across seasons. Changes in the facial expressions of GBS experiencers by season were reported to be driven by microclimates [43]. On this basis, springtime in Nanchang can be characterized as a mild microclimate ruled by the sub-tropical monsoon climate. People start to think about work during this season, as Chinese New Year passes and a new year commences. Thinking about work resulted in a low level of positive emotions in spring. Summer is hot with extremely high temperatures in Nanchang, which drove people to show more negative emotions on their faces. Autumn is mild again, so people felt better about the temperature. Winter is the season when people like to smile according to traditional Chinese manners. The dynamic change in happy score and NPE instead of sadness was also reported in Wei et al. [36]. Our results also revealed a difference in gender in which females smiled more than males, which had also been reported in other works [33,39,42]. Since we employed Sina Weibo as the source of our photos, females tend to smile more frequently than males. Overall, it was unlikely for demographic factors to impact results about the perceptions of community GBSs.

4.3. Facial Expressions Exposed by Perceptions of Landscape Metrics

Although we did not find how experiencing GBSs directly impacts the facial expressions of community residents, the potential effects of perceiving NDVI largeness were revealed in the regression results. Therefore, we can accept our third hypothesis because the results showed a positive relationship between NDVI area ratio and the estimated coefficient of happy score. The results also showed a NDVI largeness over 0.48 km2 while MNDWI generated positive contributions to the NPE coefficient. Studies on public lands also revealed that people show more positive emotions when they perceive larger areas of green [11,38] and blue spaces [42]. Our study’s subjects were in a community setting, which has more complicated facilities than public GBSs. Therefore, although residents can perceive their experiences with GBSs in their communities, these perceptions were not strong enough to drive their facial expressions. It was also reported that microclimates may not always cause people to show emotions either in urban forests [40] or beside wetland waters [43]. A sole effect of the area ratio of NDVI was to evoke happy faces, which may be because people were more likely to show satisfaction when interacting with greenery in sunlight [35]. This was also supported by the findings of Wu et al. [22], who argued that it is more important for people to see greenery for feeling satisfied in their communities. Higher proportions of green light can also promote the perception of satisfaction by promoting physical well-being [45].
By comparing coefficients for regressed NPE, we found that the size of blue space had a greater contribution (0.65–1.85) than the size of green space (−2.45–0.89). Therefore, perception of the size of blue space increased the frequency in which community residents showed positive emotions, while the perception of the size of green space decreased this frequency unless the area of green space was larger than 0.37 km2. However, communities with an EI landscape that has green space covering rate over 70% will still impair the will to expose positive emotions. Again, we suggest future works to study more communities in a larger area, which will identify the joint effects of GBSs in this study.

4.4. Policy Implications

In this study, accumulated knowledge about the perceptions of visitors in public GBSs was tested in community GBSs. Our findings about landscape metrics and their associations with facial expressions provide a theoretical guide for policy decisions in real estate. The size of GBSs in these communities can be referred to by urban planners to increase the possibility of evoking happiness in residents. Although it is common to believe that living in communities at higher housing prices evokes more happiness, the findings in this study would differ because there was very little difference between communities at different housing prices. Our study can be taken as a novel trial with important conclusions, but this study can be extended to subtropical cities in other regions. Our findings may be agreed to or queried in other countries with more types of houses, so the suggestions for local policy decisions will be different accordingly. Anyway, no matter the conclusion of future studies, the module established in this study will be extended by more scholars.

4.5. Limits of the Current Study

There are limits to this study. First, the use of photos of facial expressions as a source of data suffers from uncertainties. People may post selfies that show a projection of what they think they should show and share with others rather than what they truly feel. Second, subjects in this study are limited to residents living in objective communities. The population of people posting their photos should be extended to a larger group that includes more types of people. Finally, we did not find a direct relationship and our findings were mainly derived from potential effects. As a unique study on community GBSs, our results need more relevant studies to demonstrate the validity of the findings in this study.

5. Conclusions

In this study, Nanchang was taken as a pilot city to study the facial expressions of residents in communities with different GBSs. Most findings about the emotions of people who experience GBSs in public parks cannot be verified in our study. Attributes of communities (houses for sale vs. no houses for sale and housing price) did not affect either facial expressions or landscape metrics. Only built-up area was higher in communities with houses for sale than in communities with no houses for sale at the price range of 10,000–20,000 CNY m−2. The size the of blue space had a stronger contribution to residents showing positive emotions than the size of the green space. We recommend green space be established in an area over 0.38 km2 per community with a ratio of green space area to total area over 70%. As our study was conducted in the subtropical city Nanchang, our conclusions are also recommended for reference in other studies of subtropical cities.

Author Contributions

Conceptualization, C.C. and P.G.; methodology, P.G.; software, P.G.; validation, C.C. and P.G.; formal analysis, C.C.; investigation, C.C.; resources, P.G.; data curation, C.C.; writing—original draft preparation, C.C.; writing—review and editing, P.G.; visualization, C.C.; supervision, P.G.; project administration, P.G.; funding acquisition, P.G. All authors have read and agreed to the published version of the manuscript.

Funding

This study was funded by the National Natural Science Foundation of China (grant number: 31771695) and the Fundamental Research Funds for the Central Universities (Program for Ecology Research) (grant number: 0901-110109).

Institutional Review Board Statement

The study was conducted in accordance with the Declaration of Helsinki, and approved by the Ethic Board Committee of College of Environment and Bioresources of Dalian Minzu University (protocol code ES-ERC-2021-004 and date of 18 March 2021).

Data Availability Statement

Not applicable.

Acknowledgments

Authors acknowledge reviewers and editors contributing to the publication of this manuscript.

Conflicts of Interest

The authors declare no conflict of interest.

References

  1. Jiang, Y.; Zhang, J.; Ming, H.; Huang, S.L.; Lin, D.H. Stressful life events and well-being among rural-to-urban migrant adolescents: The moderating role of the stress mindset and differences between genders. J. Adolesc. 2019, 74, 24–32. [Google Scholar] [CrossRef] [PubMed]
  2. Gao, Y.M.; Wang, H.; Liu, X.; Xiong, Y.K.; Wei, M. Associations between stressful life events, non-suicidal self-injury, and depressive symptoms among Chinese rural-to-urban children: A three-wave longitudinal study. Stress Health 2020, 36, 522–532. [Google Scholar] [CrossRef] [PubMed]
  3. Bhuiyan, N.; Puzia, M.; Stecher, C.; Huberty, J. Associations Between Rural or Urban Status, Health Outcomes and Behaviors, and COVID-19 Perceptions Among Meditation App Users: Longitudinal Survey Study. Jmir Mhealth Uhealth 2021, 9, e26037. [Google Scholar] [CrossRef] [PubMed]
  4. Kim, A.W. Early life adversity during the post-apartheid transition and COVID-19 stress independently predict adult post-traumatic stress disorder risk in urban South Africa. Am. J. Biol. Anthropol. 2022, 177, 97. [Google Scholar]
  5. Ulrich, R.S.; Simons, R.F.; Losito, B.D.; Fiorito, E.; Miles, M.A.; Zelson, M. Stress recovery during exposure to natural and urban environments. J. Environ. Psychol. 1991, 11, 201–230. [Google Scholar] [CrossRef]
  6. Kaplan, S. The restorative benefits of nature: Toward an integrative framework. J. Environ. Psychol. 1995, 15, 169–182. [Google Scholar] [CrossRef]
  7. Chen, Y.; Yue, W.Z.; La Rosa, D. Which communities have better accessibility to green space? An investigation into environmental inequality using big data. Landsc. Urban Plan. 2020, 204, 103919. [Google Scholar] [CrossRef]
  8. Abdulla, S.U.; Bindu, C.A. Accessibility and Interactions with Urban Blue Spaces: A Case of Conolly Canal. In Proceedings of the 5th Biennial International Conference on Emerging Trends in Engineering, Science and Technology (ICETEST), Thrissur, India, 18–20 January 2018; pp. 973–978. [Google Scholar]
  9. Reyes-Riveros, R.; Altamirano, A.; De la Barrera, F.; Rozas-Vasquez, D.; Vieli, L.; Meli, P. Linking public urban green spaces and human well-being: A systematic review. Urban For. Urban Green. 2021, 61, 127105. [Google Scholar] [CrossRef]
  10. Sutton-Grier, A.E.; Sandifer, P.A. Conservation of Wetlands and Other Coastal Ecosystems: A Commentary on their Value to Protect Biodiversity, Reduce Disaster Impacts, and Promote Human Health and Well-Being. Wetlands 2019, 39, 1295–1302. [Google Scholar] [CrossRef]
  11. Zhang, J.; Yang, Z.; Chen, Z.; Guo, M.; Guo, P. Optimizing Urban Forest Landscape for Better Perceptions of Positive Emotions. Forests 2021, 12, 1691. [Google Scholar] [CrossRef]
  12. Huang, S.; Zhu, J.; Zhai, K.; Wang, Y.; Wei, H.; Xu, Z.; Gu, X. Do Emotional Perceptions of Visible Greeneries Rely on the Largeness of Green Space? A Verification in Nanchang, China. Forests 2022, 13, 1192. [Google Scholar] [CrossRef]
  13. Li, Z.M.; Chen, X.Y.; Shen, Z.; Fan, Z.X. Evaluating Neighborhood Green-Space Quality Using a Building Blue-Green Index (BBGI) in Nanjing, China. Land 2022, 11, 445. [Google Scholar] [CrossRef]
  14. Hyseni, C.; Heino, J.; Bini, L.M.; Bjelke, U.; Johansson, F. The importance of blue and green landscape connectivity for biodiversity in urban ponds. Basic Appl. Ecol. 2021, 57, 129–145. [Google Scholar] [CrossRef]
  15. Ha, J.; Kim, H.J.; With, K.A. Urban green space alone is not enough: A landscape analysis linking the spatial distribution of urban green space to mental health in the city of Chicago. Landsc. Urban Plan. 2022, 218, 104309. [Google Scholar] [CrossRef]
  16. McCool, S.F.; Martin, S.R. Community Attachment and Attitudes Toward Tourism Development. J. Travel Res. 1994, 32, 29–34. [Google Scholar] [CrossRef]
  17. Liu, Y.Q.; Wang, R.Y.; Lu, Y.; Li, Z.G.; Chen, H.S.; Cao, M.Q.; Zhang, Y.R.; Song, Y.M. Natural outdoor environment, neighbourhood social cohesion and mental health: Using multilevel structural equation modelling, streetscape and remote-sensing metrics. Urban For. Urban Green. 2020, 48, 126576. [Google Scholar] [CrossRef]
  18. Zhu, Y.M.; Ding, J.X.; Zhu, Q.; Cheng, Y.; Ma, Q.C.; Ji, X.Z. The Impact of Green Open Space on Community Attachment-A Case Study of Three Communities in Beijing. Sustainability 2017, 9, 560. [Google Scholar] [CrossRef]
  19. Van den Bogerd, N.; Elliott, L.R.; White, M.P.; Mishra, H.S.; Bell, S.; Porter, M.; Sydenham, Z.; Garrett, J.K.; Fleming, L.E. Urban blue space renovation and local resident and visitor well-being: A case study from Plymouth, UK. Landsc. Urban Plan. 2021, 215, 104232. [Google Scholar] [CrossRef]
  20. Egerer, M.H.; Philpott, S.M.; Bichier, P.; Jha, S.; Liere, H.; Lin, B.B. Gardener Well-Being along Social and Biophysical Landscape Gradients. Sustainability 2018, 10, 96. [Google Scholar] [CrossRef]
  21. Kim, J.H.; Li, W.; Newman, G.; Kil, S.H.; Park, S.Y. The influence of urban landscape spatial patterns on single-family housing prices. Environ. Plan. B Urban Anal. City Sci. 2018, 45, 26–43. [Google Scholar] [CrossRef]
  22. Wu, C.; Du, Y.H.; Li, S.; Liu, P.Y.; Ye, X.Y. Does visual contact with green space impact housing prices? An integrated approach of machine learning and hedonic modeling based on the perception of green space. Land Use Policy 2022, 115, 106048. [Google Scholar] [CrossRef]
  23. Osland, L.; Osth, J.; Nordvik, V. House price valuation of environmental amenities: An application of GIS-derived data. Reg. Sci. Policy Pract. 2021; early access. [Google Scholar] [CrossRef]
  24. Paris, D.E.; Kangari, R. Multifamily affordable housing: Residential satisfaction. J. Perform. Constr. Facil. 2005, 19, 138–145. [Google Scholar] [CrossRef]
  25. Graafland, J. When Does Economic Freedom Promote Well Being? On the Moderating Role of Long-Term Orientation. Soc. Indic. Res. 2020, 149, 127–153. [Google Scholar] [CrossRef]
  26. Jabbar, M.; Yusoff, M.M.; Shafie, A. Assessing the role of urban green spaces for human well-being: A systematic review. Geojournal, 2021; early access. [Google Scholar] [CrossRef]
  27. Testa, M.A.; Simonson, D.C. Assessment of Quality-of-Life Outcomes. N. Engl. J. Med. 1996, 334, 835–840. [Google Scholar] [CrossRef] [PubMed]
  28. White, M.P.; Alcock, I.; Wheeler, B.W.; Depledge, M.H. Would You Be Happier Living in a Greener Urban Area? A Fixed-Effects Analysis of Panel Data. Psychol. Sci. 2013, 24, 920–928. [Google Scholar] [CrossRef] [PubMed]
  29. Kaplan, R.; Kaplan, S. The Experience of Nature: A Psychological Perspective; Cambridge University Press: New York, NY, USA, 1989; p. xii340. [Google Scholar]
  30. Aerts, R.; Honnay, O.; Van Nieuwenhuyse, A. Biodiversity and human health: Mechanisms and evidence of the positive health effects of diversity in nature and green spaces. Br. Med. Bull. 2018, 127, 5–22. [Google Scholar] [CrossRef]
  31. Guan, H.; Wei, H.; Hauer, R.J.; Liu, P. Facial expressions of Asian people exposed to constructed urban forests: Accuracy validation and variation assessment. PLoS ONE 2021, 16, e0253141. [Google Scholar] [CrossRef]
  32. Pihel, J.; Sang, A.O.; Hagerhall, C.; Nystrom, M. Expert and novice group differences in eye movements when assessing biodiversity of harvested forests. For. Policy Econ. 2015, 56, 20–26. [Google Scholar] [CrossRef]
  33. Wei, H.; Hauer, R.J.; Chen, X.; He, X. Facial expressions of visitors in forests along the urbanization gradient: What can we learn from selfies on social networking services? Forests 2019, 10, 14. [Google Scholar] [CrossRef] [Green Version]
  34. Wei, H.; Hauer, R.J.; He, X. A forest experience does not always evoke positive emotion: A pilot study on unconscious facial expressions using the face reading technology. For. Policy Econ. 2021, 123, 102365. [Google Scholar] [CrossRef]
  35. Wei, H.; Ma, B.; Hauer, R.J.; Liu, C.; Chen, X.; He, X. Relationship between environmental factors and facial expressions of visitors during the urban forest experience. Urban For. Urban Green. 2020, 53, 126699. [Google Scholar] [CrossRef]
  36. Wei, H.; Hauer, R.J.; Guo, S. Daytime dynamic of spontaneous expressions of pedestrians in an urban forest park. Urban For. Urban Green. 2021, 65, 127326. [Google Scholar] [CrossRef]
  37. Wei, H.; Hauer, R.J.; Zhai, X. The relationship between the facial expression of people in university campus and host-city variables. Appl. Sci. 2020, 10, 1474. [Google Scholar] [CrossRef]
  38. Liu, P.; Liu, M.; Xia, T.; Wang, Y.; Guo, P. The Relationship between Landscape Metrics and Facial Expressions in 18 Urban Forest Parks of Northern China. Forests 2021, 12, 1619. [Google Scholar] [CrossRef]
  39. Liu, P.; Liu, M.; Xia, T.; Wang, Y.; Wei, H. Can Urban Forest Settings Evoke Positive Emotion? Evidence on Facial Expressions and Detection of Driving Factors. Sustainability 2021, 13, 8687. [Google Scholar] [CrossRef]
  40. Mao, B.; Liang, F.; Li, Z.; Zheng, W. Microclimates Potentially Shape Spatial Distribution of Facial Expressions for Urban Forest Visitors: A Regional Study of 30 Parks in North China. Sustainability 2022, 14, 1648. [Google Scholar] [CrossRef]
  41. Wei, H.; Zhang, J.; Xu, Z.; Hui, T.; Guo, P.; Sun, Y. The association between plant diversity and perceived emotions for visitors in urban forests: A pilot study across 49 parks in China. Urban For. Urban Green. 2022, 73, 127613. [Google Scholar] [CrossRef]
  42. Li, H.; Peng, J.; Jiao, Y.; Ai, S. Experiencing Urban Green and Blue Spaces in Urban Wetlands as a Nature-Based Solution to Promote Positive Emotions. Forests 2022, 13, 473. [Google Scholar] [CrossRef]
  43. Li, H.; Wang, X.; Wei, H.; Xia, T.; Liu, M.; Ai, S. Geographical Distribution and Driving Meteorological Forces of Facial Expressions of Visitors in Urban Wetland Parks in Eastern China. Front. Earth Sci. 2022, 10, 781204. [Google Scholar] [CrossRef]
  44. White, M.P.; Weeks, A.; Hooper, T.; Bleakley, L.; Cracknell, D.; Lovell, R.; Jefferson, R.L. Marine wildlife as an important component of coastal visits: The role of perceived biodiversity and species behaviour. Mar. Policy 2017, 78, 80–89. [Google Scholar] [CrossRef]
  45. An, B.Y.; Wang, D.; Liu, X.J.; Guan, H.M.; Wei, H.X.; Ren, Z.B. The effect of environmental factors in urban forests on blood pressure and heart rate in university students. J. For. Res. 2019, 24, 27–34. [Google Scholar] [CrossRef]
  46. Yu, F.; Deng, J.F.; Ding, X.G.; Ma, H.Y. Interpolated Stand Properties of Urban Forest Parks Account for Posted Facial Expressions of Visitors. Sustainability 2022, 14, 3817. [Google Scholar] [CrossRef]
  47. Ling, Z.Y.; Hung, W.K.; Lin, C.S.; Lu, M.C.E. Dealing with Green Gentrification and Vertical Green-Related Urban Well-Being: A Contextual-Based Design Framework. Sustainability 2020, 12, 10020. [Google Scholar] [CrossRef]
  48. Xiao, Y.; Zhang, Y.H.; Sun, Y.Y.; Tao, P.H.; Kuang, X.M. Does Green Space Really Matter for Residents’ Obesity? A New Perspective From Baidu Street View. Front. Public Health 2020, 8, 332. [Google Scholar] [CrossRef] [PubMed]
  49. Houses, S. Shell Houses. Available online: https://bj.ke.com/ (accessed on 17 June 2022).
  50. Lianjia. Lianjia Website in Nanchang. Available online: https://nc.lianjia.com/ (accessed on 17 June 2022).
  51. Fang. Fang.com in Nanchang. Available online: https://nc.fang.com/ (accessed on 17 June 2022).
  52. 58 City House. 58 City House in Nanchang. Available online: https://nc.58.com/ershoufang/ (accessed on 17 June 2022).
  53. Nanchang Map. Baidu Map in Nanchang. Available online: https://ditu.baidu.com/ (accessed on 17 June 2022).
  54. Sekertekin, A.; Abdikan, S.; Marangoz, A.M. The acquisition of impervious surface area from LANDSAT 8 satellite sensor data using urban indices: A comparative analysis. Environ. Monit. Assess. 2018, 190, 381. [Google Scholar] [CrossRef]
  55. Estoque, R.C.; Murayama, Y. Classification and change detection of built-up lands from Landsat-7 ETM+ and Landsat-8 OLI/TIRS imageries: A comparative assessment of various spectral indices. Ecol. Indic. 2015, 56, 205–217. [Google Scholar] [CrossRef]
  56. Zha, Y.; Gao, J.; Ni, S. Use of normalized difference built-up index in automatically mapping urban areas from TM imagery. Int. J. Remote Sens. 2003, 24, 583–594. [Google Scholar] [CrossRef]
  57. Wei, H.X.; Liu, P. The accuracy validation of FireFACE software in analyzing facial expressions of urban forest visitors. Preprints 2020, 2020100265. [Google Scholar] [CrossRef]
  58. Ekman, P. What Scientists Who Study Emotion Agree About. Perspect. Psychol. Sci. 2016, 11, 31–34. [Google Scholar] [CrossRef] [PubMed]
  59. An, S.; Ji, L.-J.; Marks, M.; Zhang, Z. Two Sides of Emotion: Exploring Positivity and Negativity in Six Basic Emotions across Cultures. Front. Psychol. 2017, 8, 610. [Google Scholar] [CrossRef] [PubMed]
  60. Central People’s Government of China. A Notice of Adjustment on Creterion of Urban Size Categorization Published by State Council of the People’s Republic of China. Available online: http://www.gov.cn/zhengce/content/2014-11/20/content_9225.htm (accessed on 29 October 2014).
  61. Fagerstrom, A.; Pawar, S.; Sigurdsson, V.; Foxall, G.R.; Yani-de-Soriano, M. That personal profile image might jeopardize your rental opportunity! On the relative impact of the seller’s facial expressions upon buying behavior on Airbnb (TM). Comput. Hum. Behav. 2017, 72, 123–131. [Google Scholar] [CrossRef]
  62. Buonanno, P.; Montolio, D.; Raya-Vilchez, J.M. Housing prices and crime perception. Empir. Econ. 2013, 45, 305–321. [Google Scholar] [CrossRef]
Publisher’s Note: MDPI stays neutral with regard to jurisdictional claims in published maps and institutional affiliations.

Article Metrics

Citations

Article Access Statistics

Multiple requests from the same IP address are counted as one view.