The Use of UAV-Acquired Multiband Images for Detecting Rockfall-Induced Injuries at Tree Crown Level
Abstract
:1. Introduction
2. Materials and Methods
2.1. Study Sites
2.2. Field Survey—Recording Tree Injury Parameters
2.3. UAV Image Acquisition
2.4. Processing of UAV Data
2.5. Identification of Tree Crowns from UAV Data and Statistical Analysis
3. Results
3.1. Short Overview of Tree Injuries
3.2. Comparison of VI Values between Injured and Uninjured Trees
3.3. Comparison of VI Values between Injured and Uninjured Trees through Time
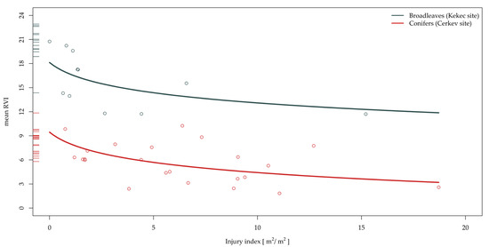
3.4. VI Relation to the Injury Categories
4. Discussion
5. Conclusions
Author Contributions
Funding
Data Availability Statement
Acknowledgments
Conflicts of Interest
Appendix A
| Index Name | Formula | Reference |
|---|---|---|
| Inverse ratio Index (IRVI) | IRVI = red/near infrared | Richardson and Wiegand, 1977 [92] |
| Ratio Vegetation Index (RVI) | RVI = near infrared/red | Birth and Birth, 1968 [93] |
| Difference Vegetation Index (DVI) | DVI = near infrared − red | Richardson and Wiegand, 1977 [92] |
| Green Vegetation Index (GVI) | RVI = near infrared/green | Cruden et al., 2012 [94] |
| Green–Red Vegetation Index (GRVI) | GRVI = (green − red)/(green + red) | Sripada et al., 2005 [95] |
| Vogelmann Red Edge Index (VREI) | VREI = near infrared/red edge | Vogelmann et al., 1993 [96] |
| Core Red Edge Triangular Vegetation Index (RTVI) | RTVI = 100 × (near infrared − red edge) − 10 × (near infrared − green) | Chen et al., 2010 [97] |
| Medium Resolution Imaging Spectrometer (MERIS) Terrestrial Chlorophyll Index (MTCI) | MTCI = (near infrared − red edge)/(red edge + red) | Dash and Curran, 2004 [98] |
| Red Edge Chlorophyll Index (CIrdg) | CIrdg = (near infrared/red edge) − 1 | Gitelson et al., 2003 [99] |
| Green Chlorophyll Index (CIg) | CIg = (near infrared/green) − 1 | Gitelson et al., 2003 [99] |
| Normalized Difference Vegetation Index (NDVI) | NDVI = (near infrared − red)/(near infrared + red) | Rouse et al., 1974 [100] |
| Normalized Ratio Vegetation Index (NRVI) | NRVI = (RVI − 1)/(RVI + 1) | Baret and Guyot, 1991 [101] |
| Green Normalized Difference Index (GNDVI) | GNDVI = (near infrared − green)/(near infrared + green) | Gitelson et al., 1996 [102] |
| Red Edge Normalized Difference Vegetation Index (NDVIrdg) | NDVIrdg = (near infrared − red edge)/(near infrared + red edge) | Gitelson and Merzlyak, 1994 [103] |
Appendix B

Appendix C

Appendix D

Appendix E

Appendix F

References
- Corominas, J.; Mavrouli, O.; Ruiz-Carulla, R. Rockfall Occurrence and Fragmentation. In Advancing Culture of Living with Landslides; Springer International Publishing: Cham, Switzerland, 2017; pp. 75–97. [Google Scholar]
- Luckman, B.H. Processes, Transport, Deposition, and Landforms: Rockfall. In Treatise on Geomorphology; Shroder, J.F., Ed.; Academic Press: Cambridge, MA, USA, 2013; pp. 174–182. [Google Scholar]
- Geertsema, M.; Highland, L.M. Landslides: Human Health Effects. In Encyclopedia of Environmental Health; Nriagu, J.O., Ed.; Elsevier: Amsterdam, The Netherlands, 2011; pp. 380–395. [Google Scholar]
- Robbins, B.A.; Stephens, I.J.; Marcuson, W.F. Geotechnical Engineering. In Encyclopedia of Geology, 2nd ed.; Alderton, D., Elias, S.A., Eds.; Academic Press: Cambridge, MA, USA, 2021; pp. 377–392. [Google Scholar]
- Moos, C.; Bebi, P.; Schwarz, M.; Stoffel, M.; Sudmeier-Rieux, K.; Dorren, L. Ecosystem-based disaster risk reduction in mountains. Earth-Sci. Rev. 2018, 177, 497–513. [Google Scholar] [CrossRef]
- Brang, P.; Schönenberger, W.; Frehner, M.; Schwitter, R.; Thormann, J.J.; Wasser, B. Management of protection forests in the European Alps: An overview. For. Snow Landsc. Res. 2006, 80, 23–44. [Google Scholar]
- Berger, F.; Dorren, L.; Kleemayr, K.; Maier, B.; Spela Planinsek, S.; Bigot, C.; Bourrier, F.; Jancke, O.; David Toe, D.; Cerbu, G. Eco-Engineering and Protection Forests Against Rockfalls and Snow Avalanches. In Management Strategies to Adapt Alpine Space Forests to Climate Change Risks; Cerbu, G.A., Hanewinkel, M., Gerosa, G., Jandl, R., Eds.; IntechOpen: London, UK, 2013. [Google Scholar] [CrossRef] [Green Version]
- Dupire, S.; Bourrier, F.; Monnet, J.M.; Bigot, S.; Borgniet, L.; Berger, F.; Curt, T. The protective effect of forests against rockfalls across the French Alps: Influence of forest diversity. For. Ecol. Manag. 2016, 382, 269–279. [Google Scholar] [CrossRef] [Green Version]
- Oven, D.; Žabota, B.; Kobal, M. The influence of abiotic and biotic disturbances on the protective effect of alpine forests against avalanches and rockfalls. Acta Silvae Ligni 2020, 121, 1–18. [Google Scholar] [CrossRef]
- Dorren, L.K.A.; Berger, F.; Le Hir, C.; Mermin, E.; Tardif, P. Mechanisms, effects and management implications of rockfall in forests. For. Ecol. Manag. 2005, 215, 183–195. [Google Scholar] [CrossRef]
- Dorren, L.K.A.; Berger, F. Stem breakage of trees and energy dissipation during rockfall impacts. Tree Physiol. 2006, 26, 63–71. [Google Scholar] [CrossRef]
- Dorren, L.; Berger, F.; Jonsson, M.; Krautblatter, M.; Mölk, M.; Stoffel, M.; Wehrli, A. State of the art in rockfall—Forest interactions. Schweiz. Z. Forstwes. 2007, 158, 128–141. [Google Scholar] [CrossRef] [Green Version]
- Stokes, A.; Salin, F.; Dzifa Kokutse, A.; Berthier, S.; Jeannin, H.; Mochan, S.; Dorren, L.; Kokutse, N.; Abd.Ghani, M.; Fourcaud, T. Mechanical resistance of different tree species to rockfall in the French Alps. Plant Soil 2005, 278, 107–117. [Google Scholar] [CrossRef]
- Stoffel, M.; Schneuwly, D.; Bollschweiler, M.; Lièvre, I.; Delaloye, R.; Myint, M.; Monbaron, M. Analyzing rockfall activity (1600–2002) in a protection forest—A case study using dendrogeomorphology. Geomorphology 2005, 68, 224–241. [Google Scholar] [CrossRef]
- Stokes, A. Selecting tree species for use in rockfall-protection forests. For. Snow Landsc. Res. 2006, 80, 77–86. [Google Scholar]
- Stoffel, M.; Lièvre, I.; Monbaron, M.; Perret, S. Seasonal timing of rockfall activity on a forested slope at Täschgufer (Valais, Swiss Alps)—A dendrochronological approach. Z. Geomorphol. 2005, 49, 89106. [Google Scholar]
- Bauerhansl, C.; Berger, F.; Dorren, L.; Duc, P.; Ginzler, C.; Kleemayr, K.; Koch, V.; Koukal, T.; Mattiuzzini, M.; Perzl, F.; et al. Development of Harmonized Indicators and Estimation Procedures for Forests with Protective Functions against Natural Hazards in the Alpine Space; Office for Official Publications of the European Communities: Luxembourg, 2010; p. 168. Available online: https://op.europa.eu/en/publication-detail/-/publication/bc13d2e8-5fd3-4978-9cbd-220de5deb93f (accessed on 30 June 2022).
- Lingua, E.; Bettella, F.; Pividori, M.; Marzano, R.; Garbarino, M.; Piras, M.; Kobal, M.; Berger, F. The protective role of forest to reduce rockfall risks and impacts in the Alps under a climate change perspective. In Climate Change. Hazards and Adaptation Options. Climate Change Management; Leal Filho, W., Nagy, G., Borga, M., Chávez Muñoz, P., Magnuszewski, A., Eds.; Springer: Cham, Switzerland, 2020; pp. 333–347. [Google Scholar]
- Salamí, E.; Barrado, C.; Pastor, E. UAV flight experiments applied to the remote sensing of vegetated areas. Remote Sens. 2014, 6, 11051–11081. [Google Scholar] [CrossRef] [Green Version]
- Di Gennaro, S.F.; Nati, C.; Dainelli, R.; Pastonchi, L.; Berton, A.; Toscano, P.; Matese, A. An automatic UAV based segmentation approach for pruning biomass estimation in irregularly spaced chestnut orchards. Forests 2020, 11, 308. [Google Scholar] [CrossRef] [Green Version]
- Imangholiloo, M.; Saarinen, N.; Markelin, L.; Rosnell, T.; Näsi, R.; Hakala, T.; Honkavaara, E.; Holopainen, M.; Hyyppä, J.; Vastaranta, M. Characterizing seedling stands using leaf-off and leaf-on photogrammetric point clouds and hyperspectral imagery acquired from unmanned aerial vehicle. Forests 2019, 10, 415. [Google Scholar] [CrossRef] [Green Version]
- Dainelli, R.; Toscano, P.; Di Gennaro, S.F.; Matese, A. Recent advances in unmanned aerial vehicles forest remote sensing—A systematic review. Part I: A General Framework. Forests 2021, 12, 327. [Google Scholar] [CrossRef]
- Dainelli, R.; Toscano, P.; Di Gennaro, S.F.; Matese, A. Recent advances in unmanned aerial vehicles forest remote sensing—A systematic review. Part II: Research applications. Forests 2021, 12, 397. [Google Scholar] [CrossRef]
- Eysn, L.; Hollaus, M.; Lindberg, E.; Berger, F.; Monnet, J.M.; Dalponte, M.; Kobal, M.; Pellegrini, M.; Lingua, E.; Mongus, D.; et al. A benchmark of lidar-based single tree detection methods using heterogeneous forest data from the Alpine Space. Forests 2015, 6, 1721–1747. [Google Scholar] [CrossRef] [Green Version]
- Dupire, S.; Toe, D.; Barré, J.B.; Bourrier, F.; Berger, F. Harmonized mapping of forests with a protection function against rockfalls over European Alpine countries. Appl. Geogr. 2020, 120, 102221. [Google Scholar] [CrossRef]
- Scheidl, C.; Heiser, M.; Vospernik, S.; Lauss, E.; Perzl, F.; Kofler, A.; Kleemayr, K.; Bettella, F.; Lingua, E.; Garbarino, M.; et al. Assessing the protective role of alpine forests against rockfall at regional scale. Eur. J. For. Res. 2020, 139, 969–980. [Google Scholar] [CrossRef]
- D’Amboise, C.J.L.; Teich, M.; Hormes, A.; Steger, S.; Berger, F. Modeling protective forests for gravitational natural hazards and how it relates to risk-based decision support tools. In Protective Forests as Ecosystem-Based Solution for Disaster Risk Reduction (ECO-DRR); Teich, M., Accastello, C., Perzl, F., Kleemayr, K., Eds.; IntechOpen: London, UK, 2021. [Google Scholar] [CrossRef]
- Lausch, A.; Erasmi, S.; King, D.J.; Magdon, P.; Heurich, M. Understanding forest health with remote sensing-Part I—A review of spectral traits, processes and remote-sensing characteristics. Remote Sens. 2016, 8, 1029. [Google Scholar] [CrossRef] [Green Version]
- Lausch, A.; Erasmi, S.; King, D.J.; Magdon, P.; Heurich, M. Understanding Forest Health with Remote Sensing-Part II—A Review of Approaches and Data Models. Remote Sens. 2017, 9, 129. [Google Scholar] [CrossRef] [Green Version]
- Berra, E.F.; Gaulton, R.; Barr, S. Assessing spring phenology of a temperate woodland: A multiscale comparison of ground, unmanned aerial vehicle and Landsat satellite observations. Remote Sens. Environ. 2019, 223, 229–242. [Google Scholar] [CrossRef]
- Fraser, B.T.; Congalton, R.G. Monitoring Fine-Scale Forest Health Using Unmanned Aerial Systems (UAS) Multispectral Models. Remote Sens. 2021, 13, 4873. [Google Scholar] [CrossRef]
- Tuominen, J.; Tarmo, L.; Viljo, K.; Reija, H. Remote sensing of forest health. In Geoscience and Remote Sensing; Ho, P.P., Ed.; IntechOpen: London, UK, 2009; pp. 29–52. [Google Scholar]
- Dash, J.P.; Watt, M.S.; Pearse, G.D.; Heaphy, M.; Dungey, H.S. Assessing very high resolution UAV imagery for monitoring forest health during a simulated disease outbreak. ISPRS J. Photogramm. Remote Sens. 2017, 131, 1–14. [Google Scholar] [CrossRef]
- Šiljeg, A.; Panđa, L.; Domazetović, F.; Marić, I.; Gašparović, M.; Borisov, M.; Milošević, R. Comparative Assessment of Pixel and Object-Based Approaches for Mapping of Olive Tree Crowns Based on UAV Multispectral Imagery. Remote Sens. 2022, 14, 757. [Google Scholar] [CrossRef]
- Hay, G.J.; Castilla, G. Geographic object-based image analysis (GEOBIA): A new name for a new discipline. In Object-Based Image Analysis; Springer: Berlin/Heidelberg, Germany, 2008; pp. 75–89. [Google Scholar]
- Weih, R.C.; Riggan, N.D. Object-based classification vs. pixel-based classification: Comparative importance of multi-resolution imagery. Int. Arch. Photogramm. Remote Sens. Spat. Inf. Sci. 2010, 38, C7. [Google Scholar]
- Karlson, M.; Reese, H.; Ostwald, M. Tree crown mapping in managed woodlands (Parklands) of semi-arid West Africa using WorldView-2 imagery and geographic object based image analysis. Sensors 2014, 14, 22643–22669. [Google Scholar] [CrossRef]
- Immitzer, M.; Atzberger, C.; Koukal, T. Tree species classification with Random forest using very high spatial resolution 8-band worldView-2 satellite data. Remote Sens. 2012, 4, 2661–2693. [Google Scholar] [CrossRef] [Green Version]
- Chemura, A.; van Duren, I.; van Leeuwen, L.M. Determination of the age of oil palm from crown projection area detected from WorldView-2 multispectral remote sensing data: The case of Ejisu-Juaben district, Ghana. ISPRS J. Photogramm. Remote Sens. 2015, 100, 118–127. [Google Scholar] [CrossRef]
- Schäfer, E.; Heiskanen, J.; Heikinheimo, V.; Pellikka, P. Mapping tree species diversity of a tropical montane forest by unsupervised clustering of airborne imaging spectroscopy data. Ecol. Indic. 2016, 64, 49–58. [Google Scholar] [CrossRef]
- Müllerová, J.; Pergl, J.; Pyšek, P. Remote sensing as a tool for monitoring plant invasions: Testing the effects of data resolution and image classification approach on the detection of a model plant species Heracleum mantegazzianum (giant hogweed). Int. J. Appl. Earth Obs. Geoinf. 2013, 25, 55–65. [Google Scholar] [CrossRef]
- Lehmann, J.R.K.; Nieberding, F.; Prinz, T.; Knoth, C. Analysis of unmanned aerial system-based CIR images in forestry—A new perspective to monitor pest infestation levels. Forests 2015, 6, 594–612. [Google Scholar] [CrossRef] [Green Version]
- Näsi, R.; Honkavaara, E.; Lyytikäinen-Saarenmaa, P.; Blomqvist, M.; Litkey, P.; Hakala, T.; Viljanen, N.; Kantola, T.; Tanhuanpää, T.; Holopainen, M. Using UAV-based photogrammetry and hyperspectral imaging for mapping bark beetle damage at tree-level. Remote Sens. 2015, 7, 15467–15493. [Google Scholar] [CrossRef] [Green Version]
- Näsi, R.; Honkavaara, E.; Blomqvist, M.; Lyytikäinen-Saarenmaa, P.; Hakala, T.; Viljanen, N.; Kantola, T.; Holopainen, M. Remote sensing of bark beetle damage in urban forests at individual tree level using a novel hyperspectral camera from UAV and aircraft. Urban For. Urban Green. 2018, 30, 72–83. [Google Scholar] [CrossRef]
- Minařík, R.; Langhammer, J. Use of a multispectral UAV photogrammetry for detection and tracking of forest disturbance dynamics. Int. Arch. Photogramm. Remote Sens. Spat. Inf. Sci.—ISPRS Arch. 2016, 41, 711–718. [Google Scholar] [CrossRef] [Green Version]
- Brokvina, O.; Ciencala, E.; Surovy, P.; Janata, P. Unmanned aerial vehicles (UAV) for assessment of qualitative classification of Norway spruce in temperate forest stands. Geo-Spat. Inf. Sci. 2018, 21, 12–20. [Google Scholar]
- Abdollahnejad, A.; Panagiotidis, D.; Surový, P.; Modlinger, R. Investigating the Correlation between Multisource Remote Sensing Data for Predicting Potential Spread of Ips typographus L. Spots in Healthy Trees. Remote Sens. 2021, 13, 4953. [Google Scholar] [CrossRef]
- Guerra-Hernández, J.; Díaz-Varela, R.A.; Ávarez-González, J.G.; Rodríguez-González, P.M. Assessing a novel modelling approach with high resolution UAV imagery for monitoring health status in priority riparian forests. For. Ecosyst. 2021, 8, 1–21. [Google Scholar] [CrossRef]
- Yun, T.; Jiang, K.; Hou, H.; An, F.; Chen, B.; Jiang, A.; Li, W.; Xue, L. Rubber tree crown segmentation and property retrieval using ground-based mobile LiDAR after natural disturbances. Remote Sens. 2019, 11, 903. [Google Scholar] [CrossRef] [Green Version]
- Jurkovšek, B. Tolmač Listov Beljak in Ponteba. Osnovna Geološka Karta SFRJ 1:100,000; Zvezni Geološki Zavod Beograd: Belgrade, Serbia, 1987; 55p. [Google Scholar]
- Jurkovšek, B. Osnovna Geološka Karta SFRJ 1:100,000, List Beljka in Ponteba; Zvezni Geološki Zavod Beograd: Belgrade, Serbia, 1985. [Google Scholar]
- Placer, L. Osnovne tektonske razčlenitve Slovenije. Geologija 2008, 51, 205–217. [Google Scholar] [CrossRef]
- Zupan Hajna, N.; Petrič, M.; Zdešar, A. Trenta—Triglavski narodni park. In Proceedings of the 3. Slovenski Geološki Kongres, Bovec, Slovenia, 16–18 September 2010; pp. 69–80. [Google Scholar]
- Zorn, M.; Komac, B. Recent mass movements in Slovenia. In Slovenia: A Geographical Overview; Orožen Adamič, M., Ed.; Association of the Geographical Societies of Slovenia: Ljubljana, Slovenia, 2004; pp. 73–80. [Google Scholar]
- Mikoš, M.; Fazarinc, R.; Ribičič, M. Sediment production and delivery from recent large landslides and earthquake-induced rockfalls in the Upper Soča River Valley, Slovenia. Eng. Geol. 2006, 86, 198–210. [Google Scholar] [CrossRef]
- Mikoš, M.; Jemec Auflič, M.; Ribičič, M.; Čarman, M.; Komac, M. Earthquake-induced Landslides in Slovenia: Historical Evidenceand Present Analyses. In Proceedings of the International Symposium on Earthquake-Induced Landslides, Kiryu, Japan, 7–9 November 2012; pp. 225–233. [Google Scholar]
- Čarni, A.; Marinček, L.; Seliškar, A.; Zupančič, M. Vegetacijska Karta Gozdnih Združb Slovenije [Cartographic Material]: Merilo 1:400,000; ZRC SAZU, Biološki Inštitut Jovana Hadžija: Ljubljana, Slovenia, 2002. [Google Scholar]
- Žabota, B.; Mikoš, M.; Kobal, M. Rockfall modelling in forested areas: The role of digital terrain model grid cell size. Appl. Sci. 2021, 11, 1461. [Google Scholar] [CrossRef]
- ROCKtheALPS, Interreg Alpine Space. Available online: https://www.alpine-space.org/projects/rockthealps/en/home (accessed on 22 May 2022).
- Brenčič, M. Hydrogeological conditions of the Kroparica recharge area, Jelovica, Slovenia. Geologija 2003, 46/2, 281–306. [Google Scholar] [CrossRef]
- Grad, K.; Ferjančič, L. Osnovna Geološka Karta SFRJ 1:100,000, List Kranj; Zvezni Geološki Zavod Beograd: Belgrade, Serbia, 1976. [Google Scholar]
- Perret, S.; Baumgartner, M.; Kienholz, H. Inventory and analysis of tree injuries in a rockfall-damaged forest stand. Eur. J. For. Res. 2006, 125, 101–110. [Google Scholar] [CrossRef] [Green Version]
- Trappmann, D.; Stoffel, M. Counting scars on tree stems to assess rockfall hazards: A low effort approach, but how reliable? Geomorphology 2013, 180–181, 180–186. [Google Scholar] [CrossRef]
- Trappmann, D.; Stoffel, M.; Corona, C. Achieving a more realistic assessment of rockfall hazards by coupling three-dimensional process models and field-based tree-ring data. Earth Surf. Process. Landf. 2014, 39, 1866–1875. [Google Scholar] [CrossRef]
- Žabota, B.; Trappmann, D.; Levanič, T.; Kobal, M. Reconstruction of rockfall activity through dendrogeomorphology and a scar-counting approach: A study in a beech forest stand in the Trenta valley (Slovenian Alps). Acta Silvae Ligni 2020, 121, 19–32. [Google Scholar] [CrossRef]
- ArcGIS Survey123. Esri. Available online: https://www.esri.com/en-us/arcgis/products/arcgis-survey123/overview (accessed on 19 April 2022).
- Parrot Drone SAS. Available online: https://www.parrot.com/en (accessed on 22 November 2021).
- Cubero-Castan, M.; Schneider-Zapp, K.; Bellomo, M.; Shi, D.; Rehak, M.; Strecha, C. Assessment of the Radiometric Accuracy in A Target Less Work Flow Using Pix4D Software. In Proceedings of the 2018 9th Workshop on Hyperspectral Image and Signal Processing: Evolution in Remote Sensing, Amsterdam, The Netherlands, 23–26 September 2018; pp. 1–4. [Google Scholar]
- Assmann, J.J.; Kerby, J.T.; Cunliffe, A.M.; Myers-Smith, I.H. Vegetation monitoring using multispectral sensors—Best practices and lessons learned from high latitudes. J. Unmanned Veh. Syst. 2019, 7, 54–75. [Google Scholar] [CrossRef] [Green Version]
- Pix4Dmapper—Pix4D. Available online: https://www.pix4d.com/product/pix4dmapper-photogrammetry-software (accessed on 23 November 2021).
- De Castro, A.I.; Shi, Y.; Mari Maja, J.; Peña, J.M. UAVs for Vegetation Monitoring: Overview and Recent Scientific Contributions. Remote Sens. 2021, 13, 2139. [Google Scholar] [CrossRef]
- Lima-Cueto, F.J.; Blanco-Sepúlveda, R.; Gómez-Moreno, M.L.; Galacho-Jiménez, F.B. Using Vegetation Indices and a UAV Imaging Platform to Quantify the Density of Vegetation Ground Cover in Olive Groves (Olea Europaea L.) in Southern Spain. Remote Sens. 2019, 11, 2564. [Google Scholar] [CrossRef] [Green Version]
- ArcGIS Pro 2.7.3, Esri. Available online: https://www.esri.com/en-us/arcgis/products/arcgis-pro/resources (accessed on 19 April 2021).
- Xiao, Q.; McPherson, E.G. Tree health mapping with multispectral remote sensing data at UC Davis, California. Urban Ecosyst. 2005, 8, 349–361. [Google Scholar] [CrossRef]
- Suab, S.A.; Syukur, M.S.; Avtar, R.; Korom, A. Unmanned aerial vehicle (UAV) deriver normalized difference vegetation index (NDVI) and crown projection area (CPA) to detect health condition of young oil palm trees for precision agriculture. Int. Arch. Photogramm. Remote Sens. Spat. Inf. Sci.—ISPRS Arch. 2019, 42, 611–614. [Google Scholar] [CrossRef] [Green Version]
- Stateras, D.; Kalivas, D. Assessment of olive tree canopy characteristics and yield forecast model using high resolution UAV imagery. Agriculture 2020, 10, 385. [Google Scholar] [CrossRef]
- Mirasi, A.; Mahmoudi, A.; Navid, H.; Valizadeh Kamran, K.; Asoodar, M.A. Evaluation of sum-NDVI values to estimate wheat grain yields using multi-temporal Landsat OLI data. Geocarto Int. 2021, 36, 1309–1324. [Google Scholar] [CrossRef]
- RStudio Team. RStudio: Integrated Development for R; RStudio Inc.: Boston, MA, USA, 2016. [Google Scholar]
- Iizuka, K.; Kato, T.; Silsigia, S.; Soufiningrum, A.Y.; Kozan, O. Estimating and examining the sensitivity of different vegetation indices to fractions of vegetation cover at different scaling Grids for Early Stage Acacia Plantation Forests Using a Fixed-Wing UAS. Remote Sens. 2019, 11, 1816. [Google Scholar] [CrossRef] [Green Version]
- Curran, P.J.; Dungan, J.; Gholz, H. Exploring the relationship between reflectance red edge and chlorophyll content in slash pine. Tree Physiol. 1990, 7, 33–48. [Google Scholar] [CrossRef]
- Abdollahnejad, A.; Panagiotidis, D. Tree species classification and health status assessment for a mixed broadleaf-conifer forest with uas multispectral imaging. Remote Sens. 2020, 12, 3722. [Google Scholar] [CrossRef]
- Stoffel, M.; Hitz, O.M. Rockfall and snow avalanche impacts leave different anatomical signatures in tree rings of juvenile Larix decidua. Tree Physiol. 2008, 28, 1713–1720. [Google Scholar] [CrossRef] [Green Version]
- Schneuwly, D.M.; Stoffel, M.; Dorren, L.K.A.; Berger, F. Three-dimensional analysis of the anatomical growth response of European conifers to mechanical disturbance. Tree Physiol. 2009, 29, 1247–1257. [Google Scholar] [CrossRef] [Green Version]
- Mainieri, R.; Lopez-Saez, J.; Corona, C.; Stoffel, M.; Bourrier, F.; Eckert, N. Assessment of the recurrence intervals of rockfall through dendrogeormophology and counting scar approach: A comparative study in a mixed forest stand from the Vercors massif (French Alps). Geomorphology 2019, 340, 160–171. [Google Scholar] [CrossRef]
- Stoffel, M.; Ballesteros Cánovas, J.A.; Luckman, B.H.; Casteller, A.; Villalba, R. Tree-ring correlations suggest links between moderate earthquakes and distant rockfalls in the Patagonian Cordillera. Sci. Rep. 2019, 9, 12112. [Google Scholar] [CrossRef] [PubMed]
- Krause, S.; Sanders, T.G.M.; Mund, J.-P.; Greve, K. UAV-Based Photogrammetric Tree Height Measurement for Intensive Forest Monitoring. Remote Sens. 2019, 11, 758. [Google Scholar] [CrossRef] [Green Version]
- Corte, A.P.D.; Rex, F.E.; de Almeida, D.R.A.; Sanquetta, C.R.; Silva, C.A.; Moura, M.M.; Wilkinson, B.; Zambrano, A.M.A.; da Cunha Neto, E.M.; Veras, H.F.P.; et al. Measuring individual tree diameter and height using gatoreye high-density UAV-lidar in an integrated crop-livestock-forest system. Remote Sens. 2020, 12, 863. [Google Scholar] [CrossRef] [Green Version]
- Neuville, R.; Bates, J.S.; Jonard, F. Estimating Forest Structure from UAV-Mounted LiDAR Point Cloud Machine Learning. Remote Sens. 2021, 13, 352. [Google Scholar] [CrossRef]
- Brauner, M.; Weinmeister, W.; Agner, P.; Vospernik, S.; Hoesle, B. Forest management decision support for evaluating forest protection effects against rockfall. For. Ecol. Manag. 2005, 207, 75–85. [Google Scholar] [CrossRef]
- Bebi, P.; Seidl, R.; Motta, R.; Fuhr, M.; Firm, D.; Krumm, F.; Conedera, M.; Ginzler, C.; Wohlgemuth, T.; Kulakowski, D. Changes of forest cover and disturbance regimes in the mountain forests of the Alps. For. Ecol. Manag. 2017, 388, 43–56. [Google Scholar] [CrossRef] [Green Version]
- Sebald, J.; Senf, C.; Heiser, M.; Scheidl, C.; Pflugmacher, D.; Seidl, R. The effects of forest cover and disturbance on torrential hazards: Large-scale evidence from the Eastern Alps. Environ. Res. Lett. 2019, 14, 114032. [Google Scholar] [CrossRef] [Green Version]
- Richardson, A.J.; Wiegand, C.L. Distinguishing vegetation from soil background information. Photogramm. Eng. Remote Sens. 1977, 43, 1541–1552. [Google Scholar]
- Birth, G.S.; Birth, G.R. Measuring the color of growing turf with a reflectance spectrophotometer. Am. Soc. Agron. 1968, 60, 640–643. [Google Scholar] [CrossRef]
- Cruden, B.A.; Prabhu, D.; Martinez, R. Absolute radiation measurement in Venus and Mars entry conditions. J. Spacecr. Rocket. 2012, 49, 1069–1079. [Google Scholar] [CrossRef]
- Sripada, R.P.; Heiniger, R.W.; White, J.G.; Weisz, R. Aerial color infrared photography for determining late-season nitrogen requirements in corn. J. Agron. 2005, 97, 1443–1451. [Google Scholar] [CrossRef]
- Vogelmann, B.N.; Rock, D.M. Moss Red edge spectral measurements from sugar maple leaves. Int. J. Remote Sens. 1993, 14, 1563–1575. [Google Scholar] [CrossRef]
- Chen, P.; Haboudane, D.; Tremblay, N.; Wang, J.; Vigneault, P.; Li, B. New spectral indicator assessing the efficiency of crop nitrogen treatment in corn and wheat. Remote Sens. Environ. 2010, 114, 1987–1997. [Google Scholar] [CrossRef]
- Dash, J.; Curran, P.J. The MERIS terrestrial chlorophyll index. Int. J. Remote Sens. 2004, 25, 5403–5413. [Google Scholar] [CrossRef]
- Gitelson, A.A.; Gritz, Y.; Merzlyak, M.N. Relationships between Leaf Chlorophyll Content and Spectral Reflectance and Algorithms for Non-Destructive Chlorophyll Assessment in Higher Plant Leaves. J. Plant Physiol. 2003, 160, 271–282. [Google Scholar] [CrossRef]
- Rouse, J.W.; Haas, R.H.; Schell, J.A.; Deering, D.W. Monitoring vegetation systems in the Great Plains with ERTS. In Third Earth Resources Technology Satellite—1 Symposium. Volume I: Technical Presentations, NASA SP-351; Freden, S.C., Mercanti, E.P., Becker, M., Eds.; NASA: Washington, DC, USA, 1974; pp. 309–317. [Google Scholar]
- Baret, F.; Guyot, G. Potentials and limits of vegetation indices for LAI and APAR assessment. Remote Sens. Environ. 1991, 35, 161–173. [Google Scholar] [CrossRef]
- Gitelson, A.A.; Kaufman, Y.J.; Merzlyak, M.N. Use of a green channel in remote sensing of global vegetation from EOS-MODIS. Remote Sens. Environ. 1996, 58, 289–298. [Google Scholar] [CrossRef]
- Gitelson, A.; Merzlyak, M.N. Spectral Reflectance Changes Associated with Autumn Senescence of Aesculus hippocastanum L. and Acer platanoides L. Leaves. Spectral Features and Relation to Chlorophyll Estimation. J. Plant Physiol. 1994, 143, 286–292. [Google Scholar] [CrossRef]












| Jelovica Site | Cerkev Site | Kekec Site | |
|---|---|---|---|
| Year of rockfall event | 2019 | 2018 | 2011 |
| Tree species | Picea abies (L.) Karsten, Abies alba Mill. | Larix decidua Mill., Pinus sylvestris L., Picea abies (L.) Karsten | Fagus sylvatica L. |
| Number of injured trees in analysis | 22 | 23 | 11 |
| Number of uninjured trees in analysis | 27 | 22 | 14 |
| Average DBH of injured trees (cm) | 47.17 | 32.88 | 35.86 |
| Average DBH of uninjured trees (cm) | 43.21 | 38.64 | 36.44 |
| Min DBH of injured trees (cm) | 17.07 | 24.30 | 18.34 |
| Min DBH of uninjured trees (cm) | 13.13 | 26.87 | 21.23 |
| Max DBH of injured trees (cm) | 68.55 | 43.51 | 52.84 |
| Max DBH of uninjured trees (cm) | 70.27 | 57.22 | 59.62 |
| Tree Injury Category | |
| injury to the bark | missing branches |
| injury to the bark and wood | stem breakage |
| resin flow (fresh and transparent to white) | injured/exposed roots |
| resin burls (old and yellow to dark brown) | tilted tree |
| inclusion of rocks in the injury | present fungi at the injury |
| missing tree tops | cracked stem |
| Shape of Injury | |
| Circle | Rectangle |
| Ellipse | Triangle |
| Square | |
| Overview of Rockfall Injuries | Jelovica Site | Cerkev Site | Kekec Site |
| Number of injured trees | 22 | 23 | 11 |
| Total number of injuries recorded | 55 | 125 | 61 |
| Min number of injuries per tree | 1 | 1 | 4 |
| Max number of injuries per tree | 7 | 18 | 7 |
| Min height of the injury | 20 cm | 0 cm | 0 cm |
| Max height of injury | 189 cm | 750 cm | 300 cm |
| Average height of injury | 99 cm | 182 cm | 64 cm |
| Number of Different Injury Categories | Jelovica Site | Cerkev Site | Kekec Site |
| 1 injury | 0 | 2 | 1 |
| 2 injuries | 13 | 0 | 8 |
| 3 injuries | 6 | 5 | 2 |
| 4 injuries | 3 | 7 | 0 |
| 5 injuries | 0 | 6 | 0 |
| 6 injuries | 0 | 3 | 0 |
| Injury Shapes | Jelovica Site | Cerkev Site | Kekec Site |
| circle | 14 | 27 | 11 |
| ellipse | 21 | 36 | 24 |
| square | 2 | 11 | 0 |
| rectangle | 18 | 49 | 26 |
| triangle | 0 | 2 | 0 |
| % of Recorded Injury Categories | |||
|---|---|---|---|
| Overview of Rockfall Injuries | Jelovica Site (Number of Trees = 22; Number of Total Injuries 55) | Cerkev Site (Number of Trees = 23; Number of Total Injuries 125) | Kekec Site (Number of Trees = 11; Number of Total Injuries 61) |
| injury to the bark | 4 | 0 | 74 |
| injury to the bark and wood | 38 | 26 | 23 |
| resin flow (fresh and transparent to white) | 38 | 18 | 0 |
| resin burls (old and yellow to dark brown) | 7 | 20 | 0 |
| inclusion of rocks in the injury | 0 | 3 | 3 |
| missing tree tops | 2 | 10 | 0 |
| missing branches | 0 | 19 | 0 |
| stem breakage | 0 | 0 | 0 |
| injured/exposed roots | 2 | 2 | 0 |
| tilted tree | 0 | 1 | 0 |
| present fungi at the injury | 0 | 0 | 0 |
| cracked stem | 9 | 1 | 0 |
Publisher’s Note: MDPI stays neutral with regard to jurisdictional claims in published maps and institutional affiliations. |
© 2022 by the authors. Licensee MDPI, Basel, Switzerland. This article is an open access article distributed under the terms and conditions of the Creative Commons Attribution (CC BY) license (https://creativecommons.org/licenses/by/4.0/).
Share and Cite
Žabota, B.; Kobal, M. The Use of UAV-Acquired Multiband Images for Detecting Rockfall-Induced Injuries at Tree Crown Level. Forests 2022, 13, 1039. https://doi.org/10.3390/f13071039
Žabota B, Kobal M. The Use of UAV-Acquired Multiband Images for Detecting Rockfall-Induced Injuries at Tree Crown Level. Forests. 2022; 13(7):1039. https://doi.org/10.3390/f13071039
Chicago/Turabian StyleŽabota, Barbara, and Milan Kobal. 2022. "The Use of UAV-Acquired Multiband Images for Detecting Rockfall-Induced Injuries at Tree Crown Level" Forests 13, no. 7: 1039. https://doi.org/10.3390/f13071039
APA StyleŽabota, B., & Kobal, M. (2022). The Use of UAV-Acquired Multiband Images for Detecting Rockfall-Induced Injuries at Tree Crown Level. Forests, 13(7), 1039. https://doi.org/10.3390/f13071039

