Functional Traits of Quercus aliena var. acuteserrata in Qinling Huangguan Forest Dynamics Plot: The Relative Importance of Plant Size and Habitat
Abstract
:1. Introduction
2. Materials and Methods
2.1. Study Site and Soil Sampling
2.2. Plant Sampling and Measurements of Plant Functional Traits
2.3. Statistical Analysis
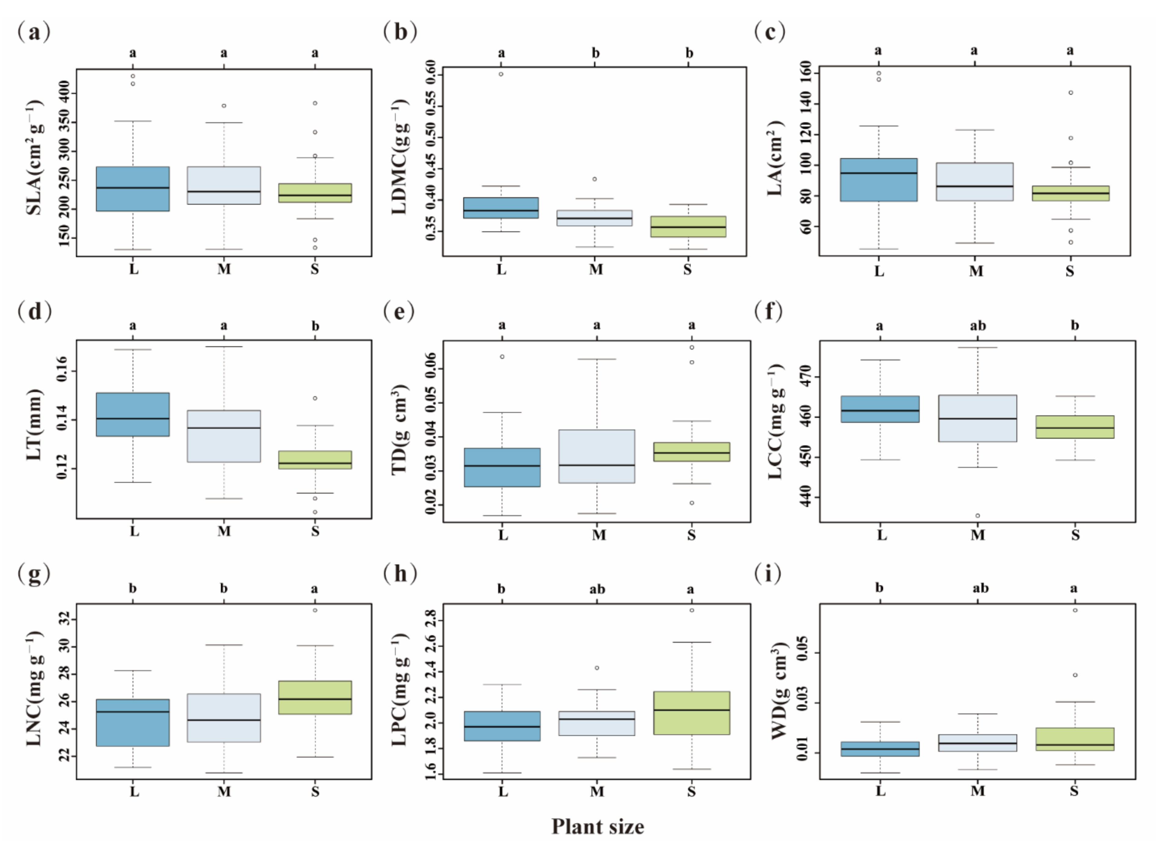
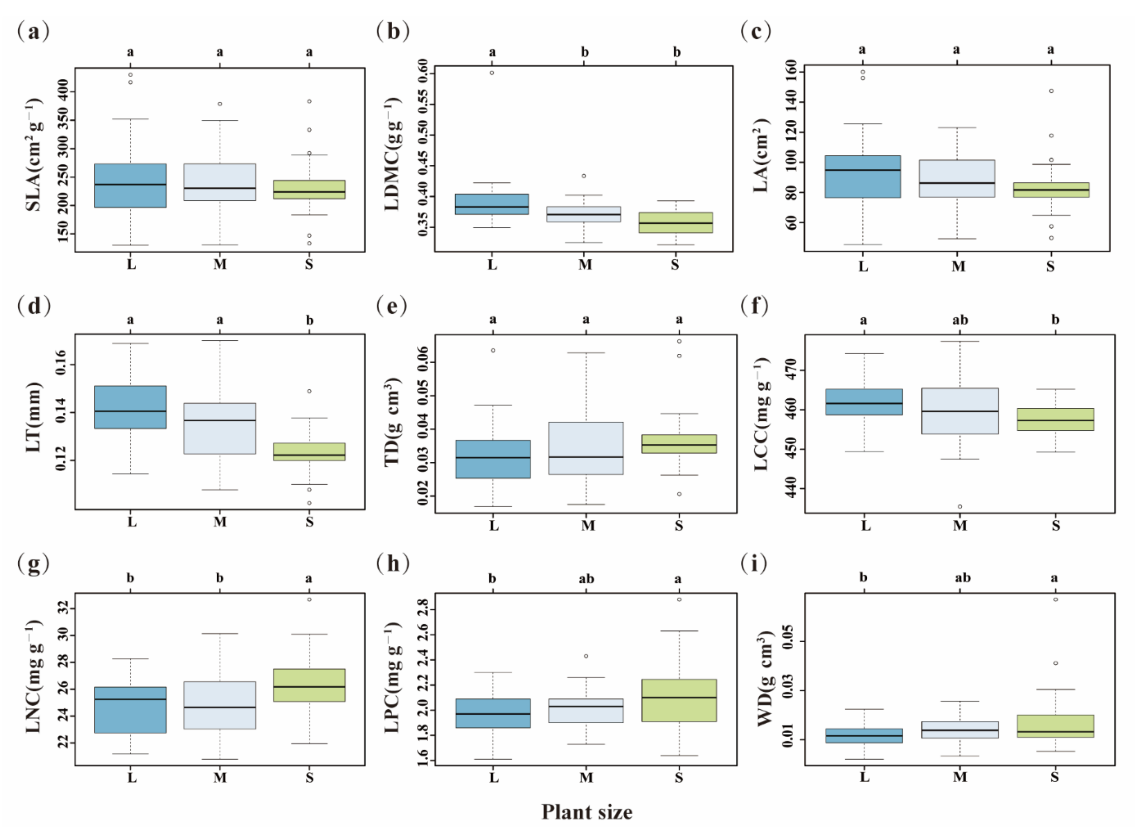
3. Results
4. Discussion
4.1. Differences in Functional Traits among Plant Sizes
4.2. Effects of Environmental Factors on Leaf Functional Traits
5. Conclusions
Author Contributions
Funding
Institutional Review Board Statement
Informed Consent Statement
Data Availability Statement
Conflicts of Interest
References
- Violle, C.; Navas, M.L.; Vile, D.; Kazakou, E.; Fortunel, C.; Hummel, I.; Garnier, E. Let the concept of trait be functional! Oikos 2007, 116, 882–892. [Google Scholar] [CrossRef]
- Reich, P.B.; Cornelissen, H. The world-wide ‘fast-slow’ plant economics spectrum: A traits manifesto. J. Ecol. 2014, 102, 275–301. [Google Scholar] [CrossRef]
- Westoby, M. A leaf-height-seed (LHS) plant ecology strategy scheme. Plant Soil 1998, 199, 213–227. [Google Scholar] [CrossRef]
- Funk, J.L.; Larson, J.E.; Ames, G.M.; Butterfield, B.J.; Cavender-Bares, J.; Firn, J.; Laughlin, D.C.; Sutton-Grier, A.E.; Williams, L.; Wright, J. Revisiting the Holy Grail: Using plant functional traits to understand ecological processes. Biol. Rev. Camb. Philos. Soc. 2017, 92, 1156–1173. [Google Scholar] [CrossRef] [PubMed]
- Diaz, S.; Kattge, J.; Cornelissen, J.H.C.; Wright, I.J.; Lavorel, S.; Dray, S.; Reu, B.; Kleyer, M.; Wirth, C.; Prentice, I.C.; et al. The global spectrum of plant form and function. Nature 2016, 529, 167–171. [Google Scholar] [CrossRef]
- Oktavia, D.N.; Jin, G.Z. Variations in leaf morphological and chemical traits in response to life stages, plant functional types, and habitat types in an old-growth temperate forest. Basic Appl. Ecol. 2020, 49, 22–33. [Google Scholar] [CrossRef]
- Niinemets, U. Global-scale climatic controls of leaf dry mass per area, density, and thickness in trees and shrubs. Ecology 2001, 82, 453–469. [Google Scholar] [CrossRef]
- Reich, P.B.; Walters, M.B.; Ellsworth, D.S. From tropics to tundra: Global convergence in plant functioning. Proc. Natl. Acad. Sci. USA 1997, 94, 13730–13734. [Google Scholar] [CrossRef] [Green Version]
- Gao, J.; Song, Z.P.; Liu, Y.H. Response mechanisms of leaf nutrients of endangered plant (Acer catalpifolium) to environmental factors varied at different growth stages. Glob. Ecol. Conserv. 2019, 17, e00521. [Google Scholar] [CrossRef]
- De la Riva, E.G.; Tosto, A.; Pérez-Ramos, I.M.; Navarro-Fernández, C.M.; Olmo, M.; Anten, N.P.R.; Marañón, T.; Villar, R.; de Bello, F. A plant economics spectrum in Mediterranean forests along environmental gradients: Is there coordination among leaf, stem and root traits? J. Veg. Sci. 2016, 27, 187–199. [Google Scholar] [CrossRef] [Green Version]
- Qin, J.; Shangguan, Z.P.; Xi, W.M. Seasonal variations of leaf traits and drought adaptation strategies of four common woody species in South Texas, USA. J. For. Res. 2019, 30, 1715–1725. [Google Scholar] [CrossRef]
- Pfennigwerth, A.A.; Bailey, J.K.; Schweitzer, J.A. Trait variation along elevation gradients in a dominant woody shrub is population-specific and driven by plasticity. AoB Plants 2017, 9, plx027. [Google Scholar] [CrossRef] [PubMed] [Green Version]
- Thomas, S.C. Asymptotic height as a predictor of growth and allometric characteristics in Malaysian rain forest trees. Am. J. Bot. 1996, 83, 556–566. [Google Scholar] [CrossRef]
- Song, H.; Xu, Y.; Hao, J.; Zhao, B.; Guo, D.; Shao, H. Investigating distribution pattern of species in a warm-temperate conifer-broadleaved-mixed forest in China for sustainably utilizing forest and soils. Sci. Total Environ. 2017, 578, 81–89. [Google Scholar] [CrossRef] [PubMed]
- Grubb, P.J. Control of Forest Growth and Distribution on Wet Tropical Mountains—With Special Reference to Mineral-Nutrition. Annu. Rev. Ecol. Syst. 1977, 8, 83–107. [Google Scholar] [CrossRef]
- Tanner, E.V.J.; Vitousek, P.M.; Cuevas, E. Experimental investigation of nutrient limitation of forest growth on wet tropical mountains. Ecology 1998, 79, 10–22. [Google Scholar] [CrossRef]
- Asner, G.P.; Martin, R.E.; Tupayachi, R.; Anderson, C.B.; Sinca, F.; Carranza-Jimenez, L.; Martinez, P. Amazonian functional diversity from forest canopy chemical assembly. Proc. Natl. Acad. Sci. USA 2014, 111, 5604–5609. [Google Scholar] [CrossRef] [Green Version]
- Laughlin, D.C.; Richardson, S.J.; Wright, E.F.; Bellingham, P.J. Environmental Filtering and Positive Plant Litter Feedback Simultaneously Explain Correlations between Leaf Traits and Soil Fertility. Ecosystems 2015, 18, 1269–1280. [Google Scholar] [CrossRef]
- Ding, J.; Wu, Q.; Yan, H.; Zhang, S. Effects of topographic variations and soil characteristics on plant functional traits in a subtropical evergreen broad-leaved forest. Biodivers. Sci. 2011, 19, 158–167. [Google Scholar]
- Hoffmann, W.A.; Franco, A.C.; Moreira, M.Z.; Haridasan, M. Specific leaf area explains differences in leaf traits between congeneric savanna and forest trees. Funct. Ecol. 2005, 19, 932–940. [Google Scholar] [CrossRef]
- Brown, J.H.; Gillooly, J.F.; Allen, A.P.; Savage, V.M.; West, G.B. Toward a Metabolic Theory of Ecology. Ecology 2004, 85, 1771–1789. [Google Scholar] [CrossRef]
- Liu, Z.L.; Jiang, F.; Li, F.R.; Jin, G.Z. Coordination of intra and inter-species leaf traits according to leaf phenology and plant age for three temperate broadleaf species with different shade tolerances. For. Ecol. Manag. 2019, 434, 63–75. [Google Scholar] [CrossRef]
- Martin, A.R.; Thomas, S.C. Size-dependent changes in leaf and wood chemical traits in two Caribbean rainforest trees. Tree Physiol. 2013, 33, 1338–1353. [Google Scholar] [CrossRef] [Green Version]
- Thomas, S.C. Photosynthetic capacity peaks at intermediate size in temperate deciduous trees. Tree Physiol. 2010, 30, 555–573. [Google Scholar] [CrossRef] [PubMed] [Green Version]
- Bucci, S.J.; Goldstein, G.; Meinzer, F.C.; Scholz, F.G.; Franco, A.C.; Bustamante, M. Functional convergence in hydraulic architecture and water relations of tropical savanna trees: From leaf to whole plant. Tree Physiol. 2004, 24, 891–899. [Google Scholar] [CrossRef] [PubMed] [Green Version]
- Chang, Y.; Xu, C.; Yang, H.; Zhou, J.; Hua, W.; Zhang, S.; Zhong, Q.; Li, B. Leaf Structural Traits Vary with Plant Size in Even-Aged Stands of Sapindus mukorossi. Front. Plant Sci. 2021, 12, 692484. [Google Scholar] [CrossRef] [PubMed]
- McCulloh, K.A.; Meinzer, F.C.; Sperry, J.S.; Lachenbruch, B.; Voelker, S.L.; Woodruff, D.R.; Domec, J.C. Comparative hydraulic architecture of tropical tree species representing a range of successional stages and wood density. Oecologia 2011, 167, 27–37. [Google Scholar] [CrossRef]
- Yao, F.; Chen, Y.; Yan, Z.; Li, P.; Han, W.; Fang, J. Biogeographic patterns of structural traits and C:N:P stoichiometry of tree twigs in China’s forests. PLoS ONE 2015, 10, e0116391. [Google Scholar] [CrossRef] [Green Version]
- Thomas, S.C.; Ickes, K. Ontogenetic changes in leaf size in Malaysian rain forest trees. Biotropica 1995, 27, 427–434. [Google Scholar] [CrossRef]
- Dong, Y.P.; Zhang, G.W.; Neubauer, F.; Liu, X.M.; Genser, J.; Hauzenberger, C. Tectonic evolution of the Qinling orogen, China: Review and synthesis. J. Asian Earth Sci. 2011, 41, 213–237. [Google Scholar] [CrossRef]
- Sun, S.; Zhang, Y.; Huang, D.; Wang, H.; Cao, Q.; Fan, P.; Yang, N.; Zheng, P.; Wang, R. The effect of climate change on the richness distribution pattern of oaks (Quercus L.) in China. Sci. Total Environ. 2020, 744, 140786. [Google Scholar] [CrossRef] [PubMed]
- Zhang, M.; Wang, D.; Peng, S.; Huang, Y.; Zhang, G. Community stability analysis for the oak-pine mixed forest in Qinling Mountains. Acta Ecol. Sin. 2015, 35, 2564–2573. [Google Scholar]
- Reynolds, A.P.; Richards, G.; de la Iglesia, B.; Rayward-Smith, V.J. Clustering Rules: A Comparison of Partitioning and Hierarchical Clustering Algorithms. J. Math. Model. Algorithms 2006, 5, 475–504. [Google Scholar] [CrossRef]
- Altman, N.; Krzywinski, M. Clustering. Nat. Methods 2017, 14, 545–546. [Google Scholar] [CrossRef]
- Kang, H.B.; Zheng, Y.Y.; Liu, S.T.; Chai, Z.Z.; Chang, M.J.; Hu, Y.N.; Li, G.; Wang, D.X. Population structure and spatial pattern of predominant tree species in a pine-oak mosaic mixed forest in the Qinling Mountains, China. J. Plant Interact. 2017, 12, 78–86. [Google Scholar] [CrossRef] [Green Version]
- Yin, Q.L.; He, J.W.; Tian, T.T.; Quan, J.X.; Zhao, P.; Chai, Y.F.; Wang, L.; Yue, M. Hydraulic and Photosynthetic Traits Vary with Successional Status of Woody Plants on the Loess Plateau. Forests 2019, 10, 327. [Google Scholar] [CrossRef] [Green Version]
- R Development Core Team. R: A Language and Environment for Statistical Computing; R Foundation for Statistical Computing: Vienna, Austria, 2018. [Google Scholar]
- Apple, M.; Tiekotter, K.; Snow, M.; Young, J.; Soeldner, A.; Phillips, D.; Tingey, D.; Bond, B.J. Needle anatomy changes with increasing tree age in Douglas-fir. Tree Physiol. 2002, 22, 129–136. [Google Scholar] [CrossRef]
- Zheng, J.; Jiang, Y.; Qian, H.; Mao, Y.J.; Zhang, C.; Tang, X.X.; Jin, Y.; Yi, Y. Size-dependent and environment-mediated shifts in leaf traits of a deciduous tree species in a subtropical forest. Ecol. Evol. 2022, 12, e8516. [Google Scholar] [CrossRef]
- Koch, G.W.; Sillett, S.C.; Jennings, G.M.; Davis, S.D. The limits to tree height. Nature 2004, 428, 851–854. [Google Scholar] [CrossRef]
- Huang, W.; Li, Z.; Yang, Z.; Liang, J.; Bai, G. Heteromorphic leaf structural characteristics and their correlations with diameter at breast height of Populus euphratica. Chin. J. Ecol. 2010, 29, 2347–2352. [Google Scholar]
- Donovan, L.A.; Maherali, H.; Caruso, C.M.; Huber, H.; de Kroon, H. The evolution of the worldwide leaf economics spectrum. Trends Ecol. Evol. 2011, 26, 88–95. [Google Scholar] [CrossRef] [PubMed]
- Matthews, J.S.A.; Vialet-Chabrand, S.R.M.; Lawson, T. Diurnal Variation in Gas Exchange: The Balance between Carbon Fixation and Water Loss. Plant Physiol. 2017, 174, 614–623. [Google Scholar] [CrossRef] [Green Version]
- Van de Weg, M.J.; Meir, P.; Grace, J.; Atkin, O.K. Altitudinal variation in leaf mass per unit area, leaf tissue density and foliar nitrogen and phosphorus content along an Amazon-Andes gradient in Peru. Plant Ecol. Divers. 2009, 2, 243–254. [Google Scholar] [CrossRef]
- Agren, G.I. Stoichiometry and Nutrition of Plant Growth in Natural Communities. Annu. Rev. Ecol. Evol. Syst. 2008, 39, 153–170. [Google Scholar] [CrossRef]
- Yuan, Z.Y.; Chen, H.Y.H. Changes in nitrogen resorption of trembling aspen (Populus tremuloides) with stand development. Plant Soil 2010, 327, 121–129. [Google Scholar] [CrossRef]
- Cerqueira, A.F.; Rocha-Santos, L.; Benchimol, M.; Mielke, M.S. Habitat loss and canopy openness mediate leaf trait plasticity of an endangered palm in the Brazilian Atlantic Forest. Oecologia 2021, 196, 619–631. [Google Scholar] [CrossRef] [PubMed]
- Pages, J.P.; Pache, G.; Joud, D.; Magnan, N.; Michalet, R. Direct and indirect effects of shade on four forest tree seedlings in the French Alps. Ecology 2003, 84, 2741–2750. [Google Scholar] [CrossRef]
- He, D.; Deane, D.C. The relationship between trunk- and twigwood density shifts with tree size and species stature. For. Ecol. Manag. 2016, 372, 137–142. [Google Scholar] [CrossRef]
- Laureano, R.G.; Lazo, Y.O.; Linares, J.C.; Luque, A.; Martinez, F.; Seco, J.I.; Merino, J. The cost of stress resistance: Construction and maintenance costs of leaves and roots in two populations of Quercus ilex. Tree Physiol. 2008, 28, 1721–1728. [Google Scholar] [CrossRef] [PubMed] [Green Version]
- Zhao, C.; Chen, L.; Ma, F.; Yao, B.; Liu, J. Altitudinal differences in the leaf fitness of juvenile and mature alpine spruce trees (Picea crassifolia). Tree Physiol. 2008, 28, 133–141. [Google Scholar] [CrossRef] [Green Version]
- Tian, H.Q.; Chen, G.S.; Zhang, C.; Melillo, J.M.; Hall, C.A.S. Pattern and variation of C:N:P ratios in China’s soils: A synthesis of observational data. Biogeochemistry 2010, 98, 139–151. [Google Scholar] [CrossRef]
- Vitousek, P.M. Litterfall, Nutrient Cycling, and Nutrient Limitation in Tropical Forests. Ecology 1984, 65, 285–298. [Google Scholar] [CrossRef]
- Vitousek, P.M.; Walker, L.R.; Whiteaker, L.D.; Matson, P.A. Nutrient Limitations to Plant-Growth during Primary Succession in Hawaii-Volcanos-National-Park. Biogeochemistry 1993, 23, 197–215. [Google Scholar] [CrossRef]
- Yu, G.R.; Jia, Y.L.; He, N.P.; Zhu, J.X.; Chen, Z.; Wang, Q.F.; Piao, S.L.; Liu, X.J.; He, H.L.; Guo, X.B.; et al. Stabilization of atmospheric nitrogen deposition in China over the past decade. Nat. Geosci. 2019, 12, 424–429. [Google Scholar] [CrossRef]
- Simmonds, B.; McDowell, R.W.; Condron, L.M. The effect of soil moisture extremes on the pathways and forms of phosphorus lost in runoff from two contrasting soil types. Soil Res. 2017, 55, 19–27. [Google Scholar] [CrossRef]
- Mo, Q.F.; Wang, W.J.; Chen, Y.Q.; Peng, Z.T.; Zhou, Q. Response of foliar functional traits to experimental N and P addition among overstory and understory species in a tropical secondary forest. Glob. Ecol. Conserv. 2020, 23, e01109. [Google Scholar] [CrossRef]
- Hikosaka, K.; Kurokawa, H.; Arai, T.; Takayanagi, S.; Tanaka, H.O.; Nagano, S.; Nakashizuka, T. Intraspecific variations in leaf traits, productivity and resource use efficiencies in the dominant species of subalpine evergreen coniferous and deciduous broad-leaved forests along the altitudinal gradient. J. Ecol. 2021, 109, 1804–1818. [Google Scholar] [CrossRef]



| Habitat Types | Mean Elevation ± SE | Mean Slope ± SE | Mean Convexity ± SE |
|---|---|---|---|
| Low flat | 1322.3 ± 3.44 | 10.9 ± 0.73 | −2.1 ± 0.63 |
| Low ridge | 1360.8 ± 2.41 | 24.8 ± 0.54 | 1.0 ± 0.28 |
| Low slope | 1374.9 ± 4.12 | 27.1 ± 0.45 | −1 ± 0.17 |
| High gully | 1442.1 ± 3.63 | 36.2 ± 0.4 | −0.9 ± 0.19 |
| High ridge | 1503.8 ± 4.38 | 31.7 ± 4.38 | 1.1 ± 0.24 |
| High slope | 1526.1 ± 2.87 | 26 ± 0.56 | 2.4 ± 0.37 |
| Trait | Abbreviation | Unit | Organ | Type |
|---|---|---|---|---|
| Specific leaf area | SLA | cm2 g−1 | Leaf | Morphological |
| Leaf dry matter content | LDMC | g/g | Leaf | Morphological |
| Leaf area | LA | cm2 | Leaf | Morphological |
| Leaf thickness | LT | mm | Leaf | Morphological |
| Leaf tissue density | TD | g cm−3 | Leaf | Morphological |
| Leaf carbon concentration per unit leaf mass | LCC | mg g−1 | Leaf | Chemical |
| Leaf nitrogen concentration per unit leaf mass | LNC | mg g−1 | Leaf | Chemical |
| Leaf phosphorus concentration per unit leaf mass | LPC | mg g−1 | Leaf | Chemical |
| Wood density | WD | g cm−3 | branch | Morphological |
| Trait | Habitats | ||||||
|---|---|---|---|---|---|---|---|
| p Value | Low Flat | Low Ridge | Low Slope | High Gully | High Ridge | High Slope | |
| LA | 0.957 | 89.135 ± 25.56 a | 85.165 ± 21.97 a | 86.748 ± 13.28 a | 86.259 ± 27.79 a | 90.736 ± 17.98 a | 91.25 ± 19.05 a |
| SLA | 0.915 | 240.269 ± 68.46 a | 238.165 ± 66.02 a | 226.748 ± 37.33 a | 228.52 ± 74.91 a | 248.052 ± 54.19 a | 244.032 ± 54.63 a |
| LDMC | 0.369 | 0.371 ± 0.02 a | 0.359 ± 0.02 a | 0.383 ± 0.02 a | 0.380 ± 0.03 a | 0.368 ± 0.02 a | 0.379 ± 0.07 a |
| LT | 0.272 | 0.138 ± 0.01 a | 0.132 ± 0.02 a | 0.138 ± 0.01 a | 0.128 ± 0.01 a | 0.129 ± 0.01 a | 0.135 ± 0.01 a |
| TD | 0.867 | 0.330 ± 0.01 a | 0.352 ± 0.01 a | 0.334 ± 0.01 a | 0.369 ± 0.01 a | 0.333 ± 0.01 a | 0.329 ± 0.01 a |
| WD | 0.864 | 0.013 ± 0.01 a | 0.016 ± 0.02 a | 0.012 ± 0 a | 0.015 ± 0 a | 0.014 ± 0 a | 0.014 ± 0 a |
| LCC | <0.05 | 463.529 ± 5.44 a | 460.063 ± 4.48 ab | 460.773 ± 9.63 ab | 456.01 ± 5 b | 458.332 ± 6.84 ab | 459.659 ± 5.24 ab |
| LNC | 0.267 | 24.987 ± 1.74 a | 25.859 ± 1.41 a | 24.412 ± 1.99 a | 25.940 ± 3.11 a | 25.788 ± 2.77 a | 24.590 ± 2.41 a |
| LPC | 0.0684 | 2.025 ± 0.15 a | 2.104 ± 0.26 a | 1.909 ± 0.12 a | 2.044 ± 0.26 a | 2.113 ± 0.2 a | 1.975 ± 0.18 a |
| Hypotheses | Predictors (Standardized Coefficient) | Adjusted R2 | p-Value | AIC |
|---|---|---|---|---|
| SLA | −0.04101 | 0.9213 | 762 | |
| Plant size | Size | |||
| Topographical factors | Altitude, Slope, | |||
| Soil factors | Soil N, Soil P | |||
| LDMC | ||||
| Plant size | Size (+0.387) | 0.157 | <0.001 | −624.89 |
| Topographical factors | Slope (0.144) | 0.031 | 0.141 | −637.86 |
| LA | ||||
| Plant size | Size (+0.212) | 0.034 | <0.05 | 562.46 |
| LT | ||||
| Plant size | Size (+0.27) | 0.224 | <0.01 | −787.08 |
| Soil factors | Soil N(+0.45) | 0.098 | <0.001 | −801.32 |
| TD | ||||
| Plant size | Size (−0.193) | 0.0264 | 0.0657 | −841.62 |
| LCC | ||||
| Plant size | Size (+0.325) | 0.095 | <0.01 | 338.98 |
| Topographical factors | Altitude (−0.219), Slope (−0.23) | 0.136 | <0.05 | 332.58 |
| Leaf nitrogen concentration | ||||
| Plant size | Size (−0.178) | 0.046 | 0.084 | 149.23 |
| Soil factors | Soil P (+0.283) | 0.091 | <0.01 | 153.76 |
| LPC | ||||
| Plant size | Size (−0.172) | 0.047 | 0.094 | −295.37 |
| Topographical factors | Slope (−0.199) | 0.051 | <0.05 | −294.15 |
| Soil factors | Soil P (+0.239) | 0.073 | <0.05 | −292.63 |
| WD | ||||
| Plant size | Size (−0.247) | 0.072 | <0.05 | −263.25 |
| Soil factors | Soil P (−0.174) | 0.086 | <0.01 | −261.76 |
| LT | LDMC | LA | SLA | TD | WD | LNC | LCC | |
|---|---|---|---|---|---|---|---|---|
| LDMC | 0.23 * | |||||||
| LA | 0.23 * | 0.03 | ||||||
| SLA | 0.14 | −0.28 ** | 0.95 *** | |||||
| TD | −0.52 *** | 0.17 | −0.84 *** | −0.85 *** | ||||
| WD | −0.15 | −0.09 | −0.03 * | 0.007 ** | 0.07 | |||
| LNC | −0.27 ** | −0.38 *** | −0.03 * | 0.09 | −0.003 ** | 0.12 | ||
| LCC | 0.26 * | 0.09 | −0.02 * | −0.054 | −0.054 | −0.11 | 0.06 | |
| LPC | −0.22 * | −0.42 *** | −0.07 | 0.08 | −0.05 * | 0.09 | 0.46 *** | −0.1 |
Publisher’s Note: MDPI stays neutral with regard to jurisdictional claims in published maps and institutional affiliations. |
© 2022 by the authors. Licensee MDPI, Basel, Switzerland. This article is an open access article distributed under the terms and conditions of the Creative Commons Attribution (CC BY) license (https://creativecommons.org/licenses/by/4.0/).
Share and Cite
Qiu, J.; Han, A.; He, C.; Dai, X.; Jia, S.; Luo, Y.; Hao, Z.; Yin, Q. Functional Traits of Quercus aliena var. acuteserrata in Qinling Huangguan Forest Dynamics Plot: The Relative Importance of Plant Size and Habitat. Forests 2022, 13, 899. https://doi.org/10.3390/f13060899
Qiu J, Han A, He C, Dai X, Jia S, Luo Y, Hao Z, Yin Q. Functional Traits of Quercus aliena var. acuteserrata in Qinling Huangguan Forest Dynamics Plot: The Relative Importance of Plant Size and Habitat. Forests. 2022; 13(6):899. https://doi.org/10.3390/f13060899
Chicago/Turabian StyleQiu, Jing, Anxia Han, Chunmei He, Xiaoxia Dai, Shihong Jia, Ying Luo, Zhanqing Hao, and Qiulong Yin. 2022. "Functional Traits of Quercus aliena var. acuteserrata in Qinling Huangguan Forest Dynamics Plot: The Relative Importance of Plant Size and Habitat" Forests 13, no. 6: 899. https://doi.org/10.3390/f13060899
APA StyleQiu, J., Han, A., He, C., Dai, X., Jia, S., Luo, Y., Hao, Z., & Yin, Q. (2022). Functional Traits of Quercus aliena var. acuteserrata in Qinling Huangguan Forest Dynamics Plot: The Relative Importance of Plant Size and Habitat. Forests, 13(6), 899. https://doi.org/10.3390/f13060899
